Ensuring the start-up of asynchronous electric motors
- Авторлар: Mezentseva А.V.1
-
Мекемелер:
- Nizhnevartovsk State University
- Шығарылым: 2024: Pogonyshev DA, editor. Culture, science, education: problems and prospects: proceedings of the XI International Scientific and Practical Conference (Nizhnevartovsk, 9-10 November 2023)
- Беттер: 310-315
- Бөлім: Секция 7. Передовые исследования в математических и физических науках
- URL: https://journals.eco-vector.com/kultura_nvsu2023/article/view/630948
- DOI: https://doi.org/10.36906/KSP-2023/43
- ID: 630948
Дәйексөз келтіру
Толық мәтін
Аннотация
A study is being conducted of the conditions that ensure the start of electric motors powered by transformer substations and operating in parallel with each other, during which it was found that with a decrease in voltage, it is important that during the start-up period, to ensure its further stable operation of electric motors, the starting torque was greater than or equal to the value of the torque of the working machine brought to the shaft of the electric motor.
Толық мәтін
Трансформаторные подстанции промышленных потребителей, как правило, рассчитаны на мощности, которые по своей величине соответствуют мощностям присоединенных к ним электрических двигателей, поэтому можно принять, что сопротивления подстанций и потребителей по своей величине являются соизмеримыми. В момент пуска пусковой ток электрического двигателя достигает величины, в несколько раз превышающей его номинальный ток. Увеличение тока в линии электропередачи приводит к падению напряжения в линии электропередачи и на зажимах двигателя ниже номинального. Чем мощнее двигатель, тем значительнее будет снижение напряжения на электрическом двигателе, соответственно условия устойчивой работы двигателя ухудшаются [3, с. 336].
Момент электрического двигателя, в том числе и пусковой, зависит от квадрата приложенного напряжения, поэтому при снижении напряжения момент также будет в значительной степени снижаться. При снижении момента ниже допустимого, когда пусковой момент станет меньше момента сопротивления приводного механизма, электродвигатель не запустится, а недопустимо большой действующий пусковой ток в случае несрабатывании защиты электродвигателя может привести к выходу его из строя.
Недопустимое понижение питающего напряжения в момент пуска мощных электрических двигателей влияет и на другие параллельно работающие двигатели. Их перегрузочная способность из-за снижения напряжения также падает и в периоды высоких пиковых нагрузок, это может привести к останову электрических двигателей ответственных потребителей [2, с. 254].
Успешный пуск электрического двигателя возможно осуществить при соблюдении необходимого условия: пусковой момент электрического двигателя в случае снижения напряжения должен быть больше или равен моменту сопротивления при трогании с места приводного механизма на валу рабочей машины, приведенного к валу электрического двигателя [4, с. 229], при этом необходимо учесть и величину избыточного момента, позволяющий осуществить пуск системы электропривода. Избыточный момент принимается равным 25% от номинального Мном.
Коэффициент снижения напряжения в момент пуска равен:
где Uп – напряжение при пуске, приложенное к электрическому двигателю, В;
Uн – напряжение двигателя при номинальных условиях, В.
Учитывая квадратичную зависимость пускового момента от приложенного напряжения, с учетом (1.1) получим необходимое условие пуска электрического двигателя:
где Мп.ном – пусковой момент двигателя, соответствующий номинальным условиям, Н·м;
Мпр.т – приведенный момент трогания рабочей машины, Н·м;
Мном – номинальный момент электродвигателя, Н·м. Приведенный момент рабочей машины при трогании с места:
где Мтр – момент трогания машины;
η – коэффициент полезного действия передачи;
i – передаточное отношение:
где ωдв – скорость электродвигателя, рад/с;
ωм – скорость приводного механизма – рабочей машины, рад/с.
Момент при трогании приводного механизма можно определить по его технической характеристике. Если таких данных нет, то момент трогания приводного механизма можно определить по усилию, возникающем на шкиве рабочей машины в момент запуска, а именно:
где Fт – усилие трогания, Н;
r – радиус шкива, м.
Разделив обе части уравнения (1.2) на номинальный момент, получим:
где μп и μт – кратности пускового момента и момента трогания.
Из уравнения (1.6):
Потеря напряжения в момент пуска электрического двигателя:
откуда
Подставив (1.9) в (1.7) получим:
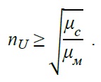
Из анализа выражения (1.10) следует, что допускаемая потеря напряжения в момент пуска двигателя зависит от кратности рассматриваемых моментов сопротивления и пускового. Уменьшение величины приведенного момента сопротивления приводного механизма и увеличение пускового момента электродвигателя позволяет увеличить диапазон допустимого снижения напряжения на зажимах двигателя.
Определение снижения напряжения в соответствии с (1.10) при соответствующих кратностях моментов пускового и сопротивления дает возможность проверить возможность обеспечения пуска электрического двигателя. При выполнении данного условия пуск электрического двигателя обеспечивается и не требует его повторного включения.
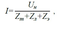
Для определения снижения допустимого напряжения ∆U% рассмотрим электрическую цепь с последовательным соединением трансформатора и линии, с соответствующими полными сопротивлениями Zт, Zл и общим эквивалентным сопротивлением и всех электродвигателей, параллельно подключенных с запускаемым и питающихся от линии Zэ [5, с. 25]. Коэффициент мощности с учетом допущений для всех сопротивлений принимаем одинаковым. С учетом равномерной загрузки, ток в каждой фазе можно определить как:
где Uн – номинальное напряжение трансформатора, В.
Потеря напряжения в обмотке трансформатора и в линии в момент пуска электрического двигателя зависят от соответствующих сопротивлений:
Подставив (1.11) в (1.12) получим:
В выражении (1.13) сопротивление трансформатора можно определить при номинальных условиях, используя расчетные значения напряжений к.з.:
где Iт – ток трансформатора при номинальных условиях,
А; ΔUк% – напряжение к.з., В.
Сопротивление линии электропередачи от трансформаторной подстанции до электрического двигателя:
где Z0 – удельное сопротивление линии длиной в 1 км, Ом/км;
l – длина соответствующей линии электропередачи, км.
Сопротивление параллельно работающих электродвигателей, участвующих в запуске:
где Zп – полное пусковое сопротивление рассматриваемого двигателя в момент запуска, Ом;
Zд – эквивалентное сопротивление параллельно подключенных с запускаемым электрических двигателей, Ом;
cos(φп – φд) – коэффициент мощности при пуске запускаемого двигателя и параллельно работающих с ним электрических двигателей.
Если принять Zн=∞ и Zэ=Zп, то можно проверить обеспечивается ли запуск только одного двигателя (в случае, когда другие отсутствуют) или пуск невозможен.
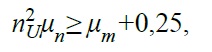
Работа параллельно подключенных электрических двигателей связана с потерей устойчивости при резких скачках напряжения, обусловленных запуском других мощных электродвигателей. Для того, чтобы они не остановились, и их устойчивая работа не нарушилась необходимо также выполнить определенное условие – момент сопротивления рабочих органов механизмов, приведенный к валу электрического двигателя не должен превышать наибольший критический момент двигателя [1, с. 45], то есть:
где Мкр – критический момент двигателя, Н·м;
Мс.пр –момент сопротивления, приведенный к валу двигателя, Н·м. Из выражения (1.17) следует, что:
где μс и μм – кратности приведенного момента сопротивления и наибольшего максимального момента приводимого в движение механизма.
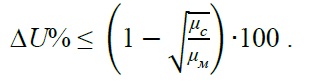
Подставив (1.9) в (1.18), получим:
Если после подстановки значений потери напряжения ∆U% и кратностей, соответствующих, приведенного момента сопротивления и наибольшего максимального момента приводимого в движение механизма μс и μм неравенство (1.10) соблюдается, то значит проверяемый электрический двигатель после запуска работает устойчиво.
Таким образом, уменьшая момент сопротивления рабочей машины и увеличивая максимальный момент приводного двигателя можно добиться более устойчивой работы электродвигателей и обеспечить успешный запуск системы электропривода.
Недопустимо большие потери напряжения при пуске электрических двигателей в большей степени оказывают влияние на технологическое оборудование, что может привести к проблемам в его работе, снижению производительности и качества выпускаемой продукции, на осветительные приборы и ряд других потребителей.
Для того, чтобы уменьшить падение напряжения в момент пуска электрических двигателей, необходимо произвести замену:
-проводников питающих потребителей линий электропередачи на проводники с сечением большей величины и из материала с большей температурой нагрева;
-перегруженных и отработавших свой срок эксплуатации трансформаторов на более современные трансформаторы большей мощности с более совершенными типами защит.
Если установку возможно запускать на холостом ходу, то нужно использовать специальные электрические двигатели с возможностью переключения схемы обмотки статора со звезды на треугольник на период пуска или с использованием устройств плавного пуска для снижения пускового тока и обеспечения устойчивого запуска.
Авторлар туралы
А. Mezentseva
Nizhnevartovsk State University
Хат алмасуға жауапты Автор.
Email: uni@nvsu.ru
ORCID iD: 0000-0001-9927-0286
Candidate of Technical Sciences
Ресей, NizhnevartovskӘдебиет тізімі
- Алиев И.И. Асинхронные двигатели трехфазном и однофазном режимах. М.: ИП РадиоСофт, 2004. 128 с.
- Громков А.С. Влияния качества электроэнергии на работу электроприемников и способы повышения показателей качества электроэнергии // Экономика и социум. 2020.
- №4(71). С. 253-256.
- Мелешкин Г.А., Меркурьев Г.В. Устойчивость энергосистем. Книга 1. СПб.: Центр подготовки кадров энергетики, 2006. 369 с.
- Сыромятников И.А. Режимы работы асинхронных и синхронных электродвигателей. Л.: Энергоатомиздат, 1984. 240 с.
- Фурсанов М.И. Определение и анализ потерь электроэнергии в электрических сетях энергосистем. Минск: Белэнергосбережение, 2005. 207 с.
Қосымша файлдар





















