Expression of the ToxA and PtrPF2 genes of the phytopathogenic fungus Pyrenophora tritici-repentis at the beginning of the infection process
- Authors: Mironenko N.V.1, Orina A.S.1, Kovalenko N.M.1
-
Affiliations:
- All-Russian Institute for Plant Protection
- Issue: Vol 18, No 2 (2020)
- Pages: 149-155
- Section: Genetic basis of ecosystems evolution
- Submitted: 07.10.2019
- Accepted: 23.12.2019
- Published: 08.07.2020
- URL: https://journals.eco-vector.com/ecolgenet/article/view/16362
- DOI: https://doi.org/10.17816/ecogen16362
- ID: 16362
Cite item
Abstract
Background. Pyrenophora tritici-repentis causing a tan spot of wheat produces host-specific toxins.
Materials and methods. Two P. tritici-repentis isolates with different ability to cause necrosis on the leaves of wheat cultivar Glenlea (nec+ and nec–) and with different expression level of ToxA and PtrPf2 (factor transcription gene) in vitro were used for analysis. ToxA gene expression in P. tritici-repentis isolates in planta was characterized using quantitative PCR.
Results. The expression of the ToxA gene in P. tritici-repentis ToxA+ isolates significantly increased when infected the wheat leaves compared to ToxA expression results obtained in vitro. The levels of ToxA expression in both isolates differed significantly after 24, 48 and 96 h after inoculation, however, the dynamics of the trait change over time were similar. However, the highest ToxA expression in the virulent (nec+) isolate in contrast with the avirulent (nec–) isolate was observed at a point of 48 h. Whereas the expression of regulating transcription factor PtrPf2 in planta differed imperceptibly from expression in vitro throughout the observation period.
Conclusion. Obviously, the role of the fungal transcription factor in regulating the effector gene expression weakens in planta, and other mechanisms regulating the expression of pathogen genes at the biotrophic stage of the disease develop.
Full Text
INTRODUCTION
Tan spot of wheat is a disease that appeared in the 1940s and since then has covered almost the entire global territory of wheat cultivation. The harmfulness of disease caused by the fungus Pyrenophora tritici-repentis (Died.) Drechsler is associated with its ability to produce host-specific toxins that induce leaf necrosis and chlorosis on susceptible wheat cultivars. The fungus P. tritici-repentis is known to produce the host-specific phytotoxins Ptr ToxA and Ptr ToxB, which are proteins that induce necrosis and chlorosis on susceptible wheat varieties and are considered the main pathogenic factors. Another host-specific phytotoxin is a low-molecular-weight Ptr ToxC, non-proteinaceous compound [1, 2]. The Ptr ToxA and Ptr ToxB toxins are encoded by the ToxA and ToxB genes, respectivel. The gene-specific primers have been constructed for detection of their presence in the fungal genome. Until now, the race structure of pathogen populations was determined by infecting differentiator varieties which distinguished 8 races by the combination of three phytotoxins in fungal isolates [3, 4]. However, the number of races may be greater due to the discovery of new necrosis-inducing toxins [5–9]; therefore, the phenotypic assessment of isolates assigned to a particular race may not coincide with their genetic characteristics. For example, it was revealed that in Russian populations there are isolates with ToxA gene (ToxA+) but do not induce necrosis in susceptible varieties (nec–). In this regard, it was hypothesized that this phenomenon is due to the absence or low level of the ToxA gene expression [10].
P. tritici-repentis is known to produce the Ptr ToxA toxin, which induces necrosis only on the leaves of wheat varieties with a dominant allele of the Tsn1 gene in the genome, which controls sensitivity to the Ptr ToxA toxin [11]. The Tsn1 gene is structurally similar to plant R-genes of resistance to disease; it includes the S/TPK (serine/threonine specific protein kinase) and NBS-LRR (nucleotide binding site and leucine-rich repeat) domains [12].
The relationship between the expression of ToxA in P. tritici-repentis isolates in culture and their ability to induce necrosis in susceptible cultivars, as well as the mechanisms of regulation of the expression of this effector gene are fragmentary. The ToxA gene in the genome of P. tritici-repentis has the nature of a foreign element transferred from another fungal pathogen Parastagonospora nodorum (Berk.) Quaedvl., Verkley & Crous, which causes a common disease – Septoria nodorum blotch [13]. In 2018, the first report of the detection of a transcription factor gene PtrPf2 in P. tritici-repentis isolates, which encodes a product regulates the expression of the ToxA gene, appeared. This gene turned out to be an ortholog of the PnPf2 gene, a transcription factor for the SnToxA and SnTox3 effectors of Parastagonospora nodorum [14].
Previously, we analyzed two groups of P. triticirepentis isolates from different populations of the pathogen based on constitutive expression of the ToxA effector gene and the PtrPf2 transcription factor gene. For the first time, the intra- and interpopulation variability of the pathogen was demonstrated in terms of the expression of ToxA and PtrPf2 in vitro [15].
The aim of study was to determine the expression of the ToxA and PtrPf2 genes in two isolates of the P. tritici-repentis pathogen in the tissues of a susceptible wheat cultivar with a dominant Tsn1 gene allele at the early stages of fungal infection.
MATERIALS AND METHODS
To analyze the expression of fungal genes during wheat infection, we selected two monoconidial isolates from the South Kazakhstan population (Almaty, 2018), Ptr1 and Ptr10 with the ToxA effector gene and differing in level of expression in vitro, which was estimated previously [15].
Cultivation of P. tritici-repentis strains, induction of conidia formation, and inoculation of wheat plants were performed according to the described methods [16]. The virulence of the isolates was assessed by their ability to induce necrosis on the leaves of seedlings of the susceptible wheat cultivar Glenlea with a dominant Tsn1 allele, using a five-point scale [17]. The phytopathological test was performed at least twice.
A modified technique was used to study the expression of P. tritici-repentis genes in the tissues of a wheat plant during disease development [18]. For this purpose, the leaf fragments of seven-day wheat seedlings of the cultivar Glenlea were placed in a Petri dish on the surface of a 2% agar medium containing 70 mg/L benzimidazole and were fixed by agar blocks. A drop of 10 μl of a conidia suspension with a concentration of 3500 conidia/ml was applied to each leaf. Three Petri dishes were prepared with 10 leaf fragments and were simultaneously infected with a conidia suspension of each isolate, and then were incubated in chamber at 22 °C with 12 h light photoperiod (1500 lm). The samples for subsequent analysis of gene transcriptional activity were collected 24, 48, and 96 hours after inoculation. Ten to fifteen 3 × 6 mm segments of plant tissue were cut out from the point of pathogen inoculation, placed in a tube, and immediately frozen at –20 °C for subsequent RNA isolation.
RNA was isolated using the RNeasy Plant Mini Kit (Qiagen, Germany). cDNA was synthesized by RT-PCR on a total RNA template (1–2 μg) using an MMLV RT kit (Evrogen, Russia).
The expression of the ToxA and PtrPf2 genes in P. tritici-repentis isolates in plant tissues at different time intervals after infection was assessed using quantitative PCR (qPCR) with gene-specific primers [14]. The Act1 gene was used as a reference control. qPCR reactions were performed in 20 μl containing 4 μl of 5 × qPCRmix-HS SYBR master mix (Evrogen, Russia), 500 nM of each primer, and 2 μl of cDNA solution using the following amplification protocol: 50 °C for 2 min; 95 °C for 15 min; [95 °C for 15 s; 62 °C for 60 s] × 40 on a CFX96 RealTime System thermal cycler (Bio-Rad, USA) threefold. Primary data were processed using Bio-Rad CFX Manager 1.6 software. The relative gene expression was calculated using the formula R = 2–ΔΔCt [19].
RESULTS
As a result of the inoculation of the susceptible wheat cultivar Glenlea with two ToxA+ P. tritici-repentis isolates, it was found that the Ptr1 isolate caused a necrotic reaction with a score of 3–4 points and is thus considered virulent (nec+), while the Ptr10 isolate affected wheat with a 1–2-point necrotic reaction and is thus considered low virulent/avirulent (nec–). According to our data, the relative expression of ToxA and PtrPf2 genes in vitro was 0.67 ± 0.01 and 0.90 ± 0.03 respectively for the Ptr1 isolate, and 0.92 ± 0.1 and 1.00 ± 0.05 for Ptr10 [15].
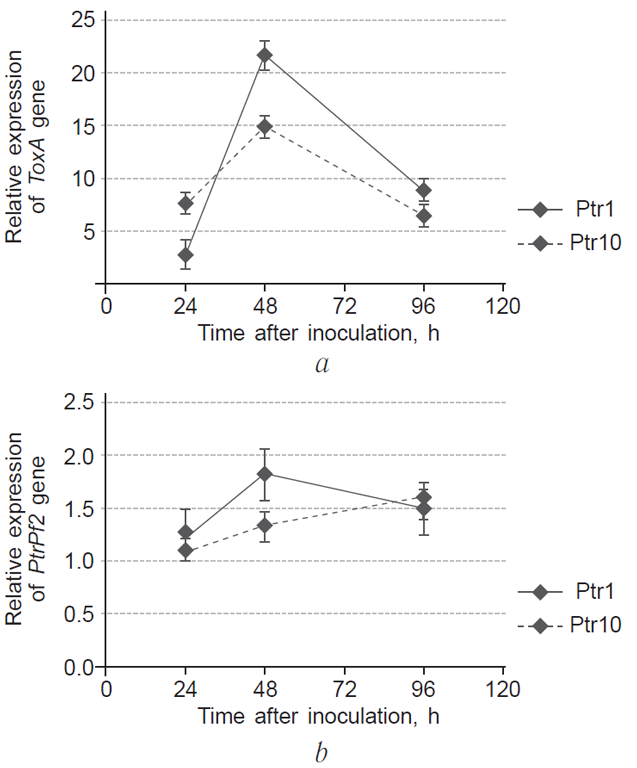
As a result of the experiment performed according to the methods described previously on whole plants, in the total cDNA extracted from non-inoculated plants the target genes ToxA and PtrPf2 were not amplified, while these genes were detected in the infected plants. The Figure depicts graphically the expression of ToxA and PtrPf2 genes in planta over 4 days.
Relative expression of ToxA (a) and PtrPf2 (b) genes in Pyrenophora tritici-repentis Ptr1 and Ptr10 isolates with Act1 as the reference gene in the infected leaves of wheat cultivar Glenlea at different periods after inoculation
As a result of penetration of the fungus into the plant tissue, the level of ToxA gene expression increased rapidly in comparison with constitutive expression, more than 4-fold in the Ptr1 isolate and 7-fold in the Ptr10 isolate (24 hours after inoculation). 48 hours after inoculation, the maximum relative expression level of ToxA in planta was noted, and after 96 hours, there was a decrease in relative expression of ToxA gene (see Figure, a). At the same time, the relative expression of the PtrPf2 transcription factor gene did not change 24 hours after inoculation and only increased slightly after 48 hours compared with expression in vitro and remained practically unchanged during 4 days of monitoring in planta (see Figure, b).
DISCUSSION
The relative expression of the ToxA and PtrPf2 genes in individual isolates of phytopathogenic fungi are an important characteristic of the pathogenic properties and can be used to analyze the interaction of genes in pathosystems. The presence or absence of the expression of ToxA gene, which is responsible for the synthesis of the necrosis-inducing protein toxin Ptr ToxA, can be detected from the phenotypic manifestation of the reaction of common wheat plants with the dominant Tsn1 allele of the susceptibility to infection with P. tritici-repentis ToxA+ isolates. However, many researchers have registered cases of lack of necrosis induction by ToxA+ isolates [5, 6, 13, 20–23]. Attempts were made to explain this observation in the context of gene mutation, but the ToxA nucleotide sequence in many ToxA+nec–isolates of P. tritici-repentis turned out to be extremely conservative, which is typical for a foreign genetic element that has recently entered the genome of the fungus [13]. The structure of the ToxA gene, recently found in the genomes of other pathogens of wheat and barley Cochliobolus sativus (S. Ito & Kurib.) Drechsler ex Dastur and P. teres Drechsler, is also characterized by low variability [22, 24, 25].
The expression of the effector genes in phytopathogenic fungi is known to be determined by a network of signaling genes, including transcription factors, which have evolved under specific environmental conditions. There is still insufficient information about the regulation of genes encoding necrotrophic effectors. The 37 superfamilies of DNA-binding domains known for all organisms and 12 superfamilies have been found in fungi [26, 27]. Among them, three types of proteins were found to be specific for the fungal kingdom, of which the zinc finger transcription factor encoded by the PnPf2 gene was found in Parastagonospora nodorum, and its ortholog, the PtrPf2 gene, was revealed in P. tritici-repentis. These are the transcription factors PnPf2 and PtrPf2 of the effector genes SnToxA and PtrToxA of two fungal pathogens Parastagonospora nodorum and P. tritici-repentis, respectively [14].
It has been demonstrated that ToxA expression in P. tritici-repentis isolates increases significantly during plant infection at the initial stages and is under the control of the PtrPf2 transcription factor gene [14]. The authors noted maximum expression of ToxA on day 3 after infection of the susceptible cultivar, while PtrPf2 was expressed uniformly throughout the monitoring period (from day 3 to day 10) [14]. Our results showed a similar picture of maximum expression of the ToxA gene 48 hours after plant infection and uniform expression of PtrPf2 within 4 days of observation. Moreover, the ToxA expression in the virulent isolate was higher than in the low virulent one in planta at all measurement time points, while the PtrPf2 expression in both isolates in the plant did not show significant differences. Thus two P. tritici-repentis isolates differed significantly from each other in the relative expression of the ToxA gene in the tissues of the susceptible wheat cultivar at different time points, although the dynamic of the variability of this trait between them were similar. Inter-strain differences in the expression of the effector gene associated with the manifestation of the disease were also found in other phytopathogenic fungi. For example, in two isolates of Stagonospora nodorum (Berk.) E. Castell. & Germano, differences in the expression level of the SnToxA gene were revealed 26 hours after inoculation of a susceptible wheat cultivar by more than two times, and higher expression levels were associated with an increase in the disease in the wheat–S. nodorum pathosystem [28]. The influence of the expression of necrotrophic effectors on the disease manifestation was also revealed in other works [28, 29]. Three necrotrophic effectors, SnToxA, SnTox1, and SnTox3, have been studied well in the wheat–Parastagonospora nodorum pathosystem, which can influence each other through expression-suppressing epistasis. For example, the expression of the SnTox3 gene can be suppressed by the SnTox1 gene [29]. The effect of the Tsn1–ToxA interaction on disease manifestation can vary greatly depending on the genotype of the wheat cultivar with Tsn1 gene. In particular, a significant role of the Ptr ToxA toxin was not revealed on durum wheat cultivars, and, conversely, a strong effect of the necrotrophic effector Parastagonospora nodorum SnToxA was noted upon inoculation of Tsn1+ cultivars [30].
The role of gene expression as a major cause of variability in virulence, in addition to differences in the gene nucleotide sequence, has been revealed for isolates Zymoseptoria tritici (Roberge ex Desm.) Quaedvl. & Crous [31].
Our results and the above examples from works on the analysis of gene expression of fungal effectors in plants confirm the idea proposed by many authors that the main mechanism influencing the dynamics of racial composition in populations of phytopathogenic fungi probably do not involve a change in the frequencies of alleles of genes related to virulence but rather to variability in the regulation of gene expression of effectors, depending both on the genotype of the host plant and on various environmental conditions.
CONCLUSION
Expression of the ToxA gene increases dramatically during infection of the susceptible wheat cultivar Glenlea with isolates of P. tritici-repentis ToxA+ compared with expression in vitro. P. tritici-repentis isolates are characterized by differential expression of ToxA in the plant, as the levels of ToxA expression in both isolates differed significantly 24, 48, and 96 hours after inoculation; however, the dynamics of the trait change over time was the same. The virulent isolate showed stronger ToxA expression 48 hours after inoculation compared with the avirulent isolate.
Another pattern of gene expression variability was noted for the transcription factor PtrPf2 which regulates ToxA expression, as the expression of this gene in the plant did not differ much from that in the culture; the two isolates differed only slightly at the point of maximum ToxA expression, that is, 48 hours after inoculation. Thus, the hypothesis about the existence of a relationship between the level of PtrPf2 expression in vitro and the ability of isolates to induce necrosis on leaves of a susceptible cultivar [15] was not justified. It is obvious that the role of fungal transcription factors in the regulation of the expression of effector genes in planta is insignificant, and other mechanisms of regulation of the expression of pathogen genes at the biotrophic stage of the disease come into force.
This work was supported by RFBR grant no. 18-04-00128_а.
About the authors
Nina V. Mironenko
All-Russian Institute for Plant Protection
Author for correspondence.
Email: nina2601mir@mail.ru
SPIN-code: 2047-7349
Doctor of Science, Leading Researcher, Laboratory of Plant Resistance to Diseases
Russian Federation, Pushkin, Saint PetersburgAleksandra S. Orina
All-Russian Institute for Plant Protection
Email: orina-alex@yandex.ru
SPIN-code: 8590-0092
PhD, Researcher, Laboratory of Mycology and Phytopathology
Russian Federation, Pushkin, Saint PetersburgNadezhda M. Kovalenko
All-Russian Institute for Plant Protection
Email: nadyakov@mail.ru
SPIN-code: 9610-4614
PhD, Senior Researcher, Laboratory of Plant Resistance to Diseases
Russian Federation, Pushkin, Saint PetersburgReferences
- Ciuffetti LM, Tuori RP, Gaventa JM. A single gene encodes a selective toxin causal to the development of tan spot of wheat. Plant Cell. 1997;9(2):135-144. https://doi.org/10.1105/tpc.9.2.135.
- Martinez JP, Ottum SA, Ali S, et al. Characterization of the ToxB gene from Pyrenophora tritici-repentis. Mol Plant Microbe Interact. 2001;14(5):675-677. https://doi.org/10.1094/MPMI.2001.14.5.675.
- Lamari L, Gilbert J, Tekauz A. Race differentiation in Pyrenophora tritici-repentis and survey of physiologic variation in western Canada. Can J Plant Pathol. 1998;20(4):396-400. https://doi.org/10.1080/07060669809500410.
- Lamari L, Strelkov SE, Yahyaoui A, et al. The identification of two new races of Pyrenophora tritici-repentis from the host center of diversity confirms a one-to-one relationship in tan spot of wheat. Phytopathology. 2003;93(4):391-396. https://doi.org/10.1094/PHYTO.2003.93.4.391.
- Andrie RM, Pandelova I, Ciuffetti LM. A combination of phenotypic and genotypic characterization strengthens Pyrenophora tritici-repentis race identification. Phytopathology. 2007;97(6):694-701. https://doi.org/10.1094/PHYTO-97-6-0694.
- Мироненко Н.В., Баранова О.А., Коваленко Н.М., Михайлова Л.А. Частота гена ToxA в популяциях Pyrenophora tritici-repentis на Северном Кавказе и северо-западе России // Микология и фитопатология. – 2015. – Т. 49. – № 5. – С. 325–329. [Mironenko NV, Baranova OA, Kovalenko NM, Mikhailova LA. Frequency of ToxA gene in North Caucasian and North-West Russian populations of Pyrenophora tritici-repentis. Mikologiya i fitopatologiya. 2015;49(5):325-329. (In Russ.)]
- Moreno MV, Stenglein S, Perello AE. Distribution of races and Tox genes in Pyrenophora tritici-repentis isolates from wheat in Argentina. Trop Plant Pathol. 2015;40(2):141-146. https://doi.org/10.1007/s40858-015-0011-2.
- See PT, Marathamuthu KA, Iagallo EM, et al. Evaluating the importance of the tan spot ToxA-Tsn1 interaction in Australian wheat varieties. Plant Pathol. 2018;67(5):1066-1075. https://doi.org/10.1111/ppa.12835.
- Guo J, Shi G, Liu Z. Characterizing virulence of the Pyrenophora tritici-repentis isolates lacking both ToxA and ToxB genes. Pathogens. 2018;7(3):74. https://doi.org/10.3390/pathogens7030074.
- Мироненко Н.В., Коваленко Н.М., Баранова О.А. Характеристика географически отдаленных популяций Pyrenophora tritici-repentis по вирулентности и генам токсинообразования ToxA и ToxB // Вестник защиты растений. – 2019. – № 1. – C. 24–29. [Mironenko NV, Kovalenko NM, Baranova OA. Characteristics of the geographically distant populations of Pyrenophora tritici-repentis in terms of virulence and ToxA and ToxB toxin-forming gene. Plant Protection News. 2019;(1):24-29 (In Russ.)]. https://doi.org/10.31993/2308-6459-2019-1(99)-24-29.
- Strelkov SE, Lamari L. Host-parasite interactions in tan spot (Pyrenophora tritici-repentis) of wheat. Can J Plant Pathol. 2003;25(4):339-449. https://doi.org/10.1080/07060660309507089.
- Faris JD, Zhang Z, Lu H, et al. A unique wheat disease resistance-like gene governs effector-triggered susceptibility to necrotrophic pathogens. Proc Natl Acad Sci USA. 2010;107(30):13544-13549. https://doi.org/ 10.1073/pnas.1004090107.
- Friesen TL, Stukenbrock EH, Liu Z, et al. Emergence of a new disease as a result of interspecific virulence gene transfer. Nat Genet. 2006;38(8):953-956. https://doi.org/10.1038/ng1839.
- Rybak K, See PT, Phan HT, et al. A functionally conserved Zn2Cys6 binuclear cluster transcription factor class regulates necrotrophic effector gene expression and host specific virulence of two major Pleosporales fungal pathogens of wheat. Mol Plant Pathol. 2017;18(3):420-434. https://doi.org/10.1111/mpp.12511.
- Мироненко Н.В., Орина А.С., Коваленко Н.М. Межштаммовые различия Pyrenophora tritici-repentis по экспрессии генов ToxA и PtrPf2 в культуре // Генетика. – 2020. – Т. 56. – № 4. – С. 488–492. [Mironenko NV, Orina AS, Kovalenko NM. Differences among Pyrenophora tritici-repentis isolatesin the expression of ToxA and PtrPf2 genes in culture (in vitro). Genetika. 2020;56(4)488-492. (In Russ.)]. https://doi.org/10.31857/S0016675820040086.
- Михайлова Л.А., Мироненко Н.В., Коваленко Н.М. Желтая пятнистость пшеницы. – СПб.: ВИЗР, 2012. – 56 с. [Mikhailova LA, Mironenko NV, Kovalenko NM. Zheltaya pyatnistost’ pshenicy. Saint Petersburg: VIZR; 2012. 56 p. (In Russ.)]
- Rees RG, Platz GJ, Mayer RJ. Susceptibility of Australian wheats to Pyrenophora tritici-repentis. Aust J Agric Res. 1988;39(2):141-151. https://doi.org/10.1071/AR9880141.
- Moolhuijzen PM, See PT, Oliver R, Moffat CS. Genomic distribution of a novel Pyrenophora tritici-repentis ToxA insertion element. PLoS One. 2018;13(10): e0206586. https://doi.org/10.1371/journal.pone.0206586.
- Livak KJ, Schmittgen TD. Analysis of relative gene expression data using real-time quantitative PCR and the 2(-Delta Delta C(T)) method. Methods. 2001;25(4):402-408. https://doi.org/ 10.1006/meth.2001.1262.
- Aboukhaddour R, Turkington TK, Strelkov SE. Race structure of Pyrenophora tritici-repentis (tan spot of wheat) in Alberta, Canada. Can J Plant Pathol. 2013;35(2):256-268. https://doi.org/10.1080/07060661.2013. 782470.
- Ali S, Gurung S, Adhikari TB. Identification and characterization of novel isolates of Pyrenophora tritici-repentis from arkansas. Plant Dis. 2010;94(2):229-235. https://doi.org/10.1094/PDIS-94-2-0229.
- Leišova-Svobodova L, Hanzalova A, Kucer L. Expansion and variability of the Ptr Tox A gene in populations of Pyrenophora tritici-repentis and Pyrenophora teres. J Plant Pathol. 2010;92(3): 729-735. http://dx.doi.org/10.4454/jpp.v92i3.319.
- Benslimane H. Virulence phenotyping and molecular characterization of a new virulence type of Pyrenophora tritici-repentis the causal agent of tan spot. Plant Pathol J. 2018;34(2):139-142. https://doi.org/10.5423/PPJ.NT.07.2017.0150.
- Friesen TL, Holmes DJ, Bowden RL, Faris JD. ToxA is present in the U.S. Bipolaris sorokiniana population and is a significant virulence factor on wheat harboring Tsn1. Plant Dis. 2018;102(12):2446-2452. https://doi.org/10.1094/pdis-03-18-0521-re.
- McDonald MC, Ahren D, Simpfendorfer S, et al. The discovery of the virulence gene ToxA in the wheat and barley pathogen Bipolaris sorokiniana. Mol Plant Pathol. 2018;19(2):432-439. https://doi.org/10.1111/mpp.12535.
- Shelest E. Transcription factors in fungi. FEMS Microbiol Lett. 2008;286(2):145-151. https://doi.org/10.1111/j.1574-6968.2008.01293.x.
- Todd RB, Zhou M, Ohm RA, et al. Prevalence of transcription factors in ascomycete and basidiomycete fungi. BMC Genomics. 2014;15:214. https://doi.org/10.1186/1471-2164-15-214.
- Faris JD, Zhang Z, Rasmussen JB, Friesen TL. Variable expression of the Stagonospora nodorum effector SnToxA among isolates is correlated with levels of disease in wheat. Mol Plant Microbe Interact. 2011;24(12): 1419-1426. https://doi.org/10.1094/MPMI- 04-11-0094.
- Phan HT, Rybak K, Furuki E, et al. Differential effector gene expression underpins epistasis in a plant fungal disease. Plant J. 2016;87(4): 343-354. https://doi.org/10.1111/tpj.13203.
- Virdi SK, Liu Z, Overlander ME, et al. New insights into the roles of host gene-necrotrophic effector interactions in governing susceptibility of durum wheat to tan spot and Septoria nodorum blotch. G3 (Bethesda). 2016;6(12):4139-4150. https://doi.org/10.1534/g3.116.036525.
- Palma-Guerrero J, Ma X, Torriani SF, et al. Comparative transcriptome analyses in Zymoseptoria tritici reveal significant differences in gene expression among strains during plant infection. Mol Plant Microbe Interact. 2017;30(3): 231-244. https://doi.org/10.1094/MPMI-07-16-0146-R.
Supplementary files









