Telomere length in trophectoderm and inner cell mass of human blastocysts: comparative analysis and assessment of influencing factors
- Authors: Tikhonov A.V.1, Efimova O.A.1, Krapivin M.I.1, Malysheva O.V.1, Komarova E.M.1, Golubeva A.V.1, Pendina A.A.1
-
Affiliations:
- D.O. Ott Research Institute of Obstetrics, Gynecology and Reproductology
- Issue: Vol 22, No 4 (2024)
- Pages: 369-381
- Section: Human ecological genetics
- Submitted: 16.04.2024
- Accepted: 31.07.2024
- Published: 15.12.2024
- URL: https://journals.eco-vector.com/ecolgenet/article/view/630364
- DOI: https://doi.org/10.17816/ecogen630364
- ID: 630364
Cite item
Abstract
BACKGROUND: The study of telomere length and influencing factors in early human development has both fundamental and applied importance.
AIM: A comparative assessment of telomere length in the compartments of human blastocysts, and the analysis of the telomere length association with the quality of blastocysts, genetic imbalance and the maternal age.
MATERIALS AND METHODS: The study was performed on trophectoderm and inner cell mass samples of 41 human blastocysts, 26 of which were genetically imbalanced according to preimplantation genetic testing and verification of its results. The microscope slides were prepared for further telomere detection in interphase nuclei by quantitative fluorescence in situ hybridization (Q-FISH).
RESULTS: Telomeres in trophectoderm were longer than in inner cell mass, with their length varied from blastocyst to blastocyst. Telomere length in either trophectoderm or inner cell mass did not differ between genetically balanced and imbalanced blastocysts. There was a tendency towards a decrease in telomere length in the blastocyst compartments with increasing maternal age, however, a statistically significant correlation was not confirmed. The telomere length in the inner cell mass, but not in the trophectoderm, was associated with blasocysts’ quality based on the Gardner grade: medium quality blastocysts had longer telomeres than high quality blastocysts.
CONCLUSIONS: Long telomeres in trophectoderm may be necessary for implantation and subsequent placentation. Telomere length can be considered among modifiers of the effects of karyotype abnormalities and other negative factors: the inheritance by an embryo of long telomeres apparently gives it a developmental advantage even when genetically imbalanced or has poor morphology. Implantation seems to be an important checkpoint for negative selection of embryos with “unsuccessful” combinations of telomere length, karyotype, and morphology.
Full Text
BACKGROUND
During the preimplantation period, the successful embryogenesis is predetermined by several key events: first cleavages and establishment of cell contacts, genome-wide epigenetic reprogramming and chromatin remodeling, activation of the embryonic genome, and cell lineage development. The preimplantation stage culminates with the blastocyst formation, which consists of two cell compartments: the trophectoderm (TE) and the inner cell mass (ICM).
The intense division of embryonic cells, which is essential for the development of a blastocyst capable of implantation and further formation of all types of cells and tissues of the body, requires the maintenance of a certain telomere length. Telomeres are nucleoprotein structures consisting of a variable number of tandem hexanucleotide repeats, shelterin complex proteins, and telomeric ribonucleic acid (RNA) [1, 2]. Telomeres located at the ends of linear chromosomes protect them from endonuclease activity, non-homologous recombination, and end fusions [3].
Telomeres inevitably shorten with each cell division due to the phenomenon of DNA terminal underreplication [4]. Unprogrammed telomere shortening may occur under the negative influence of external factors [5–7]. Critical telomere shortening leads to cell death [8]. Maintenance and extension of telomere length is possible through programmed and well-orchestrated action of telomerase [9] and/or alternative telomere lengthening mechanisms based on homologous recombination of telomeric sequences [10]. Long telomeres are associated with increased longevity [11, 12], a reduced risk of some cancers [13–15], and high in vitro fertilization (IVF) efficiency [16, 17].
Telomeres are critical in cell viability, and the proper regulation of their length during cleavages is a prerequisite for normal embryonic development. Furthermore, the establishment of a certain telomere length in the blastocyst compartments during differentiation of blastomeres into the TE and ICM and the preparation of the blastocyst for implantation and active growth is obviously an important stage. However, the paucity of data regarding telomere length in human blastocysts is primarily attributable to the challenges in obtaining research material and methodological difficulties in the analysis of paucicellular samples.
The study aimed to compare the telomere length in the compartments of human blastocysts and analyze the telomere length association with the quality of blastocysts, genetic imbalance, and the maternal age.
MATERIALS AND METHODS
Study Materials
The study used human blastocysts from 22 married couples referred to infertility treatment at the D. O. Ott Research Institute of Obstetrics, Gynecology, and Reproductology. Controlled ovarian hyperstimulation was performed using recombinant and/or urinary gonadotropins according to the previously described protocol [18]. In vitro fertilization and embryo culturing to the blastocyst stage were performed under standard protocols [19, 20]. Blastomere or TE biopsies were performed for preimplantation genetic testing (PGT) of embryos for aneuploidies or structural rearrangements, depending on the medical recommendation for a particular couple. Blastocysts were cryopreserved and biopsy specimens were subjected to PGT by fluorescence in situ hybridization (FISH), array comparative genomic hybridization (aCGH), or next-generation sequencing (NGS). The study was performed on the blastocysts with PGT-detected genetic imbalance and blastocysts without genetic imbalance that were not cryopreserved due to the patient’s refusal.
The patients provided the informed written consent for the use of their blastocysts. The study was approved by the Ethics Committee of the D.O. Ott Research Institute of Obstetrics, Gynecology, and Reproductology, Protocol No. 120 dated July 21, 2022.
Microscopic Preparations of TE and ICM Cells from Human Blastocysts
Cryopreserved blastocysts were thawed in the Kitazato thawing medium (Japan) according to the manufacturer’s guidelines. Then, blastocysts were placed in G-TL culture medium (10145, Vitrolife, Sweden) for 12–16 h (5% O2, 6% CO2). The Gardner scale was used to assess the quality of the blastocysts [21]. The zona pellucida was removed and blastocysts were separated into the TE and ICM using an Octax laser (Vitrolife GmbH, Germany). The obtained TE and ICM samples were fixed on slides using the standard protocol with modifications, which had been used repeatedly in previous studies [20, 22, 23].
Fluorescence In Situ Hybridization
FISH with probes (Vysis, Abbott Molecular, USA) specific for the chromosomal loci where the imbalance was detected during PGT was performed on the interphase nuclei of the TE and ICM to confirm the genetic imbalance in the blastocysts. The PGT verification algorithm was described in detail in a previous study [24].
FISH with telomeric probes (K532611–8, DAKO, Denmark) was performed to detect telomeric regions on blastocyst interphase nuclei preparations. All hybridization steps were performed under the protocol recommended by the manufacturer, with minor modifications as previously described [20].
After digital imaging of blastocyst interphase nuclei with hybridization signals to telomeric chromosomal sequences, the preparations were used to detect the 21q22.13-q22.2 locus (a reference site for measuring telomeric signals) by FISH using a Vysis LSI 21 DNA probe (Abbott Molecular, USA). All hybridization steps were performed according to the manufacturer’s guidelines with the modifications described previously [25, 26].
Digital Imaging and Measurement of Fluorescence Intensity of Telomeric and LSI 21 Hybridization Signals
Digital images of interphase nuclei with hybridization signals were captured using a Leica DM2500 microscope (Leica Microsystems CMS GmbH, Germany) equipped with a Leica DFC345 FX camera and Leica Application Suite V3 software. All digital images were acquired with the same settings: an exposure time of 1.3 s, a gain setting of ×1, and a gamma setting of 2.0.
The intensity of fluorescent signals for telomeric regions and the 21q22.13-q22.2 locus was assessed using Image J 1.52n software, which allows measuring the average brightness level in a manually selected region of the photographic image.
Statistical Analysis
Statistical analysis was performed using GraphPad Prism software, version 6.01, with the D’Agostino-Pearson test for normality, the Wilcoxon T test for pair-wise comparison of non-parametric variables, the Mann–Whitney U test for comparison of non-parametric variables, and the Spearman’s non-parametric test for correlation coefficients.
RESULTS
Telomere length differs between the compartments of human blastocysts
The quantitative FISH (Q-FISH) method using telomeric probes (K532611–8, DAKO, Denmark) on fixed interphase nuclei of the TE and ICM was used to measure the telomere length in the compartments of human blastocysts (Fig. 1). The Q-FISH method is widely used to measure the telomere length in the cells fixed at both metaphase [20, 27, 28] or interphase stage [28]. The advantage of this approach over molecular genetic methods is the ability to accurately determine the telomere length in individual cells of paucicellular samples.
Fig. 1. Interphase nuclei from trophectoderm (а) and inner cell mass (b) of a human blastocyst after telomere detection by Q-FISH using telomeric DNA probes (yellow) and staining with DAPI (blue)
Рис. 1. Интерфазные ядра трофэктодермы (а) и внутренней клеточной массы (b) бластоцисты человека после выявления теломер методом Q-FISH с использованием теломерных ДНК-зондов (желтый) и окрашивания DAPI (синий)
When metaphase or interphase chromosomes are fixed on a slide, the degree of chromatin condensation may vary both among the cells and within a cell among different chromosomes. To reduce the effect of chromatin condensation on the brightness and size of the telomeric fluorescence signal, relative but not the absolute telomere length was calculated. For this purpose, we calculated a ratio of the fluorescence intensity of the hybridization signal to telomeric regions to a reference hybridization signal. The region of the long arm of chromosome 21 q22.13-q22.2 (LSI 21), which is characterized by low inter-individual variability, was chosen as the reference site.
The relative telomere length was measured in 2–49 interphase TE nuclei and 2–31 interphase ICM nuclei in each blastocyst. In each interphase nucleus, the fluorescence intensity of 16 hybridization signals to telomeric sites was measured using ImageJ 1.52n software. The mean for each nucleus was then calculated. In the same interphase nucleus, the fluorescence intensity of the hybridization signals of LSI 21 reference sites was measured, and the mean was subsequently determined. The relative telomere length in each interphase nucleus was calculated by finding the ratio of the mean fluorescence intensity of telomeric regions to that of the reference regions. The mean relative telomere length was then calculated for TE and ICM in each blastocyst. Consequently, the calculation of relative telomere length in the compartments of 41 blastocysts selected for the analysis resulted in 41 values for TE and 41 values for ICM.
The generalized D’Agostino–Pearson test showed a normal distribution of relative telomere length in the TE (p = 0.1745) and an abnormal distribution in the ICM (p = 0.0011), which determined the choice of non-parametric criteria for comparing these samples. The comparative analysis revealed that the relative telomere length in the TE was significantly higher than that in the ICM (Wilcoxon T criterion, p = 0.0256; Fig. 2).
Fig. 2. Mean relative telomere lengths in trophectoderm and inner cell mass of 41 human blastocysts
Рис. 2. Средние относительные длины теломер в трофэктодерме и внутренней клеточной массе 41 бластоцисты человека
The variability of telomere length in the TE and ICM was analyzed, and the ratio between the relative telomere length in the TE and that in the ICM was calculated for each blastocyst. In most cases (25/41), the values were expectedly >1, whereas in 16 out of 41 cases, they were <1. After calculating the oscillation coefficient, which facilitates the assessment of the relative telomere length deviation from the mean, the following values were obtained: 185% for TE, 227% for ICM, and 220% for TE/ICM.
Therefore, in human blastocysts, telomeres are longer in the TE than in the ICM, with the telomere length in both compartments exhibiting variability from blastocyst to blastocyst.
The telomere length in the TE and the ICM of human blastocysts is not associated with karyotype abnormalities
To analyze the possible contribution of karyotype pathology to the variability of the telomere length in the TE and ICM, blastocysts were divided into two groups according to the genetic imbalance detected by PGT and its verification by the FISH method in the TE and ICM nuclei: blastocysts without genetic imbalance (n = 15) and blastocysts with genetic imbalance (n = 26). A comparison of the relative telomere length in the TE of genetically balanced blastocysts with that of genetically imbalanced blastocysts revealed no difference (p = 0.5931, Mann–Whitney U criterion). Similarly, the relative telomere length in the ICM of blastocysts with and without genetic imbalance did not differ (p = 0.6116, Mann–Whitney U criterion). A comparison of TE/ICM relative telomere length ratios between blastocysts with and without genetic imbalance also showed no difference (p = 0.8094, Mann–Whitney U criterion).
Therefore, karyotype abnormalities are not associated with changes in the telomere length in human blastocyst compartments.
Patient age does not affect the telomere length in blastocyst compartments
To assess the possible impact of maternal age on the telomere length in blastocysts, we compared the telomere lengths in the TE and ICM between two groups of blastocysts: those obtained from the patients of younger (<35 years of age; n = 20) and older (≥35 years of age; n = 21) reproductive age. No difference was found between the blastocysts obtained from patients of younger and older reproductive age when comparing relative telomere lengths in the TE (p = 0.3556), ICM (p = 0.0974), and TE/ICM ratios (p = 0.7022) using the Mann–Whitney U test.
The relative telomere length in the blastocyst compartments was compared with respect to the presence/absence of genetic imbalance and the maternal age. In the absence of genetic imbalance, no statistically significant differences in relative telomere length were observed between the blastocysts from younger (n = 5) and older (n = 10) patients (p > 0.9999 for TE, p = 0.5122 for ICM, and p = 0.4795 for TE/ICM, Mann–Whitney U test). Genetically imbalanced blastocysts from patients younger (n = 15) and older (n = 11) than 35 years showed no difference in relative telomere when comparing TE (p = 0.3763), ICM (p = 0.2131), and TE/ICM (p = 0.9806, Mann–Whitney U test).
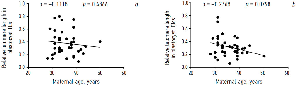
The correlation analysis showed no significant relationship between maternal age and relative telomere length in the TE (ρ = –0.1118, p = 0.4866) and ICM (ρ = –0.2768, p = 0.0798; Fig. 3).
Fig. 3. The scatter plots of the mean relative telomere lengths in trophectoderm (ТЭ) (a) and in inner cell mass (ВКМ) (b) and maternal age. The Spearman test showed no significant correlations (ρ = –0.1118, p = 0.4866 for TE and ρ = –0.2768, p = 0.0798 for ICM)
Рис. 3. Отсутствие взаимосвязи длины теломер в трофэктодерме (ТЭ) (a) и внутренней клеточной массе (ВКМ) (b) бластоцист человека с возрастом пациентки, от которой получены бластоцисты. Статистически значимая корреляция отсутствует (непараметрический тест Спирмена)
Therefore, the telomere length in the compartments of blastocysts with and without genetic imbalance was not correlated with the maternal age.
The telomere length in the ICM of human blastocysts is associated with their quality according to the Gardner grading scale
The association between the telomere length in the blastocyst compartments and the quality of these blastocysts, as determined by the Gardner morphology score, was tested by dividing the blastocysts into two groups: of high quality and medium quality. In the Gardner grading scale, the numbers from 1 to 6 are used to describe the size of the blastocyst cavity. The blastocysts that initiated hatching and already hatched and ready for implantation blastocysts are marked with the numbers 5 and 6, respectively. The first letter in the Gardner scale indicates the ICM quality, whereas the second letter indicates the TE quality. In this scale, A is the highest quality of the quantitative and qualitative cellular compartment composition, and C is the lowest quality, indicating degenerative cell processes [21]. The high-quality group comprised 11 blastocysts that received grades 6AA and 5AA. The medium-quality group encompassed 30 additional blastocysts, which received grades 5AB, 5BA, and lower grades, reaching as low as 3BB and 2AA. A comparison of relative telomere length in TE revealed no significant differences between high- and medium-quality blastocysts (p = 0.3075, Mann–Whitney U test). However, telomeres in the ICM were found to be longer in medium-quality blastocysts compared to high-quality blastocysts (p = 0.0101, Mann–Whitney U test; Fig. 4).
Fig. 4. The comparisons of mean relative telomere lengths between blastocysts of high and medium quality. Telomere lengths do not differ between trophectoderms (a). Telomeres in inner cell mass (b) are longer in medium quality blastocysts compared to telomeres of high quality blastocysts
Рис. 4. Сравнение относительной длины теломер между бластоцистами высокого и среднего качества. Длина теломер не отличается в трофэктодерме (a), однако во внутренней клеточной массе (b) бластоцист среднего качества теломеры длиннее, чем у бластоцист высокого качества
Consequently, the telomere length of blastocysts in the ICM, but not in the TE, is associated with their quality, as measured by the Gardner grading scale. Specifically, blastocysts exhibiting average quality are characterized by longer telomeres in comparison with those of high quality.
DISCUSSION
Despite the fact that telomeres and the mechanisms of their length regulation have been studied for several decades, many questions regarding programmed and unprogrammed changes in telomere length during human ontogenesis remain unclear. This is particularly true for the earliest stages of development, the preimplantation period, when research material is most difficult to access. The introduction of assisted reproduction into medical practice provided a unique opportunity to study human embryos in vitro. This study compared the telomere length in the TE and ICM of human blastocysts and evaluated the possible association of factors such as blastocyst quality, genetic imbalance in the blastocysts, and maternal age with telomere length.
The most significant and novel finding in the study is the difference in the telomere length between compartments in a human blastocyst: telomeres were longer in TE than in IMC. In studies by other authors, the telomere length in blastocyst compartments was only compared in model objects. For example, the telomeres in mouse blastocysts were shown to be longer in the ICM, whereas in bovine blastocysts, they were longer in the TE [29, 30]. Thus, the telomere length in the blastocyst compartments is a species-specific feature.
The finding that the telomeres in the TE of human blastocysts are longer than in the ICM is especially interesting due to the trophoblast importance for implantation. The trophoblast plays a key role at this stage of development, when an embryo is just starting to form. Subsequently, the trophoblast forms the extraembryonic tissues, which provide many functions necessary for intrauterine development. A notable feature of extraembryonic tissues is their accelerated growth rate, evidenced by the mitotic index of chorionic cytotrophoblast, which is comparable to that observed in some cancers [31]. However, the lifespan of extraembryonic tissues is short and limited to the intrauterine development. The biological significance of long telomeres in the TE of human blastocysts is probably related to the intensive cell divisions that facilitate the rapid growth of extraembryonic tissues. The reserve of telomere length formed during cleavages due to the alternative telomere lengthening (ALT) [32] and telomerase activity [33] reduces the need for TE cells in the active mechanisms for telomere lengthening throughout the life period of extraembryonic tissues. In fact, there is no direct evidence of ALT mechanism activity in extraembryonic tissues [34]. Another indirect evidence is the physiological decrease of telomerase activity in the placenta during pregnancy [35–37] and its abnormal increase in trophoblastic disorders [36, 38].
In embryogenesis, telomere length is associated with such factors as maternal age and embryonic karyotype abnormalities. Studies of the relationship between karyotype and telomere length in human preimplantation embryos are still limited and mainly focused on the development of applied technologies. In addition, their results are contradictory. For example, oocytes with short telomeres were shown to be more prone to meiotic errors resulting in aneuploidies. Therefore, the authors proposed to consider the telomere length in oocytes as a criterion for their selection to achieve greater IVF effectiveness [39]. Furthermore, the authors observed a shorter telomere length in the aneuploid embryos exclusively during cleavages, but not at the blastocyst stage [39]. Mosaic day-4 embryos with developmental delay were found to have shorter telomeres in the aneuploid cells than in the euploid cells [40]. Conversely, a recent study demonstrated that aneuploid blastocysts exhibited longer telomeres compared with euploid blastocysts [41]. The present study demonstrates that telomere length is equivalent when comparing both TE and ICM blastocysts with and without genetic imbalance. Notably, the study used a cell-by-cell analysis to assess telomere length, considering the division of the blastocyst into compartments, a methodological approach that differs slightly from the studies by other authors. Our findings are consistent with those of a previous study that used a cell-by-cell analysis of polar bodies of oocytes and blastomeres of day-3 cleaving embryos. This earlier study demonstrated that telomere length is not associated with aneuploidy [42]. However, given the conflicting data regarding the association between telomere length and the presence of karyotype abnormalities in human blastocysts, further research is required.
The extent to which maternal age affects the telomere length in embryos remains unclear. Previous studies identified a tendency toward telomere shortening in the embryos from women of advanced reproductive age and women with a history of recurrent miscarriage. However, no correlation was found between a telomere length and the ability of embryos to develop to day 5 [40]. Furthermore, an analysis of human triploid zygotes showed no correlation between pronuclear telomere length and parental age [20]. The absence of correlation between telomere length and maternal age was demonstrated in a study performed on polar bodies of oocytes and blastomeres of day-3 embryos [42], which is consistent with our results obtained for TE and ICM of human blastocysts. However, despite the absence of a statistically significant correlation between the telomere length in the blastocyst compartments and the maternal age, a trend toward telomere shortening in blastocysts with increasing maternal age, more pronounced for ICM, was observed.
Apparently, most studies on the relationship between maternal age and aneuploidy and telomere length in human preimplantation embryos are somehow related to the telomere theory of reproductive aging [43, 44]. However, the accumulating data that do not support this concept suggest a slightly different biological role of telomeres. A telomere length may act as a possible cause of aneuploidy, especially in the older female reproductive age, as well as one of the effect modifiers of karyotypic abnormalities and other negative factors. In other words, if an embryo has inherited longer telomeres, even in the presence of a genetic imbalance, it will have an advantage over an embryo with shorter telomeres at critical stages of development. Presumably, an important stage of negative embryo selection is implantation, which can be successfully passed by blastocysts with certain combinations of characteristics, including telomere length, karyotype, and morphology. The inheritance of a particular telomere length by an embryo, in turn, is predetermined both by the length of telomeres in the parental gametes and by exogenous and endogenous effects during the periconceptional period. Moreover, a transgenerational effect cannot be excluded [45].
Several facts support our hypothesis that telomere length may serve as a modifier of the negative effects, with a critical stage of negative selection during implantation. First, a high heterogeneity of telomere length in cleaving embryos was observed in this and other studies [39, 40, 42, 46]. Second, the present study showed that the telomeres in the ICM of low-quality blastocysts are longer than those in high-quality blastocysts. This suggests that embryos with longer telomeres can form a blastocyst despite reduced quantitative and qualitative cellular characteristics. Finally, our previous study on first-trimester chorionic cytotrophoblasts revealed longer telomeres in developing fetuses with abnormal karyotype compared to arrested fetuses with abnormal karyotypes and developing fetuses with normal karyotype [47]. These findings let us conclude that the inheritance of long telomeres may contribute to the development of an embryo with an abnormal karyotype. Furthermore, the combination of short telomeres and chromosomal abnormalities, even those compatible with life, leads to early miscarriage. These assumptions are consistent with the studies that found short telomeres in aneuploid arrested embryos [48] and longer telomeres in newborns with trisomy 21 compared to newborns with normal karyotype [49, 50]. In addition, telomerase activation and subsequent telomere elongation are known to occur in the postnatal period as a means of adaptation to various stresses [51, 52]. This indirectly supports a possible role of telomere length as a modifier of negative factors in embryogenesis.
CONCLUSION
Therefore, the telomeres in the TE cells of human blastocysts are longer than in the ICM, which is probably related to the role of trophoblast in implantation and further rapid formation of extraembryonic structures. The high inter-individual variability of telomere length, its lack of correlation with genetic imbalance in blastocysts and with maternal age, as well as longer telomeres in the ICM of medium-quality blastocysts compared with those of high quality, indicate that telomere length may serve as one of the effect modifiers of karyotype abnormalities and other negative factors.
ADDITIONAL INFO
Authors’ contribution. All authors made a substantial contribution to the conception of the study, acquisition, analysis, interpretation of data for the work, drafting and revising the article, final approval of the version to be published and agree to be accountable for all aspects of the study. Personal contribution of each author: A.V. Tikhonov — experimental design, collecting and preparation of samples, microscopic analysis, data analysis, imagine design, writing the main part of the text; O.A. Efimova — experimental design, writing the main part of the text; M.I. Krapivin — collecting and preparation of samples, Q-FISH, microscopic analysis, imagine design; O.V. Malysheva — collecting and preparation of samples, aCGH; E.M. Komarova — collecting and preparation of samples; A.V. Golubeva — collecting and preparation of samples, FISH; A.A. Pendina — experimental design, data analysis, writing the main part of the text, making final edits.
Funding source. The study was supported by the Russian Science Foundation (grant No. 22-75-00125, https://rscf.ru/project/22-75-00125/).
Competing interests. The authors declare that they have no competing interests.
Ethics approval. The protocol of the study was approved by the local Ethics Committee of the D.O. Ott Research Institute of Obstetrics, Gynecology and Reproductology (No. 120 of 21.07.2022).
Consent for publication. Written consent was obtained from the patient for publication of relevant medical information within the manuscript.
ДОПОЛНИТЕЛЬНАЯ ИНФОРМАЦИЯ
Вклад авторов. Все авторы внесли существенный вклад в разработку концепции, проведение исследования и подготовку статьи, прочли и одобрили финальную версию перед публикацией. Личный вклад каждого автора: А.В. Тихонов — концепция и дизайн исследования, сбор и обработка материалов, микроскопический анализ, анализ полученных данных, оформление изображений, написание текста; О.А. Ефимова — концепция и дизайн исследования, написание текста; М.И. Крапивин — сбор и обработка материалов, постановка Q-FISH, микроскопический анализ, оформление изображений; О.В. Малышева — сбор и обработка материалов, проведение исследования методом aCGH; Е.М. Комарова — сбор и обработка материалов; А.В. Голубева — сбор и обработка материалов, постановка FISH; А.А. Пендина — концепция и дизайн исследования, анализ полученных данных, написание текста, внесение окончательной правки.
Источник финансирования. Исследование выполнено при финансовой поддержке Российского научного фонда (грант № 22-75-00125, https://rscf.ru/project/22-75-00125/).
Конфликт интересов. Авторы декларируют отсутствие явных и потенциальных конфликтов интересов, связанных с публикацией настоящей статьи.
Этический комитет. Протокол исследования был одобрен локальным этическим комитетом ФГБНУ «НИИ АГиР им. Д.О. Отта» (протокол № 120 от 21.07.2022).
Информированное согласие на публикацию. Авторы получили письменное согласие пациентов на публикацию медицинских данных.
About the authors
Andrey V. Tikhonov
D.O. Ott Research Institute of Obstetrics, Gynecology and Reproductology
Author for correspondence.
Email: tixonov5790@gmail.com
ORCID iD: 0000-0002-2557-6642
SPIN-code: 3170-2629
Cand. Sci. (Biology)
Russian Federation, Saint PetersburgOlga A. Efimova
D.O. Ott Research Institute of Obstetrics, Gynecology and Reproductology
Email: efimova_o82@mail.ru
ORCID iD: 0000-0003-4495-0983
SPIN-code: 6959-5014
Cand. Sci. (Biology)
Russian Federation, Saint PetersburgMikhail I. Krapivin
D.O. Ott Research Institute of Obstetrics, Gynecology and Reproductology
Email: krapivin-mihail@mail.ru
ORCID iD: 0000-0002-1693-5973
SPIN-code: 4989-1932
Russian Federation, Saint Petersburg
Olga V. Malysheva
D.O. Ott Research Institute of Obstetrics, Gynecology and Reproductology
Email: omal99@mail.ru
ORCID iD: 0000-0002-8626-5071
SPIN-code: 1740-2691
Cand. Sci. (Biology)
Russian Federation, Saint PetersburgEvgenia M. Komarova
D.O. Ott Research Institute of Obstetrics, Gynecology and Reproductology
Email: evgmkomarova@gmail.com
ORCID iD: 0000-0002-9988-9879
SPIN-code: 1056-7821
Cand. Sci. (Biology)
Russian Federation, Saint PetersburgArina V. Golubeva
D.O. Ott Research Institute of Obstetrics, Gynecology and Reproductology
Email: AlikovaAV1504@yandex.ru
ORCID iD: 0000-0003-1613-222X
SPIN-code: 4610-3686
Russian Federation, Saint Petersburg
Anna A. Pendina
D.O. Ott Research Institute of Obstetrics, Gynecology and Reproductology
Email: pendina@mail.ru
ORCID iD: 0000-0001-9182-9188
SPIN-code: 3123-2133
Cand. Sci. (Biology)
Russian Federation, Saint PetersburgReferences
- Schoeftner S, Blasco MA. Developmentally regulated transcription of mammalian telomeres by DNA-dependent RNA polymerase II. Nat Cell Biol. 2008;10(2):228–236. doi: 10.1038/ncb1685
- Schmutz I, de Lange T. Shelterin. Curr Biol. 2016;26(10): R397–R399. doi: 10.1016/j.cub.2016.01.056
- Smith EM, Pendlebury DF, Nandakumar J. Structural biology of telomeres and telomerase. Cell Mol Life Sci. 2020;77(1):61–79. doi: 10.1007/s00018-019-03369-x
- Olovnikov AM. A theory of marginotomy: the incomplete copying of template margin in enzymic synthesis of polynucleotides and biological significance of the phenomenon. J Theor Biol. 1973;41(1): 181–190. doi: 10.1016/0022-5193(73)90198-7
- Barnes RP, Fouquerel E, Opresko PL. The impact of oxidative DNA damage and stress on telomere homeostasis. Mech Ageing Dev. 2019;177:37–45. doi: 10.1016/j.mad.2018.03.013
- Lustig A, Shterev I, Geyer S, et al. Long term effects of radiation exposure on telomere lengths of leukocytes and its associated biomarkers among atomic-bomb survivors. Oncotarget. 2016;7(26):38988–38998. doi: 10.18632/oncotarget.8801
- de Souza MR, Kahl VFS, Rohr P, et al. Shorter telomere length and DNA hypermethylation in peripheral blood cells of coal workers. Mutat Res Genet Toxicol Environ Mutagen. 2018;836(B):36–41. doi: 10.1016/j.mrgentox.2018.03.009
- Cesare AJ, Hayashi MT, Crabbe L, Karlseder J. The telomere deprotection response is functionally distinct from the genomic DNA damage response. Mol Cell. 2013;51(2):141–155. doi: 10.1016/j.molcel.2013.06.006
- Cohen SB, Graham ME, Lovrecz GO, et al. Protein composition of catalytically active human telomerase from immortal cells. Science. 2007;315(5820):1850–1853. doi: 10.1126/science.1138596
- Dunham MA, Neumann AA, Fasching CL, Reddel RR. Telomere maintenance by recombination in human cells. Nat Genet. 2000;26(4):447–450. doi: 10.1038/82586
- Heidinger BJ, Blount JD, Boner W, et al. Telomere length in early life predicts lifespan. PNAS USA. 2012;109(5):1743–1748. doi: 10.1073/pnas.1113306109
- Ye Q, Apsley AT, Etzel L, et al. Telomere length and chronological age across the human lifespan: A systematic review and meta-analysis of 414 study samples including 743,019 individuals. Ageing Res Rev. 2023;90:102031. doi: 10.1016/j.arr.2023.102031
- Bau D-T, Lippman SM, Xu E, et al. Short telomere lengths in peripheral blood leukocytes are associated with an increased risk of oral premalignant lesion and oral squamous cell carcinoma. Cancer. 2013;119(24):4277–4283. doi: 10.1002/cncr.28367
- Jang JS, Choi YY, Lee WK, et al. Telomere length and the risk of lung cancer. Cancer Sci. 2008;99(7):1385–1389. doi: 10.1111/j.1349-7006.2008.00831.x
- Qin Q, Sun J, Yin J, et al. Telomere length in peripheral blood leukocytes is associated with risk of colorectal cancer in Chinese population. PLoS One. 2014;9(2):e88135. doi: 10.1371/journal.pone.0088135
- Berneau SC, Shackleton J, Nevin C, et al. Associations of sperm telomere length with semen parameters, clinical outcomes and lifestyle factors in human normozoospermic samples. Andrology. 2020;8(3):583–593. doi: 10.1111/andr.12734
- Hanson BM, Tao X, Zhan Y, et al. Shorter telomere length of white blood cells is associated with higher rates of aneuploidy among infertile women undergoing in vitro fertilization. Fertil Steril. 2021;115(4):957–965. doi: 10.1016/j.fertnstert.2020.09.164
- Shilenkova YV, Pendina AA, Fedorova EM, et al. Issues in reproductive health in chromosome translocation carriers. Journal of obstetrics and women’s diseases. 2022;71(5):85–96. EDN: YOTDWW doi: 10.17816/JOWD109329
- ESHRE Guideline Group on Good Practice in IVF Labs, De los Santos MJ, Apter S, et al. Revised guidelines for good practice in IVF laboratories (2015). Hum Reprod. 2016;31(4):685–686. doi: 10.1093/humrep/dew016
- Pendina AA, Krapivin MI., Efimova OA, et al. Telomere length in metaphase chromosomes of human triploid zygotes. Int J Mol Sci. 2021;22(11):5579. doi: 10.3390/ijms22115579
- Gardner DK, Schoolcraft WB. In vitro culture of human blastocysts. In: Jansen R, Mortimer D, editors. Towards reproductive certainty: Fertility and genetics beyond. Camforth, UK: Parthenon Publishing; 1999. P. 378–388.
- Pendina AA, Efimova OA, Fedorova ID, et al. DNA methylation patterns of metaphase chromosomes in human preimplantation embryos. Cytogenet Genome Res. 2011;132(1–2):1–7. doi: 10.1159/000318673
- Efimova OA, Pendina AA, Tikhonov AV, et al. Chromosome hydroxymethylation patterns in human zygotes and cleavage-stage embryos. Reproduction. 2015;149(3):223–33. doi: 10.1530/REP-14-0343
- Tikhonov AV, Krapivin MI, Malysheva OV, et al. Re-Examination of PGT-A detected genetic pathology in compartments of human blastocysts: A series of 23 cases. J Clin Med. 2024;13(11):3289. doi: 10.3390/jcm13113289
- Efimova OA, Pendina AA, Tikhonov AV, et al. Genome-wide 5-hydroxymethylcytosine patterns in human spermatogenesis are associated with semen quality. Oncotarget. 2017;8(51):88294–88307. doi: 10.18632/oncotarget.18331
- Liehr T, Weise A. Background. In: Liehr T, editor. Fluorescence in situ hybridization (FISH). Springer, Berlin, Heidelberg; 2017. P. 337–346. doi: 10.1007/978-3-662-52959-1_1
- Canela A, Vera E, Klatt P, Blasco MA. High-throughput telomere length quantification by FISH and its application to human population studies. PNAS USA. 2007;104(13):5300–5305. doi: 10.1073/pnas.0609367104
- Ourliac-Garnier I, Londoño-Vallejo A. Telomere length analysis by quantitative fluorescent in situ hybridization (Q-FISH). In: Songyang Z, editor. Telomeres and telomerase. Methods in molecular biology. Vol. 1587. New York: Humana Press; 2017. P. 29–39. doi: 10.1007/978-1-4939-6892-3_3
- Iqbal K, Kues WA, Baulain U, et al. Species-specific telomere length differences between blastocyst cell compartments and ectopic telomere extension in early bovine embryos by human telomerase reverse transcriptase. Biol Reprod. 2011;84(4):723–733 doi: 10.1095/biolreprod.110.087205
- Varela E, Schneider RP, Ortega S, Blasco MA. Different telomere-length dynamics at the inner cell mass versus established embryonic stem (ES) cells. PNAS USA. 2011;108(37):15207–15212. doi: 10.1073/pnas.1105414108
- Kar M, Ghosh D, Sengupta J. Histochemical and morphological examination of proliferation and apoptosis in human first trimester villous trophoblast. Hum Reprod. 2007;22(11):2814–2823. doi: 10.1093/humrep/dem284
- Liu L, Bailey S, Okuka M, et al. Telomere lengthening early in development. Nat Cell Biol. 2007;9:1436–1441. doi: 10.1038/ncb1664
- Wright DL, Jones EL, Mayer JF, et al. Characterization of telomerase activity in the human oocyte and preimplantation embryo. Mol Hum Reprod. 2001;7(10):947–955. doi: 10.1093/molehr/7.10.947
- Polettini J, da Silva MG. Telomere-Related disorders in fetal membranes associated with birth and adverse pregnancy outcomes. Front Physiol. 2020;11:561771. doi: 10.3389/fphys.2020.561771
- Kyo S, Takakura M, Tanaka M, et al. Expression of telomerase activity in human chorion. Biochem Biophys Res Commun. 1997;241(2):498–503. doi: 10.1006/bbrc.1997.7767
- Chen RJ, Chu CT, Huang SC, et al. Telomerase activity in gestational trophoblastic disease and placental tissue from early and late human pregnancies. Hum Reprod. 2002;17(2):463–468. doi: 10.1093/humrep/17.2.463
- Colatto BN, de Souza IF, Schinke LAA, et al. Telomere length and telomerase activity in foetal membranes from term and spontaneous preterm births. Reprod Sci. 2020;27(1):411–417. doi: 10.1007/s43032-019-00054-z
- Nishi H, Yahata N, Ohyashiki K, et al. Comparison of telomerase activity in normal chorionic villi to trophoblastic diseases. Int J Oncol. 1998;12(1):81–85. doi: 10.3892/ijo.12.1.81
- Treff NR, Su J, Taylor D, Scott RT Jr. Telomere DNA deficiency is associated with development of human embryonic aneuploidy. PLoS Genet. 2011;7(6):e1002161. doi: 10.1371/journal.pgen.1002161
- Mania A, Mantzouratou A, Delhanty JDA, et al. Telomere length in human blastocysts. Reprod Biomed Online. 2014;28(5):624–637. doi: 10.1016/j.rbmo.2013.12.010
- Wang F, McCulloh DH, Chan K, et al. The landscape of telomere length and telomerase in human embryos at blastocyst stage. Genes (Basel). 2023;14(6):1200. doi: 10.3390/genes14061200
- Turner K, Lynch C, Rouse H, et al. Direct single-cell analysis of human polar bodies and cleavage-stage embryos reveals no evidence of the telomere theory of reproductive ageing in relation to aneuploidy generation. Cells. 2019;8(2):163. doi: 10.3390/cells8020163
- Keefe DL. Telomeres and genomic instability during early development. Eur J Med Genet. 2020;63(2):103638. doi: 10.1016/j.ejmg.2019.03.002
- Anifandis G, Samara M, Simopoulou M, et al. Insights into the role of telomeres in human embryological parameters. Opinions regarding IVF. J Dev Biol. 2021;9(4):49. doi: 10.3390/jdb9040049
- Epel ES. Can childhood adversity affect telomeres of the next generation? Possible mechanisms, implications, and next-generation research. Am J Psychiatry. 2020;177(1):7–9. doi: 10.1176/appi.ajp.2019.19111161
- Turner S, Wong HP, Rai J, Hartshorne GM. Telomere lengths in human oocytes, cleavage stage embryos and blastocysts. Mol Hum Reprod. 2010;16(9):685–694. doi: 10.1093/molehr/gaq048
- Krapivin MI., Tikhonov AV, Efimova OA, et al. Telomere length in chromosomally normal and abnormal miscarriages and ongoing pregnancies and its association with 5-hydroxymethylcytosine patterns. Int J Mol Sci. 2021;22(12):6622. doi: 10.3390/ijms22126622
- Huleyuk N, Tkach I, Zastavna D, Tyrka M. Can telomere shortening be the main indicator of non-viable fetus elimination? Mol Cytogenet. 2018;11:11. doi: 10.1186/s13039-018-0361-9
- Vaziri H, Schächter F, Uchida I, et al. Loss of telomeric DNA during aging of normal and trisomy 21 human lymphocytes. Am J Hum Genet. 1993;52(4):661–667.
- Bhaumik P, Bhattacharya M, Ghosh P, et al. Telomere length analysis in Down syndrome birth. Mech Ageing Dev. 2017;164:20–26. doi: 10.1016/j.mad.2017.03.006
- Spivak I, Tkachuk N, Zhekalov A, Dolinina T. Role of genotype in maintaining telomere length at prolonged psychological stress. In: Chernyavskaya V, Kuße H, editors. Professional сulture of the specialist of the future, vol. 51. European proceedings of social and behavioural sciences. Future Academy; 2018. P. 515–527. doi: 10.15405/epsbs.2018.12.02.56
- Garrett-Bakelman FE, Darshi M, Green SJ, et al. The NASA Twins Study: A multidimensional analysis of a year-long human spaceflight. Science. 2019;364(6436):eaau8650. doi: 10.1126/science.aau8650
Supplementary files








