A class of preparations «progestagens»
- Authors: Repina M.A.1
- 
							Affiliations: 
							- St. Petersburg Medical Academy of Postgraduate Education
 
- Issue: Vol 47, No 3-4 (1998)
- Pages: 96-101
- Section: Lectures
- Submitted: 15.12.1998
- Accepted: 10.11.2021
- Published: 15.12.1998
- URL: https://journals.eco-vector.com/jowd/article/view/87519
- DOI: https://doi.org/10.17816/JOWD87519
- ID: 87519
Cite item
Full Text
Abstract
In the lecture there are considered questions of synthesis, classification, dosage, pharmacokynetics, and dynamics, indications and contraindications for application of a class of preparations called «progestagens».
Keywords
Full Text
Осознание роли женских половых стероидных гормонов в решении многих проблем репродуктивного возраста, пери- и постменопаузы способствовало бурному развитию производства их синтетических аналогов. Характерно, что синтез эстрогенов, пройдя через этап создания пролекарства местранола, фактически остановился в течение ряда лет на производстве его активного метаболита этинилэстрадиола ( 1939 год, Inhoffen et al.), который используется во всех препаратах оральной контрацепции, но с постепенным снижением дозы. В то же время индустрия синтетических аналогов прогестерона - прогестагенов (прогестинов, гестагенов) оказалась чрезвычайно динамичной и интенсивной, что понятно, так как именно они, блокируя овуляцию, обеспечивают надежный контрацептивный эффект, а также широко используются для лечения многих гинекологических заболеваний.
Понимание отличительных особенностей и свойств большого числа различных прогестагенов невозможно без обращения к структуре стероидных гормонов. Эта структура, берущая начало из холестерола (холестерина), представлена тремя шестичленными и одним пятичленным циклами (кольцами), расположенными в двух горизонтальных плоскостях, обозначаемых как А, В, С и D (рис.1). Основу структуры составляют 17 атомов углерода, занимающие каждый угол и имеющие стандартную нумерацию. В дополнение к ним атомы углерода могут располагаться в положениях 10 (атом С-19), 13 (атом С- 18) и в виде боковой цепи к С-17 ( атомы С-20 и С-21 ).
Рис. 1. Скелет стероидных гормонов.
Различия в свойствах стероидных гормонов определяются числом и типом заместителей (химических групп), располагающихся по структуре молекулярного скелета, по числу и положению двойных связей и стереохимической конфигурации. Пространственную ориентацию стереоизомеров обозначают приставками или буквами «цис» или «ß» и «транс» или «а».
Номенклатура половых стероидных гормонов зависит от числа и положения метиловых групп: одна в месте С-18 - эст- ран, две в положении С-19 - андростан, две угловые, т.е. в положениях С-18 и С-19 плюс боковая цепь в положении С-17 - прегнан, у которого 21 атом углерода.
Синтез прогестагенов, впервые начатый в конце 40-х годов, получил промышленное развитие в 60-х - 70-х годах. Первым был модифицирован тестостерон в прогестаген этистерон за счет введения в положении С-17 этиниловой группы. В дальнейшем для снижения побочного андрогенного действия прогестагенов была удалена метиловая группа из позиции С-19 (19-пог). Прогестагены, молекула которых была лишена метиловой группы в положении С-19 и имела этиниловую группу в положении С-17, стали называться норстероидами или норпрогестагенами: нор-этистерон, норэтинодрел, норгестринон и др. (рис. 2).
Рис. 2. Норэтистерон.
Введение в молекулу дополнительной этиниловой группы в позиции С-13 способствовало созданию норстероидов, которые назвали гонанами левоноргестрела, дезогестрела, гестадена, норгестимата (рис. З).
Рис. 3. Левоноргестрел.
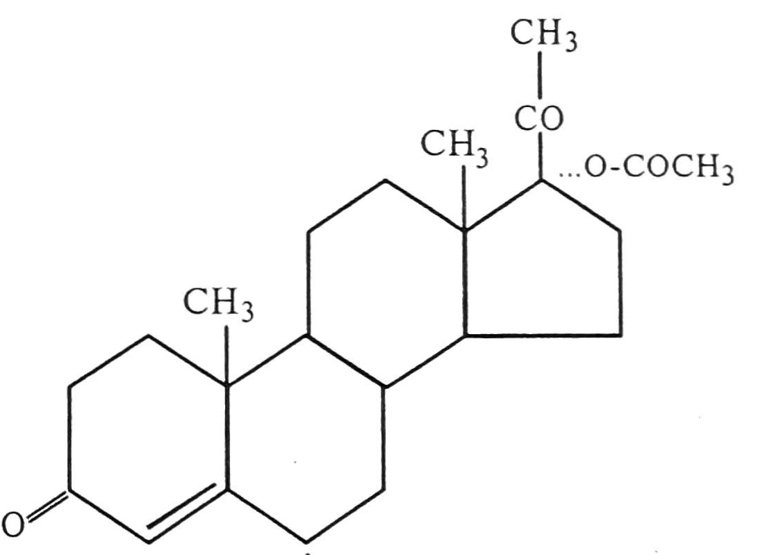
Другим источником синтеза прогестагенов явилась молекула прегнана, что обеспечило их большее сходство с прогестероном (рис. 4).
Рис. 4. Медроксипрогестерон ацетат.
Классификация прогестагенов представлена в табл. 1.
Таблица 1. Классификация прогестагенов
| Натуральные | Синтетические 
 | 
| Прогестерон | 1. Структурно связанные с прогестероном (дериваты прегнана) а. ацетиловые медроксипрогестерон ацетат ципротерон ацетат хлормадинон ацетат медрогестон б. неацетиловые дидрогестерон (дуфастон) | 2. Структурно связанные с тестостероном (этиниловые 19-нортестостероиды) а. дериваты эстрана норэтиндрон норэтиноорел норэтиндрон ацетат этинодиол диацетат норэтистерон линестренол б. дериваты гоиана левоноргестрел дезогестрел гестоден норгестимат | 3. Структурно связанные с тестостероном и прогестероном (неэтиниловые дериваты норпрегнана) промегестон норгестринон гестринон альтреногест диеногест | 
Развитие синтеза прогестагенов из двух разных источников - молекулы тестостерона, лишенной основных андрогенных свойств, и молекулы прегнана - привело к мысли о целесообразности комбинации их наиболее удачных характеристик за счет удаления из положения С-17 молекулы 19-норстероида этиниловой группы, отсутствующей в формуле прегнана.
Полученные таким образом гибриды обладают высоким сродством к рецепторам прогестерона (промегестон), не проявляют выраженных андрогенных свойств и обладают достаточно хорошей антигонадотропной активностью (алыпреногест, гестринон). Эти свойства препаратов определили области их применения: промегестон используют для лечения недостаточности лютеиновой фазы, гестринон - для лечения эндометриоза (Oettel et al., 1995).
В начале 1980-х годов создан еще один прогестаген такого плана - диеногест (препарат STS- 557), являющийся 19-норстероидом без этиниловой группы в позиции 17 а.
Исследования фармакокинетики, биотрансформации, биодоступности и других параметров показали, что даже небольшие изменения в структуре прогестагена способствуют заметным отличиям в их характеристиках и активности.
Было установлено, что некоторые прогестагены активны как в своей естественной форме, так и в виде метаболитов. Другие же по существу являются прогормонами или пролекарствами, так как действуют через своих метаболитов. Например, норгестимат обладает непосредственной активностью, но и активен через метаболит 17-дезацетилноргестимат. Пролекарством фактически является дезогестрел, так как биологически активным он становится, метаболизируясь в 3-кетодезогестрел. То же касается линестренола, который, проходя первичный путь через печень, быстро превращается в активный норэтистерон.
Характеризуя прогестаген, учитывают его биологическую потенцию, сродство (аффинитет) к рецепторам прогестерона и андрогенов, сродство к транспортным белкам: секс-гормон связывающему глобулину (СГСГ) и кортизол связывающему глобулину (КСГ), влияние на метаболизм липопротеинов, углеводный обмен, сопутствующие эстрогенное, антиэстрогенное, андрогенное, антиандрогенное и другие свойства, которые могут проявляться как побочные при клиническом использовании препарата. Отслеживают характеристики, касающиеся метаболизма и экскреции препарата, его период полураспада, токсичности и др.
Чрезвычайно важным свойством прогестагена, фактически определяющим целесообразность его назначения, является биологическая потенция препарата. Биологическую потенцию определяют с помощью различных методов, исследуя связывание рецепторов половых стероидов, используя биологические и клинические тесты.
Понятно, что степень связывания рецепторов к прогестерону и другим половым стероидам, то есть конкуренция за обладание рецепторами, содержащимися в ядрах клеток эндометрия, будет во многом определять клинический эффект того или иного препарата. Сродство или аффинитет к рецепторам прогестерона обычно оценивают по отношению к таковому у прогестерона или другого контрольного препарата (например, стероида R- 5020), принимая его аффинитет за 100%.
Оценка биологической потенции прогестагенов с этих позиций свидетельствует о заметных различиях в их способности связывать рецепторы матки к прогестерону: очень высоким сродством, превышающим в 2,5 и более раза таковое у прогестерона, обладают медроксипрогестерона ацетат и левоноргестрел. Достаточно высокая степень сродства у гестодена. Низким сродством обладают дезогестрел и норгестимат ( 1 /40 и менее от сродства прогестерона), а также - диеногест ( 10% от такового у прогестерона).
Низкая способность к связыванию рецепторов прогестерона при выраженном клиническом действии характерна для прогестагенов - пролекарств, действующих через свои активные метаболиты. В то же время исследования, выполненные в этом направлении для диеногеста, имеющего большое число метаболитов, исключили для него принцип пролекарства.
Прогестагены отличаются и по сродству к андрогенным рецепторам в матке: дериваты 19-норэтистероидов, как правило, обладают достаточно высоким аффинитетом к андрогенным рецепторам, тогда как диеногест и дериваты прегнана не обладают или обладают очень низким аффинитетом к этим рецепторам.
Биологическая потенция прогестагенов отражается и в дозах, необходимых для: а) полной секреторной трансформации эндометрия, б) подавления овуляции.
Полная секреторная трансформация эндометрия не должна сопровождаться сколько-нибудь значимыми повреждениями его структуры: отеком, микрокровоизлияниями, микротромбозами, другими нарушениями микроциркуляции. Состояние желез эндометрия должно приближаться к физиологическому, сопровождаться достаточной секреторной активностью.
Доза, защищающая эндометрий от действия эстрогенов, должна быть оптимально-минимальной, то есть самой низкой из эффективных для обеспечения секреторной транформации. Необходимость такого подхода к подбору дозы прогестагенов диктует не совсем благоприятное их влияние на спектр липопротеинов и углеводный обмен. Поэтому желательна максимальная сбалансированность дозы прогестагена с таковой у эстрогенного компонента, чтобы в препаратах для ЗГЛ доминировало метаболическое действие эстрогенов и местное (на эндометрий) прогестагенов.
Подбор дозы, обеспечивающей адекватную трансформацию эндометрия с последующим кровотечением отмены, проводят на женщинах, подвергшихся операции удаления яичников или находящихся в мено- постменопаузе (тест Kaufmanna). В табл.2 представлены дозы различных прогестагенов, необходимые для достаточной секреторной трансформации эндометрия у женщин, получающих эстрогены. Они достаточно высоки как у дериватов прегнана, так и 19-норстероидов. Исключение составляют прогестагены-гонаны (левоноргестрел, дезогестрел, гестоден, норгестимат), а также диеногест.
Таблица 2. Дозы прогестагенов, необходимые для блокады овуляции и секреторной трансформации эндометрия
| Прогестаген | Доза, трансформирующая. эндометрий, мг/цикл | Доза, блокирующая овуляцию, мг/сут | 
| Прогестерон натуральный | 200 | 400 | 
| Микронизированный прогестерон | 200-300 | 300 | 
| Медроксипрогестерон ацетат | 80 | 10 | 
| Ципротерон ацетат | 20 | 1.0 | 
| Хлормадинон ацетат | 20 | 1.0-2.0 | 
| Дидрогестерон | 150 | 30 | 
| Норэтистерон | 100 | 0.4 | 
| Норэтистерон ацетат | 50 | 0.5 | 
| Линестренол | 70 | 2.0 | 
| Левоноргестрел | 6 | 0.06 | 
| Гестоден | 2-3 | 0.03 | 
| Дезогестрел | 2 | 0.06 | 
| Норгестимат | 8 | 0.2 | 
| Диеногест | 6.5-7 | 1.5-2.0 | 
Чрезвычайно важна потенция прогестагенов в отношении блокады овуляции, что необходимо для надежной контрацепции. Степень антигонадотропной активности или способность ингибировать предовуляторное освобождение Л Г очень различна у прогестагенов, дериватов 19-нортестостерона и прегнана. Оптимальными для этих целей являются этиниловые 19-норстероиды - гонаны: левоноргестрел, дезогестрел, норгестимат, гестоден, обеспечивающие максимальный контрацептивный эффект. Доза, блокирующая овуляцию, у них составляет лишь 0.03-0.2 мг/сут (табл.2).
В то же время антигонадотропный эффект значительно слабее у производных прегнана и диеногеста: эти препараты предпочтительнее как компоненты программы заместительного гормонального лечения в пери- и постменопаузе.
Очень значимой характеристикой прогестагена является степень сопутствующей андрогенной активности. С точки зрения клинического применения прогестагенов даже предложено классифицировать их с учетом побочного андрогенного эффекта: низкий, средний, высокий. Подобный подход объясняется связью между андрогенами и неблагоприятными метаболическими сдвигами в организме, развитием атеросклеротических и тромботических сердечно-сосудистых заболеваний. Полагают, что прогестагены с низкой или отсутствующей андрогенной активностью не оказывают такого отрицательного влияния на метаболизм липопротеинов, как большинство дериватов 19-норстероидов. Тем не менее нежелательное действие на спектр липопротеинов есть и у некоторых производных прегнана, но отрицается у микронизированного прогестерона и диеногеста. В целом же этот вопрос недостаточно изучен, выводы часто строятся на небольшом числе непродолжительных наблюдений, не всегда выдержана методическая база исследований.
Помимо неблагоприятного влияния на метаболизм, прогестагены с сопутствующим андрогенным эффектом способствуют появлению симптомов андрогенизации - гирсутизма, алопеции, акне и др. Существует зависимость между эффектом андрогенизации и длительностью приема препарата. Этот эффект отмечен и при использовании норстероидных имплантов или инъекций (например, норгестрела, норэтиндрона), что доказывает его независимость от первичного прохождения препаратов через печень.
Как известно, половые стероидные гормоны и кортизол присутствуют в сыворотке крови в свободном и связанном состоянии. Связывающими их белками являются продуцируемые в печени ß- глобулин или секс-гормон, связывающий глобулин (СГСГ) и а - глобулин (КСГ), называемый также транскортином. Основная функция связывающих белков - ограничение концентрации свободных тестостерона (для СГСГ) и кортизола (длс КСГ) в сыворотке крови и, следовательно, ограничение их влияния на организм.
Действие стероидных гормонов проявляется через их связь с соответствующими рецепторами, расположенными в ядрах клеток тканей-мишеней. Способностью связываться с рецепторами к прогестерону, эстрогенам, андрогенам обладают и прогестагены. Степень связывания соответствующих рецепторов, то есть сродство или аффинитет к рецепторам у прогестагенов чрезвычайно варьирует. Например, сродство к андрогенным рецепторам в матке у прогестагенов с таким разным происхождением, как прогестерон, левоноргестрел и диеногест соответственно составляет 0.01, 53 и 0.84%, в то время как сродство к эстрогеновым рецепторам в той же ткани у всех трех менее 0.01 %.
Таким образом, как минимум, два условия необходимы для проявления действия стероидного гормона - его связывание с рецепторами, расположенными в ядрах клеток органов-мишеней, и уровень не связанного с транспортным белком, то есть свободного, способного соединяться с соответствующими рецепторами гормона в сыворотке крови.
Так как емкость и концентрация СГСГ и КСГ ограничены, то за связывание с ними может быть конкурентная борьба, в результате которой вытесняемый гормон (например, тестостерон) оказывается в достаточно высоких концентрациях в сыворотке крови и, следовательно, через рецепторный аппарат проявляет свое усиленное действие.
Несмотря на то, что СГСГ связывает не только тестостерон, но и эстрогены, сродство последних к глобулину значительно меньше (табл. З). Кроме того, эстрогены влияют на биосинтез СГСГ. Поэтому у женщин уровень СГСГ значительно выше, чем у мужчин. Очевидно, что увеличение уровня СГСГ в сыворотке крови является индикатором уменьшения в ней свободного тестостерона, то есть уровень СГСГ обратно коррелирует со свободным уровнем тестостерона.
Таблица 3. Сродство стероидных гормонов к связывающим белкам плазмы*
| Гормон | СГСГ, Kd, ммоль х 109 | КСГ, Kd, ммоль х 109 | 
| Эстрадиол | 5 | >10 | 
| Эстрон | >10 | >100 | 
| Тестостерон | 2 | >100 | 
| Дигидротестостерон | 1 | >100 | 
| Прогестерон | >100 | 2 | 
| Кортизол | >100 | 3 | 
* - Siiteri R., Febres F., 1979
Эстрогены оказывают влияние и на биосинтез транскортина (КСГ). Уровень свободного кортизола в сыворотке крови составляет лишь 8% от общего. Помимо кортизола, КСГ связывает лишь прогестерон (см. табл. З).
Прогестагены, обладающие высокой андрогенной активностью, связываются с СГСГ, вытесняя таким образом тестостерон и переводя его в свободное (то есть активное) состояние. Поэтому по уровеню СГСГ в сыворотке крови можно судить о степени андрогенных свойств того или иного прогестагена, о степени его сродства к СГСГ. Высоким сродством к СГСГ обладают некоторые дериваты 19-нортестостерона, включая левоноргестрел и гестоден. С другой стороны, норгестимат, также являясь дериватом 19-нортестостерона, близким по структуре к левоноргестрелу и гестадену, имеет низкое сродство к СГСГ, не вытесняет тестостерон из его связи с белком даже при длительном назначении.
Таблица 4. Профиль прогестагенов
| Прогестагены | Эстрогенное 
 | Анти- эстрогенное | Андрогенное | Анти- андрогенное | 
| Прогестерон | - | + | - | - | 
| Дигидростерон | - | + | - | - | 
| Медроксипрогестерон ацетат | - | + | - | (+) | 
| Ципротерон ацетат | - | (+) | - | ++ | 
| Норэтистерон ацетат | 4- | + | + | - | 
| Норгестимат | - | (+) | - | (+) | 
| Линестренол | + | + | + | - | 
| Левоноргестрел | - | ++ | + | - | 
| Дезогестрел | - | + | - | - | 
| Гестоден | - | + | (+) | - | 
| Диеногест | - | (+) | - | + / ++ | 
нет эффекта - ; слабый эффект (+) ; выраженный эффект + ; очень сильный эффект ++
Прогестагены могут также обладать сопутствующим эстрогенным и антиэстрогенным действием. Уровень эстрогенного влияния прогестагена оценивают с помощью кольпоцитологии. Эстрогенное влияние, присущее прогестагену, будет способствовать усилению биосинтеза в печени транспортных белков - СГСГ и КСГ. Поэтому выраженное побочное эстрогенное действие проявится в повышении их уровня в сыворотке крови на фоне приема соответствующего прогестагена. В то же время по причинам, указанным выше, этот эффект будет подавлен, если прогестаген одновременно обладает сильным андрогенным действием.Сродство к СГСГ фактически отсутствует у дериватов прегнана, родственных прогестерону. Не обладает сродством к СГСГ, а также к КСГ, и диеногест. У этих прогестагенов исключается возможность конкурентного замещения и вытеснения тестостерона, следовательно, отсутствует андрогенный эффект. Более того, некоторые из них демонстрируют антиандрогенное действие - от слабого (норгестимат) до умеренного (диеногест) и выраженного (ципротерон ацетат).
Следует отметить, что как и андрогенный, так и заметный эстрогенный эффект у прогестагена, как правило, нежелателен. В оральной контрацепции он может усиливать связанный с этинилэстрадиолом риск тромботических осложнений, в заместительной гормональной терапии - проявлять дополнительное влияние на эндометрий, в любых случаях - затруднять сбалансированное действие гормональных препаратов. То же можно сказать и об антиэстрогенном влиянии, усиливающем неблагоприятный эффект прогестагенов на спектр липопротеинов.
Теоретически идеальный прогестаген должен быть максимально приближен по своим качествам к прогестерону, но обладать значительно усиленным по сравнению с ним антигонадотропным и трансформирующим эндометрий действием. В то же время многие побочные свойства прогестагенов становятся их достоинствами и широко используются в клинической практике: антиандрогенный эффект ципротерона ацетата помогает при андрогенизации, связанной с поликистозными яичниками (препараты Диане-35, андрокур); сопутствующий андрогенный и слабый эстрогенный эффект деривата норэтистерона - тиболона (ливиала) обеспечил ему внеконкурентное место в качестве препарата для заместительного гормонального лечения (лечения и профилактики остеопороза) у женщин с длительной постменопаузой. Эти примеры могут быть продолжены.
Фактически все прогестагены оказывают неблагоприятное влияние на метаболизм углеводов. С нашей точки зрения, объяснение этому лежит в физиологических процессах беременности, при которых плацента продуцирует большие количества прогестерона. Прогестерон, снижая востребованность материнскими тканями глюкозы и инсулина (по существу, провоцируя состояние, близкое к диабету II типа), способствует относительно высоким уровням гликемии у беременных женщин и, следовательно, достаточному транспорту глюкозы через плаценту к плоду. Так как плацента непроницаема для инсулина, поступление к плоду глюкозы индуцирует его биосинтез ß- клетками поджелудочной железы плода. Продуцируемые инсулин и связанные с ним цитокины - инсулинозависимые факторы роста I и II - обеспечивают свою роль в росте и развитии плода.
«Антагонистические» отношения прогестерона с углеводным обменом фактически переданы прогестагенам. Возможное исключение составляют некоторые прогестагены - гонаны, а также дуфастон, диеногест. Поэтому назначение прогестагенов предполагает периодический контроль уровня гликемии.
Таким образом, лечащий врач сталкивается в своей практике с большим числом препаратов прогестагенов, имеющих различия в строении и, следовательно, существенные различия в своих свойствах, в фармакокинетике и фармакодинамике. Вместе с тем, есть определенные сходства в прогестагенах, относящихся к одной и той же группе по происхождению, что помогает правильно ориентироваться при выборе того или иного препарата.
About the authors
M. A. Repina
St. Petersburg Medical Academy of Postgraduate Education
							Author for correspondence.
							Email: info@eco-vector.com
				                					                																			                												                	Russian Federation, 							St. Petersburg						
References
Supplementary files
 
				
			 
					 
						 
						 
									
 
  
  
  Email this article
			Email this article 





