Comparison of measurement results are obtained with dynamometers DK-50 and JAMAR® Plus
- Authors: Turusheva A.V.1, Frolova E.V.1, Degryse J.2
-
Affiliations:
- North-Western State Medical University named after I.I. Mechnikov
- Institute of Health and Society Université Catholique de Louvain
- Issue: Vol 22, No 1 (2018)
- Pages: 12-17
- Section: Articles
- Submitted: 26.04.2018
- Published: 15.03.2018
- URL: https://journals.eco-vector.com/RFD/article/view/8760
- DOI: https://doi.org/10.17816/RFD2018112-17
- ID: 8760
Cite item
Full Text
Abstract
Introduction. Grip strength is a reflection not only of the strength of the hands, but also the strength of the muscles of the whole body, the functional capabilities of the body and an important diagnostic marker of the overall health of a person. The aim of this work was to compare the measurements obtained with the DK-50 and JAMAR® Plus digital handheld dynamometers.
Methods. A convenience sample was used of 94 health participants, men and women, aged from 15 to 65 years old. Grip strength of a dominant hand was conducted using a carpal mechanical dynamometer DK-50 (Nizhni Tagil, Russian Federation) and JAMAR® Plus digital handheld dynamometer. The simple Pearson correlation test, linear regression method and the procedure of Bland and Altman were used to estimate difference between an average value of results of measurements of grip strength (AGS) and maximum measurement of grip strength (MGS) of the dominant hand of two dynamometers.
Results. The grip strength using JAMAR® Plus dynamometer was higher than with the DK-50 dynamometer by 5.6 ± 4.2 kg for the average grip strength (AGS) and by 6.7 ± 4.3 kg for the maximum grip strength (MGS). The formulas for transferring the data of the car dynamometry of the DK-50 dynamometer to the values obtained from the JAMAR® Plus dynamometer are calculated: AGS JAMAR® Plus = = 1,7874 + 1,1208 × AGS DK-50 and MGS JAMAR® Plus = 1.7667 + 1, 1275 × MGS DK-50.
Conclusion. For avoiding errors in the interpretation of the results from different studies, it is necessary to take into account which type of dynamometer was used. The resulting formulas (AGS JAMAR® Plus = = 1,7874 + 1,1208 × AGS DK50 and MGS JAMAR® Plus = 1,7667 + 1,1275 × MGS DK50) can be used to correct the data of the dynamometer DK-50 for value of JAMAR® Plus dynamometer and to compare the results of Russian studies with data from foreign studies organized using JAMAR® Plus dynamometers.
Keywords
Full Text
Введение
Сила и согласованная координация движений мышц сгибателей кисти и предплечья необходимы для выполнения многих видов деятельности: от обычных повседневных занятий, таких как одевание, поворот дверной ручки, открывание банок с вареньем, мытье посуды, уборка квартиры и т. п., до занятий различными видами спорта, такими как борьба, теннис, футбол, баскетбол, хоккей. Результаты многочисленных исследований последних лет демонстрируют связь между снижением силы сжатия кисти (силы мышц кисти, кистевым мышечным тонусом, максимальной мышечной силой руки или силой мышц сгибателей пальцев) и увеличением риска падений, быстрой утомляемостью, снижением скорости реакции, нарушением питания, снижением иммунной функции, эпизодами депривации сна, гормональными нарушениями, снижением когнитивных функций, увеличением риска развития зависимости от посторонней помощи и повышением риска смерти от всех причин у лиц старше 65 лет [1–7]. Сила сжатия кисти отражает не только силу рук, но и силу мышц всего тела, функциональные возможности организма и служит важным диагностическим критерием оценки общего состояния здоровья человека [5].
Самым распространенным методом тестирования силы сжатия кисти является кистевая динамометрия. Кистевую динамометрию проводят с помощью динамометра. Существует несколько типов динамометров: механические (рычажные и пружинные), гидравлические и электронные. В российской клинической практике для оценки силы кисти наиболее часто используют механические пружинные динамометры ДК-25 (у детей и ослабленных больных), ДК-50 (у женщин и подростков), ДК-100 (у мужчин), ДК-140 (у спортсменов). В зарубежных научных исследованиях и ежедневной клинической практике чаще всего применяется электронный цифровой динамометр JAMAR® Plus [8, 9]. Данный динамометр был признан Американским обществом терапевтов (The American Society of Hand Therapists (ASHT)) «золотым стандартом» качества для проведения процедуры кистевой динамометрии [8, 9].
Целью нашего исследования было сравнить точность результатов измерений, полученных с помощью механического динамометра ДK-50 и электронного цифрового динамометра JAMAR® Plus.
Материалы и методы
Дизайн исследования. Для участия в исследовании были отобраны 94 здоровых добровольца в возрасте от 15 до 65 лет. Критерием включения было согласие на участие в исследовании. Критериями исключения были жалобы на боли в руках в покое или при движении, а также скованность в утренние часы в течение последнего месяца. Все участники были информированы о цели исследования. Сила сжатия кисти доминантной руки была измерена с использованием механического кистевого динамометра ДК-50 (Нижнетагильский медико-инструментальный завод, Россия, ГОСТ 15150-69) и цифрового кистевого динамометра JAMAR® Plus (Sammons Preston, Булинбрукт, штат Иллинойс, США). Динамометр JAMAR® Plus оценивает силу сжатия кисти в килограммах (0–90 кг). Динамометр ДК-50 измеряет силу сжатия кисти в деканьютонах (5–50 даН). Динамометр ДК-50 был внесен в Государственный реестр изделий медицинского назначения, имеет соответствующее регистрационное удостоверение Росздравнадзора (№ 9817-85) и свидетельство об утверждении типа средств измерений Федерального агентства по техническому регулированию и метрологии (№ ФСР 2008/02239).
Методика проведения динамометрии. Иссле дование проводилось в положении сидя на кресле, руки обследуемого располагались на подлокотнике. Участникам обследования было предложено сжимать динамометр с максимальным усилием в течение 3–5 с. Для каждого динамометра было выполнено по три попытки отдельно для правой и левой руки. Время отдыха между попытками составляло 30 с. Половина участников исследования сначала проходили исследование с использованием динамометра ДК-50, потом с использованием динамометра JAMAR® Plus. Другая половина участников, наоборот, сначала использовала динамометр JAMAR® Plus, затем ДК-50. Доминантой рукой была признана рука, показавшая наилучшие результаты при выполнении теста динамометрии.
Статистический анализ. Среднее и стандартное отклонения (± CО) были рассчитаны для максимальной силы сжатия кисти (МССК) и средней силы сжатия кисти (СССК) доминантной руки. Предварительно результаты измерения, полученные с использованием динамометра ДК-50, были переведены из деканьютонов в килограммы (1 даН = 1,02 кг). Дисперсионный анализ с повторным измерением (Repeated-Measures ANOVA, RM-ANOVA) применяли для оценки разницы между тремя попытками с использованием двух динамометров. Коэффициент корреляции Пирсона и линейную регрессию использовали для оценки разницы между результатами измерений, полученными с использованием двух динамометров. Согласованность измерений между двумя видами динамометров оценивали методом Блэнда – Алтмана с учетом средней разности измерений в ± 1,96СО.
Статистический анализ данных проводили при помощи программы MedCalc 11.5.00 (Medcalc Software, Oostende). Критической границей достоверности была принята величина α, равная 0,05.
Результаты
В исследовании приняли участие 94 человека. Результаты кистевой динамометрии 8 участников (мужчин) были выше технических возможностей измерения силы сжатия кисти динамометром ДК-50, в связи с чем они были исключены из исследования. Таким образом, в исследование включили 86 человек (35 мужчин и 51 женщину) в возрасте от 15 до 63 лет.
Средняя разница значения силы сжатия между тремя подходами измерения силы кисти с использованием динамометра ДК-50 для левой руки среди женщин была от 0,09 ± 0,29 до 0,30 ± 0,35 кг (р > 0,05), у мужчин — от 0,51 ± 1,66 до 1,10 ± 1,32 кг (р > 0,05), для правой руки — от 0,11 ± 0,39 до 0,23 ± 0,556 кг (р > 0,05) и от 1,37 ± 2,42 до 2,60 ± 2,12 кг (р > 0,05) соответственно. Разница между тремя подходами измерения силы сжатия кисти при помощи динамометра JAMAR® Plus для левой руки среди женщин была от 0,33 ± 0,35 до 0,71 ± 0,33 кг (р > 0,05), у мужчин — от 0,09 ± 0,68 до 1,03 ± 0,44 кг (р > 0,05), для правой — от 0,08 ± 0,36 до 0,70 ± 0,53 кг (р > 0,05) и от 0,30 ± 0,47 до 0,81 ± 0,76 кг (р > 0,05) соответственно.
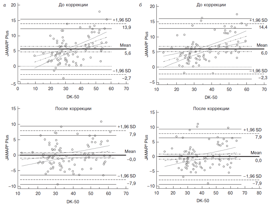
СССК (± СО) при использовании динамометра ДК-50 была 31,6 ± 10,7 кг, при использовании JAMAR® Plus — 37,3 ± 12,7 кг (р < 0,01) (рис. 1). Среднее значение МССК ± СО при применении динамометра ДК-50 было 33,5 ± 10,7 кг, при JAMAR® Plus — 39,52 ± 12,75 кг (р < 0,01) (см. рис. 1). Коэффициент корреляции Пирсона между двумя динамометрами для СССК был 0,948 (95 % ДИ: 0,921–0,966) (р < 0,01) и 0,949 (95 % ДИ: 0,922–0,966) (р < 0,01) для МССК. Разница измерений между двумя исследуемыми динамометрами составила 5,6 ± 4,2 кг для СССК и 6,7 ± 4,3 кг для МССК (рис. 2).
Рис. 1. Диаграммы размахов для средней силы сжатия кисти (а) и максимальной силы сжатия кисти (б) с исполь зованием динамометров ДК-50 и JAMAR® Plus
Рис. 2. Диаграмма Бленда – Альтмана до и после коррекции средней силы сжатия кисти (а) и максимальной силы сжатия кисти (б) с использованием динамометров ДК-50 и JAMAR® Plus
Метод линейной регрессии применяли для определения разности между измерениями двух динамометров. Коэффициент А для СССК был равен 1,79, для МССК — 1,77, коэффициент B для СССК — 1,12 и для МССК — 1,13 (рис. 3). После коррекции разница между значениями двух измерительных приборов составила 0,00 ± 4,03 для СССК и 0,00 ± 4,03 для МССК. Коэффициент детерминации R2 для СССК составил 0,89, для МССК — 0,90 (см. рис. 3).
Рис. 3. График линейной регрессии зависимости средней силы сжатия кисти (а) и максимальной силы сжатия кисти (б) с использованием динамометров ДК-50 и JAMAR® Plus
Обсуждение
Механический динамометр ДК-50 показал практически такую же точность измерения и воспроизводимость результатов, как и электронный динамометр JAMAR® Plus. Разница в силе сжатия кисти между тремя попытками у мужчин была чуть выше, чем у женщин, но выявленные отклонения измерений не были статистически значимыми для обоих динамометров. Сила сжатия кисти, измеренная с использованием динамометра JAMAR® Plus, была выше, чем с использованием динамометра ДК-50: 5,6 ± 4,2 кг для СССК и 6,7 ± 4,3 кг МССК. Полученная в результате работы формула для перевода значений динамометра ДК-50 в значения динамометра JAMAR® Plus была точна в 90 % случаев, и разница между значениями двух измерительных приборов после рекомендуемой коррекции была минимальна (0,00 ± 4,03).
Результаты нашего исследования согласуются с данными других исследований, показавших низкий уровень согласованности результатов кистевой динамометрии при использовании разных видов динамометров [10, 11]. Например, по данным исследования, проведенного Амаралом и др., разница в показателях при помощи разных динамометров составляла от 2,3 до 26,6 кг [10]. Напротив, в исследовании, проведенном с применением двух похожих гидравлических динамометров разных производителей (Jamar и Rolyan), коэффициент согласованности значений силы сжатия кисти составил 0,90–0,97.
На результаты силы сжатия кисти влияет также методика проведения кистевой динамометрии. Разное положение тела, плечевого и локтевого суставов, запястья могут приводить к существенному завышению или занижению полученных значений силы кисти [12–14]. Например, погрешность результатов измерения при разной степени разгибания запястья может составлять от 19 до 25 % [14].
Заключение
При сравнении данных силы сжатия кисти, полученных в результате разных эпидемиологических исследований, во избежание ошибок в интерпретации необходимо учитывать вид используемого динамометра, а также методику проведения, положение тела и рук участника исследования во время процедуры. Полученные в результате работы формулы (СССК JAMAR® Plus = 1,7874 + 1,1208 × СССК ДК50 и МССК JAMAR® Plus = 1,7667 + 1,1275 × МССК ДК50) могут быть использованы для перевода данных кистевой динамометрии динамометра ДК-50 в значения динамометра JAMAR® Plus и, следовательно, будут полезны при интерпретации и сравнении результатов исследований, проводимых в российской популяции с использованием динамометра ДК-50, с данными зарубежных исследований, организованных с использованием динамометров JAMAR® Plus.
About the authors
Anna V. Turusheva
North-Western State Medical University named after I.I. Mechnikov
Author for correspondence.
Email: anna.turusheva@gmail.com
PhD, MD, Assistant Professor of the Department of Family Medicine
Russian Federation, Saint PetersburgElena V. Frolova
North-Western State Medical University named after I.I. Mechnikov
Email: elena.frolova@szgmu.ru
DSc, Professor of the Department of Family Medicine
Russian Federation, Saint PetersburgJean-Marie Degryse
Institute of Health and Society Université Catholique de Louvain
Email: jan.degryse@kuleuven.be
MD, PhD, Professor
Belgium, BrusselsReferences
- Dodds RM, Syddall HE, Cooper R, et al. Grip strength across the life course: normative data from twelve British studies. PLoS One. 2014;9(12):e113637. doi: 10.1371/journal.pone.0113637.
- Tietjen-Smith T, Smith SW, Martin M, et al. Grip strength in relation to overall strength and functional capacity in very old and oldest old females. Phys Occup Ther Geriatr. 2006;24(4):63-78. doi: 10.1080/J148v24n04_05.
- Ling CH, Taekema D, de Craen AJ, et al. Handgrip strength and mortality in the oldest old population: the Leiden 85-plus study. CMAJ. 2010;182(5):429-435. doi: 10.1503/cmaj.091278.
- Kumar CA, Jiwane R, Alam T, Sahebrao KS. Grip strength and impact on cognitive function in healthy kitchen workers. ALS. 2016;10(2):168-174. doi: 10.1016/j.als.2016.11.008.
- Lee L, Patel T, Costa A, et al. Screening for frailty in primary care. Accuracy of gait speed and hand-grip strength. Can Fam Physician. 2017;63(1):e51-e57.
- Flood A, Chung A, Parker H, et al. The use of hand grip strength as a predictor of nutrition status in hospital patients. Clin Nutr. 2014;33(1):106-114. doi: 10.1016/j.clnu.2013.03.003.
- Turusheva A, Frolova E, Degryse JM. Age-related normative values for handgrip strength and grip strength’s usefulness as a predictor of mortality and both cognitive and physical decline in older adults in northwest Russia. J Musculoskelet Neuronal Interact. 2017;17(1):417-432.
- Bohannon RW, Bear-Lehman J, Desrosiers J, et al. Average grip strength: a meta-analysis of data obtained with a Jamar dynamometer from individuals 75 years or more of age. J Geriatr Phys Ther. 2007;30(1):28-30.
- Bohannon RW, Peolsson A, Massy-Westropp N, et al. Reference values for adult grip strength measured with a Jamar dynamometer: a descriptive meta-analysis. Physiotherapy. 2006;92(1):11-15. doi: 10.1016/j.physio.2005.05.003.
- Amaral JF, Mancini M, Novo Júnior JM. Comparison of three hand dynamometers in relation to the accuracy and precision of the measurements. Rev Bras Fisioter. 2012;16(3):216-224.
- Guerra RS, Amaral TF. Comparison of hand dynamometers in elderly people. J Nutr Health Aging. 2009;13(10):907-912.
- Parvatikar VB, Mukkannavar PB. Comparative study of grip strength in different positions of shoulder and elbow with wrist in neutral and extension positions. Journal of Exercise Science and Physiotherapy. 2009;5(2):67-75.
- Su CY, Lin JH, Chien TH, et al. Grip strength in different positions of elbow and shoulder. Arch Phys Med Rehabil. 1994;75(7):812-815.
- Bhardwaj P, Nayak SS, Kiswar AM, Sabapathy SR. Effect of static wrist position on grip strength. Indian J Plast Surg. 2011;44(1):55-58. doi: 10.4103/0970-0358.81440.
Supplementary files






