Antiphospholipid antibodies and combined pathology of small pelvis in women with tumors and tumoroid ovary formations, who suffer with infertility, and correction of revealed disorders
- Authors: Gataulina R.G.1, Vanko L.V.1, Nazarenko T.А.1, Ezhova L.S.1, Menzhinskaia I.V.1, Barabanova О.E.1, Sukhikh G.T.1
-
Affiliations:
- Scientific Center for Obstetrics, Gynecology and Perinatology of the Russian Academy of Medical Sciences
- Issue: Vol 51, No 3 (2002)
- Pages: 82-89
- Section: Scientific activity
- Submitted: 26.12.2021
- Accepted: 26.12.2021
- Published: 27.12.2021
- URL: https://journals.eco-vector.com/jowd/article/view/91105
- DOI: https://doi.org/10.17816/JOWD91105
- ID: 91105
Cite item
Full Text
Abstract
It is given in an article the obtained investigation results in studying antiphospholipid antibodies contains and combined pathology of small pelvis organs in 32 women with tumors and timorous ovary formations, who suffered with infertility. Analysis of anamnesis and clinic-laboratorial data, echography, operative laparoscopy and histological investigation is presented.
Full Text
Совершенствование клинических и иммунологических методов исследования в последнее время связано с изучением роли иммунологических нарушений в генезе бесплодного брака. Изучение иммунных реакций при бесплодии имеет важное значение, поскольку имеются сообщения о ведущей роли иммунных нарушений в репродуктивной функции человека (2,6,8).
В настоящее время значительную часть репродуктивных нарушений (привычное невынашивание беременности, бесплодие, отсутствие успеха в ЭКО) связывают с продукцией у женщин антифосфолипидных антител.
Увеличивается интерес к антифосфолипидному синдрому у женщин с опухолями и опухолевидными образованиями яичников (2,3,5,6,8).
Антифосфолипидный синдром (АФС) или синдром антифосфолипидных антител характеризуется продукцией аутоантител, направленных против отрицательно заряженных фосфолипидов, клинически связан с тромбоцитопенией, тромбозами, невынашиванием беременности или комбинацией перечисленных факторов (1,4,5,7,8).
Цель исследования
Изучение состояния репродуктивной системы и частоты встречаемости антител к фосфолипидам у женщин, страдающих бесплодием, с опухолями и опухолевидными образованиями яичников до и после оперативного вмешательства.
Материалы и методы
Проведено клинико-лабораторное обследование и последующее лечение 32 женщин с бесплодием и наличием опухолей или опухолевидных образований. Клиниколабораторное обследование включало в себя также определение антифосфолипидных антител к кардиолипину ( CL), фосфатидил- серину (PS), фосфатидилэтаполамину (РЕ), фосфатидилхолину (PC) методом иммуноферментного анализа.
Все больные на основании патоморфологического исследования были распределены на 2 группы: опухоли (I группа) и опухолевидные образования (II группа). Первую группу составили 5 женщин с серозной цистаденомой яичников и 4 женщины со зрелой кистозной тератомой. Во II группу вошли 23 пациентки с различными нозологическими новообразованиями яичников, которые распределились на 2 подгруппы: 1) эндометриоидные кисты -15 женщин; 2) кисты яичников - 8 пациенток.
Возраст больных в обследованных группах колебался от 19 до 21 года, средний возраст -20,2±0,6. Длительность бесплодия от 1 до 3-х лет, в среднем - 2,0±0,8 года.
Пациенткам проводились оперативная лапароскопия, гистероскопия и по показаниям - диагностическое выскабливание.
Результаты исследования
Изучение семейного анамнеза показало, что все пациентки с патологическими образованиями яичников имели отягощенную наследственность. У родственников всех пациенток II группы отмечены случаи опухолей различных систем организма, сахарный диабет - у 34,5%. Сахарный диабет в 2 раза чаще встречался по линии отца, а опухоли - по материнской линии: желудочно-кишечный тракт (15,6%); щитовидная железа (12,5%), матка (18,8%); молочные железы (12,5%).
Выявлена высокая предрасположенность к аллергическим реакциям у всех 32 пациенток, особенно выраженная во II группе. Аллергические реакции были установлены у всех 8 женщин (антибиотики, сульфаниламиды и другие медпрепараты); пищевая аллергия выявлена у 2-х (25%); к химическим веществам - также у 2-х (25%) больных.
В этой группе выявлен высокий инфекционный индекс, составивший 3,1±0,1.
Из гинекологических заболеваний в анамнезе выявлялись инфекции (хламидиоз, уреаплазмоз, микоплазмоз, ВИГ, ЦМВ, вагиноз и др.), которые чаще отмечались во II группе обследованных женщин. Так, например, в группе больных с эндометриоидными кистами обнаружено у 7 (46,6%) из 15 женщин; патология шейки матки отмечена у 6 (40%) из 15 женщин. В этой же подгруппе отмечена и высокая частота хронических сальпингоофоритов - 5 (33,3% ) из 15 больных.
При изучении репродуктивной функции в исследуемых группах установлено, что в группе больных с опухолями яичников первичное бесплодие встречалось в 44,4% случаев. У больных с эндометриоидными кистами преобладало вторичное бесплодие - 64,3%, в то время как у больных с кистами яичников чаще наблюдалось первичное бесплодие - у 62,5%. Самопроизвольное прерывание беременности наиболее часто происходило в I триместре беременности у больных с эндометроиоидными кистами и выявлено у 6 (40,0%) из 15, из них с осложнением - у 4 (40%) из 6 пациенток.
Средний возраст менархе в I группе составил 12±0,2 года и во II группе 13±1,1 года. Регулярный менструальный цикл установился с менархе: в I группе у 5 (55,5%) и у 4-х (45,5%) из 9 женщин через 6 месяцев; во II группе у 18 (78,3%) и у 5 (21,7%)- в пределах 6 месяцев после менархе. Длительность менструации в I группе составила 4 — 5 дней, а во II - 4 — 6 дней (в среднем 5,1±1,2 дня). Продолжительность менструального цикла колебалась в зависимости от характера нозологического образования яичника: I группа 28±2,3 дня; II группа - от 24 до 31 дня (27,6±1,2 дня). Необходимо отметить, что менструальные кровотечения у большей части больных 22 (68,8%) из 32 были обильными и со сгустками, а у остальных пациенток умеренными 8 (25%), у 2 (6,%) - скудными.
Анализ динамики интенсивности болевых ощущений во время менструаций с момента их возникновения, до периода обследования во II группе показал, что они не изменились у 13 (56,5%) из 23 женщин. Боли во время менструации после проведения противовоспалительной терапии, включавшей грязелечение, усилились у 7 (30,4%) пациенток. Уменьшение болей отмечено у 6 (26,1%) женщин, из них у 2 (33,3%) уменьшились после начала половой жизни и у 4(66,7% ) - после приема комбинированных эстроген-гестагенных препаратов в течение 3 — 4 месяцев.
Боли при половых сношениях (диспареуния) испытывали: 14 (60,9%) из 23 женщин II группы и 3 (33,3%) из 9 пациенток I группы.
Преовуляторные боли внизу живота или поясничной области отмечены у 4 (44,4%) пациенток I группы и у 16 (69,6%) II группы.
При биохимическом исследовании крови выявлено снижение общего билирубина и хлора в I группе больных, а во П группе - показатели калия, натрия, хлора, альбумина были значительно ниже нормы, и в основном отмечены у пациенток с эндометриозом яичников и кистами.
При исследовании гемостаза у 23 (71,9%) из 32 женщин выявлена изокоагуляция, у 9 (28,1 %) - имела место гиперкоагуляция, у 6 (66,7%) из 9 отмечена умеренно выраженная гиперкоагуляция и у 3-х (33,3%) - выраженная гиперкоагуляция. Гиперкоагуляция чаще прослеживалась в подгруппе с эндометриоидными кистами и у больных с серозными цистаденомами.
В ходе определения уровня антител к мембранным фосфолипидам в периферической крови, перитонеальной жидкости и содержимом опухолей и опухолевидных образований были получены следующие данные (табл. 1,2).
Таблица 1. Уровни антифосфолипидных антител в сыворотке крови,перитонеальной жидкости и содержимом опухолей и опухолевидных образований у пациенток с бесплодием (до лечения)
Уровни | Опухоли | Опухолевидные образования | ||||
Серозная цистаденома n=5 | Зрелая кистозная тератома n=4 | Эндометриоидные кисты n=15 | Кисты n=8 | |||
CL | IgM | Сыв. | 174±18,6 | 138±39,5 | 160±27,7 | 126±13,1 |
Кист. | 26±2,6 | 3±1,0 | 18±2,6 | 5±2,1 | ||
ПЖ | 0 | 18±2,1 | 70±10,5 | 45,5±16,8 | ||
IgG | Сыв. | 117±16,8 | 104±2,3 | 160±37,5 | 76±25,8 | |
Кист. | 27±2,3 | 38±0,1 | 48±2,3 | 6±2,2 | ||
ПЖ | 68±5,6 | 90±0,3 | 35±0,5 | 49,5±20,5 | ||
PS | IgM | Сыв. | 187±37,3 | 152±33,2 | 192±38,9 | 169±14,1 |
Кист. | 82±6,2 | 17±0,2 | 47±2,4 | 7±1,7 | ||
ПЖ | 0 | 21±0,1 | 62±5,7 | 53,5±7,5 | ||
IgG | Сыв. | 177±20,8 | 181±50,1 | 148±29,5 | 179±28,1 | |
Кист. | 72±42,2 | 42±0,1 | 48±2,7 | 21±7,5 | ||
ПЖ | 80±21,8 | 104±10,2 | 64±10,1 | 43,5±18,3 | ||
РЕ | IgM | Сыв. | 189±19,9 | 181±44,2 | 76±25,6 | 150±59,6 |
Кист. | 125±7,5 | 51±4,8 | 73±2,8 | 6±2,5 | ||
ПЖ | 12±8,6 | 68±5,9 | 210±10,1 | 94±28,7 | ||
IgG | Сыв. | 105±9,5 | 132±8,4 | 115±18,5 | 100±38,3 | |
Кист. | 75±2,7 | 70±10,1 | 114±16,2 | 13±31,0 | ||
ПЖ | 91±7,7 | 182±20,1 | 109±2,5 | 74±21,7 | ||
PC | IgM | Сыв. | 241±31,8 | 128±45,3 | 196±51,9 | 93±24,8 |
Кист. | 43±16,4 | 22±2,5 | 33±2,8 | 12±1,9 | ||
ПЖ | 15±2,7 | 18±3,5 | 88±2,5 | 44,5±13,6 | ||
IgG | Сыв. | 79±16,2 | 47,3±5,5 | 64±16,9 | 38,5±13,9 | |
Кист. | 39±3,9 | 21±2,4 | 67±2,5 | 9±3,8 | ||
ПЖ | 50±7,4 | 265±88,3 | 16±2,4 | 47±13,6 | ||
* — Достоверность показателей выше р < 0,01
Таблица 2. Уровни антифосфолипидных антител в сыворотке крови, перитонеальной жидкости и содержимом опухолей и опухолевидных образований у пациенток с бесплодием (после лечения)
Уровни | Опухоли | Опухолевидные образования | ||||
Серозная цистаденома n=5 | Зрелая кистозная тератома n=4 | Эндометриоидные кисты n=15 | Кисты n=8 | |||
CL | IgM | Сыв. | 58,5±9,4 | 106±11,5 | 136±23,1 | 98±12,1 |
Кист. |
|
|
|
| ||
ПЖ | 17+10,1 | 10±2,1 | 14±8,5 | 16,7±7,8 | ||
IgG | Сыв. | 60,2±29,8 | 150±98,3 | 173 + 60,1 | 130±27,8 | |
Кист. |
|
|
|
| ||
ПЖ | 56,7 + 33,1 | 25±0,3 | 57±30,2 | 46,5±19,5 | ||
PS | IgM | Сыв. | 129±15,8 | 168±6,2 | 177±14,4 | 142±15,1 |
Кист. |
|
|
|
| ||
ПЖ | 23±15,4 | 17±0,1 | 26±14,5 | 20,5±9,5 | ||
IgG | Сыв. | 109+ 9,8 | 185±98,1 | 174±67,4 | 164±30,1 | |
Кист. |
|
|
|
| ||
ПЖ | 53,5 + 30,9 | 26±6,2 | 39±21,2 | 31,2±12,6 | ||
PE | IgM | Сыв. | 227±67,9 | 307±41,2 | 320±32,7 | 226±28,6 |
Кист. |
|
|
|
| ||
ПЖ | 55,5±33,4 | 35±5,9 | 40±18,1 | 47,5±22,9 | ||
IgG | Сыв. | 125±16,9 | 249±98,4 | 228±80,3 | 176±37,0 | |
Кист. |
|
|
|
| ||
ПЖ | 43,5±25,2 | 21±2,1 | 51±26,5 | 62±25,7 | ||
PC | IgM | Сыв. | 175±20,8 | 238±15,3 | 213±24,5 | 193±23,8 |
Кист. |
|
|
|
| ||
ПЖ | 73,5±49,4 | 21±3,5 | 49±22,3 | 41,1±17,6 | ||
IgG | Сыв. | 211±52,8 | 189,7±39,5 | 178±30,9 | 171±23,5 | |
Кист. |
|
|
|
| ||
ПЖ | 71±42,8 | 43±8,3 | 78±38,9 | 45,6±16,7 | ||
* - Достоверность показателей выше р < 0,01
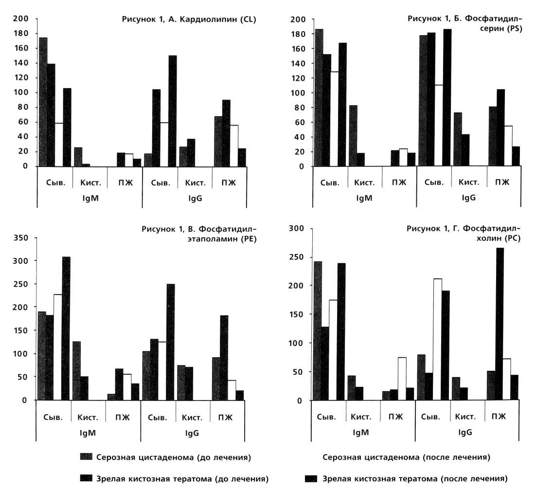
Уровень антител как IgM, так и IgG-классов ко всем исследуемым фосфолипидам в образцах содержимого кист в группе женщин с опухолевидными образованиями, не включающей женщин с эндометриоидными кистами, был чрезвычайно низок (в пределах 5 —21 у. ед.). Существенно выше их уровень в перитонеальной жидкости (43,5 — 94 у. ед.), однако в большинстве случаев он в 2 — 3 раза ниже сывороточного, за исключением IgG-антител к PC (рис. 1).
Рисунок 1, (А-Г). Уровни антифосфолипидных антител в сыворотке крови, перитонеальной жидкости и содержимом опухолей у пациенток с бесплодием до и после лечения
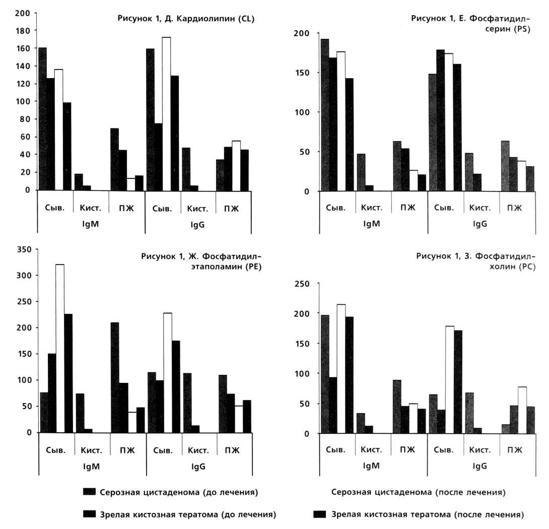
Рисунок 1, (Д-З). Уровни антифосфолипидных антител в сыворотке крови, перитонеальной жидкости и содержимом опухолевидных образований у пациенток с бесплодием до и после лечения
В образцах содержимого эндометриоидных кист и перитонеальной жидкости у женщин с эндометриозом уровень α ФЛ был существенно выше, чем в предыдущей группе, особенно это касается антител к PE, уровень которых сравним с уровнем их в сыворотке крови.
Концентрация а ФЛ в содержимом зрелых кистозных тератом находится между значениями для групп пациенток с кистами и эндометриоидными кистами. Уровень IgM α ФЛ в перитонеальной жидкости проявляет ту же закономерность, тогда как концентрация IgG существенно выше ко всем фосфолипидам по сравнению с опухолевидными образованиями (кисты и эндометриоидные кисты). В содержимом зрелых кистозных тератом отмечен наиболее высокий уровень антител к PE, а в перитонеальной жидкости к PE и PC.
Уровень IgM антител ко всем определяемым фосфолипидам в образцах содержимого цистаденом был выше, чем в остальных группах, IgG класса выше к PS и PE. В перитонеальной жидкости обнаружен низкий уровень IgM ко всем фосфолипидам, но IgG к PS и PE также был выше. Сывороточный уровень IgM антител был высок ко всем исследуемым фосфолипидам, а IgG-класса сравним с уровнями в группе женщин с эндометриоидными кистами.
Определение α ФЛ в сыворотке крови и перитонеальной жидкости женщин через месяц после проведенного лечения выявило определенные изменения их уровня.
В перитонеальной жидкости женщин в группе с опухолевидными образованиями, не включавшей эндометриодные кисты, уровень как IgM, так и IgG ко всем фосфолипидам снизился. В сыворотке крови отмечено снижение уровня IgM антител к CL и PS и увеличение к PE и PC. Уровень сывороточных IgG антител был снижен к CL и PE, тогда как к PS и PC повышен.
У женщин с эндометриоидными кистами отмечена сходная закономерность в изменении содержания α ФЛ антител в перитонеальной жидкости: снижение уровня IgM антител ко всем фосфолипидам, а также IgG антител, за исключением антител к PC. Уровни сывороточных IgM и IgG антител к CL и PS после лечения снижались, а к PE и PC повышались.
Снижалось содержание а ФЛ IgM антител в перитонеальной жидкости женщин после удаления зрелых кистозных тератом, а также IgG антител, за исключением антител к PC. Уровни IgM и IgG антител к PE и PC в сыворотке были увеличены.
Значительно отличалась динамика содержания α ФЛ антител в перитонеальной жидкости женщин с серозной цистаденомой. Имела место тенденция к подъему IgM и IgG антител ко всем фосфолипидам, тогда как уровни сывороточных антител к CL и PS снижались, а к PE и PC повышались.
Таким образом, выявлено увеличение сывороточного уровня антифосфолипидных антител, чаще IgM-класса, наиболее выраженное в группах женщин с эндометриоидными кистами и с серозными цистаденомами, а также уровней антител в содержимом кист и перитонеальной жидкости. Более часто встречались высокие уровни антител к PS и PE. По частоте обнаружения высоких уровней антифосфолипидных антител на системном и локальном уровнях группы обследованных больных можно распределить следующим образом (по возрастанию): кисты зрелая кистозная тератома серозная цистаденома эндометриоидные кисты.
Исследование содержания а ФЛ антител в перитонеальной жидкости и сыворотке крови женщин после проведенного лечения выявило сходные изменения уровней антител IgM и IgG классов в группах женщин с опухолевидными образованиями и зрелыми кистозными тератомами: снижение уровней антител практически ко всем исследуемым фосфолипидам в перитонеальной жидкости, снижение сывороточных антител к CL и PS и увеличение к PE и PC В перитонеальной жидкости женщин с цистаденомами, напротив, отмечено увеличение уровня α ФЛ антител обоих классов, а тенденция к увеличению сывороточных антител к PE и PC сохранилась.
Перед оперативной лапароскопией всем 32 пациенткам было проведено эхографическое исследование органов малого таза. Женщинам II группы (опухолевидные образования) данное исследование осуществлялось в I и II фазу менструального цикла, а также в динамике в течение двух-трех менструальных циклов.
У 32 больных при эхографии обнаружено 34 объемных образования в яичниках. Их диаметр колебался от 2 до 10 см. При этом у 14 (43,8%) из 32 больных патологическое образование локализовалось в правом яичнике, у 16 (50%) - в левом. У 2-х (6,3%) женщин объемные образования были двухсторонними.
Иногда в одном яичнике одновременно определялись два образования. Так у 1 пациентки в правом яичнике были выявлены две эндометриоидные кисты, у другой - в левом яичнике два разных кистозных образования (киста желтого тела и киста без выстилающего эпителия).
Необходимо отметить, что у 1 пациентки гигантская многокамерная зрелая кистозная тератома, измерить которую при ультразвуковом исследовании не представляло возможным, так как это образование занимало всю брюшную полость. В последующем этой больной была произведена компьютерная томография, которая позволила измерить это образование и предположить, из какого яичника исходит данное образование. Размеры его соответствовали 18×17×20 см, и исходило оно из левого яичника.
Внутриматочная патология при ультразвуковом исследовании, выявленная у 16 (50%) из 32 обследованных пациенток, полностью была подтверждена при патоморфологическом исследовании соскобов. Из 16 больных у 1 (6,2%) обнаружены внутриматочные сращения, у 6 (37,5%) - хронический эндометрит.
Оперативная лапароскопия, произведенная всем 32 женщинам,позволила не только подтвердитъ наличие новообразования яичников, но и выявить сочетанную патологию в малом тазу (табл. 3). Наружный генитальный эндометриоз при первичном осмотре органов малого таза выявлен: в I группе у 3 (33,3%) из 9; во II группе у 13 (56,5%) из 23 женщин.
Эндометриоидные гетеротопии были обнаружены как на яичниках, так и на брюшине малого таза. При этом у всех больных диагностирован эндометриоз различной локализации. Наиболее часто поверхностные эндометриоидные гетеротопии локализовались на крестцово-маточных связках и позади маточного пространства, глубокие очаги эндометриоза - в позадиматочном пространстве над прямой кишкой. Синдром Аллена- Мастерса установлен у 3 (9,4%) из 32 больных в области позади-маточного пространства, но ближе к правой крестцово-маточной связке.
Степень распространения наружного генитального эндометриоза оценивали по классификации Американского общества плодовитости (1985 г.). При этом степень распространения эндометриоза у 3 (18,7%) из 16 женщин оценена как I — II, у 6 (37,6% ) как III и у 7 (43,7%) как IV.
Миома матки обнаружена у 11 (34,4%) женщин, из них у 2-х (18,2%) - множественная миома матки. Из 5 пациенток с серозными цистаденомами миома матки выявлена у 1 (20%); с эндометриозными кистами у 6 (40% ) и у больных с кистами яичников в 5 случаях (62,5%) из 8.
Спаечный процесс в малом тазу у женщин с серозными цист- аденомами и зрелыми кистозными тератомами был обусловлен перенесенными ранее воспалительным процессом в малом тазу. У больных (73,3%) с эндометриоидными кистами и другими кистозными образованиями яичников (50%) спаечный процесс в основном можно трактовать как возникший вследствие эндометриоидных поражений. Он был представлен в виде сентильных сращений яичников с задними листками широких связок. При разделении сращенных яичников во всех случаях обнаруживались множественные мелкие (до 0,5 — 1 см в диаметре) кистозные полости с густым коричневым содержимом. Маточные трубы в спаечный процесс были вовлечены у 13 (76,5%) из 17 больных. У 8 (61,5%) из 13 женщин маточные трубы были непроходимы с одной стороны - сактосальпинксы, у 1 (7,7%) с обеих сторон, у 4 (30,8%) - затрудненная проходимость маточных труб после рассечения спаек саль- пингоовариолизиса и сальпингостомии у всех больных обе маточные трубы стали проходимыми, что было подтверждено при гидротубации с индигокармином.
Диагноз «серозецеле», установлен при эхографии 1 пациентке и он полностью подтвердился во время проведения лапароскопии. В анамнезе у этой больной было два чревосечения (резекция правого яичника по поводу апоплексии и кишечная непроходимость). Оперативная лапароскопия проводилась по общепринятой методике под комбинированным эндотрахеальным наркозом. Подготовку к лапароскопии проводили как при лапаротомии.
Во время оперативной лапароскопии всем обследованным женщинам была произведена энуклеация опухолевых и опухолевидных образований яичников. В тех случаях, когда была выявлена сочетанная патология в малом тазу, производилось: эндокоагуляция очагов эндометриоза, разделение сращений, сальпингоовариолизис и сальпингостомия, консервативная миомэктомия.
Пациентке с гигантской зрелой кистозной тератомой левого яичника ввиду начавшегося перекрути было произведено удаление придатков с пораженной стороны и биопсия правого яичника.
Всем пациенткам во время лапароскопии с серозной цистаденомой была произведена биопсия второго яичника, в других подгруппах — биопсия противоположного яичника производилась при неуточненной патологии выявленного новообразования у первого яичника.
Все удаленные ткани (макропрепараты) во время операции были направлены на гистологическое исследование, в ряде случаев и на cito-диагностику.
Одновременно с лапароскопией (после окончания оперативного этапа лапароскопии) производили гистероскопию с целью исключения внутриматочной патологии.
При гистероскопии деформация полости матки не обнаружена ни у одной из обследованных женщин. Устья маточных труб были свободны у всех 32 пациенток. Внутриматочные синехии были выявлены у одной больной - ближе к перешейку. Патология эндометрия выявлена у 12 (37,5% ) из 32 женщин. Из них у 6(50%) - полип эндометрия, у 4 (33,3%) - хронический эндометрит и у 2-х (16,7%) - ги- перплазия эндометрия.
Таблица 3. Объемные образования яичников и сочетанная патология в малом тазу, выявленные при лапароскопии
Количество больных по группам n=32 | Спаечный процесс в малом тазу | Наружный генитальный эндометриоз | Миома матки |
І группа n=9 | 2 22,2% | 3 33,3% | 1 11,1% |
1 подгруппа: серозные цистаденомы n=5 | 1 20% | 2 40% | 1 20% |
2 подгруппа: зрелые кистозные тератомы n=4 | 1 25% | 1 25% | - |
II группа n=23 | 15 65,2% | 13 56,5% | 11 47,8% |
1 подгруппа: | 11 | 10 | 6 |
эндометриоидные кисты n=15 | 73,3% | 66,7% | 40% |
2 подгруппа: | 4 | 3 | 5 |
кисты яичников n=8 | 50% | 37,5% | 62,5% |
Во всех случаях было произведено выскабливание эндометрия с последующим гистологическим исследованием соскоба.
Необходимо отметить, что во всех случаях, когда при эхографии был выявлен полип эндометрия, диагностирован хронический эндометрит или имелось подозрение на патологию эндометрия, при гистероскопии и последующем патоморфологическом исследовании соскоба из полости матки вышеуказанные диагнозы подтверждались.
Таким образом, несмотря на то, что у 16 (50 %) пациенток была выявлена патология эндометрия, мы не можем утверждать, что это является ведущим фактором бесплодия у женщин с новообразованиями яичников. Вероятнее всего, это сопутствующий фактор бесплодия у данного контингента больных.
Оперативное вмешательство во всех случаях протекало без осложнений. Не отмечено осложнений и в послеоперационном периоде. Пациентки были выписаны на 2 — 5 сутки после оперативной лапароскопии.
Для улучшения репаративных процессов в ткани оперированного яичника, удаления из кровеносного русла токсических веществ, компонентов разрушенных клеток, восстановление фагоцитарной системы, повышение функциональной активности кроветворных, стромальных и иммунокомпетентных клеток, а также для улучшения микроциркуляции в раннем послеоперационном периоде из эфферентных методов лечения у больных с сочетанной патологией в малом тазу (наружный генитальный эндометриоз, спаечный процесс в малом тазу) использовался плазмоферез. К сожалению, применение озонотерапии в раннем послеоперационном периоде у пациенток с новообразованиями яичников вызывает гиперстимуляцию яичников в виде образований функциональных кист, чаще в здоровом яичнике.
На втором этапе лечения пациенток с доброкачественными опухолями и опухолевидными образованиями яичников при наличии такой сопутствующей патологии в малом тазу, как наружный генитальный эндометриоз и с целью профилактики раннего рецидива наружного генитального эндометриоза проводили гормонотерапию в течение 6 месяцев в непрерывном режиме (Даназол, Декапептил-Депо, Золадекс, Гестринон). Назначение препарата производили индивидуально для каждой больной с учетом морфофункционального и гормонального статуса.
Учитывая наличие побочных явлений (приливы, головные боли, слабость) при проведении гормонотерапии в послеоперационном периоде,5 (15,8%) пациенткам из 32 одновременно был проведен курс плазмофереза. На фоне такой комплексной терапии отмечалось резкое улучшение состояния женщин, снижение или полное исчезновение побочных эффектов.
Всем больным в послеоперационном периоде с целью восстановления менструально-репродуктивной функции была проведена комплексная дифференциальная реабилитационная терапия, включающая в себя: гормональную и метаболическую терапию, энзимотерапию, витаминотерапию - с учетом поражения всех звеньев репродуктивной системы. Это позволило увеличить частоту наступления беременности до 82,7%. Сроки наступления беременности колебались от 1 до 6 месяцев.
Таким образом данные об увеличении уровня α ФЛ антител у женщин с опухолями и опухолевидными образованиями яичников и бесплодием, наиболее выраженные в группах больных с цистаденомами и эндометриоидными кистами, позволяют отнести их к группе высокого риска по развитию у них аутоиммунных нарушений при наступлении беременности. Поэтому с целью профилактики самопроизвольных выкидышей и нормального родоразрешения рекомендуется наблюдение в профильных учреждениях.
About the authors
R. G. Gataulina
Scientific Center for Obstetrics, Gynecology and Perinatology of the Russian Academy of Medical Sciences
Author for correspondence.
Email: info@eco-vector.com
Russian Federation, Moscow
L. V. Vanko
Scientific Center for Obstetrics, Gynecology and Perinatology of the Russian Academy of Medical Sciences
Email: info@eco-vector.com
Russian Federation, Moscow
T. А. Nazarenko
Scientific Center for Obstetrics, Gynecology and Perinatology of the Russian Academy of Medical Sciences
Email: info@eco-vector.com
Russian Federation, Moscow
L. S. Ezhova
Scientific Center for Obstetrics, Gynecology and Perinatology of the Russian Academy of Medical Sciences
Email: info@eco-vector.com
Russian Federation, Moscow
I. V. Menzhinskaia
Scientific Center for Obstetrics, Gynecology and Perinatology of the Russian Academy of Medical Sciences
Email: info@eco-vector.com
Russian Federation, Moscow
О. E. Barabanova
Scientific Center for Obstetrics, Gynecology and Perinatology of the Russian Academy of Medical Sciences
Email: info@eco-vector.com
Russian Federation, Moscow
G. T. Sukhikh
Scientific Center for Obstetrics, Gynecology and Perinatology of the Russian Academy of Medical Sciences
Email: info@eco-vector.com
Russian Federation, Moscow
References
Supplementary files




