Restoration of soil microbiome in various soil horizons after crown and surface wildfires
- Authors: Gladkov G.V.1,2, Chebykina E.Y.1, Evdokimova E.V.1,2, Ivanova E.A.3, Kimeklis A.K.4,5, Zverev A.О.1,2, Kichko A.A.1,2, Andronov E.E.1,2,3, Abakumov E.V.1
-
Affiliations:
- St. Petersburg State University
- All-Russian Research Institute for Agricultural Microbiology
- V.V. Dokuchaev Soil Science Institute
- Saint-Petersburg State University
- All-Russia Research Insitute for Agricultural Microbiology
- Issue: Vol 18, No 3 (2020)
- Pages: 343-356
- Section: Ecosystems metagenomics
- Submitted: 08.11.2019
- Accepted: 03.07.2020
- Published: 09.10.2020
- URL: https://journals.eco-vector.com/ecolgenet/article/view/17641
- DOI: https://doi.org/10.17816/ecogen17641
- ID: 17641
Cite item
Abstract
Fires have a strong effect on soil microbiome, and the mechanisms of soil restoration after fires are currently not well understood. This study describes the characteristics of microbial communities in the Psamment Entisol soils of pine forests in the city of Togliatti after forest crown and surface fires. Geochemistry, soil respiration and microbial community structure via 16S rRNA gene sequencing were studied in different soil horizons. Both crown and surface fires resulted in the variations of microbial diversity and shifts in taxonomic composition. There is a tendency to an increase in the proportion of representatives from phyla Actinobacteria and Gemmatimonadetes for soil samples recovering after fires. An increase in the proportion of bacteria (Micrococcaceae, Blastocatellaceae) associated with the degradation of substances formed after combustion also has been shown. The research has shown that the crown fire has a smaller effect on the soil microbiome than the surface fire, the largest changes in the microbiome structure were found in the intermediate horizon. At the same time, differences in the structure of the soil microbiome between horizons are intensified after exposure to the soil of a surface fire.
Keywords
Full Text
ВВЕДЕНИЕ
Лесные пожары оказывают сильнейшее комплексное воздействие на экосистему, как прямое, так и косвенное воздействие на почву. После пожара резко изменяется химический состав почвы — уменьшается количество доступного азота и углерода вследствие его прямого выгорания. В почве после пирогенеза образуется слой золы, что в свою очередь влияет на pH (почва закисляется) и степень доступности азота [1, 2]. Гибель растительного покрова не может не оказывать влияние на ризосферную микробиоту. По некоторым данным, пожар значительно снижает биоразнообразие почвенного микробиома, при этом сдвиг разнообразия наблюдается в первую очередь в верхнем слое почвы, напрямую подверженном нагреванию. Кроме того, тепловое воздействие уменьшает биомассу микроорганизмов. При этом изменяется композиция микробиома — в почве начинают преобладать грибы, которые менее устойчивы к нагреванию, чем бактерии (бактериальные эндоспоры способны пережить значительный нагрев почвы) [3]; начинают превалировать спорообразующие грамположительные бактерии [4]. Изменения в почвенном микробиоме сохраняются в течение длительного периода — годы и даже десятилетия [5].
Почвенный микробиом играет заметную роль в восстановлении послепожарной экосистемы. Особенно выделяется роль филы Actinobacteria — показана роль некоторых ее представителей из родов Arthrobacter и Streptomyces в восстановлении баланса азота в постпирогенных почвах [6]. Кроме участия в цикле азота, многие представители Actinobacteria являются активной частью ризосферы и могут стимулировать рост растений.
Настоящая работа посвящена изменениям в почвенном микробиоме после лесного пожара в окрестностях г. Тольятти (Россия, Самарская область). Исследуемые точки пробоотбора ранее были уже описаны коллективом авторов как с геохимической позиции, так и с позиции исследования функциональной активности почвы [7]. Было показано, что лесные пожары вызывают сильный сдвиг физико-химических характеристик в верхнем слое почвы, происходят изменения в микроморфологической структуре верхних почвенных горизонтов и накопления продуктов горения в пирогенных горизонтах. При этом параметры, характеризующие состояние микробиоты (базальное дыхание, длина мицелия грибов и актиномицетов), уже спустя два года после лесного пожара приближаются к показателям, близким к контролю [7]. Целью исследования является анализ изменения состава почвенного микробиома с помощью методов филотипирования по гену 16S рРНК при помощи технологий NGS Illumina.
В литературе описано несколько исследований, посвященных изменениям в почвенном микробиоме с помощью филотипирования по 16S рРНК после лесных пожаров, как в течение нескольких недель после лесного пожара [7, 8], так и при более длительных хроносериях [9, 10]. Интерес также представляет лабораторный подход к исследованию адаптации микробиома к пирогенному углероду [4]. К сожалению, данные по исследованию микробиома почвы после пирогенного воздействия неполны и зачастую противоречивы, что может быть связано с различиями в типе исследуемой почвы и географией исследований. Также следует учесть различие в методологии работ.
Целью данной работы было выявить группы микроорганизмов, ассоциированных с деградацией веществ, образующихся после горения и изменения структуры почвенного микробиома, при восстановлении почвы после различных типов лесного пожара в различных почвенных горизонтах с использованием технологий секвенирования Illumina.
МАТЕРИАЛЫ И МЕТОДЫ
Пробы почвы были отобраны спустя два года после обширных лесных пожаров 2010 г. в сосновом лесу Самарской области, недалеко от г. Тольятти (53°29'43.80'' N, 49°20'56.44'' E, 179 м над уровнем моря). Эти почвы сформированны на песчаных аллювиальных дюнах и относятся к серогумусовым. Были отобраны пробы из трех точек — в лесу, пострадавшем от низового пожара, от верхового пожара, и в контрольной точке. В качестве контроля изучались идентичные серогумусовые почвы под сосняком, расположенные в ближайшей не пострадавшей от лесных пожаров зоне. В каждой исследуемой точке было заложено три почвенных разреза. Из почвенных разрезов глубиной 1–1,2 м были отобраны пробы из следующих почвенных горизонтов: AY (5–15 см), АС (15–25 см) и С (25–70 см). Было проведено описание почвенных профилей и отобраны образцы для микробиомного и химического анализов в трех повторностях.
Физико-химический анализ почвы проводили по методике, подробно описанной ранее [7]. Выделение ДНК производили с использованием разработанной методики [11] со стеклянными шариками различного диаметра в качестве абразивного материала. Разрушение почвенного образца производили на гомогенизаторе Precellys 24 (Bertin Technologies, Франция). Чистоту выделения и количество выделенной ДНК проверяли с помощью электрофореза в 1 % агарозе в ×0,5 TAE-буфере. Средняя концентрация ДНК в пробе составляла 50 нг/мл. Очищенные препараты ДНК были использованы для проведения количественной ПЦР и создания ампликонных библиотек (праймеры F515 5'-GTGCCAGCMGCCGCGGTAA-3' и R806 5'-GGACTACVSGGGTATCTAAT-3' [12]), согласно инструкции к протоколу секвенирования, поставляемой фирмой ILLUMINA. Секвенирование и первичную обработку данных осуществляли на приборе Illumina MiSeq (Illumina, Inc., США) в ЦКП «Геномные технологии и клеточная биология» ФГБНУ ВНИИСХМ. Для проведения количественной ПЦР были использованы праймеры для трех групп микроорганизмов: бактерий — EUB338 (ACTCCTACGGGAGGCAGCAG) и EUB518 (ATTACCGCGGCTGCTGG) [13], архей — ARC915f (AGGAATTGGCGGGGGAGCAC) и ARC1059r (GCCATGCACCWCCTCT) [14], грибов — ITS1f (TCCGTAGGTGAACCTGCGG) и 5.8S (CGCTGCGTTCTTCATCG) [15]. Для приготовления реакционной смеси использовали набор qPCRmix-HS SYBR (Евроген, Россия) согласно инструкции производителя. В качестве стандартов использовали серию десятикратных разведений фрагментов 16S Escherichia coli и Helicobacter pilori, ITS1 Saccharomyces cerevisiae. Измерения проводили на амплификаторе CFX96 (BioRad, Germany) по следующему протоколу: 95 °C 3 мин, затем 40 циклов 95 °C 20 с, 50 °C 20 с, 72 °C 20 с. Каждая проба была представлена в трех повторностях.
Обработку просеквенированных последовательностей гена 16S рРНК производили с использованием пакетов в программной среде R [16] и QIIME2 [17]. В качестве среды разработки для R использовалась Rstudio [18]. Для первоначальной обработки сырых последовательностей был использован пакет dada2 [19], позволяющий получить более воспроизводимые и точные результаты из-за использования алгоритмов денойзинга, а не кластеризации филотипов, в отличие от более классических подходов [20]. Определение таксономической принадлежности филотипов было проведено при помощи классификатора RDP по базе Silva 132 [21]. Филогенетическое дерево было построено в программной среде QIIME2 в пакете SEPP [22]. Для проведения части анализов проводилась нормализация данных c использованием алгоритма разряжения в программной среде QIIME2 при анализе альфа-разнообразия, согласно базовым рекомендациям разработчиков, стабилизация по вариации в составе пакета DESeq2 [23] для сравнения относительной представленности филотипов в образцах. Был проведен анализ альфа-разнообразия (QIIME2), бета-разнообразия (для анализа бета-разнообразия проводилось сравнение сообществ с построением матрицы их сходства/различия с использованием алгоритмов weighted UniFrac, unweighted UniFrac и bray-curtis). Снижения размерности матриц сходств/различий при визуализации данных по исследованию бета-разнообразия проводились с использованием NMDS (неметрическое многомерное шкалирование). В качестве статистики разделения проб при анализе бета-разнообразия использовалась PERMANOVA [24], представленная в виде теста adonis2 в составе пакета vegan [25]. Также определено влияние физико-химических параметров почвы на состав микробиома, посредством проведения теста Мантеля (vegan). Для этого сравнивались матрицы, построенные по дистанциям Брея – Кертиса с использованием корреляции Пирсона со 9999 пермутациями. Для постобработки данных и их визуализации также применяли пакеты R phyloseq [26], ggplot2 [27], ggpubr [28], dplyr [29], tibble [30].
В качестве инструмента для поиска относительной представленности между филотипами был использован пакет DESeq2. Предварительно нормализованные данные были тестированы при помощи теста Вальда, для корректировки достоверности использована поправка Бенджамина – Хотчберга, порог выбран 10 % для отсева недостоверных изменений, и изменение в относительной представленности в 2 раза. Для формализации отбора наиболее значимо изменяющихся семейств использовали классификатор random forest (пакет randomForest [31], количество деревьев 1000) по результатам работы пакета DESeq2 (использовали параметр log2foldchange).
Анализ минорных компонентов сообщества CRT (conditionally rare taxa) проводили с использованием скрипта SimpleRareToPrev.R c порогом представленности 0,001 и b-value (мера биномиальности распределения) 0,9 [32].
РЕЗУЛЬТАТЫ
Анализ разнообразия микробных сообществ
В 36 пробах из 587 362 последовательностей было получено 8096 филотипов. Из них было идентифицировано до семейства 79,4 %, а до рода 47,1 % общего числа филотипов. Из исследованных филотипов ~15 % встречаются в двух и более пробах. Стоит отметить, что именно этими филотипами представлена бóльшая часть ампликонной библиотеки (77 % общего числа просеквенированных нуклеотидных последовательностей). Количество общих филотипов для контрольной площадки и низового пожара значительно меньше, чем для контроля и верхового пожара. При этом, в микробиоме нижнего горизонта коровая часть больше как по количеству, так и по представленности общих филотипов. Из представленных результатов заметно, что при воздействии стрессовых условий на микробиом существенно уменьшается как относительное — с 40,1 % для контроля до 13,9 % для низового пожара, — так и абсолютное количество филотипов (116 OTU–33 OTU) коровых микроорганизмов.
При анализе альфа-разнообразия (табл. 1) различными методами оценки видового богатства (общее количество филотипов, индекс Фейта — филогенетическое разнообразие) и равномерности (обратный индекс Симпсона, индекс Шеннона, индекс Фейта) было показано снижение разнообразия в горизонте AC низового пожара (за исключением филогенетического разнообразия) и увеличение разнообразия в срединном горизонте при верховом пожаре. Кроме того, стоит отметить увеличение видового богатства и снижение равномерности в верхних горизонтах почвы после верхового пожара.
Таблица 1 Результаты анализа альфа-разнообразия | ||||
Почвенный горизонт и точка проботбора | Количество филотипов | Simpson | Shannon | Faith PD |
AY, контроль | 591 ± 14 | 8,2 ± 0,1 | 8,2 ± 0,1 | 52,9 ± 2,9 |
AY, верховой пожар | 755 ± 93 | 7,3 ± 0,4 | 7,3 ± 0,4 | 44,9 ± 6,6 |
AY, низовой пожар | 468 ± 25 | 7,5 ± 0,1 | 7,5 ± 0,1 | 50,6 ± 5,3 |
AC, контроль | 582 ± 49 | 7,7 ± 0,1 | 7,7 ± 0,1 | 50,1 ± 3,9 |
AC, верховой пожар | 755 ± 93 | 8,3 ± 0,1 | 8,3 ± 0,1 | 68,7 ± 5,2 |
AC, низовой пожар | 468 ± 25 | 7,5 ± 0,1 | 7,5 ± 0,1 | 48,9 ± 3,4 |
C, контроль | 499 ± 29 | 7,9 ± 0,1 | 7,9 ± 0,1 | 57 ± 3,5 |
C, верховой пожар | 499 ± 20 | 7,8 ± 0,1 | 7,8 ± 0,1 | 50,5 ± 1,4 |
C, низовой пожар | 394 ± 35 | 7,5 ± 0,4 | 7,5 ± 0,4 | 49,5 ± 4 |
Примечание. Shannon — индекс Шеннона, Simpson — обратный индекс разнообразия Симпсона, Faith PD — индекс филогенетического разнообразия Фейта. | ||||
Также для горизонта AC при низовом пожаре было показано уменьшение минорного компонента (доля филотипов с относительной долей менее 0,01 % уменьшилась с 49 до 35 %). В том числе для срединного горизонта AC характерно резкое изменение частот представленности минорных филотипов при сравнении их распределения в контрольной точке и образцах низового пожара (рис. 1). Ввиду того, что в сообществах наблюдалась существенная флуктуация частот миноров, был проведен анализ этого компонента в отдельности. Для получения дополнительной информации об изменении минорного компонента была выделена подгруппа минорных филотипов CRT (филотипы, доля которых не превышает 1 % и коэффициент биномиальности распределения по образцам больше 0,9) для каждого из горизонтов почвы. Для горизонта C было получено 429, для AC — 523, для AY — 1144 CRT. При анализе тестом Мантеля построенных дистанций Брея – Кертиса, для CRT- и неCRT-филотипов, была получена сильная корреляция для всех исследуемых горизонтов (AY — R2 = 0,7, p-value = 0,001, AC — R2 = 0,8, p-value = 0,001, C–AC — R2 = 0,82, p-value = 0,001).
Рис. 1. Распределение представленности филотипов по их частотам. По оси абцисс — интервалы относительной представленности филотипов (в процентах от общего числа филотипов в образце), по оси ординат — медианное значение количества филотипов для данного диапазона
При анализе бета-разнообразия (рис. 2) для каждого из горизонтов все микробиомы во всех точках проботбора (контроль, точка низового пожара, верхового пожара) достоверно различаются. При этом при использовании взвешенных метрик (с учетом доли филотипа в сообществе) резко выделяется горизонт AC (Брей – Кертис — R2 = 0,68, padj = 0,001, взвешенный UniFrac — R2 = 0,71, padj = 0,002, невзвешенный UniFrac — R2 = 0,3, padj = 0,002).
Рис. 2. Ординация NMDS по дистанции бета-разнообразия Брея – Кертиса почвенного микробиома. Форма маркеров — тип пожара, подписи — горизонт и точка проботбора
Оценка количества микроорганизмов при помощи полимеразной цепной реакции в реальном времени
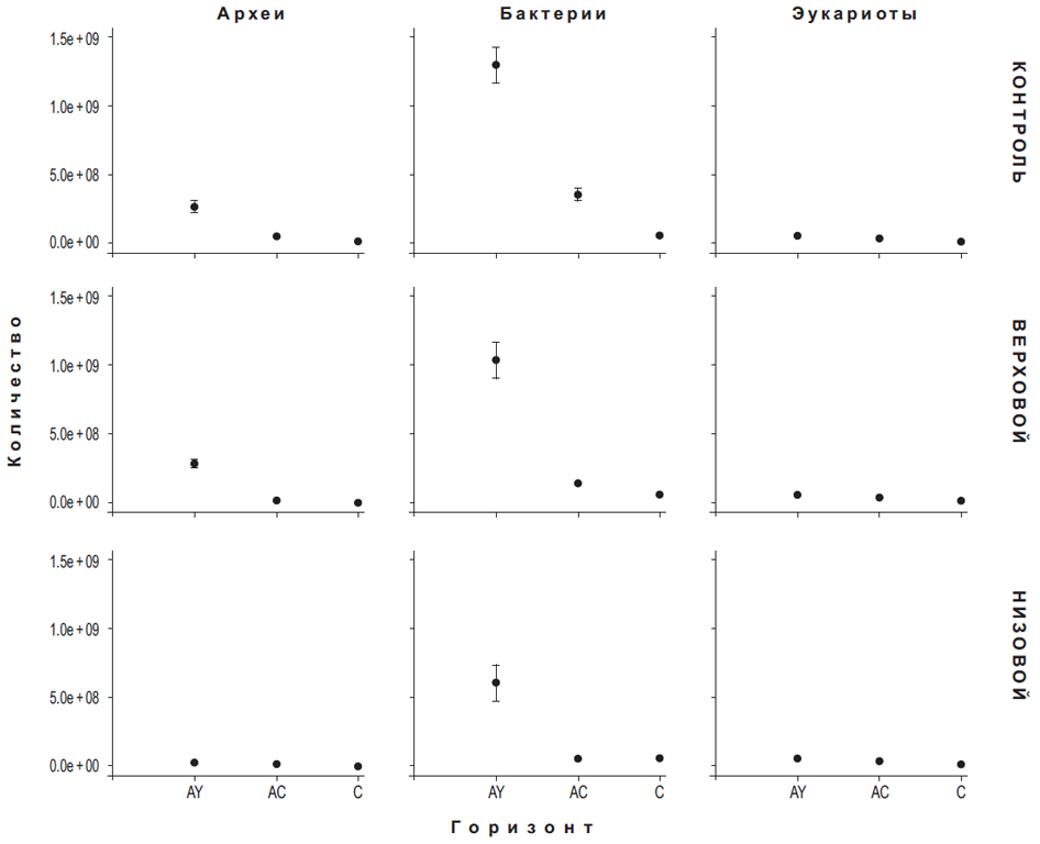
Для контрольной точки характерно значительное (в 5–8 раз) уменьшение численности анализируемых групп микроорганизмов от верхних почвенных горизонтов к нижним (рис. 3). В контрольных образцах в сообществах преобладали бактерии, на втором месте по численности были археи, и на третьем — грибы. Примерно такая же картина наблюдалась и для верхового пожара, при этом было показано, что общее количество микроорганизмов в точке верхового пожара снижается. Для низового пожара характерно резкое уменьшение количества архей во всех горизонтах (в 13 раз) и незначительное уменьшение бактерий (в 2 раза), при этом количество грибных рибосомальных оперонов в горизонтах AY и С достоверно не отличается от контроля. Значительные изменения при восстановлении почвы при низовом пожаре претерпевает промежуточный горизонт AC. Общее количество микроорганизмов в нем ниже, чем в нижележащем материнском горизонте, количество рибосомальных оперонов архей снизилось в 70 раз по сравнению с контролем.
Рис. 3. Полимеразная цепная реакция в реальном времени. По вертикали — количество рибосомальных оперонов, отмечена ошибка среднего
Физико-химические параметры почвы и разнообразие микробного сообщества
По результатам проведенного теста Мантеля (табл. 2) была показана сильная достоверная корреляция между структурой почвенного микробиома и содержанием в почве нитритов и субстрат-индуцированного дыхания. Более слабая корреляция была показана для базального дыхания и содержания калия в почве.
Таблица 2 Результаты теста Мантеля для всех образцов | ||
Параметр | R2 | p-value |
pH | 0,36 | 0,05 |
C | –0,14 | 0,6 |
N | –0,16 | 0,75 |
P2O5 | 0,15 | 0,37 |
K2O | 0,43 | 0,04 |
NH4 | –0,12 | 0,72 |
NO3 | 0,67 | 0,02 |
Базальное дыхание | 0,44 | 0,02 |
Субстрат-индуцированное дыхание | 0,6 | 0,002 |
Для доминирующих систематических групп также был сделан тест Мантеля для наиболее сильно влияющих на микробиом геохимических показателей (табл. 3). Значительные отличия между исследуемыми группами были показаны по корреляции микробного сообщества и pH, а также по корреляции к уровню нитрита в почве. В отличие от мажорных бактериальных фил, бета-разнообразие архей не коррелирует с уровнем нитратов в почве и показывает сильную достоверную корреляцию только с уровнем субстрат-индуцированного дыхания в почве.
Таблица 3 Результаты теста Мантеля для основных таксономических групп (крупные бактериальные филы и археи) | ||||||||||||
Параметр | Arhaea | Actinobacteria | Acidobacteria | Verrucomicrobia | Proteobacteria | Firmicutes | ||||||
R2 | p-value | R2 | p-value | R2 | p-value | R2 | p-value | R2 | p-value | R2 | p-value | |
pH | –0,13 | 0,32 | 0,38 | 0,4 | 0,28 | 0,1 | 0,29 | 0,12 | 0,43 | 0,02 | 0,53 | 0,01 |
K2O | 0,4 | 0,19 | 0,49 | 0,01 | 0,35 | 0,08 | 0,32 | 0,16 | 0,4 | 0,01 | 0,53 | 0,01 |
NO3 | 0,31 | 0,11 | 0,81 | 0,001 | 0,56 | 0,02 | 0,5 | 0,03 | 0,7 | 0,01 | 0,83 | 0,01 |
Базальное дыхание | 0,37 | 0,16 | 0,49 | 0,003 | 0,44 | 0,02 | 0,46 | 0,04 | 0,35 | 0,04 | 0,5 | 0,03 |
Субстрат-индуцированное дыхание | 0,6 | 0,02 | 0,6 | 0,001 | 0,57 | 0,004 | 0,58 | 0,01 | 0,51 | 0,003 | 0,6 | 0,005 |
Анализ таксономической структуры
Превалирующими филами в исследуемых образцах для верхнего горизонта AY были филы Proteobacteria (40 %), Acidobacteria (13,7 %), Actinobacteria (13,6 %) и Bacteroidetes (11,9 %). Для горизонта AC — Proteobacteria (36,5 %), Acidobacteria (18,8 %), Actinobacteria (12,3 %) и Bacteroidetes (11,3 %). В горизонте AY при верховом пожаре достоверно уменьшаются представители Acidobacteria (padj = 0,004), Alphaproteobacteria (padj = 0,026), Thaumarchaeota (padj = 8,4 · 10–8), Bacteroidetes (padj = 0,044), резко выросла доля Actinobacteria (padj = 0,0028) c 7,2 до 22,2 %, увеличилась доля филы Gemmatimonadetes (padj = 3,6 · 10–4). В горизонте AC уменьшилась доля Bacteroidetes (padj = 0,025), Thaumarchaeota (padj = 7,6 · 10–11), выросла доля Acidobacteria (padj = 0,005) и Planctomycetes (padj = 2,2 · 10–4), Deltaproteobacteria (padj = 0,003), Gemmatimonadetes (padj = 3,4 · 10–9).
После низового пожара в горизонте AY снизилась доля представителей филы Alphaproteobacteria (padj = 0,006), Thaumarchaeota (padj = 0,07), Bacteroidetes (padj = 0,02), выросла доля Cyanobacteria (padj = 0,006), Gemmatimonadetes (padj = 0,04). В среднем горизонте AC при низовом пожаре уменьшилась доля Thaumarchaeota (padj = 0,014), Patescibacteria, Firmicutes, Chloroflexi, выросла доля Alphaproteobacteria (padj = 0,047), Deltaproteobacteria (padj = 0,001), Actinobacteria (padj = 2,1 · 10–8), Planctomycetes (padj = 0,018), Nitrospirae (padj = 0,003).
Было показано, что в срединном горизонте AC в точке низового пожара, по сравнению с точкой контроля, достоверно увеличилась численность 152 филотипов, преимущественно относящихся к филам Proteobacteria (31,6 %), Acidobacteria (17,7 %), Actinobacteria (16,8 %), Bacteroides (15,8 %). Уменьшилось 267 филотипов из фил Proteobacteria (30,1 %), Acidobacteria (21,8 %), Actinobacteria (10,9 %), Bacteroidetes (10,9 %). В верхнем горизонте достоверно увеличилось 337 филотипов из фил Proteobacteria (29,5 %), Acidobacteria (16,5 %), Actinobacteria (14 %), Bacteroidetes (11,2 %). Уменьшилось 156 филотипов из фил Proteobacteria (32,3 %), Acidobacteria (23,2 %), Bacteroidetes (14,8 %) и Actinobacteria (7 %).
При верховом пожаре наблюдалось изменение меньшего числа филотипов, чем при низовом пожаре. В среднем горизонте увеличилось 77 филотипов, уменьшилось 100. В верхнем горизонте AY после верхового пожара увеличилось достоверно 77 филотипов, уменьшилось — 100. При этом наблюдалась сильная асимметрия в распределении по представителям актинобактерий — количество актинобактерий, увеличивающих свое количество в верхнем горизонте после верхового пожара, более чем в два раза превышала число уменьшающихся. По данным, приведенным выше, видно, что при низовом пожаре наблюдается такая же тенденция для верхнего горизонта почвы.
Несмотря на кажущуюся схожесть изменения бактериального сообщества при верховом и низовом пожарах, при анализе отдельных филотипов выявляются существенные отличия. По результатам сравнения участков контроля и после пожара при помощи классификатора random forest по результатам работы пакета DESeq2 были выявлены наиболее значимо изменяющиеся семейства.
По сравнению с контролем при верховом пожаре в верхнем горизонте AY было показано уменьшение доли представителей семейств TRA3-20 класса Gammaproteobacteria (широко представленные неидентифицированные минорные филотипы), отдела Rhizobiacea из семейств Xanthobacteraceae (многочисленные неидентифицированные филотипы, идентифицированные рода Bradyrhizobium, Rhodoplanes, Tardiphaga, мажорный филотип Seq4 — 1,2 % в контроле, padj = 0,0012) и группы Rhizobiales Incertae.
Для низового пожара в верхнем горизонте также уменьшается доля группы Rhizobiales Insertae, при этом некоторые минорные представители семейства Xanthobacteraceae (Rhodoplanes, Seq274, Pseudolabris и др.), в отличие от верхового пожара, значительно увеличивают свою представленность.
Для верхнего горизонта постпирогенных точек, особенно для низового пожара, показано уменьшение доли представителей семейства Nitrososphaeraceae филы Thaumarchaeota, при этом данное семейство представлено большим количеством неидентифицированных филотипов, с одним доминирующим (Seq1, в контрольной точке 3,9 %). При этом минорные филотипы Nitrososphaeraceae не показывают достоверного изменения между исследуемыми точками.
После низового и верхового пожаров в верхнем горизонте происходит рост мажорных семейств из фил, описанных выше: в точке верхового пожара Actinobacteria (семейства Micrococcacea, Microbacteriaceae), в точке низового пожара Actinobacteria (семейства Microbacteriaceae, Thermomonosporaceae, Mycobacteriaceae), Bacteroidetes (Flavobacteriaceae), Chloroflexi (Caldilineaceae). Для верхового пожара особенно характерно резкое увеличение двух филотипов — Micrococcus (отсутствует в контроле, в точке верхового пожара 0,55 %) и Pseudarthrobacter (0,1 и 9,6 % соответственно).
Для срединного горизонта AC постпирогенных точек, как и для верхнего горизонта, также характерно снижение доли представителей Xanthobacteraceae и Rhizobiales Insertae. Для точки верхового пожара также продолжается тенденция к уменьшению доли представителей семейства Nitrososphaeraceae филы Thaumarchaeota. В срединном горизонте низового пожара Seq1 также снижает свою численность (padj = 0,01), но появляется другой, уникальный для данного образца филотип (Seq164, доля в горизонте AC низового пожара 1,02 %).
Для точек верхового и низового пожаров также характерно уменьшение доли семейства Myxococcaceae (Actinobacteria). Кроме этого, в точке верхового пожара уменьшилась доля Solirubrobacteraceae (Actinobacteria) и Nitrososphaeraceae. В точке низового пожара уменьшились Gaiellaceae (Actinobacteria, мажорный филотип Gaiella (padj = 0,0004, 1,05 % в контроле)), Pyrinomonadaceae (Acidobacteria, мажорный филотип RB41 (10,3 % в контрольной точке, 2,7 % в точке низового пожара)), Anaerolineaceae (Chloroflexi, несколько минорных филотипов и UTCFX1 (padj = 6.9 · 10–9, 0,56 % для слоя AС)), BSV26 (минорные филотипы филы Bacteroidetes), Saprospiraceae (Bacteroidetes, порядок Chitinophagales, множественные минорные филотипы и неидентифицированный мажорный филотип Seq46 (1,32 в контрольном горизонте AC, padj = 1.8 · 10–6)), Saprospiraceae (Bacteroidetes, множественные минорные филотипы), Bacillaceae (Firmicutes, род Bacillus (padj = 0,0004)).
В точках после пожара отмечен рост семейства Sphingobacteriaceae, представленного филотипами двух родов — Mucilaginibacter и Pedobacter, кроме этого семейства при низовом и верховом пожарах другие семейства значимо не увеличивают свою долю совместно, относительно контрольной точки.
Для горизонта AC верхового пожара происходит рост представителей следующих семейств: Ilumatobacteraceae (Actinobacteria, множественные минорные филотипы), Mycobacteriaceae (род Mycobacterium, один из мажорных филотипов, padj = 0,0015), Gemmatimonadaceae (множественные минорные филотипы), Solibacteraceae (минорные филотипы и рост мажорного филотипа Bryobacter (padj = 0,06)), WD2101 (Planctomycetes, множественные минорные филотипы), Opitutaceae (Verrucomicrobia, множественные минорные филотипы, при этом мажорный филотип филы Verrucomicrobia, семейства Chthoniobacteraceae, Candidatus Udaeobacter достоверно не меняется (padj = 0,69)). Для низового пожара наблюдается рост в семействах: Microbacteriaceae (Actinobacteria, достоверный рост наблюдается и в верхнем горизонте), SC-I-84 (Gammaproteobacteria, минорные филотипы), env.OPS_17 (минорные филотипы порядка Sphingobacteriales), Blastocatellaceae (Acidobacteria, множественные филотипы, особенно характерно появление неидентифицированного филотипа Seq69, наблюдаемого только в горизонтах AC (2,38 %) и C (0,26 %) низового пожара), Rhizobiaceae (роды Ensifer (padj = 0,0015)), Allorhizobium (padj = 0,0015), Mesorhizobium (padj = 0,0015) Aminobacter (padj = 0,0015)).
ОБСУЖДЕНИЕ
При анализе общей структуры микробного сообщества, его биоразнообразия и коровой структуры пирогенной почвы, были показаны ее особенности. В почве после лесного пожара происходит уменьшение коровой составляющей, за счет увеличения разнообразия минорного компонента микробиома, характерного для постпирогенных горизонтов. Особенно резко это проявляется в горизонте AC, наименее заметно — в горизонте C. Уменьшается как абсолютное количество коровых филотипов, так и их относительная представленность. Нужно отметить, что в литературе широко представлено мнение о том, что метаболитически активна и чувствительна к изменениям окружающей среды часть микробиома, представленная именно минорными филотипами [34, 35].
При анализе бета-разнообразия было показано сильное различие в результатах для взвешенных (взвешенный UniFrac, дистанция Брея – Кертиса) и метода, не учитывающего представленность отдельных филотипов (невзвешенный UniFrac), особенно сильно выраженное в срединном горизонте почв после низового пожара. Возможно, это связано с уменьшением минорного компонента в этих образцах. Для подтверждения этой теории были выделены таксоны, относящиеся к CRT. В литературе представлены противоречивые данные об этой группе [32, 33], хотя есть исследования, показывающие, что в отсутствие стрессовых условий структура CRT не отличается от остальной части [33]. Нами была показана сильная корреляция CRT- с неCRT-компонентами почвенного микробиома, что не позволяет говорить о какой-либо ярко выраженной роли CRT-компоненты почвы при пожаре, что не значит, что отдельные представители этой группы не могут играть важной роли в восстановлении почвы после воздействия стрессового фактора, такого как лесной пожар.
При анализе изменения в таксономической композиции на основе 16S рРНК ампликонов в большинстве работ глубина анализа ограничивается только уровнем филы. При этом, если после пожара прошло несколько лет, в некоторых случаях разница в таксономической структуре между точками, пострадавшими от лесного пожара, и контрольными точками не отслеживается (два года после лесного пожара [1]), хотя на более коротких хроносериях наблюдаются значительные изменения даже на таких высоких уровнях. В двух работах спустя 3 [9] и 7 [37] лет после лесного пожара были обнаружены изменения на уровне фил, что, возможно, связано в третьем случае с медленной скоростью восстановления почвы, исследованной в условиях субарктического климата. В перечисленных выше работах, где после лесного пожара прошло более года, показано увеличение фил Actinobacteria and Gemmatimonadetes [9], AD3 и Gemmatimonadetes [31]. Стоит отметить, что в литературе проводились исследования таксономического состава почвенной микробиоты на более ранних сроках после лесного пожара [7, 8], при этом изменения таксономического состава зачастую противоположны более поздним тенденциям (как, например, рост сразу после пожара доли Firmicutes, Betaproteobacteria, Bacteroidetes — характерных для быстрой колонизации).
Интересно, что в работе с засевом почвенной микробиоты в лабораторных условиях в почву с содержанием пирогенного углерода [5] был показан устойчивый рост представителей филы Gemmatimonadetes и Actinobacteria (Myxococcaceae). Нами было показано увеличение общей доли представителей филы Gemmatimonadetes в горизонте AY постпирогенных точек и в горизонте AC верхового пожара. Судя по всему, мы можем привязать увеличение данной группы к реакции почвенной микробиоты на пирогеннный углерод. На более низком таксономическом уровне нам не удалось показать значимых изменений, так как в исследуемых образцах было идентифицировано 114 филотипов из данной филы, представляющих минорную компоненту почвенного микробиома, крайне изменчивую в исследуемых точках, что затрудняет статистический анализ данной группы, предположительно играющую важную роль в реамидиации почвы после лесных пожаров.
Повышение доли филы Actinobacteria, отмеченное нами в горизонтах AY верхового пожара и горизонте AC низового, гораздо более дискуссионно. Реакция актиномицетов при восстановлении почвы сильно различается как на уровне семейств, так и на уровне отдельных филотипов. При этом в литературе показана важная роль отдельных представителей актиномицетов в реамедиации постпирогенных почв (для представителей рода Arthrobacter семейства Micrococcaceae [9]), что хорошо сочетается с литературными данными о возможности деградации различными актиномицетами (Mycobacterium, Rhodococcus) широкого спектра окисленных органических соединений, включая образующиеся во время горения циклопиррены [38, 39]. Нами было показано резкое увеличение в горизонте AY верхового пожара филотипа рода Pseudoarthobacter и других представителей семейства Micrococcales, что также можно связать с их возможным участием в деградации продуктов горения. Описанное в литературе характерное увеличение в постпирогенной почве таких актиномицетов, как Solirubrobacter, Myxococcus, Mycobacterium, в наших данных показали неоднозначные изменения в зависимости от горизонта и точки исследования.
После лесного пожара отмечается резкое уменьшение представителей филы Traumarhaeota. Как показано в литературе [34], эти микроорганизмы ассоциированы с окислением свободного аммония в почве. В литературе описано [32], что Nitrososphaera обратно коррелирует с наличием в почве представителей Xanthobacteraceae в аграценозах, так как они являются антагонистами в цикле азота. В нашем исследовании было показано резкое снижение как Nitrososphaera, так и Xanthobacteraceae и других представителей Rhizobiales в постпирогенных почвах. Снижение группы Rhizobiales не происходит в верхних горизонтах почвы после низового пожара. При этом корреляция между дистанцией Брея – Кертиса для отдела Rhizobiales и уровнем нитритов не отличается от средних значений для всех остальных микроорганизмов (R = 0,5467, p-value = 0,02), что косвенно указывает на то, что численность Rhizobiales не находится в прямой зависимости от уровня доступного азота и реакция является более комплексной. По-видимому, несмотря на снижение уровня доступного азота после пожара, нарушилась также и структура растительно-микробных взаимодействий в почве, что и приводит к уменьшению Rhizobiales в некоторых почвенных горизонтах.
Стоит отметить изменение в постпирогенной почве специфических маркерных групп микроорганизмов, ассоциированных с биодеградацией сложных органических соединений и биоремедиацией почв, загрязненных тяжелыми металлами. Так, в горизонте AC низового пожара был отмечен резкий рост Blastocatellaceae, ассоциированных с биодеградацией сложных органических соединений [41, 42]. Фила Planctomices (наиболее характерное семейство — WD2101) также увеличивала свою долю в послепожарных точках [43]. Представители этой филы отмечены как обитатели сложных биотопов с возможностью метаболизировать целый спектр полимеров. В верхних горизонтах произошло снижение представителей семейств TRA3-20 (описаны ранее в литературе, как характерные представители корового микробиома для почвенных сообществ и шахт, загрязненных тяжелыми металлами [44]), SC-I-84 [44–46] (рост в шахтах с высоким содержанием тяжелых металлов и в пахотной почве), что с трудом поддается однозначной трактовке.
Следует отметить, что, несмотря на близость значений бета-разнообразия для верхнего горизонта почв после всех видов пожаров (R2 = 0,24, p-value = 0,03), изменения в почве, происходящие при низовом и верховом пожарах, имеют различное воздействие на почву, судя по реакции на него микробиома, что было ранее отмечено в различиях представленности таксонов микроорганизмов. Изменение в срединном горизонте AC наиболее контрастно выявляет это различие. Судя по всему, воздействие верхового пожара на почву по большей части ограничено действием продуктов горения, попадающих в почву, что и приводит к росту групп микроорганизмов, ассоциированных с метаболизмом пирогенного углерода (Gemmatimonadetes и Pseudoarthobacter). При низовом пожаре из-за температурного воздействия происходит сложное изменение микроагрегатов почвы, что, возможно, изменяет физико-химические свойства почвы. Стоит также отметить нарушение ризосферы, более ярко проявляющееся при низовом пожаре.
В верхнем горизонте AY почва закислилась при низовом (7,2–6,5) и верховом (7,2–6,1) пожарах. В срединном горизонте AC при низовом пожаре произошло значительное защелачивание (5,5–6,6). Также pH вырос после пирогенеза в нижнем слое. Несмотря на то что по литературным данным [3] pH является важнейшим фактором, определяющим структуру почвенного сообщества, мы не смогли показать эту зависимость, используя тест Мантеля для всего датасета. Скорее всего, это связано с тем, что pH в пробах различался несильно и неравномерно. Стоит отметить, что закисление верхнего горизонта при воздействии пожара на исследуемой территории в общем нехарактерно для поспирогенных почв, и является скорее исключением. В краткосрочной динамике для данного датасета отмечалось характерное для поспирогенных почв защелачивание [3, 7]. При этом, рассматривая влияние экологических факторов на отдельные филы, мы встречаемся как с сильной корреляцией (Firmicutes, Proteobacteria) между структурой почвенного микробиома и pH, так и с отсутствием корреляции (Acidobacteria, Archaea). Корреляция между уровнем почвенного дыхания и структурой микробного сообщества вполне закономерна и ожидаема. При этом была показана корреляция между уровнем нитритов, но не аммония, и общим содержанием азота в почве, что, скорее всего, зависит от степени доступности для микроорганизмов соединений азота в поспирогенной почве. Также полученные результаты по корреляции нитритов и структуры почвенного микробиома можно связать с меньшей растворимостью нитритов, в отличие от аммонийных соединений, у которых отсутствует такой четкий паттерн распределения в почве, как для нитритов.
Наши данные показывают схожие с литературными данными тенденции в изменении таксономической структуры почвенного микробиома после лесного пожара. Показано увеличение доли таксонов, ассоциированных с деградацией веществ, образующиеся после горения. Из нашей работы следует, что верховой пожар оказывает меньшее влияние на почвенный микробиом, чем низовой. Кроме того, была показана большая зависимость полученных данных от исследуемого почвенного горизонта. Особенно сильно изменилось сообщество при низовом пожаре в промежуточном слое AC по сравнению с верхним и нижними горизонтами, как в представленности отдельных групп микроорганизмов, так и в качественном изменении структуры почвенного микробиома.
Работа подержана грантом РНФ № 17-1601030.
About the authors
Grigory V. Gladkov
St. Petersburg State University; All-Russian Research Institute for Agricultural Microbiology
Author for correspondence.
Email: ruginodis@gmail.com
ORCID iD: 0000-0002-5248-9018
SPIN-code: 6677-1380
Scopus Author ID: 57214066592
Research Engineer, Department of Applied Ecology; Research Engineer, Laboratory of Rhizosphere Microflora
Russian Federation, Saint PetersburgEkaterina Yu. Chebykina
St. Petersburg State University
Email: doublemax@yandex.ru
ORCID iD: 0000-0002-2449-2180
SPIN-code: 4242-2483
Scopus Author ID: 52163901800
ResearcherId: O-8872-2014
PhD, Junior Researcher, Department of Applied Ecology
Russian Federation, Saint PetersburgElizaveta V. Evdokimova
St. Petersburg State University; All-Russian Research Institute for Agricultural Microbiology
Email: microbioliza@gmail.com
ORCID iD: 0000-0003-0834-3211
SPIN-code: 5082-3493
Scopus Author ID: 55025444700
ResearcherId: N-2985-2015
PhD, Senior Lecturer, Department of Microbiology, Department of Applied Ecology; Senior Researcher, Laboratory of Microbiological Monitoring and Bioremediation of Soils
Russian Federation, Saint PetersburgEkaterina A. Ivanova
V.V. Dokuchaev Soil Science Institute
Email: katriell@mail.ru
ORCID iD: 0000-0003-1589-9875
SPIN-code: 1641-3923
Scopus Author ID: 56640659000
ResearcherId: F-9279-2017
PhD, Senior Researcher, Department of Soil Biology and Biochemistry
Russian Federation, MoscowAnastasiia K. Kimeklis
Saint-Petersburg State University;All-Russia Research Insitute for Agricultural Microbiology
Email: kimeklis@gmail.com
ORCID iD: 0000-0003-0348-7021
SPIN-code: 9410-7854
Research Engineer, Department of Applied Ecology; Research Engineer, Laboratory of Microbiological Monitoring and Mioremediation of Soils
Russian Federation, Saint PetersburgAlexey О. Zverev
St. Petersburg State University; All-Russian Research Institute for Agricultural Microbiology
Email: azver.bio@gmail.com
Research Engineer, Department of Applied Ecology; Research Engineer, Laboratory of Microbiological Monitoring and Mioremediation of Soils
Russian Federation, Saint PetersburgArina A. Kichko
St. Petersburg State University; All-Russian Research Institute for Agricultural Microbiology
Email: 2014arki@gmail.com
ORCID iD: 0000-0002-8482-6226
Research Engineer, Department of Applied Ecology; Research Engineer, Laboratory of Microbiological Monitoring and Bioremediation of Soils
Russian Federation, Saint PetersburgEvgeny E. Andronov
St. Petersburg State University; All-Russian Research Institute for Agricultural Microbiology; V.V. Dokuchaev Soil Science Institute
Email: eeandr@gmail.com
ORCID iD: 0000-0002-5204-262X
SPIN-code: 5547-4243
Scopus Author ID: 13605813400
ResearcherId: S-1688-2016
PhD, Senior Researcher, Department of Genetics and Biotechnology; Head of Laboratory, Laboratory of Microbiological Monitoring and Bioremediation of Soils; Leading Researcher, Department of Soil Biology and Biochemistry
Russian Federation, Saint Petersburg; Saint Petersburg; MoscowEvgeny V. Abakumov
St. Petersburg State University
Email: e_abakumov@mail.ru
ORCID iD: 0000-0002-5248-9018
SPIN-code: 8878-4010
Scopus Author ID: 8660197600
ResearcherId: B-5291-2013
Doctor of Science, Head of Department, Department of Applied Ecology
Russian Federation, Saint PetersburgReferences
- Sun H, Santalahti M, Pumpanen J, et al. Bacterial community structure and function shift across a northern boreal forest fire chronosequence. Sci Rep. 2016;6:32411. https://doi.org/10.1038/srep32411.
- Neary DG, Klopatek CC, DeBano LF, Ffolliott PF. Fire effects on belowground sustainability: A review and synthesis. For Ecol Manage. 1999;122(1-2):51-71. https://doi.org/10.1016/s0378-1127(99)00032-8.
- Mataix-Solera J, Guerrero C, García-Orenes F, et al. Fire effects on soils and restoration strategies. In: Forest Fire Effects on Soil Microbiology. Science Publishers, Inc., Enfield, New Hampshire, USA; 2009. Р. 133-175. https://doi.org/10.1201/9781439843338-c5.
- Zhalnina K, de Quadros PD, Gano KA, et al. Ca. Nitrososphaera and Bradyrhizobium are inversely correlated and related to agricultural practices in long-term field experiments. Front Microbiol. 2013;4:104. https://doi.org/10.3389/fmicb.2013.00104.
- Khodadad CL, Zimmerman AR, Green SJ, et al. Taxa-specific changes in soil microbial community composition induced by pyrogenic carbon amendments. Soil Biol Biochem. 2011;43(2):385-392. https://doi.org/10.1016/j.soilbio.2010.11.005.
- Song M, Peng WX, Zeng FP, et al. Spatial patterns and drivers of microbial taxa in a karst broadleaf forest. Front Microbiol. 2018;9:1691. https://doi.org/10.3389/fmicb.2018.01691.
- Maksimova EY, Kudinova AG, Abakumov EV. Functional activity of soil microbial communities in post-fire pine stands of Tolyatti, Samara Oblast. Soil Biology. 2017;50(2):249-255. https://doi.org/10.1134/s1064229317020119.
- Xiang X, Shi Y, Yang J, et al. Rapid recovery of soil bacterial communities after wildfire in a Chinese boreal forest. Sci Rep. 2014;4:3829. https://doi.org/10.1038/srep03829.
- Fernández-González AJ, Martínez-Hidalgo P, Cobo-Díaz JF, et al. The rhizosphere microbiome of burned holm-oak: Potential role of the genus Arthrobacter in the recovery of burned soils. Sci Rep. 2017;7(1):6008. https://doi.org/10.1038/s41598-017-06112-3.
- Weber CF, Lockhart JS, Charaska E, et al. Bacterial composition of soils in ponderosa pine and mixed conifer forests exposed to different wildfire burn severity. Soil Biol Biochem. 2014;69:242-250. https://doi.org/10.1016/j.soilbio.2013.11.010.
- Dymov AA, Abakumov EV, Bezkorovaynaya IN, et al. Impact of forest fire on soil properties (review). Theoretical and applied ecology. 2018;(4):13-23. https://doi.org/10.25750/1995-4301-2018-4-013-023.
- Bates ST, Berg-Lyons D, Caporaso JG, et al. Examining the global distribution of dominant archaeal populations in soil. ISME J. 2010;5(5): 908-917. https://doi.org/10.1038/ismej.2010.171.
- Lane DJ. 16S/23S rRNA Sequencing. In: Stackebrandt E., Goodfellow M., eds. Nucleic acid techniques in bacterial systematic. John Wiley and Sons, New York; 1991.
- Muyzer G, de Waal EC, Uitterlinden AG. Profiling of complex microbial populations by denaturing gradient gel electrophoresis analysis of polymerase chain reaction-amplified genes coding for 16S rRNA. Appl Environ Microbiol. 1993;59(3):695-700. https://doi.org/10.1128/aem.59.3.695-700.1993.
- Yu Y, Lee C, Hwang S. Analysis of community structures in anaerobic processes using quantitative real-time PCR method. Water Sci Technol. 2005;52(1-2):85-91.
- The R Project for Statistical Computing. Getting Started [cited 2020 June 22]. Available from: https://www.R-project.org/.
- Bolyen E, Rideout JR, Dillon MR, et al. Reproducible, interactive, scalable and extensible microbiome data science using QIIME. Nat Biotechnol. 2019:37(8):852-857. https://doi.org/10.1038/s41587-019-0209-9.
- RStudio Team. RStudio: Integrated Development for R. RStudio, Inc., Boston, MA; 2016. Available from: http://www.rstudio.com/.
- Callahan BJ, McMurdie PJ, Rosen MJ, et al. DADA2: High-resolution sample inference from Illumina amplicon data. Nat Methods. 2016;13(7): 581-583. https://doi.org/10.1038/nmeth.3869.
- Nearing JT, Douglas GM, Comeau AM, Langille MGI. Denoising the denoisers: an independent evaluation of microbiome sequence error-correction approaches. Peer J. 2018;6:e5364. https://doi.org/10.7717/peerj.5364.
- Quast C, Pruesse E, Yilmaz P, et al. The SILVA ribosomal RNA gene database project: improved data processing and web-based tools. Nucleic Acids Res. 2013;41 (Database issue): D590-D596. https://doi.org/10.1093/nar/gks1219.
- Janssen S, McDonald D, Gonzalez A, et al. Phylogenetic placement of exact amplicon sequences improves associations with clinical information. mSystems. 2018;3(3): e00021-e00018. https://doi.org/10.1128/mSystems.00021-18.
- Love MI, Huber W, Anders S. Moderated estimation of fold change and dispersion for RNA-seq data with DESeq2. Genome Biol. 2014;15(12):550. https://doi.org/10.1186/s13059-014-0550-8.
- Anderson MJ. Permutational multivariate analysis of variance (PERMANOVA). Wiley StatsRef: Statistics Reference Online. 2017;1-15. https://doi.org/10.1002/9781118445112.stat07841.
- Oksanen FJ. Blanchet G, Friendly M, et al. vegan: Community Ecology Package. R package version [cited 2019 September 01]. 2019. Available from: https://CRAN.R-project.org/package=vegan.
- McMurdie PJ, Holmes S. Phyloseq: an R package for reproducible interactive analysis and graphics of microbiome census data. PLoS ONE. 2013;8(4):e61217. https://doi.org/10.1371/journal.pone.0061217.
- Wickham H. ggplot2: Elegant Graphics for Data Analysis. Springer-Verlag New York; 2016.
- Kassambara A. ggpubr: «ggplot2»; Based Publication Ready Plots. R, 2019; package version 0.2.3. Available from: https://CRAN.R-project.org/package=ggpubr.
- Wickham H, François R, Henry L, Müller K. dplyr: A Grammar of Data Manipulation. R package version 0.8.3. 2019. Available from: https://CRAN.R-project.org/package=dplyr.
- Müller K, Wickham H. tibble: Simple Data Frames. R package version 2.1.3. 2019. Available from: https://CRAN.R-project.org/package=tibble.
- Breiman L. Random Forests. Mach Learn. 2001;45(1):5-32. https://doi.org/10.1023/ a:1010933404324.
- Ashley Shade, Stuart E. Jones, J. Gregory Caporaso,, et al. Conditionally Rare Taxa Disproportionately Contribute to Temporal Changes in Microbial Diversity. Am Soc Microbiol. 2014;21(4):3-11. 10.1128/mBio.01371-14.Editor' target='_blank'>https://doi: 10.1128/mBio.01371-14.Editor
- Kaminsky R, Morales SE. Conditionally Rare Taxa Contribute but Do Not Account for Changes in Soil Prokaryotic Community Structure. 2018;9(April): 1-6. 10.3389/fmicb.2018.00809' target='_blank'>https://doi: 10.3389/fmicb.2018.00809
- Dawson W, Hör J, Egert M, et al. A small number of low-abundance bacteria dominate plant species-specific responses during rhizosphere colonization. Front Microbiol. 2017;8:975. https://doi.org/10.3389/fmicb.2017.00975.
- Bay SK, Mcgeoch MA, Gillor O, et al. Soil Bacterial Communities Exhibit Strong Biogeographic Patterns at Fine Taxonomic Resolution. Msystems. 2020; doi: 10.1128/mSystems.00540-20.
- Kaminsky R, Morales SE. Conditionally rare taxa contribute but do not account for changes in soil prokaryotic community structure. Front Microbiol. 2018;9:809. https://doi.org/10.3389/fmicb.2018.00809.
- Weber CF, Lockhart JS, Charaska E, et al. Bacterial composition of soils in ponderosa pine and mixed conifer forests exposed to different wildfire burn severity. Soil Biol Biochem. 2014;69:242-250. https://doi.org/10.1016/j.soilbio.2013.11.010.
- Ghosal D, Ghosh S, Dutta TK, Ahn Y. Current state of knowledge in microbial degradation of polycyclic aromatic hydrocarbons (PAHs): A review. Front Microbiol. 2016. 10.3389/fmicb.2016.01369' target='_blank'>https://doi: 10.3389/fmicb.2016.01369.
- Peng RH, Xiong AS, Xue Y, et al. Microbial biodegradation of polyaromatic hydrocarbons. FEMS Microbiol Rev. 2008;32(6):927-955. https://doi.org/10.1111/j.1574-6976.2008.00127.x.
- Stahl DA, de la Torre JR. Physiology and diversity of ammonia-oxidizing archaea. Annu Rev Microbiol. 2012;66(1):83-101. https://doi.org/10.1146/annurev-micro-092611-150128.
- Wüst PK, Geppert A, Huber KJ, et al. Brevitalea aridisoli, B. deliciosa and Arenimicrobium luteum, three novel species of Acidobacteria subdivision 4 (class Blastocatellia) isolated from Namibian savanna soil and description of the novel family Pyrinomonadaceae. Int J Syst Evol Microbiol. 016;66: 3355-66. https://doi.org/10.1099/ijsem.0.001199.
- Foesel BU, Rohde M, Overmann J. Blastocatella fastidiosa gen. nov., sp. nov., isolated from semiarid savanna soil – the first described species of Acidobacteria subdivision 4. Syst Appl Microbiol. 2013;36:82-89.
- Dedysh SN, Ivanova AA. Planctomycetes in boreal and subarctic wetlands: Diversity patterns and potential ecological functions. FEMS Microbiol Ecol. 2019;95(2). https://doi.org/10.1093/femsec/fiy227.
- Gołebiewski M, Deja-Sikora E, Cichosz M, et al. 16S rDNA pyrosequencing analysis of bacterial community in heavy metals polluted soils. Microb Ecol. 2014;67(3):635-647. https://doi.org/10.1007/s00248-013-0344-7.
- Pershina E, Valkonen J, Kurki P, et al. Comparative analysis of prokaryotic communities associated with organic and conventional farming systems. PLoS One. 2015;10(12): e0145072. https://doi.org/10.1371/journal.pone.0145072.
- Delgado-Baquerizo M, Oliverio AM, Brewer TE, et al. A global atlas of the dominant bacteria found in soil. Science. 2018;359(6373):320-325. https://doi.org/10.1126/science.aap9516.
Supplementary files











