Productivity and stress-tolerance of transgenic tobacco plants with constitutive expression of rapeseed glutathione synthetase gene BnGSH
- Authors: Kuluev B.R1, Berezhneva Z.A1, Mikhaylova E.V1, Postrigan B.N1, Knyazev A.V1
 - 
							Affiliations: 
							
- Institute of Biochemistry and Genetics, Ufa Sci. Center of RAS
 
 - Issue: Vol 15, No 1 (2017)
 - Pages: 12-19
 - Section: Articles
 - Submitted: 10.05.2017
 - Published: 15.03.2017
 - URL: https://journals.eco-vector.com/ecolgenet/article/view/6297
 - DOI: https://doi.org/10.17816/ecogen15112-19
 - ID: 6297
 
Cite item
Full Text
Abstract
Summary: Glutathione is the most important part of plant antioxidant defense system. Biosynthesis of glutathione in the cells is performed by two enzymes: glutamylcysteine ligase and glutathione synthetase, the latter catalyzing the attachment of glycine to a dipeptide glutamylcysteine. In literature there is information on the improvement of heavy metal-tolerance of transgenic plants due to the increase in the expression level of glutathione synthetase genes. However there is not enough data on the tolerance of these plants to other types of abiotic stress. Therefore the aim of our research was to make transgenic tobacco plants with constitutive expression of rapeseed glutathione synthetase gene BnGSH and to estimate their growth parameters in normal conditions and under salt, drough and cold stress. Using agrobacterial transformation method, we generated 17 lines of transgenic plants containing rapeseed BnGSH gene under control of 35S promoter. The presence of transgenes was confirmed by PCR method and histochemical analysis of the activity of GUS reporter gene. 12 lines with the highest expression of BnGSH gene were chosen on the basis of the results of RT-PCR. We performed morphological analysis, including measurements of stem hight, leaf area, flower length, fresh and dry weight of shoots and root length. Some transgenic plants demonstrated increased productivity in normal conditions as well as under NaCl stress. However, no change in drought and cold tolerance was observed in transgenic plants.
Full Text
Введение
Растения в ходе роста и развития постоянно подвергаются воздействию многочисленных стрессовых факторов, наиболее распространенными из которых являются засуха, холод, засоление и тяжелые металлы. В результате воздействия этих неблагоприятных факторов среды в клетках растений увеличивается продукция активных форм кислорода (АФК), которые при больших концентрациях оказывают негативное воздействие на все жизненно важные процессы в клетке [1]. АФК вызывают перекисное окисление липидов, повреждают белки, ДНК и другие биомолекулы и при высоких концентрациях могут привести к разрушению клеток и гибели растения [2]. В ответ на выработку АФК в растениях активируется система антиоксидантной защиты, включающая такие ферменты, как супероксиддисмутаза, оксалатредуктаза, многочисленные семейства пероксидаз, каталаза и др. [3]. Из низкомолекулярных соединений в растениях ключевыми антиоксидантами являются токоферолы, аскорбиновая кислота и глутатион. Последний не только защищает клетки от повреждающего действия АФК, но и участвует в поддержании внутриклеточного окислительно-восстановительного потенциала и клеточном сигналинге [4, 5]. Глутатион является предшественником фитохелатинов, основная функция которых заключается в хелатировании тяжелых металлов и нивелировании их негативного воздействия. Имеются сведения, что глутатион и сам может участвовать в хелатировании тяжелых металлов [6]. Кроме того, глутатион, являясь субстратом для глутатион-S-трансфераз, участвует в нейтрализации токсичных ксенобиотиков [7]. Глутатион — это трипептид γ-глутамилцистеинилглицин, биосинтез которого осуществляется в две стадии. На первой стадии, катализируемой глутамилцистеиниллигазой (GSL), из глутаминовой кислоты и цистеина образуется γ-глутамилцистеин. Присоединение к дипептиду глицина катализируется глутатионсинтетазой (GS). Так как GS является вторым из двух ключевых ферментов в биосинтезе глутатиона, можно предполагать, что при повышении активности этого фермента может увеличиваться содержание глутатиона и повышаться устойчивость растений к широкому кругу стрессовых факторов. Действительно, к примеру, в трансгенных растениях индийской горчицы при сверхэкспрессии гена глутатионсинтетазы было выявлено увеличение содержания глутатиона и повышение устойчивости к тяжелым металлам и ксенобиотикам [8]. Однако в трансгенных растениях тополя, сверхэкспрессирующих ген глутатионсинтетазы gshII Escherichia coli, увеличения содержания глутатиона в цитозоле и повышения стрессоустойчивости не происходило [9]. Наиболее существенного увеличения содержания глутатиона и повышения стрессоустойчивости удалось добиться, сверхэкспрессируя в трансгенных растениях бифункциональный фермент, обладающий одновременно глутамилцистеиниллигазной и глутатионсинтетазной активностями [10]. Опубликовано несколько работ, в которых доказывается вовлеченность GS в ответ растений на тяжелые металлы и металлоиды. Например, трансгенные растения Arabidopsis thaliana, сверхэкспрессирующие ген глутатионсинтетазы GSH1, характеризовались способностью накапливать кадмий и мышьяк и одновременно отличались повышенной устойчивостью к этим химическим элементам [11]. В индийской горчице сверхэкспрессия гена глутатионсинтетазы gshII E. coli способствовала увеличению общего содержания кадмия в побеге в 3 раза по сравнению с диким типом. Одновременно трансгенные растения индийской горчицы характеризовались повышенной устойчивостью к тяжелым металлам. Аккумуляция кадмия и устойчивость к нему коррелировали с уровнем экспрессии гена gshII [12]. В целом большинство опубликованных исследований GS связаны с изучением устойчивости растений к тяжелым металлам и ксенобиотикам. Однако глутатион принимает участие в ответе растительного организма на многие стрессовые факторы, включая засуху, холод и засоление [13]. Особенности проявления GS в трансгенных растениях зависят от выбранного для переноса гена, от промотора, особенностей векторной конструкции, а также от вида и сорта хозяйского растения. В связи с этим целью данной работы было создание трансгенных растений табака Nicotiana tabacum L. с конститутивной экспрессией гена BnGSH, кодирующего глутатионсинтетазу рапса Brassica napus L., а также морфологический анализ полученных растений при нормальных условиях и при действии таких стрессовых факторов, как засуха, засоление и низкие положительные температуры.
Материалы и методы
Генно-инженерные манипуляции. Ген глутатионсинтетазы, которому было дано название BnGSH (XM_013788447), амплифицировали из геномной ДНК рапса при помощи HiFi ДНК-полимеразы (Kapa Biosystems, USA) с использованием праймеров 5’-tgggcagtggctgctattctc-3’ и 5’-taaatgtaaagagctttgtctag-3 ’. Размер амплифицированного участка ДНК генома рапса, согласно теоретическим расчетам и результатам агарозного гель-электрофореза, составил 1689 пар нуклеотидов (п. н.). Теоретически рассчитанный размер открытой рамки считывания гена BnGSH составляет 1437 п. н., таким образом, целевой ген потенциально кодирует предполагаемый белок, состоящий из 479 аминокислотных остатков. Амплифицированный участок ДНК был клонирован и секвенирован с двух сторон (по 400 п. н.), что однозначно позволило его идентифицировать как ген BnGSH рапса. При создании генно-инженерных конструкций использовали бинарный вектор pCambia 1301 (CAMBIA, Австралия) с селективным маркером устойчивости к гигромицину, в котором была клонирована искусственно созданная кассета, состоящая из промотора 35S [14] и сайта полиаденилирования вируса мозаики цветной капусты. Модифицированную плазмиду расщепляли по сайту рестрикции SmaI и в полученном бинарном векторе клонировали ампликон гена BnGSH размером 1689 п. н. По результатам ПЦР-анализа отбирали конструкцию, содержащую вставку целевого гена в смысловой ориентации по отношению к промотору. Целевую генно-инженерную конструкцию 35S:: BnGSH в составе бинарного вектора pCambia 1301 внедряли методом электропорации в клетки Agrobacterium tumefaciens штамма АGL0.
Получение трансгенных растений табака, морфологическая характеристика и условия выращивания растений. Трансгенные растения табака Nicotiana tabacum L. сорта Petit Havana линии SR1 получали методом агробактериальной трансформации листовых дисков, высеченных из листьев трехмесячных растений [15]. Отбор трансгенных растений проводился по результатам гистохимического анализа активности репортерного гена GUS [14] и ПЦР-анализа на наличие промотора 35S, маркерных генов и целевого гена. После получения семян трансгенных растений они высевались на селективную среду МС. Через 3 недели производили подсчет устойчивых и неустойчивых к селективному агенту сеянцев и определяли расщепление при наследовании гена селективного маркера. Результаты обрабатывали методом χ-квадрат по стандартной методике и выделяли для дальнейшей работы линии с одной интегрированной копией трансгенов. Морфологический анализ проводили на трансгенных растениях второго поколения, предварительно выращенных на селективной среде с гигромицином для элиминации нетрансгенных вариантов. Для анализа отбирались линии трансгенных растений, характеризующиеся относительно высоким уровнем содержания мРНК трансгена BnGSH. Для определения уровня содержания мРНК целевого гена применяли метод количественной ОТ-ПЦР в реальном времени с использованием праймеров 5’-aatgctttgctggactttg-3’ и 5’-accgctctgctcgtttattat-3’. В качестве стандарта использовали ген EF-1α (AF120093.1), уровень содержания мРНК которого принимали за 100 %. Для ОТ-ПЦР гена EF-1α использовали праймеры 5’-gaattggtactgtccctgtt-3’ / 5’-ttgccaatctgtcctgaat-3’. Растения трансгенных линий и контрольные растения табака дикого типа культивировали в вегетационных сосудах объемом 450 мл, заполненных универсальным грунтом (Terra vita, Россия), в условиях теплицы при температуре +30 °C с освещенностью около 140 ммоль/м2 ∙ с и фотопериодом 16/8 ч (свет/темнота). В качестве контрольных использовали пять нетрансгенных растений табака сорта Petit Havana линии SR1, выращенных на среде МС без добавления антибиотиков и акклиматизированных к условиям почвы. Определение длины и площади листьев производили в период цветения. Для каждой линии было отобрано по пять растений, у которых измеряли три нижних листа в длину (второй, третий и четвертый листья). Длину стебля, сырую и сухую массу надземной части определяли также в период цветения, у каждого растения также измеряли длину пяти цветков.
Оценка ростовых параметров трансгенных растений табака при воздействии засоления, засухи и холода. Трансгенные растения проращивали в климатостатах Binder (Германия) при температуре +25 °C, освещенности около 140 ммоль/м2 ∙ с и фотопериоде 16/8 ч (свет/темнота) на питательной среде МС. Через 10 дней проращивания на селективной среде проростки с одинаковыми размерами корней переносили на вертикально ориентированные чашки Петри со средой МС и по прошествии 10 дней определяли прирост корней (изменение длины) при норме (контроль), действии 50 и 100 мМ NaCl; а также при низкой положительной температуре +12 °C. Двадцатидневные трансгенные проростки, продолжавшие расти на горизонтально ориентированных чашках Петри на среде МС, переносили на почву и выращивали их в теплице. Для определения солеустойчивости трансгенных растений их выращивали при нормальных условиях в теплице в сосудах с почвой объемом 450 мл в течение 20 дней. Затем опытные растения в течение двух недель 4 раза (по два раза в неделю) поливали 50 мл 2 % раствора NaCl, контрольные растения поливали аналогичным объемом дистиллированной воды. Морфологический анализ проводили через 30 дней после начала опыта по внесению соли. Для определения ростовых параметров трансгенных растений при действии низких положительных температур растения выращивали на почве в течение 12 дней в горшках объемом 250 мл в теплице при нормальных условиях, затем часть растений переносили в климатостат Sanyo MIR-154 (Япония) с температурой +12 °C. Все растения поливали дистиллированной водой три раза в неделю (объем — 20 мл). Через 20 дней определяли сырую и сухую массу надземной части трансгенных растений. Опыты по воздействию засухи начинали через 22 дня выращивания проростков в теплице при нормальных условиях в вегетационных сосудах с почвой объемом 450 мл. Контрольные растения продолжали поливать 3 раза в неделю, тогда как опытные растения поливали лишь один раз в неделю (объем воды — 50 мл). Таким образом создавали дефицит влаги для опытных растений табака. Через 30 дней определяли сырую и сухую массу надземной части трансгенных растений. Часть трансгенных растений в течение 20 дней вовсе не поливали и определяли у них относительное содержание воды RWC (relative water content) [16].
Результаты
Морфологический анализ трансгенных растений табака с конститутивной экспрессией гена BnGSH при нормальных условиях произрастания. В ходе проведенных работ по трансформации табака было получено 17 линий трансгенных растений, трансгенность которых была доказана при помощи ПЦР-анализа, гистохимического анализа активности репортерного белка β-глюкуронидазы и анализа расщепления признака устойчивости к селективному агенту гигромицину. Далее был проведен анализ содержания транскриптов гена BnGSH в листьях трансгенных растений, и его стабильно детектируемый в серии экспериментов уровень экспрессии был обнаружен в линиях 1, 3, 4, 5, 6, 7, 8, 10, 11, 12, 13 и 14. Все 12 линий трансгенных растений табака со стабильной экспрессией трансгена были отобраны для дальнейшего морфологического анализа побега. Уровень экспрессии трансгена также определяли в корнях трансгенных растений, и стабильно высокое содержание мРНК гена BnGSH было выявлено в линиях 1, 2, 4, 5, 6, 7, 8, 9, 10, 12, 13 и 14. Так как все отобранные линии трансгенных растений достоверно не различались по уровню экспрессии трансгена между собой, было решено результаты ОТ-ПЦР не приводить.
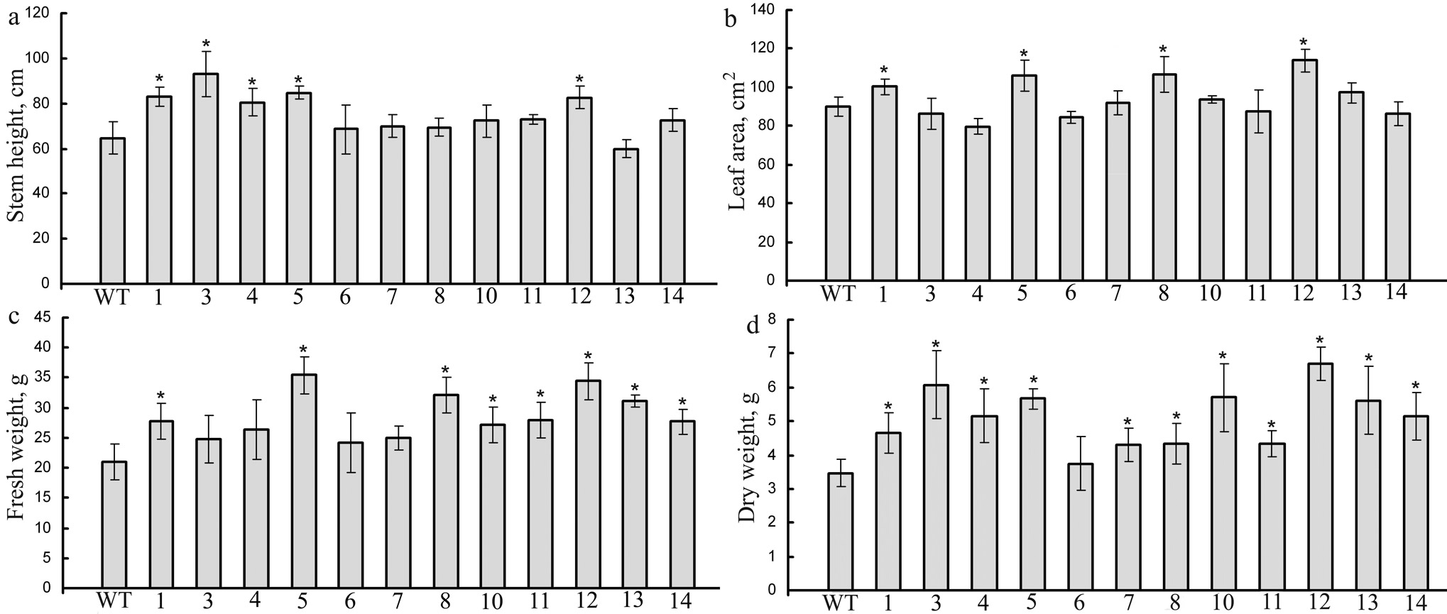
В период цветения достоверное увеличение высоты стебля было характерно для линий 1, 3, 4, 5 и 12 (рис. 1, a). Степень увеличения высоты стебля достигала в среднем 44 % по сравнению с контролем для линии 3. По площади листьев также некоторые линии трансгенных растений характеризовались их достоверным увеличением в среднем от 12 % у линии 1 до 27 % у линии 12 (рис. 1, b). По длине цветков контрольные и трансгенные растения достоверно не различались. Достоверное увеличение сырой массы побега по сравнению с диким типом было характерно для линий 1, 5, 8, 10, 11, 12, 13 и 14 (рис. 1, c), причем для линии 5 степень увеличения этого параметра по сравнению с контролем составила в среднем 74 %. Конститутивная экспрессия гена BnGSH способствовала увеличению сухого веса почти во всех анализируемых линиях, кроме линии 6 (рис. 1, d). Причем степень увеличения сухой массы побега для линии 12 составила в среднем 158 %. Это говорит о том, что изменения в параметрах роста у трансгенных растений, вероятнее всего, обусловливались действием перенесенных генов.
Рис. 1. Морфометрические параметры трансгенных растений табака, сверхэкспрессирующих ген BnGSH при нормальных условиях произрастания: a — высота стебля; b — площадь листьев; c — сырая масса надземной части; d — сухая масса надземной части. ДТ — дикий тип, 1–14 — линии трансгенных растений. n = 5. * p < 0,01
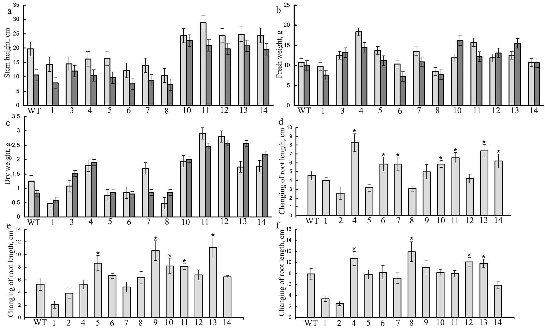
Ростовые параметры трансгенных растений табака с конститутивной экспрессией гена BnGSH при действии стрессовых факторов. При выращивании на почве в условиях засоления как у контрольных, так и у многих проанализированных 12 линий трансгенных растений уменьшалась высота стебля. Степень уменьшения высоты стебля при засолении была наибольшей у растений дикого типа и составила 41 %, тогда как, например, у линий 3, 8, 10 и 13 высота стебля достоверно не уменьшалась по сравнению с растениями тех же линий, выращенных в нормальных условиях (рис. 2, а). Длина и площадь листьев при действии NaCl достоверно не изменялись ни у контрольных растений, ни у трансгенных растений табака. В целом по размерам листьев растения дикого типа и 35S::BnGSH растения табака при засолении не отличались между собой. Увеличение сырой массы по сравнению с растениями дикого типа при выращивании в условиях засоления было характерно для линий 3, 4, 10, 12 и 13 (рис. 2, b). Интересно отметить, что для линий 10 и 13 было выявлено увеличение сырой массы побега при выращивании в условиях засоления по сравнению с растениями тех же линий, выращенных в нормальных условиях (см. рис. 2, b). Сухая масса побега при засолении достоверно увеличивалась по сравнению с растениями дикого типа у линий 3, 4, 10, 11, 12 и 14 (см. рис. 1, c). При этом сухая масса у линий 3, 13 и 14 при засолении даже увеличивалась по сравнению с растениями тех же линий, выращенных в нормальных условиях (рис. 2, c).
Рис. 2. Морфометрические параметры трансгенных растений табака, сверхэкспрессирующих ген BnGSH при засолении NaCl: a — высота стебля; b — сырая масса надземной части; c — сухая масса надземной части; d — прирост корней в длину при выращивании на вертикально ориентированных чашках Петри при нормальных условиях; e — прирост корней в длину при действии 50 мМ NaCl; f — прирост корней в длину при действии 100 мМ NaCl. ДТ — дикий тип, 1–14 — линии трансгенных растений. n = 5. * p < 0,01. На гистограммах a–c светло-серым столбцом обозначены морфометрические параметры при нормальных условиях и темно-серым столбцом — морфометрические параметры при действии NaCl
Длина корней при выращивании на вертикально ориентированных чашках Петри была проанализирована у 13 линий трансгенных растений табака. При нормальных условиях достоверное увеличение длины корней по сравнению с диким типом было выявлено у линий 4, 6, 7, 10, 11, 13 и 14 (рис. 2, d). При выращивании на среде с 50 мМ NaCl улучшенные по сравнению с диким типом ростовые параметры были обнаружены у линий 5, 9, 10, 11 и 13 (рис. 2, e). При действии 100 мМ NaCl более быстрыми темпами роста корней характеризовались линии 4, 8, 12 и 13 (рис. 2, f).
При 20-дневном выращивании в условиях низких положительных температур (+12 °C) сырая масса у растений дикого типа уменьшалась в среднем на 60 % по сравнению с теми же растениями, выращенными в отсутствие стрессовых факторов. У многих проанализированных трансгенных растений в условиях холода сырая масса снижалась более существенно, чем у дикого типа (рис. 3, a). Лишь для линий 10 и 11 было характерно уменьшение сырой массы при действии холода на 38 и 36 % соответственно. Сухая масса побега у контрольных растений при действии +12 °C уменьшалась в среднем на 50 % по сравнению с выращиванием в нормальных условиях. У трансгенных растений сухая масса при этих условиях уменьшалась более существенно. Лишь для линий 7, 10, 11 и 12 было характерно менее значительное, чем у дикого типа, уменьшение сухой массы побега при действии холода (рис. 3, b). Таким образом, ни одна из линий трансгенных растений табака существенным увеличением продуктивности при действии холода не характеризовалась, лишь у линий 10 и 11 наблюдалось достоверное увеличение сырой и сухой массы по сравнению с растениями дикого типа.
Рис. 3. Морфометрические параметры трансгенных растений табака, сверхэкспрессирующих ген BnGSH при действии низких положительных температур и засухи: a — сырая масса надземной части при действии холода; b — сухая масса надземной части при действии холода; c — прирост корней в длину при выращивании на вертикально ориентированных чашках Петри при действии низких положительных температур; d — сырая масса надземной части при действии засухи; e — сухая масса надземной части при действии засухи; f — относительное содержание воды (RWC). ДТ — дикий тип, 1–14 — линии трансгенных растений. n = 5. * p < 0,01. На гистограммах а–e светло-серым столбцом обозначены морфометрические параметры при нормальных условиях и темно-серым столбцом — морфометрические параметры при действии стрессовых факторов
Способность корней расти в условиях низких положительных температур также является ценным признаком для культурных растений. Поэтому был оценен также прирост корней трансгенных растений табака при действии температуры +12 °C. Было показано, что при действии холода рост корней замедляется и их прирост у дикого типа уменьшается в среднем на 42 % (рис. 3, c). Во многих линиях трансгенных растений табака также наблюдалось замедление роста корней при действии холода. Однако в линиях 1, 3 и 8 скорость роста корней при действии холода не уменьшалась. Отметим, что у линий 1, 8 и 10 скорость роста корней при действии холода была выше, чем у растений дикого типа (см. рис. 3, c).
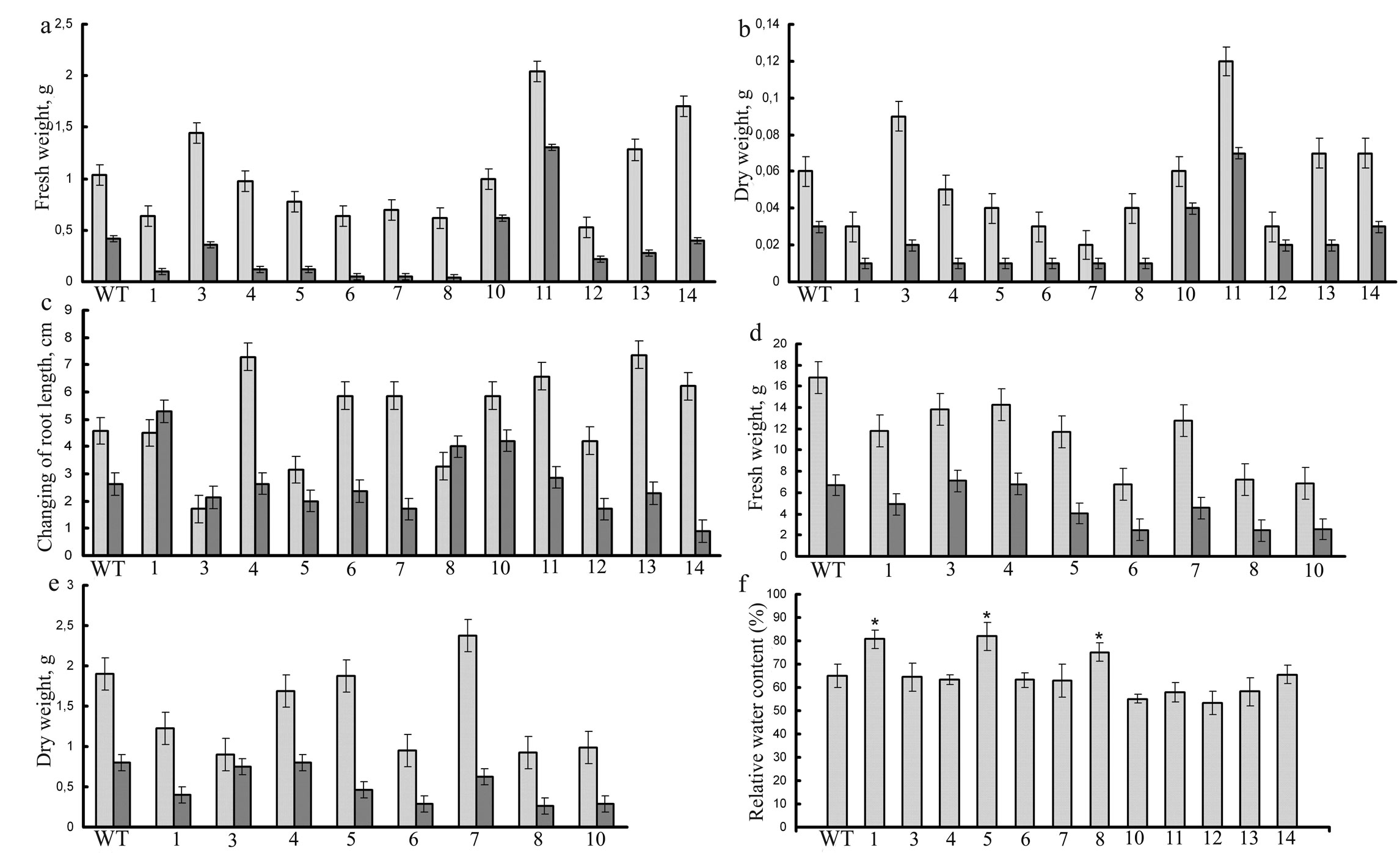
Далее нами были оценены ростовые параметры трансгенных растений при длительном действии засухи. Было показано, что сырая масса как контрольных, так и трансгенных растений при 30-дневном действии засухи уменьшается примерно в 2–2,5 раза по сравнению с теми же растениями, выращенными в отсутствие стрессовых факторов (рис. 3, d). Сухой вес всех проанализированных растений также уменьшался при действии засухи (рис. 3, e). Только для линии 3 было показано отсутствие достоверного уменьшения сухой массы побега при действии засухи. В целом по степени изменения сырой и сухой массы при действии засухи трансгенные растения всех линий, кроме линии 3, существенно не отличались от растений дикого типа.
Способность трансгенных растений расти в условиях засухи часто связана с более эффективным сохранением воды в тканях и органах [16]. Исходя из этого нами было оценено относительное содержание воды (RWC) в анализируемых растениях. Достоверное увеличение этого показателя по сравнению с растениями дикого типа было зафиксировано у линий 1, 5 и 8 (рис. 3, f). Однако данные по RWC не коррелировали с результатами морфометрии при засухе.
Обсуждение
Нами были созданы трансгенные растения табака с конститутивной экспрессией одного из генов глутатионсинтетаз рапса, который был обозначен нами аббревиатурой BnGSH. Для морфологического анализа были отобраны линии трансгенных растений с высоким и примерно одинаковым уровнем экспрессии целевого гена. Однако, несмотря на такой предварительный отбор линий трансгенных растений, все они сильно различались по морфометрическим параметрам при выращивании в нормальных условиях и при действии стрессовых факторов. Одни линии лучше росли при нормальных условиях, тогда как другие характеризовались повышенной стрессоустойчивостью. При нормальных условиях выращивания конститутивная экспрессия гена BnGSH наиболее существенное влияние оказывала на сухую массу побега, тогда как размеры органов оставались почти неизменными. Это указывает на то, что продукт гена BnGSH оказывает положительное влияние на внутриклеточный гомеостаз при нормальных условиях, что способствует повышению их продуктивности. Нам не удалось найти в литературе данных, свидетельствующих о повышении продуктивности растений при конститутивной экспрессии генов глутатионсинтетаз при нормальных условиях выращивания. Однако необходимо отметить, что в нашей экспериментальной работе под нормальными условиями подразумевались условия теплицы, где температура составляла около +30 °C, что на 5 °C превышает температурный оптимум для роста табака. Таким образом, полученные нами данные могут свидетельствовать о положительном влиянии трансгена BnGSH при действии мягкого теплового стресса.
Совокупность всех полученных данных при выращивании трансгенных растений табака в условиях засоления позволяет сделать вывод, что продукт гена BnGSH способствует повышению солеустойчивости. Улучшенными параметрами роста побега при действии NaCl характеризовались прежде всего линии 10 и 13. При этом наибольшей солеустойчивостью корней характеризовались линии 4 и 13. Исходя из этих данных наибольший интерес для дальнейшего исследования солеустойчивости представляют трансгенные растения табака линии 13. В литературе имеется информация как о том, что солеустойчивость может быть обусловлена повышением содержания в клетках глутатиона [17], так и о том, что повышенная экспрессия генов глутатионсинтетаз может приводить к увеличению содержания глутатиона в клетках [8]. Принимая во внимание эти данные, можно предположить, что полученные нами трансгенные растения табака тоже характеризуются повышенным содержанием глутатиона, что и способствует повышению их солеустойчивости. Однако для подтверждения этих предположений необходимы дополнительные исследования.
При выращивании в условиях низких положительных температур повышенная стрессоустойчивость обнаруживалась лишь у линий 10 и 11. В целом большинство линий трансгенных растений, несмотря на высокий уровень содержания мРНК гена BnGSH, характеризовались меньшей продуктивностью, чем растения дикого типа, при действии холода. С учетом этого можно предположить, что продукт гена BnGSH не оказывает положительного влияния на рост растений при холодовом стрессе. В литературе имеются сведения о связи генов различных глутатионзависимых ферментов с холодовым стрессом [18], однако, что касается глутатионсинтетаз, такие сведения нам найти не удалось.
Увеличение содержания глутатиона может способствовать также повышению засухоустойчивости [17], но в условиях засухи трансгенные растения 35S::BnGSH по продуктивности почти не отличались от растений дикого типа. Следовательно, можно предположить, что продукт гена BnGSH не способствует повышению засухоустойчивости трансгенных растений табака.
Несмотря на примерно одинаковый уровень содержания мРНК гена BnGSH, все линии полученных нами трансгенных растений характеризовались совершенно разной продуктивностью при нормальных и стрессовых условиях. Причем разница между параметрами роста в разных линиях зависела еще и от тяжести стрессового фактора. Это может объясняться несколькими причинами, например, разницей в экспрессии на белковом уровне, плейотропным действием трансгена и др. Поэтому в дальнейших исследованиях существует необходимость определения уровня экспрессии гена BnGSH на белковом уровне, а также определения содержания глутатиона в полученных нами трансгенных растениях.
Итак, нами были созданы трансгенные растения табака с конститутивной экспрессией гена глутатионсинтетазы рапса BnGSH, которые характеризовались повышенной продуктивностью при выращивании в нормальных условиях и при действии NaCl.
About the authors
Bulat R Kuluev
Institute of Biochemistry and Genetics, Ufa Sci. Center of RAS
							Author for correspondence.
							Email: Kuluev@bk.ru
				                					                																			                								
Senior Researcher. Laboratory of molecular biology and nanobiotechnology
Russian Federation, Ufa, RussiaZoya A Berezhneva
Institute of Biochemistry and Genetics, Ufa Sci. Center of RAS
														Email: berezhneva-z@yandex.ru
				                					                																			                								
Postgraduate. Laboratory of molecular biology and nanobiotechnology
Russian Federation, Ufa, RussiaElena V Mikhaylova
Institute of Biochemistry and Genetics, Ufa Sci. Center of RAS
														Email: mikhele@list.ru
				                					                																			                								
Senior laboratory assistant. Laboratory of molecular biology and nanobiotechnology
Russian Federation, Ufa, RussiaBogdan N Postrigan
Institute of Biochemistry and Genetics, Ufa Sci. Center of RAS
														Email: postrigan@bk.ru
				                					                																			                								
Researcher. Laboratory of molecular biology and nanobiotechnology
Russian Federation, Ufa, RussiaAleksey V Knyazev
Institute of Biochemistry and Genetics, Ufa Sci. Center of RAS
														Email: knyazev@anrb.ru
				                					                																			                								
Senior Researcher. Laboratory of molecular biology and nanobiotechnology
Russian Federation, Ufa, RussiaReferences
- Wise RR, Naylor AW. Chilling-enhanced photooxidation: evidence for the role of singlet oxygen and superoxide in the breakdown of pigments and endogenous antioxidants. Plant Physiol. 1987;83(2):278-282. doi: 10.1104/pp.83.2.278.
 - Загоскина Н.В., Назаренко Л.В. Активные формы кислорода и антиоксидантная система растений // Вестник Московского городского педагогического университета. Серия «Естественные науки». – 2016. – № 22. – С. 9–23. [Zagoskina NV, Nazarenko LV. Active Oxygen Species and Antioxidant System of Plants. Vestnik Moscow city university: Natural Sciences. 2016;(22):9-23 (In Russ.)]
 - Колупаев Ю.Е. Антиоксиданты растительной клетки, их роль в АФК-сигналинге и устойчивости растений // Успехи современной биологии. – 2016. – Т. 136. – С. 181–198. [Kolupaev YuE. Plant Cell Antioxidants and Their Role in ROS Signaling and Plant Resistance. Uspehi sovremennoj biologii. 2016;136:181-198 (In Russ.)]
 - Noctor G, Mhamdi A, Chaouch S, et al. Glutatione in plants: an integrated overview. Plant Cell Environ. 2012;35:454-484. doi: 10.1111/j.1365-3040.2011.02400.x.
 - Pivato M, Fabrega-Prats M, Masi A. Low-molecular-weight thiols in plants: Functional and analytical implications. Arc Biochem Biophys. 2014;560:83-99. doi: 10.1016/j.abb.2014.07.018.
 - Pilon-Smits E. Phytoremediation. Annu Rev Plant Biol. 2005;56:15-39. doi: 10.1146/annurev.arplant.56. 032604.144214.
 - Marrs K. The functions and regulation of glutathione-S-transferases in plants. Annu Rev Plant Physiol Plant Mol Biol. 1996;47:127-158. doi: 10.1146/annurev.arplant.47.1.127.
 - Flocco CG, Lindblom SD, Smits EA. Overexpression of enzymes involved in glutathione synthesis enhances tolerance to organic pollutants in Brassica juncea. Int J Phytoremediation. 2004;6:289-304. doi: 10.1080/16226510490888811.
 - Foyer CH, Souriau N, Perret S, et al. Overexpression of glutathione reductase but not glutathione synthetase leads to increases in antioxidant capacity and resistance to photoinhibition in poplar trees. Plant Physiol. 1995;109:1047-1057. doi: 10.1104/pp.109.3.1047.
 - Liedschulte V, Wachter A, Zhigang A, Rausch T. Exploiting plants for glutathione (GSH) production: Uncoupling GSH synthesis from cellular controls results in unprecedented GSH accumulation. Plant Biotechnology Journal. 2010;8:807-820. doi: 10.1111/j.1467-7652.2010.00510.x.
 - Guo J, Dai X, Xu W, Ma M. Overexpressing GSH1 and AsPCS1 simultaneously increases the tolerance and accumulation of cadmium and arsenic in Arabidopsis thaliana. Chemosphere. 2008;72:1020-1026. doi: 10.1016/j.chemosphere.2008.04.018.
 - Zhu YL, Pilon-Smits EAH, Jouanin L, Terry N. Overexpression of glutathione synthetase in Indian mustard enhances Cadmium accumulation and tolerance. Plant Physiol. 1999;119:73-80. doi: 10.1104/pp.119.1.73.
 - Gill SS, Tuteja N. Reactive oxygen species and antioxidant machinery in abiotic stress tolerance in crop plants. Plant Physiology and Biochemistry. 2010;48: 909-930. doi: 10.1016/j.plaphy.2010.08.016.
 - Кулуев Б.Р., Князев А.В., Лебедев Я.П., и др. Получение трансгенных растений табака, экспрессирующих консервативные участки гена AINTEGUMENTA в антисмысловой ориентации // Физиология растений. – 2012. – № 3. – С. 341–353. [Kuluev BR, Knyazev AV, Lebedev YaP, et al. Obtaining transgenic tobacco plants expressing conserved regions of the AINTEGUMENTA gene in antisense orientation. Russian Journal of Plant Physiology. 2012;59:307-317. (In Russ.)]. doi: 10.1134/S1021443712030107.
 - Кулуев Б.Р., Князев А.В., Чемерис А.В., Вахитов В.А. Морфологические особенности трансгенных растений табака, экспрессирующих ген AINTEGUMENTA рапса под контролем промотора вируса мозаики георгина // Онтогенез. – 2013. – Т. 44. – № 2. – С. 110–114. [Kuluev BR, Knyazev AV, Chemeris AV, Vakhitov VA. Morphological features of transgenic tobacco plants expressing the AINTEGUMENTA gene of rape under control of the dahlia mosaic virus promoter. Russian Journal of Developmental Biology. 2013;44:86-89. (In Russ.)]. doi: 10.1134/S1062360413020070.
 - Choi JY, Seo YS, Kim SJ, et al. Constitutive expression of CaXTH3, a hot pepper xyloglucan endotransglucosylase/hydrolase, enhanced tolerance to salt and drought stresses without phenotypic defects in tomato plants (Solanum lycopersicum cv. Dotaerang). Plant Cell Rep. 2011;30: 867-877. doi: 10.1007/s00299-010-0989-3.
 - Cheng MC, Ko K, Chang WL, et al. Increased glutathione contributes to stress tolerance and global translational changes in Arabidopsis. Plant J. 2015;83:926-939. doi: 10.1111/tpj.12940.
 - Vijayakumar H, Thamilarasan SK, Shanmugam A, et al. Glutathione transferases superfamily: cold-inducible expression of distinct GST genes in Brassica oleracea. Int J Mol Sci. 2016;17(8). doi: 10.3390/ijms17081211.
 
Supplementary files
				
			
					
						
									
									










