Принципы лечения внутрипеченочного холестаза беременных
- Авторы: Жесткова Н.В.1,2, Айламазян Э.К.1,2,3, Кузьминых Т.У.1, Марченко Н.В.1,4
-
Учреждения:
- Санкт-Петербургский государственный университет
- Научно-исследовательский институт акушерства, гинекологии и репродуктологии им. Д.О. Отта
- Первый Санкт-Петербургский государственный медицинский университет им. акад. И.П. Павлова
- Российский научный центр радиологии и хирургических технологий им. акад. А.М. Гранова
- Выпуск: Том 72, № 2 (2023)
- Страницы: 31-38
- Раздел: Оригинальные исследования
- Статья получена: 10.03.2023
- Статья одобрена: 14.03.2023
- Статья опубликована: 18.05.2023
- URL: https://journals.eco-vector.com/jowd/article/view/321213
- DOI: https://doi.org/10.17816/JOWD321213
- ID: 321213
Цитировать
Аннотация
Обоснование. Внутрипеченочный холестаз беременных занимает одно из ведущих мест в структуре гепатозов, ассоциированных с беременностью. Так же, как и при многих других заболеваниях, дебютирующих в период гестации, все симптомы внутрипеченочного холестаза беременных исчезают после родоразрешения без последствий для матери в отличие, например, от острой жировой дистрофии печени. Однако фетальный прогноз на его фоне содержит риски из-за высокой частоты преждевременных родов и токсического влияния компонентов желчи на внутриутробно развивающийся плод, приводящих к перинатальным осложнениям. Особенно опасным является сочетание внутрипеченочного холестаза беременных с внутриутробной инфекцией, плацентарной недостаточностью, тяжелой преэклампсией, сахарным диабетом или другой экстрагенитальной патологией. До недавнего времени единственным правильным решением при развитии внутрипеченочного холестаза беременных считали досрочное родоразрешение. И только в последние десятилетия предпринимаются попытки терапевтической коррекции данной патологии с целью пролонгирования беременности до доношенного срока и снижения частоты перинатальных осложнений. Ощутимых результатов удалось достичь при применении препаратов урсодезоксихолевой кислоты и внедрении в акушерскую практику эфферентных методов терапии.
Цель исследования — разработать оптимальные схемы патогенетической терапии внутрипеченочного холестаза беременных с применением гепатопротекторов из группы препаратов урсодезоксихолевой кислоты, адеметионина, эссенциальных фосфолипидов и мембранного плазмафереза.
Материалы и методы. В исследование включены 150 беременных с внутрипеченочным холестазом. В I группу (n = 50) вошли беременные, получающие терапию только препаратом урсодезоксихолевой кислоты. Во II группу (n = 50) включены беременные, получающие сочетанную медикаментозную терапию препаратами урсодезоксихолевой кислоты, адеметионина, эссенциальных фосфолипидов. В III группу (n = 50) вошли беременные, получающие эфферентные методы терапии (мембранный плазмаферез) в сочетании с препаратами урсодезоксихолевой кислоты или адеметионина. Всем беременным до начала терапии определяли уровни желчных кислот в крови, общего и прямого билирубина, активность трансаминаз (аланинаминотрансферазы, аспартатаминотрансферазы). Контроль показателей крови осуществляли с частотой 1 раз в 7 дней. Всем беременным проводили контроль за состоянием плода (фетометрию, допплерометрию, кардиотокографию).
Результаты. Применение препаратов урсодезоксихолевой кислоты без сочетания с другими гепатопротекторами (в I группе) было возможно только в случаях повышения уровня желчных кислот в крови не более чем до 40 ммоль/л. Препараты адеметионина и эссенциальных фосфолипидов в качестве монотерапии были неэффективными. При уровне желчных кислот более 40 ммоль/л и повышении активности трансаминаз в 2–3 раза и более от верхней границы нормы (во II группе) наиболее эффективным было комплексное применение препаратов урсодезоксихолевой кислоты, адеметионина и эссенциальных фосфолипидов. Наиболее значимое снижение уровней желчных кислот и показателей цитолиза (трансаминаз) отмечали при применении плазмафереза в сочетании с препаратами урсодезоксихолевой кислоты или адеметионина (в III группе).
Заключение. Выбор схемы лечения зависит от уровня повышения желчных кислот и выраженности цитолитического синдрома. При повышении уровня желчных кислот до 40 ммоль/л возможно применение только препаратов урсодезоксихолевой кислоты. При уровне желчных кислот более 40 ммоль/л необходимо комплексное применение вышеуказанных гепатопротекторов. Наиболее эффективной схемой лечения является применение мембранного плазмафереза в сочетании с препаратами урсодезоксихолевой кислоты или адеметионина.
Ключевые слова
Полный текст
ОБОСНОВАНИЕ
Проблема терапевтической коррекции внутрипеченочного холестаза беременных (ВХБ) до сих пор остается чрезвычайно актуальной. Несмотря на большое количество гепатопротекторов и холеретиков далеко не во всех случаях удается купировать клинические проявления данного заболевания [1]. В настоящее время до конца не выяснены этиология и патогенез ВХБ, поэтому лечение этой патологии продолжает оставаться сложной задачей. Предприняты попытки воздействовать на основные клинико-лабораторные проявления заболевания, такие как кожный зуд, обусловленный повышенным уровнем первичных желчных кислот в крови [1].
Как известно, первичные желчные кислоты токсичны, способны легко преодолевать плацентарный барьер и накапливаться в околоплодных водах, оказывая негативное воздействие на внутриутробное состояние плода. Считается, что ВХБ имеет доброкачественное течение для матери, все симптомы полностью исчезают практически сразу после родоразрешения, но фетальный прогноз на его фоне содержит риски. По данным разных исследований, частота дистресса плода при данной патологии достигает 30 %, а риск его смерти в 2 раза выше, чем при физиологически протекающей беременности [2–4].
Негативное влияние первичных желчных кислот обусловлено их липофильностью и гидрофобностью, что оказывает разрушающее воздействие на мембрану клетки, в первую очередь, гепатоцита. В ряде экспериментальных исследований продемонстрированы токсическое воздействие первичных желчных кислот на кардиомиоциты плода, вызывающее у него аритмию, и вазоконстрикторное влияние на сосуды плаценты, приводящее к развитию гипоксии внутриутробно развивающегося потомства вплоть до его гибели [5, 6].
По вышеизложенным причинам основной концепцией в терапии ВХБ является снижение уровня первичных желчных кислот в крови, что может быть достигнуто путем выведения их из кровотока, и создание препятствия для их дальнейшего накопления.
В настоящее время эфферентные методы терапии, а именно мембранный плазмаферез, нашли широкое применение в акушерской практике. С помощью данного метода можно вывести и удалить из кровотока первичные желчные кислоты у беременных с ВХБ [7]. А применение препаратов урсодезоксихолевой кислоты (УДХК), не обладающих цитотоксичностью, обеспечивает конкурентное вытеснение первичных желчных кислот из кровотока беременных с данной патологией, препятствуя в дальнейшем их накоплению [8–10]. Использование мембранного плазмафереза и препаратов УДХК является наиболее оптимальным сочетанием медикаментозных и немедикаментозных методов лечения ВХБ, но эфферентные методы терапии не всегда доступны из-за противопоказаний или/и отсутствия должного оснащения медицинского учреждения, а также высокой себестоимости. В связи с этим возникла необходимость поиска альтернативных методов лечения, включающих комбинацию различных гепатопротекторов и холеретиков.
Авторы настоящего исследования создали экспериментальную модель гепатопатии на беременных крысах линии Wistar с целью применения препаратов УДХК, адеметионина и эссенциальных фосфолипидов [11–13]. В результате введения детергента тилоксапола у подопытных беременных крыс отмечено развитие синдромов цитолиза, холестаза и печеночно-клеточной недостаточности, что подтверждено морфологическими и лабораторными исследованиями [14, 15]. При создании данной модели поставлена основная задача проанализировать вклад каждого из применяемых гепатопротекторов в восстановление морфофункционального состояния печени подопытных крыс и устранение вышеуказанных синдромов. Препараты УДХК так же, как и препараты эссенциальных фосфолипидов, в 100 % случаев восстанавливали балочное строение и печеночную триаду (междольковую артерию, междольковую вену, междольковый желчный проток) гепатоцита, а адеметионин — лишь в 70 % случаев. Дистрофические изменения гепатоцитов в 100 % случаев были устранены препаратами адеметионина и эссенциальных фосфолипидов. При исследовании биохимических показателей крови подопытных крыс отмечено значительное снижение уровня желчных кислот при применении препаратов УДХК, а снижение показателей цитолиза, таких как активность аланинаминотрансферазы (АЛТ) и аспартатаминотрансферазы (АСТ) выявлено при применении адеметионина и эссенциальных фосфолипидов [15].
Цель исследования — разработка оптимальных схем лечения ВХБ с применением медикаментозных и немедикаментозных средств.
МАТЕРИАЛЫ И МЕТОДЫ
Обследование и лечение беременных с ВХБ проведены в условиях отделения патологии беременности и консультативно-диагностического отделения НИИ АГиР им. Д.О. Отта. С учетом данных, полученных в опыте, разделение пациенток с ВХБ по трем группам основано на уровне желчных кислот и получаемой терапии: в I группе (n = 50) в лечение включен только препарат УДХК, во II группе (n = 50) в лечение включены гепатопротекторы (препараты УДХК, адеметионин, эссенциальные фосфолипиды), в III группе (n = 50) в лечение включены эфферентные методы терапии (мембранный плазмаферез) с применением препаратов УДХК или адеметионина.
Всем беременным проводили физикальное, клинико-лабораторное обследование, ультразвуковое исследование печени и желчевыводящих путей. В обязательном порядке беременных с ВХБ консультировали терапевт (гастроэнтеролог), дерматолог, инфекционист.
Физикальное обследование включало оценку состояния кожных покровов на предмет наличия или отсутствия желтушного окрашивания и экскориаций.
Клинико-лабораторное обследование включало определение основных «индикаторов» холестаза — уровней желчных кислот, общего и прямого билирубина и цитолиза (АЛТ, АСТ).
В обследование всех беременных с ВХБ также был включен клинический анализ крови, коагулограмма, биохимический анализ крови (уровней общего белка, альбумина).
Диагноз «внутрипеченочный холестаз беременных» ставили согласно критериям, приведенным в клинических рекомендациях Минздрава России «Внутрипеченочный холестаз при беременности» 2020 г., таким как наличие кожного зуда и повышение уровня желчных кислот в крови более 10 ммоль/л. Помимо этого практически у всех беременных с ВХБ отмечено повышение уровня трансаминаз (АЛТ, АСТ), а у 20 % беременных с данной патологией — повышение уровней билирубина (общего и прямого).
В схему лечения I группы пациенток включены препараты УДХК из расчета 10–15 мг/кг/сут (максимальная доза 25 мг/кг) перорально.
В схему лечения пациенток II группы вошли:
- препараты УДХК из расчета 10–15 мг/кг/сут (с максимальной дозой 25 мг/кг) перорально;
- препараты адеметионина из расчета 10–25 мг/кг/сут (с максимальной дозой 1600 мг/сут);
- препараты эссенциальных фосфолипидов из расчета 250 мг/5мл внутривенно или 900 мг/сут.
В схему лечения III группы пациенток были включены:
- препараты УДХК из расчета 10–15 мг/кг/сут или адеметионин из расчета 400 мг на 400 мл физиологического раствора;
- мембранный плазмаферез в объеме 3–4 процедур с интервалом 1–2 дня.
Оценка изменений биохимических показателей крови (уровней желчных кислот, АЛТ, АСТ и, в случае применения плазмафереза, общего белка) осуществляли с частотой 1 раз в 7 дней. Срок лечения в среднем составил 1–3 нед.
Всем беременным с ВХБ проведены фетометрия, допплерометрическое исследование 1 раз в 2 нед., кардиотокография еженедельно.
РЕЗУЛЬТАТЫ
Группы беременных с ВХБ были сопоставимы по возрасту, этнической принадлежности, способу и сроку родоразрешения. Средний возраст беременных в I группе составил 32 (28–36) года, срок родоразрешения — 38 (37–39) нед., выявлено 70 % первородящих и 30 % повторнородящих. Во II группе отмечены средний возраст беременных 31 (27–35) год, срок родоразрешения — 37 (35–38) нед., 65 % первородящих и 35 % повторнородящих. В III группе средний возраст беременных составил 32 (29–35) года, срок родоразрешения — 38 (37–39) нед., зафиксировано 60 % первородящих и 40 % повторнородящих.
В I группе беременных с ВХБ в качестве лечения применяли только препараты УДХК. Попытка использования адеметионина или эссенциальных фосфолипидов в виде монотерапии не продемонстрировала аналогичного эффекта.
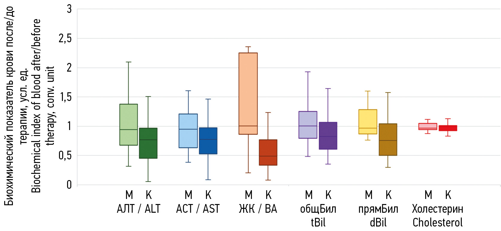
При сравнении биохимических показателей крови оценены изменения активности АЛТ, АСТ, уровней желчных кислот, общего билирубина, прямого билирубина и холестерина на фоне монотерапии одним гепатопротектором и комбинированной гепатопротективной терапии (рис. 1). Общая тенденция указывала на то, что применение комбинированной терапии более эффективно. Статистически значимые различия получены для показателей АЛТ (p = 0,015), АСТ (p = 0,011), общего билирубина (p = 0,015) и прямого билирубина (p = 0,043) и в наибольшей степени — уровня желчных кислот. Различия в уровнях холестерина до и после лечения не обнаружены (p > 0,05).
Рис. 1. Биохимические показатели крови при применении одного гепатопротектора и сочетания препаратов: М — монотерапия; K — комбинированная терапия. АЛТ — аланинаминотрансфераза; АСТ — аспартатаминотрансфераза; ЖК — желчные кислоты; общБил — общий билирубин; прямБил — прямой билирубин
Fig. 1. Biochemical parameters of blood with the use of one hepatoprotector and with their combination: M — monotherapy; K — combination therapy. ALT — alanine aminotransferase; AST — aspartate aminotransferase; BA — bile acids; tBil — total bilirubin; dBil — direct bilirubin
По данным целого ряда исследований, УДХК является препаратом первой линии в лечении ВХБ [12–14]. Применение препаратов УДХК в качестве монотерапии продемонстрировало должную эффективность при уровне желчных кислот в крови менее 40 ммоль/л и повышении активности трансаминаз (АЛТ, АСТ) не более чем в 3 раза от верхней границы нормы. На основе этих данных была сформирована I группа беременных с применением только препаратов УДХК.
При оценке уровня желчных кислот и активности АЛТ и АСТ среди пациенток, принимавших УДХК, получены значимые различия (p < 0,05) по всем трем показателям (рис. 2).
Рис. 2. Показатели желчных кислот (a), аланинаминотрансферазы (b) и аспартатаминотрансферазы (c) в крови до и после применения препаратов урсодезоксихолевой кислоты
Fig. 2. Indicators of bile acids (a), alanine aminotransferase (b), and aspartate aminotransferase (c) in the blood before and after the use of ursodeoxycholic acid preparations
В I группе беременных с ВХБ, в лечении которых применялись только препараты УДХК, в 60 % случаев отмечено снижение уровня желчных кислот до нормальных показателей, в 30 % — снижение уровня в 1,5–2 раза по сравнению с показателями до начала лечения, в 10 % — отсутствие изменений или некоторое увеличение уровня. В данной группе в 90 % случаев удалось пролонгировать беременность до доношенности, тогда как преждевременные роды составили 10 %, и не были обнаружены перинатальные осложнения (гипоксия плода, асфиксия новорожденного). Необходимо отметить, что при повышении уровня желчных кислот не более чем в 3–4 раза ВХБ имел более легкое течение.
В тех случаях, когда уровень желчных кислот поднимался более чем в 5 раз выше верхней границы нормы (≥40 ммоль/л), были разработаны схемы комплексной терапии ВХБ, включающие два варианта:
- применение препаратов УДХК, адеметионина и эссенциальных фосфолипидов в дозах, указанных ранее (II группа);
- применение эфферентных методов (мембранного плазмафереза) в сочетании с одним из гепатопротекторов (УДХК или адеметионина) (III группа).
Выбор варианта лечения ВХБ был зачастую продиктован выраженностью клинико-лабораторных показателей и сроком беременности. Необходимо учитывать, что применение эфферентных методов терапии нецелесообразно при сроке беременности более 35 нед. Это объясняется тем, что плазмаферез не является селективным методом, направленным на выведение конкретного ксенобиотика, и подразумевает удаление определенного количества плазмы со всеми входящими в ее состав компонентами. В этом случае необходимо проводить лечение только гепатопротекторами, а при отсутствии эффекта от терапии (нарастании показателей желчных кислот, АЛТ и АСТ) показано досрочное родоразрешение.
Эффективность терапии оценивали на основании изменения уровня желчных кислот и активности АЛТ и АСТ в крови, а также интенсивности кожного зуда с частотой 1 раз в неделю. При положительной динамике клинико-лабораторных показателей возможно продолжение лечения ВХБ до доношенной беременности. Оптимальным сроком родоразрешения при данной патологии являлся 38 нед. гестации. При попытке пролонгирования беременности более 38 нед. возрастает риск перинатальных осложнений (частота внутриутробной гипоксии плода, асфиксии новорожденного).
Во II группе при комплексном применении гепатопротекторов не отмечено снижение уровня желчных кислот до нормальных показателей. В 55 % случаев выявлено снижение показателей желчных кислот, АЛТ и АСТ в 1,5–2 раза по сравнению с данными до начала лечения, в 35 % случаев вышеуказанные показатели не изменялись или их снижение было кратковременным, в 10 % случаев показатели повышались. В данной группе у 10 % пациенток возникала необходимость досрочного родоразрешения из-за нарастания показателей холестаза и цитолиза, в 10 % случаев отмечены спонтанные преждевременные роды. Перинатальные осложнения в этой группе составили 20 %, среди них ведущее место занимала внутриутробная гипоксия плода.
Однако при комплексном лечении гепатопротекторами выявлен кратковременный эффект от терапии. Через 7–14 дней уровни желчных кислот и активность трансаминаз (АЛТ, АСТ) повышались снова. В данном случае во избежание перинатальных осложнений целесообразным было досрочное родоразрешение.
Необходимо отметить, что в группе беременных с ВХБ, получающих эфферентные методы терапии, зафиксировано наиболее выраженное снижение показателей «холестаза» по сравнению с данными в группе беременных, получающих только гепатопротекторы.
При оценке различий по уровню желчных кислот и активности АЛТ и АСТ среди пациенток, получавших лечение плазмаферезом, получены значимые различия (p < 0,05) по всем трем показателям (рис. 3).
Рис. 3. Показатели желчных кислот (a), аланинаминотрансферазы (b) и аспартатаминотрансферазы (c) в крови до и после плазмафереза
Fig. 3. Indicators of bile acids (a), alanine aminotransferase (b), and aspartate aminotransferase (c) in the blood before and after plasmapheresis
В III группе с применением плазмафереза в 70 % случаев отмечено снижение уровня желчных кислот и активности трансаминаз (АЛТ, АСТ) в 2–3 раза по сравнению с показателями до начала лечения, в 25 % случаев показатели снижались до нормальных значений и в 5 % случаев показатели холестаза и цитолиза не снижались, оставаясь на прежнем уровне. Частота невынашивания составила 5 %, перинатальных осложнений — 10 %. При применении мембранного плазмафереза обнаружено выраженное и стойкое снижение уровня желчных кислот, а применение препаратов УДХК препятствовало их накоплению, что позволило пролонгировать беременность до доношенности.
Анализ исходов беременности при ВХБ показал, что данное заболевание не было изолированным и сопровождалось различными акушерскими и экстрагенитальными патологиями, также оказывающими влияние на исход беременности. По этой причине не представляется возможным до конца оценить непосредственное влияние того или иного гепатопротектора, в том числе эфферентных методов терапии, на исход беременности при данной патологии. Однако нельзя не отметить, что в группе беременных, получающих гепатопротекторы в сочетании с плазмаферезом, в 2 раза меньше отмечали синдром дыхательных расстройств и церебральную ишемию у новорожденных. Приоритетной целью терапии ВХБ было устранение негативного влияния токсичных желчных кислот на внутриутробное состояние плода и гепатобилиарную систему матери.
ВЫВОДЫ
- При выборе средств и метода терапии ВХБ необходимо, в первую очередь, учитывать уровень желчных кислот. При уровне желчных кислот до 40 ммоль/л возможно применение препаратов УДХК в качестве монотерапии, а при уровне более 40 ммоль/л — необходимо комплексное применение гепатопротекторов, включающих препараты УДХК, адеметионина и эссенциальных фосфолипидов по представленным схемам.
- Наиболее эффективной схемой лечения является сочетание плазмафереза с препаратами УДХК и/или адеметионином. В группе пациенток, получающих такую терапию, в 40 % случаев отмечено снижение уровня желчных кислот и активности трансаминаз до нормальных значений.
- При положительном эффекте от терапии ВХБ оптимальный срок родоразрешения — 38 нед. беременности.
- Патогномоничным критерием отсутствия эффекта от терапии ВХБ является нарастание уровня желчных кислот, причем его значение более 40 ммоль/л сопряжено с двукратным увеличением риска развития перинатальных осложнений.
ДОПОЛНИТЕЛЬНАЯ ИНФОРМАЦИЯ
Источник финансирования. Исследование выполнено без использования спонсорских средств и финансового обеспечения.
Конфликт интересов. Авторы заявляют об отсутствии конфликта интересов.
Вклад авторов. Н.В. Жесткова — концепция и дизайн статьи, сбор и обработка материала, написание текста, редактирование; Э.К. Айламазян, Т.У. Кузьминых, Н.В. Марченко — редактирование статьи.
Все авторы внесли существенный вклад в проведение исследования и подготовку статьи, пpoчли и одобрили финальную версию перед публикацией.
ADDITIONAL INFORMATION
Funding. The study was carried out without the use of sponsorship funds and financial support.
Conflict of interest. The authors state that there is no conflict of interest.
Author contributions. N.V. Zhestkova — the concept and design of the article, the collection and processing of material, writing the text, editing; E.K. Aylamazyan, T.U. Kuzminykh, N.V. Marchenko — editing the article.
All authors made a significant contribution to the study and preparation of the article, read and approved the final version before its publication.
Об авторах
Наталья Владимировна Жесткова
Санкт-Петербургский государственный университет; Научно-исследовательский институт акушерства, гинекологии и репродуктологии им. Д.О. Отта
Автор, ответственный за переписку.
Email: zhestkova@me.com
ORCID iD: 0000-0001-8078-3524
SPIN-код: 6014-8153
Scopus Author ID: 57175940900
ResearcherId: N-5303-2015
канд. мед. наук
Россия, Санкт-Петербург; Санкт-ПетербургЭдуард Карпович Айламазян
Санкт-Петербургский государственный университет; Научно-исследовательский институт акушерства, гинекологии и репродуктологии им. Д.О. Отта; Первый Санкт-Петербургский государственный медицинский университет им. акад. И.П. Павлова
Email: ailamazyan@icloud.com
ORCID iD: 0000-0002-9848-0860
SPIN-код: 9911-1160
Scopus Author ID: 6506821393
ResearcherId: G-2219-2014
д-р мед. наук, профессор, засл. деят. науки РФ, академик РАН
Россия, Санкт-Петербург; Санкт-Петербург; Санкт-ПетербургТатьяна Ульяновна Кузьминых
Санкт-Петербургский государственный университет
Email: 9260@mail.ru
ORCID iD: 0000-0002-6136-5324
SPIN-код: 7747-6724
Scopus Author ID: 56719818800
ResearcherId: U-8950-2017
д-р мед. наук, доцент
Россия, Санкт-ПетербургНаталья Валерьевна Марченко
Санкт-Петербургский государственный университет; Российский научный центр радиологии и хирургических технологий им. акад. А.М. Гранова
Email: dr.marchenko@gmail.com
ORCID iD: 0000-0002-6738-6417
SPIN-код: 7262-1746
Scopus Author ID: 55342430200
ResearcherId: O-8777-2014
канд. мед. наук
Россия, Санкт-Петербург; Санкт-ПетербургСписок литературы
- Линева О.И., Осадченко Е.Ю., Нестеренко С.А. и др. Клиника и лечение холестатического гепатоза // Акушерство и гинекология. 2000. № 2. С. 15–17.
- Линева О.И., Романова Е.Ю., Желнова Т.И. Холестатический гепатоз беременных. Самара: Перспектива, 2002.
- Маев И.В., Андреев Д.Н., Дичева Д.Т., и др. Внутрипеченочный холестаз беременных: современное состояние проблемы // Клиническая медицина. 2015. Т. 93. № 6. С. 25–30.
- Lammert F., Marschall H.U., Glantz A., et al. Intrahepatic cholestasis of pregnancy: molecular pathogenesis, diagnosis and management // J. Hepatol. 2000. Vol. 33. No. 6. P. 1012–1021. doi: 10.1016/s0168-8278(00)80139-7
- Wong L.F., Shallow H., O’Connell M.P. Comparative study on the outcome of obstetric cholestasis // J. Matern. Fetal. Neonatal. Med. 2008. Vol. 21. No. 5. P. 327–330. doi: 10.1080/14767050802034446
- Brouwers L., Koster M.P., Page-Christiaens G.C., et al. Intrahepatic cholestasis of pregnancy: maternal and fetal outcomes associated with elevated bile acid levels // Am. J. Obstet. Gynecol. 2015. Vol. 212. No. 1. P. 100.e1–100.e1007. doi: 10.1016/j.ajog.2014.07.026
- Воинов В.А., Жесткова Н.В., Карчевский К.С., и др. Мембранный плазмаферез при холестатическом гепатозе беременных // Бюллетень Федерального центра сердца, крови и эндокринологии им. В.А. Алмазова. (Здоровая женщина — здоровый новорожденный: тезисы VIII междисциплинарной конференции по акушерству, перинатологии, неонатологии, посвященой 200-летию со дня рождения Александра Александровича Китера (1813–1879). 15–16 ноября 2013 г.). 2013. Прилож. № 2. С. 29.
- Pusl T., Beuers U. Intrahepatic cholestasis of pregnancy // Orphanet. J. Rare Dis. 2007. Vol. 2. P. 26. doi: 10.1186/1750-1172-2-26
- Beuers U., Pusl T. Intrahepatic cholestasis of pregnancy – a heterogeneous group of pregnancy-related disorders? // Hepatology. 2006. Vol. 43. No. 4. P. 647–649. doi: 10.1002/hep.21156
- Glantz A., Marschall H.U., Mattsson L.A. Intrahepatic cholestasis of pregnancy: Relationships between bile acid levels and fetal complication rates // Hepatology. 2004. Vol. 40. No. 2. P. 467–474. doi: 10.1002/hep.20336
- Kondrackiene J., Beuers U., Kupcinskas L. Efficacy and safety of ursodeoxycholic acid versus cholestyramine in intrahepatic cholestasis of pregnancy // Gastroenterology. 2005. Vol. 129. No. 3. P. 894–901. doi: 10.1053/j.gastro.2005.06.019
- Glantz A., Marschall H.U., Lammert F., et al. Intrahepatic cholestasis of pregnancy: a randomized controlled trial comparing dexamethasone and ursodeoxycholic acid // Hepatology. 2005;42(6):1399–1405. doi: 10.1002/hep.20952
- Zapata R., Sandoval L., Palma J., et al. Ursodeoxycholic acid in the treatment of intrahepatic cholestasis of pregnancy. A 12-year experience // Liver Int. 2005;25(3):548–554. doi: 10.1111/j.1478-3231.2004.0996.x
- Патент РФ на изобретение № 2 610536 / 13.02.2017 Бюл. № 5. Петросян М.А., Жесткова Н.В., Балашова Н.Н., и др. Способ моделирования острого жирового гепатоза беременных [дата обращения 12.02.2023]. Доступ по ссылке: https://patents.s3.yandex.net/RU2610536C1_20170213.pdf
- Петросян М.А., Жесткова Н.В., Тумасова Ж.Н., и др. Влияние препаратов S-аденозилметионина и эссенциальных фосфолипидов на биохимические показатели сыворотки крови крыс в модели острого поражения печени на позднем сроке беременности // Обзоры по клинической фармакологии и лекарственной терапии. 2021. Т. 19. № 1. C. 65–70. doi: 10.17816/RCF19165-70
Дополнительные файлы






