Оценка генотоксического действия коммерческого образца тартразина с применением системы метаболической активации в культуре лимфоцитов человека в условиях цитокинетического блока
- Авторы: Никитина Т.А.1, Коняшкина М.А.1, Ингель Ф.И.1, Ахальцева Л.В.1
-
Учреждения:
- Центр стратегического планирования и управления медико-биологическими рисками здоровью
- Выпуск: Том 21, № 1 (2023)
- Страницы: 41-51
- Раздел: Генетическая токсикология
- Статья получена: 13.12.2022
- Статья одобрена: 09.03.2023
- Статья опубликована: 12.05.2023
- URL: https://journals.eco-vector.com/ecolgenet/article/view/117502
- DOI: https://doi.org/10.17816/ecogen117502
- ID: 117502
Цитировать
Полный текст
Аннотация
Расширение спектра применения пищевых добавок и, в частности, пищевых красителей, повышает риск увеличения экспозиции человека к генотоксикантам, поскольку в реальной жизни в контакте с человеком находятся не чистые вещества с доказанной генетической безопасностью, а сложные смеси неизвестного состава, даже незначительные примеси в которых могут стать дополнительным источником либо модификатором эффектов нестабильности генома. Особую тревогу в этом аспекте вызывают синтетические пищевые красители азо- и диазосоединения, которые могут быть трансформированы микрофлорой кишечника человека с образованием генотоксикантов.
Цель работы — оценка генотоксических эффектов 0–2 мг/мл пищевого красителя «Тартразин» (Е102), приобретенного в розничной сети, в микроядерном тесте на клетках крови человека, культивированных в условиях цитокинетического блока параллельно в присутствии системы метаболической активации S9 гепатоцитов крыс и без нее.
Генотоксические эффекты обнаружены в культурах без метаболической активации при действии 0,0000256–0,00064 мг/мл и 0,4 мг/мл тартразина, а в присутствии S9 — при 0,0000256, 0,000128 мг/мл и 0,16 мг/мл тартразина. Впервые выявлена дозозависимая супрессия митотической и пролиферативной активности лимфоцитов, а также дозозависимая U-образная кривая изменения частоты апоптоза. Полученные данные свидетельствуют о генотоксической активности изученного образца. Обсуждается необходимость системы оценки генотоксичности реальных смесей пищевых красителей, приобретенных в торговой сети.
Полный текст
ВВЕДЕНИЕ
В настоящее время активное использование пищевых красителей (ПК) при производстве продуктов питания — актуальная и обсуждаемая во всем мире проблема. Использование синтетических ПК, в разное время разрешенных к применению, не снимает с повестки дня вопрос об их генетической безопасности. В мире, как и в Российской Федерации (РФ), такие исследования проводятся с 60-х годов прошлого века на разных тест-объектах, тем не менее до сих пор нет единой системы оценки потенциального генотоксического эффекта реально используемых красителей.
Собственный анализ более 300 публикаций, имеющихся в открытом доступе, и 7 международных баз данных продемонстрировал наличие для всех синтетических ПК, разрешенных к применению в РФ и в мире, как положительных, так и отрицательных результатов оценки генотоксических эффектов в большинстве из использованных стандартных тест-систем [1]. Среди всех типов ПК особое внимание привлекает группа азокрасителей как наиболее широко используемых. Так, например, Красный очаровательный Е129, Тартразин Е102 и Желтый солнечный закат Е110 в США составляют до 90 % потребления всех ПК [2].
В исследованиях генотоксичности тартразина на культуре лимфоцитов человека эффект был выявлен в диапазоне концентраций 0,001–2,5 мг/мл [3–6], но отсутствовал в концентрациях 0,0036–1,44 мг/мл [7]. Кроме этого, имеется разрозненная информация о цитотоксичности тартразина в культуре лимфоцитов человека — его супрессии митотической активности лимфоцитов, а также снижении их выживаемости в культуре, определенной по окраске трипановым синим и фиколл-тесту [3, 4, 6–8].
Противоречивые данные о генотоксической активности тартразина поднимают вопрос о безопасности применения Е102 в качестве ПК.
В связи с этим цель настоящей работы состоит в анализе генотоксических эффектов синтетического ПК тартразина (Е102), разрешенного к применению в РФ и приобретенного в розничной сети (поскольку к реальному потребителю попадают сложные смеси неизвестного состава, а качественные различия в описанных генотоксических эффектах могут быть связаны с наличием примесей). Инструментом для достижения этой цели выбрана первичная культура цельной крови человека ex vivo [10–14], в которой клетки культивированы в условиях цитокинетического блока параллельно в присутствии системы метаболической активации S9 гепатоцитов крыс и без нее.
МАТЕРИАЛЫ И МЕТОДЫ
Образец тартразина, использованый в работе, произведен на заводе Roha Dyechem PVT. LTD (Индия) в 2019 г. со сроком годности до 2024 г. Краситель соответствует Техническому регламенту Евразийского экономического союза (табл. 1) — анализ произведен в заводской лаборатории по заказу дистрибьютера — ООО «Роха Дайкем».
Таблица 1. Сертификат анализа о соответствии красителя Техническому регламенту Евразийского экономического союза
Table 1. Certificate of analysis on the compliance of the dye with the Technical Regulations of the Eurasian Economic Union
Компонент продукта | Тартразин Е102, серия 1007284496-100728554 |
Содержание красящих веществ, % | 88,370 |
Вещества, не растворимые в воде, % | 0,048 |
Вспомогательные красящие вещества, % | <1,00 |
Экстрагируемые эфиром вещества, % | <0,200 |
Органические компоненты, исключая окрашивающие вещества, %: · 4-гидразинобензол сульфоновая кислота; · 4-аминобензол-1-сульфоновая кислота; · 5-окси-1-(4-сульфофенил)-2-пиразолин-3-карбоновая кислота; · 4,4'-диазоаминоди(бензольная сульфоновая кислота); · тетрагидроксисукциновая кислота | <0,500 |
Несульфированные основные ароматические амины (в расчетах анилин), % | <0,010 |
Свинец (Pb), мг/кг | <2,00 |
Мышьяк (As), мг/кг | <1,00 |
Ртуть (Hg), мг/кг | <1,00 |
Кадмий (Cd), мг/кг | <1,00 |
Генотоксическую активность тартразина изучали в культуре лимфоцитов человека в концентрациях 0–2 мг/мл с использованием системы метаболической активации S9 гепатоцитов крыс и без нее. При выборе диапазона концентраций тартразина руководствовались диапазоном доз для нетоксичных веществ в токсикологических экспериментах на животных [14].
Постановка эксперимента
Венозную кровь здорового молодого некурящего донора отбирали в специализированной клинике после подписания информированного согласия на участие в работе. 400 мкл цельной крови культивировали в 3,6 мл среды F10, содержавшей 20 % инактивированной сыворотки крови крупного рогатого скота и 7,5 мкл/мл фитогемагглютинина (ПанЭко, РФ) при 37 °C в течение 72 ч. На 24-м часу в культуры вводили водные растворы тартразина, доводя общий объем культуры стерильной дистиллированной водой. Цитохалазин В (ПанЭко, РФ) до конечной концентрации 6 мкг/мл вводили в культуру на 44-м часу. В параллельные для каждой концентрации культуры на 48-м часу эксперимента вводили 200 мкл фракции S9 печени крыс Wistar с коферментами [15]. Через 3 ч инкубации при 37 °C клетки дважды стерильно отмывали от S9 средой F10, которую после этого заменяли на свежую, содержащую тартразин, фитогемагглютинин (ФГА), цитохалазин В, и культивирование при 37 °C продолжали еще 21 ч.
В качестве контроля использовали дистиллированную воду.
Клетки фиксировали с использованием предварительной гипотонии [12], раскапывали на замороженные предметные стекла, высушивали на воздухе и окрашивали азур-эозином по Романовскому.
Цитомный анализ шифрованных препаратов проводили с использованием расширенного протокола регистрируемых показателей [16]. На каждом стекле при подсчете 500 клеток определяли спектр клеточных популяций ядерных клеток, а также митотическую активность и частоту клеток в состоянии апоптоза. В протоколе отмечали количество клеток с 1–4 ядрами и более, а также клетки с микроядрами, нуклеоплазменными мостами (НПМ) и ядерными протрузиями в них. Частоту двухъядерных клеток с микроядрами и другими повреждениями оценивали при подсчете 1000 клеток.
Для анализа выбирали только те поля зрения, на которых все клетки лежали отдельно, учитывая только клетки с четкой цитоплазмой, причем такие, в которых можно было подсчитать количество ядер и определить другие ядерные аномалии. Поля зрения, не соответствующие этим критериям, пропускали [12].
Статистический анализ результатов проводили в стандартном пакете программ Statistica 10.2 (Statsoft). Для сравнения эффектов с контролем и для парных сравнений использовали критерий χ2, а для сравнения эффектов культивирования в присутствии S9 и без нее применяли непараметрический критерий Манна – Уитни. Значимыми считали различия при р ≤ 0,05.
РЕЗУЛЬТАТЫ
Уровни генотоксических эффектов цитогенетических показателей в культуре лимфоцитов человека приведены в табл. 2.
Таблица 2. Эффекты нестабильности генома в первичных культурах клеток цельной крови человека при воздействии тартразина без и в присутствии фракции S9 гепатоцитов крыс
Table 2. Effects of genome instability in primary human whole blood cell cultures, exposed to tartrazine under conditions without and in the presence of the S9 fraction of rat hepatocytes
Концентрация, мг/мл | Цитогенетические показатели, % | ||||||||||||||
1-ядерные клетки | 2-ядерные клетки | 3-ядерные клетки | 4-ядерные клетки | полиядерные клетки | |||||||||||
МЯ | ядерн. протр. | внутренний НПМ | МЯ | ядерн протр. | НПМ | МЯ | ядерн. протр. | НПМ | МЯ | ядерн. протр. | НПМ | МЯ | ядерн. протр. | НПМ | |
Тартразин без применения S9 | |||||||||||||||
0 | 0,4 | 0,81 | 0,4 | 0,6 | 0,5 | 0,3 | 19,23 | 0 | 15,38 | 17,95 | 2,56 | 43,59 | 42,86 | 0 | 71,43 |
0,0000256 | 0,83 | 0,1 | 0,41 | 2* | 2,4* | 1 | 9,38 | 12,50 | 18,75 | 33,33 | 4,17 | 20,83 | 25 | 25 | 25 |
0,000128 | 0,4 | 0 | 0 | 1,4 | 0,3 | 1 | 9,68 | 0 | 12,90 | 11,11 | 3,70 | 18,52 | 11,11 | 0 | 11,11 |
0,00064 | 0,35 | 0 | 0 | 2* | 0,5 | 1,8* | 100* | 12 | 24 | 11,43 | 2,86 | 22,86 | 22,22 | 0 | 11,11 |
0,0032 | 0,39 | 0 | 0 | 0,3 | 0,3 | 0,2 | 5,56 | 0 | 0 | 23,53 | 11,76 | 35,29 | 8,33 | 8,33 | 83,33 |
0,016 | 2,2 | 0,36 | 0 | 0,6 | 0,8 | 0,4 | 8,82 | 11,76 | 2,94 | 23,26 | 4,65 | 20,93 | 7,69 | 13,79 | 15,38 |
0,08 | 1,4 | 0,47 | 0 | 0,7 | 0,2 | 0 | 2,27 | 6,82 | 4,55 | 1,89 | 5,66 | 3,77 | 10,34 | 10,34 | 13,79 |
0,4 | 0 | 0 | 0,69 | 1,3 | 3* | 0,6 | 17,39 | 26,09* | 4,35 | 7,89 | 15,79* | 2,63 | 0 | 0 | 0 |
2 | 0,74 | 0 | 0 | 1,3 | 0,6 | 0,4 | 0 | 0 | 6,25 | 6,67 | 0 | 3,33 | 0 | 0 | 0 |
Тартразин с применением S9 | |||||||||||||||
0 | 0,28 | 1,4 | 0 | 0,8 | 0,6 | 0,9 | 0 | 0 | 0 | 0 | 0 | 0 | 0,00 | 0 | 0 |
0,0000256 | 1,59 | 1,59 | 0 | 5,2* | 3,4* | 2,5* | 40 | 0 | 20 | 0 | 0 | 0 | 0,00 | 0 | 0 |
0,000128 | 1,11 | 1,77 | 0,22 | 4,4* | 2,9* | 1,1 | 0 | 0 | 20 | 0 | 0 | 0 | 0,00 | 0 | 0 |
0,00064 | 1,14 | 1,14 | 0 | 0,4 | 0,7 | 0,3 | 1,89 | 3,77 | 3,77 | 1,79 | 10,71 | 5,36 | 11,11 | 0 | 0 |
0,0032 | 1,33 | 0,27 | 0 | 0,4 | 0,1 | 0,1 | 11,11 | 11,11 | 11,11 | 20 | 13,33 | 20 | 28,57 | 0 | 14,29 |
0,016 | 0,46 | 0,46 | 0,23 | 7,2* | 3,2* | 1,4 | 14,29 | 0 | 14,29 | 50 | 0 | 50 | 0,00 | 0 | 0 |
0,08 | 0,55 | 0 | 0 | 0,5 | 0,7 | 0,3 | 16,67 | 16,67 | 50 | 22,22 | 11,11 | 44,44 | 100* | 0 | 0 |
*Различия с собственным контролем значимы при р ≤ 0,5. Примечание. МЯ — микроядра; НПМ — нуклеоплазменный мост; ядерн. протр. — ядерные протрузии.
Как видно в табл. 2, в вариантах без метаболической активации возрастала доля двухъядерных клеток с микроядрами при экспозиции к 0,0000256 и 0,00064 мг/мл тартразина. При действии тартразина в концентрациях 0,0000256 и 0,4 мг/мл наблюдали повышение частоты двухъядерных клеток с ядерными протрузиями. При действии 0,00064 мг/мл отмечено значимое повышение над контролем частот двуядерных клеток с НПМ и трехъядерных клеток с микроядрами.
Кроме того, в культурах без дополнительной метаболической активации, экспонированных к 0,4 мг/мл тартразина, значимо по сравнению с контролем возрастала доля ускоренно делящихся (клеток второго и последующих митозов: трехъядерных, четырехъядерных и полиядерных) клеток с протрузиями, а при экспозиции к 0,08 мг/мл — доля полиядерных клеток с микроядрами.
В параллельных культурах, содержащих S9, частота двухъядерных клеток с микроядрами значимо увеличивалась по сравнению со своим контролем при действии тартразина в концентрациях 0,0000256, 0,000128 мг/мл и 0,16 мг/мл. При этом доля клеток с ядерными протрузиями по сравнению с контролем для этой серии эксперимента возрастала на тех же концентрациях. Интересно, что при экспозиции культуры к самой низкой из использованных концентрации тартразина (0,0000256 мг/мл) значимо увеличивалась над контролем частота двухъядерных клеток с НПМ. В то же время в ускоренно делящихся клетках изменения уровней повреждений относительно контроля не выявлены.
При сравнении цитогенетических эффектов по всем концентрациям тартразина в присутствии S9 и без нее (сравнение проводили по 6 концентрациям, так как на двух высоких концентрациях при добавлении S9 наблюдалась массовая гибель клеток) не выявлено достоверных различий между частотами двухъядерных клеток с микроядрами, НПМ и ядерными протрузиями, а также двухъядерных и делящихся клеток со всеми повреждениями (рис. 1), что предполагает генотоксическое действие изученного образца тартразина и/или его метаболитов.
Рис. 1. Суммарный цитогенетический эффект тартразина без и в присутствии S9. *Различия с собственным контролем значимы (χ2, р < 0,5)
Fig. 1. Total cytogenetic effect of tartrazine without and in the presence of S9. *Differences with own control are significant (χ2, р < 0,5) Частота клеток с генетическими повреждениями, %
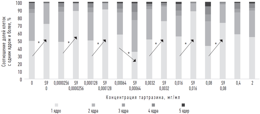
Цитомный анализ предоставляет возможность учета влияния изучаемого соединения на процессы пролиферации клеток в культуре. При экспозиции к высоким концентрациям тартразина (0,00064, 0,016, 0,08 и 0,4 мг/мл) наблюдали статистически значимое снижение доли двухъядерных клеток (1-й митоз) в спектре клеточных популяций по сравнению с собственным контролем, свидетельствующее о подавлении пролиферативной активности (рис. 2). Кроме того, достоверно снижалась доля четырехъядерных клеток при действии тартразина в концентрации 0,0032 мг/мл. Частоты трехъядерных (индикатор анеуплоидии) и полиядерных (среди них клетки с нечетным числом ядер — анеуплоидные) клеток значимо увеличивались при действии 0,08 мг/мл тартразина.
Рис. 2. Спектр клеточных популяций в культурах крови человека, экспонированных к тартразину без и в присутствии микросомальной фракции S9. *Различия между способами культивирования значимы по критерию χ2
Fig. 2. Spectrum of cell populations in human blood cultures exposed to tartrazine without and in the presence of microsomal fraction S9. *Differences between cultivation methods are significant, the χ2 criterion
В культурах, содержащих S9, выявлено снижение пролиферативной активности клеток по сравнению с действием только тартразина и собственным контролем в концентрациях 0,0000256, 0,000128 и 0,0032, 0,016 мг/мл. Дозовые кривые значимо различались как по доле двухъядерных (р ≤ 0,03), трехъядерных (р ≤ 0,03), четырехъядерных (р ≤ 0,03) и полиядерных (р ≤ 0,01), так и всех делящихся клеток (р ≤ 0,03).
В культурах, содержащих S9, митотическая активность была ниже (рис. 3), чем в культурах без активации (р ≤ 0,04), что сопровождалось подавлением второго и последующих митозов. Это видно по снижению доли трехъядерных клеток и более в спектре клеточных популяций (рис. 2) и, вероятнее всего, связано с активностью S9.
Рис. 3. Митотическая активность лимфоцитов в культурах крови человека при воздействии тартразина в присутствии S9 и без нее
Fig. 3. Mitotic activity of cells in human blood cultures, exposed to tartrazine in the presence and without of S9
ОБСУЖДЕНИЕ ПОЛУЧЕННЫХ РЕЗУЛЬТАТОВ
Изучению генотоксической активности Е102 на культуре клеток крови человека посвящено очень мало публикаций и практически все они процитированы в данной работе. Их анализ, прежде всего, показал, что в экспериментах in vivo исследования велись, преимущественно, в диапазоне высоких концентраций, сопоставимых с предельными уровнями воздействия [1]. Так, Z. Sekeroglu с соавт. [4] показали, что тартразин в концентрации 2,5 мг/мл повышал частоту двухъядерных клеток с микроядрами, а в концентрации 1,5 и 2,5 мг/мл — частоту хромосомных аберраций. A. Haveric и соавт. [5] в том же тесте наблюдали достоверное увеличение частоты клеток с НПМ при действии 5 и 10 ммоль тартразина (что соответствует 0,9 и 1,8 мг/мл). В работе V.S. Zhurkov и соавт. [17] частота аберраций хромосом в культуре лимфоцитов человека при экспозиции к 0,001–1 мг/мл тартразина показывала динамику и уровни эффекта, близкие к результатам нашей работы.
P. Mpountoukas и соавт. [7] эффекты тартразина в концентрациях 0,0036–1,44 мг/мл оценивали по частоте сестринских хроматидных обменов в культуре лимфоцитов человека — генотоксический эффект выявлен не был, но в концентрациях 0,7 и 1,44 мг/мл обнаружено статистически значимое снижение митотической активности. В двух других исследованиях, проводимых с использованием микросомальной фракции S9 печени крыс и человека и без них, тоже наблюдали снижение митотической активности под действием тартразина в концентрации 2,5 мг/мл, но только в отсутствие S9 [4, 8].
Таким образом, в доступной литературе удалось найти описание всего двух типов эффектов, представленных: а) кластогенными и, возможно, анеугенными механизмами возникновения повреждений ДНК, индуцированных тартразином in vitro, которые наблюдали, в основном, при экспозиции к высоким концентрациям; б) снижением митотической активности в культурах без дополнительной метаболической активации.
Результаты настоящего исследования качественно согласуются с данными, полученными ранее. Однако в отличие от исследования V.S. Zhurkov и соавт. [17] в нашей работе эффекты выявлены в концентрациях, значительно более низких, чем эффективные в других исследованиях, демонстрируя высокий генотоксический потенциал тартразина (или примесей, присутствующих в ПК, приобретенном в торговой сети). В присутствии S9 значимое превышение уровня собственного контроля в нашей работе выявлено в тех же концентрациях, в которых эти эффекты проявлялись без S9, но частота двухъядерных клеток с микроядрами — международного признанного маркера генотоксических эффектов — в присутствии S9 была достоверно выше, чем в культурах без S9 (результат получен путем парных сравнений). Этот феномен можно расценивать двояко:
- как доказательство того, что при метаболической активации тартразина и/или примесей, содержащихся в изученном образце, возникают новые генотоксические соединения, причем описанные различия проявились только в диапазоне низких концентраций, что позволяет предположить возможность истощения метаболизирующего потенциала S9 при контакте с высокими концентрациями тартразина и/или его примесей. Феномен истощения активности S9 может иметь значение для обоснования концентраций и условий экспозиции в экспериментах in vitro;
- снижение частоты двухъядерных клеток с микроядрами при действии высоких концентраций тартразина может быть связано с другими феноменами, в частности, с активацией апоптоза на высоких уровнях воздействия, либо с токсическими эффектами.
Важную информацию о генотоксической активности вещества дает анализ митотической и пролиферативной активности клеток в культуре. Использованный в нашей работе расширенный протокол цитомного анализа позволяет определять сдвиги в спектре клеточных популяций с учетом числа клеточных циклов, пройденных в культуре за время экспозиции к цитохалазину В [12], а также частоты клеток в состоянии митоза и апоптоза. Так, в цитируемых публикациях показано дозозависимое снижение митотической активности, а в нашей работе подобный эффект обнаружен не был ни в культурах, содержащих S9, ни в культурах без нее (рис. 3).
Анализ спектра клеточных популяций в культуре экспониррованной к тартразину показал задержку 2-го митоза и более поздних на отдельных концентрациях как без, так и в присутствии S9 (снижение доли трехъ-, четырехъ- и полиядерных клеток). Кроме того, в присутствии S9 мы наблюдали четко выраженный феномен задержки 1-го митоза (более значительное уменьшение доли двухъядерных и увеличение доли одноядерных клеток, чем в культурах без активации) (рис. 1). Эти эффекты торможения пролиферации оказывают существенное влияние на возможность обнаружения генетических повреждений практически во всех цитогенетических методах, основанных на учете последствий повреждения ДНК в делящихся клетках.
В работе Y. Abd-Elhakim с соавт. [18] показано увеличение биохимических маркеров апоптоза, а также обнаружены гистологические изменения в печени и почках крыс, получавших 75 мг/кг (10-кратно превышенную допустимую суточную дозу) тартразина в течении 90 дней. В работе B. Raposa и соавт. [19] показано влияние тартразина в дозах 0,092–0,92 мг/мл на увеличение транскрипционных факторов и протеинкиназ в печени мышей, связанных с пролиферацией и апоптозом. В нашем исследовании в культурах без S9 наблюдалось U-образное изменение частоты клеток в состоянии апоптоза: высокий уровень на самой низкой исследуемой концентрации 0,0000256 мг/мл, достоверное уменьшение при экспозиции к тартразину в концентрациях ниже 0,08 мг/мл и увеличение доли таких клеток на максимальных концентрациях ПК. При этом в культурах с S9 наблюдалось отчетливое линейное снижение частоты апоптотических клеток в спектре клеточных популяций (рис. 4). Мы полагаем, что отличия собственных данных от обнаруженных в цитированных работах могут быть обусловлены (кроме наличия примесей в изученном образце ПК) разницей в концентрациях тартразина, использованных в исследованиях: высокими и очень высокими уровнями воздействия в публикациях [18, 19] и широким диапазоном доз, начиная с 0,0000256 мг/мл (приблизительно одна трехсотая допустимой суточной дозы), в нашей работе.
Рис. 4. Изменение уровня апоптоза под действием тартразина в присутствии S9 и без нее
Fig. 4. Changes in the level of apoptosis under the action of tartrazine in the presence of S9 and without it
Известно, что ингибирование апоптоза ведет к накоплению генетических повреждений, усиливая вероятность канцерогенеза. Потенциальную канцерогенность тартразина предположили B.M. Soares и соавт. [3], в эксперименте показав сохранение уровня генотоксических повреждений после окончания процессов репарации при экспозиции к 0,045 и 2,9 мг/мл тартразина. Еще в одном исследовании показан синергический эффект тартразина при совместном действии с канцерогеном диметилбензантраценом у крыс в дозах 0,005–0,2 мг/мл, оцениваемый морфологически по снижению уровня антиоксидантных ферментов и по уровню биомаркеров aльфа-фетопротеина и ракового антигена СА15-3 [20].
ЗАКЛЮЧЕНИЕ
В нашей работе изучено генотоксическое действие ПК тартразин (Е 102) 88,37 % чистоты (по спецификации), приобретенного в розничной сети.
Результаты исследования выявили генотоксические эффекты на самых малых из исследуемых до настоящего времени концентрациях от 0,0000256 до 0,00064 мг/мл (частоты двухъядерных клеток с микроядрами, нуклеоплазменными мостами и ядерными протрузиями), которые можно отнести как к действию самого тартразина и/или его метаболитов, полученных при действии системы метаболической активации S9, так и примесей, содержащихся в изученном образце, и их метаболитов.
Важно понимать, что цель настоящей работы состояла в оценке генетической безопасности именно реальной смеси неизвестного состава, присутствующего на рынке под общим названием «Пищевой краситель Тартразин», а не чистого вещества азокрасителя тартразина per se (вещества с чистотой 99,9 % — такие данные в литературе имеются). Поэтому настоящее исследование, подтвердившее и дополнившее ранее опубликованные результаты других исследований, свидетельствует не только о повышенном канцерогенном риске изученного коммерческого образца тартразина in vitro. Мы полагаем, что поскольку изученный образец тартразина был куплен в выбранном случайным образом месте продажи розничной сети, вероятность контакта конкретно этой смеси с человеком достаточно велика и определяется объемом поставки ПК в РФ (собственного производства ПК в стране нет). Поскольку в реальной жизни в контакт с человеком вступают именно сложные смеси ПК, не прошедшие стандартизованную оценку генетической безопасности вещества высокой степени чистоты (к сожалению, в настоящее время на законодательном уровне такая система в РФ пока не существует), проведенное исследование актуализирует разработку системы оценки генетической безопасности именно тех реальных смесей (существенно отличающихся по химическому составу от чистых веществ — см., например, табл. 1), которые имеются на рынке, а значит используются при приготовлении пищи не только различными пищевыми комбинатами, но и в домашних условиях.
Мы полагаем, что будущая система оценки генетической безопасности пищевых добавок должна строится по правилам изучения сложной неидентифицированной смеси как единого соединения, как это принято в токсикологических исследованиях, и использовать стандартный, определенный международными рекомендациями, набор тестов.
ДОПОЛНИТЕЛЬНАЯ ИНФОРМАЦИЯ
Благодарности. За внимательный разбор статьи и ценные замечания коллектив авторов благодарит рецензентов журнала и кандидата медицинских наук ведущего научного сотрудника отдела профилактической токсикологии и медико-биологических исследований ФГБУ «ЦСП» ФМБА России В.В. Юрченко.
Вклад авторов. Все авторы внесли существенный вклад в разработку концепции, проведение исследования и подготовку статьи, прочли и одобрили финальную версию перед публикацией. Вклад каждого автора: Т.А. Никитина — проведение исследования, обработка данных, анализ полученных результатов, написание данных; М.А. Коняшкина — проведение исследования, обзор литературы, обработка результатов, анализ полученных данных, написание текста; Ф.И. Ингель — проведение исследования, концепция и дизайн исследования, написание текста, утверждение окончательного варианта статьи; Л.В. Ахальцева — подготовка и редактирование текста, утверждение окончательного варианта статьи.
Источник финансирования. Авторы заявляют об отсутствии внешнего финансирования при проведении исследования.
Конфликт интересов. Авторы декларируют отсутствие явных и потенциальных конфликтов интересов, связанных с публикацией настоящей статьи.
ADDITIONAL INFORMATION
Acknowledgments. For the careful analysis of the article and valuable comments, the team of authors thanks the reviewers of the journal and the candidate of Medical Sciences, the leading researcher of the Department of Preventive Toxicology and Biomedical Research of the Centre for Strategic Planning and Management of Biomedical Health Risks of the Federal Medical Biological Agency of Russia V.V. Yurchenko.
Author contribution. Thereby, all authors made a substantial contribution to the conception of the study, acquisition, analysis, interpretation of data for the work, drafting and revising the article, final approval of the version to be published and agree to be accountable for all aspects of the study. Contribution of each author: T.A. Nikitina — conducting research, data processing, analysis of the results obtained, writing data; M.A. Konyashkina — conducting research, literature review, processing results, analysis of the data obtained, writing text; F.I. Ingel — conducting research, concept and design of research, writing text, approval of the final version of the article; L.V. Akhaltseva — preparation and editing of the text, approval of the final version of the article.
Funding source. This study was not supported by any external sources of funding.
Competing interests. The authors declare that they have no competing interests.
Об авторах
Татьяна Александровна Никитина
Центр стратегического планирования и управления медико-биологическими рисками здоровью
Автор, ответственный за переписку.
Email: TNikitina@cspmz.ru
ORCID iD: 0000-0003-0866-5990
SPIN-код: 9106-5076
биолог, отдел профилактической токсикологии и медико-биологических исследований
Россия, МоскваМария Александровна Коняшкина
Центр стратегического планирования и управления медико-биологическими рисками здоровью
Email: MKonyashkina@cspmz.ru
ORCID iD: 0000-0002-8319-1329
SPIN-код: 7559-9045
Scopus Author ID: 8142882800
канд. биол. наук, научн. сотр., отдел профилактической токсикологии и медико-биологических исследований
Россия, МоскваФаина Исааковна Ингель
Центр стратегического планирования и управления медико-биологическими рисками здоровью
Email: FIngel@cspmz.ru
ORCID iD: 0000-0002-2262-6800
SPIN-код: 1013-7006
Scopus Author ID: 57205760994
д-р биол. наук, вед. научн. сотр., отдел профилактической токсикологии и медико-биологических исследований
Россия, МоскваЛюдмила Вячеславовна Ахальцева
Центр стратегического планирования и управления медико-биологическими рисками здоровью
Email: LAhalceva@cspmz.ru
ORCID iD: 0000-0002-3619-3858
SPIN-код: 7049-0003
Scopus Author ID: 57138478700
канд. биол. наук, ст. научн. сотр., отдел профилактической токсикологии и медико-биологических исследований
Россия, МоскваСписок литературы
- Юрченко В.В., Ингель Ф.И., Ахальцева Л.В., и др. Безопасность синтетических пищевых красителей. Обзор литературы // Экологическая генетика. 2021. Т. 19, № 4. C. 323–341. doi: 10.17816/ecogen79399
- Kobylewski S., Jacobson M.F. Toxicology of food dyes // Int J Occup Environ Health. 2012. Vol. 18, No. 3. P. 220–246. DOI: 10.1 179/1077352512Z.00000000034
- Soares B.M., Araújo T.M., Ramos J.A., at al. Effects on DNA repair in human lymphocytes exposed to the food dye tartrazine yellow // Anticancer. 2015. Vol. 35, No. 3 P. 1465–1474.
- Sekeroglu Z., Gunes B., Kontas Yedier S., et al. Effects of tartrazine on proliferation and genetic damage in human lymphocytes // Toxicol Mech Methods. 2017. Vol. 27, No. 5. P. 370–375. doi: 10.1080/15376516.2017.1296051
- Haveric A., Inajetovic D., Vareskic A., et al. In vitro analysis of tartrazine genotoxicity and cytotoxicity // Genetics & Applications. 2017. Vol. 1, No. 1. P. 37–43. doi: 10.31383/ga.vol1iss1pp37-43
- Floriano J.M., Rosa E., Amaral Q.D.F., et al. Is tartrazine really safe? In silico and ex vivo toxicological studies in human leukocytes: a question of dose // Toxicol Res (Camb). 2018. Vol. 7, No. 6. С. 1128–1134. doi: 10.1039/c8tx00034d
- Mpountoukas P., Pantazaki A., Kostareli E., et al. Cytogenetic evaluation and DNA interaction studies of the food colorants amaranth, erythrosine and tartrazine // Food Chem Toxicol. 2010. Vol. 48, No. 10. P. 2934–2944. doi: 10.1016/j.fct.2010.07.030
- Vaidya V.G., Godbole N.M. Mutagenicity stady of four colours using human leucocyte and mouse micronucleus test systems. Proc. Int. Simp. Environ. Agents. Biological Effects. India, Huderabad: Osmanian Univ, 1978.
- Gonzalez L., Sanderson B.J. S., Kirsch-Volders M. Adaptations of the in vitro MN assay for the genotoxicity assessment of nanomaterials // Mutagenesis. 2011. Vol. 26, No.1. P. 185–191. doi: 10.1093/mutage/geq088
- Fenech M., Chang W.P., Kirsch-Volders M., et al. HUMN project: detailed description of the scoring criteria for the cytokinesis-block micronucleus assay using isolated human lymphocyte cultures // Mutat Res. 2003. Vol. 534, No. 1–2. P. 65–75. doi: 10.1016/s1383-5718(02)00249-8
- Ингель Ф.И. Перспективы использования микроядерного теста на лимфоцитах крови человека, культивируемых в условиях цитокинетического блока. Часть 1. Факторы среды и индивидуальные особенности в системе оценки нестабильности генома человека // Экологическая генетика. 2006. T. 4, № 3. C. 7–19. doi: 10.17816/ecogen437-19
- Ингель Ф. И., Юрченко В. В., Гуськов А. С., и др. Показатели пролиферативной активности и их связь с генетическими повреждениями лимфоцитов крови при культивировании в условиях цитокинетического блока // Вестник Российской академии медицинских наук. 2006. № 4. С. 41–45.
- Fenech M. Cytokinesis-block micronucleus assay evolves into a «cytome» assay of chromosomal instability, mitotic dysfunction and cell death // Mutat Res. 2006. Vol. 600. No. 1–2. P. 58–66. doi: 10.1016/j.mrfmmm.2006.05.028
- Ахальцева Л.В., Юрченко В.В., Юрцева Н.А., Коняшкина М.А. Оценка генотоксичности пищевого красителя тартразина в микроядерном тесте in vivo // Гигиена и санитария. 2022. T. 101, № 7. С. 798–801. doi: 10.47470/0016-9900-2022-101-7-798-801
- Еропкин М.Ю., Еропкина Е.М. Модель биотрансформации ксенобиотиков in vitro: действие фракции печени S9 на токсичность ряда противовирусных препаратов // Токсикологический вестник. 2008. № 5 С. 35–39.
- Ингель Ф.И. Перспективы использования микроядерного теста на лимфоцитах крови человека, культивируемых в условиях цитокинетического блока. Часть 2. Факторы среды и индивидуальные особенности в системе оценки нестабильности генома человека // Экологическая генетика. 2006. T. 4, № 4. С. 38–54. doi: 10.17816/ecogen4438-54
- Zhurkov V.S., Yakovenko K.N. The culture of human lymphocytes as a test subject for evaluation of mutagenic activity of chemicals // Mutat Res. 1976. Vol. 41, No. 1. P. 107–112. doi: 10.1016/0027-5107(76)90080-4
- Abd-Elhakim Y.M., Gihan G.M., Hashem M.M., at al. Influence of the long-term exposure to tartrazine and chlorophyll on the fibrogenic signalling pathway in liver and kidney of rats: the expression patterns of collagen 1-α, TGFβ-1, fibronectin, and caspase-3 genes // Environ Sci Pollut Res Int. 2019. Vol. 26, No. 12. P. 12368–12378. doi: 10.1007/s11356-019-04734-w
- Raposa B., Pónusz R., Gerencsér G., at al. Food additives: Sodium benzoate, potassium sorbate, azorubine, and tartrazine modify the expression of NFκB, GADD45α, and MAPK8 genes // Physiol Int. 2016. Vol. 103, No. 3. P. 334–343. doi: 10.1556/2060.103.2016.3.6
- Zingue S., Mindang E.L.N., Awounfack F.C., et al. Oral administration of tartrazine (E102) accelerates the incidence and the development of 7,12-dimethylbenz(a) anthracene (DMBA)-induced breast cancer in rats // BMC Complement Med Ther. 2021. Vol. 21. P. 303. doi: 10.1186/s12906-021-03490-0
Дополнительные файлы









