Features of women’s vaginal delivery with uterine scar at present stage
- Authors: Mudrov V.A.1, Mochalova M.N.1, Mudrov A.A.1
-
Affiliations:
- Chita State Medical Academy
- Issue: Vol 67, No 1 (2018)
- Pages: 26-37
- Section: Articles
- Submitted: 15.03.2018
- Published: 15.03.2018
- URL: https://journals.eco-vector.com/jowd/article/view/8364
- DOI: https://doi.org/10.17816/JOWD67126-37
- ID: 8364
Cite item
Full Text
Abstract
Introduction. Presently, the delivery of pregnant women with scar on the uterus vaginally is a strategically important task, which provides a reduction in the frequency of caesarean section and related complications. An important role in the structure of contra-indications for the vaginal delivery is devoted to determining the viability of the uterine scar.
The aim of the study was to investigate the characteristics of delivery of pregnant women with uterine scar vaginally at the present stage of scientific development.
Materials: literary data of foreign and domestic authors in the period from 1979 to 2017.
Methods: a systematic review and synthesis of the literature data.
Conclusion. It is necessary to determine the optimal algorithm for delivery of pregnant women with a uterine scar, which allows to optimize tactics of conducting such patients.
Full Text
Введение
В настоящее время в зависимости от того, как прогрессивная медицинская общественность относится к консервативному родоразрешению женщин с рубцом на матке, ее можно разделить на две части [1, 2]. Одна часть считает, что родоразрешение беременных с рубцом на матке через естественные родовые пути явля ется стратегически важной задачей, обеспечивающей снижение частоты кесарева сечения и связанных с ним осложнений [2]. Оборотная сторона — невозможность абсолютной стандартизации комплекса критериев интра натальной состоятельности рубца на матке, что не исключает возможности разрыва рубца при консервативном родоразрешении [1].
Частота абдоминального оперативного родоразрешения, по данным литературных источников, в последние годы составляет 21–29 %, при этом частота планового кесарева сечения неуклонно возрастает [1]. Увеличивается также число реконструктивно-пластических операций на матке в связи с миомой и аномалиями полового аппарата. Эти факторы привели к росту числа женщин фертильного возраста, имеющих рубец на матке и желающих в дальнейшем реализовать свою репродуктивную функцию [3]. В акушерской практике давно намечены, а в настоящее время и широко разработаны рекомендации для врачей, обеспечивающие благополучный исход родоразрешения с помощью кесарева сечения [4–8]. Как свидетельствуют практика и литературные данные, большой процент такого рода операций обусловлен следующими причинами. Во-первых, той или иной органической патоло гией, при которой рождение плода через естественные родовые пути невозможно или не целесообразно в интересах матери и ребенка [5–8]. Во-вторых, очень часто медицинские работники стал киваются и с психологическими причинами, например, отсутствует так называемый комплайенс, то есть готовность к сотрудничеству беременной женщины с врачом, сфор мированы неправильные установки на процесс родов — страх, ложные представления о процессе родов и т. д., приводящие к гипердиагностике осложнений родов, в том числе аномалий родовой деятельности [5]. В то же время немало психологических проблем возникает и после оперативного вмешательства. Иначе говоря, кесарево сечение обусловливает появление у пациенток в послеоперационном периоде постсерционных психологических и психосоциальных проблем, приводящих к нарушению социальной роли женщины наряду с наличием у нее осложнений органического характера [5].
Анализ современного состояния медицины в различных странах показал сходную ситуацию по отношению к способам амбулаторного сопровождения беременности и приема родов. При относительно высокой распространенности кесарева сечения и даже наличии в некоторых странах тенденции к увеличению процента приема родов оперативным путем преобладает мнение, что необходим осторожный подход к выбору кесарева сечения, в том числе у беременных с рубцом на матке [9]. Основной риск проведения кесарева сечения связан с гистеротомической травмой матки. Оперативное повреждение анатомической целостности стенки органа на значительном протяжении (около 12 см) может приводить к нарушению физиологических механизмов, обеспечивающих благополучный исход родов и благоприятное течение послеродового периода. Наиболее часто в результате кесарева сечения нарушаются внутриматочный гемостаз и дренирование матки. Дисфункция именно этих двух компонентов значительно повышает частоту геморрагических и гнойно-септических осложнений в сравнении с исходами родов через естественные родовые пути [2]. Частота интраоперационных осложнений при повторном кесаревом сечении составляет 20,5 %, что превышает данный показатель при первичном оперативном родоразрешении в 5 раз [10]. По мере совершенствования оперативной техники ушивания рассеченной стенки матки, применения новых высоких технологий хирургического вмешательства повышается качество регенерации миометрия, что, в свою очередь, улучшает исходы беременности для матери и плода [1].
Возможность консервативного родоразрешения у женщин после перенесенного кесарева сечения зависит от полноценного морфофункционального заживления рассеченного нижнего сегмента матки. Статистические данные указывают, что почти в половине наблюдений возрастание частоты кесарева сечения обусловлено повторными операциями [1, 2]. Родоразрешение женщин с рубцом на матке через естественные родовые пути является резервом снижения частоты повторного кесарева сечения [1]. Таким образом, сложившаяся ситуация диктует необходимость определения четких диагностических критериев состоятельности рубца на матке как инструментального, так и клинического характера.
Анализ литературных данных зарубежных и отечественных авторов
В настоящее время среди практикующих врачей акушеров-гинекологов нет однозначного мнения о методе родоразрешения беременных с рубцом на матке. Если одни предлагают избирательный подход к выбору пациенток с рубцом на матке, родоразрешение которых будет проводиться через естественные родовые пути, то другие не исключают возможности оценки состоятельности рубца в интранатальном периоде у всех пациенток. Третьи занимают промежуточную позицию [11]. Основная проблема для консервативного родоразрешения беременных с рубцом на матке заключается в достоверном определении состоятельности рубца [1, 12].
В первую очередь следует детально изучить акушерско-гинекологический анамнез. Соглас но данным T.D. Shipp et al. частота разрыва матки составляет 2,3 %, когда интервал между предыдущим кесаревым сечением и настоящей беременностью не превышает 18 месяцев, и 1 %, когда этот интервал превышает 18 месяцев [12]. Исследования других авторов отличаются от данных показателей незначимо, однако большинство из них считает интервал времени 2 и более года необходимым для формирования состоятельного рубца [1, 6, 7, 10, 12]. Успех влагалищного родоразрешения беременных с рубцом на матке, у которых показанием для предыдущего кесарева сечения служило патологическое состояние плода, составляет 68–83 % [11, 14]. В случаях когда предыдущее кесарево сечение было выполнено вследствие клинического несоответствия, успех консервативного родоразрешения колеб лется в пределах 25–85 % [1, 6, 7, 11, 14]. По данным некоторых авторов, наиболее неблагоприятными для формирования полноценного рубца являются такие анамнестические данные, как слабость родовой деятельности, клинически узкий таз, гестоз (преэклампсия) — риск повторного кесарева сечения выше в 2 раза [3, 15]. По данным большинства авторов, частота повторного кесарева сечения при консервативном родоразрешении общего числа беременных с рубцом на матке не превышает 15 %, при этом основным показанием выступает ухудшение состояния плода [11, 16–18]. Заболевания сердечно-сосудистой системы, ожирение, заболевания желудочно-кишечного тракта и бронхолегочного аппарата в 4 раза чаще отмечаются в группе женщин, родоразрешенных абдоминальным путем [3]. В некоторых литературных источниках имеются данные о высокой корреляции между формированием несостоятельного рубца на матке и такими проявлениями дисплазии соединительной ткани, как миопия высокой степени и пролапс клапанов сердца [19]. Благоприятным для формирования состоятельного рубца на матке является кесарево сечение, выполненное на малом сроке беременности [3].
По данным А.В. Залесного, о неполноценности репарации нижнего сегмента матки после кесарева сечения свидетельствуют следующие анамнестические данные: осложнения в послеоперационном периоде (наличие эндометрита), гипертермия в родах, безводный период более 12 часов, обострение хронических экстрагенитальных заболеваний инфекционного генеза во время беременности [20]. M.B. Landon и J. Kraiem указывают на благоприятный исход консервативного родоразрешения женщин с рубцом на матке (91 %) при наличии у них в анамнезе положительного исхода влагалищных родов [21, 22]. Согласно результатам гистологического и иммуногистохимического исследования И.В. Телегиной и др., «состоятельный» рубец на матке достоверно чаще наблюдается у пациенток, прооперированных в первом периоде родов [23]. Данные N. Jastrow et al. указывают на прямую положительную корреляционную связь между временем выполнения кесарева сечения и толщиной нижнего маточного сегмента при последующих беременностях: при оперативном родоразрешении женщин в антенатальном периоде средняя толщина нижнего маточного сегмента, определенная методом ультразвукового исследования (УЗИ), составляет 2,4 мм, в то время как в случае выполнения кесарева сечения в интранатальном периоде — 3,1 мм [24].
Паспорт кесарева сечения во многом упрощает оценку значимости вида шовного материала и способа ушивания операционной раны на матке в плане формирования полноценности послеоперационного рубца [4]. Однако общепризнанной тактики ушивания раны на матке в ходе кесарева сечения в настоящее время не существует [25]. Одни авторы предпочитают двухрядный шов, другие — однорядный, третьи — модификации различного вида [25–29]. Однако существующие в нашей стране клинические рекомендации диктуют необходимость отдавать предпочтение двухрядному шву на матке при сложности кооптации краев раны, повышенной кровоточивости, высокой степени инфекционного риска и т. д. [4]. Отсутствует единое мнение относительно того, какие швы следует накладывать на матку: непрерывный или отдельные, каким должен быть вид шовного материала, что обусловлено разнородностью полученных данных [25]. Согласно мнению Л.С. Логутовой, оптимальным методом ушивания раны на матке является однорядный мышечно-мышечный шов с использованием тонких рассасывающихся нитей с дополнительной герметизацией за счет наложения непрерывного шва на собственную фасцию матки [27]. Структура рубца матки в отдаленные сроки после кесарева сечения не зависит от шовного материала, входящего в перечень допустимых [4, 25]. Несостоятельность рубца после продольного (корпорального или истмико-корпорального) разреза матки подтверждается мнением большинства авторов. Неблагоприятным также считается рубец на матке после удаления множественных миоматозных узлов [1, 6–8, 10, 11]. Американский колледж акушеров и гинекологов (ACOG) оценил риск разрыва матки при влагалищных родах у женщин по рубцу в 0,2–1,5 % [30]. В исследовании не было отмечено случаев материнской смертности, низкая оценка по шкале Апгар (менее 6 баллов) наблюдалась у 4 % новорожденных.
Особую значимость в оценке состоятельности рубца имеет клиническое обследование пациентки, а также особенности ведения беременности и родов. Многие авторы указывают на большую роль оценки «зрелости» родовых путей в прогнозировании исхода родов через естественные родовые пути у пациенток с рубцом на матке [1, 3, 11, 15]. V.B. Bangal et al. сообщают о благоприятном исходе (93 %) влагалищных родов у беременных с рубцом на матке, раскрытие маточного зева у которых накануне родов составляет 3 см и более [11]. Многие иссле дователи сообщают о благоприятном течении влагалищных родов у женщин с рубцом на матке при массе плода менее 3000 г. При массе плода более 3000 г успех консервативного родоразрешения у пациенток данной категории не превышает 18,7 % [11, 31]. Поэтому точное определение массы плода выступает приоритетной задачей в рамках планирования консервативного родоразрешения подобных пациенток. Однако согласно мнению М.Д. Леоновой и др. предполагаемые крупные размеры плода не должны быть показанием к абдоминальному родоразрешению, так как ультразвуковые признаки макросомии в настоящее время не являются абсолютными. Авторы имеют положительный опыт влагалищного родоразрешения беременных крупным плодом, количество которых составляет 13,4 % от общего количества родов у женщин с рубцом на матке [15].
Согласно результатам исследования А.В. За лесного к клиническим признакам течения настоящей беременности, указывающим на рубцовые изменения нижнего сегмента, относятся: угроза прерывания настоящей беременности, локальная болезненность в области рубца при пальпации, отсутствие «зрелости» родовых путей при доношенном сроке беременности, наличие осложнений со стороны плода [20]. Частота задержки роста плода при истончении рубца до 2 мм составляет 15,6 %, до 1 мм — 42,9 %, а при расхождении рубца — 50 % [1]. В клинической практике известен способ прогнозирования исхода родов через естественные родовые у беременных с рубцом на матке после одного кесарева сечения, выполненного поперечным разрезом в нижнем сегменте матки, согласно которому определяют кодированные значения следующих клинико-анамнестических предикторов для прогнозирования естественных родов: 1 — естественные роды после кесарева сечения (0, 1); 2 — состояние шейки матки в процессе подготовки (0, 1, 2, 4); 3 — клинические проявления угрожающего разрыва матки (0, 1); 4 — показания к предыдущему кесареву сечению (0, 1, 2, 4); 5 — послеоперационные гнойно-септические осложнения (0, 1). Кодированные значения предикторов подставляют в формулу дискриминантной функции и рассчитывают прогностический индекс следующим образом:
Ψ = 25,24X1 + 1,71X2 + 1,99X3 ++ 0,378X4 + 0,15X5 – 28,7,
где X1 — естественные роды после кесарева сечения (0 — наличие, 1 — отсутствие); Х2 — степень «зрелости» шейки матки и эффект от подготовки мягких родовых путей к родам (0 — «зрелая» шейка матки и эффективная подготовка, 1 — «дозревающая» шейка матки и эффективная подготовка, 2 — «дозревающая» шейка матки и отсутствие эффекта от подготовки, 4 — «незрелая» шейка матки и отсутствие эффекта от подготовки); Х3 — клинические симптомы угрожающего разрыва матки (0 — отсутствие, 1 — наличие); Х4 — показания к первому кесареву сечению (0 — медицинские или социальные, 1 — тазовое предлежание плода и/или предлежание плаценты, 2 — гипоксия плода и/или преждевременная отслойка плаценты, 4 — слабость родовой деятельности, или клинически узкий таз, или гестоз (преэклампсия)); Х5 — гнойно-септические осложнения после первого кесарева сечения (0 — отсутствие, 1 — наличие). При значении прогностического индекса Ψ менее –2,94 считают, что прогноз родов через естественные родовые пути благоприятен. Чувствительность способа — 89,74 %, специ фичность — 98,85 %, диагностическая точность — 96,76 % [32].
Некоторые ученые полагают, что целесо образным является ведение программированных родов у женщин с рубцом на матке, исполь зуя амниотомию при зрелой шейке матки [1, 3]. При отсутствии родовой деятельности после амниотомии некоторые авторы рекомендуют проводить родовозбуждение внутривенным капельным введением простагландина Е2 [1]. Некоторые исследователи указывают на положительный эффект родостимуляции окситоцином у 83 % пациенток с рубцом на матке [11, 28, 29]. B.L. Flamm et al. считают, что родовозбуждение и родостимуляция окситоцином беременных с рубцом на матке безопасны при условии титрования скорости введения окситоцина в соответствии с динамикой родовой деятельности [33]. T.T. Lao et al. пришли к выводу, что стандартная скорость инфузии окситоцина увеличивает вероятность успешности консервативного родоразрешения, высокие же темпы инфузии повышают риск разрыва рубца на матке [34]. Применение утеротонических препаратов с целью родовозбуждения допустимо в течение 1 часа, при отсутствии эффекта роды следует закончить оперативным путем [1]. Согласно Кохрейновскому обзору M. Jozwiak et al. результатов индукции родовой деятельности у пациенток с рубцом на матке, в настоящее время не существует доказательной базы о безопасности какой-либо методики. Однако имеются данные о том, что в сравнении с моноиндукцией окситоцином совместное исполь зование простагландина Е2 и окситоцина приводит к увеличению риска разрыва матки в 3 раза, а простагландина Е1 — в 6 раз [35]. В оригинальном клиническом исследовании F. Ziyauddin et al. описан опыт подготовки родовых путей у беременных с рубцом на матке путем интрацервикального введения катетера Фолея. Частота неудачной попытки консервативного родоразрешения у пациенток данной группы составила 5,7 %, что в 2 раза ниже частоты пациенток, подготовка шейки матки которых проводилась путем интрацервикального введения препидил-геля [36]. О.А. Теслова также сообщает, что пациентки с рубцом на матке, у которых родовая деятельность началась спонтанно, имеют более высокий риск неблагоприятного исхода родов через естественные родовые пути, однако в данной группе отмечен меньший риск развития разрыва матки [37]. Отсутствие жалоб у роженицы на локальную болезненность в области нижнего маточного сегмента между схватками и/или при пальпации области рубца, регулярный характер родовой деятельности, регистрируемый пальпаторно и при токографии, а также нормальный тип кардиотокографии указывают на функциональную состоятельность рубца [1]. При наличии состоятельного рубца М.Д. Леонова и др. не исключают проведения оперативного влагалищного родоразрешения при наличии показаний [15].
При ведении консервативных родов с рубцом на матке многие практикующие врачи не используют адекватные методы обезболивания, что опосредовано трудностями диагностики начальных признаков угрожающего разрыва матки. В основном в стационарах до настоящего времени применялись ненаркотические анальгетики, спазмолитические средства, единичные случаи эпидуральной аналгезии, ингаляции закиси азота, предоставление медикаментозного сна-отдыха [3]. Между тем в соответствии с результатами К.А. Боженкова и др. адекватное обезболивание родов через естественные родовые пути обеспечивается использованием эпидуральной анестезии [38]. Эпидуральная анестезия в интранатальном периоде уменьшает гипервентиляцию легких, снижает среднее артериальное давление и частоту сердечных сокращений. При необходимости применения утеротоников эпидуральная анестезия не увеличивает частоту осложнений в родах у пациенток с рубцом на матке, а также может применяться для лечения дискоординированной родовой деятельности. При использовании эпидуральной анестезии при влагалищном родоразрешении пациенток с рубцом на матке не зарегистрировано ухудшения течения послеродового периода, а также увеличения сроков госпитализации [15, 38]. После самостоятельного отделения и выделения последа большинство авторов рекомендуют проводить контрольное ручное обследование полости матки с целью исключения ее разрыва [1, 6–8]. Однако представители прогрессивного подхода утверждают, что проведение ручного обследования послеродовой матки рутинно не требуется, оно осуществляется при появлении дополнительных показаний, контроль состояния нижнего сегмента возможен за счет проведения УЗИ [3, 15, 39].
Современная тактика ведения родов у женщин с рубцом на матке во многом зависит от инструментальных методов диагностики полноценности рубца. По мнению подавляющего большинства исследователей, наиболее информативными методами диагностики состоятельности рубца являются УЗИ (абдоминальным и влагалищным датчиками) и доплерометрия [1, 10, 40]. При исследованиях оценивают структуру миометрия, равномерность толщины и одно родность рубца, наличие участков высокой акустической плотности и степень васкуляризации нижнего маточного сегмента. Частота ложноположительных и ложно отрицательных результатов УЗИ и доплерометрии составляет соответственно 12,1 и 7,6 % [10, 40].
A. Vervoort et al. указывают, что при использовании метода соногистерографии симптом «ниши» (несостоятельность рубца) определялся более чем у половины женщин с рубцом на матке, при этом наиболее частой причиной «ниши» являлся однорядный шов на матке или отсутствие перитонизации [41].
С целью повышения точности диагностики полноценности рубца на матке некоторые авто ры рекомендуют биконтрастную эхоскопию, включающую контрастирование полости матки [10, 42]. Акустическими критериями полноценности рубца на матке служат: Y-образная форма рубца при толщине не менее 4–5 мм; нормальная эхогенность нижнего сегмента, подобная таковой в других отделах матки; небольшие участки пониженной звукопроводимости на фоне нормальной акустической плотности. К эхографическим признакам несостоятельного рубца относят: баллоно- или конусовидную форму нижнего сегмента матки; толщину нижнего сегмента менее 3 мм; локальные истончения нижнего сегмента менее 3 мм на фоне нормальной толщины (4–5 мм); акустическую плотность по всей зоне бывшего разреза на матке. Общая точность ультразвуковой оценки состояния рубца нижнего маточного сегмента составляет 81,8 %, чувствительность — 85,2 %, специфичность — 80,0 %, прогностическая ценность положительного результата — 69,7 %, отрицательного — 90,9 % [1].
А.В. Залесный выделяет такие эхографические признаки несостоятельности рубца, как толщина рубца менее 3 мм, гиперэхогенность нижнего сегмента матки на всем протяжении, неравномерность нижнего сегмента по толщине, неровность контура нижнего сегмента (симптом «ниши») [20]. Для оценки состоятельности рубца автор предложил последовательно вычислять два значения дискриминантной функции: первое — вероятен полноценный рубец, второе — неполноценный рубец. Уравнения представлены в следующем виде:
ДФ (1) = –15,08 – 4,82 × Гипертермия ++ 3,45 × Осложнения + 3,03 × Угроза прерывания ++ 1,31 × Болезненность + 5,15 × Толщина рубца ++ 2,34 × Неровность контура (1);
ДФ (2) = –14,82 – 0,49 × Гипертермия ++ 4,00 × Осложнения + 5,59 × Угроза прерывания ++ 3,40 × Болезненность + 4,00 × Толщина рубца ++ 4,07 × Неровность контура (2).
Достоверность состояния рубца, оцененная с помощью дискриминантного анализа, характеризуется следующими операционными показателями: чувствительность — 77,4 %; специфичность — 98,6 %; предсказательная ценность положительного результата — 96,0 %; предсказательная ценность отрицательного результата — 90,8 %; точность предсказания — 92,1 % [20]. По мнению Л.Е. Петровой и K.K. Cheng, предлежание плаценты к рубцу на матке, определенное с помощью УЗИ, также выступает неблагоприятным фактором, свидетельствующим о неполноценности рубца [3, 43]. Согласно результатам доплерометрического исследования кровотока в области нижнего сегмента матки у пациенток с состоятельным рубцом наблюдаются более низкие значения периферического сосудистого сопротивления, свидетельствующие о более выраженной васкуляризации [23]. В.Б. Цхай и др. указывают, что УЗИ следует рассматривать как скрининговый метод диагностики несостоятельности рубца, при этом наличие симптома «ниши» во многих случаях не является абсолютным признаком неполноценности рубца, но требует дополнительного обследования (магнитно-резонансная томография и гистероскопия) у женщин, планирующих в последующем беременность [44]. Метод гистероскопии на этапе прегравидарной подготовки не обладает высокой чувствительностью и диагностической точностью, вследствие чего не может быть рекомендован для окончательной диагностики несостоятельности рубца на матке. Метод магнитно-резонансной томографии (МРТ) позволяет детально изучить состояние передней стенки матки, включая область послеоперационных изменений, определить не только наличие дефекта стенки-«ниши», но и размеры этого дефекта (передне-задний, поперечный и вертикальный). В рамках диагностики несостоятельности рубца МРТ обладает высокой специфичностью — 94,5 %, чувствительностью — 94,5 % и диагностической точностью — 94,5 %. Вследствие чего В.Б. Цхай и др. рекомендуют МРТ для окончательной диагностики несостоятельности рубца на матке [44].
В.И. Краснопольский и др. предложили способ оценки состоятельности рубца, который состоит в том, что в активную фазу родов, при открытии маточного зева более 3,0 см, эхографически измеряют толщину нижнего сегмента матки на пике схватки и при ее расслаблении. При увеличении толщины нижнего сегмента в схватку на 0,2 см и более роды продолжали вести через естественные родовые пути. При отсутствии изменения толщины нижнего сегмента матки в схватку маточный рубец считали функционально несостоятельным и производили кесарево сечение [45].
На современном этапе большой интерес представляют генетические аспекты формирования состоятельного рубца на матке. Примером служат исследования Г.Т. Сухих и др., согласно которым полиморфизмы генов ESR1 играют определенную роль в дезорганизации рубцовой ткани [46]. Носительство гаплотипа CA по полиморфизмам ESR1 –397 T > C (Pvull) и -351 G > A (Xbal) — является фактором риска формирования неполноценного рубца [25, 42]. Также обнаружены связи между аллельными вариантами гена IL-10и несостоятельностью рубца на матке [46]. Предполагается, что возможным молекулярным фактором развития неполноценного рубца служит полиморфизм гена эстрогенового рецептора-α, ламинина и сосудисто-эндотелиального фактора роста [19]. Формированию несостоятельного рубца также способствуют мутации в генах коллагена V типа (CoL Vб1-9 q-34.2-q34.3 и CoL Vб2-2q-31) [46].
Определенный интерес представляют современные методы цитологического исследования, предполагающие анализ уровня общего белка и иммуноглобулинов классов G, M и A в аспиратах из полости матки в послеродовом периоде. Однако данный способ в большей степени отражает факт наличия воспаления, степень его выраженности, а не характер заживления [25].
Д.Б. Азанова и др. для оценки состоятельности рубца предложили методику трансабдоминальной трансвезикальной биопсии миомет рия до наступления повторной беременности с последующим гистологическим и иммуногистохимическим анализом с применением моноклональных антител к гладкомышечной ткани. По мнению авторов, данный способ дает объективную оценку процессов заживления рубца на матке и имеет значимую прогностическую ценность [25, 47].
Для практики врача в советское время был предложен способ определения состоятельности рубца на матке путем его визуальной оценки, отличающийся от многих аналогов тем, что с целью повышения точности способа у беременной с визуально неизмененным рубцом регистрировали показатели сопротивления тканей шейки матки электрическому току и при его величине 100–240 Ом рубец считали состоятельным [48].
На современном этапе развития науки все большую распространенность приобретают методы прогнозирования состоятельности рубца, основанные на различного рода лабораторных и инструментальных методах исследования. Известен способ прогнозирования состоятельности рубца, заключающийся в том, что во время операции кесарева сечения проводят забор биоптата миометрия, в котором определяют такие показатели, как количество капилляров, степень пролиферации эндотелия, наличие и выраженность отека миометрия, наличие воспалительной инфильтрации, и с их помощью рассчитывают морфологический индекс по формуле
MИ = A + B + C + D,
где МИ — морфологический индекс, А — индекс , равный 0 при количестве капилляров в срезе до 10, 1 — до 15 капилляров, 2 — до 20 капилляров, 3 — больше 20 капилляров; В — степень пролиферации эндотелия (0 — эндотелий всех капилляров однорядный, 1 — многорядность эндотелия в единичных капиллярах, 2 — многорядность эндотелия в 1/3 капилляров, появление единичных капиллярных клубочков, 3 — многорядность эндотелия более чем в 1/2 капилляров); С — наличие и выраженность отека миометрия (0 — имеется преимущественно периваскулярный отек, 1 — периваскулярный и межуточный отек, 2 — периваскулярный и межуточный отек, начало вакуолизации цитоплазмы миоцитов, 3 — выраженная вакуолизация цитоплазмы, в том числе перинуклеарные вакуоли); D — наличие воспалительной инфильтрации (0 — единичные периваскулярные лейкоциты, преимущественно лимфоциты, 1 — периваскулярные лейкоциты вокруг 1/4 капилляров в исследованных полях зрения, 2 — появление нейтрофилов в экссудате, 3 — миграция лейкоцитов в межуточные пространства). При значении морфологического индекса менее 7 прогнозируется физиологичный характер заживления раны, приводящий к формированию послеоперационного рубца с преобладанием мышечной ткани. При значении индекса 7 и более прогнозируется вторичный характер заживления раны на матке, приводящий к последующему образованию соединительнотканного рубца [49].
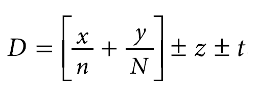
Существует способ прогнозирования наличия несостоятельного рубца на матке в конце III триместра беременности путем определения в крови беременных пациенток эндотелина-1 и оксидантного статуса (пероксиды и гидроперекиси). Для этого необходимо рассчитать коэффициент по следующей формуле
где D — диагностический коэффициент; x — уровень эндотелина-1 у пациентки на сроке 37–40 недель; y — уровень пероксидов и гидроперекиси у пациентки на сроке 37–40 недель; N — нормальный уровень пероксидов и гидроперекиси на сроке 37–40 недель (900 мкмоль/мл); n — нормальный уровень эндотелина-1 на сроке 37–40 недель (0,45 фмоль/мл); ±z — «зрелость» шейки матки (+1, если шейка матки «незрелая» или недостаточно «зрелая»; –1, если шейка матки «зрелая»); ±t — толщина миомет рия в проекции рубца на матке при эхоскопии (+1, если толщина миометрия 6 мм и 3–5 мм неоднородной эхоструктуры; –1, если толщина миометрия составляет от 3–5 мм однородной эхоструктуры). При D < 3 прогнозируют состоятельный рубец на матке; при D > 3 — несостоятельный рубец на матке, беременную следует родоразрешить путем кесарева сечения в обязательном порядке. Чувствительность теста составляет 97,5 %; специфичность — 95,4 % [50].
А.В. Биндюк и др. разработали способ прогноза родоразрешения беременных с рубцом на матке, который предполагает расчет вероятности благоприятного исхода по формуле
p = 1/(1 + 2,718–582,96 + 1,216 × 1000 × ИР – 44,07 × TCMP),
где р — искомая величина; ИР — индекс резистентности; ТСМР — толщина стенки матки в области рубца. Чем ближе показатель р к 1, тем выше вероятность благоприятного исхо да родов через естественные родовые пути. Показатель р, приближающийся к нулю, свидетельствует о необходимости операции кесарева сечения [51].
Таким образом, обязательными критериями возможности самопроизвольных родов у женщин с рубцом на матке являются: одно кесарево сечение в анамнезе, произведенное поперечным разрезом в нижнем маточном сегменте по неповторяющимся (преходящим) показаниям: гипоксия плода, тазовые предлежания и неправильные положения плода, предлежание и отслойка плаценты в анамнезе, выпадение петель пуповины и т. д.; отсутствие новых показаний при настоящей беременности, препятствующих проведению самопроизвольных родов; удовлетворительное состояние матери и плода; головное предлежание единственного плода; «зрелые» родовые пути; полноценный нижний маточный сегмент (по клиническим и инструментальным данным); информированное добровольное согласие пациентки на проведение самопроизвольных родов [1, 52]. Роды через естественные родовые пути можно считать безопасными в стационаре 3-го уровня при наличии возможности для немедленного развертывания операционной, постоянной кардиотокографии в родах, регистрации сократительной активности матки и ведении партограммы [39].
Заключение
Несмотря на значительное число исследований, посвященных изучению вопроса состоятельности рубца на матке, методов универсальной диагностики функциональной полноценности нижнего сегмента матки и прогнозирования исхода влагалищных родов в настоящее время не существует. Большинство авторов указывают на то, что риск разрыва матки по рубцу невысок, а роды через естественные родовые пути составляют безопасную альтернативу повторному оперативному родоразрешению [3, 5, 10, 11, 15]. Избрать рациональную тактику ведения беременности и родов у пациенток с рубцом на матке позволит комплексный подход, включающий детальный анализ как анамнестических, так и клинико-инструментальных данных.
Дополнительная информация
Информация о конфликте интересов. Отсутствует конфликт интересов.
Информация о финансировании. Источником финансирования являются личные материальные средства авторов.
Информация о вкладе каждого автора.
М.Н. Мочалова — концепция и дизайн исследования.
В.А. Мудров — анализ отечественных литературных источников, написание текста.
А.А. Мудров — анализ зарубежных литературных источников.
About the authors
Viktor A. Mudrov
Chita State Medical Academy
Author for correspondence.
Email: mudrov_viktor@mail.ru
Assistant
Russian Federation, ChitaMarina N. Mochalova
Chita State Medical Academy
Email: manimo@me.com
Cand. Sci. (Med.), Associate Professor, Head of Department
Russian Federation, ChitaAndrey A. Mudrov
Chita State Medical Academy
Email: andrey.mudrov@mail.ru
5th-year student, the Faculty of General Medicine
Russian Federation, ChitaReferences
- Акушерство. Курс лекций: учебное пособие / Под ред. А.Н. Стрижакова, А.И. Давыдова. — М.: ГЭОТАР-Медиа, 2009. [Akusherstvo. Kurs lekcij: uchebnoe posobie. Ed by A.N. Strizhakova, A.I. Davydova. Moscow: GEOTAR-Media; 2009. (In Russ.)]
- Жуковский Я.Г. Кесарево сечение в XXI веке: новые ответы // StatusPraesens. — 2012. — № 1(07). — С. 32–36. [Zhukovskiy YaG. Kesarevo sechenie v XXI veke: novye otve ty. StatusPraesens. 2012;1(07):32-36. (In Russ.)]
- Петрова Л.Е. Опыт работы по ведению беременности и родов с рубцом на матке в родильном доме № 16 Санкт-Петербурга (с 1997 по 2006 год) // Журнал акушерства и женских болезней. — 2010. — № 3. — С. 33–43. [Petrova LE. Opyt raboty po vedeniyu beremennosti i rodov s rubtsom na matke v rodil’nom dome No 16 Sankt-Peterburga (s 1997 po 2006 god). Journal of Obstetrics and Women’s Diseases. 2010;(3):33-43. (In Russ.)]
- Серов В.Н., Адамян Л.В., Артымук Н.В., и др. Клинические рекомендации (протокол лечения) «Кесарево сечение. Показания, методы обезболивания, хирургическая техника, антибиотикопрофилактика, ведение послеоперационного периода», утвержденные Министерством здравоохранения Российской Федерации № 15-4/10/2-3190 от 06.05.2014. [Serov VN, Adamyan LV, Artymuk NV, et al. Klinicheskie rekomendatsii (protokol lecheniya) “Kesarevo sechenie. Pokazaniya, metody obezbolivaniya, khirurgiche skaya tekhnika, antibiotikoprofilaktika, vedenie posleopera tsionnogo perioda”, utverzhdennye Ministerstvom zdravookhraneniya Rossiyskoy Federa tsii № 15-4/10/2-3190 ot 06.05.2014. (In Russ.)] Доступно по: http://zdrav.spb.ru/media/komzdrav/documents/document/file/kesarevo_sechenie.pdf. Ссылка активна на 20.08.2017.
- Шалашова Ю.В. К вопросу о психологических проблемах женщин, родивших с помощью кесарева сечения // Сибирский психологический журнал. — 2001. — № 14–15. — С. 72–73. [Shalashova YuV. K voprosu o psikhologicheskikh problemakh zhenshchin, rodivshikh s pomoshch’yu kesareva secheniya. Siberian Journal of Psychology. 2001;(14-15):72-73. (In Russ.)]
- Абрамченко В.В., Ланцев Е.А. Кесарево сечение. — М.: Медицина, 1985. [Abramchenko VV, Lantsev EA. Kesarevo sechenie. Moscow: Medicine; 1985. (In Russ.)]
- Козаченко В.П. Беременность и роды после кесарева сечения. — М.: Медицина, 1979. [Kozachenko VP. Beremennost’ i rody posle kesareva secheniya. Moscow: Medicine; 1979. (In Russ.)]
- Слепых А.С. Абдоминальное родоразрешение. — М.: Медицина, 1986. [Slepykh AS. Abdominal’noe rodorazreshenie. Moscow: Medicine; 1986. (In Russ.)]
- Пономарева Ю.Н. Социальные аспекты кесарева сечения // Сервис в России и за рубежом. — 2014. — № 4(51). — С. 211–217. [Ponomareva YuN. Social aspects of caesarian section. Services in Rossia and abroad. 2014;4(51):211-217. (In Russ.)] doi: 10.12737/4866.
- Кесова М.И., Болотова О.В., Кан Н.Е., Орджоникидзе Н.В. Прогностические критерии оценки состояния рубца на матке после кесарева сечения // Вестник Российского университета дружбы народов. — Серия «Медицина». — 2009. — № 5. — С. 175–180. [Kesova MI, Bolotova OV, Kan NY, Ordjonikidze NV. Prognostic criteria of the cesarean scar status appraisal. RUDN Journal of Medi cine. 2009;(5):175-180. (In Russ.)]
- Bangal VB, Giri PA, Shinde KK, Gavhane SP. Vaginal Birth after Cesarean Section. North American Journal of Medical Sciences. 2013;5(2):140-4. doi: 10.4103/1947-2714.107537.
- Shipp TD, Zelop CM, Repke JT, et al. Interdelivery interval and risk of symptomatic uterine rupture. Obstet Gynecol. 2001;97(2):175-80.
- Islam A, Ehsan A, Arif S, et al. Evaluating trial of scar in patients with a history of caesarean section. N Am J Med Sci. 2011;3(4):201-5. doi: 10.4297/najms.2011.3201.
- Hoskins IA, Gomez JL. Correlation between maximum cervical dilatation at cesarean delivery and subsequent vaginal birth after cesarean delivery. Obstet Gynecol. 1997;89(4):591-3.
- Леонова М.Д., Фредерикс Е.В., Дымарская Ю.Р. Опыт ведения родов с рубцом на матке в родильном доме № 13 г. Санкт-Петербурга // Журнал акушерства и женских болезней. — 2017. — Т. 66. — № 3. — С. 82–88. [Leonova MD, Frederiks EV, Dymarskaya YuR. The experience of vaginal birth after cesarean delivery in the Maternity home No 13 of Saint Petersburg. Journal of Obstetrics and Women’s Diseases. 2017;66(3):82-8. (In Russ.)]. doi: 10.17816/JOWD66382-88.
- Dayal V. Trial of vaginal delivery in cases of single previous cesarean section. J Obstet Gynecol. 1985;35:445-50.
- Allahabadia GN, Ambiye VR, Shanbaug AM. Vaginal birth following caesarean section. J Obstet Gynecol India. 1989;39:782-6.
- Sullivan OMJ, Fumia F, Holsinger K, McLeod AG. Vaginal delivery after caesarean section. Clin Perinatol. 1981;8:131-43.
- Сухих Г.Т., Кесова М.И., Кан Н.Е., и др. Беременность, роды и послеродовой период у женщин после операций на матке при недифференцированных формах дисплазии соединительной ткани // Акушерство и гинекология. — 2010. — № 2. — С. 26–29. [Sukhikh GT, Kesova MI, Kan NE, et al. Pregnancy, labor, and postpartum in women after uterine surgery for undifferentiated connective tissue dysplasia. Akusherstvo i ginekologiya. 2010;(2):26-9. (In Russ.)]
- Залесный А.В. Комплексная оценка состояния рубца на матке после кесарева сечения // Журнал акушерства и женских болезней. — 2010. — № 5. — С. 118–126. [Zalesnyy AV. Kompleksnaya otsenka sostoyaniya rubtsa na matke posle kesareva secheniya. Journal of Obstetrics and Women’s Diseases. 2010;(5):118-26. (In Russ.)]
- Landon MB, Leindecker S, Spong CY, et al. The MFMU caesa rean registry: Factors affecting the success of trial of labour after previous caesarean delivery. Am J Obstet Gynecol. 2005;193:1016-23. doi: 10.1016/j.ajog.2005.05.066.
- Kraiem J, Ben Brahim Y, Chaabane K, et al. Indicators for successful vaginal delivery after caesarean section: A proposal of a predictive score. Tunis Med. 2006;84(1):16-20.
- Телегина И.В., Павлов Р.В., Сельков С.А. Особенности формирования рубца на матке после кесарева сечения в зависимости от характера родоразрешения // Журнал акушерства и женских болезней. — 2013. — № 4. — С. 61–65. [Telegina IV, Pavlov RV, Selkov SA. Features of uterine scar after cesarean section depending on the time of delivery. Journal of Obstetrics and Women’s Diseases. 2013;62(4):61-65. (In Russ.)]
- Jastrow N, Gauthier RJ, Gagnon G, et al. Impact of labor at prior cesarean on lower uterine segment thickness in subsequent pregnancy. Am J Obstet Gynecol. 2010;202(6):563.e1-7. doi: 10.1016/j.ajog.2009.10.894.
- Щукина Н.А., Благина Е.И., Баринова И.В. Причины формирования и методы профилактики несостоятельного рубца на матке после кесарева сечения // Альманах клинической медицины. — 2015. — № 37. — С. 85–92. [Shchukina NA, Blagina EI, Barinova IV. Causes of inefficient uterine scarring after caesarean section and methods of its prevention. Almanac of Clinical Medicine. 2015;(37):85-92. (In Russ.)]
- Кулаков В.И., Чернуха Е.А., Комиссарова Л.М., и др. Результаты кесарева сечения в зависимости от методики наложения шва на матку и шовного материала // Акушерство и гинекология. — 1997. — № 4. — С. 18–21. [Kulakov VI, Chernukha EA, Komissarova LM, et al. Rezul’taty kesareva secheniya v zavisimosti ot metodiki nalozheniya shva na matku i shovnogo materiala. Obstetrics and Gynecology. 1997;(4):18-21. (In Russ.)]
- Логутова Л.С. Критерии диагностики состояния рубца на матке после кесарева сечения // Российский вестник акушера-гинеколога. — 2003. — № 1. — С. 59–64. [Logutova LS. Kriterii diagnostiki sostoyaniya rubtsa na matke posle kesareva secheniya. Rossiyskiy vestnik akushera-ginekologa. 2003;(1):59-64. (In Russ.)]
- Стрижаков А.Н., Тимохина Т.Ф., Баев О.Р., и др. Модификация кесарева сечения // Акушерство и гинекология. — 1997. — № 5. — С. 33–38. [Strizhakov AN, Timokhina TF, Baev OR, et al. Modifikatsiya kesareva secheniya. Obstetrics and Gynecology. 1997;(5):33-8. (In Russ.)]
- Чернуха Е.А., Комиссарова Л.М., Анкирская А.С., и др. Результаты кесарева сечения в зависимости от методики наложения швов на матку с использованием синтетического шовного материала // Вестник Российской ассоциации акушеров-гинекологов. — 1998. — № 1. — С. 79–83. [Chernukha EA, Komissarova LM, Ankirskaya AS, et al. Rezul’taty kesareva secheniya v zavisimosti ot metodiki nalozheniya shvov na matku s ispol’zovaniem sinteticheskogo shovnogo materiala. Vestnik Rossiyskoy assotsiatsii aku sherov-ginekologov.1998;(1):79-83. (In Russ.)]
- ACOG practice bulletin. Vaginal birth after previous cesarean delivery. Number 2, October 1998. Clinical management guidelines for obstetrician-gynecologists. American College of Obstetricians and Gynecologists. Int J Gynaecol Obstet. 1999;64:201-8.
- Zelop CM, Shipp TD, Repke JT, et al. Outcomes of trial of labor following previous cesarean delivery among women with fetuses weighing >4000 g. Am J Obstet Gynecol. 2001;185(4):903-5. doi: 10.1067/mob.2001.117361.
- Патент РФ на изобретение № 2543268 / 27.02.15. Бюл. № 6. Петрова Л.Е., Коган И.Ю., Кузьминых Т.У. Способ прогнозирования родов через естественные родовые пути у беременных с рубцом на матке после одного кесарева сечения. [Patent RUS № 2543268 / 27.02.15. Byul. No 6. Petrova LE, Kogan IYu, Kuz’minykh TU. Sposob prognozirovaniya rodov cherez estestvennye rodovye puti u beremennykh s rubtsom na matke posle odnogo kesareva secheniya. (In Russ.)] Доступно по: http://www.freepatent.ru/patents/2543268. Ссылка активна на 20.08.2017.
- Flamm BL, Dunnett C, Fischermann E, Quilligan EJ. Vaginal delivery following cesarean section: use of oxytocin augmentation and epidural anesthesia with internal tocodynamic and internal fetal monitoring. Am J Obstet Gynecol. 1984;148:759-63. doi: 10.1016/0002-9378(84)90562-3.
- Lao TT, Leung BF. Labor induction for planned vaginal delivery in patients with previous cesarean section. Acta Obstet Gynecol Scand. 1987;66:413-6. doi: 10.3109/00016348709022044.
- Jozwiak M, Dodd JM. Methods of term labour induction for women with a previous caesarean section. Cochrane Database Syst Rev. 2013 Mar 28;(3):CD009792. doi: 10.1002/14651858.CD009792.pub2.
- Ziyauddin F, Hakim S, Beriwal S. The transcervical foley catheter versus the vaginal prostaglandin e2 gel in the induction of labour in a previous one caesarean section — a clinical study. J Clin Diagn Res. 2013;7(1):140-3. doi: 10.7860/JCDR/2012/5003.2689.
- Теслова О.А. Разрыв матки при спонтанных и индуцированных родах после предшествующего кесарева сечения: оценка рисков // Проблемы здоровья и экологии. — 2014. — № 3(41). — С. 35–41. [Teslova OA. Uterine rupture in spontaneous and induced labor after cesarean section: literature review and assessment of risks. Problemy zdorov’ya i ekologii. 2014;3(41):35-41. (In Russ.)]
- Боженков К.А., Густоварова Т.А., Виноградов В.Л., Иванян А.Н. Возможности применения эпидуральной аналгезии у пациенток с рубцом на матке при вагинальных родах // Научные ведомости Белгородского государственного университета. — Серия «Медицина. Фармация». — 2015. — № 10(207). — С. 69–74. [Bozhenkov KA, Gustovarova TA, Vinogradov VL, Ivanyan AN. Vozmozhnosti primeneniya epidural’noy analgezii u patsientok s rubtsom na matke pri vaginal’nykh rodakh. Nauchnye vedomosti Belgorodskogo gosudarstvennogouniversiteta. Series: Medicine. Farmacia. 2015;10(207):69-74. (In Russ.)]
- Биндюк А.В., Ралко В.В., Гребенюк О.А., Ильиных И.М. Опыт родоразрешения беременных с рубцом на матке // Медицина и образование в Сибири. — 2013. — № 6. — С. 32–38. [Bindyuk AV, Ralko VV, Grebenyuk OA, Ilyinykh IM. Experience of delivery of pregnant women with cicatrix on uterus. Journal of Siberian Medical Sciences. 2013;(6):32-8. (In Russ.)]
- Густоварова Т.А. Беременность и роды у женщин с рубцом на матке: клинико-морфологические и диагностические аспекты: дис. ... д-ра мед. наук. — М., 2007. [Gustovarova TA. Beremennost’ i rody u zhenshchin s rubtsom na matke: kliniko-morfologicheskie i diagnosti cheskie aspekty. [dissertation] Moscow; 2007. (In Russ.)] Доступно по: http://www.dissers.ru/2raznoe/beremennost-rodi-zhenschin-rubcom-na-matke-kliniko-morfologicheskie-diagnosticheskie-aspekti-14-00-akusherstvo-ginekologiya.php. Ссылка активна на 20.08.2017.
- Vervoort AJ, Uittenbogaard LB, Hehenkamp WJ, et al. Why do niches develop in Caesarean uterine scars? Hypo theses on the aetiology of niche development. Hum Reprod. 2015;30(12):2695-702. doi: 10.1093/humrep/dev240.
- Логутова Л.С. Оптимизация кесарева сечения. Медицинские и социальные аспекты: дис. ... д-ра мед. наук. — М., 1996. [Logutova LS. Optimizatsiya kesareva secheniya. Meditsinskie i sotsial’nye aspekty. [dissertation] Moscow; 1996. (In Russ.)]. Доступно по: http://www.dslib.net/ginekologia/optimizacija-kesareva-sechenija-medicinskie-i-socialnye-aspekty.html. Ссылка активна на 20.08.2017.
- Cheng KK, Lee MM. Rising incidence of morbidly adherent placenta and its association with previous caesarean section: a 15-year analysis in a tertiary hospital in Hong Kong. Hong Kong Med J. 2015;21(6):511-7. doi: 10.12809/hkmj154599.
- Цхай В.Б., Леванович Е.В., Ростовцева Е.С., и др. Сравнительный анализ методов диагностики несостоятельного рубца на матке после операции кесарева сечения // Забайкальский медицинский журнал. — 2017. — № 1. — С. 39–42. [Tskhay VB, Levanovich EV, RostovtsevaES, et al. Sravnitel’nyy analiz metodov diagnostiki nesostoyatel’nogo rubtsa na matke posle operatsii kesarevo sechenie. Zabaykal’skiy meditsinskiy zhurnal. 2017;(1):39-42. (In Russ.)]
- Патент РФ на изобретение № 92002037 / 10.02.95. Бюл. № 1. Краснопольский В.И., Мареева Л.С., Белоусов М.А., Шалаев О.Н. Способ ведения родов у женщин с оперированной маткой. [Patent RUS No 92002037/10.02.95. Byul. No 1. Krasnopol’skiy VI, Mareeva LS, Belousov MA, Shalaev ON. Sposob vedeniya rodov u zhenshchin s operirovannoy matkoy. (In Russ.)]. Доступно по: http://www1.fips.ru/wps/portal/IPS_Ru#1502881200572. Ссылка активна на 20.08.2017.
- Сухих Г.Т., Донников А.Е., Кесова М.И., и др. Взаимо связь полиморфизма генов цитокинов с состоянием рубца матки после кесарева сечения // Акушерство и гинекология. — 2012. — № 4–2. — С. 16–20. [Su khikh GT, Donnikov AE, Kesova MI, et al. Relationship of cytokine gene polymorphisms to the uterine scar after cesarean section. Obstetrics and Gynecology. 2012;(4-2):16-20. (In Russ.)]
- Габидуллина Р.И., Азанова Д.Б., Резвяков П.Н. Морфологическое исследование биоптатов миометрия после кесарева сечения // Материалы 4-го Российского научного форума «Охрана здоровья матери и ребенка — 2002». — М., 2002. — C. 8–9. [Gabidullina RI, Azanova DB, Rezvyakov PN. Morfologicheskoe issledovanie bioptatov miomet riya posle kesareva secheniya. Materialy 4-go Ros siyskogo nauchnogo foruma “Okhrana zdorov’ya materi i rebenka 2002”. Moscow; 2002. P. 8-9. (In Russ.)]. Доступно по: http://nauka.x-pdf.ru/17meditsina/302056-1-moskva-2002-materiali-rossiyskogo-nauchnogo-foruma-ohrana-zdorovya-materi-rebenka-2002-aviaizdat-2002-528-rossiys.php. Ссылка активна на 20.08.2017.
- Патент СССР на изобретение № 1627139/15.02.91. Бюл. № 6. Погорелова А.Б., Мордухович А.С. Способ определения состоятельности рубца на матке. [Pa tent SU No 1627139/15.02.91. Byul. No 6. Pogorelova AB, Mordu khovich AS. Sposob opredeleniya sostoyatel’nosti rubtsa na matke. (In Russ.)]. Доступно по: http://www.findpatent.ru/patent/162/1627139.html. Ссылка активна на 20.08.2017.
- Патент РФ на изобретение № 2216275/26.07.01. Бюл. № 1. Крамарский В.А., Раевская Л.Ю., Дудакова В.Н. Способ прогнозирования характера заживления раны матки после операции кесарева сечения. [Patent RUS No 2216275/26.07.01. Byul. No 1. Kramarskiy VA, Raev skaya LYu, Dudakova VN. Sposob prognozirovaniya kharak tera zazhivleniya rany matki posle operatsii kesarevo se chenie. (In Russ.)]. Доступно по: http://www.freepatent.ru/patents/2216275. Ссылка активна на 20.08.2017.
- Патент Республики Казахстан на изобретение № 23076/15.11.10. Бюл. № 11. Кравцова Т.Г., Мамытбекова З.М., Исраилова М.З. Способ прогнозирования состояния рубца на матке при беременности. [Patent KZ No 23076/15.11.10. Byul. No 11. Kravtsova TG, Mamytbekova ZM, Israilova MZ. Sposob prognozirovaniya sostoyaniya rubtsa na matke pri beremennosti. (In Russ.)] Доступно по: http://kzpatents.com/4-ip23076-sposob-prognozirovaniya-sostoyaniya-rubca-na-matke-pri-beremennosti.html#kod. Ссылка активна на 20.08.2017.
- Патент РФ на изобретение № 2624372 / 03.07.17. Бюл. № 19. Биндюк А.В., Баринов С.В., Ралко В.В., и др. Способ прогноза родоразрешения беременных с рубцом на матке. [Patent RUS No 2624372/03.07.17. Byul. No 19. Bindyuk AV, Barinov SV, Ralko VV, et al. Sposob prognoza rodorazresheniya beremennykh s rubtsom na matke. (In Russ.)] Доступно по: http://www1.fips.ru/wps/portal/IPS_Ru#1502879859970. Ссылка активна на 20.08.2017.
- Birch PK, Hoffmann E, Rifbjerg LC, Nielsen HS. Cesarean scar pregnancy: a systematic review of treatment studies. Fertil Steril. 2016;105(4):958-67. doi: 10.1016/j.fertnstert.2015.12.130.
Supplementary files




