Variability in the productivity of peanut accessions (Arachis hypogaea L.) at ecological-geographical testing
- Authors: Bemova V.D.1,2, Yakusheva T.V.1,3, Asfandiyarova M.S.1,4, Gavrilova V.A.1,2, Kishlyan N.V.1, Novikova L.Y.1
-
Affiliations:
- N.I. Vavilov All-Russian Institute of Plant Genetic Resources
- Saint Petersburg State University
- Kuban Experiment Station, N.I. Vavilov All-Russian Institute of Plant Genetic Resources
- Caspian Agrarian Federal Scientific Center of the Russian Academy of Sciences
- Issue: Vol 21, No 2 (2023)
- Pages: 155-165
- Section: Genetic basis of ecosystems evolution
- Submitted: 12.05.2023
- Accepted: 25.07.2023
- Published: 16.08.2023
- URL: https://journals.eco-vector.com/ecolgenet/article/view/340801
- DOI: https://doi.org/10.17816/ecogen340801
- ID: 340801
Cite item
Abstract
BACKGROUND: Russia is one of the largest peanut-buying countries. At the same time, in the south of the country, a number of zones meet the requirements for the cultivation of peanuts.
AIM: Identification of a new source material for peanut breeding by the method of ecological and geographical testing of collection samples.
MATERIALS AND METHODS: The work used 30 of peanuts accessions from the VIR collection of various origins. To assess the stability of productivity, standard deviation (s), coefficient of variation (Cv) and regression (βi) for environmental conditions according to Eberhart and Russell were used.
RESULTS: As a result of the study, the possibility of growing individual varieties of peanuts in the south of the RF under modern conditions was confirmed. It was determined that some samples are more productive and suitable as starting material for the conditions of the Krasnodar Territory (k-283, k-1157), others — for the conditions of the Astrakhan region (k-317, k-868). The accessions of the VIR collection were found to be more productive at 2 points experience, also marked as plasticity k-751, k-283, k-626, k-1533, k-1987.
CONCLUSIONS: In contrasting conditions (two geographical points for 3 years of study), peanuts accessions were identified that strongly react to changes in environmental conditions. Stable and plastic in productivity accessions can serve as the initial breeding material. It has been established that peanuts can be cultivated in the south of the Russian Federation, namely in the Astrakhan Region and the Krasnodar Territory.
Full Text
BACKGROUND
In Russia, an ecological and geographical network of experimental stations and a variety of testing plots is used to accelerate plant breeding rates and to create varieties and hybrids that have wider adaptive potential. The vast expanse of Russia and its diversity and conditions inevitably leads to the geographical approach to solving breeding problems [1]. Using this ecological and geographical network, the Vavilov All-Russian Institute of Plant Genetic Resources (VIR) can assess the potential yield and environmental resistance of a large number of promising plant varieties and identify donors for the most important traits: drought/cold tolerance and resistance to pathogens.
Climate warming has led to the northing of many crops [2, 3]. For example, southern oilseed crops, including Arachis hypogaea (peanut), are successfully cultivated in southern Russia (in the Krasnodar Krai and Astrakhan regions) [4]. A. hypogaea is a source of high-quality protein and fat. The seeds have 44%–56% and 22%–30% oil and protein contents, respectively [5, 6]. Peanut oil is one of the most commonly used edible vegetable oils and is used as a foodstuff (as a table condiment and in the canning industry). Peanut oil also has a wide range of industrial applications, including in the pharmaceutical industry. A. hypogaea as a row crop contributes to weed clearing from fields, while as a leguminous crop increases soil fertility when seeds are treated with nitrogen due to the assimilation of biological air nitrogen [7].
The first attempts to cultivate A. hypogaea in Russia date back to 1825; by 1940, A. hypogaea crops covered 231 km2 of Russian land. Varieties including VNIIMK 344, VNIIMK 433, Spanish Improved, and Krasnodarets 14 were cultivated at the All-Union Research Institute of Oil Crops in Krasnodar, Russia. However, peanut cultivation and breeding in Russia stopped in the early 2000s [8]. Meanwhile, annual peanut imports to Russia exceed 100,000 tons [4].
A. hypogaea is a thermophilic, hydrophilic, heliophilous plant that demands fertility and looseness of the soil. Fertile, flat, sandy, and slightly clayey black soils that do not form crusts after rain are considered suitable for A. hypogaea cultivation [9]. The crop requires positive temperatures of 26°C–35°C. A. hypogaea is a plant of southern latitudes, as its minimum temperature for germination is 12°C–14°C. The crop can grow at air temperatures of up to 37°C–39°C, with an optimum growing temperature of 22°C–28°C [10, 11]. The critical water period comes during the mass flowering and fruiting stages. A. hypogaea is currently grown at latitudes between 40°N and 40°S, especially in areas with high rainfall. Two-thirds of the world’s A. hypogaea are grown in areas with adequate rainfall, while the remaining are grown under irrigation [12].
The VIR collection contains 1,823 cultivated A. hypogaea accessions from 74 countries. All varieties described in the literature are represented in the collection. The varieties differ in productivity, seed and bean size, number of seeds in the bean, coloration of seed rind, taste [13], and fatty acid composition [14]. The use of global genetic resources of A. hypogaea will contribute to the revival of its cultivation in Russia.
Ecological and geographical tests allow investigation into the stability and plasticity of different varieties of A. hypogaea. Three main concepts of ecological stability exist. A genotype is considered stable if 1) the inter-medium variance is small, 2) the response to the medium is parallel to the mean response of all genotypes in the experiment, and 3) the residual error from regression on the mean index is small [15]. The creation of varieties with high productivity and the stable manifestation of this trait in different ecological conditions are important directions in modern plant breeding.
This study aims to identify new promising accessions as source materials for A. hypo gaea breeding in southern Russia based on the results of ecological and geographical tests and the study of the collection in Krasnodar Krai (VIR branch; Kuban Experimental Station [KES]) and Astrakhan (Lower Volga branch; Pre-Caspian Agrarian Federal Scientific Center of the Russian Academy of Sciences [PAFSC]).
MATERIALS AND METHODS
Ecological-geographical testing was conducted in the two locations (KES, Krasnodar Krai; 45.2N, 40.8E and PAFSC, Astrakhan: 46.3N, 44.3E), having contrasting climatic and soil conditions, to investigate economically valuable traits. The climate of the Astrakhan region is arid continental [16], while that at the experimental site of Krasnodar Krai is temperate continental [17]. KES is located in the steppe zone, which has black fertile soil. A. hypogaea can be grown here without irrigation. The PAFSC is located in the semi-desert zone, where soils are light brown and have different degrees of alkalinity. A. hypogaea is grown here under irrigation.
For ecological and geographical testing, 30 samples of the VIR collection were selected, which differed in geographical origin, variety, bean/seed morphology, and economically valuable features. The seeding of samples and analysis of traits were conducted according to the methodological guidelines for the study of peanuts (Arachis hypogeea L.) [13]. Three years of data (2019–2021) at two sites (six samples) were obtained. In this paper, the variability in productivity and maturation (one of the main traits productivity depends on) are discussed. The regionalized Otradokubansky variety was used as a standard.
Productivity (bean weight per plant) was calculated as the average of 10 plants per plot. Maturation was calculated as the percentage of developed (mature) beans on the plant using the following formula (1):
(1)
where C is bean maturation of the sample, a is the total number of beans on one plant, and в is the number of mature beans on one plant.
Productivity traits were used to assess stability, i.e., standard deviation (s), coefficient of variation (Cv), and the Eberhart and Russell regression coefficient on medium conditions (βi) [15, 18].
Eberhart and Russell (1966) [18] proposed a regression approach to estimate stability. The following model (2) is considered:
, (2)
where Yij is the average yield of the i-th variety in the j-th medium (i = 1, … v; j = 1, … n), µi is the average of the i-th variety across all mediums, βi is the regression coefficient, which measures the response of the i-th variety to changing conditions, δij is the deviation from regression of the i-th variety in the j-th medium, and Ij is the environmental index of the j-th medium, calculated by formula (3):
(3)
The regression coefficient βi is the first parameter of genotype stability:
, (4)
The second stability parameter is the variance of the deviation from the regression line:
, (5)
where is the estimate of the pooled error and r is the number of repetitions. The sum of squares of deviations from the regression line is calculated by the below formula:
, (6)
Genotypes with βi = 1, are considered stable.
The regression coefficient is a measure of phenotypic stability. If βi > 1, the variety is considered to be highly sensitive to medium changes (stability is below average); if βi is close to 1, the variety is moderately stable; when βi < 1, stability is above average; if βi = 0, the variety is absolutely phenotypically stable [19]. In this study, one-factor analysis of variance was used to compare the productivity in six media to show the contrasting climatic and soil conditions of two experimental sites in the Krasnodar Krai (KES) and Astrakhan (PAFSC) regions.
Maturation was analyzed using the non-parametric Kruskal–Wallis criterion, since values of this index were close to 100%.
Weather conditions for the experiment
The sources of meteorological data for PAFSC were Chernyi Yar meteorological station (World Meteorological Organization code 34578, 15 km from the experiment site) and KES, located in the fields of the Kuban station. In the experimental years, the mean sum of positive temperatures in PAFSC and KES were 38°C and 37°C, respectively. No significant differences were recorded between the observation sites (p = 0.413). Significant differences (p = 0.018) for the 3-year averages were observed for precipitation amounts. Thus, the average precipitation for the period with temperatures above 10°C was significantly lower in PAFSC (120 mm) compared to KES (387 mm; p = 0.018) (Fig. 1).
Fig. 1. The agrometeorological conditions of the experiment are the sum of positive temperatures above 10°C and the sum of precipitation for the period with temperatures above 10°C at the Kuban Experimental Station and at the Caspian Agrarian Federal Scientific Center of the Russian Academy of Sciences in 2019–2021
RESULTS
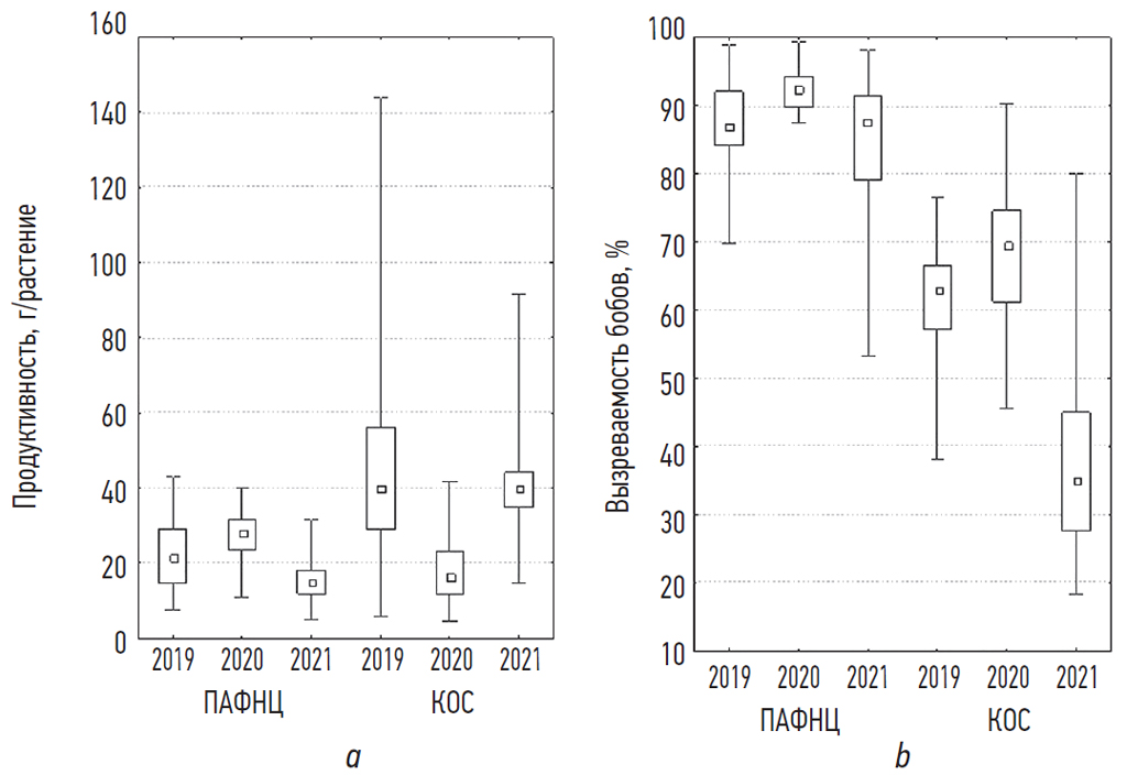
Using one-factor analysis of variance, the factor «medium» (understood as 6 item/year combinations) was found to influence the productivity at a significance level of p < 0.001 (Fig. 2, Table 1). The highest average productivity (using Tukey’s criterion) was at KES in 2019 (44.9 g/plant) and 2021 (41.6 g/plant) due to adequate rainfall in June. The productivity in the other variants was significantly lower: KES in 2020 and PAFSC in 2021, 2019, and 2020 amounted to 17.8 g/plant, 15.8 g/plant, 22.6 g/plant, and 27.5 g/plant, respectively. The productivity in KES was characterized by significant intervarietal variability. The average productivity in PAFSC and KES was 21.9 g/plant and 34.8 g/plant, respectively. However, the differences were not significant given the significant interannual variability (p = 0.235; Table 2). The productivity in PAFSC and KES did not correlate (r = –0.02; Fig. 3).
Table 1. One-factor analysis of variance of the influence of six media on the productivity of 30 samples of peanuts
Таблица 1. Однофакторный дисперсионный анализ влияния шести сред на продуктивность 30 образцов арахиса
Indicator | SS | df | MS | F | p | |||
Effect | Error | Effect | Error | Effect | Error | |||
Productivity, g | 22627.65 | 31382.07 | 5 | 174 | 4525.53 | 180.36 | 25.092 | 5 · 10–19 |
Table 2. One-factor analysis of variance of the effect of two points of the study on the productivity and ripeness of beans of peanut samples for 3 years of the study
Таблица 2. Однофакторный дисперсионный анализ влияния двух пунктов исследования на продуктивность и вызреваемость бобов образцов арахиса за 3 года исследования
Indicator | SS | df | MS | F | p | |||
Effect | Error | Effect | Error | Effect | Error | |||
Productivity, g | 247.65 | 506.61 | 1 | 4 | 247.65 | 126.65 | 1.955 | 0.235 |
Fig. 2. Agrobiological indicators of 30 samples of peanuts grown at the Caspian Agrarian Federal Scientific Center and at the Kuban Experimental Station in 2019–2021: a — productivity; b — ripening of beans. Shown are: minimum, maximum values, quantiles, median
Fig. 3. Correlation of productivity of peanut samples at the Kuban Experimental Station (CBS) and at the Caspian Agrarian Federal Scientific Center (PAFSC). Solid line — regression line
Experimentation under such contrasting conditions revealed genotypes that were plastic and stable in productivity (Table 3). Productivity is a highly variable trait. The regression coefficient (βi) in medium conditions [formula (4)] ranged from –0.1 to 3.2 in the sample of 30 accessions. The residual variance of the regression on the median index [formula (5)] ranged from 3.1 to 1102.6, with an average of 115.8.
The most stable genotypes, according to Eberhart and Russell, have βi = 1 and = 0. According to the minimum coefficient of variation (Cv), k-178, k-24, k-1697, k-300, k-175, k-793, k-433, and k-179 genotypes can be considered the most stable.
Samples that respond strongly to the environmental conditions have high βi values. These included eight samples in the upper quartile of the distribution with a βi between 1.3 and 3.2: k-283, k-1533, k-46, k-1157, k-626, k-1987, and k-41. Of these, some showed a tendency to high productivity (k-1987, the Otradokubansky standard variety) in KES. Such genotypes perform better in a narrow range of favorable media but reduce yield when deviating from the narrow optimum zone [15, 20–22].
The differences in maturation among the six media were significant (p < 0.001). In addition, significant item differences were observed across the three years of the study (p = 0.032), which averaged 88.2% in PAFSC and 55.7% in KES. The high maturation rate in PAFSC was probably due to the irrigated cultivation and the mechanical composition of loamy soils in this region since peanut bean maturation occurs in the ground (after flowering, the gynophore is formed, which helps the embryo to move underground). The highest maturation was observed at both sites in 2020 (Table 3), which was associated with the lowest rainfall during the ripening period, in August–October (Fig. 1).
Table 3. Productivity stability of peanut samples at different points of the study
Таблица 3. Стабильность продуктивности образцов арахиса в разных пунктах исследования
Catalog No. | Origin | Productivity | Cv, % | βi | |||
PAFSC | KES | average | |||||
53 | USA | 14.9 ± 1.9 | 19.9 ± 7.2 | 17.4 ± 3.5 | 49.3 | –0.1 | 91.4 |
868 | Uganda | 29.4 ± 3.3 | 35.9 ± 3.8 | 32.6 ± 2.7 | 20.0 | 0.0 | 53.1 |
1026 | Mali | 26.5 ± 5.9 | 15.5 ± 3.9 | 21.0 ± 4.0 | 46.7 | 0.1 | 118.6 |
317 | Zimbabwe | 29.6 ± 5.7 | 25.5 ± 7.6 | 27.6 ± 4.3 | 38.5 | 0.2 | 131.7 |
319 | Uzbekistan | 19.3 ± 5.7 | 26.1 ± 2.6 | 22.7 ± 3.2 | 34.4 | 0.4 | 39.7 |
416 | Argentina | 22.4 ± 6.6 | 23.1 ± 5.2 | 22.8 ± 3.8 | 40.4 | 0.4 | 80.8 |
1547 | Madagascar | 22.9 ± 10.0 | 34.0 ± 4.0 | 28.4 ± 5.4 | 46.7 | 0.5 | 170.2 |
903 | Tanzania | 24.4 ± 4.9 | 23.1 ± 6.3 | 23.7 ± 3.6 | 36.7 | 0.5 | 45.1 |
939 | Brazil | 23.1 ± 8.5 | 23.8 ± 6.9 | 23.5 ± 4.9 | 51.3 | 0.6 | 104.2 |
354 | Uzbekistan | 17.9 ± 4.0 | 27.6 ± 7.7 | 22.8 ± 4.4 | 48.0 | 0.7 | 62.8 |
3 | USA | 18.9 ± 5.1 | 28.3 ± 7.4 | 23.6 ± 4.5 | 46.9 | 0.7 | 62.3 |
178 | USA | 25.2 ± 6.6 | 32.7 ± 6.3 | 29.0 ± 4.4 | 37.2 | 0.8 | 27.3 |
1027 | Mali | 30.4 ± 7.8 | 29.1 ± 14.7 | 29.8 ± 7.4 | 61.2 | 0.8 | 281.7 |
24 | Uzbekistan | 15.2 ± 4.7 | 32.2 ± 6.2 | 23.7 ± 5.1 | 53.4 | 0.9 | 39.9 |
1697 | Vietnam | 19.1 ± 3.2 | 34.9 ± 7.1 | 27.0 ± 4.9 | 44.9 | 0.9 | 25.8 |
300 | Transvaal | 18.6 ± 7.2 | 31.3 ± 7.6 | 25.0 ± 5.5 | 53.7 | 1.0 | 52.8 |
175 | Brazil | 22.5 ± 1.9 | 35.1 ± 11.3 | 28.8 ± 5.9 | 50.0 | 1.0 | 84.3 |
793 | Russia | 31.5 ± 2.0 | 37.6 ± 13.0 | 34.6 ± 6.0 | 42.9 | 1.0 | 89.5 |
433 | Senegal | 18.3 ± 3.2 | 32.5 ± 9.0 | 25.4 ± 5.3 | 51.2 | 1.1 | 3.1 |
202 | Northern Manchuria | 23.8 ± 2.6 | 44.6 ± 11.9 | 34.2 ± 7.1 | 51.2 | 1.1 | 134.2 |
597 | Canada | 24.2 ± 7.8 | 27.9 ± 11.8 | 26.1 ± 6.4 | 59.8 | 1.1 | 75.3 |
179 | USA | 19.9 ± 3.0 | 34.8 ± 10.5 | 27.3 ± 5.9 | 52.9 | 1.2 | 7.8 |
283 | Uzbekistan | 14.7 ± 2.4 | 42.7 ± 8.8 | 28.7 ± 7.5 | 63.8 | 1.3 | 84.5 |
1533 | Madagascar | 18.1 ± 4.8 | 41.2 ± 14.8 | 29.7 ± 8.7 | 71.4 | 1.5 | 107.7 |
751 | Portugal | 20.9 ± 3.4 | 45.9 ± 11.3 | 33.4 ± 7.7 | 56.4 | 1.5 | 29.6 |
46 | USA | 18.5 ± 7.3 | 34.0 ± 14.5 | 26.2 ± 8.0 | 75.1 | 1.6 | 25.9 |
1157 | Cameroon | 16.8 ± 6.8 | 52.1 ± 9.5 | 34.4 ± 9.5 | 67.3 | 1.7 | 109.3 |
626 | India | 21.1 ± 4.4 | 41.2 ± 16.9 | 31.1 ± 9.0 | 70.8 | 1.7 | 68.6 |
1987 | Russia | 28.2 ± 0.6 | 61.1 ± 25.0 | 44.7 ± 13.4 | 73.5 | 2.5 | 163.5 |
41 | USA | 21.8 ± 5.6 | 70.2 ± 37.4 | 46.0 ± 20.1 | 106.9 | 3.2 | 1102.6 |
Note. KES, Kuban Experimental Station; PAFSC, Pre-Caspian Agrarian Federal Scientific Center; Cv, coefficient of variation; βi, regression coefficient of productivity for the study medium; , residual variance of regression for the medium index. Samples were sorted in ascending order of βi.
Bean maturation was 92.5% in 2020 in PFASC, which was not significantly different from 2019 (86.9%), but higher than the values from all experimental years in KES (61.6%, 66.8%, and 36.7% in 2019, 2020, and 2021, respectively). No significant differences between samples in either KES (p = 0.997) or PAFSC (p = 0.226) were found in terms of maturation. However, the samples that show the best values in a given experiment may be suggested as the most promising (Table 4).
Table 4. The maturation of peanut samples (%) in contrasting climatic conditions at different points of the study in 2019–2021
Таблица 4. Вызреваемость образцов арахиса (%) в контрастных климатических условиях в разных пунктах исследования в 2019–2021 гг.
Catalog No. | Origin | PAFSC | KES | ||
average | Cv, % | average | Cv, % | ||
3 | USA | 92.7 ± 3.4 | 6.4 | 64.0 ± 10.0 | 27.2 |
24 | Uzbekistan | 91.0 ± 1.7 | 3.3 | 46.8 ± 13.9 | 51.5 |
41 | USA | 81.5 ± 6.0 | 12.7 | 47.8 ± 5.5 | 20.1 |
46 | USA | 83.5 ± 5.0 | 10.5 | 46.5 ± 1.9 | 7.2 |
53 | USA | 86.6 ± 3.7 | 7.4 | 56.2 ± 8.8 | 27.2 |
175 | Brazil | 95.3 ± 3.4 | 6.1 | 56.1 ± 4.8 | 14.7 |
178 | USA | 83.5 ± 6.0 | 12.4 | 47.9 ± 14.8 | 53.5 |
179 | USA | 86.5 ± 4.5 | 9.0 | 58.3 ± 11.9 | 35.2 |
202 | Northern Manchuria | 78.9 ± 5.4 | 11.8 | 60.5 ± 12.2 | 35.0 |
283 | Uzbekistan | 91.4 ± 2.6 | 4.9 | 54.0 ± 15.5 | 49.8 |
300 | Transvaal | 95.3 ± 2.2 | 4.0 | 64.4 ± 17.9 | 48.1 |
317 | Southern Rhodesia | 90.1 ± 1.1 | 2.0 | 62.1 ± 6.2 | 17.2 |
319 | Uzbekistan | 86.4 ± 3.1 | 6.2 | 61.9 ± 11.9 | 33.2 |
354 | Uzbekistan | 86.1 ± 1.9 | 3.8 | 54.8 ± 13.6 | 43.1 |
416 | Argentina | 90.8 ± 3.0 | 5.8 | 47.9 ± 12.1 | 43.6 |
433 | Senegal | 88.5 ± 4.1 | 8.0 | 55.3 ± 13.9 | 43.4 |
597 | Argentina | 80.7 ± 13.8 | 29.5 | 68.3 ± 4.6 | 11.7 |
626 | India | 92.5 ± 3.5 | 6.6 | 60.3 ± 18.1 | 52.0 |
751 | Portugal | 79.3 ± 4.6 | 10.1 | 49.4 ± 15.3 | 53.8 |
793 | Russia | 94.6 ± 1.3 | 2.4 | 59.7 ± 9.9 | 28.8 |
868 | Uganda | 88.9 ± 1.0 | 2.0 | 63.6 ± 14.1 | 38.5 |
903 | Tanzania | 91.9 ± 2.4 | 4.4 | 56.9 ± 17.0 | 51.7 |
939 | Brazil | 91.2 ± 3.3 | 6.4 | 53.5 ± 12.5 | 40.5 |
1026 | Mali | 89.6 ± 4.1 | 8.0 | 52.7 ± 6.1 | 20.0 |
1027 | Mali | 86.2 ± 5.3 | 10.7 | 51.3 ± 10.4 | 35.1 |
1157 | Cameroon | 85.4 ± 3.5 | 7.1 | 56.9 ± 9.6 | 29.2 |
1533 | Madagascar | 92.4 ± 0.5 | 0.9 | 56.5 ± 9.9 | 30.3 |
1547 | Madagascar | 88.6 ± 0.4 | 0.8 | 56.8 ± 17.5 | 53.5 |
1697 | Vietnam | 86.7 ± 2.6 | 5.3 | 51.8 ± 9.6 | 32.0 |
1987 | Russia | 88.6 ± 3.0 | 5.8 | 48.0 ± 7.1 | 25.6 |
Note. Average indicators for 3 years are given. KES, Kuban Experimental Station; PAFSC, Pre-Caspian Agrarian Federal Scientific Center
In PAFSC, the maturation rate (85.1%–92.5%) was higher in all years than in KES (36.7%–68.8%). High results in PAFSC (over 90%) were observed for k-3, k-24, k-175, k-283, k-300, k-317, k-416, k-626, k-793, k-903, k-939, and k-1533 samples. The coefficient of variation of this trait was lower in PAFSC. High maturation at two study points was observed for the following accessions: k-3 (USA), k-175 (Brazil), k-300 (Transvaal), k-317 (Southern Rhodesia), k-626 (India), k-793 (Russia), and k-1533 (Madagascar).
DISCUSSION
This paper presents data on the study of plasticity and stability of the productivity of peanut collection samples using the Eberhart and Russell method [18]. Experimentation under contrasting conditions (two geographical locations in 3 years of study) allowed the identification of plastic and stable genotypes in terms of productivity. Stability in productivity is a significant breeding trait. The eight most stable peanut samples were identified as k-24 (Uzbekistan), k-175 (Brazil), k-178 and k-179 (USA), k-300 (Transvaal), k-433 (Senegal), k-793 (Russia), and k-1697 (Vietnam). Accessions that were found to be strongly responsive to medium conditions were k-41 and k-46 (USA), k-283 (Uzbekistan), k-626 (India), k-1157 (Cameroon), k-1533 (Madagascar), and k-1987 (Otradokubansky, Russia). The plasticity of the following varieties was identified: k-283 (Uzbekistan), k-626 (India), k-751 (Portugal), k-1533 (Madagascar), and k-1987 (Otradokubansky, Russia). Variety plasticity is defined as the property to form a satisfactory yield under different growing conditions.
Grains, legumes, and other crops were used to study ecological plasticity and stability according to the method of Eberhart and Russell [18]. The study by Belyavskaya et al. [23] presents the analysis of the ecological plasticity of soybean, according to Eberhart and Russell, using regression coefficients in different climatic conditions of Ukraine, which allowed the determination of the regions that are most favorable for growing new varieties. Biktimirov and Nizayeva [24] studied the ecological plasticity and stability of grain sorghum yield in the Pre-Ural steppe of the Republic of Bashkortostan. The experiments were conducted at the same growing site, but in different years (2015–2019). The meteorological conditions in the experimental years concerning temperature and water regimes were different, which allowed us to assess the lines under contrasting cultivation conditions. Based on a comprehensive assessment of ecological plasticity and stability, high-intensity varieties characterized by stable yields were identified. Using the same methods [15, 18], plasticity and stability parameters for yield and productivity of spring barley varieties in the conditions of the Non-Black Earth zone in Moscow and Ryazan regions were estimated [25]. The data were used to identify barley varieties with stronger responsiveness to changing conditions and varieties with low responsiveness to improved growing conditions. The stability of significant breeding traits of oat and barley samples has been studied in contrasting growing conditions of St. Petersburg and Tambov Region [22].
CONCLUSIONS
Our findings reveal that the southern regions of Russia, particularly the Astrakhan Region and Krasnodar Krai, are suitable for peanut cultivation. Peanut samples that are more productive in the Astrakhan and Krasnodar Krai regions were identified. Samples k-317 and k-868 were recognized as the most productive in PAFSC, while samples k-283 and k-1157 showed high productivity in KES. Yields are more stable on irrigated lands; however, the productivity of individual samples is greater in more fertile soils of Krasnodar Krai. The higher moisture of KES contributed to lower bean maturation, while the productivity did not differ significantly. The productivity of KES peanut samples in 2019 and 2021 reached significantly higher values compared to the other media studied and was characterized in these years by a large range of variability among samples.
Productivity-stable genotypes, which may serve as a source material for selection of new domestic varieties of peanut, were identified in this study. The identified genotypes were k-24 (Uzbekistan), k-175 (Brazil), k-178, k-179 (USA), k-300 (Transvaal), k-433 (Senegal), k-793 (Russia), and k-1697 (Vietnam).
ADDITIONAL INFORMATION
Acknowledgments. The studies were carried out using the equipment of the resource center of the Science Park of Saint Petersburg State University “Development of molecular and cellular technologies”.
Authors’ contribution. Thereby, all authors made a substantial contribution to the conception of the study, acquisition, analysis, interpretation of data for the work, drafting and revising the article, final approval of the version to be published and agree to be accountable for all aspects of the study. Personal contribution of the authors: V.D. Bemova — preparation of field experience, collection of primary data, processing of field research data, analysis and discussion of the data obtained, writing the text, bibliography; T.V. Yakusheva — sowing of peanut samples at the Kuban Experimental Station — branch of VIR, care of crops, harvesting, collection of primary data; M.Sh. Asfandiyarova — sowing peanut samples in the Caspian Agrarian Federal Scientific Center of the Russian Academy of Sciences, caring for crops, harvesting, collecting primary data; V.A. Gavrilova — concept and design of the study, planning of field experiments, writing the text; N.V. Kishlyan — preparation of the field experiment, analysis and discussion of the data obtained, literature review; L.Yu. Novikova — mathematical data processing, analysis, text writing.
Funding source. This work was supported by the Russian Science Foundation grant No. _21-14-00050_.
Competing interests. The authors declare that there is no potential conflict of interest requiring disclosure in this article.
About the authors
Viktoriya D. Bemova
N.I. Vavilov All-Russian Institute of Plant Genetic Resources; Saint Petersburg State University
Author for correspondence.
Email: viktoria.bemova@yandex.ru
ORCID iD: 0000-0002-9574-0356
SPIN-code: 7086-1840
research laboratory assistant, Oil and Fibre Crops Department
Russian Federation, Saint Petersburg; Saint PetersburgTamara V. Yakusheva
N.I. Vavilov All-Russian Institute of Plant Genetic Resources; Kuban Experiment Station, N.I. Vavilov All-Russian Institute of Plant Genetic Resources
Email: yakusheva.vir@yandex.ru
ORCID iD: 0000-0002-2661-2377
SPIN-code: 4016-5033
junior research associate
Russian Federation, Saint Petersburg; village Botanika, Krasnodar RegionMinira Sh. Asfandiyarova
N.I. Vavilov All-Russian Institute of Plant Genetic Resources; Caspian Agrarian Federal Scientific Center of the Russian Academy of Sciences
Email: rtuz@yandex.ru
ORCID iD: 0009-0008-3683-7431
SPIN-code: 3146-0873
Senior Researcher of Agricultural Sciences
Russian Federation, Saint Petersburg; village Solenoe Zaimishche, Astrakhan ProvinceVera A. Gavrilova
N.I. Vavilov All-Russian Institute of Plant Genetic Resources; Saint Petersburg State University
Email: v.gavrilova@vir.nw
ORCID iD: 0000-0002-8110-9168
SPIN-code: 6835-8852
Dr. Sci. (Biol.), chief researcher
Russian Federation, Saint Petersburg; Saint PetersburgNatalia V. Kishlyan
N.I. Vavilov All-Russian Institute of Plant Genetic Resources
Email: natalya-kishlyan@yandex.ru
ORCID iD: 0000-0003-4454-6948
SPIN-code: 5005-0724
Cand. Sci. (Biol.), senior research associate
Russian Federation, Saint PetersburgLyubov Yu. Novikova
N.I. Vavilov All-Russian Institute of Plant Genetic Resources
Email: l.novikova@vir.nw.ru
ORCID iD: 0000-0003-4051-3671
SPIN-code: 8700-6383
Dr. Sci. (Agricultural), leading research associate
Russian Federation, Saint PetersburgReferences
- Vavilov NI. The new systematics of cultivated plants. Oxford: The Clarendon Press, 1940. P. 549–566.
- Anashchenko AV, Rostova NS, Gavrilova VA, et al. Eco-geographical variability of rape and turnip rape. Proceedings on applied botany, genetics and breeding. 1991;144:112–128. (In Russ.)
- Seferova IV, Vishnyakova MA. Soybean genpool from VIR collection for the promotion of agronomical area of the crop to the North. Legumes and groat crops. 2018;(3):35–41. (In Russ.) doi: 10.24411/2309-348X-2018-11030
- Tuz RK, Podolnaya LP, Asfandiyarova MSh, et al. Variability of peanut samples of VNIIMK’s breeding in the conditions of the Astrakhan Region. Maslichnye kul’tury. Nauchno-tekhnicheskii byulleten’ VNIIMK. 2018;(4):64–67. (In Russ.) doi: 10.25230/2412-608X-2018-3-175-64-67
- Settaluri VS, Kandala CVK, Puppala N, Sundaram J. Peanuts and their nutritional aspects — A review. Food Nutr Sci. 2012;12(3):1644–1650. doi: 10.4236/fns.2012.312215
- Kishlyan NV, Bemova VD, Matveeva TV, Gavrilova VA. Biological peculiarities and cultivation of groundnut (a review). Proceedings on applied botany, genetics and breeding. 2020;181(1):119–127. (In Russ.) doi: 10.30901/2227-8834-2020-1-119
- Aytpaeva AA, Loktionova EG, Puchkov MYu, et al. Mathematical modeling as a basis for programming the harvest of peanuts grown in the structure of grass-rowed cropped rotations of the arid zone. Izvestia of the Lower Volga Agro-University Complex. 2023;(1): 499–508. (In Russ.) doi: 10.32786/2071-9485-2023-01-55.
- Obydalo DI, Ogarkova IA. Arakhis: iz tropikov — v umerennye shiroty. Istoriya nauchnykh issledovanii vo VNIIMK za 90 let. Krasnodar. 2002. P. 88–94. (In Russ.)
- Seyidaliyev NYa, Namazova RV. Influence of cultivation technologies on structural indicators of peanuts. Bulletin of science and practice. 2022;8(4):184–191. (In Russ.) doi: 10.33619/2414-2948/77/21
- Belolyubtsev AI, Sennikov VA. Bioklimaticheskii potentsial ehkosistem: Uchebnoe posobie. Moscow: RGAU-MSKHA Publ., 2012. 160 p. (In Russ.)
- Wei S, Li K, Yang Y, et al. Comprehensive climatic suitability evaluation of peanut in Huang-Huai-Hai region under the background of climate change. Sci Rep. 2020;12:11350. doi: 10.1038/s41598-022-15465-3
- Mamedov HI. Izuchenie i ispol’zovanie v selektsii genotipov, obnaruzhennykh v raznykh agroehkologicheskikh raionakh Azerbaidzhana [dissertation abstract]. Baku, 2009. (In Russ.)
- Vakhrusheva TE. Izuchenie kollektsii arakhisa (Arachis hipogaea L.). Metodicheskie ukazaniya. Saint Petersburg: VIR, 1995. 42 p. (In Russ.)
- Gavrilova V, Shelenga T, Porokhovinova E, et al. The diversity of fatty acid composition in traditional and rare oil crops cultivated in Russia. Biol Commun. 2020;65(1):68–81. doi: 10.21638/spbu03.2020.106
- Kil’chevskii AV, Khotyleva LV. Genotip i sreda v selektsii rastenii. Minsk: Nauka i tekhnika, 1989. 192 p. (In Russ.)
- Ruseeva ZM, Narodetskaya ShSh, Dunaevskii BV, et al editors. Agroklimaticheskie resursy Astrakhanskoi oblasti. Leningrad: Gidrometeoizdat. 1974. 136 p. (In Russ.)
- Ruseeva ZM, Narodetskaya ShSh, Dunaevskii BV, et al editors. Agroklimaticheskie resursy Krasnodarskogo kraya. Leningrad: Gidrometeoizdat. 1975. 276 p. (In Russ.)
- Eberhart SA, Russel WA. Stability parameters for comparing varieties. Crop Sci. 1966;6(1):36–40. doi: 10.2135/cropsci1966.0011183X000600010011x
- Mergalimov DB, Bekenova LV, Shamanin VP. Evaluation of ecological plasticity of the strains and lines of spring barley in north-east Kazakhstan conditions. Modern Problems of Science and Education. 2015;(1–2):287. (In Russ.)
- Pakudin VZ. Parametry ehkologicheskoi plastichnosti sortov i gibridov. Teoriya otbora v populyatsiyakh rastenii. Ed. by L.V. Khotylev. Novosibirsk: Nauka. 1976. P. 178–189. (In Russ.)
- Malchikov PN, Sidorenko VS, Myasnikova MG, et al. Evaluation of ecological and geographic adaptability experiment genotypes of durum wheat and differentiating ability of environmental conditions (years, points). Legumes and groat crops. 2016;(2):120–126. (In Russ.)
- Loskutov IG, Novikova LY, Kovaleva ON, et al. Ecological-geographic approaches to the study of genetic diversity of barley and oat from the VIR collection. Ecological genetics. 2020;18(1):89–102. (In Russ.) doi: 10.17816/ecogen16128
- Bilyavska LG, Belyavskiy YV, Diyanova AA. Estimation of environmental stability and plasticity of soybean varieties. Legumes and groat crops. 2018;(4):43–48. (In Russ.) doi: 10.24411/2309-348Х-2018-11048
- Biktimirov RА, Nizaeva АА. The estimation of environmental stability and adaptability of the grain sorghum varieties in the Republic of Bashkortostan. Grain Economy of Russia. 2021;1(1):39–43. (In Russ.) doi: 10.31367/2079-8725-2021-73-1-39-43
- Eroshenko LM, Romakhin MM, Eroshenko NA, et al. Yield, plasticity, stability and homeostasis of spring barley cultivars in the Non-Black Earth Region. Proceedings on applied botany, genetics and breeding. 2022;183(1):38–47. (In Russ.) doi: 10.30901/2227-8834-2022-1-38-47
Supplementary files








