Induced expression of rolC for study of its effect on the expression of genes associated with nicotine synthesis in tobacco
- Authors: Amini G.1, Sokornova S.V.2, Mohajjel-Shoja H.1, Stavrianidi A.N.3, Rodin I.A.3, Matveeva T.V.4
-
Affiliations:
- University of Tabriz
- All-Russian Institute of Plant Protection
- Lomonosov Moscow State University
- Saint Petersburg State University
- Issue: Vol 18, No 4 (2020)
- Pages: 413-422
- Section: Genetic basis of ecosystems evolution
- Submitted: 17.04.2020
- Accepted: 11.09.2020
- Published: 12.12.2020
- URL: https://journals.eco-vector.com/ecolgenet/article/view/33768
- DOI: https://doi.org/10.17816/ecogen33768
- ID: 33768
Cite item
Abstract
Background. Agrobacterium rhizogenes rol genes cause not only hairy root syndrome in plants, but also affect their secondary metabolism. There are cases of increasing of nicotine content in transgenic tobacco roots expressing rolC alone or in combination with other rol genes. In this work, we evaluated the change in the expression of nicotine synthesis genes and their regulators in response to the induction of expression of rolC.
Materials and methods. Plant material was represented by three Nicotiana tabacum genotypes: cv. Samsun and two transgenic lines, derived from this cultivar and containing rolC under dexamethasone inducible promoter: A. rhizogenes rolC (Pdex-A4rolC) and N. tabacum rolC (Pdex-trolC) correspondingly. Fluidigm Biomark RT-PCR was used for evaluation of expression of QPT1, QPT2, A622, ODC, ADC, PMT1, PMT2, PMT3, PMT4, MPO1, MPO2, BBL, MATE1, MATE2, ARF6, ERF168, ERF189, A4rolC, NtrolC, and reference gene gapdh. HPLC-MS / MS analysis was used to determine content of nicotine and its derivatives in plant tissues.
Results. Expression of PMT genes for the synthesis of the pyrrolidine ring, as well as the genes, controlling enzyme for final stages of nicotine synthesis, was higher in transgenic lines without induction of rolC expression. Regulatory genes were activated by dexamethasone in both transgenic and control lines, indicating the inapplicability of rolC dexamethasone induction for their study. The level of expression of PMT and MPO genes increased over time in transgenic dexamethasone-induced lines. Nicotine content decreased in transgenic dexamethasone-induced plants.
Conclusions. The rolC gene does not play a primary role in the regulation of nicotine synthesis genes. The mechanism of regulation of different nicotine biosynthesis genes and TFs varies.
Keywords
Full Text
INTRODUCTION
Representatives of Nicotiana genus are the most well studied plants, carrying homologs of T-DNA genes of agrobacterial origin (called cT-DNA). Their ancestral forms were transformed by some Agrobacterium strains. For generations, cT-DNA genes have been transmitted from parents to descendants. Many cT-DNA sequences still contain intact ORFs; some of cT-DNA genes are expressed. However, there is no consensus on the function of сT-DNA genes [1–3].
Several possible functions of cT-DNA genes are stated in the literature. The most probable functions are increasing of regeneration ability and influence on microbial communities within the plant rhizosphere and phyllosphere. This can be achieved by attracting beneficial microbes by secreted opines, or by repelling unwanted neighbors with secondary metabolic products. In tobacco, rolC is the most conserved cT-DNA gene [3, 4].
It was initially thought that T-DNA functions are related to regulation of the hormonal status of transgenic cells. As early as 1987, it was reported that cultures of “hairy roots” are notable for their increased content of secondary metabolites [5–7]. Since those observations, it was hypothesized that T-DNA genes have additional functions and this led to the study of effects of T-DNA genes on plant secondary metabolism. The effects of particular T-DNA genes (rolA, rolB, and rolC) and their combinations on secondary metabolism have been discussed. More details are provided in T.V. Matveeva et al. [8].
Plants of the genus Nicotiana, are widely used in folk medicine because of high levels of alkaloids in their tissues [9]. Alkaloids are not unique for naturally transgenic species and are synthesized in different representatives of the Nicotiana genus. However, it seems quite possible that some of T-DNA genes may increase the levels of major fractions of secondary metabolites of plants. As an example, we can describe interesting data that have been obtained on tobacco grown in tissue culture. J. Palazon et al. [10] have shown that Nicotiana tabacum transformed with a rolC gene had increased level of nicotine. Growth capacities and nicotine production were also greatly increased in lines transformed with combination of rolA, rolB, and rolC [10]. Alkaloids play an essential role in protection of Nicotiana plants from biotic and abiotic stress [11]. Unfortunately, the mechanism of the effect of T-DNA genes on secondary metabolism is poorly studied. In the presented work we used tobacco lines with inducible by dexamethasone expression of the rolС gene. The genetic construct for dexamethasone induction encodes chimeric transcription factor (GVG) comprising the DNA-binding domain of the yeast transcription factor GAL4, the transactivating domain of the herpes viral protein VP16 and hormone (dex) receptor, under 35S promoter. As a binding site for GVG, a DNA fragment containing six copies of the GAL4 UAS is fused 5' to the minimal CaMV 35S promoter [12]. A DNA fragment encoding the A4rolC or NtrolC gene is placed downstream of the promoter. The chimeric protein acts as a strong transcription factor, activated by dexamethasone. Pdex-A4rolC и Pdex-NtrolC plants were earlier used to study sugar transport in tobacco [13], but not for alkaloid content.
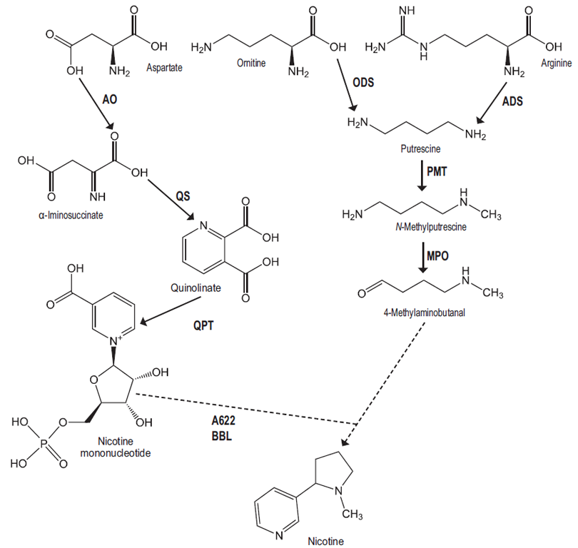
The main alkaloid of cultivated tobacco is nicotine. It is produced in roots and translocated to the leaves [11]. Nicotine consists of a heterocyclic pyridine and pyrrolidine ring. Its biosynthesis pathway is shown in Fig. 1. It consists of two parts. The synthesis of the pyridine ring begins with aspartate and includes reactions catalyzed by aspartate oxidase (AO), chinolinate synthase (QS), quinolinate phosphoribosyltransferase (QPT). The synthesis of the pyrrolidine ring begins from ornithine and includes reactions catalyzed by ornithine decarboxylase (ODC), putrescine-N-methyltransferase (PMT), and N-methylputrescine oxidase (MPO). Enzymes of some stages of the synthesis are still under discussion. Enzymes can be encoded by several homologous genes, since cultivated tobacco is allotetraploid [11, 14]. The transfer of nicotine from the cytoplasm to vacuole helps to reduce the potential cytotoxicity caused by this alkaloid. MATE type transporters (multidrug resistance): NtMATE1 and -2 are located in the tonoplast and help in the transfer of cytoplasmic nicotine through the tonoplast of root cells [11].
Nicotine biosynthesis is regulated by two different loci: NIC1 and NIC2. They contain genes for transcription factors (ERF). NIC2 has a greater effect on nicotine level. TFs, encoded by NIC2, recognize the GCC box in the promoters of the genes of the nicotine pathway of biosynthesis and specifically activate all known structural genes of this pathway [15]. MYC2-like bHLH family TFs are also shown to induce alkaloid biosynthesis in Nicotiana. ARFs (auxin response factors) are involved in regulation of nicotine synthesis, but mechanism of this regulation remains unclear [16].
The aim of our research was to analyze the dynamics of the expression of mentioned above nicotine synthesis genes, their regulators, and nicotine transporters, in response to the induction of the rolC gene with dexamethasone, and to analyze the alkaloid content in transgenic and control tobacco plants, induced by dexamethasone and non-induced.
MATERIALS AND METHODS
Plant material
T3 generation obtained from transgenic lines of tobacco Pdex-A4rolC and Pdex-NtrolC and the original form (plants of the Samsun variety) were kindly provided by Prof. L. Otten (IBMP, France). Transgenic plants contain the rolC gene under the control of the dexamethasone-induced promoter.
Seeds of tobacco lines were sterilized by 30% H2O2, washed with sterile water and placed on Petri dishes with Murasige-Skoog medium (MS) for germination [17]. Plants were cultivated on MS medium under a 16-hour photoperiod and propagated by cuttings.
A month after the last cuttings plants were placed on MS medium containing 10 μM dexamethasone for inducing of rolC expression (Stock solution contained 4 mg dexamethasone in 1 ml deionized water). Control plants were maintained on MS medium without inducer. This procedure was performed both for transgenic plants and for the original Samsun variety.
Pieсes of plant roots were collected for RNA isolation from the same plants prior to transfer onto the medium with an inducer, and then after 6 hours, 1, 2, 7 days from the start of induction. Non-transgenic plants were exposed to the same dexamethasone treatment as transgenic lines.
For biochemical analysis plant leaves were collected from plants after 7 days of cultivation on MS media (control) andMS media with dexamethasone.
In each experiment, there were at least three plants (biological replicates).
RNA isolation
RNA was isolated from 50 mg of roots tissues using the RNeasy Plant Mini Kit (Qiagen) according to the instructions of the kit.
Reverse transcription, preamplification, Fluidigm Re-PCR
Reverse transcription, preamplification, Fluidigm Re-PCR were performed as described in our previous paper [18]. The panel included primers for analysis of the expression of genes QPT1, QPT2, A622, ODC, ADC, PMT1, PMT2, PMT3, PMT4, MPO1, MPO2, BBL, MATE1, MATE2, ARF6, ERF168, ERF189.A4rolC, NtrolC, and reference gene gapdh. Analysis of the results was carried out using software supplied with Fluidigm BioMark HD PCR System (Fluidigm).
Alkaloid extraction
Alkaloids extraction and analysis were performed according to C. Ruprecht et al. (2014) with modifications [19]. 200 mg of upper plant leaves was placed in a pre-cooled mortar, frozen with liquid nitrogen and grinded, gradually adding 10 ml of 80% ethanol. Extraction was carried out for 30 minutes at 80 °C. The precipitate was separated by centrifugation at 7500 g for 10 minutes. Prior to HPLC-MS / MS, the crude extract was further purified using a CHROMAFIL Xtra filter (0.45 μm) (Macherey-Nagel, Germany).
HPLC-MS / MS analysis
We used an LCMS-IT-TOF system (Shimadzu, Japan) equipped with an electrospray ionization source. For chromatography, a Hypercil gold PFP column with a length of 150 mm, an internal diameter of 2.1 mm, and a sorbent grain size of 3 μm was used as the stationary phase (Thermo Scientific, USA). Sample separation took place at a flow rate of 0.4 ml/min. The mobile phase consisted of two components: water with the addition of 0.05% acetic acid (eluent A) and acetonitrile (eluent B). Gradient elution was carried out according to the following program: gradient 0–4 min 5% B, 4–7 min 5–95% B, 7–9 min 95% B, 9–14 min 5% B. The temperature of the column thermostat was 25 °C. The volume of injected sample was 20 μl.
To determine the components, we used an ion source for electrospray ionization in the mode of positively charged ions (heat block temperature 200 °C; capillary voltage 4.5 kV; desolvation line temperature 200 °C; nebulizer gas flow 1.5 L/min). The MS spectra were collected in positive ion mode over an m/z range of 100–1200. For quantification of nicotine, anatabine, and nornicotine peak areas were recorded in extracted ion chromatograms of [M + H] + ions at m/z 163.1225, 161.1074, 149.1074 respectively [20].
The experimental data were recorded and processed using a personal computer and the GCMS Solution software package (Shimadzu, Japan). Confirmation of the elemental composition of alkaloids (nicotine, anatin, nornicotine) was carried out according to the pattern of isotopic cleavage. The experiment was done in three biological and three technical replicates. Statistical processing was performed by analysis of variance (ANOVA) [21].
RESULTS AND DISCUSSION
In the framework of this study, we analyzed the level of expression of genes that affect the level of nicotine in plant tissues. Since the secondary metabolism is influenced by many factors, it was decided to take material from the same plants for analysis at different time points in order to minimize the influence of individual differences in the dynamics of the studied process. It is known, that after wounding of tobacco plants, roots synthesize a large amount of nicotine. Its concentrations in leaves reaches peak on 5th day after wounding [22]. In our study, the plants were equally exposed to injury, therefore, this factor could not significantly affect the results of the study.
It is interesting to note that the studied lines differed in the level of expression of nicotine biosynthesis genes in the absence of an inducer (1st time point). Fig. 2 shows the expression levels of some genes for the synthesis of the pyrrolidine ring, as well as the genes, controlling enzyme for final stages of nicotine biosynthesis.
As can be seen from the figure, there is a tendency to increase the expression of A622, PMT1, PMT3 in uninduced transgenic lines.
NtrolC and A4rolC have a similarity of 79%, at the nucleotide level, which makes it possible to evaluate the expression of each gene separately [13, 23].
It was previously shown that NtrolC is expressed in tobacco young leaves and shoot tips, but not in roots [24]. When dexamethasone was added to the medium, a gradual increase in the intensity of rolC expression was observed starting from the 6 hourstime point (Fig. 3). The highest expression level for both types of genetic constructs was observed on day 2 of the study. Further its expression has decreased. Unfortunately, the expression dynamics of the transcription factors studied by us coincided with that in rolC, even in plants without a dexamethasone-inducible gene (Fig. 4). This suggests that dexamethasone itself affects the expression of studied transcription factor genes. It should be recalled that for activation of the rolC homologs in our constructs, dexamethasone interacts with a chimeric transcription factor, which then recognizes the recombinant promoter sequence, located upstream from the rolC coding sequence Thus, the production of a chimeric transcription factor is a necessary condition for the induction of rolC. Some differences in the timing of rolC activation as compared to TF genes may be associated with differences in the binding of dexamethasone to chimeric protein and plant proteins, activating transcription, and the degree of their availability.
Fig. 4. Dynamics of expression of genes of transcription factors ARF6, ERF168 and genes ADS and ODS, encoding enzymes of the initial stages of the synthesis of the pyrrolidine ring. The expression levels of genes of interest of the Samsun variety at the start of the experiment was taken as 1
A more pronounced effect of dexamethasone in the non-transgenic line may be due to the lack of competition for binding with the dexamethasone between regulators of the expression of these TFs and the rolC activation system in tobacco tissues. Thus, the dexamethasone system is not suitable for studying the regulation of transcription factor genes, involved in regulation of nicotine synthesis, by means of rolC induction by dexamethasone. This result was quite unexpected, since no dexamethasone receptors are known in plants [23]. This system has been used many times to induce gene expression and study the functions of their products [23], including experiments conducting in our laboratory with the same plant material [25].
The dynamics of expression of genes encoding the enzymes of the early stages of pyrrolidine ring biosynthesis coincided in general with TFs, but characterized by certain delay, which can be explained from the point of view of regulation of their expression by these TFs.
Nevertheless, transgenic lines grown on a medium with dexamethasone, showed a tendency to increase the expression of genes encoding enzymes of the later stages of pyrrolidine ring synthesis (Fig. 5), that illustrates different mechanisms of regulation of early and late stages of pyrrolidine ring synthesis.
Fig. 5. Dynamics of expression of genes of pyrrolidine ring synthesis enzymes. The expression level of genes or interest of the Samsun variety at the start of the experiment was taken as 1
For the pyridine ring synthesis enzyme genes and genes encoding transporters, changes in expression in response to rolC were not detected.
Summarizing the data obtained, the following observations can be made. Firstly, we can assume some non-canonical scheme of acting of the rolC gene in plants. This conclusion can be drawn, since the presence of a non-induced rolC gene (of both agrobacterial and “plant” origin) in plants of two independent tobacco lines leads to increased expression of certain nicotine synthesis genes. An alternative explanation could be the influence of other elements of T-DNA on nicotine synthesis genes. However, the data on the increased synthesis of nicotine by hairy roots and tobacco tissues transformed with rolC, as compared to the tissues of wild-type plants [10], make the first version more plausible. Secondly, dexamethasone activates expression of genes of some transcription factors that regulate nicotine synthesis genes, independently from rolC. And thеse TFs, in turn, activate expression of genes of the early stages of nicotine synthesis. Thus, different mechanisms take part in the regulation of the expression of the genes studied by us, which is confirmed by differences in the dynamics of their expression in the framework of our experiment.
Since the total biosynthesis rate of any substance is determined by the slowest stage, in our experiment we expected no increase of the level of nicotine and its derivatives in induced transgenic lines. Analyzing of alkaloids content on the 7th day from the beginning of exposure to dexamethasone, we revealed a slight decrease in the nicotine content in both transgenic lines compared to the control (Fig. 6). At the same time, we observed a slight increase of the nicotine content in the control line in response to dexamethasone.
Fig. 6. The content of alkaloids in leaf extracts of tobacco lines after dexamethasone treatment (MS-dex – plants, cultivated on MS media with dexamethasone; MSO – control plants cultivated on MS media without dexamethasone)
Statistically significant differences in the nicotine content are shown for the shoots of plants of each line grown on a medium without dexamethasone and with dexamethasone (p ≤ 0.05), also between the Nicotiana tabacum line, Samsun variety and the N. tabacum, Pdex-NtrolC and N. tabacum Pdex-A4rolC lines when grown on medium without dexamethasone (p ≤ 0.05). No significant differences in the content of other alkaloids were found.
This effect, observed by us, can be explained by the discoordination of different systems for regulating the synthesis of alkaloids in the conditions of our experiment. In addition, most likely the rolC does not play primary role in the regulation of nicotine synthesis.
Our results are consistent with data of Hidalgo Martinez et al. [26], who showed that a downregulation of the enzymes, controlling early stages of nicotine synthesis leads to decrease of nicotine content. Dexamethasone is not acceptable for enhancing the synthesis of alkaloids through the induction of expression of rolC, because this compound itself leads to the activation of expression of genes of TFs, such as ARF6, ERF168, followed by the decrease of their expression. The dynamics of expression of genes of early stages of nicotine synthesis coincides with that for TFs. Thus, at the time of measuring the nicotine content, expression of ODC and ADC was reduced, which reflected the level of nicotine.
In subsequent experiments, it is necessary to choose a different system of gene induction to study its role in the regulation of secondary metabolism. The choice of such a system is a rather difficult task, since many factors affect the secondary metabolism. A preliminary assessment of the influence of various factors used to induce the expression of transgenes is required to select the optimal experimental design.
Acknowledgment
This study was supported by a grant to TM from the RFBR18-016-00118. Transgenic seeds were kindly represented by Prof. L. Otten (IBMP, France). The equipment of the Resource Сenter “Development of molecular and cellular technologies” of St. Petersburg State University was used in this research.
About the authors
Gita Amini
University of Tabriz
Email: gita.amini85@gmail.com
PhD, Faculty of Natural Science, Department of Plant sciences
Iran, Islamic Republic of, TabrizSofia V. Sokornova
All-Russian Institute of Plant Protection
Email: svsokornova@vizr.spb.ru
ORCID iD: 0000-0001-6718-4818
SPIN-code: 3223-0513
Scopus Author ID: 57204448871
PhD, leading researcher, Laboratory of Phytotoxicology and Biotechnology
Russian Federation, Pushkin, St. PetersburgHanieh Mohajjel-Shoja
University of Tabriz
Email: mohajelh@yahoo.com
Doctor of Plant Biology, Assistant Professor
Iran, Islamic Republic of, TabrizAndrey N. Stavrianidi
Lomonosov Moscow State University
Email: stavrianidi.andrey@gmail.com
SPIN-code: 3214-0907
PhD, Assoc. Professor, Department of Analytical Chemistry
Russian Federation, MoscowIgor A. Rodin
Lomonosov Moscow State University
Email: igorrodin@yandex.ru
SPIN-code: 2434-5903
Doctor of Chem. Sciences, Leading Researcher, Department of analytical chemistry
Russian Federation, MoscowTatiana V. Matveeva
Saint Petersburg State University
Author for correspondence.
Email: radishlet@gmail.com
ORCID iD: 0000-0001-8569-6665
Doctor of Biol. Sciences, Professor, Department of Genetics and Biotechnology
Russian Federation, Saint PetersburgReferences
- White FF, Garfinkel DJ, Huffman GA, et al. Sequence homologous to Agrobacterium rhizogenes T-DNA in the genomes of uninfected plants. Nature. 1983;301(5898):348-350. https://doi.org/10.1038/301348a0.
- Chen K, de Borne DF, Szegedi E, Otten L. Deep sequencing of the ancestral tobacco species Nicotiana tomentosiformis reveals multiple T-DNA inserts and a complex evolutionary history of natural transformation in the genus Nicotiana. Plant J. 2014;80(4):669-682. https://doi.org/10.1111/tpj.12661.
- Chen K, Otten L. Natural Agrobacterium transformants: recent results and some theoretical considerations. Front Plant Sci. 2017;8: e1600. https://doi.org/10.3389/fpls.2017.01600.
- Matveeva TV. Agrobacterium-mediated transformation in the evolution of plants. Curr Top Microbiol Immunol. 2018;418:421-441. https://doi.org/10.1007/82_2018_80.
- Flores H, Pickard J, Hoy M. Production of polyacetylenes and thiophenes in heterotrophic and photosynthetic root cultures of Asteraceae. In: Lam J, Breheler H, Arnason T, Hansen L, eds. Chemistry and biology of naturally occurring acetylenes and related compounds (NOARC) bioactive molecules. Vol. 7. Elsevier, Amsterdam; 1988. Р. 233-254.
- Hamill JD, Parr AJ, Rhodes MJ, et al. New routes to plant secondary products. Nat Biotechnol. 1987;5(8):800-804. https://doi.org/10.1038/nbt0887-800.
- Rhodes MJ, Robins RJ, Hamill JD, et al. Secondary product formation using Agrobacterium rhizogenes-transformed hairy root cultures. IAPTC Newsletter. 1987;53:2-15.
- Matveeva TV, Sokornova SV, Lutova LA. Influence of Agrobacterium oncogenes on secondary metabolism of plants. Phytochem Rev. 2015;14(3):541-556. https://doi.org/10.1007/s11101-015-9409-1.
- Saitoh F, Kawasima N. The alkaloid contents of sixty Nicotiana species. Phytochemistry. 1985;24:477. https://doi.org/10.1016/S0031-9422(00)80751-7.
- Palazon J, Cusido RM, Roig C, et al. Expression of the rolC gene and nicotine production in transgenic roots and their regenerated plants. Plant Cell Rep. 1998;17(5):384-390. https://doi.org/10.1007/s002990050411.
- Zenkner FF, Margis-Pinheiro M, Cagliari A. Nicotine biosynthesis in Nicotiana: a metabolic overview. Tobacco Science. 2019;56(1):1-9. https://doi.org/10.3381/18-063.
- Aoyama T, Chua NH. A glucocorticoid-mediated transcriptional induction system in transgenic plants. Plant J. 1997;11(3):605-612. https://doi.org/10.1046/j.1365-313X.1997.11030605.x.
- Mohajjel-Shoja H, Clément B, Perot J, et al. Biological activity of the Agrobacterium rhizogenes-derived trolC gene of Nicotiana tabacum and its functional relation to other plast genes. Mol Plant Microbe Interact. 2011;24(1):44-53. https://doi.org/10.1094/MPMI-06-10-0139.
- Dewey R, Xie J. Molecular genetics of alkaloid biosynthesis in Nicotiana tabacum. Phytochemistry. 2013;94:10-27. https://doi.org/10.1016/j.phytochem.2013.06.002.
- Shoji T, Kajikawa M, Hashimoto T. Clustered transcription factor genes regulate nicotine biosynthesis in tobacco. Plant Cell. 2010;22(10): 3390-3409. https://doi.org/10.1105/tpc.110. 078543.
- Qin Y, Bai S, Li W, et al. Transcriptome analysis reveals key genes involved in the regulation of nicotine biosynthesis at early time points after topping in tobacco (Nicotiana tabacum L.). BMC Plant Biol. 2020;20(1):30. https://doi.org/10.1186/s12870-020-2241-9.
- Murashige T, Skoog F. A revised medium for rapid growth and bio assays with tobacco tissue cultures. Physiologia Plantarum. 1962;15(3): 473-497. https://doi.org/10.1111/j.1399-3054.1962. tb08052.x.
- Matveeva T, Amini G. Fluidigm BioMark diagnostic panel for analysis of the expression of Nicotiana tabacum genes, associated with alkaloid synthesis. Hairy root cultures (HRCs) based applications. Methods and Protocols. Srivastava V, Mehrotra S, Mishra S, eds. Springer; 2020. Р. 229-237.
- Ruprecht C, Tohge T, Fernie A, et al. Transcript and metabolite profiling for the evaluation of tobacco tree and poplar as feedstock for the bio-based industry. J Vis Exp. 2014;(87):51393. https://doi.org/10.3791/51393.
- Smyth TJ, Ramachandran VN, McGuigan A, et al. Characterisation of nicotine and related compounds using electrospray ionisation with ion trap mass spectrometry and with quadrupole time-of-flight mass spectrometry and their detection by liquid chromatography/electrospray ionisation mass spectrometry. Rapid Commun Mass Spectrom. 2007;21(4):557-566. https://doi.org/10.1002/rcm.2871.
- Analysis of variance (ANOVA). Available from: http://statsoft.ru/products/STATISTICA_Base/analysis-of-variance.php/. Active on: 01.10.2020.
- Li C, Teng W, Shi Q, Zhang F. Multiple signals regulate nicotine synthesis in tobacco plant. Plant Signal Behav. 2007;2(4):280-281. https://doi.org/10.4161/psb.2.4.4008.
- Moore I, Samalova M, Kurup S. Transactivated and chemically inducible gene expression in plants. The Plant J. 2006;45(4):651-683. https://doi.org/10.1111/j.1365-313x.2006.02660.x.
- Meyer AD, Ichikawa T, Meins FJ. Horizontal gene transfer: regulated expression of a tobacco homologue of the Agrobacterium rhizogenes rolC gene. Mol Gen Genet. 1995;249(3):265-273. https://doi.org/10.1007/BF00290526.
- Matveeva T, Berezina E, Isaeva I, et al. Influence of some rol genes on sugar content in Nicotiana and Vaccinium. BIO Web of Conferences. 2020;18:00020. https://doi.org/10.1051/bioconf/20201800020.
- Hidalgo Martinez D, Payyavula RS, Kudithipudi C, et al. Genetic attenuation of alkaloids and nicotine content in tobacco (Nicotiana tabacum). Planta. 2020;251(4):92. https://doi.org/10.1007/s00425-020-03387-1.
Supplementary files
















