Aromatase CYP19A1, progesterone receptor PGR and estrogen receptor ESR1 gene expression in biopsy specimens of endometrioid heterotopia and endometrial tissue by reverse transcription PCR
- Authors: Shved N.Y.1, Malysheva O.V.1, Osinovskaya N.S.1, Molotkov A.S.1, Tsypurdeyeva A.A.1, Yarmolinskaya M.I.1, Baranov V.S.1
-
Affiliations:
- The Research Institute of Obstetrics, Gynecology, and Reproductology named after D.O. Ott
- Issue: Vol 68, No 2 (2019)
- Pages: 79-86
- Section: Original study articles
- Submitted: 31.01.2019
- Accepted: 21.02.2019
- Published: 29.05.2019
- URL: https://journals.eco-vector.com/jowd/article/view/10962
- DOI: https://doi.org/10.17816/JOWD68279-86
- ID: 10962
Cite item
Full Text
Abstract
Hypothesis/aims of study. Endometriosis is one of the most pressing problems of gynecology. Clarifying the expression of the estrogen receptor (ESR1) and the progesterone receptor (PGR) genes and polymorphisms in the aromatase (CYP19A1) gene in endometriosis will expand the understanding of the pathogenesis of the disease and the causes of resistance to its therapy. The objective of this study was to conduct a comparative analysis of mRNA expression of PGR, ESR1 and CYP19A1 genes in paired samples of the eutopic endometrium and peritoneal endometrioid lesions in order to search for predictive markers of response to hormonal therapy. In the future, this may allow personalizing the selection of hormonal preparations for the treatment of endometriosis.
Study design, materials and methods. Reverse transcription real-time PCR made it possible to evaluate CYP19A1, PGR and ESR1 gene expression levels in studied tissue samples from 22 patients with endometriosis and 9 women in the comparison group.
Results. Quantitative analysis revealed a high heterogeneity in the expression level of the studied genes, in both the endometrium and endometrioid lesions from patients with endometriosis. In the endometrium of patients in the comparison group, the heterogeneity of the expression level was observed only for the ESR1 gene.
Conclusion. Our findings suggest a high variability in CYP19A1, ESR1 and PGR gene expression levels in the endometrium and peritoneal foci in patients with endometriosis. This information indicates the need for an individual approach to prescribing targeted therapy, since it is obvious that the effect of treatment will depend primarily on the availability of a therapeutic target in a particular patient. The absence of a typical expression pattern for each of the genes in patients with endometriosis indicates the heterogeneity of the disease and the need to develop a molecular classification of this common pathology.
Full Text
Введение
Эндометриоз — дисгормональное, иммунозависимое, хроническое, генетически детерминированное заболевание, которое проявляется в виде разрастания очагов эндометриоподобной ткани вне полости матки. Наружный генитальный эндометриоз (НГЭ) является одной из самых актуальных проблем медицины. Считается, что эта патология встречается в среднем у 15–50 % женщин репродуктивного возраста. Такая вариабельность статистических данных обусловлена сложностью диагностики данного заболевания, а также тем, что болезнь зачастую (у 12–22 % женщин) протекает бессимптомно. На сегодняшний день разработано множество концепций этиологии и патогенеза эндометриоза, но, несмотря на их разнообразие, нет единой теории возникновения и развития этой патологии [1].
Согласно рутинному представлению о патогенезе заболевания эндометриоз характеризуется абсолютной или относительной гиперэстрогенемией. При этом известно, что концентрация половых стероидных гормонов в сыворотке крови больных эндометриозом в ряде случаев может не отличаться от референсных значений здоровых женщин [2]. Считается, что развитие и прогрессирование очагов эндометриоза может быть связано с феноменом «локальной гипергормонемии», открытым Г.А. Савицким [3]. Эстрогены могут стимулировать и поддерживать эндометриоидную ткань за счет локального синтеза образующихся в результате ароматизации андрогенов в периферических тканях (кожа, жировая ткань и др.) или непосредственно в эндометриоидных гетеротопиях при участии фермента ароматазы [4]. В ряде работ получены убедительные доказательства повышения уровня экспрессии ароматазы в эутопическом и эктопическом эндометрии у пациенток с эндометриозом, что послужило патогенетическим основанием для использования ингибиторов ароматазы при лечении НГЭ [5–7].
Рецепторы эстрогенов и прогестерона определяют чувствительность тканей-мишеней к этим гормонам и опосредуют их действие на клетку. Уровень этих рецепторов контролируется гормонально и может меняться в различных физиологических и патологических ситуациях. Считается, что важнейшую роль при развитии эндометриоза играют генетические и эпигенетические факторы, которые приводят к повышению экспрессии ароматазы, стероидогенного фактора 1 и эстрогеновых рецепторов. Эти изменения, в свою очередь, вызывают активный синтез различных провоспалительных агентов и фактора роста нервов, которые важны для развития болевого синдрома. Кроме того, функциональные изменения в рецепторе прогестерона и развитие локальной резистентности к прогестерону снижают пролиферативную активность, апоптоз и уровень противовоспалительных цитокинов, а также повышают активность простагландинов, металлопротеиназ и фактора гипоксии [4].
Отсутствие единого понимания этиологии НГЭ определяет многокомпонентный подход к его терапии. В настоящее время не существует единой стратегии в выборе и назначении гормональной терапии у больных с эндометриозом. В практику внедряются новые методы медикаментозной терапии, однако число распространенных агрессивных форм заболевания, в том числе и экстрагенитальной локализации, а также рецидивов не снижается. Изучение экспрессии генов рецепторов ESR1 и PGR, гена ароматазы CYP19A1 при эндометриозе вызывает несомненный интерес, так как уточнение молекулярных особенностей позволит расширить представление о патогенезе самого заболевания и его рецидивов, причинах резистентности к терапевтическому лечению НГЭ. Кроме того, данное исследование может служить основой для разработки персонифицированного подхода к лечению заболевания с учетом планов и предпочтений пациентки, который в настоящее время становится доминирующим в медицинской практике [2, 4]. Большинство исследований, посвященных анализу экспрессии гена ароматазы CYP19A1, генов рецепторов ESR1 и PGR, было проведено с использованием иммуногистохимического метода. Анализ с помощью ОТ-ПЦР позволяет выявлять экспрессию генов с более высокой чувствительностью и осуществлять более точную количественную оценку [8].
Целью данной работы был сравнительный анализ экспрессии мРНК генов рецептора прогестерона PGR, рецептора эстрогена ESR1 и гена ароматазы CYP19A1 в парных образцах эутопического эндометрия и эндометриоидных гетеротопий, располагающихся на брюшине малого таза, как потенциальных предиктивных маркеров ответа на гормональную терапию. В перспективе такие маркеры позволят персонализировать подбор препаратов для гормономодулирующей терапии НГЭ.
Материалы и методы
Методом ПЦР в реальном времени изучена экспрессия генов PGR А+В, ESR1 и CYP19A1 в образцах пайпель-биопсии эндометрия и образцах перитонеальных эндометриоидных гетеротопий (красные, синие гетеротопии), полученных во время лапаро- и гистероскопии.
В ретроспективное исследование была включена 31 женщина в возрасте от 25 до 40 лет (средний возраст — 32,5 ± 7,5 года). Первую группу составили 22 пациентки с НГЭ I, II, III и IV степеней по классификации Американского общества фертильности — R-AFS (1996). Диагноз был установлен на основании лапароскопии и подтвержден результатами гистологического исследования. У всех пациенток из первой группы наблюдалось бесплодие, соотношение первичного бесплодия к вторичному составило 1 : 1. Во вторую группу (сравнения) вошли 9 женщин, направленных на диагностическую лапароскопию для уточнения причины бесплодия. Эндометриоза, а также других гинекологических заболеваний при обследовании выявлено не было. Иссечение перитонеальных гетеротопий и пайпель-биопсию эндометрия осуществляли с 18-го по 23-й день менструального цикла. В группе сравнения в нашей работе исследовали только эндометрий.
Исследование было одобрено этическим комитетом НИИ акушерства, гинекологии и репродуктологии им. Д.О. Отта. Все пациенты подписали информированное согласие на исследование тканей и обработку персональных данных, включая данные историй болезни.
Коллекцию образцов тканей собирали с использованием консерванта RNA-later (ThermoFisher). Для выделения тотальной РНК применяли колонки с силикагелевой мембраной PureLink RNA Mini Kit (ThermoFisher Scientific, США) и протокол фирмы-производителя. Обратную транскрипцию РНК осуществляли с помощью набора High Capacity ReverseTranscription Kit (ThermoFisher Scientific, США) в соответствии с инструкциями производителя. Каждую реакцию проводили в общем объеме 20 мкл, содержащем 10 ммоль d-NTP и 200 Е/мл MMLUV, в присутствии олиго-dT16 (2,5 мМ) и случайных гексамеров (3 мг/мл) с добавлением от 100 до 500 нг общей РНК. ПЦР в реальном времени выполняли на приборе Real-Time PCR System 7500 (Applied Biosystems, США) с использованием расходных материалов производства ThermoFisher — TaqMan Gene Expression Assays: Hs00174860_m1 — для гена эстрогенного рецептора 1-го типа (ESR1), Hs01556702_m1 — для гена прогестеронового рецептора (PGR), Hs00174860_m1 — для гена ароматазы (CYP19A1). В качестве внутреннего контроля применяли валидированные ранее гены PUM1 и MRPL19.
Пороговые циклы (Ct) и относительный уровень экспрессии рассчитывали с помощью программы Expression Suite Software version 1.1 (ThermoFisher) по методу 2-ΔΔСt (Livak-метод). Статистическую обработку результатов проводили с помощью пакета GraphPad Prizm 6.0. Значимость различий оценивали с помощью U-критерия Манна – Уитни, анализ корреляций выполняли при помощи критерия Спирмена. Различия между показателями считали достоверными при p ≤ 0,05.
Результаты
Метод ПЦР в реальном времени (РВ-ПЦР) в комбинации с обратной транскрипцией (ОТ-ПЦР) позволил оценить уровень экспрессии генов CYP19A1 (ароматаза), гена рецептора прогестерона PGR и рецептора эстрогена ESR1 в исследуемых тканях.
Показатели уровня экспрессии исследуемых генов имели сильный разброс от очень высокого уровня до практически полного отсутствия экспрессии как в эндометрии, так и в гетеротопиях больных НГЭ. В эндометрии всех пациенток группы сравнения ароматаза экспрессировалась на одинаково низком уровне, рецептор прогестерона на одинаково высоком уровне, а значительный разброс показателей наблюдался только для гена рецептора эстрогена ESR1 (рис. 1).
Рис. 1. Экспрессия генов CYP19A1, ESR1 и PGRв эутопическом эндометрии пациенток без наружного генитального эндометриоза (а), с наружным генитальным эндометриозом (b) и в эндометриоидных гетеротопиях (c)
Fig. 1. CYP19A1, ESR1 and PGR gene expression in the eutopic endometrium of patients without (a) and with endometriosis (b) and in endometrioid lesions (c)
При анализе гена CYP19A1 было определено, что его экспрессия достоверно повышена в материале перитонеальных эндометриоидных гетеротопий по сравнению с эутопическим эндометрием женщин с НГЭ и без этой патологии (р = 0,028 и р = 0,0001 соответственно). Экспрессия ароматазы в эутопическом эндометрии пациенток с НГЭ также была несколько выше, чем у женщин группы сравнения, однако эти отличия не были достоверны (р = 0,145). Мы не выявили достоверных отличий по уровню экспрессии генов рецептора эстрогена ESR1 и рецептора прогестерона PGR (р = 0,39 и р = 0,54 соответственно) в исследуемых образцах эндометрия пациентов обеих групп. Отсутствовали также достоверные различия экспрессии этих генов между образцами эктопического и эутопического эндометрия.
Для 15 больных НГЭ была проанализирована корреляция уровня экспрессии исследуемых генов в парных образцах ткани эутопического эндометрия и эндометриоидных гетеротопий (рис. 2). Мы обнаружили положительную корреляцию уровня экспрессии ароматазы и рецептора прогестерона PGR в эндометрии и эндометриоидных гетеротопиях (r = 0,83, р= 0,0001 и r = 0,72, р = 0,0035 соответственно). Корреляция между показателями экспрессии гена рецептора эстрогена ESR1 в этих тканях отсутствовала.
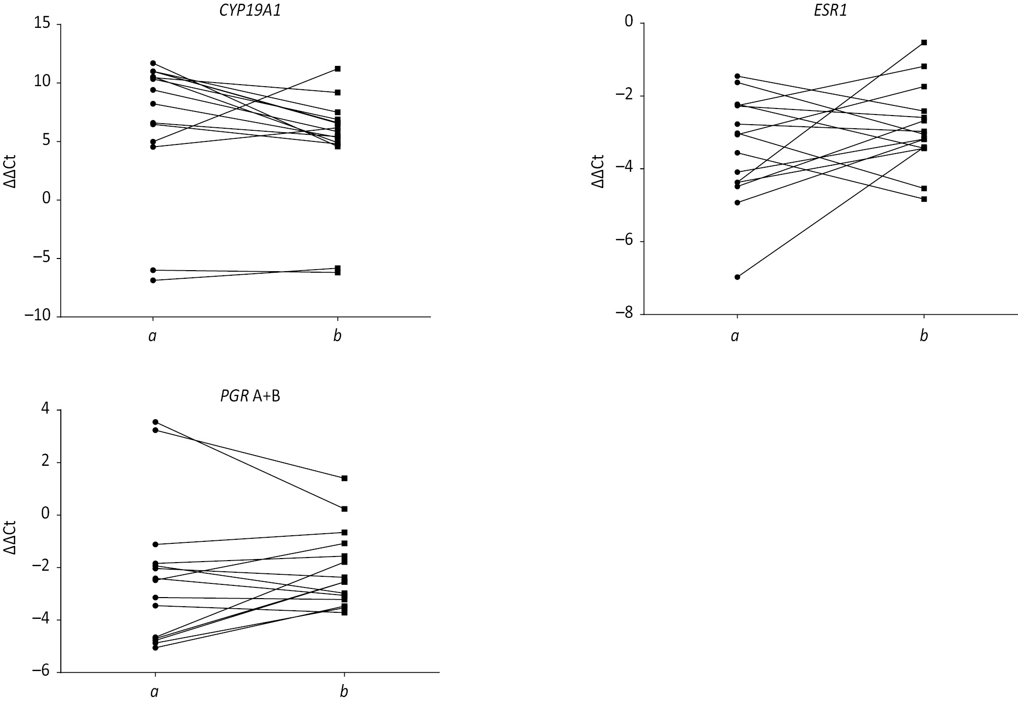
Рис. 2. Парный анализ экспрессии генов CYP19A1,ESR1 и PGR в эутопическом эндометрии больных с наружным генитальным эндометриозом (a) и в эндометриоидных гетеротопиях (b)
Fig. 2. Differential CYP19A1, ESR1 and PGR gene expression analysis for paired samples of the eutopic endometrium from patients with endometriosis (a) and of endometrioid lesions (b)
Обсуждение
В литературе можно найти упоминание о существовании по крайней мере 11 различных концепций, объясняющих возникновение данного заболевания. Большинство авторов, занимающихся проблемой эндометриоза, признает мультифакторную теорию возникновения заболевания [1, 4]. Ряд исследователей отводит ведущую роль в развитии эндометриоза гиперэкспрессии ароматазы [7, 9–11], приводящей к локальной гиперэстрогении. В эндометрии здоровых женщин с регулярным менструальным циклом без гинекологических заболеваний экспрессия ароматазы не определяется [4, 9]. В некоторых случаях гиперэкспрессия ароматазы в эутопическом эндометрии ассоциируется с дисменореей и бесплодием независимо от наличия эндометриоза. При эндометриозе, по данным литературы, присутствие ароматазы CYP19A1 было обнаружено в 70–80 % образцов эндометрия как в пролиферативную, так и в секреторную фазу менструального цикла [10, 11]. При НГЭ повышенная экспрессия ароматазы положительно коррелирует с тяжестью дисменореи и распространенностью патологического процесса [9, 12, 13]. Тем не менее в некоторых исследованиях не было подтверждено наличия продукта гена CYP19A1 и выявлена лишь незначительная экспрессия мРНК ароматазы в эутопическом и эктопическом эндометрии больных эндометриозом [14].
По нашим данным, лишь незначительная часть (3 из 22) пациенток с НГЭ имела резко повышенную (более чем в 500 раз) экспрессию гена CYP19A1 в эутопическом эндометрии, при этом у двух пациенток диагностировали III и IV степени заболевания. У третьей пациентки с чрезвычайно высокой экспрессией гена ароматазы установлен диагноз НГЭ II степени, рецидив. В анамнезе у пациентки — лапароскопия, медикаментозное лечение эндометриоза, роды, рецидив заболевания отмечен через 10 лет. В эндометрии четырех пациенток с НГЭ (II и III степеней) было зарегистрировано умеренное повышение (в 10–20 раз) экспрессии ароматазы, у остальных 14 больных НГЭ (I–IV степеней заболевания) экспрессия гена ароматазы практически отсутствовала как в эндометрии, так и в гетеротопиях. Таким образом, по полученным нами данным, уровень экспрессии гена CYP19A1 может быть как в разной степени повышен, так и оставаться неизменным более чем у половины пациентов. Для достоверного анализа возможной корреляции степени тяжести эндометриоза и уровня экспрессии ароматазы необходимы дополнительные исследования на большей выборке пациентов.
Парный анализ показал положительную корреляцию (r = 0,83) между образцами эндометрия и эндометриоидными гетеротопиями по гену CYP19A1.
Стероидные гормоны яичников, эстроген и прогестерон оказывают значительное влияние на физиологию эндометриоза. Изучению рецепторов стероидных гормонов посвящено довольно много работ, однако сведения об экспрессии рецепторов эстрогенов и прогестерона при эндометриозе крайне противоречивы [4, 13]. Многочисленные исследования показали, что эстрогены стимулируют развитие данной патологии, в то время как прогестерон способствует уменьшению тяжести и подавляет прогрессирование болезни [1, 4, 15–17]. Рецепторы эстрогенов и прогестерона играют определяющую роль в действии стероидных гормонов на клетки-мишени. Резистентность очагов эндометриоза к действию гормональных препаратов может быть объяснена сниженной или измененной чувствительностью рецепторов стероидных гормонов в эктопических очагах [16–18]. Считается, что при эндометриозе высокие уровни эстрадиола и эстрогеновых рецепторов стимулируют пролиферацию эндометрия, изменяют нормальный характер генной экспрессии и снижают рецептивность эндометрия [17, 19].
В то же время другие авторы не выявили отличий в экспрессии рецепторов эстрогенов и прогестерона в эутопическом эндометрии у больных эндометриозом по сравнению со здоровыми женщинами [17, 20]. Наконец, ряд исследователей полагает, что мозаичность экспрессии рецепторов к стероидным гормонам в очагах эндометриоза, хроническое, волнообразное течение заболевания свидетельствуют в пользу мнения об автономности его существования и способности к саморегуляции [21].
Существует две формы рецепторов эстрогенов — ER-a (ген ESR1) и ER-b (ген ESR2). Известно, что ER-а имеют более высокую аффинность к эстрогенам и представляют собой доминирующую форму рецепторов в нормальном эндометрии. Нарушение функции или структуры одного или обоих рецепторов неизбежно будет препятствовать взаимодействию с прогестероном, что приведет к последующему развитию устойчивости к прогестерону и дисбалансу эстрогенов [13]. Действие прогестерона в клетках эндометрия опосредуется двумя изоформами рецептора прогестерона — PR-A и PR-B, которые являются продуктами альтернативного сплайсинга гена PGR. Клетки-мишени прогестерона экспрессируют PR-A и PR-B в различном соотношении в зависимости от типа ткани и патологического состояния [16–18, 20, 22]. R. Burney et al. отметили увеличение экспрессии гена PGR у женщин с эндометриозом средней и тяжелой стадий [23].
Мы исследовали экспрессию гена ESR1, кодирующего ER-a, а также суммарную экспрессию гена PGR, кодирующего А- и В-изоформы рецептора прогестерона. Мы не обнаружили достоверных различий в экспрессии генов ESR1 и PGR в эндометриоидных гетеротопиях и эутопическом эндометрии у пациенток с НГЭ и у женщин группы сравнения. При этом была выявлена высокая вариабельность экспрессии гена ESR1 как в группе больных НГЭ (ткань эндометрия и гетеротопии), так и в группе сравнения. Следует отметить, что в группу сравнения вошли пациентки, обратившиеся в медицинское учреждение по поводу бесплодия, причина которого на основании эндоскопического обследования окончательно установлена не была. Интересно, что ряд авторов отмечает увеличение экспрессии рецептора эстрогенов и положительную корреляцию с бесплодием у женщин независимо от наличия эндометриоза [2, 19, 20]. В нашем исследовании у 2 из 22 пациенток с эндометриозом уровень экспрессии гена ESR1 был повышен (в 10–15 раз по сравнению со средним) (см. рис. 1).
Для гена PGR был также отмечен значительный разброс показателей экспрессии в гетеротопиях и эндометрии пациенток с НГЭ, в то время как у женщин группы сравнения экспрессия данного гена в эндометрии имела сходные характеристики (см. рис. 1). У трех пациенток с эндометриозом (II ст. — рецидив НГЭ, III и IV степени) экспрессия гена PGRв эндометрии была снижена примерно в 50 раз по сравнению со средним уровнем, в то время как уровень экспрессии этого гена еще у 7 больных НГЭ превышал в 4–10 раз аналогичные средние показатели для эндометрия группы сравнения. Для достоверного анализа возможной корреляции бесплодия, степени тяжести эндометриоза и уровня экспрессии генов ESR1 и PGR необходимы дополнительные исследования на большей выборке пациентов.
Парный анализ обнаружил положительную корреляцию (r = 0,72, р = 0,0035) уровня экспрессии гена рецептора прогестерона PGR между эутопическим и эктопическим эндометрием у женщин с НГЭ.
Положительная корреляция уровня экспрессии гена ароматазы и рецептора прогестерона PGR при парном анализе эутопического и эктопического эндометрия у женщин с НГЭ согласуется с гипотезой развития НГЭ как заболевания эндометрия, обусловленного функциональными изменениями в нем до начала развития болезни вне полости матки [12, 24].
Выводы
Полученные данные подтверждают высокую гетерогенность уровня экспрессии генов CYP19A1, ESR1 и PGR в эндометрии и перитонеальных очагах у пациенток с НГЭ. Эти сведения указывают на необходимость индивидуального подхода к назначению терапии аналогами эстрогенов, прогестинов и ингибиторами ароматазы, поскольку очевидно, что эффект от лечения будет зависеть в первую очередь от наличия терапевтической мишени у конкретной пациентки.
Другой очевидный вывод — отсутствие единой типичной картины экспрессии данных генов, характерной для эндометриоза, что свидетельствует о гетерогенности данного заболевания и необходимости разработки молекулярной классификации этой распространенной патологии.
About the authors
Natalia Yu. Shved
The Research Institute of Obstetrics, Gynecology, and Reproductology named after D.O. Ott
Author for correspondence.
Email: natashved@mail.ru
ORCID iD: 0000-0001-6354-9226
SPIN-code: 8276-1720
PhD, Researcher. The Laboratory for Prenatal Diagnosis of Congenital and Hereditary Diseases
Russian Federation, Saint PetersburgOlga V. Malysheva
The Research Institute of Obstetrics, Gynecology, and Reproductology named after D.O. Ott
Email: omal99@mail.ru
ORCID iD: 0000-0002-8626-5071
SPIN-code: 1740-2694
PhD, Senior Researcher. The Laboratory for Prenatal Diagnosis of Congenital and Hereditary Diseases
Russian Federation, Saint PetersburgNatalia S. Osinovskaya
The Research Institute of Obstetrics, Gynecology, and Reproductology named after D.O. Ott
Email: natosinovskaya@mail.ru
ORCID iD: 0000-0001-7831-9327
SPIN-code: 3190-2307
PhD, Senior Researcher. The Laboratory for Prenatal Diagnosis of Congenital and Hereditary Diseases
Saint PetersburgArseniy S. Molotkov
The Research Institute of Obstetrics, Gynecology, and Reproductology named after D.O. Ott
Email: arseny.molotkov@gmail.com
ORCID iD: 0000-0003-3433-3092
SPIN-code: 6359-6472
MD, PhD, Senior Researcher. The Department of Gynecology with the Operating Unit
Saint PetersburgAnna A. Tsypurdeyeva
The Research Institute of Obstetrics, Gynecology, and Reproductology named after D.O. Ott
Email: tsypurdeeva@mail.ru
ORCID iD: 0000-0001-7774-2094
SPIN-code: 5208-9707
MD, PhD, the Head of the Department of Gynecology with the Operating Unit
Saint PetersburgMaria I. Yarmolinskaya
The Research Institute of Obstetrics, Gynecology, and Reproductology named after D.O. Ott
Email: m.yarmolinskaia@gmail.com
ORCID iD: 0000-0002-6551-4147
SPIN-code: 3686-3605
MD, PhD, DSci (Medicine), Professor of the Russian Academy of Sciences, the Head of the Department of Endocrinology of Reproduction, the Head of the Diagnostics and Treatment of Endometriosis Center
Saint PetersburgVladislav S. Baranov
The Research Institute of Obstetrics, Gynecology, and Reproductology named after D.O. Ott
Email: baranov@vb2475.spb.edu
ORCID iD: 0000-0002-6518-1207
SPIN-code: 9196-7297
MD, PhD, DSci (Medicine), Professor, Corresponding Member of the Russian Academy of Sciences, Honoured Scholar of the Russian Federation, the Head of the Laboratory for Prenatal Diagnosis of Congenital and Hereditary Diseases
Saint PetersburgReferences
- Баскаков В.П., Цвелев Ю.В., Кира Е.Ф. Эндометриоидная болезнь. — СПб.: Н-Л, 2002. — 452 с. [Baskakov VP, Tsvelev YV, Kira EF. Endometrioidnaya bolezn’. Saint-Petersburg: N-L; 2002. (In Russ.)]
- Бурлев В.А., Ильясова Н.А. Профиль гормонов и экспрессия рецепторов эстрогенов и прогестерона в эндометрии у больных с эндометриозом и бесплодием на фоне лечения // Проблемы репродукции. — 2016. — T. 22. — № 4. — C. 66–75. [Burlev VA, Ilyasova NA. Sex hormone levels and the nucleons isoforms expression of estrogen and progesterone receptors in eutopic endometrium of patients with peritoneal form endometriosis and infertility. Modern reproductive technologies. 2016;22(4):66-75. (In Russ.)]. https://doi.org/10.17116/repro201622466-75.
- Савицкий Г.А. Роль локальной гиперэстрадиолемии в патогенезе возникновения и роста миомы матки // Журнал акушерства и женских болезней. — 2009. — T. 58. — № 4. — C. 79–92. [Savitsky GA. Role local hyperestradiolemia in patogenesis occurrence and growth of a myoma of a uterus. Journal of Obstetrics and Women’s Diseases. 2009;58(4):79-92. (In Russ.)]
- Ярмолинская М.И., Айламазян Э.К. Генитальный эндометриоз. Различные грани проблемы. — СПб.: Эко-Вектор, 2017. — 615 с. [Yarmolinskaya MI, Aylamazyan EK. Genital’nyy endometrioz. Razlichnye grani problemy. Saint Petersburg: Eko-Vektor; 2017. 615 p. (In Russ.)]
- Ярмолинская М.И., Молотков А.С., Беженарь В.Ф., Кветной И.М. Эффективность ингибиторов ароматазы в комбинированном лечении наружного генитального эндометриоза // Архив акушерства и гинекологии им. В.Ф. Снегирева. — 2014. — Т. 1. — № 1. — С. 36–40. [Yarmolinskaya MI, Molotkov AS, Bezhenar VF, Kvetnoi IM. Efficiency of aromatase inhibitors in combined therapy for external genital endometriosis. Arkhiv akusherstva i ginekologii im. V.F. Snegireva. 2014;1(1):36-40. (In Russ.)]
- Bulun SE, Gurates B, Fang Z, et al. Mechanisms of excessive estrogen formation in endometriosis. J Reprod Immunol. 2002;55(1-2):21-33. https://doi.org/10.1016/s0165-0378(01)00132-2.
- Bulun SE, Fang Z, Imir G, et al. Aromatase and endometriosis. Semin Reprod Med. 2004;22(1):45-50. https://doi.org/10.1055/s-2004-823026.
- Каверина Н.В., Уласов И.В., Фаворская И.А., и др. Влияние метилирования промотора Kiss1 на подавление экспрессии гена в клетках рака молочной железы и его метастазов в головном мозге // Вестник РОНЦ им. Н.Н. Блохина РАМН. — 2011. — Т. 22. — № 4. — C. 17–23. [Kaverina NV, Ulasov IV, Favorskaya IA, et al. The effect of kiss1 promotor methylation on downregulation of gene expression in cells of breast cancer and cerebral metastases from breast cancer. Herald of N.N. Blokhin Cancer Research Center RAMS. 2011;22(4):17-23. (In Russ.)]
- Kitawaki J, Kusuki I, Koshiba H, et al. Detection of aromatase cytochrome P-450 in endometrial biopsy specimens as a diagnostic test for endometriosis. Fertil Steril. 1999;72(6):1100-1106. https://doi.org/10.1016/s0015-0282(99)00424-0.
- Адамян Л.В., Сонова М.М., Логинова О.Н., Арсланян К.Н. Роль ароматазы в развитии генитального эндометриоза // Акушерство. Гинекология. Репродукция. — 2016. — Т. 10. — № 4. — С. 39–48. [Adamyan LV, Sonova MM, Loginova ON, Arslanyan KN. The role of aromatase in the development of endometriosis. Akusherstvo. Ginekologiya. Reproduktsiya. 2016;10(4):39-48. (In Russ.)]. https://doi.org/10.17749/2313-7347.2016.10.4.039-048.
- Velasco I. Aromatase expression in endometriotic tissues and cell cultures of patients with endometriosis. Mol Hum Reprod. 2006;12(6):377-381. https://doi.org/10.1093/molehr/gal041.
- Maia H, Jr., Haddad C, Casoy J. Correlation between aromatase expression in the eutopic endometrium of symptomatic patients and the presence of endometriosis. Int J Womens Health. 2012;4:61-65. https://doi.org/10.2147/IJWH.S29154.
- Колотовкина А.В., Калинина Е.А., Коган Е.А. Морфофункциональные особенности эндометрия у больных эндометриозассоциированным бесплодием (обзор литературы) // Consilium Medicum. — 2012. — Т. 14. — № 4. — С. 74–79. [Kolotovkina AV, Kalinina EA, Kogan EA. Reproduktivnoe zdorov’e zhenshchiny kak kriteriy bioekologicheskoy diagnostiki i kontrolya okruzhayushchey sredy. Consilium Medicum. 2012;14(4):74-79. (In Russ.)]
- Colette S, Lousse JC, Defrere S, et al. Absence of aromatase protein and mRNA expression in endometriosis. Hum Reprod. 2009;24(9):2133-2141. https://doi.org/10.1093/humrep/dep199.
- Bulun SE, Zeitoun KM, Takayama K, Sasano H. Estrogen biosynthesis in endometriosis: molecular basis and clinical relevance. J Mol Endocrinol. 2000:35-42. https://doi.org/10.1677/jme.0.0250035.
- Bulun SE, Cheng YH, Yin P, et al. Progesterone resistance in endometriosis: link to failure to metabolize estradiol. Mol Cell Endocrinol. 2006;248(1-2):94-103. https://doi.org/10.1016/j.mce.2005.11.041.
- Konings G, Brentjens L, Delvoux B, et al. Intracrine Regulation of Estrogen and Other Sex Steroid Levels in Endometrium and Non-gynecological Tissues; Pathology, Physiology, and Drug Discovery. Front Pharmacol. 2018;9:940. https://doi.org/10.3389/fphar.2018.00940.
- Flores VA, Vanhie A, Dang T, Taylor HS. Progesterone receptor status predicts response to progestin therapy in endometriosis. J Clin Endocrinol Metab. 2018;103(12):4561-4568. https://doi.org/10.1210/jc.2018-01227.
- Бессмертная B.C., Самойлов М.В., Бабиченко Н.И., и др. Рецепторы к эстрогенам и прогестерону в эндометрии женщин при бесплодии // Вестник Российского университета дружбы народов. Серия «Медицина». — 2007. — № 2. — С. 48–52. [Bessmertnaya VS, Samoylov MV, Babichenko II, et al. Estrogens and progesterone receptors of the women endometrium in infertility. Vestnik Rossiyskogo universiteta druzhby narodov. Seryya “Meditsinaˮ. 2007;(2):48-52. (In Russ.)]
- Bedaiwy MA, Dahoud W, Skomorovska-Prokvolit Y, et al. Abundance and localization of progesterone receptor isoforms in endometrium in women with and without endometriosis and in peritoneal and ovarian endometriotic implants. Reprod Sci. 2015;22(9):1153-1161. https://doi.org/10.1177/1933719115585145.
- Полякова В.О., Бенберин В.В. Клиническая молекулярная морфология. Методология оптимизации диагностики патологии женской репродуктивной системы. — СПб., 2014. — 88 с. [Polyakova VO, Benberin VV. Klinicheskaya molekulyarnaya morfologiya. Metodologiya optimizatsii diagnostiki patologii zhenskoy reproduktivnoy sistemy. Saint Petersburg; 2014. 88 p. (In Russ.)]
- Маркарьян И.В., Ермолова Н.В., Друккер Н.А., и др. Морфологическое обоснование патогенетической терапии наружного генитального эндометриоза // Журнал акушерства и женских болезней. — 2016. — Т. 65. — № 6. — C. 100–103. [Markar’yan IV, Yermolova NV, Drukker NA, et al. Morphological substantiation of pathogenetic therapy of external genital endometriosis. Journal of Obstetrics and Women’s Diseases. 2016;65(6):100-103. (In Russ.)]. https://doi.org/10.17816/JOWD656100-103.
- Burney RO, Talbi S, Hamilton AE, et al. Gene expression analysis of endometrium reveals progesterone resistance and candidate susceptibility genes in women with endometriosis. Endocrinology. 2007;148(8):3814-3826. https://doi.org/10.1210/en.2006-1692.
- Михнина Е.А., Давыдова Н.И., Калинина Н.М., Эллиниди В.Н. Гормональные и иммунологические нарушения в формировании патологии эндометрия у женщин с наружным генитальным эндометриозом // Журнал акушерства и женских болезней. — 2006. — Т. 55. — № 4. — С. 87–100. [Mikhnina EA, Davidova NI, Kalinina NM, Ellinidi VN. Hormonal and immune changes in formation of endometrium pathology in women witexternal genital endometriosis. Journal of Obstetrics and Women’s Diseases. 2006;55(4):87-100. (In Russ.)]
Supplementary files





