Bone mineral density and risk factors of osteoporosis in premenopausal Saint Petersburg women's
- Authors: Zazerskaya I.E.1, Thursina R.K.2, Gavrish N.A.2
-
Affiliations:
- State Medical University named after V.I. Academician I.P. Pavlova
- Central medical unit number 122
- Issue: Vol 54, No 1 (2005)
- Pages: 103-112
- Section: Environment and woman reproduction health
- Submitted: 01.06.2005
- Accepted: 02.10.2021
- Published: 01.06.2005
- URL: https://journals.eco-vector.com/jowd/article/view/81600
- DOI: https://doi.org/10.17816/JOWD81600
- ID: 81600
Cite item
Full Text
Abstract
In article outcomes of a research of 96 premenopausal women with continuous menstrual cycle and any diseases. BMD screened for all patients in hip, vertebrals and arm by DEXA Hologic QDR 4500 Elite. Osteopenia reveled in 41,7% women in lumbal spine. The main risk factors of low BMD are: low level of progesterone, anovulation, slow physical activity, low weight.
Full Text
Известно, что с увеличением возраста происходит снижение костной массы. Крайне важным является выяснение факторов риска развития пременопаузальных потерь костной массы. Целью настоящего исследования явилось определение минеральной плотности костной ткани (МПКТ) у здоровых женщин в пременопаузе, проживающих в Санкт-Петербурге. Мы поставили задачи выяснения характера распределения минеральной плотности в субрегионах скелета у женщин данного возраста и выявления у них факторов риска развития остеопороза. Обследовано 96 женщин в возрасте от 45 до 50 лет (средний возраст 47,9 + 0,1 лет) в поликлинике ЦМСЧ № 122 с 2001 по 2003 годы. В исследование включены женщины, у которых на основании клинико-лабораторного обследования не выявлено признаков хронических заболеваний, не работающие на вредных производствах и регулярно (1 раз в 12 месяцев) наблюдающиеся врачами поликлиники. Климактерические жалобы обследованные не предъявляли. Каких-либо препаратов, влияющих на костный обмен, пациентки не принимали. Группу сравнения составили 204 здоровые женщины репродуктивного возраста. Состояние костной ткани оценивали в осевом (поясничный отдел позвоночника) и периферическом скелете (проксимальном отделе левого бедра, левом предплечье) методом двухэнергетической рентгеновской абсорбциометрии на остеоденситометре фирмы Hologic QDR 4500 Elite. Результаты измерений оценивались согласно рекомендациям ВОЗ. При сопоставлении данных остеоденситометрии, результатов анкетирования пациенток, данных клиниколабораторного обследования выявлено следующее. Остеопению, требующую лечения (по Т критерию ≤ -2,0 SD) в области позвоночника имеют 6 женщин (6,3%), бедра — 3 (3,1%), системную — 3 (3,1%). Остеопения по Т-критерию ≤ —1,5 SD в области позвоночника выявлена у 17 женщин (17,7%), в области бедра у 16 женщин (16,7%), системная — у 5 (5,2%). Среди обследованных с невысокими показателями МПКТ дополнительные факторы риска развития остеопороза имеют: 1 фактор — 65% женщин, 2 фактора и больше — 3,2%. Сильная корреляционная связь МПКТ с индексом массы тела выявлена в области поясничного отдела позвоночника и проксимального отдела бедра. Настоящее исследование подтверждает положение о том, что губчатая ткань поясничного отдела позвоночника является наиболее чувствительной к изменениям костного обмена и своего рода маркером начальных изменений МПКТ в пременопаузе. Скорость, с которой происходит снижение костной массы у женщин в пременопаузе, зависит от различных факторов, многие из которых независимы от секреции половых гормонов.
Введение
Известно, что с увеличением возраста происходит снижение костной массы. У женщины значительное ускорение потерь минеральной плотности костной ткани (МПКТ) совпадает с наступлением менопаузы и связано, прежде всего, со снижением синтеза эстрогенов. В то же время, и в пременопаузальном периоде, начиная с 4—5 лет может наблюдаться уменьшение костной массы. Проспективных исследований женщин в переходном периоде к естественной менопаузе немного. Некоторые авторы [31, 37] указывают на небольшие изменения в показателях МПКТ у женщин данного возраста. Большинство исследований как одномоментных [1, 8, 13 19, 24, 25], так и проспективных в различных популяциях [7, 12, 17, 35] выявляют значительные потери костной массы у ряда обследованных здоровых женщин, сопоставимые с потерями МПКТ в постменопаузе. Многие факторы определяют разнообразие литературных данных: характер выборки обследованных из популяции, регион скелета, тип прибора и вид измерения. Кроме того, причиной расхождения данных можно считать имеющуюся в литературе до настоящего времени путаницу в терминах. Ряд авторов оценивает плотность и прочность кости по показателю минеральной костной массы (МКМ), измеряемому в граммах кальция. Большинство пользуется показателем МПКТ, позволяющим соизмерять массу минерала с площадью обследованной кости в г/см2. Исследования с применением биохимических маркеров костного ремоделирования продемонстрировали, что МПКТ является лучшим индикатором прочности кости [5]. Иногда сопоставляются данные, полученные при применении разных приборов (остеоденситометров, компьютерного томографа). Seeman Е. (1997) посвящает свою работу необходимости правильной интерпретации результатов, полученных от разных видов измерений во избежание ошибок при анализе динамики МПКТ.
Определение потерь костной массы у женщин до вступления в менопаузу имеет большое значение. Даже если расценивать снижение МПКТ с 30 до 50 лет как 0,2% в год [16], то суммарная потеря костной массы к моменту вступления в менопаузу составит 0,5 SD от пика костной массы.
Если МПКТ действительно снижается с возрастом, то крайне важным является выяснение факторов риска развития столь ранних пременопаузальных потерь костной массы. Можно предполагать, что эти факторы будут отчетливо усугублять состояние костной ткани у женщин после вступления в менопаузу [4, 14], ускоряя инволютивные потери МПКТ.
Целью настоящего исследования явилось определение МПКТ у здоровых женщин в пременопаузе, проживающих в Санкт-Петербурге. Мы поставили задачи выяснения характера распределения минеральной плотности в субрегионах скелета у женщин данного возраста и выявления у них факторов риска развития остеопороза.
Материалы и методы
Обследовано 96 женщин в возрасте от 45 до 50 лет (средний возраст 47,9±0,1 лет), родившихся и проживающих в Санкт-Петербурге. Пациентки обследованы в поликлинике ЦМСЧ № 122 с 2001 по 2003 годы. В исследование включены только те женщины, у которых на основании клинико-лабораторного обследования не выявлено признаков хронических заболеваний, не работающие на вредных производствах и регулярно (1 раз в 12 месяцев) наблюдающиеся врачами поликлиники или стационара ЦМСЧ № 122. Средний вес пациенток данной группы составил 65,5±1,4 кг, средний рост 164±0,9 см, средний индекс массы тела (ИМТ) 24,2±0,5 кг/м2. ИМТ меньше 18 выявлен у 3-х женщин (в среднем 17,6±0,2 кг/м2), от 18 до 24,9 — у 56 (в среднем 21,4±0,2 кг/м2), более 25 — у 37 (в среднем 28,9±0,7 кг/м2). Большая часть лабораторных тестов выполнялась на базе клинической лаборатории ЦМСЧ № 122, гормональное обследование — в лаборатории радиоизотопных и иммунохимических исследований НИИ ТиО им. Р.Р. Вредена РАМН.
Значительных отклонений лабораторных показателей у обследованных выявлено не было. Зарегистрированы показатели холестерина и глюкозы ближе к верхней границе нормы. Показатели, характеризующие активность минерального обмена: содержание общего кальция, неорганического фосфата щелочной фосфатазы в плазме находились в пределах средней границы нормы. Забор образцов крови для определения уровня эстрадиола (Е2), фоликулостимулирующего (ФСГ), лютеинизирующего (ЛГ) и тиреотропного гормонов (ТТГ), пролактина проводился в утренние часы натощак на 3 день менструального цикла, для тестирования прогестерона (ПГ) — на 21 день. Содержание Е2, ЛГ, ТТГ, пролактина у обследованных находилось на средней границе нормы, ПГ ближе к нижней границе нормы, ФСГс тенденцией к повышению (табл. 1). Невысокое содержание прогестерона, характеризующее недостаточность лютеиновой фазы менструального цикла, соответствует клиническим данным, поскольку 20% обследованных отметили удлинение менструального цикла в течение последних 1—2 лет, а 8% — нерегулярный характер менструаций (через 28— 45 дней). На момент обследования гинекологических заболеваний у обследованных не определялось. УЗИ гениталий не выявило как изменений анатомических размеров гениталий, так и их структуры. Из анамнеза известно, что возраст менархе в группе не выходил на пределы нормы и составил 13,2±0,4 года, длительность менструального цикла в репродуктивном возрасте колебалась от 24 до 32-х дней. Беременности имела 81 (84,4%) женщина, из них рожали 75 (78,1%), прерывали беременности по желанию 21 (21,9%). Гинекологические операции перенесли 13 женщин (13,5%): 4 — односторонние тубэктомии в связи с внематочными беременностями, 5 — консервативные миомэктомии и 4 — цистэктомии. Все удаленные образования были доброкачественными. Электроэксцизии или лазерные коагуляции шейки матки в связи с доброкачественными эктопиями претерпели 16 женщин (16,7%). Средства контрацепции использовали 56 человек (58,3%), из них комбинированными контрацептивами и мини- пили пользовалась 21 женщина (21,8% — от 96, 37,5% — от 56) продолжительностью от 3 мес до 4-х лет. Климактерические жалобы обследованные не предъявляли. Каких-либо препаратов, влияющих на костный обмен, пациентки не принимали.
Группу сравнения составили 204 здоровые женщины репродуктивного возраста: 40 человек в возрасте 20—24 лет (средний возраст 22,5±0,2 года); 35 — от 25 до 29 лет (в среднем 27,8±0,2 лет); 40 — от 30 до 34 лет (в среднем 32,4±0,2 года); 49 женщин от 35 до 39 лет (средний возраст 37,2±0,3 года); и 40 — от 40 до 44-х лет (средний возраст 42,3±0,3 года). Критериями включения в исследование являлось отсутствие у обследованных каких-либо хронических заболеваний на основании клинико-лабораторного обследования, приема препаратов, влияющих на минеральный обмен, наличие регулярного менструального цикла.
Состояние костной ткани оценивали в осевом (поясничный отдел позвоночника) и периферическом скелете (проксимальном отделе левого бедра, левом предплечье) методом двухэнергетической рентгеновской абсорбциометрии на остеоденситометре фирмы Hologic QDR 4500 Elite. Результаты измерений оценивались по абсолютным значениям (г/см2), Т критерию (в величинах стандартного отклонения — SD от значений пиковой костной массы женщины в возрасте 20— 40 лет) и Z критерию (в процентах от нормальных значений МПКТ женщин того же возраста). Согласно рекомендациям ВОЗ [40], снижение МПКТ более чем на 1 SD рассматривалось как остеопения, более чем на 2,5 SD — как остеопороз
Данные лабораторного обследования у женщин пременопаузального возраста (n = 96)
Данные лабораторного обследования, показатели | ||
Гемограмма | ||
Гемоглобин, г/л | 121,4±2,3 | |
Эритроциты, 1012/л | 36,2±4,4 | |
Цветной показатель | 0,92±0,01 | |
Тромбоциты, 109/л | 274,0±8,9 | |
Лейкоциты, 109/л | 5,8±0,7 | |
Скорость оседания эритроцитов | 13,6±2,3 | |
Биохимические исследования плазмы | Норма | |
Общий белок плазмы, г/л | 67,9±2,6 | 65-85 |
Фибриноген плазмы, г/л | 2,9±0,3 | 2-4 |
Протромбин плазмы, ммоль/л | 99,5±4,7 | 80-103 |
Креатинин плазмы, ммоль/л | 0,086±0,005 | 0,064-0,115 |
Холестерин плазмы общий, ммоль/л | 5,3±0,4 |
|
Глюкоза натощак, ммоль/л | 4,1±0,4 | 3,3-7,0 |
Кальций плазмы общий, ммоль/л | 2,31±0,22 | 2,25-3,0 |
Неорганический фосфат плазмы, ммоль/л | 1,12±0,1 | 0,65-1,3 |
Аминотрансферазы: АлАТ, ед/л АсАТ ед/л | 19,8±3,8 | До 41 |
16,9±2,3 | До 38 | |
Щелочная фосфатаза плазмы, ед/л | 92,5±5,3 | 64-306 |
Определение концентрации гормонов в плазме | Норма | |
Фоликулостимулирующий гормон | 6,8±0,6 | 1,8-11,3 МЕ/л |
Лютеинизирующий гормон | 3,7±0,3 | 1,67-8,9 МЕ/л |
Тиреотропный гормон | 1,48±0,2 | 0,25-4,0 мМЕ/л |
Пролактин | 23,0±2,7 | 66-720 МЕ/л |
Эстрадиол | 210,0±12,8 | 110-440 пмоль/л |
Прогестерон | 22,9±3,5 | 10-89 пмоль/л |
Анализ мочи | ||
Относительная плотность мочи | 1011±78,4 | |
Белок мочи | 0 | |
Лейкоциты мочи | 2,0±0,2 | |
Эритроциты мочи | 1,0±0,1 |
Статистическая обработка материала выполнялась с помощью стандартных методов.
Результаты исследования
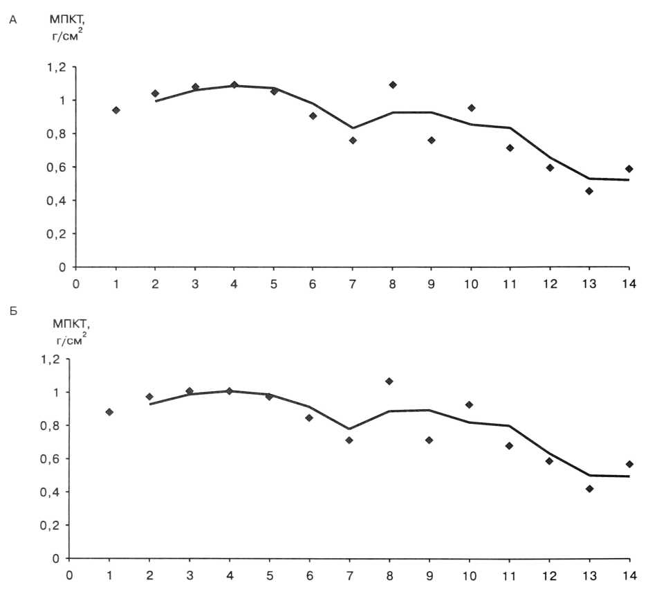
Произведено сравнение МПКТ у женщин 45— 49 лет с базой данных остеоденситометра и с показателями у обследованных репродуктивного возраста, проживающих в Санкт-Петербурге. Средние значения минеральной плотности костной ткани у женщин в пременопаузе находились в пределах нормы, но несколько ниже, чем у пациенток более молодого возраста. В регионе L1-L4 плотность ткани составила 0,973±0,01 г/см2, что ближе всего по значению к МПКТ у женщин 20-24-х лет и достоверно ниже значений костной массы у женщин других возрастных групп: 25—29 лет (р < 0,001), 30— 34-х лет (р < 0,001), 40—44-х лет (р < 0,05). В субрегионах поясничного отдела позвоночника 11 —14— дистальный отдел предплечья (11 — нижняя треть, 12— средний отдел, 13 — отдаленный отдел, 14 — весь регион) МПКТ колебалась от 0,833±0,02 в зоне L1 до 1,007±0,1 в области L4 (рис. 1.). Костная ткань четвертого поясничного позвонка характеризуется наибольшей плотностью как у женщин в пременопаузе, так и в репродуктивном периоде.
В проксимальном отделе бедра МПКТ так же, как и у женщин репродуктивного возраста, оказалась несколько ниже, чем в поясничном отделе позвоночника и составила в среднем 0,924±0,02 г/см2. По сравнению с минеральной плотностью ткани проксимального отдела бедра у женщин более молодого возраста, обследуемые в пременопаузе имеют снижение показателя, хотя и не так выражено, как в поясничном отделе позвоночника. Так, МПКТ в данном отделе скелета незначительно меньше, чем в 20- 24 и 40—44 года, недостоверно меньше, чем в 25—29 лет и достоверно ниже, чем в 30—34 года (р < 0,001) и 35—39 лет (р < 0,01). При анализе распределения МПКТ внутри отдела скелета выявлено, что наименьшая костная масса определяется в зоне Уарда (0,715±0,02 г/см2) и большого вертела (0,713±0,02 г/см2), наибольшая — в промежуточном отделе бедра (1,066±0,02 г/см2), что также совпадает с распределением МПКТ в субрегионах проксимального отдела бедра у более молодых женщин (см. рис. 1, табл. 2).
Рис. 1. Распределение МПКТ в субрегионах скелета у женщин репродуктивного (А) и пременопаузального (Б) возрастов:
1-5— поясничный отдел позвоночника (1— L1, 2— L2, 3— L3, -4 — L4, -5— L1—L4); 6—10— проксимальный отдел бедра (6— шейка бедра, 7— большой вертел, 8— промежуточный отдел, 9 — зона Уарда, 10 — весь регион);
Таблица 2. Средние значения МПКТ в различных регионах скелета у женщин пременопаузального возраста
Зоны | Показатели, п = 96 | |||
BMD, г/см2 | T-SD | Z, % | ||
Поясничный отдел позвоночника | L1 | 0,883±0,02 | -0,39±0,12 | 98,6±1,3 |
L2 | 0,976±0,01 | -0,48±0,1 | 98,3±0,9 | |
L3 | 1,004±0,01 | -0,72±0,11 | 96,2±1,1 | |
L4 | 1,007±0,1 | -0,92±0,11 | 93,5±1,2 | |
L1-L4 | 0,973±0,01 | -0,69±0,1 | 96,3±1,0 | |
Проксимальный отдел бедра | Шейка бедра | 0,848±0,02 | -0,48±0,13 | 101,6±1,6 |
Большой вертел | 0,713±0,02 | -0,12±0,19 | 102,3±2,4 | |
Промеж, отдел | 1,066±0,02 | -0,59±0,14 | 96,1±1,7 | |
Зона Уарда | 0,715±0,02 | -0,74±0,17 | 106,2±2,6 | |
Регион в целом | 0,924±0,02 | -0,44±0,13 | 98,5±1,7 | |
Дистальный отдел предплечья | Дистальная треть | 0,681±0,01 | -0,10±0,15 | 103,3±1,5 |
Субдистальный отдел | 0,585±0,01 | -0,08±0,16 | 104,1±1,7 | |
Проксимальная треть | 0,420±0,01 | 0,13±0,15 | 106,2±2,1 | |
Регион в целом | 0,566±0,01 | 0,01±0,14 | 104,6±1,54 |
Дистальный отдел предплечья характеризуется самой невысокой минеральной плотностью из всех отделов скелета аналогично выявленным его особенностям в других группах. Самая низкая МПКТ зарегистрирована в проксимальной трети (0,420±0,01 г/см2), максимальная — в дистальной трети (0,681±0,01 г/см2) предплечья. Средний показатель минеральной плотности в целом в отделе составил 0,566±0,01 г/см2, что достоверно меньше, чем у женщин 30-34 лет (р < 0,001). Значительных различий со значениями МПКТ у женщин других возрастных групп в этом отделе скелета выявлено не было.
Изменение абсолютных значений минеральной плотности нашло свое отражение и в динамике значений Т-критерия. Средние значения Т-критерия у женщин данной группы находились в пределах от 0,13±0,15 в проксимальной трети предплечья до —0,92±0,11 в зоне L4, что несколько ниже, чем у женщин более молодого возраста. В зоне L1— L4 Т-критерий, соответствующий нормальной МПКТ (среднее значение —0,03±0,09 SD) выявлен у 54 пременопаузальных женщин (65,6%), остеопении (среднее значение -1,45±0,05 SD) — у 40 (32,3%) и остеопорозу (среднее значение — 2,69±0,41 SD) — у 2-х пациенток (2,1%) (табл. 3, см. рис. 2). В области проксимального отдела бедра Т-критерий, характеризующий МПКТ как нормальную, выявлен у 67 женщин (69,8%) (среднее значение 0,02±0,12 SD), соответствующий остеопении — у 29 (30,2%) (среднее значение _0,49±0,08 SD). Значений Т-критерия меньше -2,5 SD в данном отделе выявлено не было.
Рис. 2. Распространенность остеопении и остеопороза в регионах скелета у женщин репродуктивного (I) и пременопаузального (II) возрастов
Таблица 3. Структура МПКТ в регионах скелета у женщин пременопаузального возраста
Регионы | Соответствие МПКТ | ||||||||
Поясничный отдел позвоночника | Норме | Остеопении | Остеопорозу | ||||||
МПКТ (г/см2) | Т-критерий, SD | Z-кри- терий, % | МПКТ (г/см2) | Т-критерий, SD | Z-критерий, % | МПКТ (г/см2) | Т-критерий, SD | Z-кри- терий, % | |
n = 54 (56,2%) | n = 40 (41,7%) | п = 2 (2,1%) | |||||||
1,026±0,007 | -0,203±0,063 | 110,6±1,2 | 0,888±0,005 | -1,449±0,047 | 88,6±0,8 | 0,752±0,042 | -2,685±0,416 | 77,0±1,0 | |
Регионы | Соответствие МПКТ | ||||||||
Проксимальный отдел бедра | норме | остеопении | остеопорозу | ||||||
МПКТ (г/см2) | Т-критерий, SD | Z-критерий, % | МПКТ (г/см2) | Т-критерий, SD | Z-критерий, % | МПКТ (г/см2) | Т-критерий, SD | Z-критерий, % | |
n = 67 (69,8%) | n = 29 (30,2%) | n = 0 | |||||||
0,979±0,02 | 0,02±0,12 | 104,5±1,6 | 0,797±0,01 | -1,485±0,08 | 84,7±1,54 |
|
|
| |
Регионы | Соответствие МПКТ | ||||||||
Дистальный отдел предплечья | норме | остеопении | остеопорозу | ||||||
МПКТ (г/см2) | Т-критерий, SD | Z-критерий, % | МПКТ (г/см2) | Т-критерий, SD | Z-критерий, % | МПКТ (г/см2) | Т-критерий, SD | Z-критерий, % | |
n = 85 (88,6%) | n = 8 (8,3%) | n = 3 (3,1%) | |||||||
0,578±0,006 | 0,24±0,09 | 106,8±1,01 | 0,506±0,004 | -1,14±0,09 | 94,2±1,6 | 0,417±0,02 | -2,895±0,47 | 74,0±3,54 |
В области дистального отдела предплечья Т-критерий, соответствующий нормальной МПКТ, выявлен у 85 женщин (88,6%) (среднее значение 0,24±0,09 SD), характеризующий остеопению — у 8 (8,3%) (среднее значение —1,14±0,09 SD) и выявляющий остеопороз — у 3 (3,1%) (среднее значение —2,89±0,47 SD). Данные показатели отличаются от таковых в других возрастных группах. Обнаружено, что встречаемость остеопении в поясничном отделе позвоночника у женщин в пременопаузе в 3,9 раза выше, чем в возрасте 20—24 года (I группа) и 40-44 года (V группа), в 5,2 раза выше, чем у женщин 35—39 лет (IV группа) и в 15,5 раз выше, чем в 25—29 лет (II группа). При обследовании пациенток в возрасте 30—34-х лет (III группа) данных за остеопению выявлено не было. Заслуживает внимание тот факт, что у 2-х здоровых женщин (2,1%) в пременопаузе выявлен остеопороз поясничного отдела позвоночника, что не наблюдалось при обследовании женщин раннего и позднего репродуктивного возраста.
Анализ значений Z критерия продемонстрировал некоторое его снижение у женщин в пременопаузе относительно популяционной нормы, хотя можно было бы ожидать большие его изменения с учетом отрицательной динамики Т критерия у женщин данного возраста (табл. 1). Снижение Z критерия в большей степени проявляется в поясничном отделе позвоночника (Z критерий в L1-L4 96,3±1,0%), в меньшей — в проксимальном отделе бедра (98,5±1,7%). Интересно, что в поясничном отделе позвоночника Z показатель равномерно снижен во всех поясничных позвонках (в L1 — 98,6±1,3%, L2 — 98,3±0,9%, L3 — 96,2±1,1%, L4 - 93,5±1,2%), в то время как в бедре снижение наблюдается лишь в промежуточном отделе (96,1±1,7%). В дистальном отделе предплечья значения МПКТ соответствуют возрастной популяционной выборке.
При сопоставлении данных остеоденситометрии, результатов анкетирования пациенток, данных клинико-лабораторного обследования выявлено следующее. Остеопению, требующую лечения (по Т-критерию ≤ -2,0 SD) в области позвоночника имеют 6 женщин (6,3%), бедра — 3 (3,1%), системную — 3 (3,1)%. Остеопения по Т-критерию ≤ -l,5SD в области позвоночника выявлена у 17 женщин (17,7%), в области бедра у 16 женщин (16,7%), системная — у 5 (5,2%). Среди обследованных с невысокими показателями МПКТ дополнительные факторы риска развития остеопороза имеют: 1 фактор — 65% женщин, 2 фактора и больше — 3,2%. Проанализировано влияние массы тела на прочность костной ткани. Сильная корреляционная связь МПКТ с индексом массы тела выявлена в области поясничного отдела позвоночника (с L1 — г = 0,92, с L2 — г = 0,86, с L3 - г = 0,87), проксимального отдела бедра (с областью большого вертела — г = 0,72, промежуточным отделом — 0,78, зоной Варда — 0,96). На МПКТ предплечья масса тела выраженного влияния не оказывает. Сила связи достоверно выше у пациенток с нормальной костной массой, чем у женщин с остеопенией.
Обсуждение
Полученные данные подтверждают достоверное снижение костной массы у женщин в пременопаузе по сравнению с обследованными репродуктивного возраста. По абсолютным значениям МПКТ у пациенток в пременопаузе ближе всего к плотности костной ткани у женщин 20— 24 лет, когда, как мы предполагаем, у наших обследованных формирование пика костной массы еще не закончено. Снижение МПКТ до менопаузы возникает неравномерно в различных регионах скелета [27]. В большей степени подвержены изменениям центральные отделы скелета, где преобладает губчатая ткань, имеющая высокую чувствительность рецепторов к половым стероидам и раньше других реагирующая на дефицит эстрогенов. По данным настоящего исследования у 41,7% женщин в пременопаузе остеопения выявлена в поясничном отделе позвоночника. У двух женщин снижение МПКТ, соответствующее остеопорозу, обнаружено в позвоночнике при умеренной потере костной ткани в бедре и слабо выраженном снижении в дистальном отделе предплечья. Следует упомянуть, что в проксимальном отделе бедра остеопения так же определена у достаточно большого количества обследованных (30,2%), но типичными для снижения МПКТ в этом отделе были лишь зона Уарда и область большого вертела. Данный факт свидетельствует, повидимому, о влиянии локальных причин на костный обмен в указанных субрегионах. В то же время, в позвоночнике все позвонки относительно равномерно подвержены потерям МПКТ.
Причины столь ранних потерь МПКТ у менструирующих женщин с сохраненным уровнем эстрогенов не совсем понятны. Можно предполагать, что возникающее после 3—0-летнего возраста снижение функции яичников, проявляющееся периодическими ановуляторными менструальными циклами, может являться, по крайней мере для ряда женщин, причиной значительного снижения костной массы. Отражением возрастающего влияния гипофиза на относительную недостаточность яичников является обнаруженный у 72% женщин с остеопенией уровень ФСГ на верхней границе нормы (для ранней фазы пролиферации) или чуть больше (в среднем 8,6±0,7 мЕ/л). Согласно литературным данным, на костное ремоделирование у женщин данной возрастной группы могут оказывать влияние отсутствие предовуляторного повышения концентрации эстрогенов [30] и недостаточность лютеиновой фазы вследствие снижения синтеза прогестерона желтым телом [16, 11]. При обследовании пациенток нашей группы мы также выявили невысокое содержание прогестерона в лютеиновой фазе менструального цикла. У 20 женщин с нормальной МПКТ (38%) в пременопаузе уровень прогестерона находился на нижней границе нормы, а при остеопении — у 64% (в среднем 14,8±2,3 пмоль/л). Учитывая, что исследование концентрации гормонов проводилось однократно, а ановуляторные циклы перемежаются в данном возрасте с овуляторными, возможно встречаемость патологии больше, чем выявленная. Однако предположение о том, что гестагены играют значительную роль в патогенезе остеопороза в настоящее время остается спорным. Christiansen С. и соавт. в 1990 году [6] впервые высказали суждение о том, что производные 19-нортестостерона могут потенциировать действие эстрогенов на скелет при остеопорозе. Усиливающий эффект был связан со специфическим анаболическим действием прогестагена, выявленным теми же авторами в процессе циклической терапии норэтидроном [32]. Действительно, в опытах in vivo норэтидрон стимулирует пролиферацию линии человеческих клеток остеосаркомы и повышает продукцию коллагена [20], однако не воздействует на костную резорбцию. Ris B.J. и Christiansen С. и соавт. (1990) также указывают на однонаправленный эффект прогестагенов, недостаточно тормозящих снижение костной массы.
Среди других эндокринологических причин, изменяющих костный обмен у пациенток с выявленной остеопенией, можно предположить клинически не диагностируемые заболевания щитовидной железы. Как тироксин, так и трийодтиронин непосредственно стимулируют резорбцию костной ткани. Субклинический гипертиреоидизм распознается по снижению уровня ТТГ в плазме при сохраненной концентрации тироксина и трийодтиронина [34]. Можно предполагать наличие субклинического тиреотоксикоза у 4 пациенток, имеющих системную остеопению и уровень ТТГ на нижней границе нормы (в среднем 0,38±0,2 мМЕ/л). При длительном течении клинически не выраженное заболевание щитовидной железы может приводить к повышению костного обмена, а именно к повышению разрушения коллагена [15] и снижению абсорбции кальция в кишечнике [28, 29]. Увеличение резорбции кости не полностью компенсируется увеличением формирования, что ведет к потере костной массы 41]. Клинически дисбаланс между формированием и резорбцией кости проявляется общим снижением костной массы у больных гипертиреоидизмом .
Обсуждая проблему возможных причин остеопении у женщин в пременопаузе, нельзя исключить регистрацию по остеоденситометрии не ранних потерь МПКТ, а фиксирование неадекватно сформированного ранее пика костной массы. Основанием для такого предположения является обнаруженный у данных пациенток ряд факторов, негативно влияющих на костный обмен и существующих длительно. В частности, у всех женщин с остеопенией имеет место достоверно более низкий индекс массы тела (ИМТ) (22,13±0,54 кг/м2) по сравнению с обследованными, имеющими нормальную костную массу (24,56±0,59 кг/м2). Масса тела на протяжении всей жизни является значимым фактором, характеризующим костный обмен [23]. В подростковом периоде и до формирования пика костной массы этот фактор достоверно коррелирует с прочностью костной ткани [2, 21]. Blum М., Harris S.S. (2001) проанализировали МПКТ у 119 женщин в пременопаузе, которым выполнялась денситометрия 30 лет назад. Установлено, что вес в пубертатном периоде и молодости положительно коррелирует с адекватной МПКТ в пременопаузе. Мы не имели возможность проанализировать значение ИМТ в пубертатном периоде у женщин, имеющих остеопению в пременопаузе, но располагали данными массы тела у них в 25 лет. Сравнив настоящий ИМТ с таковым в 25 лет, мы пришли к заключению, что 32 женщины (80%) с остеопенией имели невысокий (в среднем 20,7±0,49 кг/м2) ИМТ длительно на протяжении репродуктивного периода жизни. Подтверждением позитивного влияния достаточной массы тела на формирование и сохранение адекватной костной массы служит обнаруженная сильная корреляционная связь между ИМТ и МПКТ, особенно в области позвоночника и бедра (0,92 в L1, 0,86 в L2, 0,87 в L3, 0,64 в шейке бедра, 0,72 в области большого вертела, 0,78 в промежуточном отделе бедра).
У части женщин среди причин развития остеопении в пременопаузе можно предполагать снижение абсорбции кальция в кишечнике, несмотря на отсутствие клинических проявлений заболеваний желудочно-кишечного тракта. В экспериментах на животных доказано снижение [22, 38]. При обследовании людей получены две основные группы данных, подтверждающие возможную роль резистентности кишечника к 1,25(OH)2Д. Во-первых, некоторые исследования показали зависимое от возраста увеличение уровня 1,25(OH)2Д в сочетании с неизмененной абсорбцией кальция [9, 10]. Во-вторых, прямые подсчеты количества тканевых рецепторов к 1,25(ОН).Д в слизистой оболочке двенадцатиперстной кишки выявили почти 30%-ное снижение их числа в возрастном интервале от 20 до 80 лет [10]. Согласно N.A. Morrison (1994), алельные варианты гена, кодирующего рецепторы к витамину Д, могут предсказать до 75% влияния на минеральную плотность у здоровых взрослых. Учитывая высокую встречаемость функционально неполноценных алелей гена, рецептора витамина Д в популяции, можно предполагать его наличие у пациенток с неясными причинами остеопении в пременопаузе. Кроме того, все женщины, у которых выявлена остеопения, родились и живут в Санкт-Петербурге. Возможно, низкая солнечная инсоляция, определяющая недостаточный синтез витамина Д, способствует неадекватной резорбции кальция из кишечника.
На основании анализа данных анкет выявлены дополнительные факторы риска развития остеопороза. 90% женщин отмечают невысокую физическую активность. Она включала в себя «сидячий» вид работы и отсутствие физической активности в выходные дни. У взрослых людей физическая нагрузка является важнейшей детерминантой костной плотности, которая возрастает при увеличении механической нагрузки и снижается при ее уменьшении. Проспективное исследование R. Recker (1992) продемонстрировало позитивное влияние активности на прирост костной ткани у женщины в течение третьей декады жизни, а несколько одномоментных исследований мужчин и женщин также показали небольшое увеличение костной плотности, вызванное повышенной нагрузкой различного типа [18, 36, 39]. Кроме низкой физической активности 18 пациенток с остеопенией поясничного отдела позвоночника (45%) отметили, что интенсивно курят более 10 лет (10-20 сигарет в день). Длительные редуцированные диеты используют 12 женщин с остеопенией (30%), не употребляют молочных продуктов или используют их не чаще одного раза в неделю 22 пациентки (55%). Злоупотребление кофе (более двух чашек ежедневно) отметили 16 женщин, имеющих остеопению поясничного отдела позвоночника (40%).
Несмотря на проведенный анализ, у 6 женщин (15%) с остеопенией позвоночника, у 3-х (7,5%) со снижением МПКТ в бедре и позвоночнике и у одной женщины с системной остеопенией (2,5%) в пременопаузе не удалось обнаружить факторы, негативно влияющие на обмен костной ткани. Данное явление диктует необходимость дальнейшего обследования женщин с остеопенией неясного генеза и позволяет предположить генетические причины заболевания.
Заключение
У 41,7% женщин пременопаузального возраста выявлена остеопения поясничного отдела позвоночника, у 30,2% — бедра и у 8,3% системная остеопения. Таким образом, каждая 5—6 женщина по данным настоящего исследования (18 человек — 18,8%) нуждается в лечении остеопении до наступления менопаузы. Возможно, женщины с остеопенией в пременопаузе будут иметь меньше возможностей для компенсаторного повышения костной резорбции в постменопаузе посредством усиления костного формирования, что приведет к большему дисбалансу в ремоделировании, чем у женщины, вступающей в этот период жизни с нормальной плотностью костной массы.
Губчатая ткань поясничного отдела позвоночника является наиболее чувствительной к изменениям костного обмена и своего рода маркером начальных изменений МПКТ в пременопаузе. Выполнение остеоденситометрии поясничного отдела позвоночника предпочтительно для обнаружения начального снижения МПКТ в пременопаузе.
Скорость, с которой происходит снижение костной массы у женщин в пременопаузе, зависит от различных факторов, многие из которых независимы от секреции половых гормонов.
Женщины, у которых не удалось выявить причины значительного снижения прочности костной ткани в пременопаузе, нуждаются в углубленном обследовании специалистов для исключения причин вторичного остеопороза, генотипировании и остеоденситометрии в динамике.
About the authors
I. E. Zazerskaya
State Medical University named after V.I. Academician I.P. Pavlova
Email: jowd@eco-vector.com
Department of Obstetrics and Gynecology
Russian Federation, Saint PetersburgR. K. Thursina
Central medical unit number 122
Email: jowd@eco-vector.com
Russian Federation, Saint Petersburg
N. A. Gavrish
Central medical unit number 122
Author for correspondence.
Email: jowd@eco-vector.com
Russian Federation, Saint Petersburg
References
Supplementary files
