ECOLOGICAL-GEOGRAPHIC APPROACHES TO THE STUDY OF GENETIC DIVERSITY OF BARLEY AND OAT FROM THE VIR COLLECTION
- Authors: Loskutov I.G.1, Novikova L.Y.1, Kovaleva O.N.1, Ivanova N.N.1, Blinova E.V.1, Belskaya G.V.1
-
Affiliations:
- Federal Research Center “N.I. Vavilov All-Russian Institute of Plant Genetic Resources”
- Issue: Vol 18, No 1 (2020)
- Pages: 89-102
- Section: Genetic basis of ecosystems evolution
- Submitted: 18.09.2019
- Accepted: 25.02.2020
- Published: 13.04.2020
- URL: https://journals.eco-vector.com/ecolgenet/article/view/16128
- DOI: https://doi.org/10.17816/ecogen16128
- ID: 16128
Cite item
Abstract
Under conditions of climate change, the assessment of the stability of genotypes is of particular importance. To conduct directed selection of genotypes with a narrow or broad reaction rate, it is necessary to assess their stability already in the early stages of breeding. The aim of the study was to study the stability of breeding significant traits of oat and barley samples in contrasting ecological and geographical conditions. 25 oat samples and 25 barley samples were studied over 3 years under contrasting conditions in St. Petersburg and the Tambov Region. Varieties are characterized by average values of economically valuable traits and genotype regression coefficients on the influence of the bi environment according to Eberhart and Russell. The most sensitive to a change in the ecological and geographical situation were the durations of the germination–heading, germination–harvest periods and grain yield. These characters varied to a greater extent depending on the cultivation conditions than on the genotype. According to regression coefficients for environmental conditions, significant differences in genotypes were only in yield. Contrasting groups of varieties were distinguished by regression coefficients on environmental conditions, genotypes with high productivity. The durations of “germination–heading”, “germination–harvest”, the plant height reacted to the change in the environment the same in different varieties. The duration of the growing season was determined by the sum of effective temperatures above 15 °С. The reduction of the growing season in both crops was 3 days with an increase in the sum of effective temperatures above 15 °С by 100 °С.
Full Text
INTRODUCTION
The traditional direction of investigations conducted in the Federal Research Center N. I. Vavilov All-Russian Institute of Plant Genetic Resources (VIR) is large-scale geographic experiments [1]. By organizing geographic oriented evaluation, N.I. Vavilov et al. first sought to determine probable geographic limits of mutability and spread of agricultural plants; their results laid the foundation of practical actions aimed at regulating sowings in the country. Scientists sought to trace the dependence of individual genotype mutability on ecological and geographical factors. Geographic experiments aimed to determine how morphological and physiological traits change, identify the characteristics of plant chemistry, analyse the traits that are conservative and suitable for taxonomic goals, and examine how environment and heredity are correlated with each other [2].
Currently, under the climate change conditions, an estimation of genotype stability has become especially valuable [3]. Strengthened ecological firmness is considered the most important condition to realize the potential productivity growth of agricultural crops [4–6]. To maintain directed breeding of genotypes with narrow or wide reaction ranges to a certain set of environments, scientists require information concerning general and specific adaptability [7]. Adaptive breeding considers genotype–environment interactions. Selection in certain conditions may not ensure genotype advantages in other conditions, so we must have information on genotypes and environments at early stages of breeding [7–9].
In this respect, studies on contrasting ecological and geographical conditions involving great diversity of accessions of different origins, which are base material for the breeding of agricultural crops, are critical [10, 11]. The whole system of studying accessions from the global collection of VIR is based on a geographic principle. The net of experiment stations, where the accessions undergo 3-year studies, is located in various ecological–geographical zones in our country. Such genotypes with valuable traits are singled out based on the results of 3 years of studies [12].
To evaluate the adaptability of varieties, scientists evaluate and characterize varieties in contrasting environmental conditions (years and locations) to differentiating ability [5, 6]. This technique allows them to evaluate the varieties by average value of a sign and by sensitivity to environmental conditions, which are under independent genetic control and relatively independent themselves [5, 13]. Investigations on contrasting ecological and geographical conditions allow analysts to not only determine average characteristics but also to distinguish genotypes of a wide habitat with general adaptability.
The aim of this work was to study accessions of oat and barley from the VIR global collection under contrasting ecological and geographical conditions and to evaluate the genotypes on the basis of the stability of traits important for breeding.
MATERIALS
Objects of studies were 25 accessions of oat and 25 accessions of barley of various ecological and geographical origins from the Federal Research Center N. I. Vavilov All-Russian Institute of Plant Genetic Resources (VIR) global collection. Studies were held in a field with contrasting ecological and geographical conditions of Pushkin (Saint Petersburg) and Ekaterinino (Tambov region) branches of VIR. Studies on accessions of spring barley and oat by morphological, economic, and biological characteristics in accordance with Methodic directions on studying and storage of the global collection of barley and oat [14]. Standards for studies on oat were zoned in the Leningrad region variety Privet (k-14787, Moscow region) and in the Tambov region Horizon (k-12113, Ukraine). Standards for studies on barley were zoned in the Leningrad region variety of spring barley Belogorsky (k-22089, Leningrad region) and in the Tambov region Dvoran (k-19913, the Czech Republic).
The following valuable characteristics were studied: duration of the period germination–heading (days), duration of period germination–harvest (days), plant height (cm), 1000 grains weight (g), grain productivity from 1 m2 (g), resistance to lodging (score), and resistance to illnesses (score) [14].
Soil and climate conditions
Soils of the experiment field of the Pushkin branch of VIR (PB) are sod-podzolic, loamy, sandy-loam, well, or medium cultured with neutral or weakly acidic reaction. Soils of the Ekaterinino branch of VIR (EB) were leached chernozems (black soil) of medium loamy constitution and acidity close to neutral.
Climate conditions of the region where PB is located are characterized by transition of sea to temperate continental climate. The sum of active temperatures is 1600 °C–2000 °C. The average yearly amount of precipitation is 500–600 mm, and 65%–75% of the precipitation falls during the warm season.
Climate of the Tambov region where EF is located is characterized as sharply continental. The sum of active temperatures is 2300 °C–2600 °C. The yearly amount of precipitation is 500–550 mm, and 70%–75% of it falls during the warm season.
Studies of the oat and barley accessions on the PB fields were conducted from 2013 to 2017 (Fig. 1). The weather conditions differed considerably in the years of studies. In 2013, they were favorable for the growth and development of barley during the vegetation period. The air temperature during all vegetation stages exceeded average long-term values. The high air temperature combined with high humidity caused abundant precipitation. The abundance of moisture led to increased plant height. In 2014, the period from germination to heading (May–June) occurred in warm and humid weather with a redundant amount of precipitation. The second stage of vegetation from heading to harvest coincided with hot dry weather. The amount of precipitation in July was three times less than normal, thereby influencing the quality and quantity of the obtained cereals. Thus, the weather conditions of 2015 were favorable for the growth and development of crops. The air temperature did not exceed the long-term average. Sufficient amounts of heat and moisture favored filling grains.
Fig. 1. Agrometeorological conditions of ecological and geographical trials of accessions
The weather conditions of 2016 did not differ considerably from long-term average. The weather was warm, and the amount of precipitation was sufficient for good development of plants. Redundant moisture provoked the development of panicle blight, lodging of some accessions, and complicated harvesting.
The year 2017 considerably differed from the long-term average. Deficiency in warmth in the beginning and middle of vegetation lengthened the vegetation period. The temperature in August was the highest for many years. Nevertheless, abundant precipitation delayed harvesting. The weather conditions were conducive to fungal diseases.
On the EB fields, the accessions of oat and barley were studied from 2016 to 2018 (Fig. 1). Sowing was conducted at the optimal time, namely, in the end of April (April 25–29). In 2016, the vegetation period coincided with high temperature and abundant precipitation. 2017 was favorable for plant growth and development. Planting was conducted in warm weather with sufficient soil moisture. The weather conditions in 2018 were characterized by above-average air temperature and uneven precipitation. Planting was conducted in warm weather in the end of April, when the soil was humid. The Tambov region belongs to a zone of insufficient moisture, so the years of abundant precipitation (2016 and 2017) brought richer grain crops than typically observed.
METHODS
Objects of studies were breeding valuable characteristics of oat and barley accessions; they included duration of periods germination–heading and germination–harvest, plant height, 1000 grains weight, and productivity from 1 m2 [14]. The influence of factors such as geographical location, and environment (geographical location × year) via analysis of variance in the Statsoft Statistica 13.3 was investigated. According to the method of S.A. Eberhart and W.A. Russell [15, 16] there were calculated the interaction genotype × environment, where “environment” refers to six combinations of geographical sight × year. The varieties were characterized by average indices of economically valuable traits and indicators of plasticity (regression coefficient of genotype to environment = bi). Remarkable differences in plasticity indicators for both cereals were obtained only for productivity. Genotypes of the upper quartile of the productivity distribution were considered the best based on productivity. Quartiles of the plasticity distribution served as contrasting plasticity groups. Regression models of the duration of periods germination–heading and germination–harvest were built for both cereals. The significance level was set at 5%.
RESULTS
Genotype characteristics of oat and barley at two investigation sites
There was revealed a set of reliable differences between genotype characteristics of oat and barley at 2 investigation sites on the basis of data from 3 years of observations. Compared with PB, the germination–heading period was reliably 2 days (р = 0.005) longer, the germination–harvest period was 5 days (р = 0.000) shorter, and the grain yield from 1 m2 increased to 371 g (р = 0.000) for oat on the fields of EB. No reliable differences were fixed in average plant height (р = 0.825) and 1000 grains weight (р = 0.499). EB showed lower middle score of resistance to lodging (8.4) than PB (8.8). In 2016, 2017, and 2018, the fungal disease Helminthosporium was registered at EB (middle scores of 7, 8, and 8, respectively). In 2016 and 2017, crown rust was registered at EB (6 and 8 points, respectively). At PB in 2015, 2016, and 2017, Helminthosporium (7, 8, and 6 points, respectively), stem rust (5, 8, and 9 points, respectively), and barley yellow dwarf virus (7, 9, and 9 points, respectively) were registered [14].
Compared with PB, barley at EB exhibited a germination–heading period that was 5 days longer (р = 0.000), germination–harvest period that was 6 days longer (р = 0.000), plant height that was 6 cm smaller (р = 0.007), and productivity that was 308 g higher (р = 0.000). 1000 grains weight did not differ between PB and EB (р = 0.164). Barley resistance to lodging at the observed sites did not differ, and the average score was 8.2. At EB, Helminthosporium was registered in 2016 (average of 6 score) and 2017 (average of 7 score) [14].
Each genotype in studies was investigated under 6 conditions (environments) for 3 years at 2 sites. The environmental conditions were contrasting (Table 1, Fig. 2, and Fig. 3). The environmental factors remarkably influenced each studied trait.
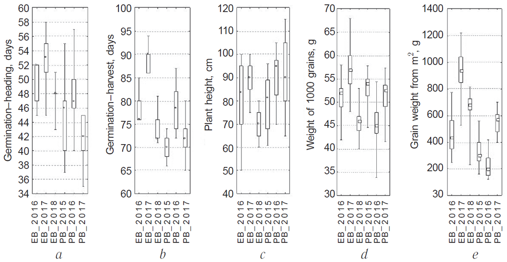
Fig. 2. Agrobiological data for 25 accessions of oat. Minimum, maximum, median, and quartiles are shown: а – germination–heading; b – germination–harvest; c – plant height; d – 1000 grains weight; e – grain yield from 1 m2
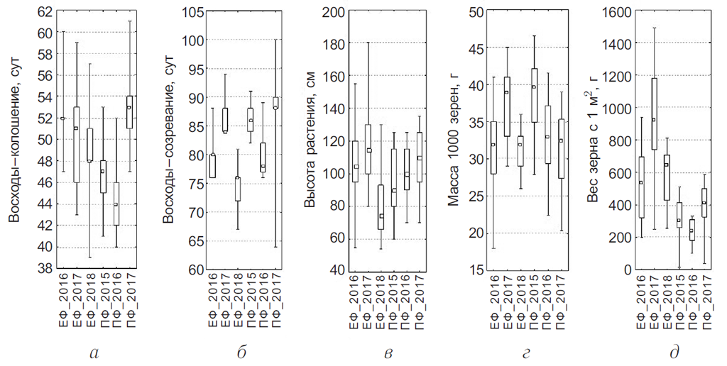
Fig. 3. Agrobiological data for 25 accessions of barley. Minimum, maximum, median, and quartiles are shown: а – germination–heading; b – germination–harvest; c – plant height; d – 1000 grains weight; e – grain yield from 1 m2
Table 1 Characteristics of the study environment (location × year) | |||||
Environment | Duration of germination–heading, days | Duration of germination–harvest, days | Plant height, cm | 1000 grains weight, g | Grain yield from 1 m2, g |
Oat | |||||
EB_2016 | 51.6 ± 0.6 | 79.0 ± 0.7 | 105.5 ± 4.5 | 31.6 ± 1.2 | 532.0 ± 44.9 |
EB_2017 | 50.6 ± 0.8 | 86.2 ± 0.6 | 117.8 ± 4.7 | 37.7 ± 0.9 | 963.4 ± 61.4 |
EB_2018 | 47.8 ± 0.9 | 74.2 ± 0.6 | 79.6 ± 3.6 | 31.1 ± 0.6 | 575.7 ± 34.5 |
PB_2015 | 46.6 ± 0.5 | 85.8 ± 0.5 | 95.2 ± 4.1 | 38.5 ± 1.1 | 322.2 ± 22.4 |
PB_2016 | 44.2 ± 0.6 | 80.1 ± 0.7 | 101.0 ± 3.5 | 32.4 ± 1.0 | 236.6 ± 13.9 |
PB_2017 | 52.9 ± 0.7 | 88.7 ± 1.3 | 109.2 ± 3.5 | 31.5 ± 1.0 | 398.3 ± 26.2 |
Average | 48.9 ± 0.4 | 82.3 ± 0.5 | 101.4 ± 1.9 | 33.8 ± 0.5 | 504.7 ± 24.4 |
LSD05 | 1.9 | 2.2 | 11.0 | 2.7 | 103.8 |
Barley | |||||
EB_2016 | 50.0 ± 0.6 | 77.5 ± 0.6 | 82.7 ± 2.7 | 51 ± 0.8 | 450.6 ± 29.8 |
EB_2017 | 52.9 ± 0.7 | 89.0 ± 0.5 | 88.6 ± 1.4 | 57.2 ± 1 | 903.2 ± 34.1 |
EB_2018 | 48.1 ± 0.4 | 74.2 ± 0.6 | 70.5 ± 1.2 | 46.0 ± 0.5 | 667.4 ± 23.6 |
PB_2013 | 45.6 ± 1.0 | 70.2 ± 0.4 | 78.5 ± 2.3 | 53.6 ± 0.5 | 317.1 ± 18.5 |
PB_2014 | 48.1 ± 0.8 | 79.2 ± 0.9 | 90.1 ± 1.9 | 45.3 ± 0.9 | 223.2 ± 15.9 |
PB_2015 | 41.6 ± 0.6 | 71.8 ± 0.7 | 91.6 ± 2.6 | 51.5 ± 0.6 | 554.0 ± 15.7 |
Average | 47.7 ± 0.4 | 77.0 ± 0.6 | 83.7 ± 1.0 | 50.8 ± 0.5 | 519.3 ± 20.8 |
LSD05 | 2.0 | 1.8 | 5.9 | 2.2 | 66.6 |
Note. LSD05 is the least significant difference for 5% level of significance. | |||||
The highest average productivity of both cereals was registered in 2017 at EB, whereas the lowest for oat and barley at PB was registered in 2016 and 2014, respectively.
Investigation of varieties plasticity
There were calculated indices of plasticity and stability of the investigated agrobiological indicators and F-criterion to evaluate the significance of factors such as genotype and environment (attachment 1). Attachments 2 and 3 show the average values and standard errors for all characteristics investigated. Significant differences between genotypes were registered for all breeding valuable traits, except barley productivity. In reactions to the environmental conditions, on the contrary, no significant differences were revealed for most traits, except productivity of both cereals and 1000 grains weight of barley. Coefficient bi, which characterizes the reaction of genotype productivity to environmental condition changes, is given in attachments 2 and 3.
Attachment 1 Analysis of variance of genotype and environment influence [15] | |||||||||||||||||||||
Dispersion component | df | Germination–heading | Germination–harvest | Height | 1000 grains weight | Productivity | |||||||||||||||
SS | MS | F | % SS | SS | MS | F | % SS | SS | MS | F | % SS | SS | MS | F | % SS | SS | MS | F | % SS | ||
Овес | |||||||||||||||||||||
Total | 149 | 3099.6 | 100 | 5989.3 | 100 | 79459.3 | 100 | 4917.6 | 100 | 13330512.6 | 100 | ||||||||||
Genotype | 24 | 893.2 | 37.2 | 4.949 | 28.8 | 903.3 | 37.6 | 3.830 | 15.1 | 43655.5 | 1819.0 | 17.350 | 54.9 | 2530.6 | 105.4 | 13.268 | 51.5 | 1711209.6 | 71300.4 | 3.525 | 12.8 |
Environment | 1 | 1355.9 | 43.7 | 3720.9 | 62.1 | 21558.9 | 27.1 | 1402.6 | 28.5 | 8316771.3 | 62.4 | ||||||||||
Genotype × environment | 24 | 98.3 | 4.1 | 0.545 | 3.2 | 382.2 | 15.9 | 1.620 | 6.4 | 3760.6 | 156.7 | 1.495 | 4.7 | 189.7 | 7.9 | 0.995 | 3.9 | 1279581.9 | 53315.9 | 2.636 | 9.6 |
Deviation from regression | 100 | 752.1 | 7.5 | 24.3 | 982.9 | 9.8 | 16.4 | 10484.3 | 104.8 | 13.2 | 794.7 | 7.9 | 16.2 | 2022949.9 | 20229.5 | 15.2 | |||||
Barley | |||||||||||||||||||||
Total | 149 | 3536.7 | 100 | 7204.1 | 100 | 24047.1 | 100 | 4621.1 | 100 | 9663810.916 | 100 | ||||||||||
Genotype | 24 | 504.0 | 21.0 | 2.050 | 14.2 | 711.3 | 29.6 | 4.400 | 9.9 | 8847.1 | 368.6 | 6.573 | 36.8 | 843.2 | 35.1 | 4.407 | 18.2 | 318462.5642 | 13269.3 | 1.099 | 3.3 |
Environment | 1 | 1842.8 | 52.1 | 5745.1 | 79.7 | 8195.7 | 34.1 | 2578.2 | 55.8 | 7595120.562 | 78.6 | ||||||||||
Genotype × environment | 24 | 165.5 | 6.9 | 0.673 | 4.7 | 74.1 | 3.1 | 0.459 | 1.0 | 1396.1 | 58.2 | 1.037 | 5.8 | 402.4 | 16.8 | 2.103 | 8.7 | 542365.9913 | 22598.6 | 1.871 | 5.6 |
Deviation from regression | 100 | 1024.3 | 10.2 | 29.0 | 673.6 | 6.7 | 9.4 | 5608.2 | 56.1 | 23.3 | 797.2 | 8.0 | 17.3 | 1207861.799 | 12078.6 | 12.5 | |||||
Note. df – number of freedom degrees; SS — sum of squares of declinations; MS — middle sum of squares of declination; F — Fisher criterion. F05 = 1,628. | |||||||||||||||||||||
Attachment 2 Characteristics of the studied oar cultivars | ||||||||
Number of VIR catalog | Cultivar name | Origin | Germination–heading. days | Germination–harvest. days | Plant height, cm | 1000 grains weight. g | Yield of 1 m2. g | bi — regression coefficient of genotype to environment |
15440 | Piband | Leningrad region | 55.0 ± 1.8 | 87.7 ± 3.1 | 76.7 ± 7.8 | 29.4 ± 1.1 | 294.7 ± 79.3 | 0.19 |
15496 | Stipler | Ulyanovsk region | 49.3 ± 1.3 | 80.7 ± 2.4 | 114.3 ± 6.4 | 35.5 ± 1.5 | 595.8 ± 121.1 | 1.04 |
15497 | Atlet | Yekaterinburg region | 49.2 ± 1.6 | 81.8 ± 2.7 | 102.5 ± 6.2 | 37.7 ± 1.9 | 628.8 ± 121.8 | 1.04 |
15499 | Vilensky | Sakha | 48.7 ± 1.7 | 83.8 ± 2.3 | 99.7 ± 8.9 | 31.8 ± 2.4 | 529.7 ± 165.4 | 1.43 |
15501 | Vizit | Ukraine | 52.0 ± 1.7 | 86.7 ± 2.7 | 115.8 ± 6.8 | 27.0 ± 2.1 | 375.7 ± 118.6 | 1.04 |
15502 | Zhitomirsky | Ukraine | 50.5 ± 1.6 | 84.7 ± 2.8 | 111.5 ± 5.1 | 37.9 ± 2.1 | 644.7 ± 162.9 | 1.54 |
15503 | Rannostygly | Ukraine | 44.3 ± 1.1 | 78.7 ± 2.8 | 95.2 ± 5.5 | 39.5 ± 2.1 | 557.2 ± 139.7 | 1.32 |
15504 | Svitanok | Ukraine | 48.0 ± 1.8 | 76.8 ± 3.2 | 97.3 ± 5.9 | 37.6 ± 2.3 | 636.2 ± 177.2 | 1.59 |
15505 | Avgol | Ukraine | 48.2 ± 2.0 | 81.3 ± 2.5 | 96.2 ± 7.0 | 26.1 ± 1.5 | 383.5 ± 83.7 | 0.74 |
15507 | Buggyy | Germany | 51.3 ± 2.0 | 84.2 ± 3.7 | 71.7 ± 4.4 | 31.3 ± 2.5 | 457.0 ± 100.2 | 0.72 |
15508 | Carron | Germany | 47.7 ± 1.7 | 81.2 ± 2.7 | 85.0 ± 5.2 | 36.9 ± 1.9 | 623.3 ± 201.3 | 1.81 |
15509 | Flocke | Germany | 46.3 ± 2.3 | 82.2 ± 2.8 | 95.3 ± 6.6 | 38.9 ± 1.6 | 588.5 ± 152.6 | 1.35 |
15510 | Kaplan | Germany | 48.0 ± 2.5 | 81.0 ± 2.8 | 96.8 ± 7.5 | 35.3 ± 1.9 | 533.8 ± 102.8 | 0.87 |
15511 | Kurt | Germany | 51.0 ± 1.9 | 84.5 ± 4.0 | 68.2 ± 3.9 | 33.2 ± 1.7 | 434.2 ± 107.9 | 0.97 |
15512 | Max | Germany | 44.8 ± 0.9 | 79.2 ± 2.0 | 91.8 ± 3.4 | 37.4 ± 2.1 | 552.3 ± 117.8 | 1.08 |
15513 | Oberon | Germany | 44.8 ± 0.9 | 79.8 ± 2.3 | 97.0 ± 12.0 | 37.0 ± 1.5 | 592.3 ± 94.8 | 0.65 |
15515 | Simon | Germany | 47.7 ± 1.6 | 81.7 ± 1.4 | 97.2 ± 2.2 | 37.3 ± 1.5 | 603.7 ± 135.4 | 1.28 |
15516 | Zorro | Germany | 49.0 ± 1.7 | 82.7 ± 2.2 | 85.2 ± 3.9 | 35.6 ± 1.3 | 592.0 ± 116.9 | 1.10 |
15517 | Dakar | Switzerland | 49.0 ± 1.4 | 80.7 ± 2.6 | 94.2 ± 11.2 | 30.6 ± 1.3 | 427.9 ± 110.2 | 0.78 |
15518 | Din yan 6 | China | 50.5 ± 1.6 | 84.7 ± 2.2 | 120.0 ± 6.7 | 29.8 ± 1.4 | 309.0 ± 86.7 | 0.75 |
15519 | Din yan 3 | China | 49.8 ± 1.5 | 83.8 ± 2.0 | 120.8 ± 7.6 | 26.0 ± 2.0 | 330.2 ± 82.7 | 0.71 |
15520 | Din yan 4 | China | 50.2 ± 1.2 | 82.5 ± 2.3 | 115.8 ± 7.9 | 28.9 ± 2.1 | 411.2 ± 161.1 | 1.39 |
15521 | Z 0585 | China | 46.3 ± 2.0 | 80.8 ± 1.4 | 119.7 ± 6.8 | 32.7 ± 1.1 | 567.7 ± 71.7 | 0.54 |
15523 | Bai yan 6 | China | 49.8 ± 1.6 | 82.3 ± 2.1 | 137.5 ± 10.4 | 37.5 ± 1.3 | 474.8 ± 86.4 | 0.74 |
15524 | Bai yan 7 | China | 52.2 ± 2.3 | 85.0 ± 2.5 | 129.2 ± 2.7 | 34.8 ± 1.4 | 473.7 ± 98.5 | 0.31 |
LSD05 | 3.1 | 3.6 | 11.7 | 3.2 | 162.5 | – | ||
Note. Mean value ± standard error of the mean, LSD05is the least significant difference for 5% level of significance. | ||||||||
Attachment 3 Characteristics of the studied barley cultivars | ||||||||
Number of VIR catalog | Cultivar name | Origin | Germination–heading. days | Germination–harvest. days | Plant height, cm | 1000 grains weight. g | Yield of 1 m2. g | bi — regression coefficient of genotype to environment |
31124 | Asem | Kazakhstan | 49.0 ± 1.5 | 76.5 ± 2.3 | 88.3 ± 5.7 | 47.9 ± 1.4 | 537.7 ± 119.8 | 1.13 |
31135 | Saule | Kazakhstan | 47.0 ± 1.3 | 74.0 ± 2.8 | 88.5 ± 4.5 | 47.4 ± 2.3 | 571.3 ± 126.7 | 1.21 |
31136 | Medikum 108 | Kazakhstan | 45.8 ± 2.4 | 74.0 ± 2.7 | 92.0 ± 4.8 | 50.3 ± 1.8 | 486.2 ± 134.5 | 1.32 |
31137 | Karagandinsky | Kazakhstan | 46.7 ± 1.7 | 75.8 ± 2.3 | 99.0 ± 4.8 | 50.6 ± 1.6 | 485.7 ± 97.1 | 0.87 |
31138 | Medikum 11 | Kazakhstan | 46.8 ± 2.3 | 74.0 ± 2.7 | 95.2 ± 5.5 | 51.3 ± 2.1 | 468.8 ± 110.3 | 1.08 |
31139 | Medikum 125 | Kazakhstan | 43.0 ± 2.1 | 73.5 ± 2.8 | 87.2 ± 2.5 | 51.7 ± 3.4 | 480.0 ± 112.6 | 1.08 |
31140 | Medikum 176 | Kazakhstan | 46.2 ± 1.8 | 75.3 ± 2.6 | 90.2 ± 6.6 | 52.0 ± 1.9 | 475.0 ± 129.8 | 0.87 |
31169 | Evergreen | Denmark | 50.0 ± 2.9 | 80.2 ± 2.7 | 75.2 ± 4.9 | 51.4 ± 2.0 | 507.5 ± 89.9 | 0.80 |
31170 | Calcule | Germany | 48.5 ± 2.7 | 81.0 ± 3.4 | 76.0 ± 5.3 | 47.1 ± 1.5 | 455.3 ± 79.1 | 0.73 |
31195 | Maali | Estonia | 48.0 ± 2.3 | 79.5 ± 2.9 | 79.0 ± 3.1 | 52.3 ± 2.0 | 533.5 ± 123.4 | 1.18 |
31241 | Quench | Denmark | 48.7 ± 2.7 | 80.0 ± 3.6 | 75.9 ± 5.3 | 47.8 ± 1.4 | 507.2 ± 56.3 | 0.47 |
31300 | Vodogray | Ukraine | 46.7 ± 1.9 | 77.5 ± 3.2 | 85.6 ± 2.8 | 55.9 ± 2.0 | 503.9 ± 108.4 | 1.07 |
31311 | Chudovy | Ukraine | 46.8 ± 2.1 | 76.8 ± 2.4 | 78.8 ± 4.5 | 51.4 ± 1.9 | 583.0 ± 102.7 | 0.95 |
31312 | Oboyan | Ukraine | 46.2 ± 2.3 | 76.4 ± 3.1 | 92.2 ± 5.0 | 54.1 ± 1.9 | 558.2 ± 95.7 | 0.90 |
31314 | Turan 2 | Kazakhstan | 46.5 ± 2.0 | 75.3 ± 3.1 | 86.8 ± 4.3 | 48.6 ± 3.4 | 515.5 ± 119.6 | 1.18 |
31315 | Susyn | Kazakhstan | 48.3 ± 1.9 | 76.0 ± 3.1 | 87.7 ± 4.2 | 51.2 ± 2.3 | 604.7 ± 130.7 | 1.18 |
31316 | Akzhol | Kazakhstan | 44.8 ± 1.7 | 74.2 ± 3.2 | 90.3 ± 4.8 | 54.7 ± 2.8 | 600.3 ± 154.8 | 1.51 |
31317 | Zhan | Kazakhstan | 47.3 ± 1.2 | 77.2 ± 3.1 | 87.7 ± 3.7 | 50.2 ± 1.6 | 603.8 ± 146.5 | 1.42 |
31318 | Sever 1 | Kazakhstan | 48.3 ± 1.5 | 76.8 ± 3.2 | 88.0 ± 3.9 | 51.4 ± 2.0 | 508.3 ± 106.4 | 0.96 |
31320 | Sylphide | France | 49.7 ± 1.4 | 77.2 ± 3.0 | 79.0 ± 3.9 | 48.6 ± 2.5 | 508.3 ± 75.8 | 0.68 |
31321 | Serval | Poland | 48.0 ± 2.4 | 78.7 ± 3.0 | 74.5 ± 4.1 | 50.1 ± 2.3 | 458.2 ± 82.4 | 0.74 |
31322 | Stratus | Poland | 51.3 ± 2.0 | 77.8 ± 2.6 | 76.5 ± 5.9 | 51.7 ± 2.5 | 473.8 ± 71.8 | 0.40 |
31323 | Katy | Denmark | 49.8 ± 2.3 | 80.7 ± 3.2 | 74.8 ± 2.7 | 52.5 ± 1.3 | 480.3 ± 120 | 1.14 |
31324 | Vendela | Czech Republic | 50.3 ± 1.4 | 78.7 ± 3.1 | 72.2 ± 3.5 | 46.4 ± 1.7 | 504.7 ± 98.4 | 0.90 |
31325 | Wiebke | Germany | 49.0 ± 1.3 | 78.2 ± 3.2 | 71.3 ± 3.4 | 53.1 ± 4.0 | 570.0 ± 133.3 | 1.24 |
LSD05 | – | – | 3.7 | 3.0 | 8.6 | 3.2 | 125.6 | – |
Note. Mean value ± standard error of the mean. LSD05 is the least significant difference for 5% level of significance. | ||||||||
There were also calculated the percentage of dispersion for the factors investigated: genotype, environment, interaction genotype × environment, and residual error. For traits such as duration of the period germination–heading and germination–harvest, the largest contribution to variance was made by differences in environments, i.e., site and year of investigation. The contribution of conditions of growing for oat and barley in the variability of the traits was as follows: 43.7% and 52.1% for the duration of the period germination–heading, respectively, and 62.1% and 79.7% for the duration of the period germination–harvest, respectively. At the same time, the differences in bi were not significant, and all genotypes reacted similarly. The data obtained proved the results of analysis of long-term observations of the standard cultivars of oat and barley [17], which showed similar reaction in duration of vegetation and plant height to weather–climate changes.
Plant height was found to be more dependent on genotype than on growth conditions. The contribution of genotype was 54.9% for oat and 36.8% for barley. Varieties of both cereals did not differ in terms of bi. Thus, analysis of variance confirmed the uniformity of the reaction of plant height to the growth conditions.
The 1000 grains weight did not differ between the investigation sites, but the contribution of the environment was more valuable than that of genotype for barley. Accessions differed in their reaction to the environment (F = 2.103 with F05 = 1.628). The environment contributed 55.8% of variability to this trait, whereas the genotype contributed 18.2%. The probable reason was contrasting reactions to weather condition changes in 2017 and 2018 at EB. Analysis of data on oat accessions showed the contrary: the contribution of the environment was less (28.5%) than that of the genotype (51.5%).
Productivity varied more depending on the environment than on genotype: the contribution of the environment for oat was 62.4%, whereas that for barley was 78.6%.
Characteristics of the varieties
According to yield plasticity, varieties of the intensive type were differ manifested themselves better under favorable conditions (bi > 1). Such genotypes are better in the narrow range of favorable environments but decrease productivity when they deviate from the narrow optimum zone [5, 7, 16]. Extreme groups, namely, the lower and upper quartiles of distribution of regression coefficients, were marked (Table 2).
Table 2 Oat and barley cultivars distinguished by low or high coefficients of yield response to environmental changes | ||||||
Number of VIR catalog | Cultivar name | Origin | Germination–heading. days | 1000 grains weight. g | Grain yield from 1 m2. g | bi – regression coefficient |
Oat | ||||||
Stable cultivars | ||||||
15440 | Piband | Russia, Leningrad region | 87.7 ± 3.1 | 29.4 ± 1.1 | 294.7 ± 79.3 | 0.19 |
15524 | Bai yan 7 | China | 85.0 ± 2.5 | 34.8 ± 1.4 | 473.7 ± 98.5 | 0.31 |
15521 | Z 0585 | China | 80.8 ± 1.4 | 32.7 ± 1.1 | 567.7 ± 71.7 | 0.54 |
15513 | Oberon | Germany | 79.8 ± 2.3 | 37.0 ± 1.5 | 592.3 ± 94.8 | 0.65 |
15519 | Din yan 3 | China | 83.8 ± 2.0 | 26.0 ± 2.0 | 330.2 ± 82.7 | 0.71 |
15507 | Buggy | Germany | 84.2 ± 3.7 | 31.3 ± 2.5 | 457.0 ± 100.2 | 0.72 |
Plastic cultivars | ||||||
15509 | Flocke | Germany | 82.2 ± 2.8 | 38.9 ± 1.6 | 588.5 ± 152.6 | 1.35 |
15520 | Din yan 4 | China | 82.5 ± 2.3 | 28.9 ± 2.1 | 411.2 ± 161.1 | 1.39 |
15499 | Vilensky | Sakha | 83.8 ± 2.3 | 31.8 ± 2.4 | 529.7 ± 165.4 | 1.43 |
15502 | Zhitomirsky | Ukraine | 84.7 ± 2.8 | 37.9 ± 2.1 | 644.7 ± 162.9 | 1.54 |
15504 | Svitanok | Ukraine | 76.8 ± 3.2 | 37.6 ± 2.3 | 636.2 ± 177.2 | 1.59 |
15508 | Carron | Germany | 81.2 ± 2.7 | 36.9 ± 1.9 | 623.3 ± 201.3 | 1.81 |
Barley | ||||||
Stable cultivars | ||||||
31322 | Stratus | Poland | 77.8 ± 2.6 | 51.7 ± 2.5 | 473.8 ± 71.8 | 0.40 |
31241 | Quench | Denmark | 80.0 ± 3.6 | 47.8 ± 1.4 | 507.2 ± 56.3 | 0.47 |
31320 | Sylphide | France | 77.2 ± 3.0 | 48.6 ± 2.5 | 508.3 ± 75.8 | 0.68 |
31170 | Calcule | Germany | 81.0 ± 3.4 | 47.1 ± 1.5 | 455.3 ± 79.1 | 0.73 |
31321 | Serval | Poland | 78.7 ± 3.0 | 50.1 ± 2.3 | 458.2 ± 82.4 | 0.74 |
31169 | Evergreen | Denmark | 80.2 ± 2.7 | 51.4 ± 2.0 | 507.5 ± 89.9 | 0.80 |
Plastic cultivars | ||||||
31315 | Susyn | Kazakhstan | 76.0 ± 3.1 | 51.2 ± 2.3 | 604.7 ± 130.7 | 1.18 |
31135 | Saule | Kazakhstan | 74.0 ± 2.8 | 47.4 ± 2.3 | 571.3 ± 126.7 | 1.21 |
31325 | Wiebke | Germany | 78.2 ± 3.2 | 53.1 ± 4.0 | 570.0 ± 133.3 | 1.24 |
31136 | Medikum 108 | Kazakhstan | 74.0 ± 2.7 | 50.3 ± 1.8 | 486.2 ± 134.5 | 1.32 |
31317 | Zhan | Kazakhstan | 77.2 ± 3.1 | 50.2 ± 1.6 | 603.8 ± 146.5 | 1.42 |
31316 | Akzhol | Kazakhstan | 74.2 ± 3.2 | 54.7 ± 2.8 | 600.3 ± 154.8 | 1.51 |
In the oat accessions, bi varied from 0.2 to 1.8. The lower quartile of plasticity embraced 6 varieties with bi ≤ 0.7, whereas the upper quartile encompassed 6 varieties with bi ≥ 1.3. Stability of a variety is often associated with low productivity [16]. Nevertheless, among the singled-out stable accessions of oat, some varieties had a set of positive traits in comparison with the average in the sampling: shortened period germination–harvest and large productivity for Z 0585 (k-15521, China, 81 days, 567.7 g, bi = 0.5) and Oberon (k-15513, Germany, 80 days, 592.3 g, bi = 0.7), high 1000 grains weight for Bai yan 7 (k-15524, China, 1000 grains weight = 34.8 g, bi = 0.3). The leader among plastic varieties was the naked variety Svitanok (k-15504, Ukraine), which had a shorter duration of vegetation period (77 days), higher grain yield from 1 m2 (636.2 g), and bi = 1.6 compared with the average values.
In barley accessions, the regression coefficient varied from 0.4 to 1.5. Among the investigated genotypes with low regression coefficient, there were no accessions with high productivity, but 2 varieties had high 1000 grains weight: Stratus (k-31322, Poland, 1000 grains weight = 52 g, bi = 0.4) and Evergreen (k-31169, Denmark, 1000 grains weight = 51 g, bi = 0.8). Four of the 6 accessions with high coefficient of productivity reaction to environmental conditions bi were characterized by high productivity, and 2 varieties had a shorter vegetation period, greater 1000 grains weight, and higher productivity than the average: Susyn (k-31315, Kazakhstan, vegetation period = 76 days, 1000 grains weight = 51 g, grain yield from 1 m2 = 604.7 g, bi = 1.2) and Akzhol (k-31316, Kazakhstan, vegetation period = 74 days, 1000 grains weight = 55 g, grain yield from 1 m2 = 600.3 g, bi = 1.5).
Correlation of agrobiological indicators with weather conditions
To estimate the weather and climate factors, there were calculated mean values of each trait for each of the cereals in 6 trials (environment index) and correlation coefficients with average monthly characteristics and generalized indicators: the sum of temperatures above 10 °C and 15 °C and durations of periods between dates of temperature transition upper these limits. We have previously identified dependencies with characteristics of periods between the dates of stable transition of temperatures above 10 °C and 15 °C. The conditions of the experiment were contrasting, so we disclosed a set of reliably strong correlations. The 1000 grains weight and the grain yield from 1 m2 had no reliable connections with the investigated weather and climate characteristics. Durations of inter-phase periods and total vegetation period were the most thermosensitive of all the tested characteristics.
Duration of the period germination–heading for oat was positively correlated with the duration of the spring period between the dates of stable transition of temperatures over 10 °C and 15 °C (r = 0.84); duration of the vegetation period was negatively correlated with the temperature in July (r = –0.89) and sum of effective temperatures higher than 15 °C (r = –0.93, Fig. 4). As shown by the regression equations of traits influenced by the environment, the reaction rates of the investigated accessions of oat and barley were similar. This finding agreed with the results of analysis of variance.
Fig. 4. Agrometeorological dependence of duration of vegetation periods for oat and barley: а – germination–heading on duration of the period between dates of stable transition of temperatures above 10 °С and 15 °С; b – germination–harvest on the sum of effective temperatures above 15 °С
For barley, the duration of the vegetation period was negatively correlated with average June temperatures (r = –0.88) but positively correlated with the duration of the period of 10 °C–15 °C in spring (r = 0.88).
The plant height for oat was positively correlated with the duration of the period of 10 °C–15 °C in spring (r = 0.86). The plant height for barley was negatively correlated with the sum of effective temperatures higher than 15 °C (r = –0.88).
Resistance to lodging for oat was positively correlated with the plant height (r = 0.84) and duration of the vegetation period (r = 0.85). Meanwhile, correlations with these indicators were lower for barley than for oat.
CONCLUSIONS
The sampling sites and contrasting weather conditions allowed us to obtain remarkable differences in all investigated traits, except 1000 grains weight and plant height for oat.
The conducted analysis of variance of plasticity of the genotypes according to Eberhart and Russell [15] showed that the traits most sensitive to changes in ecological and geographical environment were as follows: duration of the period germination–heading, duration of the period germination–harvest, and grain productivity. The contribution of the growth conditions to trait variability was as follows: 43.7% and 52.1% for germination–heading for oat and barley, respectively; 62.1% and 79.7% for germination–harvest for oat and barley, respectively; and 62.4% and 78.6% for productivity for oat and barley, respectively. These traits varied in high degree depending on the growth conditions than on genotype. The plant height in the investigated accessions was dependent more on genotype than on the growth conditions, specifically 54.9% for oat and 36.8% for barley. The 1000 grains weight for oats was determined mainly by the genotype peculiarities (51.5%), whereas that for barley was mainly due to the environment (55.8%).
Of all the selected traits, the genotypes of both cereals differed only in grain productivity plasticity, as evidenced by the regression coefficient to the environmental conditions. The plant height, duration of the period germination–heading and germination–harvest reacted to the environmental changes the same in different varieties. This result agreed with our previous investigation on long-term variability of these traits. The regression coefficient of 1000 grains weight to changes in environmental conditions differed for varieties of barley but not for varieties of oat.
There were distinguished groups of genotypes with heightened and lowered plasticity. Varieties of heightened plasticity were recommended for growth in a wide range of ecological and geographical conditions, whereas varieties of lowered plasticity were suitable in a narrow range of conditions close to those of EB and PB in 2017 with high levels of heat and moisture.
Some stable genotypes of oat exhibited shorter germination–harvest period and higher grain productivity then the average in the sampling; these genotypes were Z 0585 (k-15521, China, 81 days, 567.7 g, bi = 0.5) and Oberon (k-15513, Germany, germination–harvest period = 80 days, grain productivity = 592.3 g, bi = 0.7). Variety Bai yan 7 demonstrated a high 1000 grains weight (k-15524, China, 1000 grains weight = 34.8 g, bi = 0.3). The plastic genotypes generally showed high productivity. In particular, the naked variety Svitanok (k-15504, Ukraine) had a short vegetation period (77 days) and heightened grain productivity from 1 m2 (636.2 g) with the regression coefficient bi = 1.6.
The regression coefficient for the studied barley accessions varied from 0.4 to 1.5. Among accessions with low regression coefficient, there were no varieties of high productivity, but 2 varieties had high 1000 grains weight: Stratus (k-31322, Poland, 52 g, bi = 0.4) and Evergreen (k-31169, Denmark, 51 g, bi = 0.8). Among genotypes with high coefficient of productivity reaction to the environmental conditions, four were characterized by high productivity. Two varieties from Kazakhstan, namely, Susyn (k-31315, vegetation period = 76 days, 1000 grains weight = 51 g, grain yield from 1 m2 = 604.7 g, bi = 1.2) and Akzhol (k-31316, vegetation period = 74 days, 1000 grains weight = 55 g, grain yield from 1 m2 = 600.3 g, bi = 1.5), had shorter vegetation period and 1000 grains weight and higher productivity than average in the sampling.
The investigation revealed the weather–climate factors that had the greatest influence on the duration of the period germination–heading and germination–harvest for both cereals. Duration of the period germination–heading was determined by duration of the spring period with temperature of 10 °C–15 °C, and the whole vegetation period – by the sum of effective temperatures higher than 15 °C. The reaction rates of the studied cereals to changes in these factors were similar to one another. The germination–heading period was shortened at 0.3 days when the period with temperatures 10 °C–15 °C in spring was shortened by 1 day. The shortening of germination–harvest period was 3 days when the sum of effective temperatures (higher than 15 °C) was increased by 100 °C.
The investigation was conducted within the state task No 0662-2019-0006.
About the authors
Igor G. Loskutov
Federal Research Center “N.I. Vavilov All-Russian Institute of Plant Genetic Resources”
Author for correspondence.
Email: i.loskutov@vir.nw.ru
ORCID iD: 0000-0002-9250-7225
SPIN-code: 2715-2082
Scopus Author ID: 8619012600
ResearcherId: D-5238-2013
Doctor of Biological Sciences, Chief Researcher, Acting Head of the Department of Genetic Resources of Oats, Rye, Barley
Russian Federation, St. PetersburgLyubov Yu. Novikova
Federal Research Center “N.I. Vavilov All-Russian Institute of Plant Genetic Resources”
Email: l.novikova@vir.nw.ru
ORCID iD: 0000-0003-4051-3671
Doctor of Agricultural Science, Leading Researcher, Acting Head of the Department of Automated Information Systems for Plant Genetic Resources
Russian Federation, St. PetersburgOlga N. Kovaleva
Federal Research Center “N.I. Vavilov All-Russian Institute of Plant Genetic Resources”
Email: o.kovaleva@vir.nw.ru
ORCID iD: 0000-0002-3990-6526
Candidate of Biological Science, Leading Researcher, Department of Genetic Resources of Oats, Rye, Barley
Russian Federation, St. PetersburgNadezhda N. Ivanova
Federal Research Center “N.I. Vavilov All-Russian Institute of Plant Genetic Resources”
Email: n.ivanova@vie.nw.ru
ORCID iD: 0000-0002-4686-1338
Senior Researcher, Department of Genetic Resources of Oats, Rye, Barley
Russian Federation, St. PetersburgElena V. Blinova
Federal Research Center “N.I. Vavilov All-Russian Institute of Plant Genetic Resources”
Email: e.blinova@vir.nw.ru
ORCID iD: 0000-0002-8898-4926
Candidate of Agricultural Sciences, Senior Researcher, Department of Genetic Resources of Oats, Rye, Barley
Russian Federation, St. PetersburgGalina. V. Belskaya
Federal Research Center “N.I. Vavilov All-Russian Institute of Plant Genetic Resources”
Email: belskaigalin@yandex.ru
ORCID iD: 0000-0002-8644-3501
Candidate of Agricultural Science, Senior Researcher, Head of the Laboratory of Cereal Crops
Russian Federation, St. PetersburgReferences
- Loskutov IG. Vavilov and his institute. A history of the world collection of plant genetic resources in Russia. Rome, Italy: International Plant Genetic Resources Institute (IPGRI); 1999. 190 р.
- Вавилов Н.И. Географическая изменчивость растений: докл. III Всесоюзному ботаническому съезду в Ленинграде 9 января 1928 г. // Научное слово. – 1928. – № 1. – С. 23–33. [Vavilov NI. Geographical variability of plants. Scientific Word. 1928;(1):23-33. (In Russ.)]
- Waqas L, Muhammad FJ, Haseeb A, Muhammad DA. Genotype and environment interaction determines the yield potential of a crop under changing climate. Int J Environ Sci Nat Res. 2018;9(3):555762. https://doi.org/10.19080/IJESNR.2018.09.555762.
- Зиборов А.И., Велекжанин В.С. Исходный материал в селекции яровой мягкой и твердой пшеницы на адаптивность // Достижения науки и техники АПК. – 2015. – Т. 29. – № 6. – С. 31–34. [Ziborov AI, Velekzhanin VS. Source material in breeding of spring soft and durum wheat for adaptivity. Achievements of science and technology of agroindustrial complex. 2015;29(6):31-34. (In Russ.)]
- Мальчиков П.Н., Сидоренко В.С., Мясникова М.Г., и др. Оценка в эколого-географическом эксперименте адаптивности генотипов твердой пшеницы и дифференцирующей способности условий среды (годы, пункты) // Зернобобовые и крупяные культуры. – 2016. – № 2. – С. 120–126. [Mal’chikov PN, Sidorenko VS, Myasnikova MG, et al. Evaluation of ecological and geographic adaptability experiment genotypes of durum wheat and differentiating ability of environmental conditions (years, points). Zernobobovyye i krupyanyye kul’tury. 2016;(2):120-126. (In Russ.)]
- Сапега В.А. Взаимодействие генотип–среда и оценка сортов гороха по интенсивности и параметрам адаптивности // Известия Санкт-Петербургского государственного аграрного университета. – 2016. – № 42. – С. 31–36. [Sapega VA. Vzaimodeystviye genotip-sreda i otsenka sortov gorokha po intensivnosti i parametram adaptivnosti. Izvestiya Saint-Petersburg state agrarian university. 2016;(42):31-36. (In Russ.)]
- Кильчевский А.В., Хотылева Л.В. Генотип и среда в селекции растений. – Минск: Наука и техника, 1989. – 191 с. [Kil’chevskii AV, Khotyleva LV. Genotip i sreda v selektsii rasteniy. Minsk: Science and technology; 1989. 191 р. (In Russ.)]
- Yan W, Frégeau-Reid J, Pageau D, Martin R. Genotype-by-environment interaction and trait associations in two genetic populations of oat. Crop Sci. 2016;56(3):1136-1145. https://doi.org/10.2135/cropsci2015.11.0678.
- Mut Z, Akay H, Doganay Ö, Köse E. Grain yield, quality traits and grain yield stability of local oat cultivars. J Soil Sci Plant Nutr. 2018;18(1):269-281. https://doi.org/ 10.4067/s0718-95162018005001001.
- Лоскутов И.Г. Овес (Avena L.). Распространение, систематика, эволюция и селекционная ценность. – СПб.: ГНЦ РФ ВИР, 2007. – 335 с. [Loskutov IG. Oat (Avenal.). Distribution, taxonomy, evolution and breeding value. Saint Petersburg: N.I. Vavilov All-Russian Institute of plant genetic resources; 2007. 335 р. (In Russ.)]
- Loskutov IG, Rines HW. Avena L. In: Kole C, editor. Wild crop relatives: genomic and breeding resources. Cereals. Heidelberg, Berlin, New York: Springer; 2011. P. 109-84. https://doi.org/10.1007/978-3-642-14228-4_3.
- Лоскутов И.Г. История мировой коллекции генетических ресурсов растений в России. – СПб.: ГНЦ РФ ВИР, 2009. – 274 с. [Loskutov IG. History of the world collection pf plant genetic resources in Russia. Saint Petersburg: All-Russian Institute of plant genetic resources. N.I. Vavilova; 2009. 274 р. (In Russ.)]
- Lin CS, Binns MR, Lefkovitch LP. Stability analysis: where do we stand? Crop Sci. 1986;26(5):894-900. https://doi.org/10.2135/cropsci1986.0011183x002600050012x.
- Лоскутов И.Г., Ковалева О.Н., Блинова Е.В. Методические указания по изучению и сохранению мировой коллекции ячменя и овса. Изд. 4-е, доп. и перераб. – СПб.: ГНЦ РФ ВИР, 2012. – 63 с. [Loskutov IG, Kovaleva ON, Blinova EV. Methodological guidance directory for studing and maintaining VIR’s collections of barley and oat. 4th ed. revised and updated. Saint Petersburg: All-Russian Institute of plant genetic resources. N.I. Vavilova; 2012. 63 р. (In Russ.)]
- Eberhart SA, Russell WA. Stability parameters for comparing varieties 1. Crop Sci. 1966;6(1): 36-40. https://doi.org/10.2135/cropsci1966.0011183x000600010011x.
- Пакудин В.З. Параметры экологической пластичности сортов и гибридов // Теория отбора в популяциях растений / Под ред. Л.В. Хотылевой, З.С. Нииоро, В.А. Драгавцева. – Новосибирск: Наука, 1976. – С. 178–189. [Pakudin VZ. Parametry ekologicheskoy plastichnosti sortov i gibridov. In: Teoriya otbora v populyatsiyakh rasteniy. Ed. by L.V. Khotyleva, Z.S. Niioro, V.A. Dragavtsev. Novosibirsk: Nauka; 1976. Р. 178-189. (In Russ.)]
- Новикова Л.Ю., Лоскутов И.Г., Ковалева О.Н. Анализ тенденций изменений хозяйственно ценных признаков стандартных сортов овса и ячменя в 1980–2011 гг. // Труды по прикладной ботанике, генетике и селекции. – 2013. – Т. 171. – С. 136–142. [Novikova LYu, Loskutov IG, Kovaleva ON. Trend analysis of value agronomic traits of standards oat and barley varieties in 1980–2011. Trudy po prikladnoi botanike, genetike i selektsii. 2013;171:136-142. (In Russ.)]
Supplementary files









