Culturable endophytic bacteria from stems and leaves of garden pea (Pisum sativum L.)
- Authors: Vasileva E.N.1, Akhtemova G.A.1, Afonin A.M.1, Borisov A.Y.1, Tikhonovich I.A.1,2, Zhukov V.A.1
-
Affiliations:
- All-Russia Research Institute for Agricultural Microbiology
- Saint Petersburg State University
- Issue: Vol 18, No 2 (2020)
- Pages: 169-184
- Section: Genetic basis of ecosystems evolution
- Submitted: 28.11.2019
- Accepted: 06.04.2020
- Published: 08.07.2020
- URL: https://journals.eco-vector.com/ecolgenet/article/view/17915
- DOI: https://doi.org/10.17816/ecogen17915
- ID: 17915
Cite item
Abstract
Background. Endophytic microorganisms inhabit internal tissues of most plants. However, little is known about endophytic community of the garden pea (Pisum sativum L.), an agriculturally important crop.
Materials and methods. Culturable endophytic bacteria were isolated from sterilized stems and leaves of three pea genotypes: K-8274 (cv. Vendevil), K-3358 (unnamed cultivar), and cv. Triumph. The taxonomic position of isolates was determined by 16S rRNA gene sequencing. The plant growth-promoting capabilityof identified bacteria was tested on the roots of watercress (Lepidium sativum L.).
Results. In total, out of 118 morphotypes of culturable endophytic bacteria identified, for 80 the taxonomic position was determined. Proteobacteria and Firmicutes were dominant phyla, and Actinobacteria were present in minority. Eight bacterial isolates demonstrated the plant growth-promoting capability, and one of them – KV17 (Rahnella sp.) maintained this capability after several passages and prolonged storage.
Conclusion. The plant growth-promoting bacteria isolated from pea stems and leaves can become a component of microbiological preparations.
Keywords
Full Text
INTRODUCTION
At present, prokaryotic microorganisms are widespread almost everywhere, interacting in different ways with other inhabitants of the biosphere. Researchers show a great interest in these interactions, because they help study the fundamental bases of symbiosis and enable the discovery of new ways of the practical application of such relationships. The management of plant–microbial interactions is especially promising in the field of agriculture due to the ability of several microorganisms to positively affect the growth and development of plants [1]. Thus, nodule bacteria (rhizobia), by entering into symbiosis with plants of the Fabaceae family, acquire the ability to fix atmospheric nitrogen, thus improving the nitrogen nutrition of plants and, subsequently, increase the plants’ productivity and better the soil characteristics. Arbuscular mycorrhizal fungi improve the supply of plants with sparingly soluble phosphates and water [2], and the plant growth-promoting rhizobacteria (PGPR) have a growth-stimulating effect and protect plants from the biotic and abiotic stress factors [3, 4]. Endophytic microorganisms are representatives of microbiota that inhabit the internal tissues of plants.
The concept of “endophyte” was proposed in 1866 for the first time by Anton de Bari, a German microbiologist and plant biologist; this term refers exclusively to the localization of organisms, that is, any microorganism inhabiting the internal tissues of a plant can be considered an endophyte [5]. Over time, this term was elaborated, and new interpretations appeared [6]. Currently, no single concept provides a sufficiently accurate and capacious definition of the concept of “endophyte”; therefore, in this work, the microorganisms, which were isolated from superficially sterilized plant tissues and, which do not cause pathological effects and any noticeable negative influence on plant development, are considered endophytes [1, 7].
Endophytic bacteria can improve the growth, development, and general condition of host plants due to their ability to modulate the level of plant hormones, synthesize vitamins, and better plant nutrient supply [8]. On the basis of these microorganisms, highly effective biological preparations are created, which are used in agricultural practice [9, 10].
The interest in such symbiosis is constantly growing, and at the same time, more attention is paid to the study of bacterial endophytes of various agricultural plants, for example, the garden pea (Pisum sativum L.). Currently, researches mostly focus on the study of endophytes of pea roots and nodules, whereas studies on the biodiversity of leaf and stem tissues are less common [11]. Thus, associations of endophytic bacteria from pea and bean nodules were studied, and bacteria that exhibit growth-stimulating activity were found [12]. In subsequent studies, new bacterial strains from Serratia and Pseudomonas were isolated from pea roots and characterized [13], and the work was also performed to isolate endophytic bacteria from pea nodules and determine their biological activity [14]. In particular, data were published on a promising growth-stimulating strain of nodule endophytes (Ent16) belonging to Serratia, for which, in addition to its general characteristics, the path of penetration into the pea endosphere has been demonstrated [15]. A number of studies have described the diversity of non-rhizobial bacteria inhabiting pea nodules [16, 17]. Studies on the biodiversity of tissues of stems and leaves of pea are less common. Recently, by determining the profile of fatty acids, the presence of bacteria of Bacillus, Pseudomonas, and Pantoea in the leaves and stems of pea plants has been demonstrated [18].
Given that the garden pea is a valuable agricultural crop, its symbiotic potential, that is, responsiveness to inoculation with symbiotic microorganisms, must be investigated and, if possible, improved [2, 19]. Previous studies under conditions of combined inoculation with nodule bacteria and arbuscular-mycorrhizal fungi showed that different pea genotypes vary in terms of responsiveness to inoculation [20, 21]. However, the ability of the garden pea to form symbiosis with endophytic microorganisms and the question of the effectiveness of such symbiosis (in terms of benefits for the plant) have been studied insufficiently [22]. Thus, in this work, the biodiversity of cultivated representatives of the pea endosphere has been studied, and tests have been performed to identify strains that are possible growth-stimulating endophytes, which can be used to create microbiological preparations in the future.
MATERIALS AND METHODS
Plant material and greenhouse study
The experiment was performed at the All-Russia Research Institute for Agricultural Microbiology (Pushkin, St. Petersburg, Russia) in summer vegetation houses, in which the temperature and illumination conditions were determined by the weather. The following genotypes of garden pea (P. sativum) were used: 1) K-8274 (cv. Vendevil, France), which is highly responsive to interaction with beneficial soil microflora (BSM) (a mixture of nodule bacteria and arbuscular-mycorrhizal fungi), from the collection of N.I. Vavilov All-Russian Institute of Plant Genetic Resources (St. Petersburg, Russia); 2) K-3358 (a cultivar from the Saratov region), which is non-responsive, from the collection of N.I. Vavilov All-Russian Institute of Plant Genetic Resources [23]; 3) a cultivar Triumph, obtained by severalbackcrosses of the K-8274 line and the cultivar Classic (Denmark) that inherited the trait of responsiveness to BSM inoculation from K-8274 and the leafless stem type from the cv. Classic, from the collection of Federal Scientific Center For Grain Legumes and Cereal Crops (Orel, Russia) [2, 24]. Responsiveness was defined as the ability of the pea genotype to increase biomass and seed productivity upon inoculation with BSM. According to the data of three-year field experiments, the K-3358 genotype is characterized by a higher seed productivity and biomass than K-8274 and cv. Triumph [21].
The plants were grown in 5 L vessels; soddy–podzolic light loamy soil (Leningrad Scientific Research Institute of Agriculture of the Russian Agricultural Academy “Belogorka,” Leningrad region) was used as a substrate. Five plants of the same genotype were planted in each vessel. The experiment was repeated six times; three vessels were used for the isolation of each of endophytic bacteria. The crop yield of pea genotypes was assessed in the remaining three vessels at the end of the growing season. Watering was performed by weight up to 60% of the total moisture capacity of soil (similar to the experiment described in the work of Zhukov et al. in 2017 [23]). The plant material was collected at the flowering phase of plants, i.e., at the period of the highest activity of rhizosphere microbiota and the formation of active nodules on roots (4 weeks after planting). Then, endophytic bacteria were isolated from the obtained samples.
Preparation of plant material
The plant material was washed under running water; the mixed samples of stems (3rd and 4th internodes) and leaves (starting from 3rd node) were prepared from three randomly selected plants of each line. The ends of leaf and stem fragments were sealed with paraffin, and the surface was sterilized in three sequential stages, namely, treatment with 70% ethanol (1 min), 5% sodium hypochlorite (NaClO) (5 min), and repeated treatment with 70% ethanol (30 s). Each stage was accompanied by three-time rinsing with distilled water [25].
Several samples were used to control the cleanliness of sterilization of the plant surface. Plant samples were ground in a sterile porcelain mortar to a homogeneous mass to isolate the cultivated endophytic bacteria. Then, the homogenate was plated on solid microbiological media and incubated at 28 °C for 3–4 days.
Microbiological testing
All bacterial colonies were described by morphological and cultural characteristics and an individual number, and manipulations were performed using these colonies to obtain pure cultures.
Endophytic bacteria were isolated and cultured on Tryptone soya agar (TSA), 1/20 TSA nutrient media (TD CM0131, Oxoid, England), and on microbiological medium No. 79 composed of the following: (g/l) 0.5 KH2PO4, 0.2 MgSO4 ∙ 7H2O, 0.1 NaCl, trace amounts of CaCO3, 10 mannitol, 0.4 yeast extract; 15 agar.
TSA was used to isolate heterotrophic bacteria. Diluted TSA (1/20) was used to isolate oligotrophic bacteria with sufficiently low nutrient concentrations, and selective microbiological medium (No. 79) was used for the growth of nodule bacteria (rhizobia).
Molecular genetic studies
DNA was isolated from the obtained cultures using the phenol–chloroform method [26]. Bacterial biomass from solid growth media was washed from mucus in buffer (0.5 M ethylenediaminetetraacetic acid; 4 M NaCl; H2O). The precipitate was resuspended in 567 μl TE (pH 8), 30 μl sodium dodecyl sulphate (10%), and 3 μl proteinase K was added. If necessary, 6 μl lysozyme (25 mg/ml) was used to improve lysis. Then, the mixture was incubated at 37 °C for 1 h. A total of 110 μl 5 M NaCl and 80 μl cetrimonium bromide/NaCl were added to the solution, which was incubated again for 10 min at 65 °C.
A total of 0.7 volume of chloroform was added to the resulting mixture, which was stirred and centrifuged for 15 min afterward (13,000 rpm). The supernatant was transferred to a separate tube, and an equal volume of phenol–chloroform mixture (volume ratio of 1 : 1) was added. The solution was mixed and centrifuged under the same conditions. The supernatant was transferred to a new tube, and DNA precipitation was performed using isopropanol (0.6 volume). The salt concentration in the solution was high, and therefore, no addition of salt was required. The solution was centrifuged for 15 min (13,000 rpm), and the precipitate was washed with 70% ethanol. Residual ethanol was removed using a Concentrator Plus centrifugal evaporator (Eppendorf, Germany). The precipitate was dissolved in 100 μl TE (pH 8) overnight at 4 °C.
Identification of cultured endophytic bacteria
The bacteria were identified by sequencing of a diagnostic fragment of the 16S rRNA gene (V3–V9) using primers 642F and 1451R or by sequencing the entire gene (primers 27F and 1451R). Appendix 1 presents sequences of the primers used. PCR was conducted using a ScreenMix mixture to amplify the fragment (Evrogen, Moscow, Russia) under the conditions of 34 cycles, denaturation for 30 s at 95 °C, annealing for 45 s at 55.5 °C, and elongation for 1 min and 45 s at 72 °C.
The amplified fragments were purified with a mixture of exonuclease 1 (Exo1) and thermosensitive alkaline phosphatase (FastAP) (Thermo Scientific, USA). For this purpose, 5 μl PCR product, 1 μl FastAP, and 0.5 μl Exo1 were used. The solution was incubated for 15 min at 37 °C and for another 15 min at 85 °C. The purified products were sequenced on an ABIPrism 3500XL instrument (Applied Biosystems, USA) in accordance with the manufacturer’s protocol. The obtained sequences were compared with those presented in the nucleotide collection database using the National Center for Biotechnology Information BLASTN2.6.1 program [27].
Evaluation of the growth-stimulating activity of isolated strains
The growth-stimulating activity of bacterial endophytes was assessed by the ability to influence positively the growth of the roots of the test garden cress plant (Lepidium sativum L.). We used the seeds of garden cress variety Zabava (agroindustrial firm AELITA, Russia). Two disks of filter paper were placed in Petri dishes and moistened with distilled water (control) or culture liquid. The bacteria were grown in TSA liquid nutrient medium for 2 days to obtain a titer of bacteria of 109 CFU. Then, dilutions of the culture fluid were prepared in ratios of 1 : 10, 1 : 100, and 1 : 1000 to achieve the required titer (108, 107, and 106, respectively). The garden cress seeds were sterilized using 70% ethanol, washed in distilled water, and spread on filter paper, with 20 seeds per Petri dish. The seeds were germinated in growth chambers Vötsch Industrietechnik VB1014 (Germany) for 3 days under the conditions of 16/8 h for day/night at 21 °C, relative air humidity of 75%, and illumination of 7–8 thousand lux. After three days, the root length of each plant was measured [28].
Statistical processing of growth stimulation data
The results obtained during the test on garden cress roots were processed using the GraphPad Prism v7.00 software (GraphPad Software, USA, https://www.graphpad.com). The statistical significance of the effect of endophytic bacteria on the growth of the root system was determined by the nonparametric Dunn’s test. This test was selected because the length of roots did not correspond to the Gaussian distribution, and therefore, the application of parametric criteria was impossible.
RESULTS
Vegetation experiment results
A total of 118 morphotypes of endophytic bacteria were isolated from superficially sterilized leaves and stems of four-week garden pea plants of three genotypes (Table 1). The largest number of morphotypes of endophytic bacteria (50) was found in pea plants of the responsive genotype K-8274. A comparable number of morphotypes of bacteria (49) was isolated from plants of the non-responsive genotype K-3358. The smallest number of cultivated bacterial endophytes was isolated from the plants of the commercial pea cv. Triumph. In plants of all genotypes, the number of morphotypes isolated from stems was lower than that isolated from leaves (stipules). Figure 1 presents the morphotypes of colonies of endophytic bacteria isolated from the plant endosphere. The colonies were generally circular with entire or undulate margin. The color of the colonies was usually soft. Thus, the most common colonies were white, beige, cream, or translucent. The KV75.1 strain had white convex colonies of medium size with entire and undulate margin. Colonies of wrinkled configuration and colonies with lobate or irregularly shaped margin were also found. Rare morphotypes included brightly colored colonies (yellow, orange, and pink).
Fig. 1. Morphotypes of endophytic bacteria isolated from the internal tissues of stems and leaves of garden pea
Table 1 Amount of isolated morphotypes of endophytic bacteria indicating appropriate culture media | |||||||
Plant genotype | Part of plant used for isolation | Total | |||||
Leaf/Stipule | Stem | ||||||
TSA | 1/20TSA | 79 | TSA | 1/20TSA | 79 | ||
Triumph | 5 | 5 | 2 | 3 | 2 | 2 | 19 |
K-8274 | 21 | 17 | 5 | 4 | 1 | 2 | 50 |
K-3358 | 8 | 14 | 6 | 5 | 8 | 8 | 49 |
Total | 34 | 36 | 13 | 12 | 11 | 12 | 118 |
Note. Since Triumph is a leafless cultivar, stipules were analyzed for it instead of missing leaves. | |||||||
At the end of the growing season (3 months), the yield of garden peas (dry green matter and seed mass) was determined (Appendix 2). The values obtained correspond to those of the experiments of other years, conducted under the same conditions [23, 29].
Microbiological research results and molecular genetic identification
All 118 isolates of endophytic bacteria isolated from superficially sterilized organs of garden pea plants were cultivated on solid nutrient media to obtain and further identify pure cultures. Several isolated endophytic bacteria cannot maintain growth on solid nutrient media immediately after their initial isolation. The other parts lost the ability to grow after a certain number of passages. For these reasons, about 1/5 of the isolates cannot be isolated in pure cultures. Several colonies of endophytes divided into two or three morphotypes after passaging. In total, 80 pure cultures of endophytic bacteria were obtained from 118 morphotypes. All pure cultures were maintained on Petri dishes and stored at –80 °C.
The identification of pure cultures of endophytic bacteria by the 16S rRNA gene sequencing method showed that the plants of garden pea (both in the leaves and stems) contained bacteria of phyla Proteobacteria, Firmicutes, and Actinobacteria. The stems of the non-responsive genotype K-3358 were mainly inhabited by bacteria of phylum Proteobacteria with the dominance of families Yersiniaceae and Pseudomonadaceae. Bacteria belonging to phylum Firmicutes, which was represented by the Bacillaceae family and was dominating in this community, were isolated from the leaves of K-3358. Bacteria from Proteobacteria accounted for a small proportion in relation to Gram-positive spore-forming bacteria (Fig. 2).
Fig. 2. Representation of phyla of endophytic bacteria isolated from stems and leaves of various pea genotypes. (In case of leafless pea sort “Triumph” stipules were studied instead of leaves)
Endophytic bacteria of Proteobacteria, represented by families Bradyrhizobiaceae, Yersiniaceae, Enterobacteriaceae, Oxalobacteraceae, Ralstoniaceae, and Sphingomonadaceae, dominated in the stems and leaves of the responsive genotype K-8274. Phylum Firmicutes was the second most abundant in the stems and leaves containing the endophytic community of K-8274. In addition, endophytic bacteria belonging to phylum Actinobacteria were found in the leaves of K-8274 plants (Fig. 3).
Fig. 3. Members of the endophytic community of pea plants. The diagrams show the number of representatives of various genera of bacteria
The endophytic community of stems and stipules of the pea cv. Triumph had a similar phyla content to the K-8274 genotype, because Proteobacteria (in which Yersiniaceae family was predominant) were also dominant here, followed by Firmicutes. Furthermore, in the stipules of cv. Triumph plants, bacteria of Actinobacteria were detected, which were found in leaves of K-8274, but not of K-3358.
Given the detailed diversity of endophytic bacteria, in the leaves of the non-responsive genotype K-3358, the dominant position in the bacterial community was occupied by Gram-positive bacteria of Bacillus, and in the leaves of the responsive genotype K-8274, bacteria from Serratia and Bacillus were dominant. At the same time, Gram-negative bacteria of Rahnella, Pseudomonas, Serratia, Enterobacter, and Acinetobacter were found in the leaves of this line.
Gram-negative bacteria from Rahnella and Pseudomonas were predominant in the stems of the non-responsive genotype K-3358, and those from Enterobacter and Luteibacter accounted for minor contents.
In the stems of the responsive genotype K-8274, representatives of six genera of Gram-negative bacteria, namely, Rahnella, Ralstonia, Sphingomonas, Herbaspirillum, Bradyrhizobium, and two different strains of Gram-positive bacteria of Bacillus, were found.
A uniform distribution in the bacterial community according to the diversity of genera was noted in the organs of pea plants of the commercial cultivar Triumph. The stems contained bacteria belonging to Rahnella, Serratia, Enterobacter, Pseudomonas, Sphingomonas, and Staphylococcus. Bacteria of Bacillus, Rahnella, Enterobacter, Micrococcus, and Pseudomonas (dominant group) were also found in the stipules of the pea cv. Triumph.
Growth-stimulating activity test of strains isolated from pea using garden cress as a test plant
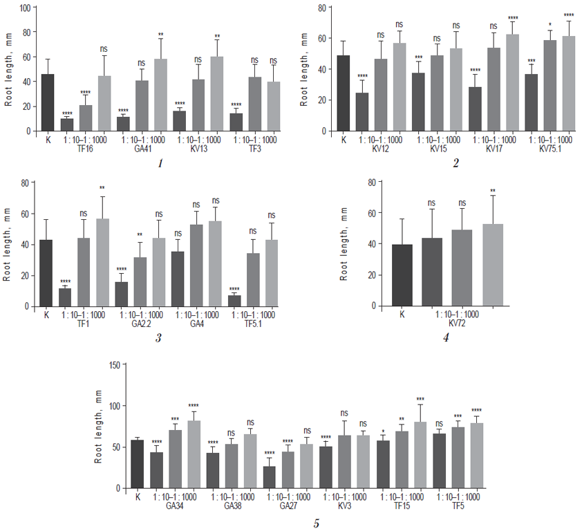
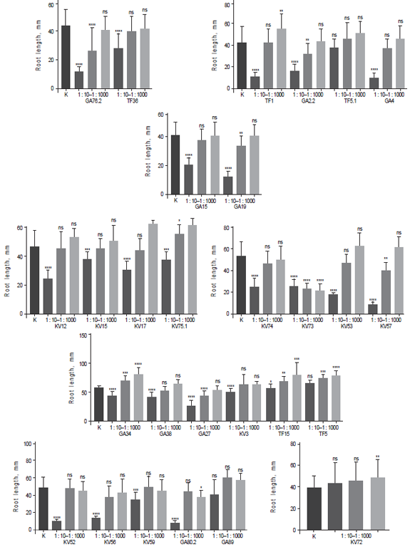
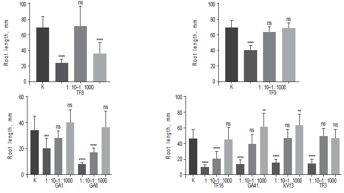
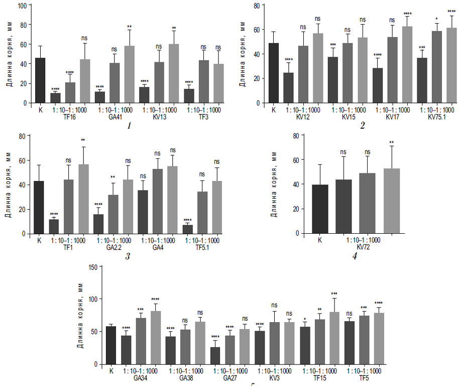
Out of the 80 isolates of endophytic bacteria isolated from pea of three genotypes, 36 strains were selected to determine their growth-stimulating activity. The experiment evaluating the growth-stimulating activity of endophytic bacteria revealed that most bacteria under the concentrations used in this study had no stimulating effect on the growth of garden cress roots. For 28 strains, a regularity inhibitory effect was observed on root growth in the suspension of bacteria in the culture liquid with a dilution of 1 : 10 in comparison with the control (distilled water). At a dilution of 1 : 100, the effect on root growth was insignificant. The suspension of cells of several bacteria in the culture liquid at a dilution of 1 : 1000 stimulated the growth of garden cress roots (Fig. 4, Appendix 3). Table 2 presents the strains that had the most pronounced growth-stimulating properties, along with an indication of their genus. A total of 8 out of the 36 tested strains stimulated the growth of the garden cress root system.
Table 2 Bacterial endophytes that have shown growth-promoting capability | |||||
Plant genotype | Part of plant | No. | Strain | Taxonomy | Increase of the average root length, % |
Triumph | Leaf | 1 | TF1 | Serratia sp. | 33.63 |
2 | TF5 | Rahnella sp. | 27.79 | ||
Stipule | 3 | TF15 | Enterobacter sp. | 30.27 | |
K-3358 | Stem | 4 | KV13 | Rahnella sp. | 47.55 |
5 | KV17 | Rahnella sp. | 28.61 | ||
Leaf | 6 | KV72 | Bacillus sp. | 36.73 | |
7 | KV75.1 | Acinetobacter sp. | 30.48 | ||
K-8274 | Leaf | 8 | GA34 | Serratia sp. | 38.18 |
Fig. 4. The length of the watercress root when inoculated with endophytic bacteria isolated from stems and leaves (stipules). Experiments are marked by numbers (1–5). For each experiment an individual control was set. The p-values for differences between root length of tested plant and control plant are marked as follows: * p < 0.05; ** p < 0.01; *** p < 0.001; **** p < 0.0001; ns – no significant differences
Table 2 shows that all three studied pea genotypes contained bacteria in the endosphere and exhibited the ability to stimulate plant growth and development. A repeated test for growth stimulation conducted for the KV17 strain revealed that this strain retained its properties after long-term storage and passaging (Fig. 5). The increase in the average root length relative to the control was 23.53%.
Fig. 5. Results of a repeated plant growth-promotion test. * p < 0.05; ** p < 0.01; *** p < 0.001; **** p < 0.0001; ns – no significant differences
DISCUSSION
In this work, endophytic communities of leaves (stipules) and stems of peas of three different genotypes (K-8274, K-3358, and the cultivar Triumph) were studied. In the earlier field tests, the K-3358 genotype showed higher seed productivity and biomass compared with K-8274 and cv. Triumph [21]. In the present work, in the vegetation experiment, K-3358 formed 37.83% more biomass than K-8274 and 26.46% more than cv. Triumph. Its seed productivity exceeded the other genotypes by 39.07% and 22.81%, respectively.
A total of 118 morphotypes of cultivated endophytic bacteria were isolated from the plant material. An approximately similar number of isolates (99) were obtained in a work with beans (Phaseolus vulgaris L.) [30]. In pea plants of all three genotypes, the number of identified endophytic bacteria in the leaves was higher compared with that of bacteria inhabiting the stems (Table 1). The leaves probably represent a more favorable niche for the life of bacteria, or penetration into the leaves (through the stomata) is more easily implemented than into the stems (which requires injury to the stem or root or disruption of outer root tissues during the formation of lateral roots [15, 31]). At the same time, the endophytic community of pea plant leaves of genotype K-8274 was the most diverse in comparison with other genotypes, whereas in the most productive K-3358, the greatest diversity was characteristic of stem endophytes. The commercial pea cultivar Triumph contained a small amount of endophytic bacteria in stipules and stems.
The greatest diversity of stem endophytes in the K-3358 genotype and the presence of active and stable growth-stimulating strains of Rahnella (KV17) and Acinetobacter (KV75.1) in the stems and leaves can affect the increase in the green matter of plants (as shown by the results of yield assessment, Appendix 2) and accordingly promote substantial plant growth. Possibly, growth-stimulating endophytic bacteria contribute to an increase in the biomass of the plant and its yield. However, further research is required to confirm this hypothesis.
The pea genotypes K-3358, K-8274, and cv. Triumph were characterized with respect to the trait “effectiveness of interaction with beneficial soil microflora” (EIBSM) [21]. EIBSM, also called “responsiveness,” is understood as the ability of the pea genotype to increase biomass and seed productivity upon inoculation with BSM. The K-3358 genotype, which was characterized by a higher biomass and seed productivity, is non-responsive, in contrast to K-8274 and its descendant cv. Triumph (which inherited the trait of “responsiveness” to BSM inoculation from K-8274) [21]. Given that the K-3358 genotype, which showed the largest number of endophytes exhibiting growth-stimulating properties, was non-responsive to inoculation with nodule bacteria and fungi of arbuscular mycorrhiza (in contrast to K-8274 and cv. Triumph) [29], we can assume that the existence of various mechanisms underlying the positive effect on the yield made by stem endophytes (potential growth stimulants), nodule bacteria, and arbuscular-mycorrhizal fungi.
Molecular genetic identification of endophytic strains enabled the determination of the composition of the endophytic community in the aerial parts of different pea genotypes. Cultivated endophytic bacteria belonging to Proteobacteria were isolated from all the samples, and representatives of Firmicutes were present in all the tissues studied, except for the stems of K-3358. Representatives of Acinetobacter were found in the leaves of genotypes K-8274 and cv. Triumph. In terms of richness of genera and diversity of families, the responsive genotype K-8274 overtook other genotypes, since its stem endosphere contained six representatives of bacterial families, and five such representatives were found in the leaves. In general, the bacterial community of endophytes isolated from plants of the cv. Triumph was similar to that of endophytes of the K-8274 genotype. Such phenomenon can be explained by the fact that the K-8274 genotype is the parental form of the cv. Triumph. However, the question of the influence of plant genotype on the composition of endophytic communities should become the subject of a larger genetic analysis.
According to published data (review by E.N. Vasilieva et al. [11]), numerous representatives of endophytic microbiota can exert a stimulating effect on plant growth and development. The strains of cultivated endophytes obtained in this study were tested for the presence of growth-stimulating activity in the model system (elongation of garden cress roots). Eight potential bacterial strains were identified, and one (KV17, determined as Rahnella sp.) was confirmed to maintain its growth-stimulating activity after long-term storage and passaging. This strain and other similar ones can serve as the basis for creating a microbial preparation after additional tests on other crops. In 2015, with Rahnella aquatilis BIM V-704D strain, Pseudomonas putiida BIM B-702D strain, and an arbuscular mycorrhiza fungus from Glomus as basis, the preparation “Baktopin” was created, which was used for pre-sowing treatment of seeds and vegetative plants. The preparation showed an improvement in the survival rate of seedlings and an increase in their height, and promoted the early onset of budding and flowering phases [32]. Other strains of Rahnella were also reported, and they demonstrated properties valuable for agricultural practice, that is, the synthesis of auxins [33, 34] and siderophores and the ability to convert nitrogen and phosphorus into a form accessible to plants [34].
CONCLUSION
Currently, plants entering into symbiosis with BSM are considered as superorganismal systems, in which the plant genome is supplemented with genes of microorganisms (“the principle of genome complementarity”) [35]. Thus, the endophytic community formed inside plant tissues can provide additional properties to the plant, which leads to an increase in the adaptive potential of the plant–microbial system as a “holobiont.” Metagenomics approaches must be used for the most complete characterization of microbial communities inhabiting plant tissues to clarify the details of the mutually beneficial effect of microorganisms on plants. Sequencing the genomes of endophytic bacteria strains exhibiting growth-stimulating properties will also reveal their key features and thus advance the understanding of the mechanisms of the beneficial effect of endophytic bacteria on plants.
Garden pea (Pisum sativum L.) is an important agricultural crop in the Russian Federation and in the world (FAOSTAT, 2018); it is also a valuable model object for the study of various plant–microbial symbioses. The use of microbiological preparations can stabilize the pea yield, for instance, by reducing losses associated with exposure to stress factors. The growth-stimulating bacteria selected in this study can become one of the components of microbiological preparations.
Acknowledgments
The work by E.N. Vasileva and V.A. Zhukov on the isolation of endophytic bacteria from plants of the cv. Triumph and their molecular genetic identification was supported by the Russian Foundation for Basic Research grant No. 19-016-00194. The work by G.A. Akhtemova, A.M. Afonin, A.Yu. Borisov, and I.A. Tikhonovich on the assessment of the growth-stimulating activity of bacteria was supported by the Russian Science Foundation grant No. 17-76-30016. The authors express gratitude to Lyudmila Evgenievna Dvoryaninova and Natalya Nikolaevna Stepanova (Novoselova) for their help in the work.
Appendix 1 Primers used in the study | |
Title | Sequence |
27F | AGAGTTTGATCMTGGCTCAG |
642F | CCATGUGACCATCCAATGACC |
1451R | TTAAGCGACGGAAAGCCTTC |
Appendix 2 Crop of plans. Vegetative mass of seeds (g) of pea plants Pisum sativum L. | ||
Pea genotype | The average value of vegetative mass, g | The average value of mass of the seeds, g |
К-3358 | 3.68 ± 0.38 | 2.10 ± 0.22 |
К-8274 | 2.67 ± 0.04 | 1.51 ± 0.02 |
Cv. Triumph | 2.91 ± 0.13 | 1.71 ± 0.07 |
Appendix 3
Results of growth-stimulating activity tests for endophytic bacteria. Significance of difference in the length of plant roots from control: * p < 0.05; ** p < 0.01; *** p < 0.001, **** p < 0.0001; ns – no significant differences
About the authors
Ekaterina N. Vasileva
All-Russia Research Institute for Agricultural Microbiology
Author for correspondence.
Email: evasilieva@arriam.ru
ORCID iD: 0000-0001-5599-0361
Technician, Laboratory of Genetics of Plant-Microbe Interactions
Russian Federation, Saint-PetersburgGulnar A. Akhtemova
All-Russia Research Institute for Agricultural Microbiology
Email: ahgulya@yandex.ru
ORCID iD: 0000-0001-7957-3693
PhD, Senior Scientist, Laboratory of Genetics of Plant-Microbe Interactions.
Russian Federation, Saint-PetersburgAlexey M. Afonin
All-Russia Research Institute for Agricultural Microbiology
Email: afoninalexeym@gmail.com
ORCID iD: 0000-0002-8530-0226
PhD student, Laboratory of Genetics of Plant-Microbe Interactions
Russian Federation, Saint-PetersburgAlexey Yu. Borisov
All-Russia Research Institute for Agricultural Microbiology
Email: ayborisov@yandex.ru
ORCID iD: 0000-0001-9834-7368
DSc, Chief Researcher
Russian Federation, Saint-PetersburgIgor A. Tikhonovich
All-Russia Research Institute for Agricultural Microbiology; Saint Petersburg State University
Email: arriam2008@yandex.ru
ORCID iD: 0000-0001-8968-854X
DSc, Scientific Director; Professor, Dean, Faculty of Biology
Russian Federation, Saint-PetersburgVladimir A. Zhukov
All-Russia Research Institute for Agricultural Microbiology
Email: vzhukov@arriam.ru
ORCID iD: 0000-0002-2411-9191
PhD, Head, Laboratory of Genetics of Plant-Microbe Interactions
Russian Federation, Saint-PetersburgReferences
- Partida-Martínez LP, Heil M. The microbe-free plant: fact or artifact? Front Plant Sci. 2011;2:100. https://doi.org/10.3389/fpls.2011.00100.
- Штарк О.Ю., Жуков В.А., Сулима А.С., и др. Перспективы использования многокомпонентных симбиотических систем бобовых // Экологическая генетика. – 2015. – Т. 13. – № 1. – С. 33–46. [Shtark OYu, Zhukov VA, Sulima AS, et al. Prospects for the use of multi-component symbiotic systems of the legumes. Ecological genetics. 2015;13(1):33-46. (In Russ.)]. https://doi.org/10.17816/ecogen13133-46.
- Bais HP, Weir TL, Perry LG, et al. The role of root exudates in rhizosphere interactions with plants and other organisms. Annu Rev Plant Biol. 2006;57:233-266. https://doi.org/10.1146/annurev.arplant.57.032905.105159.
- Цавкелова Е.Л., Климова С.Ю., Чердынцева Т.Л., Нетрусов Л.И. Микроорганизмы-продуценты стимуляторов роста растений и их практическое применение (обзор) // Прикладная биохимия и микробиология. – 2006. – T. 42. – № 2. – C. 133–143. [Tsavkelova EA, Klimova SYu, Cherdyntseva TL, Netrusov LI. Microbial producers of plant growth stimulators and their practical use: a review. Prikladnaya biokhimiya i mikrobiologiya. 2006; 42(2): 133-143. (In Russ.)]
- Wilson D. Endophyte: the evolution of a term, and clarification of its use and definition. Oikos. 1995;73(2):274-276. https://doi.org/10.2307/3545919.
- Hardoim PR, van Overbeek LS, Elsas JD. Properties of bacterial endophytes and their proposed role in plant growth. Trends Microbiol. 2008;16(10):463-471. https://doi.org/ 10.1016/j.tim.2008.07.008.
- Compant S, Clément C, Sessitsch A. Plant growth-promoting bacteria in the rhizo- and endosphere of plants: their role, colonization, mechanisms involved and prospects for utilization. Soil Biol Biochem. 2010;42(5): 669-678. https://doi.org/10.1016/j.soilbio.2009. 11.024.
- Santoyo G, Moreno-Hagelsieb G, Orozco-Mosqueda Mdel C, Glick BR. Plant growth-promoting bacterial endophytes. Microbiol Res. 2016;183:92-99. https://doi.org/10.1016/j.micres.2015.11.008.
- Чеботарь В.К., Макарова Н.М., Шапошников А.И., Кравченко Л.В. Антифунгальные и фитостимулирующие свойства ризосферного штамма Bacillus subtilis Ч-13 продуцента биопрепаратов // Прикладная биохимия и микробиология. – 2009. – T. 45. – № 4. – C. 465–469. [Chebotar VK, Makarova NM, Shaposhnikov AI, Kravchenko LV. Antifungal and phytostimulating characteristics of Bacillus subtilis Ch-13 rhizospheric strain, producer of bioprepations. Prikladnaya biokhimiya i mikrobiologiya. 2009;45(4):465-469. (In Russ.)]
- Чеботарь В.К., Заплаткин А.Н., Щербаков А.В. и др. Микробные препараты на основе эндофитных и ризобактерий, которые перспективны для повышения продуктивности и эффективности использования минеральных удобрений у ярового ячменя (Hordeum vulgare L.) и овощных культур // Сельскохозяйственная биология. – 2016. – Т. 51. – № 3. – С. 335–342. [Chebotar VK, Zaplatkin AN, Shcherbakov AV, et al. Microbial preparations on the basis of endophytic and rhizobacteria to increase the productivity in vegetable crops and spring barley (Hordeum vulgare L.), and the mineral fertilizer use efficiency. Sel’skokhoziaistvennaia biologiia. 2016;51(3):335-342. (In Russ.)]. https://doi.org/10.15389/agrobiology.2016.3.335rus.
- Васильева Е.Н., Ахтемова Г.А., Жуков В.А., Тихонович И.А. Эндофитные микроорганизмы в фундаментальных исследованиях и сельском хозяйстве // Экологическая генетика. – 2019. – Т. 17. – № 1. – С. 19–32. [Vasileva EN, Akhtemova GA, Zhukov VA, Tikhonovich IA. Endophytic microorganisms in fundamental research and agriculture. Ecological genetics. 2019;17(1):19-32. (In Russ.). https://doi.org/10.17816/ecogen17119-32.
- Гарипова С.Р., Гарифуллина Д.В., Маркова О.В., и др. Изучение бактериальных ассоциаций эндофитов клубеньков, способствующих увеличению продуктивности бобовых растений // Агрохимия. – 2010. – № 11. – С. 50–58. [Garipova SR, Garifullina DV, Markova OV, et al. Bacterial endophyte associations of nodules increasing the productivity of legumes. Agrochemistry. 2010;(11):50-58. (In Russ.)]
- Гарифуллина Д.В. Эндофитные бактерии растений гороха как активный компонент бобово-ризобиальной симбиотической системы: Автореф. дис. … канд. биол. Наук. – Уфа, 2012. [GarifullinaDV. Endofitnyye bakterii rasteniy gorokha kak aktivnyy komponent bobovo-rizobial’noy simbioticheskoy sistemy. [dissertation abstract] Ufa; 2012. (In Russ.)]. Доступно по: https://revolution.allbest.ru/agriculture/00982191_0.html. Ссылка активна на 02.02.2020.
- Гарипова С.Р., Гарифуллина Д.В., Маркова О.В., и др. Комплексная биологическая активность in vitro эндофитных бактерий, выделенных из клубеньков гороха и фасоли // Известия Уфимского научного центра Российской академии наук. – 2015. – № 4–1. – С. 25–28. [Garipova SR, Garifullina DV, Markova OV, et al. Complex biological activity in vitro of endophytic bacteria isolated from pea and bean nodules. Izvestiya Ufimskogo Nauchnogo Tsentra Rossiyskoy Akademii Nauk. 2015;(4-1):25-28. (In Russ.)]
- Гарипова С.Р., Гарифуллина Д.В., Баймиев А.Х., Хайруллин Р.М. Межмикробные взаимоотношения бактерий Serratia sp. Ent16 — симбионта клубенька гороха и колонизация ими эндоризосферы хозяина // Прикладная биохимия и микробиология. – 2017. – T. 53. – № 3. – C. 299–307. [Garipova SR, Garifullina DV, Baimiev AH, Khairullin RM. Intermicrobial relationships of the pea nodule symbiont Serratia sp. Ent16 and its colonization of the host endorhizosphere. Prikladnaya biokhimiya i mikrobiologiya. 2017;53(3):299-307. (In Russ.)]. https://doi.org/10.7868/S0555109917030060.
- Selvakumar G, Kundu S, Gupta AD, et al. Isolation and characterization of nonrhizobial plant growth promoting bacteria from nodules of Kudzu (Pueraria thunbergiana) and their effect on wheat seedling growth. Curr Microbiol. 2008;56(2):134-139. https://doi.org/10.1007/s00284-007-9062-z.
- Tariq M, Hameed S, Yasmeen T, Ali A. Non-rhizobial bacteria for improved nodulation and grain yield of mung bean [Vigna radiata (L.) Wilczek]. Afr J Biotechnol. 2012;11:15012-15019. https://doi.org/10.5897/AJB11.3438.
- Elvira-Recuenco M, van Vuurde JW. Natural incidence of endophytic bacteria in pea cultivars under field conditions. Can J Microbiol. 2000;46(11):1036-1041. https://doi.org/10.1139/ w00-098.
- Shtark OY, Borisov AY, Zhukov VA, Tikhonovich IA. Mutually beneficial legume symbioses with soil microbes and their potential for plant production. Symbiosis. 2012;58(1-3):51-62. https://doi.org/10.1007/s13199-013-0226-2.
- Штарк О.Ю., Данилова Т.Н., Наумкина Т.С., и др. Анализ исходного материала гороха посевного (Pisum sativum L.) для селекции сортов с высоким симбиотическим потенциалом и выбор параметров для его оценки // Экологическая генетика. – 2006. – Т. 4. – № 2. – С. 22–28. [Shtark OYu, Danilova TN, Naumkina TS et al. Analysis of pea (Pisum sativum L.) source material for breeding of cultivars with high symbiotic potential and choice of criteria for its evaluation. Ecological genetics. 2006;4(2): 22-28. (In Russ.)]. https://doi.org/10.17816/ecogen4222-28.
- Данилова Т.Н. Эффективность взаимодействия гороха (Pisum sativum L.) с комплексом полезной почвенной микрофлоры. Новый признак селекции зернобобовых культур: Автореф. дис. … канд. биол. наук. – СПб., 2011. – 18 с. [Danilova T.N. Effektivnost’ vzaimodeistviya gorokha (Pisum sativum L.) s kompleksom poleznoi pochvennoi microflory. Novyi priznak selektsii zarnobobovykh kul’tur. [dissertation abstract] Saint Petersburg; 2011. 18 p. (In Russ.)]. Доступно по: https://search.rsl.ru/ru/record/01004859442. Ссылка активна на 02.02.2020.
- Гарипова С.Р. Экологическая роль эндофитных бактерий в симбиозе с бобовыми растениями и их применение в растениеводстве // Успехи современной биологии. –2012. – T. 132. – № 5. – С. 493–505. [Garipova SR. The ecological role of endophytic bacteria in symbiosis with legumes and their use in plant breeding. Advances in modern biology. 2012;132(5): 493-505. (In Russ.)]
- Жуков В.А., Ахтемова Г.А., Жернаков А.И., и др. Симбиотическая эффективность генотипов гороха посевного (Pisum sativum L.) при моделировании в вегетационном эксперименте // Сельскохозяйственная биология. – 2017. – Т. 52. – № 3. – С. 607–614. [Zhukov VA, Akhtemova GA, Zhernakov AI, et al. Evaluation of the symbiotic effectiveness of pea (Pisum sativum L.) genotypes in pot experiment. Sel’skokhoziaistvennaia biologiia. 2017;52(3):607-614. (In Russ.)]. https://doi.org/10.15389/agrobiology.2017.3.607rus.
- Наумкина Т.С., Борисов А.Ю., Штарк О.Ю., и др. Использование симбиозов бобовых при создании высокоэффективных растительно-микробных систем для адаптивного растениеводства // Аграрная Россия. – 2011. – № 3. – С. 35–37. [Naumkina TS, Borisov AYu, Shtark OYu, et al. Use of symbioses of pod-bearing plants for building of highly effective plant-microbic systems for adaptive plant growing. Agrarian Russia. 2011;3:35-37. (In Russ.)]. https://doi.org/10.30906/1999-5636-2011-3-35-37.
- Hallmann J, Berg G. Spectrum and population dynamics of bacterial root endophytes. In: Schulz BJ, Boyle CJ, Sieber TN, eds. Microb. Root Endophytes. Part of the Soil Biology book series (SOILBIOL, vol. 9). Berlin, Heidelberg: Springer Berlin Heidelberg; 2006. Р. 15-31. https://doi.org/10.1007/3-540-33526-9_2.
- Wilson K. Preparation of genomic DNA from bacteria. Curr Protoc Mol Biol. 2001; Ch. 2: Unit 2.4. https://doi.org/10.1002/0471142727.mb0204s56.
- Zhang Z, Schwartz S, Wagner L, Miller W. A greedy algorithm for aligning DNA sequences. J Comput Biol. 2000;7(1-2):203-214. https://doi.org/10.1089/10665270050081478.
- Берестецкий О.А. Фитотоксины почвенных микроорганизмов и их экологическая роль. Фитотоксические свойства почвенных микроорганизмов. – Л.: Изд-во ВНИИ сельскохозяйственной микробиологии, 1978. – С. 7–31. [Berestetskiy O.A. Fitotoksiny pochvennykh mikroorganizmov i ikh ekologicheskaya rol’. Fitotoksicheskiye svoystva pochvennykh mikroorganizmov. Leningrad: Izd-vo VNII sel’skokhozyaystvennoy mikrobiologii; 1978. P. 7-31. (In Russ.)]
- Mamontova T, Afonin AM, Ihling C, et al. Profiling of seed proteome in pea (Pisum sativum L.) lines characterized with high and low responsivity to combined inoculation with nodule bacteria and arbuscular mycorrhizal fungi. Molecules. 2019;24(8). pii: E1603. https://doi.org/10.3390/molecules24081603.
- López-López A, Rogel MA, Ormeño-Orrillo E, et al. Phaseolus vulgaris seed-borne endophytic community with novel bacterial species such as Rhizobium endophyticum sp. nov. Syst Appl Microbiol. 2010;33(6):322-327. https://doi.org/10.1016/j.syapm.2010.07.005.
- Dong Y, Iniguez AL, Triplett EW. Quantitative assessments of the host range and strain specificity of endophytic colonization by Klebsiella pneumoniae 342. Plant Soil 2003;257(1):49-59. https://doi.org/10.1023/A:1026242814060.
- Соловьева Е.А., Алещенкова З.М., Сафронова Г.В., и др. Микробный препарат Бактопин в технологии возделывания однолетних цветочных растений // Роль ботанических садов и дендрариев в сохранении, изучении и устойчивом использовании разнообразия растительного мира: Материалы Международной научной конференции, посвященной 85-летию Центрального ботанического сада Национальной академии наук Беларуси: в 2-х частях. – Минск, 2017. – С. 284–287. [Solovyova EA, Aleshenkova ZM, Safronova GV, et al. Application of microbial preparation Bactopin in technology of growing ornamental plants. (Conference proceedings) Rol’ botanicheskih sadov i dendrariev v sohranenii, izuchenii i ustojchivom ispol’zovanii raznoobraziya rastitel’nogo mira: Materialy Mezhdunarodnoy nauchnoy konferentsii, posvyashchennoy 85-letiyu Tsentral’nogo botanicheskogo sada Natsional’noy akademii nauk Belarusi: v 2-kh chastyakh. Minsk; 2017. P. 25-28. (In Russ.)]
- Malfanova N, Kamilova F, Validov S, et al. Characterization of Bacillus subtilis HC8, a novel plant-beneficial endophytic strain from giant hogweed. Microb Biotechnol. 2011;4(4):523-532. https://doi.org/10.1111/j.1751-7915.2011.00253.x.
- Kandel SL, Firrincieli A, Joubert PM, et al. An in vitro study of bio-control and plant growth promotion potential of salicaceae endophytes. Front Microbiol. 2017;8:386. https://doi.org/10.3389/fmicb.2017.00386.
- Тихонович И.А., Андронов Е.Е., Борисов А.Ю., и др. Принцип дополнительности геномов в расширении адаптационного потенциала растений // Генетика. – 2015. – Т. 51. – № 9. – С. 973. [Tikhonovich IA, Andronov EE, Borisov AYu, et al. The principle of genome complementarity in the enhancement of plant adaptive capacities. Genetika. 2015;51(9):973. (In Russ.)]. https://doi.org/10. 7868/S001667581509012X.
Supplementary files


















