Оценка потенциальной мутагенной активности флоротаннин-содержащих экстрактов трех видов бурых водорослей
- Авторы: Тараховская Е.Р.1,2, Исламова Р.Т.1, Замяткина Е.Б.1, Степченкова Е.И.1,2
-
Учреждения:
- Санкт-Петербургский государственный университет
- Институт общей генетики им. Н.И. Вавилова РАН, Санкт-Петербургский филиал
- Выпуск: Том 21, № 3 (2023)
- Страницы: 249-260
- Раздел: Генетическая токсикология
- Статья получена: 27.09.2023
- Статья одобрена: 27.10.2023
- Статья опубликована: 06.12.2023
- URL: https://journals.eco-vector.com/ecolgenet/article/view/595899
- DOI: https://doi.org/10.17816/ecogen595899
- ID: 595899
Цитировать
Полный текст
Аннотация
Актуальность. Флоротаннины — это уникальные фенольные метаболиты бурых водорослей. Эти соединения исследуются на предмет возможного применения в медицине, поскольку имеют значительную биологическую активность. Неизученным аспектом на данный момент остается потенциальная генотоксичность флоротаннинов.
Цель — оценка мутагенной активности внутриклеточных и связанных с клеточной стенкой флоротаннинов трех видов бурых водорослей.
Материалы и методы. Флоротаннин-содержащие экстракты Desmarestia aculeata, Fucus serratus и Ectocarpus siliculosus оценивали на мутагенность в тесте Эймса на трех штаммах Salmonella typhimurium (TA97, TA98 и TA100) с метаболической активацией и без нее.
Результаты. Внутриклеточные флоротаннины всех водорослей характеризуются относительно низкими значениями минимальной ингибирующей концентрации в отношении S. typhimurium (20–30 мкг/мл). Внутриклеточные флоротаннины F. serratus и связанные с клеточной стенкой полифенолы E. siliculosus показали умеренную мутагенную активность в тесте Эймса: они индуцировали мутации сдвига рамки считывания, при этом число ревертантов His+ более чем вдвое превышало контроль. Экстракты D. aculeata не проявили мутагенной активности.
Заключение. Флоротаннины D. aculeata наиболее перспективны для использования в медицине, поскольку имеют наибольшую антибиотическую активность и не проявляют мутагенности.
Ключевые слова
Полный текст
BACKGROUND
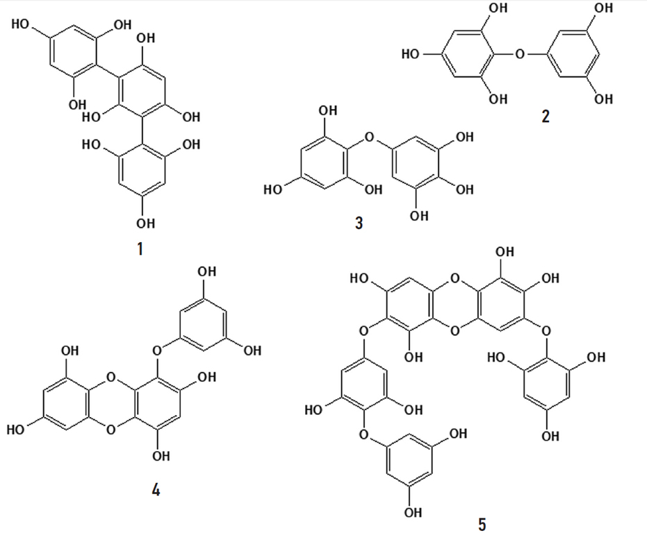
Biologically active compounds of marine origin are currently being intensively investigated by numerous scientific institutions around the world. The principal fields of the perspective practical application of such compounds are medicine (pharmacology), and agriculture (feed additives), where many seaweeds and marine invertebrates are considered as potentially valuable sources of effective drugs [1, 2]. Phlorotannins represent one of the most promising groups of marine biologically active compounds. These substances are specific phenolic metabolites of brown algae, oligomers and polymers of phloroglucinol (1,3,5-trihydroxybenzene) with diverse structure and degree of polymerization. Several structural classes (fucols, phlorethols, fuhalols, eckols, carmalols) can be distinguished among these compounds, based on the bond type between the phloroglucinol moieties (aryl-aryl, ether, or combination of aryl and ether bonds) and the presence and number of additional hydroxyl groups (see Figure) [3, 4]. The molecular profiles of phlorotannins were shown to be very complex and species-specific [5, 6].
Рисунок. Представители основных классов флоротаннинов: фуколы (1), флоретолы (2), фугалолы (3), эколы (4) и кармалолы (5) [3]
During the last decades phlorotannins are gaining increasing attention due to their unique features. They occur in all studied brown algae in considerable concentrations (from 0.5 to 30% of dry weight, DW) and are relatively easily extractable [7, 8]. There are two subcellular phlorotannin fractions: intracellular phenolics located in physodes, specific brown algal organelles, and a minor phlorotannin fraction, associated with the cell wall (CW) [9, 10]. CW-bound phlorotannins are still very poorly studied. Phlorotannins demonstrated numerous biological activities (antioxidative, antimicrobial and antifungal, anti-inflammatory, cytotoxic and antiproliferative) with potential application in food and cosmetic industries, and, most of all — in medicine [11]. Like other plant phenolics, phlorotannins exhibit antioxidant properties [12, 13]. High correlation was found between phlorotannin content in seaweed extracts and their scavenging capacity against 2,2-diphenyl-1-picrylhydrazyl and peroxyl radicals, indicating an important role of algal polyphenols as chain-breaking antioxidants [14, 15]. Some phlorotannins isolated from brown algae of the orders Laminariales and, especially, Fucales, have shown comparable or even stronger antioxidant activity than commercial antioxidants such as butylated hydroxytoluene or propyl gallate [15, 16]. Cultured human liver cells HepG2 submitted to tert-butyl hydroperoxide induced oxidative stress demonstrated reduced reactive oxygen species (ROS) and malondialdehyde level after pretreatment with phlorotannins at physiological concentrations (0.5–50 μg/ml). Notably, phlorotannins in these experiments showed no cytotoxic effect [17]. Phlorotannin extracts scavenged intracellular ROS, prevented lipid peroxidation and reduced 2,20-azobis-2-methylpropanimidamide dihydrochloride induced cell death and morphological disorders in zebrafish embryos [18]. Phlorotannins are also known as potent antibiotics, demonstrating high toxicity against Gram-negative and Gram-positive bacteria, human pathogenic yeast, dermatophytes, and other microfungi [8, 19, 20]. In antimicrobial tests, several phlorotannin extracts showed minimum inhibitory concentration (MIC) values close to those of widely used natural and synthetic antibiotics; moreover, some polyphenol preparations were effective even against antibiotic-resistant bacterial strains [21, 22]. Besides extensively investigated antioxidative and antimicrobial effects, phlorotannins also demonstrated anti-inflammatory activity [23], cytotoxic and antiproliferative effects [24, 25]. Moreover, both phloroglucinol and low-molecular-weight phlorotannins reduced formation of advanced glycation end-products (AGEs), which are responsible for such diabetic complications as retinopathy, neuropathy and cardiomyopathy [26]. All these results indicate that phlorotannins might be regarded as potential therapeutic agents for treating or preventing diseases implicated with oxidative stress as well as bacterial and fungal infections.
Thus, phlorotannins have been the subject of extensive research focusing on their numerous potential biological activities, but nevertheless, there are still serious gaps in this field. First, we could not find any research considering possible genotoxic effects of phlorotannins, in particular, their potential mutagenic activity. Meanwhile such studies are necessary to support the safe use of these compounds in medicine, food production etc. And secondly, only few studies addressed structure and biological activity of CW-bound phlorotannin fraction, though these molecules also showed both antioxidant and antibiotic activities [6, 15, 27].
The aim of our study is to assess potential mutagenic activity of several intracellular and CW-bound phlorotannin preparations of three brown algal species: Fucus serratus, Ectocarpus siliculosus, and Desmarestia aculeata. These species were chosen as phlorotannin extracts of all the three seaweeds demonstrated the highest antibiotic and antifungal activities in our previous research [8].
MATERIALS AND METHODS
Algal material collection
Brown algae (Fucus serratus L., Ectocarpus siliculosus (Dillw.) Lyngb., and Desmarestia aculeata (L.) J. V. Lamour.) were collected near the shores of the Keret Archipelago (Kandalaksha Bay, White Sea; 66°17'28.76'' N33°40'03.46''E) in July–August 2022–2023. All algal species are named according to AlgaeBase online resource [28]. Mature thalli were collected from the typical habitats of each species, cleaned from the epiphytes, rinsed with distilled water, carefully wiped with filter paper, and then frozen and kept at –70°C.
Extraction of intracellular and cell wall-bound phlorotannins
Phlorotannin extraction was carried out according to the protocol of R. Koivikko et al. [29]. For extraction of the intracellular phlorotannins samples of 1–2 g frozen algal material were homogenized using a cryogenic laboratory mill Freezer/Mill 6870 (SPEX SamplePrep, Metuchen, NJ, USA, Germany), transferred to the 15 ml polypropylene conical tubes, poured with 10 ml of acetone : water (70 : 30, v/v) and left soaking for one hour. Then, each extract was centrifuged (5000× g, 10 min), the supernatant was transferred to another tube, and the pellet was re-extracted with another 10 ml of aqueous acetone. The supernatants of five extraction rounds were combined, and acetone was evaporated in a CentriVap vacuum concentrator system (Labconco, Kansas City, MO, USA). Then the extracts were defatted three times, partitioning against dichloromethane (1:1, v/v), and phlorotannins were extracted by five successive portions of ethyl acetate (1:1, v/v). Ethyl acetate extracts were dried and resuspended in 1 ml water.
The CW-bound phlorotannin fraction was extracted from the precipitate of the remaining algal material after the extraction of intracellular phlorotannins. The precipitate was resuspended in 5 ml of 1 M aqueous NaOH solution (80°C) and then incubated for 2.5 h at room temperature with continuous shaking (750 rpm). After centrifugation (5000× g, 10 min), the supernatant was transferred to another tube. The alkaline extraction was repeated three times. The combined supernatants were neutralized with concentrated HCl to pH 6.8–7.0 and defatted three times, partitioning against dichloromethane (1 : 1, v/v). Then, phlorotannins were extracted by five successive portions of ethyl acetate (1 : 1, v/v). Ethyl acetate extracts were dried and resuspended in 1 ml water.
A comprehensive HPLC–MS analysis carried out in our previous study [6] as well as a combination of HPLC with UV- and MS-detection and NMR-analysis used in the work of R. Koivikko et al. [29] confirmed that phlorotannins are the principal constituents of the extracts obtained according to the described protocol.
Analysis of phlorotannin content
A modification of the Folin–Ciocalteu micro-method was used to measure the total phlorotannin content in the semi-purified extracts. Phloroglucinol (Sigma Aldrich Inc., Budapest, Hungary, 79330) was used as the standard. The reaction mixture containing 0.3 ml of sample (diluted as necessary), 0.3 ml of Folin reagent, and 2.4 ml of 5% (w/v) aqueous Na2CO3 was incubated for 20 min at 45°C, and then the absorbance was measured at 750 nm using a SPEKOL 1300 spectrophotometer (Analytik Jena AG, Jena, Germany).
Bacterial strains
Histidine auxotrophic strains of Salmonella typhimurium TA97 (hisD6610 hisO1242 rfa Δ(uvrB chl bio) pKM101), TA98 (hisD3052 rfa Δ(uvrB chl bio) pKM101), and TA100 (hisG46 rfa Δ(uvrB chl bio) pKM101) were obtained from the collection of the Department of Genetics and Biotechnology, Saint Petersburg State University (St. Petersburg, Russia). The genetic characteristics of each strain were tested as recommended [30].
Measurement of minimum inhibitory concentrations
MIC values were determined as the lowest concentrations of tested phlorotannin extracts, completely inhibiting the growth of the S. typhimurium cultures. The broth dilution method was used for the MIC assays [31]. First, the stock solutions of phlorotannin extracts were made in the Vogel-Bonner growth media, and serial 2-fold dilutions of the stock were prepared in 96-well microtiter plates (100 μl per well). Then, 100 μl aliquots of cell suspensions containing approximately 104 cells/ml of bacteria were inoculated into each well. The final concentration of phlorotannin extracts ranged from 1 to 1000 μg/ml; pure growth medium was used as a negative control. The MIC values were visually determined after 24 h of incubation.
Mutagenicity assay
Mutagenicity of the phlorotannin extracts was evaluated using the Ames test, performed according to the standard protocol [30]. A minimal agar medium (Vogel-Bonner minimal medium supplemented with 2% glucose) with an overlay agar containing 0.5 mM L-histidine and 0.5 mM D-biotin to support a few cell divisions were used for selection of His+ revertants. Fresh overnight cultures of three tester strains of S. typhimurium (TA97, TA98, TA100) were grown up to the late exponential phase (approximately 109 cells per ml) at 37°C. Then 0.1 ml of bacterial culture and 0.1 ml of phlorotannin extract were mixed in the tube with 3 ml of molten (45°C) overlay agar. The final concentration of phlorotannin extracts ranged from 2.5 to 15 μg/ml for intracellular phlorotannins and from 62.5 to 250 μg/ml for CW-bound phlorotannins, for each tested extract the highest concentration corresponding to 1/2 MIC. For each tested extract the mutagenicity assay was performed in the presence (+) and absence (–) of a metabolic activation (MA) system, containing a cofactor-supplemented post-mitochondrial fraction (S9) prepared from the rat liver treated with enzyme-inducing agents [30, 32]. 0.5 ml of MA mixture or phosphate buffer (0.1 М, рН 7.4) was added into each MA+ and MA– tube, correspondingly. Distilled water was used as a negative control. 2-Nitrofluorene (2 μg/plate, for TA97 and TA98) and NaN3 (2 μg/plate for TA100) were used as positive controls in the MA– tests; 2-aminoantracene (5 μg/plate) was used as positive control in the MA+ tests. Stock solutions of 2-nitrofluorene and 2-aminoantracene were made in DMSO, and NaN3 — in distilled water. The overlay agar with all necessary additions was poured over the surface of a minimal agar plate and allowed to solidify before incubation. Triplicate plating was used for each variant. All plates were incubated at 37°C for 3 or 5 days, and then the number of His+ revertant colonies per plate was counted.
Data analysis
Measurements were performed as three (the Ames test) to six (MIC determination) independent experiments with three analytical replicates in each experiment. Excel 2016 (Microsoft, Redmond, WA, USA) software was used for data processing. Student’s t-test was used to confirm the significant differences between the means. The values are expressed as means and standard deviations.
RESULTS
Minimum inhibitory concentrations of phlorotannin extracts
The toxicity of phlorotannin extracts against the tester strain TA97 of S. typhimurium varied considerably depending on the subcellular fraction of polyphenols (Table 1). Intracellular phlorotannins of all three brown algae demonstrated considerable antibiotic effect with D. aculeata extract being the most toxic (MIC 20 µg/ml). CW-bound phlorotannins of all tested algal species showed substantially lower toxicity to S. typhimurium (500 µg/ml).
Table 1. Minimum inhibitory concentrations (MIC) of intracellular and CW-bound phlorotannin extracts of three brown algal species against the Salmonella typhimurium tester strain TA97
Таблица 1. Минимальные ингибирующие концентрации внутриклеточных и связанных с клеточной стенкой флоротаннинов трех видов бурых водорослей по отношению к Salmonella typhimurium, штамм TA97
Tested phlorotannin extracts | MIC, µg/ml | |
Fucus serratus | Intracellular phlorotannins | 24 |
CW-bound phlorotannins | 500 | |
Ectocarpus siliculosus | Intracellular phlorotannins | 30 |
CW-bound phlorotannins | 500 | |
Desmarestia aculeata | Intracellular phlorotannins | 20 |
CW-bound phlorotannins | 500 | |
Mutagenic activity of phlorotannin extracts
The results of the mutagenic activity assays are shown in the Tables 2–4. Intracellular phlorotannins isolated from F. serratus demonstrated considerable mutagenic effect for the strain TA97 without metabolic activation (Table 2). The number of His+ revertants per plate was 2.3 times higher compared to the negative control for the highest phlorotannin concentration (12 µg/ml, corresponds to 1/2 MIC) and 1.7 times higher than control for the phlorotannin concentration 6 µg/ml. The lowest tested polyphenol concentration (3 µg/ml) had no mutagenic effect. Phlorotannins in the highest concentration also demonstrated significant (p = 0.021) mutagenic activity for the other S. typhimurium tester strain, TA100 after MA: in this case the number of His+ revertants per plate was 1.4 times higher compared to the negative control. CW-bound phlorotannins showed no significant mutagenic effects in the Ames test (Table 2).
Table 2. Mutagenic activity of intracellular and CW-bound phlorotannin extracts of Fucus serratus
Таблица 2. Мутагенная активность внутриклеточных и связанных с клеточной стенкой флоротаннинов Fucus serratus
Variant | Phlorotannin concentration, µg/ml of overlay agar | Quantity of His+ revertants per plate | |||||
TA97 | TA98 | TA100 | |||||
MA– | MA+ | MA– | MA+ | MA– | MA+ | ||
Negative control | 111.00 ± ± 17.58 | 195.00 ± ± 20.22 | 46.67 ± ± 2.08 | 72.33 ± ± 12.50 | 152.33 ± ± 21.22 | 130.00 ± ± 22.52 | |
Positive control | 387.00 ± ± 73.08 | 346.33 ± ± 12.90 | 945.33 ± ± 162.99 | 1229.33 ± ± 155.86 | 633.67 ± ± 71.51 | 528.33 ± ± 67.47 | |
Intracellular phlorotannins | 3 | 115.02 ± ± 20.78 | 200.01 ± ± 18.30 | 49.33 ± ± 2.88 | 79.15 ± ± 9.10 | 159.14 ± ± 20.12 | 141.24 ± ± 15.87 |
6 | 186.00 ± ± 32.50 | 214.32 ± ± 31.16 | 48.00 ± ± 9.01 | 73.34 ± ± 8.54 | 170.27 ± ± 18.89 | 165.30 ± ± 20.16 | |
12 | 254.33 ± ± 12.85 | 216.16 ± ± 21.94 | 51.66 ± ± 19.03 | 81.00 ± ± 19.13 | 168.00 ± ± 26.85 | 186.00 ± ± 13.52 | |
CW-bound phlorotannins | 62.5 | 119.15 ± ± 16.34 | 170.00 ± ± 18.38 | 46.67 ± ± 5.68 | 74.67 ± ± 4.16 | 156.33 ± ± 12.01 | 138.33 ± ± 21.73 |
125 | 105.66 ± ± 9.43 | 193.67 ± ± 10.30 | 48.00 ± ± 3.00 | 73.67 ± ± 5.77 | 151.00 ± ± 19.00 | 141.33 ± ± 5.13 | |
250 | 120.00 ± ± 12.40 | 201.33 ± ± 19.14 | 41.33 ± ± 5.03 | 70.00 ± ± 19.00 | 158.33 ± ± 19.03 | 136.67 ± ± 13.65 | |
Note. The values significantly (t-test, p < 0.05) differing from the negative control are marked with bold font. MA — metabolic activation.
By contrast to F. serratus, intracellular phlorotannin extracts of E. siliculosus demonstrated no mutagenic activity in the Ames test for the S. typhimurium strain TA97 (Table 3). However, similar to Fucus preparations, these extracts in the highest concentration (15 µg/ml) had slight though statistically significant (p = 0.023) activity for the strain TA100 in the variant with MA: the number of His+ revertants per plate was 1.3 times higher compared to the negative control. Notably, the CW-bound phlorotannins of Ectocarpus were also mutagenic, showing significant effect for the strain TA97 in both variants of the Ames test (with MA and without it). For the highest polyphenol concentration (250 µg/ml) quantity of His+ revertants per plate was 2.3 and 1.3 higher than the negative control without MA and after MA, respectively (Table 3).
Table 3. Mutagenic activity of intracellular and CW-bound phlorotannin extracts of Ectocarpus siliculosus
Таблица 3. Мутагенная активность внутриклеточных и связанных с клеточной стенкой флоротаннинов Ectocarpus siliculosus
Variant | Phlorotannin concentration, µg/ml of overlay agar | Quantity of His+ revertants per plate | |||||
TA97 | TA98 | TA100 | |||||
MA– | MA+ | MA– | MA+ | MA– | MA+ | ||
Negative control | 236.67 ± ± 32.96 | 302.33 ± ± 9.29 | 56.67 ± ± 12.05 | 57.00 ± ± 14.73 | 139.67 ± ± 8.50 | 149.00 ± ± 16.46 | |
Positive control | 477.00 ± ± 10.15 | 609.60 ± ± 22.92 | 771.67 ± ± 77.51 | 800.67 ± ± 113.33 | 593.33 ± ± 55.00 | 603.00 ± ± 57.00 | |
Intracellular phlorotannins | 3.75 | 215.03 ± ± 20.40 | 300.00 ± ± 18.14 | 49.15 ± ± 4.92 | 60.16 ± ± 7.98 | 159.14 ± ± 20.12 | 146.15 ± ± 10.46 |
7.5 | 226.00 ± ± 31.67 | 274.67 ± ± 21.78 | 50.03 ± ± 8.78 | 53.67 ± ± 5.98 | 170.27 ± ± 18.89 | 171.43 ± ± 20.21 | |
15 | 214.67 ± ± 13.65 | 281.10 ± ± 15.04 | 50.13 ± ± 10.46 | 59.00 ± ± 6.12 | 147.33 ± ± 17.01 | 196.33 ± ± 15.88 | |
CW-bound phlorotannins | 62.5 | 276.16 ± ± 19.98 | 280.00 ± ± 14.46 | 58.33 ± ± 3.51 | 60.33 ± ± 11.67 | 145.33 ± ± 13.20 | 148.00 ± ± 12.49 |
125 | 397.67 ± ± 15.48 | 333.67 ± ± 25.14 | 54.67 ± ± 5.52 | 56.33 ± ± 11.01 | 141.00 ± ± 16.36 | 144.67 ± ± 10.78 | |
250 | 541.97 ± ± 13.80 | 393.03 ± ± 10.11 | 51.33 ± ± 9.05 | 63.33 ± ± 8.62 | 137.00 ± ± 18.68 | 143.33 ± ± 12.50 | |
Note. The values significantly (t-test, p < 0.05) differing from the negative control are marked with bold font. MA — metabolic activation.
Neither intracellular, nor CW-bound phlorotannin extracts of the third tested brown alga, D. aculeata, demonstrated any mutagenic activity in the Ames test (Table 4).
Table 4. Mutagenic activity of intracellular and CW-bound phlorotannin extracts of Desmarestia aculeata
Таблица 4. Мутагенная активность внутриклеточных и связанных с клеточной стенкой флоротаннинов Desmarestia aculeata
Variant | Phlorotannin concentration, µg/ml of overlay agar | Quantity of His+ revertants per plate | |||||
TA97 | TA98 | TA100 | |||||
MA– | MA+ | MA– | MA+ | MA– | MA+ | ||
Negative control | 174.00 ± ± 14.52 | 199.33 ± ± 9.50 | 31.67 ± ± 7.57 | 73.00 ± ± 9.00 | 188.33 ± ± 10.60 | 157.00 ± ± 5.29 | |
Positive control | 353.34 ± ± 52.77 | 902.33 ± ± 89.79 | 430.67 ± ± 35.30 | 520.67 ± ± 44.28 | 962.00 ± ± 52.25 | 1320.67 ± ± 198.21 | |
Intracellular phlorotannins | 2.5 | 174.33 ± ± 16.25 | 186.33 ± ± 13.05 | 32.33 ± ± 10.01 | 72.00 ± ± 7.81 | 175.00 ± ± 30.80 | 150.67 ± ± 11.01 |
5 | 182.67 ± ± 23.07 | 182.33 ± ± 23.86 | 28.33 ± ± 2.89 | 76.33 ± ± 18.15 | 197.00 ± ± 17.00 | 157.33 ± ± 14.29 | |
10 | 192.33 ± ± 14.36 | 215.00 ± ± 24.55 | 33.33 ± ± 4.72 | 76.67 ± ± 10.69 | 185.00 ± ± 11.13 | 155.00 ± ± 31.51 | |
CW-bound phlorotannins | 62.5 | 165.67 ± ± 8.08 | 210.33 ± ± 11.93 | 35.67 ± ± 5.03 | 77.00 ± ± 6.24 | 194.67 ± ± 7.57 | 156.67 ± ± 16.50 |
125 | 160.67 ± ± 13.05 | 190.67 ± ± 12.09 | 33.67 ± ± 7.50 | 74.00 ± ± 3.60 | 172.33 ± ± 18.00 | 157.67 ± ± 15.95 | |
250 | 184.33 ± ± 13.65 | 185.33 ± ± 17.90 | 26.00 ± ± 6.00 | 73.33 ± ± 18.55 | 192.67 ± ± 13.57 | 152.00 ± ± 15.87 | |
Note. The values significantly (t-test, p < 0.05) differing from the negative control are marked with bold font. MA — metabolic activation.
DISCUSSION
Our results showed that intracellular phlorotannins of all three tested brown algal species possessed considerable antibiotic activity, demonstrating relatively low MIC values (20–30 µg/ml, Table 1) against S. typhimurium. Generally, these values correspond well with the results of our previous studies on the other gram-negative bacteria, E. coli, and literature data [8, 33]. The interspecies variation of MIC values may be explained by the specificity of the molecular composition of phlorotannins accumulated in the cells of different brown algae. Our previous research on polyphenols of several fucalean algae [6] showed that molecular profiles of intracellular phlorotannins are very complex and may include more than 30 types of phlorotannin molecules of different polymerization degrees, of which 1–3 phlorotannin classes dominate in the profile, while the others are minor constituents or occur only in trace amounts. Thus, the dominating phlorotannin species of F. serratus are low-molecular-weight fucols and fucophlorethols, and pronounced antibiotic effects of fucoid algae are attributed to these particular molecules [5, 6, 8]. Compared to phlorotannins of fucalean algae, phenolics of the Desmarestiales and Ectocarpales are currently much less studied. The toxicity of these compounds against different unicellular organisms including gram-negative bacteria was shown earlier [8, 34], but the underlying molecular profiles are still not analyzed, though given their high antibiotic activity (Table 1), such investigations would be in high demand. Given the close MIC values demonstrated by phlorotannins of F. serratus, D. aculeata, and E. siliculosus in the current study as well as in our previous research [8], we may suggest that their dominating phlorotannin molecules may be similar.
Interestingly, CW-bound phlorotannin fraction showed considerably lower toxicity, compared to the intracellular polyphenols (Table 1). This may relate to the specific features of the molecular composition of two subcellular phlorotannin fractions. According to literature data, whereas intracellular phlorotannins represent a complex mixture of molecules differing in their basic structure and polymerization degree even between the phylogenetically close brown algal species [5, 6], the CW-bound phlorotannins are generally much more uniform and, at least for fucalean algae, include only one dominating type of molecules, low-molecular weight hydroxylated eckols/carmalols [6]. Apparently, such molecules are less toxic compared to the fucols and fucophlorethols, dominating in the intracellular phlorotannins of these algae. This looks logical in the context of physiological functions of different subcellular phlorotannin fractions: whereas intracellular phlorotannins confer chemical protection of the organism against different pathogens, the principal function of the CW-bound phlorotannins is a structural one. After being secreted to the cell wall, phlorotannin molecules are supposed to be activated by enzymatic oxidation and then cross-linked to alginates, the major components of the cell wall matrix of the brown algae, thus contributing to the wall rigidification and adhesion to the substratum [35, 36].
Three tested phlorotannin extracts (intracellular phlorotannins of F. serratus and both subcellular phlorotannin fractions of E. siliculosus) demonstrated slight to moderate mutagenic activity in the Ames test (Tables 2, 3). The Ames test is a robust and fast method for revealing the mutagenic activity of different chemical compounds. Currently, it is one of the principal methods applied worldwide for genotoxicity screenings [37]. The test variant without MA allows detecting direct mutagenic activity, while the variant with MA addresses the promutagenic activity [30, 32]. Using different tester strains of S. typhimurium allows revealing the predominant mutation types induced by the tested compounds. Our results showed that intracellular phlorotannins of F. serratus can induce frameshift mutations in bacterial cells (more than two-fold increase of His+ revertants number in the TA97 strain) and also has a slight promutagenic activity inducing base pair substitutions (1.4-fold increased number of revertants for the TA100 strain) (Table 2). The same low (though statistically significant) level of promutagenic activity for TA100 strain was detected also in the intracellular phlorotannin extract of E. siliculosus (Table 3). And finally, CW-bound phlorotannins of Ectocarpus induced frameshift mutations (TA97 strain) both after MA and, especially, as direct mutagens (Table 3). The absence of mutagenic activity in the phlorotannin extracts of D. aculeata (Table 4) is a very promising result in the context of possible practical use of these metabolites in the medicine, as phlorotannin preparations of this alga proved to be the most effective antibiotics and fungicides compared to polyphenols of the other brown algae [8]. Finding such a perspective natural source of phlorotannins is important because the biosynthesis pathways of these metabolites in brown algal cells have not been deciphered yet, so to date it is impossible to produce phlorotannins using a biotechnological approach.
To our knowledge, our study is the first attempt to assess potential genotoxicity of brown algal phlorotannins, though mutagenic activity of different phenolic compounds, including natural plant metabolites, was reported in the literature [38, 39]. Thus, phenols and quinones of white grapes induced base pair substitution mutations in the cells of S. typhimurium (TA100 strain) [38]. Phenols-enriched methanolic extracts of Alchornea triplinervia demonstrated slight to moderate mutagenic activity (1.6–3.1-fold increase of His+ revertant number per plate) for the TA97a and TA98 strains both with and without MA [39]. These data together with our results (Tables 2, 3) show that though phenolic compounds frequently regarded primarily as antimutagens based on their antioxidative properties [e.g., 40, 41], some of such molecules may possess considerable mutagenic activity.
Obviously, the observed differences in the mutagenic activity of different phlorotannin preparations need to be addressed in the context of their molecular structure. As detailed information about the structure of phlorotannins of Ectocarpus is still unavailable, we may only suggest that some minor constituents of the phlorotannin molecular profiles of this alga and F. serratus are responsible for genotoxicity of their extracts. Acetylated phlorotannin molecules may be candidates for this role. Monoacetylated phenolic compounds were reported to demonstrate more pronounced biological activity, in particular, mutagenicity, compared to the non-modified molecules [42, 43], and HPLC-MS analysis allowed to reveal several classes of acetylated phlorotannins in the cells of fucalean algae, including F. serratus [6]. Obviously, further structural investigations are needed to elucidate this issue, and this is an ongoing objective in our current research.
CONCLUSIONS
Phlorotannin extracts of brown algae F. serratus and E. siliculosus demonstrated slight to moderate mutagenic activity in the Ames test with and without metabolic activation. The most active were intracellular phlorotannins isolated from F. serratus and CW-bound polyphenols of E. siliculosus: both extracts induced frameshift mutations in the cells of S. typhimurium strain TA97, and the number of His+ revertants per plate was 2.3 times higher compared to the negative control. The phlorotannin extracts of D. aculeata, being the most toxic for bacteria, showed no mutagenic activity. Thus, D. aculeata may be regarded as a promising source of phlorotannins for medical applications.
ADDITIONAL INFORMATION
Authors’ contribution. Thereby, all authors made a substantial contribution to the conception of the study, acquisition, analysis, interpretation of data for the work, drafting and revising the article, final approval of the version to be published and agree to be accountable for all aspects of the study. Personal contribution of the authors: E.R. Tarakhovskaya — research concept and design, algal material collection, phlorotannin extraction, mutagenicity testing, text writing, funding acquisition; R.T. Islamova — phlorotannin extraction, MIC and mutagenicity testing; E.B. Zamyatkina — algal material collection, mutagenicity testing; E.I. Stepchenkova — research concept and design, mutagenicity testing, discussion of results, text editing.
Funding source. This research was funded by the Russian Science Foundation (grant No. 22-24-20039, https://rscf.ru/en/project/22-24-20039/, accessed on 2023 Sept 20) and St. Petersburg Science Foundation (grant No. 35/2022 from 2022 April 14).
Acknowledgments. The research was performed using facilities of the Marine Biological Station “UNB Belomorskaya” and the Research Park of St. Petersburg State University.
Competing interests. The authors declare that they have no competing interests.
Ethics approval. Not applicable.
ДОПОЛНИТЕЛЬНАЯ ИНФОРМАЦИЯ
Благодарности. Исследования выполнены с использованием оборудования Морской биологической станции СПбГУ “УНБ Беломорская” и Научного парка Санкт-Петербургского государственного университета.
Вклад авторов. Все авторы внесли существенный вклад в разработку концепции, проведение исследования и подготовку статьи, прочли и одобрили финальную версию перед публикацией. Вклад каждого автора: Е.Р. Тараховская — концепция и дизайн исследования, сбор биологического материала, экстракция флоротаннинов, исследование мутагенной активности, написание текста, привлечение финансирования; Р.Т. Исламова — экстракция флоротаннинов, исследование антибиотической и мутагенной активности; Е.Б. Замяткина — сбор биологического материала, исследование мутагенной активности; Е.И. Степченкова — концепция и дизайн исследования, исследование мутагенной активности, обсуждение результатов, редактирование текста.
Источник финансирования. Исследование выполнено при поддержке Российского научного фонда (грант № 22-24-20039) и Санкт-Петербургского научного фонда (грант № 35/2022 от 14.04.2022).
Конфликт интересов. Авторы заявляют об отсутствии потенциального конфликта интересов, требующего раскрытия в данной статье.
Заключение этического комитета. Не требуется.
Об авторах
Елена Роллановна Тараховская
Санкт-Петербургский государственный университет; Институт общей генетики им. Н.И. Вавилова РАН, Санкт-Петербургский филиал
Автор, ответственный за переписку.
Email: elena.tarakhovskaya@gmail.com
ORCID iD: 0000-0002-5341-2813
SPIN-код: 1710-9200
канд. биол. наук, доцент кафедры физиологии и биохимии растений
Россия, Санкт-Петербург; Санкт-ПетербургРената Тагировна Исламова
Санкт-Петербургский государственный университет
Email: renata.tag.isl@gmail.com
SPIN-код: 6559-9398
студентка
Россия, Санкт-ПетербургЕлизавета Борисовна Замяткина
Санкт-Петербургский государственный университет
Email: lizatekna@mail.ru
SPIN-код: 1986-2385
студентка
Россия, Санкт-ПетербургЕлена Игоревна Степченкова
Санкт-Петербургский государственный университет; Институт общей генетики им. Н.И. Вавилова РАН, Санкт-Петербургский филиал
Email: stepchenkova@gmail.com
ORCID iD: 0000-0002-5854-8701
SPIN-код: 9121-7483
канд. биол. наук, заведующая лабораторией мутагенеза и генетической токсикологии; ассистент кафедры генетики и биотехнологии
Россия, Санкт-Петербург; Санкт-ПетербургСписок литературы
- Shannon E., Abu-Ghannam N. Antibacterial derivatives of marine algae: An overview of pharmacological mechanisms and applications // Marine Drugs. 2016. Vol. 14, No. 8. ID 81. doi: 10.3390/md14040081
- Papon N., Copp B.R., Courdavault V. Marine drugs: Biology, pipelines, current and future prospects for production // Biotechnol Adv. 2022. Vol. 54. ID 107871. doi: 10.1016/j.biotechadv.2021.107871
- Isaza Martinez J.H., Torres Castaneda H.G. Preparation and chromatographic analysis of phlorotannins // J Chromatogr Sci. 2013. Vol. 51, No. 8. P. 825–838. doi: 10.1093/chromsci/bmt045
- Shrestha S., Zhang W., Smid S.D. Phlorotannins: A review on biosynthesis, chemistry and bioactivity // Food Biosci. 2021. Vol. 39. ID 100832. doi: 10.1016/j.fbio.2020.100832
- Steevensz A.J., Mackinnon S.L., Hankinson R., et al. Profiling phlorotannins in brown macroalgae by liquid chromatography-high resolution mass spectrometry // Phytochem Anal. 2012. Vol. 23, No. 5. P. 547–553. doi: 10.1002/pca.2354
- Birkemeyer C., Lemesheva V., Billig S., et al. Composition of intracellular and cell wall-bound phlorotannin fractions in fucoid algae indicates specific functions of these metabolites dependent on the chemical structure // Metabolites. 2020. Vol. 10, No. 9. ID 369. doi: 10.3390/metabo10090369
- Generalić Mekinić I., Skroza D., Šimat V., et al. Phenolic content of brown algae (Pheophyceae) species: Extraction, identification, and quantification // Biomolecules. 2019. Vol. 9, No. 6. ID 244. doi: 10.3390/biom9060244
- Lemesheva V., Islamova R., Stepchenkova E., et al. Antibacterial, antifungal and algicidal activity of phlorotannins, as principal biologically active components of ten species of brown algae // Plants. 2023. Vol. 12, No. 4. ID 821. doi: 10.3390/plants12040821
- Schoenwaelder M.E.A., Clayton M.N. The presence of phenolic compounds in isolated cell walls of brown algae // Phycologia. 1999. Vol. 38, No. 3. P. 161–166. doi: 10.2216/i0031-8884-38-3-161.1
- Schoenwaelder M.E.A. The occurrence and cellular significance of physodes in brown algae // Phycologia. 2002. Vol. 41, No. 2. P. 125–139. doi: 10.2216/i0031-8884-41-2-125.1
- Catarino M.D., Silva A.M.S., Cardoso S.M. Fucaceae: a source of bioactive phlorotannins // Int J Mol Sci. 2017. Vol. 18, No. 6. ID 1327. doi: 10.3390/ijms18061327
- Hagerman A.E., Riedl K.M., Jones G.A., et al. High molecular weight plant polyphenolics (tannins) as biological antioxidants // J Agric Food Chem. 1998. Vol. 46, No. 5. P. 1887–1892. doi: 10.1021/jf970975b
- Ferreres F., Lopes G., Gil-Izquierdo A., et al. Phlorotannin extracts from Fucales characterized by HPLC-DAD-ESI-MSn: approaches to hyaluronidase inhibitory capacity and antioxidant properties // Marine Drugs. 2012. Vol. 10, No. 12. P. 2766–2781. doi: 10.3390/md10122766
- Wang T., Jónsdóttir R., Liu H., et al. Antioxidant capacities of phlorotannins extracted from the brown algae Fucus vesiculosus // J Agric Food Chem. 2012. Vol. 60, No. 23. P. 5874–5883. doi: 10.1021/jf3003653
- Liu X., Yuan W., Sharma-Shivappa R., van Zanten J. Antioxidant activity of phlorotannins from brown algae // Int J Agric Biol Eng. 2017. Vol. 10, No. 6. P. 184–191. doi: 10.25165/j.ijabe.20171006.2854
- Kim A.-R., Shin T.-S., Lee M.-S., et al. Isolation and identification of phlorotannins from Ecklonia stolonifera with antioxidant and anti-inflammatory properties // J Agric Food Chem. 2009. Vol. 57, No. 9. P. 3483–3489. doi: 10.1021/jf900820x
- Quéguineur B., Goya L., Ramos S., et al. Effect of phlorotannin-rich extracts of Ascophyllum nodosum and Himanthalia elongata (Phaeophyceae) on cellular oxidative markers in human HepG2 cells // J Appl Phycol. 2013. Vol. 25. P. 1–11. doi: 10.1007/s10811-012-9832-2
- Kang M.-C., Cha S.H., Wijesinghe W.A.J.P., et al. Protective effect of marine algae phlorotannins against AAPH-induced oxidative stress in zebrafish embryo // Food Chem. 2013. Vol. 138, No. 2–3. P. 950–955. doi: 10.1016/j.foodchem.2012.11.005
- Eom S.-H., Kim Y.-M., Kim S.-K. Antimicrobial effect of phlorotannins from marine brown algae // Food Chem Toxicol. 2012. Vol. 50, No. 9. P. 3251–3255. doi: 10.1016/j.fct.2012.06.028
- Lopes G., Pinto E., Andrade P.B., Valentaõ P. Antifungal activity of phlorotannins against dermatophytes and yeasts: Approaches to the mechanism of action and influence on Candida albicans virulence factor // PLoS ONE. 2013. Vol. 8. ID e72203. doi: 10.1371/journal.pone.0072203
- Eom S.-H., Kang M.-S., Kim Y.-M. Antibacterial activity of the Phaeophyta Ecklonia stolonifera on methicillin-resistant Staphylococcus aureus // Fish Aquatic Sci. 2008. Vol. 11, No. 1. P. 1–6. doi: 10.5657/FAS.2008.11.1.001
- Kim H.-J., Dasagrandhi C., Kim S.-H., et al. In vitro antibacterial activity of phlorotannins from edible brown algae, Eisenia bicyclis against streptomycin-resistant Listeria monocytogenes // Ind J Microbiol. 2018. Vol. 58. P. 105–108. doi: 10.1007/s12088-017-0693-x
- Dutot M., Fagon R., Hemon M., Rat P. Antioxidant, anti-inflammatory, and anti-senescence activities of a phlorotannin-rich natural extract from brown seaweed Ascophyllum nodosum // Appl Biochem Biotechnol. 2012. Vol. 167. P. 2234–2240. doi: 10.1007/s12010-012-9761-1
- Geisen U., Zenthoefer M., Peipp M., et al. Molecular mechanisms by which a Fucus vesiculosus extract mediates cell cycle inhibition and cell death in pancreatic cancer cells // Marine Drugs. 2015. Vol. 13, No. 7. P. 4470–4491. doi: 10.3390/md13074470
- Zenthoefer M., Geisen U., Hofmann-Peiker K., et al. Isolation of polyphenols with anticancer activity from the Baltic Sea brown seaweed Fucus vesiculosus using bioassay-guided fractionation // J Appl Phycol. 2017. Vol. 29. P. 2021–2037. doi: 10.1007/s10811-017-1080-z
- Liu H., Gu L. Phlorotannins from brown algae (Fucus vesiculosus) inhibited the formation of advanced glycation endproducts by scavenging reactive carbonyls // J Agric Food Chem. 2012. Vol. 60, No. 5. P. 1326–1334. doi: 10.1021/jf204112f
- Meshalkina D., Tsvetkova E., Orlova A., et al. First insight into the neuroprotective and antibacterial effects of phlorotannins isolated from the cell walls of brown algae Fucus vesiculosus and Pelvetia canaliculata // Antioxidants. 2023. Vol. 12, No. 3. ID 696. doi: 10.3390/antiox12030696
- AlgaeBase [Электронный ресурс]. World-wide electronic publication, National University of Ireland, Galway [дата обращения: 20.09.2023]. Режим доступа: https://www.algaebase.org
- Koivikko R., Loponen J., Pihlaja K., Jormalainen V. High-performance liquid chromatographic analysis of phlorotannins from the brown alga Fucus vesiculosus // Phytochem Anal. 2007. Vol. 18, No. 4. P. 326–332. doi: 10.1002/pca.986
- Maron D.M., Ames B.N. Revised methods for the Salmonella mutagenicity test // Mutat Res Environ Mutagen Relat Subj. 1983. Vol. 113, No. 3–4. P. 173–215. doi: 10.1016/0165-1161(83)90010-9
- Andrews J.M. Determination of minimum inhibitory concentrations // J Antimicrob Chemother. 2001. Vol. 48, No. S1. P. 5–16. doi: 10.1093/jac/48.suppl_1.5
- Mortelmans K., Zeiger E. The Ames Salmonella/microsome mutagenicity assay // Mutat Res Fund Mol Mech Mutag. 2000. Vol. 455, No. 1–2. P. 29–60. doi: 10.1016/s0027-5107(00)00064-6
- Wang Y., Xu Z., Bach S.J., McAllister T.A. Sensitivity of Escherichia coli to seaweed (Ascophyllum nodosum) phlorotannins and terrestrial tannins. Asian-Australas // J Anim Sci. 2009. Vol. 22, No. 2. P. 238–245. doi: 10.5713/ajas.2009.80213
- Iken K., Amsler C.D., Amsler M.O., et al. Field studies on deterrent properties of phlorotannins in Antarctic brown algae // Bot Mar. 2009. Vol. 52, No. 6. P. 547–557. doi: 10.1515/BOT.2009.071
- Deniaud-Bouët E., Kervarec N., Michel G., et al. Chemical and enzymatic fractionation of cell walls from Fucales: insights into the structure of the extracellular matrix of brown algae // Ann Bot. 2014. Vol. 114, No. 6. P. 1203–1216. doi: 10.1093/aob/mcu096
- Lemesheva V., Tarakhovskaya E. Physiological functions of phlorotannins // Biol Comm. 2018. Vol. 63, No. 1. P. 70–76. doi: 10.21638/spbu03.2018.108
- www.ema.europa.eu [Электронный ресурс]. ICH guideline S2 (R1) on genotoxicity testing and data interpretation for pharmaceuticals intended for human use — Scientific guideline [дата обращения: 20.09.2023]. Режим доступа: https://www.ema.europa.eu/en/ich-s2-r1-genotoxicity-testing-data-interpretation-pharmaceuticals-intended-human-use
- Patrineli A., Clifford M.N., Ioannides C. Contribution of phenols, quinones and reactive oxygen species to the mutagenicity of white grape juice in the Ames test // Food Chem Toxicol. 1996. Vol. 34, No. 9. P. 869–872. doi: 10.1016/s0278-6915(96)00048-8
- Calvo T.R., Demarco D., Santos F.V., et al. Phenolic compounds in leaves of Alchornea triplinervia: anatomical localization, mutagenicity, and antibacterial activity // Nat Prod Commun. 2010. Vol. 5, No. 8. P. 1225–1532. doi: 10.1177/1934578X1000500816
- de Mejía E.G., Castaño-Tostado E., Loarca-Piña G. Antimutagenic effects of natural phenolic compounds in beans // Mutat Res Genet Toxicol Environ Mutag. 1999. Vol. 441, No. 1. P. 1–9. doi: 10.1016/s1383-5718(99)00040-6
- Bouguellid G., Russo C., Lavorgna M., et al. Antimutagenic, antigenotoxic and antiproliferative activities of Fraxinus angustifolia Vahl. leaves and stem bark extracts and their phytochemical composition // PLoS One. 2020. Vol. 15. ID e0230690. doi: 10.1371/journal.pone.0230690
- Reid T.M., Wang C.Y., King C.M., Morton K.C. Mutagenicity of some benzidine congeners and their N-acetylated and N, N’-diacetylated derivatives in different strains of Salmonella typhimurium // Environ Mutag. 1984. Vol. 6, No. 2. P. 145–151. doi: 10.1002/em.2860060205
- Fragopoulou E., Nomikos T., Karantonis H.C., et al. Biological activity of acetylated phenolic compounds // J Agric Food Chem. 2007. Vol. 55, No. 1. P. 80–89. doi: 10.1021/jf0627221
Дополнительные файлы






