Сравнительный анализ экспрессии генов, связанных со стрессом, у двух линий гороха, контрастных по признаку устойчивости к кадмию
- Авторы: Кулаева О.А.1, Грибченко Э.С.1, Зорин Е.А.1, Клюкова М.С.1, Жуков В.А.1
-
Учреждения:
- ФГБНУ «Всероссийский научно-исследовательский институт сельскохозяйственной микробиологии»
- Выпуск: Том 16, № 4 (2018)
- Страницы: 75-84
- Раздел: Генетическая токсикология
- Статья получена: 24.10.2018
- Статья одобрена: 03.12.2018
- Статья опубликована: 15.12.2018
- URL: https://journals.eco-vector.com/ecolgenet/article/view/10370
- DOI: https://doi.org/10.17816/ecogen16475-84
- ID: 10370
Цитировать
Полный текст
Аннотация
Проблема загрязнения окружающей среды тяжелыми металлами, в том числе кадмием, остро стоит перед современным обществом. В связи с этим изучение молекулярных и генетических механизмов, лежащих в основе устойчивости растений к этим токсичным веществам, является крайне актуальным в настоящее время. В данном исследовании был проведен сравнительный анализ экспрессии генов, связанных с развитием защитных реакций, у двух генотипов гороха, контрастных по устойчивости к кадмию. В исследовании использовали уникальный мутант гороха SGECdt, характеризующийся повышенной устойчивостью к кадмию, и исходную линию SGE. У линии SGE обработка растений кадмием приводила к усилению экспрессии генов, кодирующих каталазу, хитиназу, гевеинподобный антимикробный пептид PRP4A и белок PI206 (относящийся к группе dirigent protein). У мутанта SGECdt кадмий повышал экспрессию генов, кодирующих хитиназу, глутатионредуктазу и дефензин DRR230. В контрольных образцах экспрессия генов, кодирующих белки PRP4A и DRRR230, была усилена у мутанта SGECdt по сравнению с линией SGE. Таким образом, на молекулярном уровне мутация в гене cdt модифицирует ответ на кадмий, причем у мутанта SGECdt даже без воздействия кадмия было отмечено повышение уровня экспрессии некоторых генов, вероятно, опосредующих защиту от вредного воздействия данного тяжелого металла.
Ключевые слова
Полный текст
ВВЕДЕНИЕ
Начавшаяся в конце XIX века эра индустриализации привела к активному росту промышленности и интенсивной добыче полезных ископаемых, следствием которых стало усиление антропогенной нагрузки на окружающую среду, в том числе загрязнение почвы, атмосферы и водных ресурсов тяжелыми металлами. Одним из наиболее опасных и широко распространенных тяжелых металлов является кадмий, активное накопление которого в окружающей среде связано с горнодобывающей промышленностью, автотранспорт ной отраслью, использованием фосфатных удобрений. Через переносчики металлов кадмий проникает в растения и может накапливаться в наземной и подземной частях. Аккумуляция кадмия сельскохозяйственно ценными культурами и дальнейшая его передача по пищевым цепям представляет собой крайне актуальную проблему [1].
На молекулярно-клеточном уровне кадмий вызывает нарушение целостности мембран, заменяет некоторые элементы в функциональных центрах молекул, что приводит к инактивации многих белков. Повышение концентрации кадмия внутри клетки приводит к образованию активных форм кислорода [2]. Вышеперечисленные факторы вызывают нарушение процессов развития, питания, фотосинтеза, водного баланса у расте ний [3]. Для нивелирования негативного действия кадмия у растений функционируют ряд систем связывания данного тяжелого металла и репарации повреждений. Связывание кадмия происходит в основном за счет тиолосодержащих пептидов, таких как металлотионеи ны, глута тион, синтезируемые из него фитохелатины, и некоторых компонентов клеточной стенки [4]. Показано, что многие представители системы поддержания окислительно-восстановительного баланса, такие как супероксиддисмутазы, каталазы, глутатионредуктазы, пероксидазы, принимают активное участие в нивелировании окислительного стресса, вызванного интоксикацией клетки кадмием [5]. Ренатурация белков и восстановление целостности мембран, поврежденных кадмием, происходит при участии белков теплового шока. Ряд компонентов защитных реакций, связанных в основном с реакцией на биотические стимулы, также принимает участие в ответе клетки на проникновение ионов кадмия. К ним относятся гены, кодирующие хитиназы, халькон-изомеразы, дефензины, а также фе нилаланин-аммоний-лиазу, представляющую собой ключевой фермент синтеза фенилпропаноидов [6].
Крайне важным является изучение влияния кадмия на не модельные объекты, часто относящиеся к ценным сельскохозяйственным культурам. Полученный во ВНИИ сельскохозяйственной микробиологии (Санкт-Петербург, Россия) мутант гороха SGECdt способен накапливать большее по сравнению с исходной линией количество кадмия. Признаки токсического отравления проявляются у мутанта при использовании более высоких (по сравнению с исходной линией) доз кадмия [7]. Таким образом, данный мутант интересен в качестве модели для изучения механизмов формирования устойчивости растений к кадмию. Ранее мутант SGECdt был охарактеризован как имеющий моногенное наследование и рецессивный фенотип. Локус cdt был локализован в 6-й группе сцепления гороха [8].
Для исследования молекулярных изменений, опосредованных мутацией в локусе cdt, в данной работе был проведен сравнительный анализ экспрессии ряда генов, связанных с формированием стрессового ответа на кадмий, у мутанта SGECdt и исходной линии SGE. К исследованным относятся гены, продукты которых связаны с процессами поддержания окислительно-восстановительного баланса клетки и участвуют в защитных реакциях при абиотических и биотических стрессах. Ранее для некоторых из них было показано участие в ответе на действие ионов кадмия у других линий гороха [9–12], что позволяет рассматривать их в качестве маркеров развития стрессового ответа у гороха посевного. В рамках данной работы методом сравнительного анализа экспрессии генов, связанных со стрессом, было проведено исследование влияния кадмия на развитие защитных реакций у двух линий гороха, контрастных по признаку устойчивости к данному тяжелому металлу.
МАТЕРИАЛЫ И МЕТОДЫ
В исследовании были использованы исходная линия гороха посевного (Pisum sativum L.) SGE [13] и мутант SGECdt, характеризующийся повышенными устойчивостью к кадмию и его аккумуляцией в тканях растений [7].
Условия выращивания растений
Стерилизация семян концентрированной серной кислотой проводилась в течение 30 мин с последующей промывкой дистиллированной водой 6 раз.
Растения выращивались в условиях смены день/ночь — 16/8 ч, при температуре 21 °C, относительной влажности воздуха 75 %, освещенности 38 тыс. люкс, в условиях гидропоники с аэрацией.
Раствор хлорида кадмия (осч, Merck) концентрацией 3 мкМ добавляли в сосуды с питательной средой [7] к четырехдневным проросткам гороха. Срок обработки хлоридом кадмия составлял 1 и 3 суток. Отдельно собранные побеговая и корневая части растений (по 10 растений на вариант) были заморожены в жидком азоте. Было осуществлено три независимых биологических эксперимента.
Выделение РНК
Для выделения РНК корни и побеги были гомогенизированы с использованием жидкого азота. Были взяты навески 50–100 мг растительной ткани. Выделение проводили с помощью набора NucleoSpin RNA (Macherey-Nagel, Германия) согласно рекомендациям производителя.
Определение концентрации РНК, постановка обратной транскрипции
Определяли концентрацию РНК на флюориметре Qubit 3 (Thermo Fisher Scientific, США). Для реакции обратной транскрипции была использована РНК в количестве 1,5 мкг. Реакцию проводили в объеме 20 мкл с использованием набора RevertAid First Strand cDNA Synthesis Kit (Thermo Fisher Scientific, США) в автоматическом амплификаторе Т 100Thermal Cycler (Bio-Rad Laboratories, США).
Проведение ПЦР в режиме реального времени
ПЦР в режиме реального времени осуществлялась в автоматическом амплификаторе С1000Thermal Cycler, совмещенном с оптическим модулем CFX96TM Real-Time System (Bio-Rad Laboratories, США) с использованием коммерческого набора qPCRmix-HS SYBR (Евроген, Россия). Реакцию проводили в объеме 10 мкл. Экспрессию генов выполняли в трех технических повторностях. Амплификацию анализировали по следующей программе: 95 °C — 30 с, 58 °C — 30 с и 72 °C — 30 с. Флуоресценцию интеркалирующего красителя SYBR Green I регистрировали в конце каждого цикла при 72 °C. Количественную оценку экспрессии анализируемого гена проводили с использованием программного обеспечения Bio-Rad CFX Manager 3.1. В качестве референсного был использован ген GapC1, кодирующий глицеральдегид-3-фосфат-дегидрогеназу.
ПЦР в режиме реального времени осуществляли при помощи праймеров, представленных в табл. 1.
Таблица 1. Последовательности, использовавшиеся для анализа экспрессии генов
Table 1. Sequences used for gene expression analysis
Ген | Прямой праймер: 5’-3’ Обратный праймер: 5’-3’ | Идентификатор в GenBank | Продукт гена |
PRP4A | GCGTCATTATGGTTGGACTGCC CTGTAAGGTGACCCGCCTGGTA | AF137351 | Белок PRP4A |
FNR | TTGGCTGTGTCTCAGATGGCTG TCGGCACACTTGCTTGTTGC | X99419 | Ферредоксин-НАДФ+-редуктаза |
PI206 | GCACTCATCATCAAGGAACC GAAATCTCCAGTACCACCAG | M18250 | Белок PI206 |
CHI | ATGAGTTCCCAGCGGTGGTTA CCTTCCCATTTAGTGGCAAGAG | U03433 | Халкон изомераза |
GR | CGGTTGTTATCCAATGCTGG TATTAGGACGCTGAGCCCTG | X98274 | Глутатионредуктаза |
HSP70 | GGTTACTGTGCCTGCTTAC CCTCGAGCACTGAGACATC | L03299 | Белок теплового шока |
FeSOD | GCAACCGCTACTTCTTCCCTCC GCGGTGGCTTCAGCTCAAAC | AY426764 | Fe-супероксиддисмутаза |
MnSOD | GGAGCAAGTTTGGTTCCATT AAGGTTATTCGGCCAGATTG | X60170 | Mn-супероксиддисмутаза |
CHT | GAGCAATGCGGTAGCCAAGC CCAGCACACCGTCCATCGTT | X63899 | Хитиназа |
APXI | ACCCAACTGTTAGTCCCGATTACC TTCCGAAAGGACCACCAGTCTT | M93051 | Аскорбат пероксидаза |
CAT | AATCCCTATCTTCTGCTCCACCAC TCAGGTGCGAAATATCATGTGTGA | X60169 | Каталаза |
DRR-230 | GCTTGCTTGTCCTTCCTCCTCC GCACCAACAGCGAAAGTCATCC | AF139018 | Белок DRR230 |
PAL1 | GAGAATCAACACACTTCTCCAAGG GCATTAAGAATTTCCCCAGAGGT | D10002 | Фенилаланин-аммоний-лиаза |
PAL2 | TTTGGAAATGGAAGTGAGTCAACT GCATTAAGTATTTCTCCAGACGGTC | D10003 | Фенилаланин-аммоний-лиаза |
GapC1 | AAGAACGACGAACTCACCG TTGGCACCACCCTTCAAATG | X73150 | Глицеральдегид-3-фосфат-дегидрогеназа |
Статистическая обработка данных
Для сравнения экспрессии генов между образцами использовали однофакторный дисперсионный анализ с последующим применением критерия Тьюки. Нормальность распределения данных оценивали с помощью теста Шапиро – Уилка в среде статистической обработки R (версия 3.4.3).
РЕЗУЛЬТАТЫ
Сравнительный анализ экспрессии генов в побегах и корнях был проведен после 1 и 3 суток инкубации растений в среде, содержащей 3 мкМ хлорида кадмия. Данные сроки были выбраны исходя из предварительно проведенных исследований морфофизиологических особенностей роста корневой системы данного мутанта в стрессовых условиях [14]. После 1 суток инкубации растений в среде с хлоридом кадмия влияние данного тяжелого металла на интенсивность развития корневой системы не было выявлено как у мутанта SGECdt, так и у исходной линии SGE. После 3 суток инкубации растений в среде с хлоридом кадмия скорость роста корня у линии SGE была значительно снижена как по сравнению с контролем, так и по сравнению с мутантом SGECdt. У мутанта SGECdt скорость роста корня оставалась неизменной. Достоверности отличия экспрессии оценивали для корней и побегов в пределах одного срока.
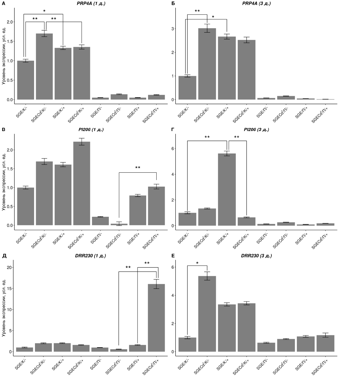
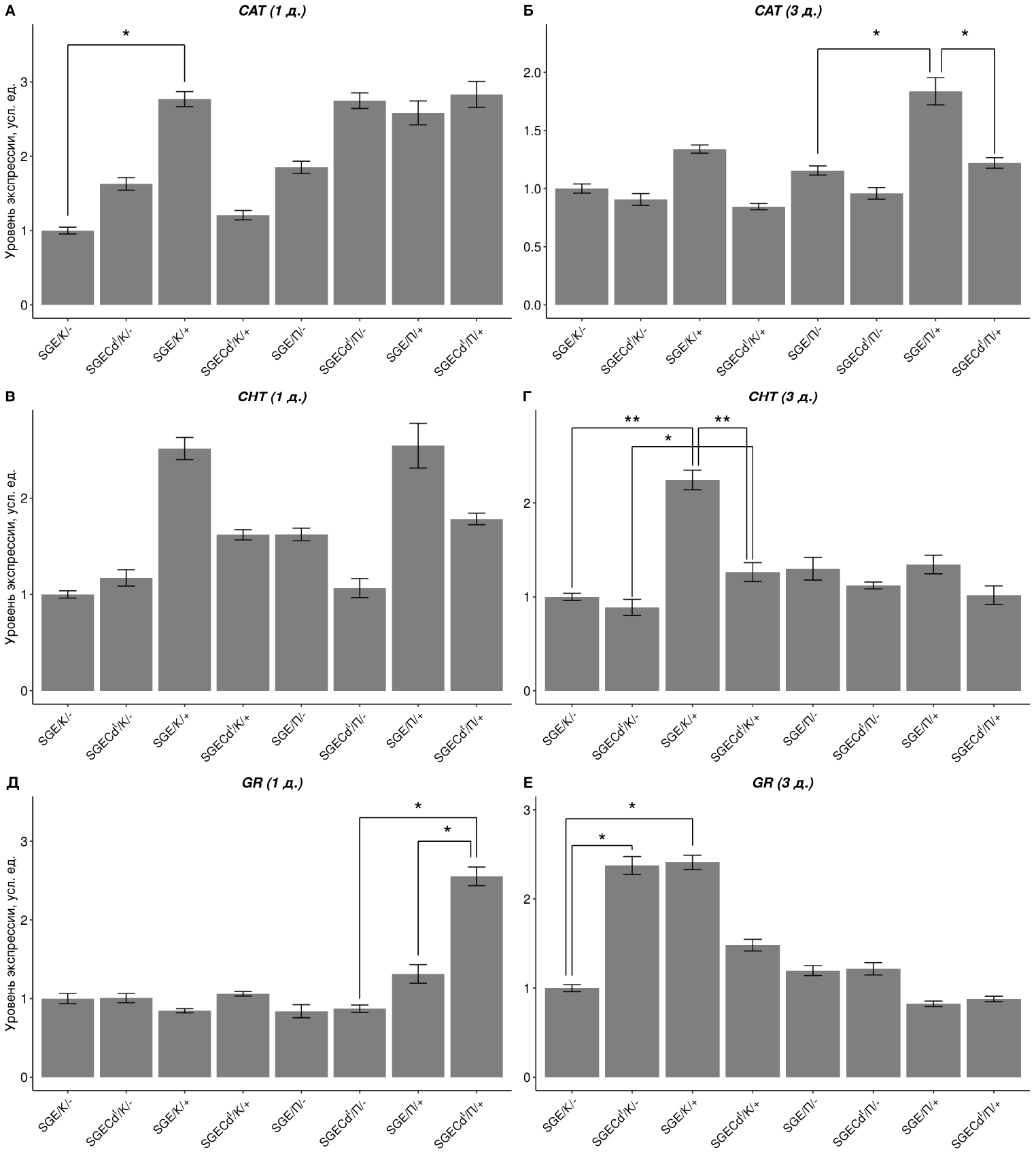
После суточной обработки растений хлоридом кадмия в корнях мутанта SGECdt наблюдалось небольшое снижение экспрессии гена, кодирующего белок PRP4A (PrP4A), в то время как у исходной линии была выявлена небольшая активация экспрессии данного гена. Следует отметить, что в корнях кон трольных образцов ген PrP4A экспрессировался активнее у мутанта SGECdt (рис. 1). В корнях линии SGE было обнаружено усиление экспрессии гена, кодирующего каталазу (CAT) (рис. 2). Также на данном сроке было показано небольшое снижение экспрессии гена, кодирующего фенилаланин-аммоний-лиазу (PAL2) в корнях, как у мутанта, так и у исходной линии (рис. 3). В побеговой части после одних суток инкубации растений в среде с хлоридом кадмия было выявлено значительной усиление экспрессии генов, кодирующих белки PI206 (PI206), DRR230 (DRR230) (см. рис. 1) и глутатионредуктазу (GR) (см. рис. 2) у мутанта SGECdt.
Рис. 1. Изменение уровня экспрессии генов PRP4A (А, Б), PI206 (В, Г), DRR230 (Д, Е) в корнях и побегах исходной линии SGE и мутанта SGECdt в контрольных условиях и при воздействии 3 мкМ CdCl2. «1 д.» — срок 1 сутки, «3 д.» — срок 3 суток. * достоверные отличия, p < 0,05. ** достоверные отличия, p < 0,01. К — корень, П — побег. Знак «-» — контроль, знак «+» — опыт
Fig. 1. Changes in the expression of the PRP4A (A, Б), PI206 (В, Г), DRR230 (Д, Е) genes in the roots and shoots of the SGE line and SGECdt mutant under control conditions and after exposition with 3 μM CdCl2. “1 d.” – 1 day, “3 d.” – 3 days. * significant differences, p < 0.05. ** significant differences, p < 0.01. К – the root, П – shoot. “-” – control, “+” – treatment
Рис. 2. Изменение уровня экспрессии генов CAT (А, Б), CHT (В, Г), GR (Д, Е) в корнях и побегах исходной линии SGE и мутанта SGECdt в контрольных условиях и при воздействии 3 мкМ CdCl2. «1 д.» — срок 1 сутки, «3 д.» — срок 3 суток. * достоверные отличия, p < 0,05. ** достоверные отличия, p < 0,01. К — корень, П — побег. Знак «-» — контроль, знак «+» — опыт
Fig. 2. Changes in the expression of the CAT (А, Б), CHT (В, Г), GR (Д, Е) genes in the roots and shoots of the SGE line and SGECdt mutant under control conditions and after exposition with 3 μM CdCl2. “1 d.” – 1 day, “3 d.” – 3 days. * significant differences, p < 0.05. ** significant differences, p < 0.01. К – the root, П – shoot. “-” – control, “+” – treatment
Рис. 3. Изменение уровня экспрессии генов PAL1 (А, Б), PAL2 (В, Г) в корнях и побегах исходной линии SGE и мутанта SGECdt в контрольных условиях и при воздействии 3 мкМ CdCl2. «1 д.» — срок 1 сутки, «3 д.» — срок 3 суток. * достоверные отличия, p < 0,05. **p <достоверные отличия, p < 0.01. К — корень, П — побег. Знак «-» — контроль, знак «+» — опыт
Fig. 3. Changes in the expression of the PAL1 (А, Б), PAL2 (В, Г) genes in the roots and shoots of the SGE line and SGECdt mutant under control conditions and after exposition with 3 μM CdCl2. “1 d.” – 1 day, “3 d.” – 3 days. * significant differences, p < 0.05. ** significant differences, p <0.01. К – the root, П – shoot. “-” – control, “+” – treatment
После трех суток обработки растений хлоридом кадмия в корнях растений линии SGE было отмечено усиление экспрессии генов, кодирующих белок PRP4A (PrP4A), белок PI206 (PI206) (см. рис. 1), глутатионредуктазу (GR) и хитиназу (CHT) (см. рис. 2). В корнях мутанта SGECdt было обнаружено небольшое усиление экспрессии гена CHT (см. рис. 2). Как у мутанта SGECdt, так и у исходной линии SGE было установлено снижение экспрессии гена, кодирующего фенил аланин-аммоний-лиазу (PAL2) (см. рис. 3). Также было показано, что на данном сроке экспрессия генов PrP4A, DRR230 (см. рис. 1) и GR (см. рис. 2) усилена в корнях контрольных образцов мутанта SGECdt по сравнению с линий SGE. Экспрессия гена, кодирующего фенилаланин-аммоний-лиазу (PAL1) была снижена в корнях как контрольных, так и опытных растений мутанта SGECdt по сравнению с таковыми линии SGE (см. рис. 3). В побеговой части растений линии SGE после трех суток инкубации растений в среде, содержащей хлорид кадмия, было установлено усиление экспрессии гена, кодирующего каталазу (CAT) (см. рис. 2).
Для ряда генов нами не было выявлено достоверных отличий в уровне экспрессии как при обработке кадмием, так и в контрольных образцах корней и побегов растений разного возраста. К данным генам относятся гены, кодирующие Fe-супероксиддисмутазу (FeSOD), Mn-супероксиддисмутазу (MnSOD), белок теплового шока HSP70 (HSP70), халкон изомеразу (CHI), аскорбат пероксидазу (APX1) и ферредоксин-НАДФ+-редуктазу (FNR). Также для ряда генов нами был обнаружен органоспецифичный характер экспрессии. Так гены CHI, PrP4A, PI206 сильнее экспрессировались в корнях обеих линий по сравнению с побегами. Экспрессия генов HSP70, FeSOD была усилена в побегах по сравнению с корнями. Органоспецифичный характер экспрессии был одинаков как у линии SGE, так и у мутанта SGECdt.
ОБСУЖДЕНИЕ
В ответ на поступление ионов кадмия в растительной клетке изменяется характер экспрессии ряда генов, связанных в том числе и с активацией защитных реакций. Достаточно часто в качестве модели используется процесс «острого» стресса с применением концентраций, превышающих естественные в десятки раз. При этом чаще всего после кратковременной экспозиции растения погибают. Однако такие исследования не дают ответ на вопрос о том, какие процессы протекают у растений, выращенных в условиях, приближенных к естественным, когда растение в течение долгого времени сохраняет способность развиваться при наличии стресса, вызванного кадмием.
Ранее было показано, что в результате длительной обработки 3 мкМ хлорида кадмия у мутанта SGECdt выявляется сниженное по сравнению с исходной линией количество некоторых компонентов антиоксидант ной защиты, таких как пероксидаза, хитиназа и пролин [7]. Однако данное исследование не затрагивало изменения экспрессии генов и проводились на сроках, когда у исходной линии наблюдалась уже значительная остановка развития. Таким образом, дискуссионным оставался вопрос об активации защитных механизмов у мутанта SGECdt и исходной линии SGE при действии кадмия на более ранних сроках, когда растение может активно сопротивляться фактору, вызывающему стресс. В настоящем исследовании был проведен сравнительный анализ изменения экспрессии генов, участвующих в защитных реакциях, вызванных кадмием, у мутанта SGECdt и исходной линии SGE. При анализе экспрессии генов была установлена разница в характере изменения экспрессии некоторых генов между мутантом и исходной линией как в контрольных условиях, так и при обработке растений хлоридом кадмия.
Одним из наиболее важных процессов клеточного метаболизма является поддержание окислительно-восстановительного баланса, нарушение которого наносит значительные повреждения ДНК и белкам. Показано, что компоненты системы нейтрализации активных форм кислорода играют значительную роль в устойчивости растений к кадмию. Показана связь повышенной экспрессии генов, кодирующих супероксиддисмутазу, каталазу, аскорбат пероксидазу, глутатионредуктазу, и повышенной устойчивости к кадмию у некоторых генотипов рапса [15]. Связь усиления экспрессии генов, кодирующих ферменты, инактивирующие активные формы кислорода, и повышенной аккумуляции кадмия была продемонстрирована при изучении транскриптомных профилей нескольких генотипов китайской капусты [16]. Сверхэкспрессия гена Cu/Zn-супероксиддисмутазы из гипераккумулятора кадмия Sedum alfredii в растениях арабидопсиса приводила к повышенной устойчивости к кадмию трансгенных растений [17]. Среди генов, относящихся к системе поддержания окислительно-восстановительного баланса у линии SGE, значительнее всего усиливалась экспрессия гена, кодирующего каталазу и глутатионредуктазу. В ответ на проникновение ионов кадмия у мутанта SGECdt выявлено усиление экспрессии гена глутатионредуктазы, связанной с процессами превращения окисленной формы глутатиона в восстановленную. Данный процесс является важным элементом поддержания окислительно-восстановительного баланса клетки.
Представители группы фенилпропаноидов играют ключевую роль в защите растений от биотического и абиотического стресса, в том числе благодаря их способности ингибировать образование активных форм кислорода [18, 19]. Показано, что у разных видов выявляется разнонаправленная реакция некоторых генов биосинтеза фенилпропаноидов на проникновение ионов кадмия. Так протеомный анализ показал, что кадмий не оказывает какого-либо влияния на компоненты фенилпропаноидного пути у Arabidopsis thaliana [20]. В тоже время синтез хальконсинтазы усиливается при действии кадмия в клетках Glycine max [21]. Экспрессия гена, кодирующего фенилаланин-аммоний-лиазу, усиливается при действии кадмия у Brassica juncea [22] и G. max [23]. При этом у люпина выявлено снижение экспрессии гена, кодирующего фенилаланин-аммоний-лиазу [23]. У гороха обнаружено два гена, кодирующих фенилаланин-аммоний-лиазу [24]. В настоящем исследовании было выявлено снижение экспрессии гена PAL2 в корнях мутанта гороха SGECdt и линии SGE. Вместе с тем уровень экспрессии гена PAL1 был снижен у мутанта SGECdt по сравнению с линией SGE. Ранее нами было показано, что обработка на более раннем сроке высокими концентрациями хлорида кадмия (30 мкМ) приводит к усилению экспрессии гена PAL2 в кончиках корнейу исходной линии SGE и снижению экспрессии данного гена у мутанта SGECdt [14].
Среди генов, связанных с реакцией на биотические стимулы (pathogen related), значительное усиление экспрессии у линии SGE было продемонстрировано для транскриптов, кодирующих белок PI206, белок PrP4A и хитиназу. Белок PI206 относится к группе dirigent proteins (от латинского dirigere — направлять, руководить), которые определяют структуру химических связей между мономерами [25, 26]. Данные белки необходимы при синтезе лигнина, образование которого усиливается при действии кадмия у некоторых видов растений [27]. Роль хитиназ, катализирующих деградацию хитина, и гевеинподобного антимикробного пептида PrP4A, также относящегося к группе хитиназ, в ответе растительной клетки на действие абиотических стрессоров еще окончательно не ясна. Предполагается, что усиление активности данных ферментов может носить вспомогательный характер для дополнительной защиты от патогенов в период стрессового ответа на абиотические факторы [28]. У мутанта SGECdt кадмий вызывал усиление экспрессии гена PI206, а также гена, кодирующего белок DRR230 (относящегося к растительным дефензинам), в побегах после суточной обработки растений кадмием. Дефензины, будучи большой группой антимикробных пептидов растений, принимают участие в основном в ответе на биотические стимулы, однако для небольшого числа дефензинов описано участие в процессах адаптации растений к абиотическим воздействиям, таким как холод [29–31], засоление [32, 33], действие металлов [34–37]. Стоит отметить, что в корнях контрольных растений уровень экспрессии генов, кодирующих глутатионредуктазу и белки PrP4A и DRR230 усилен у мутанта SGECdt по сравнению с таковым у линии SGE. Таким образом, в результате проведенных исследований показано, что при действии кадмия реакция мутанта SGECdt на молекулярном уровне отличается от таковой у исходной линии SGE. У мутанта SGECdt наблюдается изменение экспрессии ряда генов, что может свидетельствовать о том, что поступающий в клетку кадмий вызывает активацию защитных реакций. При этом в контрольных условиях было обнаружено усиление экспрессии ряда генов у мутанта по сравнению с исходной линией. Поскольку ген, в котором произошла мутация, еще не выявлен, можно лишь высказать предположение, что разница в экспрессии может быть опосредована мутацией в гене интереса. Наряду с этим возможно предположить, что усиление экспрессии генов, связанных с защитными реакциями, в контрольных условиях приводит к большей готовности мутанта SGECdt к токсическому действию кадмия по сравнению с линией SGE, что позволяет мутанту дольше поддерживать жизнедеятельность в среде, содержащей данный тяжелый металл. Стоит отметить, что в ходе исследования было выявлено влияние кадмия на изменение экспрессии двух генов, кодирующих антимикробные пептиды у растений. Как уже было сказано выше, вопрос о том какую именно функцию выполняют данные вещества при абиотическом стрессе, остается открытым, однако, поскольку данные пептиды являются цистеинбогатыми можно выдвинуть предположение о возможном связывании кадмия тиоловыми группами данных соединений. В недавнем исследовании, проведенном на рисе, был выявлен ген, кодирующий дефензинподобный белок CAL1, связанный с хелатированием кадмия в цитоплазме и переносе его во внеклеточное пространство [38].
Таким образом, изучив развитие защитных реакций на ранних сроках у двух линий гороха, контрастных по устойчивости к кадмию, следует отметить, что исследования механизмов устойчивости, несомненно, должны проводиться в широком диапазоне сроков, чтобы была возможность отследить развитие реакции на фактор, вызывающий стресс. Будущие исследования на уровне регуляторных молекул и конечных продуктов могут внести значительный вклад в изучение формирования устойчивости у мутанта SGECdt.
БЛАГОДАРНОСТИ
Работа по влиянию кадмия на изменение экспрессии генов была финансово поддержана Российским фондом фундаментальных исследований (грант № 16-34-60132 мол_а_дк), работа по анализу органоспецифичного характера экспрессии была выполнена за счет средств Государственного задания, пункт Х10.2. (№ 0664-2015-0020) за 2018 г.
Об авторах
Ольга Алексеевна Кулаева
ФГБНУ «Всероссийский научно-исследовательский институт сельскохозяйственной микробиологии»
Автор, ответственный за переписку.
Email: okulaeva@arriam.ru
ORCID iD: 0000-0003-2687-9693
канд. биол. наук, старший научный сотрудник, лаборатория генетики растительно-микробных взаимодействий
Россия, 196608, г. Санкт-Петербург, Пушкин 8, ш. Подбельского, д.3Эмма Сергеевна Грибченко
ФГБНУ «Всероссийский научно-исследовательский институт сельскохозяйственной микробиологии»
Email: gribemma@gmail.com
техник 1-й категории, лаборатория генетики растительно-микробных взаимодействий
Россия, 196608, г. Санкт-Петербург, Пушкин 8, ш. Подбельского, д.3Евгений Андреевич Зорин
ФГБНУ «Всероссийский научно-исследовательский институт сельскохозяйственной микробиологии»
Email: kjokkjok8@gmail.com
техник 1-й категории, лаборатория генетики растительно-микробных взаимодействий
Россия, 196608, г. Санкт-Петербург, Пушкин 8, ш. Подбельского, д.3Марина Сергеевна Клюкова
ФГБНУ «Всероссийский научно-исследовательский институт сельскохозяйственной микробиологии»
Email: marina.kliukova@gmail.com
инженер-исследователь, лаборатория генетики растительно-микробных взаимодействий
Россия, 196608, г. Санкт-Петербург, Пушкин 8, ш. Подбельского, д.3Владимир Александрович Жуков
ФГБНУ «Всероссийский научно-исследовательский институт сельскохозяйственной микробиологии»
Email: vzhukov@arriam.ru
канд. биол. наук, заведующий лабораторией, лаборатория генетики растительно-микробных взаимодействий
Россия, 196608, г. Санкт-Петербург, Пушкин 8, ш. Подбельского, д.3Список литературы
- Clemens S, Aarts MG, Thomine S, Verbruggen N. Plant science: the key to preventing slow cadmium poisoning. Trends Plant Sci. 2013;18(2):92-99. doi: 10.1016/j.tplants.2012.08.003.
- Romero‐Puertas M, Palma J, Gomez M, Río L, Sanda lio L. Cadmium causes the oxidative modification of proteins in pea plants. Plant Cell Environ. 2002;25(5):677-86. doi: 10.1046/j.1365-3040.2002.00850.x.
- Wahid A, Arshad M, Farooq M. Cadmium Phytotoxicity: Responses, Mechanisms and Mitigation Stra tegies: A Review. In: Organic Farming, Pest Control and Remediation Soil Pollutant. Ed. by E. Lichtfouse. Dordrecht: Springer Netherlands; 2010. P. 371-403. doi: 10.1007/978-1-4020-9654-9_17.
- Kulaeva O, Tsyganov V. Molecular-genetic basis of cadmium tolerance and accumulation in higher plants. Russian Journal of Genetics: Applied Research. 2011;1:349. doi: 10.1134/S2079059711050108.
- Cuypers A, Plusquin M, Remans T, et al. Cadmium stress: an oxidative challenge. Biometals Int J Role Met Ions Biol Biochem Med. 2010;23(5):927-940. doi: 10.1007/s10534-010-9329-x.
- Repetto O, Bestel‐Corre G, Dumas‐Gaudot E, et al. Targeted proteomics to identify cadmium-induced protein modifications in Glomus mosseae-inoculated pea roots. New Phytol. 2003;157(3):555-67. doi: 10.1046/j.1469-8137.2003.00682.x.
- Tsyganov V, Belimov A, Borisov A, et al. A chemically induced new pea (Pisum sativum) mutant SGECdt with increased tolerance to, and accumulation of, cadmium. Ann Bot. 2007;99(2):227-237. doi: 10.1093/aob/mcl261.
- Kulaeva O, Tsyganov B. Fine mapping of a cdt locus mutation that leads to an increase in the tolerance of pea (Pisum sativum L.) to cadmium. Russian Journal of Genetics: Applied Research. 2013;3(2):120-126. doi: 10.1134/S2079059713020020.
- Rodríguez-Serrano M, Romero-Puertas M, Zabalza A, et al. Cadmium effect on oxidative metabolism of pea (Pisum sativum L.) roots. Imaging of reactive oxygen species and nitric oxide accumulation in vivo. Plant Cell Environ. 2006;29(8):1532-1544. doi: 10.1111/j.1365-3040.2006.01531.x.
- Rivera-Becerril F, Metwally A, Martin-Laurent F, et al. Molecular Responses to Cadmium in Roots of Pisum sativum L. Water Air Soil Pollut. 2005;168(1-4):171-86. doi: 10.1007/s11270-005-1247-0.
- Rivera-Becerril F, van Tuinen D, Martin-Laurent F, et al. Molecular changes in Pisum sativum L. roots during arbuscular mycorrhiza buffering of cadmium stress. Mycorrhiza. 2005;16(1):51-60. doi: 10.1007/s00572-005-0016-7.
- Rodríguez-Serrano M, Romero-Puertas M, Pazmino D, et al. Cellular Response of Pea Plants to Cadmium Toxicity: Cross Talk between Reactive Oxygen Species, Nitric Oxide, and Calcium. Plant Physiol. 2009;150(1):229-243. doi: 10.1104/pp.108.131524.
- Kosterin O, Rozov S. Mapping of the new mutation blb and the problem of integrity of linkage group I. Pisum Genet. 1993;25:27-31.
- Кулаева О., Цыганов В., Тихонович И. Сравнительный анализ влияния кадмия на развитие и функционирование корневых систем у исходной линии гороха SGE и мутанта SGECdt, устойчивого к кадмию // Ботаника. Исследования. – 2010. – Т. 38. – С. 276–279. [Kulaeva O, Tsyganov V, Tikhonovich I. Sravnitel’nyy analiz vliyaniya kadmiya na razvitie i funktsionirovanie kornevykh sistem u iskhodnoy linii gorokha SGE i mutanta SGECdt, ustoychivogo k kadmiyu. Botanika Issledovaniya. 2010;38:276-279. (In Russ.)]
- Wu Z, Zhao X, Sun X, et al. Antioxidant enzyme systems and the ascorbate-glutathione cycle as contributing factors to cadmium accumulation and tolerance in two oilseed rape cultivars (Brassica napus L.) under moderate cadmium stress. Chemosphere. 2015;138:526-536. doi: 10.1016/j.chemosphere.2015.06.080.
- Yu R, Li D, Du X, et al. Comparative transcriptome analysis reveals key cadmium transport-related genes in roots of two pak choi (Brassica rapa L. ssp. chinensis) cultivars. BMC Genomics. 2017;18:587. doi: 10.1186/s12864-017-3973-2.
- Li Z, Han X, Song X, et al. Overexpressing the Sedum alfredii Cu/Zn Superoxide Dismutase Increased Resistance to Oxidative Stress in Transgenic Arabidopsis. Front Plant Sci. 2017;8:1010. doi: 10.3389/fpls.2017.01010.
- Dixon R, Paiva N. Stress-Induced Phenylpropanoid Metabolism. Plant Cell 1995;7(7):1085-1097. doi: 10.1105/tpc.7.7.1085.
- Commisso M, Toffali K, Strazzer P, et al. Impact of Phenylpropanoid Compounds on Heat Stress Tolerance in Carrot Cell Cultures. Front Plant Sci. 2016;7:1439. doi: 10.3389/fpls.2016.01439.
- Roth U, von Roepenack-Lahaye E, Clemens S. Proteome changes in Arabidopsis thaliana roots upon exposure to Cd2+. J Exp Bot. 2006;57(15):4003-4013. doi: 10.1093/jxb/erl170.
- Sobkowiak R, Deckert J. Proteins induced by cadmium in soybean cells. J Plant Physiol. 2006;163(11):1203-6. doi: 10.1016/j.jplph.2005.08.017.
- Fusco N, Micheletto L, Dal Corso G, et al. Identification of cadmium-regulated genes by cDNA-AFLP in the heavy metal accumulator Brassica juncea L. J Exp Bot. 2005;56(421):3017-3027. doi: 10.1093/jxb/eri299.
- Pawlak-Sprada S, Arasimowicz-Jelonek M, Podgorska M, Deckert J. Activation of phenylpropanoid pathway in legume plants exposed to heavy metals. Part I. Effects of cadmium and lead on phenylalanine ammonia-lyase gene expression, enzyme activity and lignin content. Acta Biochim Pol. 2011;58(2):211-216.
- Yamada T, Tanaka Y, Sriprasertsak P, et al. Phenylalanine Ammonia-Lyase Genes from Pisum sativum: Structure, Organ-Specific Expression and Regulation by Fungal Elicitor and Suppressor. Plant Cell Physiol. 1992;33(6):715-725. doi: 10.1093/oxfordjournals.pcp.a078310.
- Davin LB, Lewis NG. Dirigent proteins and dirigent sites explain the mystery of specificity of radical precursor coupling in lignan and lignin biosynthesis. Plant Physiol. 2000;123(2):453-462. doi: 10.1104/pp.123.2.453.
- Burlat V, Kwon M, Davin LB, Lewis NG. Dirigent proteins and dirigent sites in lignifying tissues. Phytochemistry. 2001;57(6):883-897. doi: 10.1016/S0031-9422(01)00117-0.
- Moura J, Bonine C, Viana J, et al. Abiotic and Biotic Stresses and Changes in the Lignin Content and Composition in Plants. J Integr Plant Biol. 2010;52(4):360-376. doi: 10.1111/j.1744-7909.2010.00892.x.
- Cruz‐Ortega R, Ownby J. A protein similar to PR (pathogenesis-related) proteins is elicited by metal toxicity in wheat roots. Physiol Plant. 1993;89(1):211-219. doi: 10.1111/j.1399-3054.1993. tb01808.x.
- Gaudet D, Laroche A, Frick M, et al. Cold induced expression of plant defensin and lipid transfer protein transcripts in winter wheat. Physiol Plant. 2003;117(2):195-205. doi: 10.1034/j.1399-3054.2003.00041.x.
- Koike M, Okamoto T, Tsuda S, Imai R. A novel plant defensin-like gene of winter wheat is specifically induced during cold acclimation. Biochem Biophys Res Commun. 2002;298(1):46-53. doi: 10.1016/S0006-291X(02)02391-4.
- Ahmed N, Park J, Jung H, et al. Identification and characterization of stress resistance related genes of Brassica rapa. Biotechnol Lett. 2012;34(5):979-987. doi: 10.1007/s10529-012-0860-4.
- Sui J, Jiang D, Zhang D, et al. The Salinity Responsive Mechanism of a Hydroxyproline-Tolerant Mutant of Peanut Based on Digital Gene Expression Profiling Analysis. PloS One. 2016;11(9): e0162556. doi: 10.1371/journal.pone.0162556.
- Nishiyama R, Le D, Watanabe Y, et al. Transcriptome analyses of a salt-tolerant cytokinin-deficient mutant reveal differential regulation of salt stress response by cytokinin deficiency. PLoS One. 2012;7(2):e32124. doi: 10.1371/journal.pone.0032124.
- Mirouze M, Sels J, Richard O, et al. A putative novel role for plant defensins: a defensin from the zinc hyper-accumulating plant, Arabidopsis halleri, confers zinc tolerance. Plant J. 2006;47(3):329-342. doi: 10.1111/j.1365-313X.2006.02788.x.
- Cabot C, Gallego B, Martos S, et al. Signal cross talk in Arabidopsis exposed to cadmium, silicon, and Botrytis cinerea. Planta. 2013;237(1):337-349. doi: 10.1007/s00425-012-1779-7.
- Mith O, Benhamdi A, Castillo T, et al. The antifungal plant defensin AhPDF1. 1b is a beneficial factor involved in adaptive response to zinc overload when it is expressed in yeast cells. Microbiologyopen. 2015;4(3):409-422. doi: 10.1002/mbo3.248.
- Nguyen N, Ranwez V, Vile D, et al. Evolutionary tinkering of the expression of PDF1s suggests their joint effect on zinc tolerance and the response to pathogen attack. Front Plant Sci. 2014;5:70. doi: 10.3389/fpls.2014.00070.
- Luo J, Huang J, Zeng D, et al. A defensin-like protein drives cadmium efflux and allocation in rice. Nat Commun. 2018;9:645. doi: 10.1038/s41467-018-03088-0.
Дополнительные файлы








