Optimization problems in photonics
- Authors: 1, 1
-
Affiliations:
- Samara National Research University
- Issue: Vol 2 (2022)
- Pages: 198-199
- Section: Иностранный язык в области профессиональной коммуникации
- URL: https://journals.eco-vector.com/osnk-sr/article/view/107765
- ID: 107765
Cite item
Full Text
Abstract
Background. Modern problems of science and technology depend on a large set of parameters, and in order to come to a solution, a careful search for the right combination of these parameters is required, which often cannot be solved by simple enumeration. In photonics, numerical optimization is one of the most important tools for solving problems and can help in studying the optical properties of photonic structures, as well as in obtaining new, more complex optical properties and effects.
Aim. To demonstrate the possibility of optimization for study and improvement of the optical properties of metal-insulator photonic structures.
Methods. To study the optical properties of the metal-insulator-metal (MIM) structure [1, 2], we chose two structures consisting of two silver (Ag) metal layers (first case) and two chromium (Cr) metal layers (second case) separated by a silica layer (SiO2). It is worth noting that such metal-insulator structures are widely known as light absorbers [3, 4]. The thicknesses of the layers in the structures were chosen in such a way as to obtain zero reflection under the given conditions [1].
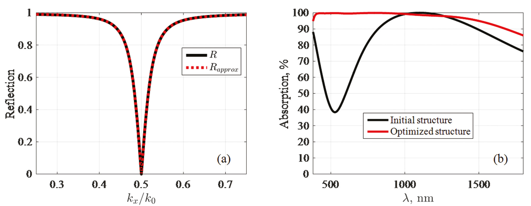
Results. In fig. 1, a, the black line shows the angular reflection spectrum of the MIM structure consisting of silver and silica, calculated by the method [5]. In the vicinity of the reflection zero, this spectrum can be approximated by the resonant expression:
, (1)
where kx is the tangential wavevector component, z and p are complex numbers corresponding to zero and pole of the reflection coefficient of the structure, and r is a non-resonant factor. The red dotted line in fig. 1, a shows the approximation of the angular reflection spectrum by expression (1). The numerical values of the approximation parameters (1) were obtained using the interior point method: z = 4.99 μm–1, p = 4.99 + 0.028i μm–1 and r = 0.96.
Fig. 1. (a) angular reflection spectrum of the MIM structure (the black solid line) and approximation of the reflection spectrum (the red dotted line) by expression (1); (b) reflection spectra of a simple three-layer MIM structure (the black line) and an optimized structure (the red line)
A simple three-layer MIM structure consisting of chromium and silica (Cr–SiO2–Cr) provides total absorption at a wavelength of 1100 nm, as well as near-complete absorption (over 90 %) in the 670 nm band (see fig. 1, b the black line). Thus, by adding additional layers to the structure and subsequent optimization of their thicknesses to maximize total absorption, the width of the near-complete absorption band can be doubled (1340 nm). In fig. 1, b the red line shows the absorption spectrum of the optimized structure (SiO2–Cr–SiO2–Cr–SiO2–Cr).
Conclusion. Optical properties of photonic structures were studied by means of optimization in this work, the parameters of eigenmodes of the MIM structure consisting of two silver layers and a silica layer were obtained. It has also been shown that the required optical properties can be obtained by optimization, so it was found that a sophisticated and optimized structure of chromium and silica can provide total absorption of light in a wavelength range twice the total absorption range of a simple three-layer MIM structure.
Full Text
Background. Modern problems of science and technology depend on a large set of parameters, and in order to come to a solution, a careful search for the right combination of these parameters is required, which often cannot be solved by simple enumeration. In photonics, numerical optimization is one of the most important tools for solving problems and can help in studying the optical properties of photonic structures, as well as in obtaining new, more complex optical properties and effects.
Aim. To demonstrate the possibility of optimization for study and improvement of the optical properties of metal-insulator photonic structures.
Methods. To study the optical properties of the metal-insulator-metal (MIM) structure [1, 2], we chose two structures consisting of two silver (Ag) metal layers (first case) and two chromium (Cr) metal layers (second case) separated by a silica layer (SiO2). It is worth noting that such metal-insulator structures are widely known as light absorbers [3, 4]. The thicknesses of the layers in the structures were chosen in such a way as to obtain zero reflection under the given conditions [1].
Results. In fig. 1, a, the black line shows the angular reflection spectrum of the MIM structure consisting of silver and silica, calculated by the method [5]. In the vicinity of the reflection zero, this spectrum can be approximated by the resonant expression:
, (1)
where kx is the tangential wavevector component, z and p are complex numbers corresponding to zero and pole of the reflection coefficient of the structure, and r is a non-resonant factor. The red dotted line in fig. 1, a shows the approximation of the angular reflection spectrum by expression (1). The numerical values of the approximation parameters (1) were obtained using the interior point method: z = 4.99 μm–1, p = 4.99 + 0.028i μm–1 and r = 0.96.
Fig. 1. (a) angular reflection spectrum of the MIM structure (the black solid line) and approximation of the reflection spectrum (the red dotted line) by expression (1); (b) reflection spectra of a simple three-layer MIM structure (the black line) and an optimized structure (the red line)
A simple three-layer MIM structure consisting of chromium and silica (Cr–SiO2–Cr) provides total absorption at a wavelength of 1100 nm, as well as near-complete absorption (over 90 %) in the 670 nm band (see fig. 1, b the black line). Thus, by adding additional layers to the structure and subsequent optimization of their thicknesses to maximize total absorption, the width of the near-complete absorption band can be doubled (1340 nm). In fig. 1, b the red line shows the absorption spectrum of the optimized structure (SiO2–Cr–SiO2–Cr–SiO2–Cr).
Conclusion. Optical properties of photonic structures were studied by means of optimization in this work, the parameters of eigenmodes of the MIM structure consisting of two silver layers and a silica layer were obtained. It has also been shown that the required optical properties can be obtained by optimization, so it was found that a sophisticated and optimized structure of chromium and silica can provide total absorption of light in a wavelength range twice the total absorption range of a simple three-layer MIM structure.
About the authors
Samara National Research University
Author for correspondence.
Email: ar.kashapov@outlook.com
ORCID iD: 0000-0002-7367-6277
student, group number 6406, faculty of Computer Science
Russian Federation, SamaraSamara National Research University
Email: midalina@mail.ru
PhD (Pedagogical Sciences), Associate Professor of Department of Foreign Languages and Russian as a Foreign Language
Russian Federation, SamaraReferences
- Kashapov A.I., Doskolovich L.L., Bezus E.A., et al. Spatial differentiation of optical beams using a resonant metal-dielectric-metal structure // J. Opt. 2021. Vol. 23. No. 2. P. 023501.
- Kashapov A.I., Doskolovich L.L., Bykov D.A., et al. Optical differentiator based on a trilayer metal-dielectric structure // Computer Optics 2021. Vol. 45. No. 3. P. 356−363.
- Yan M. Metal-insulator-metal light absorber: a continuous structure // J. Opt. 2013. Vol. 15. No. 2. P. 025006.
- Ng C., Wesemann L., Panchenko E., et al. Plasmonic near-complete optical absorption and its applications // Adv. Opt. Mater. 2019. Vol. 7. No. 14. P. 1801660.
- Moharam M.G., Pommet D.A., Grann E.B., Gaylord T.K. Stable implementation of the rigorous coupled-wave analysis for surface-relief gratings: enhanced transmittance matrix approach // J. Opt. Soc. Am. A. 1995. Vol. 12. No. 5. P. 1077–1086.
Supplementary files


