Possibilities of using cryotherapy in patients with ocular rosacea
- Authors: Tlish M.M.1, Kolesnikova N.V.1, Gyunter V.E.2, Steblyuk A.N.3, Marchenko E.S.2, Shavilova M.E.1, Tserkovnaya A.A.4
-
Affiliations:
- Kuban State Medical University
- Research Institute of Shape Memory Material under Siberian Physico-Technical Institute and Tomsk State University
- S.N. Fyodorov Eye Microsurgery Complex, Krasnodar Branch
- Clinical Oncological Dispensary No. 1, Ministry of Public Health of Krasnodar Region
- Issue: Vol 11, No 4 (2018)
- Pages: 7-14
- Section: Articles
- Submitted: 20.02.2019
- Published: 15.12.2018
- URL: https://journals.eco-vector.com/ov/article/view/11119
- DOI: https://doi.org/10.17816/OV1147-14
- ID: 11119
Cite item
Abstract
Objective: to evaluate the clinical efficiency of eyelid cryotherapy with an autonomous titanium nicke lide cryoapplicator in patients with ocular rosacea regarding the dynamics of pro- and anti-inflammatory cytokines contents at local levels.
Materials and methods. 65 patients with ocular rosacea were observed. Depending on the therapy received, the patients were divided into two groups: in the main group, eyelid cryotherapy was applied for 2 weeks with an autonomous cryoapplicator made of porous-permeable titanium nickelide, and in the reference group, the patients received a traditional treatment for a month. The contents of cytokines (IL-1β, IL-8, IFN-α, IL-2, IL-10) in lachrymal fluid was evaluated by ELISA on Days 3, 7 and 30 after treatment.
Results. The opposite nature of cytokine balance changes and the ratio of its pro- and anti-inflammatory link during the follow-up period were revealed. A reliable dynamic increase of examined IFN-α and IL2 content in the lacrimal fluid after cryostimulation can evidence for an adequate activation of cellular immunity link, as well as for enhancement of regeneration mechanisms.
Conclusion. The analysis of obtained data evidences for a high efficiency of clinical and immunological effect of lid cryotherapy using titanium nickelide cryoprobe for ocular rosacea treatment.
Full Text
Rosacea is a chronic inflammatory disease of the facial skin, and its pathogenesis is primarily caused by angioneurosis mainly localized in the area of innervation of the trigeminal nerve. The exact etiology of dermatosis is still not known. Vascular disorders, changes in the connective tissue of the dermis and pilosebaceous apparatus, microorganisms, dysfunction of the gastrointestinal tract, immune disorders, psychovegetative disorders, and climatic factors have been proven to be essential in the disease development.
In the Russian Federation, the proportion of rosacea among dermatological diagnoses is approximately 5%, and it mostly affects women aged 30–50 years who usually exhibit a genetic predisposition [1, 2].
Rosacea is characterized by transient or persistent erythema of the face, telangiectasias, papulopustular elements, and sometimes phymatous abnormalities. A pronounced immunological imbalance in rosacea often occurs in combination with other dermatoses (i. e., horny eczema, psoriasis vulgaris, and scleroderma) [1–3].
In 60%–80% of patients, dermatosis occurs on the eyes, which is a special form of rosacea, called ocular rosacea. Ocular manifestations occur earlier (sometimes by 1–2 years) than skin symptoms in 20% of these patients [4].
The complex of ocular rosacea symptoms includes lesions of the eyelids, conjunctiva, and cornea. The lesions of the eyelids are most often manifested as chronic blepharitis, dysfunction of the meibomian glands, and recurrent chalazion. At examination of the conjunctiva, telangiectasia and chronic diffuse hyperemia are detected, whereas granulomas, phlyctenas, and cicatricial changes can occur in severe cases. Rosacea keratitis is clinically characterized by superficial punctate keratopathy, marginal corneal vascularization, subepithelial peripheral infiltration, stromal thinning, and secondary microbial infection induced changes [5]. Under conditions of a common anatomical space and closed microcirculatory interaction, the lesions of the eyelids, conjunctiva, and cornea in ocular rosacea tend to form a single complex of pathologically modified structures with modifications of predominantly inflammatory nature. Blepharitis is an example of such pathological condition, which is represented by chronic bilateral inflammation of eyelid margins and the conjunctiva.
To date, the role of Demodex mite in the pathogenesis of rosacea has not been established. In 2007, Lacey et al. found that Bacillus oleronius in Demodex mite has the ability to produce pro-inflammatory proteins of 62- and 83-Da, which increases the activity of mites and other microorganisms, such as Streptococcus, Staphylococcus, Propionibacterium acnes, Malassezia fungi. In an active disease, the mite can cause mechanical damage to the glandular epithelium and lead to inflammation by its antigenic effect. According to various authors, pathogenic properties of Demodex can be stimulated by changes of the sebum composition and impairment of the microbiocenosis constancy of the skin, which often occur in somatic pathological conditions [6].
Constant foreign body sensation in the eyes, acute pain, itching, redness, dryness or tearing, visual discomfort, and noticeable cosmetic defects dramatically reduce the quality of life in patients with this condition.
These aforementioned features emphasize the importance of rosacea treatment. Because rosacea has a chronic course, the key objectives of the therapy include reduction of symptom severity and prolongation of the remission period. The urgency to find solutions to these challenges is driven by low efficiency of known treatment methods as well as by the long-term palliative nature of the therapy for demodecosis blepharitis, which is the main clinical manifestation of ocular rosacea.
A promising treatment method of eyelid lesions in ocular rosacea is contact cryo-impact using autonomous cryoprobe made of a porous, permeable titanium nickelide, which most closely corresponds to the function of the cryoprobe based on its complex technical characteristics. Its permeable porosity ensures the fast soaking of the pores with a liquid cooling agent, and upon contact with the medium, intensive evaporation ofliquid nitrogen, and stable temperature occurs without freezing the tissues. The second channel for heat removal and cooling is provided by the heat capacity and thermal conductivity of the material, which enables sufficient and effective functioning of the titanium nickelide. The cryogenic equipment, which was adapted for use on the eyelid, opens new possibilities for its application in ophthalmology [7].
The prevailing role of local over systemic immunity in eye inflammation has been proven [8, 9]. With this, an imbalance in cytokine production can disrupt the relationships within the local system, which ultimately leads to regeneration pathology such as persistent wounds, rough cicatrization, and development of severe exudative reactions [10]. Assessment of the local level of cytokines in the lacrimal fluid, where they get because of the destruction of the conjunctival or corneal cells, enables more accurate detection of changes in the eyes [11–13]. In particular, an increase in the concentration of interleukin1 (IL-1) and tumor necrosis factor-α (TNF-α) in the lacrimal fluid and serum is an unfavorable prognostic sign during the postoperative period, correlating with the development of post-traumatic complications in patients with corneal lesions [14].
Given the necessity to establish new treatment methods for ocular rosacea, this study aimed to clinically evaluate the efficacy of cryotherapy for the eyelids using an autonomous cryoprobe made of titanium nickelide in patients with ocular rosacea, taking into account the changes in the local level of pro- and anti-inflammatory cytokines over time.
MATERIAL AND METHODS
A total of 65 patients (16 men and 49 women, aged 24–68 years) with ocular rosacea were under observation. In these patients, symptoms of blepharitis and conjunctivitis prevailed in the clinical presentation of ocular lesions, whereas chalazion and meibomitis were less frequently noted, and keratitis was found only occasionally. In all patients, the presence of Demodex mite was confirmed by laboratory tests.
Depending on the therapy received, the patients were divided into two clinically equivalent groups. In the study group (34 patients), eyelids were subjects to cryotherapy using an autonomous cryoprobe of porous permeable titanium nickelide for 2 weeks. In the comparison group (31 patients), patients received a traditional treatment for 1 month (Federal Clinical Guidelines for the Management of Patients with Rosacea, 2015). For a comparative assessment of changes in cytokine levels in the lacrimal fluid, the corresponding data from healthy individuals (25 people) representing the control group were used.
Regarding medical history, the circumstances of the disease occurrence, treatment, possible trigger factors, and presence of concomitant eye diseases were clarified. All patients underwent a comprehensive ophthalmologic examination, including visometry, autorefractometry, keratometry, automated perimetry, pneumotonometry, ultrasonography (echo biometry, echoscopy), biomicroscopy, and ophthalmoscopy.
The substrate for the immunological study was lacrimal fluid specimens taken from patients on days 3, 7, and 30 during and after the treatment period. Cytokine content (IL-1β, IL-8, interferon (IFN)-α, IL-2, and IL-10) was assessed by enzyme immunoassay using a test system of the Cytokine company (St. Petersburg) on an ASCENT analyzer (Finland). For analysis of statistical indicators, Student’s t-test, Microsoft Excel programs, and STATISTICA 6.0 application software were used.
Cryotherapy of eyelids was performed by contact application of a volume element (modified for eyelid use) of porous permeable titanium nickelide (favorable decision for invention No. 2 018 122 196) cooled in liquid nitrogen with a 5–7 s exposure in a moving roller and applied 4–5 times per session for each eyelid. This was done in combination with cryostimulation of the facial skin using a movable roller made of porous permeable titanium nickelide. One procedure, including eyelid treatment of both eyes and facial skin, lasted for 5–7 min. The treatment was performed daily or every other day at 5–10 procedures in each eye on an outpatient basis, and the eyelid state was monitored by slit lamp (Carl Zeiss, Germany) examination. The skin state was monitored by photocontrol. Local anesthesia was not used. Microtools were used, particularly a sterile anatomical micro-tweezer, autonomous cryoprobe made of porous permeable titanium nickelide (Russia), adapted for use on the eyelid, as well as Dewar device (Russia) filled with liquid nitrogen. The cryoinstrument was sterilized on the day of cryotherapy in the STERRAD® NX system (USA), followed by the use of liquid nitrogen.
After the procedures, an alcoholic solution of Valocordin was used for external treatment of the eyelid margins twice a day for 2 weeks. Laboratory studies (i. e., acarogram, inoculation from the conjunctiva) and Schirmer’s test were performed in all the patients over time. Photodynamic follow-up was performed at photo-slit lamp Topcon (Japan), equipped with a computer system unit and specialized software.
In the comparison group, known methods of treatment were used, namely Blepharogel application, and eyelid margins were treated with an alcohol solution of Valocordin twice a day. During the follow-up, systemic therapy was not performed.
All studies were conducted in accordance with the Declaration of Helsinki of the World Medical Association (2000) and Protocol of the Council of Europe Convention on Human Rights and Biomedicine (1999). Each patient provided an informed consent to treatment. The study was approved by the Ethics Committee of the Kuban State Medical University (the opinion of the Ethics Committee – Minutes No. 30, meeting date: 09.17.2014).
RESULTS AND DISCUSSION
When the surgical part of the cryoinstrument comes in contact with the affected tissues, a sharp (impact) cold effect is felt, which is localized to the site of contact with the pathogen and weakly penetrate the surrounding healthy tissues. The temperature of the device tip in the zone of contact with the skin surface ranges from –100 °C to –120 °C; despite the extremely low-temperature conditions, the exposure (measured in s) induces the therapeutic effect of cryotherapy. According to the acrogram data, in patients, who received a course of eyelid cryostimulation with increased number of procedures, the number of zooids of Demodex mite (from 9–10 mites on 8 eyelashes to 1–2 mites on 12 eyelashes) and eggs decreased. Many adult zooids were eliminated or immobile, and the nymphs were torn and twisted. At the end of the therapy, the mites on the eyelids disappeared. With this, an improvement in subjective sensations was also noted, particularly the disappearance of itching and burning in the eyelids, sandy-gritty sensation, and pain in the eyes. After long-term cryogenic treatment (1–1.5 months or longer), fragility and loss of eyelashes, small abscesses along the free margin of the eyelids, dystrophic changes of the bulbs, squamate irregularities, roughness of the eyelash stems, depigmentation, and cuff-like thickening were not observed. After cryostimulation, the facial skin condition in patients with rosacea significantly improved, and the maximum effect was observed after ten treatment sessions (Fig. 1). Cryotherapy of the eyelids, including reduction of corneal neovascularization, inhibited the inflammatory response of the cornea caused by rosacea keratitis (Fig. 2). The therapeutic anti-inflammatory effect was substantiated by the milder effect of cold on corneal tissues, which sparingly mediated through the conjunctiva inside the eyelids and stimulated the regenerative potential of damaged tissues.
Fig. 1. Facial skin condition of Patient G., aged 58, with rosacea (a), and after 7 days of cryotherapy treatment No. 10 (b)
Рис. 1. Состояние кожи лица у пациентки Г., 58 лет, с розацеа (а) и через 7 дней после проведения курса криотерапии № 10 (b)
Fig. 2. Condition of cornea in Patient C., aged 24, with rosacea-keratitis before cryotherapy (a), and after the course of eyelid cryostimulation No. 10 (b)
Рис. 2. Состояние роговицы у пациентки С., 24 года, с розацеа-кератитом до криотерапии (а) и после проведения курса криостимуляции век № 10 (b)
In the comparative assessment, the initially high local levels of pro-inflammatory IL-8 decreased 1.13 times 3 days after cryostimulation, whereas that after traditional therapy increased 1.3 times relative to the initial level. Later, similar pattern of changes in the local level of IL-8 were observed in the compared groups, which markedly decreased with cryostimulation (1.3 times on the day 7 and 1.8 times on the day 30 of monitoring).
The identification of some pro- and anti-inflammatory cytokines in the lacrimal fluid of patients with blepharitis demonstrated the high pathogenic significance of IL-8. The level IL-8 was 14 times higher than that in practically healthy individuals. A significant decrease in pro-inflammatory IL-1β (1.4 times) and decreasing tendency in IFN-α, IL-2, and IL-10 levels were noticeable, which indicated a significantly imbalanced concentration of local cytokines in this pathological process (Table 1).
Table 1 / Таблица 1
Change of local cytokine contents in lacrimal fluid in patients with blepharitis in the dynamics after cryostimulation (М ± м)
Изменение локального содержания цитокинов в слёзной жидкости пациентов с блефаритом в динамике после криостимуляции (М ± м)
Group | IFN-α, | IL1-β, | IL-2, | IL-8, | IL-10, | IL-2/IL-10, |
Blepharitis, before treatment, n = 65 | 7.69 ± 0.83 | 0.94 ± 0.12 | 1.35 ± 0.08 | 157.8 ± 11.32* | 10.76 ± 0.98 | 0.13 ± 0.04 |
3 days after CS, | 14.31 ± 1.02*^ | 0.98 ± 0.09 | 1.69 ± 0.15 | 139.93 ± 11.54* | 8.86 ± 0.76 | 0.20 ± 0.03 |
3 days after TT, | 2.11 ± 0.19*^ | 0.84 ± 0.04 | 0.99 ± 0.07^ | 205.13 ± 15.72*^ | 13.45 ± 1.12^ | 0.07 ± 0.003 |
7 days after CS, | 14.51 ± 0.95*^ | 0.99 ± 0.04 | 2.43 ± 0.21*^ | 125.17 ± 10.46*^ | 2.54 ± 0.22*^ | 0.96 ± 0.05 |
7 days after TT, | 0.61 ± 0.05*^ | 0.50 ± 0.02*^ | 1.04 ± 0.05 | 175.80 ± 15.22*^ | 14.54 ± 1.11^ | 0.07 ± 0.003 |
30 days after CS, | 14.42 ± 1.12*^ | 0.98 ± 0.07 | 2.47 ± 0.22^* | 87.53 ± 7.94*^ | 9.56 ± 0.45 | 0.26 ± 0.02^* |
30 days after TT, | 7.70 ± 0.52 | 1.03 ± 0.06 | 1.15 ± 0.06 | 120.50 ± 10.84*^ | 11.10 ± 0.85 | 0.10 ± 0.03 |
Healthy (control), | 8.40 ± 0.75 | 1.29 ± 0.15 | 1.75 ± 0.21 | 11.30 ± 2.90 | 11.77 ± 0.98 | 0.15 ± 0.06 |
Note: * significance of differences from control (p < 0.02, p < 0.01), ^ significance of differences from the initial level; CS, cryostimulation; IFN, interferon; IL, interleukin; TT, traditional therapy. | ||||||
No significant changes were observed in the levels of pro-inflammatory IL1-β over time after cryostimulation and traditional treatment; however, after cryostimulation, a tendency toward an increase in its level was observed, and with traditional therapy, its decrease was most pronounced on the day 7 of the follow-up. A significant increase in the levels of IFN-α and IL-2 in the lacrimal fluid over time after cryostimulation may indicate adequate activation of the cellular component of immune system when interacting with mite antigens as well as enhancing the regeneration mechanisms. Conversely, traditional therapy was accompanied by decreased levels of these cytokines in the lacrimal fluid in proportion to the time of the follow-up.
The therapeutic use of an autonomous cryoprobe helped in achieving a progressive reduction in the level of anti-inflammatory IL-10, which was more pronounced on the day 7 of the follow-up (4 times relative to the initial level) and indicated polarization of the Th1/Th2 cytokine balance toward Th1 cytokine amplification (IL-2) in contrast to Th2 cytokine (IL-10), which is necessary for the activation of cellular immunity. The calculation of the Th1/Th2 balance for the main cytokines (IL-2/IL-10) confirmed this pattern of changes and indicated a progressive increase in the activity of cytotoxic reactions in cellular immunity, which was adequate for this pathological process. Thus, the ratio of IL-2/IL-10 was increased 1.5 times after cryotherapy on day 3, 7.4 times on day 7, and 2 times on day 30 (Table 1).
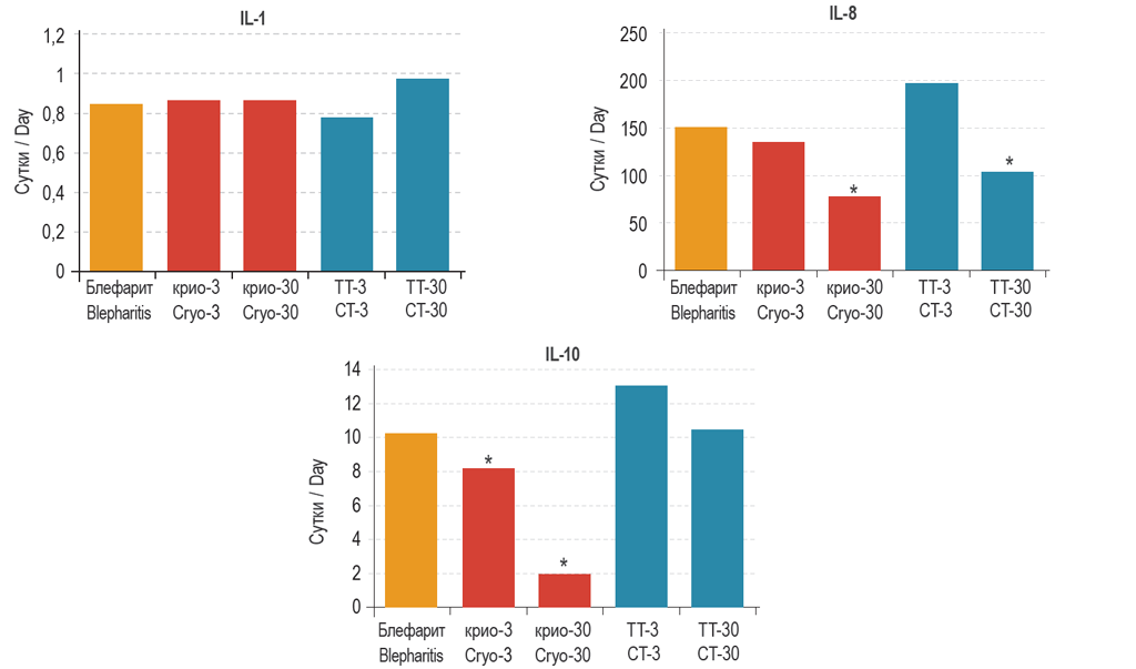
The presence of pro-inflammatory monokine IL-1β in the lacrimal fluid of patients with blepharitis was not a significant diagnostic feature because its level did not significantly change in the early and late periods of follow-up after cryotherapy and traditional therapy (Fig. 4). A self-inclusive cryoprobe made of porous permeable titanium nickelide helped in triggering an accelerated regeneration mechanism by significantly enhancing the local production of IFN-α and IL-2 as well as reducing levels of anti-inflammatory IL-10 and pro-inflammatory IL-8 compared to that with traditional therapy (Figs. 3, 4).
Fig. 3. Dynamics of IFN-α and IL-2 content in lacrimal fluid of patients with blepharitis 3 days (“Cryo-3”) and 30 days (“Cryo-30”) after cryotherapy and compared to conventional therapy (“CT-3”, “CT-30”)
Рис. 3. Динамика содержания IFN-α и IL-2 в слёзной жидкости пациентов с блефаритом через три дня («крио-3») и 30 дней («крио-30») после криотерапии и в сравнении с традиционной терапией («ТТ-3», «ТТ-30»)
Fig. 4. Dynamics of IL-1, IL-10, and IL-8 contents in lacrimal fluid of patients with blepharitis 3 days (“Cryo-3”) and 30 days (“Cryo-30”) after cryotherapy and compared to conventional therapy (“CT-3, “CT-30”)
Рис. 4. Динамика содержания IL-1, IL-10, IL-8 в слёзной жидкости пациентов с блефаритом через три дня («крио-3») и 30 дней («крио-30») после криотерапии в сравнении с традиционной терапией («ТТ-3», «ТТ-30»)
Evaluation of cytokine levels in patients with rosacea blepharitis revealed their local imbalance, indicating impaired local immune defense of the eyes, which could result in impaired regeneration processes.
In summary, our data analysis generally indicated a high clinical and immunological efficacy of eyelid cryotherapy in patients with ocular rosacea using an autonomous cryoprobe made of porous permeable titanium nickelide.
Conflict of interest
The authors declare no financial support or a conflict of interest related to this publication. All authors made equal contribution to the preparation of this publication.
About the authors
Marina M. Tlish
Kuban State Medical University
Author for correspondence.
Email: tlishmm@mail.ru
Doctor of Medical Science, Professor of Dermatovenerology Department
Russian Federation, KrasnodarNatalya V. Kolesnikova
Kuban State Medical University
Email: troickaya@rambler.ru
Doctor of Biology Science, Professor, Department of Immunology, Allergology and Laboratory Diagnostics, Advanced Training Faculty
Russian Federation, KrasnodarViktor E. Gyunter
Research Institute of Shape Memory Material under Siberian Physico-Technical Institute and Tomsk State University
Email: 89138641814@mail.ru
Doctor of Technical Science, Professor, Honored Scientist of the Russian Federation, Director
Russian Federation, TomskAleksey N. Steblyuk
S.N. Fyodorov Eye Microsurgery Complex, Krasnodar Branch
Email: steblyuk@bk.ru
Candidate of Medical Science, Ophthalmologist, MD of Highest Qualification
Russian Federation, KrasnodarEkaterina S. Marchenko
Research Institute of Shape Memory Material under Siberian Physico-Technical Institute and Tomsk State University
Email: marchenko84@vtomske.ru
Candidate of Physical and Mathematical Sciences
Russian Federation, TomskMarina E. Shavilova
Kuban State Medical University
Email: marina@netzkom.ru
Dermatovenerologist, Assistant, Dermatovenerology Department
Russian Federation, KrasnodarAnna A. Tserkovnaya
Clinical Oncological Dispensary No. 1, Ministry of Public Health of Krasnodar Region
Email: 5247024@gmail.com
Oncologist
Russian Federation, Krasnodar, RussiaReferences
- Российское общество дерматовенерологов и косметологов. Федеральные клинические рекомендации. Дерматовенерология 2015: Болезни кожи. Инфекции, передаваемые половым путем. - М.: Деловой экспресс, 2016. [Rossiyskoe obshchestvo dermatovenerologov i kosmetologov. Federal’nye klinicheskie rekomendatsii. Dermatovenerologiya 2015: Bolezni kozhi. Infektsii, peredavaemye polovym putem. Moscow: Delovoy ekspress; 2016. (In Russ.)]
- Кубанова А.А., Махакова Ю.Б. Розацеа: распространённость, патогенез, особенности клинических проявлений // Вестник дерматологии и венерологии. - 2015. - № 3. - С. 36-45. [Kubanova AA, Makhakova YB. Rosacea: prevalence, pathogenesis, particular features of clinical manifestations. Vestn Dermatol Venerol. 2015;(3):36-45. (In Russ.)]
- Тлиш М.М., Поповская Е.Б., Сычёва Н.Л., и др. Сочетанная патология: клинические наблюдения // Вестник дерматологии и венерологии. - 2017. - № 4. - С. 66-73. [Tlish MM, Popovskaya EB, Sycheva NL, et al. Associated pathology: clinical оbservation. Vestn Dermatol Venerol. 2017;(4):66-73. (In Russ.)]
- Пуликов А.Е., Силина Л.В., Филиппенко Н.Г., Письменная Е.В. Офтальморозацеа как особая форма осложнённого течения розовых угрей // Научные ведомости Белгородского государственного университета. Серия: медицина, фармация. - 2012. - № 22-1. - С. 95-98. [Pulikov AE, Silina LV, Filippenko NG, Pis’mennaya EV. Oftal’morozatsea kak osobaya forma oslozhnennogo techeniya rozovykh ugrey. Belgorod State University scientific bulletin. Medicine, pharmacy. 2012;(22-1):95-98. (In Russ.)]
- Чехова Т.А., Черных В.В. Офтальморозацеа - этиология, патогенез, новые подходы к терапии // Офтальмохирургия. - 2016. - № 2. - С. 54-58. [Chekhova TA, Chernykh VV. Ophthalmic rosacea - etiology, pathogenesis, new approaches to the therapy. Ophthalmosurgery. 2016;(2):54-58. (In Russ.)]
- Кубанов А.А., Галлямова Ю.А., Гревцева А.С. Роль клещей Demodex в развитии папуло-пустулёзных дерматозов // Экспериментальная и клиническая дерматокосметология. - 2014. - № 2. - С. 43-46. [Kubanov AA, Gallyamova YA, Grevtseva AS. Role of Demodex mites in the development of papulopustular dermatoses. Eksperimental’naya i klinicheskaya dermatokosmetologiya. 2014;(2):43-46. (In Russ.)]
- Мельник Д.Д., Гюнтер В.Э., Дамбаев Г.Ц., и др. Медицинские материалы и имплантаты с памятью формы. Пористопроницаемые криоаппликаторы из никелида титана в медицине. - Томск: НПП МИЦ, 2010. [Mel’nik DD, Gyunter VE, Dambaev GT, et al. Meditsinskie materialy i implantaty s pamyat’yu formy. Poristo-pronitsaemye krioapplikatory iz nikelida titana v meditsine. Tomsk: NPP MITs; 2010. (In Russ.)]
- Mondal SK. Mucosa-associated lymphoid tissue lymphoma in conjunctiva. Indian J Pathol Microbiol. 2008;51(3):407-408. doi: 10.4103/0377-4929.42539.
- Nichols JE, Niles JA, Roberts NJ, Jr. Human lymphocyte apoptosis after exposure to influenza A virus. J Virol. 2001;75(13):5921-29. doi: 10.1128/JVI.73.13.5921-5929.2001.
- Вялов С.Л., Пшениснов К.П., Куиндоз Д. Современные представления о регуляции процесса заживления ран: обзор литературы // Анналы пластической, реконструктивной и эстетической хирургии. - 1999. - № 1. - С. 49-56. [Vyalov SL, Pshenisnov KP, Kuindoz D. Sovremennye predstavleniya o regulyatsii protsessa zazhivleniya ran: obzor literatury. Annaly plasticheskoy, rekonstruktivnoy i esteticheskoy khirurgii. 1999;(1):49-56. (In Russ.)]
- Маркелова Е.В., Кириенко А.В., Чикаловец И.В., Догадова Л.П. Характеристика системы цитокинов и её роль в патогенезе первичных глауком // Фундаментальные исследования. - 2014. - № 2. - С. 110-116. [Markelova EV, Kirienko AV, Chikalovets IV, Dogadova LP. Сharacteristic оf the cytokines system and its role in primary glaucoma pathogenesis. Fundamental research. 2014;(2):110-116. (In Russ.)]
- Бурилов К.Б., Костенёв С.В., Трунов А.Н. Оценка содержания провоспалительных цитокинов в слёзной жидкости после формирования роговичного клапана механическим микрокератомом и фемтосекундным лазером // Офтальмохирургия. - 2013. - № 4. - С. 34-37. [Burilov KB, Kostenev SV, Trunov AN. Assessment of the content of proinflammatory cytokines in lacrimal fluid after formation of corneal flap using mechanical microkeratome and femtosecond laser. Ophthalmosurgery. 2013;(4):34-37. (In Russ.)]
- Стеблюк А.Н., Колесникова Н.В., Гюнтер В.Э. Мониторинг цитокинового профиля влаги передней камеры глаза при хирургической обработке экспериментальных проникающих ран роговицы шовным материалом из никелида титана // Кубанский научный медицинский вестник. - 2014. - № 4. - С. 110-115. [Steblyuk AN, Kolesnikova NV, Gyunter VE. Monitoring of cytokine level moisture in aqueous chamber during surgical debridement of observational penetrating wounds of eye cornea with nickelid titanium suture material. Kubanskii nauchnyi meditsinskii vestnik. 2014;(4):110-115. (In Russ.)]
- Nishi O, Nishi K, Ohmoto Y. Effect of interleukin 1 receptor antagonist on the blood-aqueous barrier after intraocular lens implantation. Br J Ophthalmol. 1994;78(12):917-920. doi: 10.1136/bjo.78.12.885.
Supplementary files








