The options of an individual approach to the modification of sinustrabeculectomy for hypotensive effect prolongation
- Authors: Suleiman E.A.1, Petrov S.Y.1
-
Affiliations:
- Helmholtz National Medical Research Center of Eye Diseases
- Issue: Vol 16, No 1 (2023)
- Pages: 17-26
- Section: Original study articles
- Submitted: 20.02.2023
- Accepted: 02.03.2023
- Published: 09.04.2023
- URL: https://journals.eco-vector.com/ov/article/view/256670
- DOI: https://doi.org/10.17816/OV256670
- ID: 256670
Cite item
Abstract
BACKGROUND: Reducing scarring in the postoperative period is one of the main tasks of glaucoma surgery.
AIM: To develop new modifications of sinustrabeculectomy in the surgical treatment of primary open-angle glaucoma normalizing and prolonging the outflow of aqueous humor along newly formed pathways.
MATERIALS AND METHODS: Surgical procedures were performed in 106 patients (109 eyes) with primary open-angle glaucoma of moderate and advanced stages, without any history of previous surgeries. Patients were divided into groups: 1a — 25 patients (25 eyes) who underwent sinustrabeculectomy with the formation of grooves for the intramuscular fluid outflow, 1b — 26 patients (28 eyes) who underwent of sinustrabeculectomy with scleral flap twisting, 1c — 28 patients(29 eyes) who underwent sinustrabeculectomy with scleral flap stitching, and the control group — 27 patients (27 eyes) who underwent routine sinustrabeculectomy. The follow-up duration was up to 24 months.
RESULTS: In 1 month after surgery, the average level of intramuscular pressure was comparable and remained low in all groups. Complete compensation of intramuscular pressure in groups 1a, 1b and 1c was observed in 80%, 75% and 76% of cases; partial — in 16%, 18% and 21% of cases; failure — in 4%, 7% and 3% of cases, respectively. In the control group (2), complete hypotensive success was noted in 55% of cases; partial — in 30% of cases; failure — in 15% of cases.
CONCLUSIONS: Developed new methods of sinustrabeculectomy allow to obtain a prolonged hypotensive effect.
Full Text
BACKGROUND
M.M. Krasnov is considered to be the pioneer of the non-penetrating surgery. In 1964, he performed the sinusotomy — the excision of the outer wall of the Schlemm’s canal. V.I. Kozlov became the author of the non-penetrating deep sclerectomy, which is still widely used in glaucoma treatment. During the procedure, the separation and excision of a part of the limbal area with the Descemet’s membrane exposure was performed. Non-penetrating procedures were characterized by high safety level, but estimating surgical results, such surgeries caused less significant and less longstanding hypotensive effect, which was accompanied by an intensive connective tissue formation in the location of the realized procedure. This resulted in the necessity for repeated non-penetrating procedure or for the consideration of the transition to penetrating surgery [1–7].
For the prolongation of the achieved hypotensive effect at remote periods after glaucoma surgery, new modifications of sinustrabeculectomy (STE) were permanently under way. It was proposed to create the conjunctival incision at the limbus, and this significantly decreased the percentage of intraocular fluid (IOF) external filtration during the post-op period. Penetrating deep sclerectomy allowed using implants and drainage systems more rarely. The tendency was to decrease the volume of removed profound tissues. In 1980, V.P. Artamonov proposed performing sinusotomy with a triangular scleral flap, as this is less traumatic, forming a penetrating round opening for the aqueous humor outflow in it [8]. A.E. Babushkin and F.R. Baltabaev (1991) proposed to perform sinusotomy in combination with posterior cycloretraction and uveal pocket formation [9]. B.N. Alexeev, S.F. Pisetskaya (1985), to enhance the aqueous humor outflow through the trabeculum, removed the exterior wall of the Schlemm’s canal with a corneoscleral tissue fragment from the scleral spur up to the anterior limiting line of Schwalbe.
Nowadays, the priority in primary open-angle glaucoma (POAG) treatment is given to the penetrating surgery due to its positive results.
Thus, the aim of our study became the development of new sinustrabeculectomy modifications in surgical treatment of POAG with an individual approach to every patient aimed at the decrease of scarring and at the achievement of the longstanding stable hypotensive effect.
MATERIALS AND METHODS
In the present study, results are presented of surgical treatment of 106 patients (109 eyes) aged from 43 to 86 years (mean age 70.24 ± 7.37 years), with POAG of developed and advanced stages without any history of surgery. The main group consisted of 79 patients (82 eyes), among them 46 (58%) were women and 33 (42%) men. All patients were out- and in-patients of the glaucoma department of the Scientific Medical Research Centre of Eye Diseases named after Helmholtz of the Russian Ministry of Healthcare. Minimal follow-up period was 24 months.
The indication for surgical treatment in all cases was the IOP decompensation at maximal hypotensive regimen.
Corresponding to the study purposes, patients were divided into 2 groups:
- group 1 (main group) — 79 patients (82 eyes), who were divided into subgroups:
◦ 1a — 25 patients (25 eyes) STE with sulci formation for IOF outflow,
◦ 1b — 26 patients (28 eyes) STE with twisting of the scleral flap,
◦ 1c — 28 patients (29 eyes) STE with stitching of the scleral flap;
- group 2 (control group) — 27 patients (27 eyes), in which standard STE was performed.
When choosing the surgical treatment type, individual features of scleral structure were taken into account: its thickness and the location of emissaries’ exit sites.
Surgical procedures were performed at the Glaucoma Department of the Federal State Budgetary Institution “Helmholtz National Medical Research Center for Eye Diseases” of the Ministry of Health of the Russian Federation.
Sinustrabeculectomy with sulci formation for intraocular fluid’s outflow (Russian Federation patent No. 2603295). In the upper quadrant of the eyeball, a fornix-based conjunctival flap was made. Then, a superficial rectangular scleral limbus-based flap was dissected, which included 1/3 of its thickness. Its dimensions were 5 mm (base) and 4 mm (lateral side). Out of more profound scleral layers, a profound rectangular scleral limbus-based flap was dissected, which included 1/3 of its thickness, its dimensions being 4 × 3 mm. After trabeculectomy and basal iridectomy, the lateral margins of the profound scleral flap were everted, superimposed and joined with a running suture (polypropylene 10–0), forming a roll. Upon that, along the roll’s sides, scleral sulci for aqueous outflow formed. Thereafter, the superficial flap was put in place, covering the margins of the profound flap, and fixated by two sutures at its sides using polypropylene 8–0. The reposition of the conjunctival flap was accomplished putting two interrupted sutures (polypropilene 8–0) (Fig. 1). When performing this kind of surgical procedure, patients with high myopia were excluded and those with glaucoma duration of more than 15 years.
Fig. 1. Scheme of sinustrabeculectomy modification with the formation of grooves for aqueous humor outflow. 1 — superficial scleral flap; 2 — deep scleral flap; 3 — grooves for the aqueous humor outflow
Рис. 1. Схема модификации синустрабекулэктомии с формированием бороздок для оттока внутриглазной жидкости. 1 — поверхностный склеральный лоскут; 2 — глубокий склеральный лоскут; 3 — бороздки для оттока внутриглазной жидкости
Sinustrabeculectomy with twisting of the scleral flap (Russian Federation patent No. 2668703). At this procedure, the superficial rectangular scleral limbus-based flap, its thickness being 2/3 of that of the sclera and dimensions 5 × 7 mm. After trabeculectomy and basal iridectomy, the scleral flap was once twisted half way at its middle, thereafter it was fixated at its margins to the sclera (suture material 8–0). Further on, a reposition of the conjunctival flap was performed with putting a running suture on it (Fig. 2). The surgical procedure was performed in patients, in whom the exit sites of vascular emissaries were located closer to the optic nerve, as this allowed to dissect the scleral flap of the required size.
Fig. 2. Scheme of sinustrabeculectomy modification with scleral flap twisting. 1 — twisted superficial scleral flap; 2 — trabeculectomy; 3 — basal iridectomy; 4 — cornea
Рис. 2. Схема модификации синустрабекулэктомии с перекручиванием склерального лоскута. 1 — перекрученный поверхностный склеральный лоскут; 2 — трабекулэктомия; 3 — базальная иридэктомия; 4 — роговица
Sinustrabeculectomy with stitching of the scleral flap (Russian Federation patent No. 2668702). In the presented new surgical procedure, after the scleral flap formation, trabeculectomy and basal iridectomy, the scleral flap was stitched in the middle (suture material 8–0), and spanned in such a manner that its width at the center decreased by 1/3–1/2. Further on, its margins were fixated with sutures. The surgery was finished by the conjunctival flap reposition with suturing it with a running suture (Fig. 3). This operation was a procedure of choice in cases with fairly close location of the vascular perforation of the sclera to the limbus.
Fig. 3. Scheme of sinustrabeculectomy modification with stitching of the scleral flap. 1 — combined superficial scleral flap; 2 — trabeculectomy; 3 — basal iridectomy; 4 — cornea
Рис. 3. Схема модификации синустрабекулэктомии с прошиванием склерального лоскута. 1 — сосборенный поверхностный склеральный лоскут; 2 — трабекулэктомия; 3 — базальная иридэктомия; 4 — роговица
As a traditional fistulizing method of surgery, STE according to standard method was performed. The conjunctival fornix-based flap was separated in the upper quadrant of the eyeball. From superficial scleral layers, a 4 × 4 mm limbus-based flap was made. At the base of the flap, a 3 × 1 mm fragment of profound scleral layers was excised including the trabeculum and the Schlemm’s canal. Basal iridectomy was performed. The scleral flap was reset and fixated at its corners by two interrupted sutures (polypropylene 8–0). The reposition of the conjunctival flap was made with putting two interrupted sutures (polypropylene 8–0) on it.
The examination of patients included visual acuity testing, refractometry, biomicroscopy, kinetic perimetry, non-contact tonometry, gonioscopy, ophthalmoscopy. As a functional method to evaluate the state of the optic nerve head the confocal laser scanning ophthalmoscopy was used (Heidelberg Engineering, Germany).
The examination of patients took place on the day before surgery, during the patient’s stay in the clinic. The full volume of examinations was carried out before the procedure, in one week, in 1 month, 3, 6, 12, and 24 months after surgery. The follow-up period was 2 years.
The statistical analysis included the calculation of mean values (M), standard deviation (σ), Student’s indices of certainty of differences confidence (p).
RESULTS
Analyzing the results of new surgical procedures elaborated by the authors of present article, we took into account IOP level at early and remote post-op periods, structure and development prevalence of intra- and post-operative complications, the status of visual functions. The baseline IOP: subgroup 1a — 28.24 ± 3.59 mm Hg; subgroup 1b — 28.71 ± 3.52 mm Hg; subgroup 1c — 27.34 ± 4.20 mm Hg; group 2–29.30 ± 4.38 mm Hg. The difference between groups was statistically not significant (p ≥ 0.05). Upon release from the clinic, IOP in all patients was normalized: subgroup 1a — 8.32 ± 2.88 mm Hg; subgroup 1b — 8.75 ± 2.84 mm Hg; subgroup 1c — 8.41 ± 2.98 mm Hg; in the control group 2–8.89 ± 3.23 mm Hg. The IOP control in 1 month after surgery, the mean IOP level was comparable and stayed low in all groups: subgroup 1a — 10.44 ± 3.62 mm Hg; subgroup 1b — 10.86 ± 3. 25 mm Hg; subgroup 1c — 10.93 ± 4.55 mm Hg; group 2–11.81 ± 3.34 mm Hg. In 1 year of post-op follow-up, the IOP normalization maintained in the main groups as well as in the control one (Table 1).
Table 1. IOP values in studied subgroups at remote follow-up period (M ± σ, mm Hg)
Таблица 1. Значения внутриглазного давления в исследуемых подгруппах в отдалённые сроки наблюдения (M ± σ, мм рт. ст.)
Group, number of eyes, n | Intraocular pressure, mm Hg | ||||
baseline | after 1 month | after 6 months | after 12 months | after 24 months | |
Subgroup 1а, main group, 25 eyes | 28.32 ± 3.72 | 10.44 ± 3.62 | 15.00 ± 4.37 | 15.72 ± 5.43 | 16.80 ± 5.28 |
Subgroup 1b, main group, 28 eyes | 28.71 ± 3.52 | 10.86 ± 3.25 | 14.93 ± 4.63 | 16.61 ± 5.13 | 17.21 ± 5.63 |
Subgroup 1c, main group, 29 eyes | 27.34 ± 4.20 | 10.93 ± 4.55 | 15.21 ± 3.97 | 16.34 ± 4.84 | 17.72 ± 5.49 |
Control group 2, 27 eyes | 29.37 ± 4.48 | 8.89 ± 3.23 | 17.44 ± 4.72 | 16.22 ± 5.23 | 18.22 ± 5.35 |
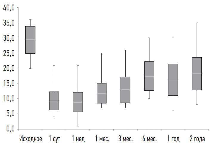
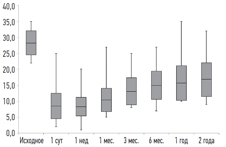
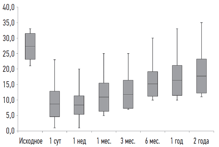
Figures 1–4 represent the dynamics of the IOP level at all follow-up periods. On diagrams, main characteristics of random data at different points/ for different groups of follow-up are shown (at the ends of vertical lines — minimal and maximal sampled values, in the center — mean value, at the margin of the rectangle — standard deviations from the mean index for an individual group).
Fig. 4. Dynamics of the intraocular pressure level at all follow-up periods in the group of patients after sinustrabeculectomy modification with the formation of grooves for the intramuscular fluid outflow (subgroup 1a). The x-axis — endpoints of the study, the y-axis — intraocular pressure level
Рис. 4. Динамика уровня офтальмотонуса во все периоды наблюдения в группе у пациентов после модификации синустрабекулэктомии с формированием бороздок для оттока внутриглазной жидкости (подгруппа 1а). Ось абсцисс — контрольные точки исследования, ось ординат — уровень внутриглазного давление
Fig. 5. Dynamics of the intraocular pressure level at all follow-up periods in the group of patients after sinustrabeculectomy modification with scleral flap twisting (subgroup 1b)
Рис. 5. Динамика уровня офтальмотонуса во все периоды наблюдения в группе у пациентов после модификации синустрабекулэктомии с перекрутом склерального лоскута (подгруппа 1b)
Fig. 6. Dynamics of the intraocular pressure level at all follow-up periods in the group of patients after sinustrabeculectomy modification with scleral flap stitching (subgroup 1c)
Рис. 6. Динамика уровня офтальмотонуса во все периоды наблюдения в группе у пациентов после модификации синустрабекулэктомии с прошиванием склерального лоскута (подгруппа 1c)
Hypotensive success was estimated as a complete one in the case of the IOP decrease lower than 22 mm Hg without any IOP-lowering therapy, as a partial one — with IOP-lowering therapy. As absence of success of the surgical procedure, the absence of the IOP-lowering effect and a repeated surgical procedure at remote post-op period were considered.
To the moment of the last visit, in the main group, a complete IOP compensation was found in the subgroup 1a in 80% of cases (20 eyes), in 1b — in 75% of cases (21 eyes), in 1c — in 76% of cases (22 eyes); partial compensation — in 16% of cases (4 eyes), 18% of cases (5 eyes), and 21% of cases (6 eyes); no success — in 4% of cases (1 eye), 7%of cases (2 eyes), and 3% of cases (1 eye), respectively. In the control group (group 2), a complete IOP-lowering success was noted in 55% of cases (15 eyes); partial one — in 30% of cases (8 eyes); no success — in 15% of cases (4 eyes) (Table 2).
Table 2. Hypotensive efficacy of sinustrabeculectomy in patients of studied groups by the end of the follow-up period, n
Таблица 2. Гипотензивная эффективность синустрабекулэктомии у пациентов исследуемых групп к концу срока наблюдения, n
Group | Complete success | Partial success | General success | Failure |
Subgroup 1а, main group, 25 eyes | 20 (80%) | 4 (16%) | 24 (96%) | 1 (4%) |
Subgroup 1b, main group, 28 eyes | 21 (75%) | 5 (18%) | 26 (93%) | 2 (7%) |
Subgroup 1c, main group, 29 eyes | 22 (76%) | 6 (21%) | 28 (96%) | 1 (3%) |
Control group 2, 27 eyes | 15 (55%) | 8 (30%) | 23 (85%) | 4 (15%) |
The indices of central vision, kinetic and static perimetry obtained during the follow-up period (24 months) are presented in tables 3, 4.
At visual acuity analysis, its amelioration in all groups during the early post-op period was found, which could be explained by indirect neuroprotection (Table 3).
Table 3. Dynamics of visual acuity at various terms
Таблица 3. Динамика остроты зрения в различные сроки
Group | Before surgery | In 6 months | In 1 year | In 2 years |
Subgroup 1а, main group, 25 eyes | 0.5 ± 0.20 | 0.4 ± 0.16 | 0.4 ± 0.16 | 0.6 ± 0.20 |
Subgroup 1b, main group, 28 eyes | 0.5 ± 0.22 | 0.5 ± 0.16 | 0.4 ± 0.15 | 0.6 ± 0.12 |
Subgroup 1c, main group, 29 eyes | 0.5 ± 0.15 | 0.4 ± 0.16 | 0.3 ± 0.16 | 0.6 ± 0.19 |
Control group 2, 27 eyes | 0.5 ± 0.16 | 0.4 ± 0.16 | 0.4 ± 0.16 | 0.5 ± 0.22 |
р, significance level | 1.0000 | 1.0000 | 1.0000 | 1.0000 |
Table 4. Dynamics of static perimetry indices at various terms
Таблица 4. Динамика показателей статической периметрии в различные сроки
Time point | Before surgery | In 6 months | In 1 year | In 2 years | |
MD (dB) | Subgroup 1а | –10.98 ± 2.47 | –9.88 ± 2.35 | –9.24 ± 2.50 | –9.62 ± 2.85 |
Subgroup 1b | –10.50 ± 2.29 | –9.71 ± 2.06 | –9.90 ± 2.56 | –9.89 ± 2.20 | |
Subgroup 1c | –10.56 ± 2.33 | –10.31 ± 2.38 | –10.45 ± 2.52 | –10.36 ± 2.07 | |
Group 2 | –11.12 ± 2.24 | –10.50 ± 2.22 | –10.60 ± 2.26 | –10.69 ± 2.04 | |
PSD (dB) | Subgroup 1а | 10.73 ± 2.14 | 10.09 ± 2.46 | 9.82 ± 2.12 | 9.87 ± 2.16 |
Subgroup 1b | 10.57 ± 2.42 | 9.98 ± 2.33 | 10.08 ± 2.55 | 10.07 ± 2.09 | |
Subgroup 1c | 10.76 ± 2.17 | 10.41 ± 2.07 | 10.85 ± 2.14 | 10.59 ± 2.07 | |
Group 2 | 11.13 ± 2.29 | 10.78 ± 2.21 | 10.82 ± 2.35 | 10.66 ± 2.08 | |
The reason for visual acuity worsening at remote post-op period was complicated cataract progression.
Summarized data of retinal tomography dynamics are shown in the Table 5.
Table 5. Dynamics of retinal tomography indicators at various terms
Таблица 5. Динамика показателей ретинальной томографии в различные сроки
Study time point | Before surgery | In 6 months | In 1 year | In 2 years | |
Rim area, mm2 | Subgroup 1а | 1.15 ± 0.24 | 1.13 ± 0.24 | 1.09 ± 0.23 | 1.08 ± 0.22 |
Subgroup 1b | 1.15 ± 0.22 | 1.13 ± 0.21 | 1.11 ± 0.22 | 1.10 ± 0.21 | |
Subgroup 1c | 1.14 ± 0.22 | 1.12 ± 0.21 | 1.11 ± 0.20 | 1.09 ± 0.28 | |
Group 2 | 1.09 ± 0.30 | 0.10 ± 0.21 | 0.10 ± 0.21 | 1.08 ± 0.21 | |
Rim volume, mm3 | Subgroup 1а | 1.16 ± 0.11 | 1.13 ± 0.14 | 1.10 ± 0.19 | 1.10 ± 0.19 |
Subgroup 1b | 1.12 ± 0.10 | 1.10 ± 0.13 | 0.97 ± 0.20 | 1.10 ± 0.19 | |
Subgroup 1c | 1.10 ± 0.19 | 1.10 ± 0.19 | 1.10 ± 0.19 | 1.10 ± 0.19 | |
Group 2 | 0.18 ± 0.15 | 0.17 ± 0.10 | 0.13 ± 0.11 | 1.10 ± 0.19 | |
At the remote period, a small negative dynamics of Rim area and Rim volume was noted.
Intra- and early post-op complications are presented in the Table 6.
Table 6. Intra- and postoperative complications, n
Таблица 6. Интра- и послеоперационные осложнения, n
Complications | Subgroup 1а | Subgroup 1b | Subgroup 1c | Group 2 (control group) |
Intraoperative | ||||
Shallow anterior chamber | 2 (8%) | – | 1 (3,4%) | 2 (7,4%) |
Necessity in extra closure | – | – | – | 1 (3,7%) |
Postoperative | ||||
Hyphema | 1 (4%) | – | 1 (3,4%) | 2 (7,4%) |
Ciliochoroidal detachment | 1 (4%) | 1 (3,6%) | – | 3 (11,1%) |
Ciliochoroidal detachment, requiring surgical treatment | – | – | – | 1 (3,7%) |
Total | 4 (16%) | 1 (3,6%) | 2 (6,8%) | 9 (33,3%) |
The total rate of post-op complications showed significantly (p < 0.05) lower results after elaborated STE modifications — 4 (16%), 1 (3.6%), and 2 (6.8%) in groups 1a, 1b, and 1c, respectively, than after a standard STE — 9 (33.3%) in the group 2.
In the early post-op period, in 5 patients, there was a shallow anterior chamber, its deepness restored during 2–5 days; there was no hyphema.
DISCUSSION
In 1968, J.E. Cairns (Cambridge, Great Britain) described a new fistulizing procedure — “trabeculectomy”. The point was that the conjunctival flap was limbus-based, further on, after the excision of the subconjunctival tissue up to the sclera, the scleral flap was shaped from the limbus being fornix-based. As next step, a fragment of the scleral deep layers was removed, which included the trabeculum and the Schlemm’s canal. Thereafter, the scleral flap was tightly fixed by several interrupted sutures. It is highly likely that the significance of the post-operative subconjunctival leakage was not evaluated.
In 1970, P. Watson, the colleague of Cairns, proposed his variant of trabeculectomy (90 cases) [10, 11]. There were several differences revealed: the superficial scleral flap was carved out as limbus-based one, its thickness was 2/3 of the sclera. M.M. Krasnov also presented his data on trabeculectomy modification’s performance [12, 13]. In 1971, A.P. Nesterov coined the term “sinustrabeculectomy” (STE) and presented 100 consecutive cases of its successful outcomes [14].
Nevertheless, at various terms after surgical treatment, the decrease of the IOP-lowering effect was noted. The reason for this are scarring processes of created intraocular fluid outflow pathways [15, 16]. Emphasis is laid on factors, which could lead to an excessive scarring of tissues. G. Brindley carried out an analysis of 591 patients (789 eyes) and draw a conclusion that patients of younger age as well as people with concomitant diseases, such as arterial hypertension and diabetes mellitus have a high risk of postoperative scarring [17]. However, in another study, no relationship between young age and trabeculectomy results was found [18, 19]. Long-term administration of local IOP-lowering medications has a negative impact on the conjunctiva, and this leads to the decrease of the effect of STE [20, 21]. One cannot forget immunological factors the number of which are markers of risk of an excessive scarring [22].
In cases when a risk of tissue scarring at the site of surgery is expected, in the early postoperative period, and sometimes intraoperatively, medications are used: corticosteroids, cytostatics, collagenolytics. Corticosteroids act directly on fibroblasts, which are responsible for connective tissue formation [23]. Among cytostatic medications, 5-fluorouracil and mitomycin C are used [24–26]. But for cytostatics, a high risk of side effects is typical, such as keratopathy, external filtration, uveitis.
In the remote period, when the IOP-lowering efficacy of surgery decreases, needling, transcorneal and laser treatment methods are used. Nonetheless, the desired result is not always achieved [27].
The presented here modifications of penetrating surgery in POAG patients are primarily directed on the formation of stable pathways for IOF outflow. This is achieved due to low surgical trauma, safety and ease of accomplishment of surgical procedure.
Thus, we developed and patented new STE modifications to treat patients with moderate and advanced stages of POAG. The aim of those procedures consists in formation of new IOF outflow pathways with durable result at a remote postoperative period with an individual approach to each patient. We established that postoperative IOP-lowering efficacy is identic to that of traditional STE at early follow-up terms, and at remote periods — the efficacy of new modifications appeared to be higher: to 24 months, the mean IOP level in main groups was: 1a — 16.80 ± 5.28, 1b — 17.21 ± 5.63, 1c — 17.72 ± 5.49 mm Hg; in control group 2–18.22 ± 5.35 mm Hg. Postoperative complications occurred more rarely in main groups, than in the control one. It is proven that developed new STE modifications form safe IOF outflow pathways, decrease the total prevalence of postoperative complications in comparison to classic STE.
ADDITIONAL INFORMATION
Authors’ contribution. Thereby, all authors made a substantial contribution to the conception of the study, acquisition, analysis, interpretation of data for the work, drafting and revising the article, final approval of the version to be published and agree to be accountable for all aspects of the study.
Competing interests. The authors declare that they have no competing interests.
Funding source. This study was not supported by any external sources of funding.
About the authors
Elena A. Suleiman
Helmholtz National Medical Research Center of Eye Diseases
Author for correspondence.
Email: elena-548@inbox.ru
ophthalmologist
Russian Federation, MoscowSergey Yu. Petrov
Helmholtz National Medical Research Center of Eye Diseases
Email: glaucomatosis@gmail.com
Dr. Sci. (Med.), head of Glaucoma Department
Russian Federation, MoscowReferences
- Kozlova IV, Akopyan AI, Reshikova VS. Efficacy of the combined therapy in patients with primary open angle glaucoma. National Journal glaucoma. 2011;10(3):25–29. (In Russ.)
- Cairns JE. Trabeculectomy. Preliminary report of a new method. Am J Ophthalmol. 1968;66(4):673–679. doi: 10.1016/0002-9394(68)91288-9
- Francis BA, See R, Rao N, et al. Ab interno trabeculectomy: development of a novel device (Trabectome) and surgery for open-angle glaucoma. J Glaucoma. 2006;15(1):68–73. doi: 10.1097/01.ijg.0000196653.77836.af
- Saheb H, Ahmed IK. Micro-invasive glaucoma surgery: current perspectives and future directions. Curr Opin Ophthalmol. 2012;23(2):96–104. doi: 10.1097/ICU.0b013e32834ff1e7
- Petrov SIu, Vostrukhin SV, Aslamazova AE, Sherstneva LV. Modern methods of minimally invasive glaucoma surgery. The Russian Annals of Ophthalmology. 2016;132(3):96–102. (In Russ.) doi: 10.17116/oftalma2016132396-102
- Astakhov YuS, Egorov EA. Surgical treatment of refractory glaucoma. Russian journal of clinical ophthalmology. 2006;7(1):25–27. (In Russ.)
- Batmanov YuE, Evgrafov VYu, Guliev FV. Modern aspects in glaucoma surgery. Vestnik Oftalmologii. 2008;124(4):53–56. (In Russ.)
- Artamonov VP. Ehffektivnost subskleralnoi sinusotomii pri glaukome. The Russian Annals of Ophthalmology. 1980;(2):5–8. (In Russ.)
- Babushkin AEh. Modifikatsiya sinusotomii. The Russian Annals of Ophthalmology. 1991;107(5):7–9. (In Russ.)
- Watson PG, Barnett F. Effectiveness of trabeculectomy in glaucoma. Am J Ophthalmol. 1975;79(5):831–845. doi: 10.1016/0002-9394(75)90745-X
- Watson PG. Trabeculectomy: A modified ab externo technique. Ann Ophthalmol. 1970;2:199–206.
- Krasnov MM, Kolesnikova LN. Trabekuloehktomiya v sisteme khirurgicheskogo lecheniya glaukomy. The Russian Annals of Ophthalmology. 1969;112(6):54–57. (In Russ.)
- Krasnov MM. Microsurgery of glaucoma. Indications and choice of techniques. Am J Ophthalmol. 1969;67(6):857–864. doi: 10.1016/0002-9394(69)90079-8
- Nesterov AP, Federova NV, Batmanov YE. Sinus trabeculectomy. Preliminary results of 100 operations. Br J Ophthalmol. 1972;56(11):833–839. doi: 10.1136/bjo.56.11.833
- Yerichev VP, Bessmertniy AM, Chervyakov AYu. Polnost’yu fistuliziruyushchaya operatsiya kak sposob povysheniya ehffektivnosti khirurgicheskogo lecheniya refrakternoi glaukomy. Russian Journal of Clinical Ophthalmology. 2002;(2):59. (In Russ.)
- Zhuravleva AN, Suleiman EA, Kiseleva OA. Surgical method for prevention of scaring in conducting sinustrabeculectomy. Saratov journal of medical scientific research. 2017;13(2):372–375. (In Russ.)
- Agarwal HC, Sharma TK, Sihota R, Gulati V. Cumulative effect of risk factors on short-term surgical success of mitomycin augmented trabeculectomy. J Postgrad Med. 2002;48(2):92–96.
- Briggs MC, Jay JL. Age over 46 years does not affect the pressure lowering effect of trabeculectomy in primary open angle glaucoma. Br J Ophthalmol. 1999;83(3):280–284. doi: 10.1136/bjo.83.3.280
- Mietz H, Krieglstein GK. Suramin to enhance glaucoma filtering procedures: a clinical comparison with mitomycin. Ophthalmic Surg Lasers. 2001;32(5):358–369. doi: 10.3928/1542-8877-20010901-03
- Broadway DC, Chang LP. Trabeculectomy, risk factors for failure and the preoperative state of the conjunctiva. J Glaucoma. 2001;10(3):237–249. doi: 10.1097/00061198-200106000-00017
- Khairy HA, Elsawy MF. Trabeculectomy with Mitomycin-С versus trabeculectomy with amniotic membrane transplant: A medium-term randomized. Controlled trial. J Glaucoma. 2015;24(7):556–559. doi: 10.1097/IJG.0000000000000060
- Lebedev OI. Kontseptsiya izbytochnogo rubtsevaniya tkanei glaza posle antiglaukomatoznykh operatsii. The Russian Annals of Ophthalmology. 1993;109(1):36–39. (In Russ.)
- Starita RJ, Fellman RL, Spaeth GL, et al. Short- and long-term effects of postoperative corticosteroids on trabeculectomy. Ophthalmology. 1985;92(7):938–946. doi: 10.1016/S0161-6420(85)33931-3
- Alekseev IB, Koshcheeva EA. Metod khirurgicheskogo lecheniya patsientov s subkompensirovannoi i nekompensirovannoi glaukomoi, ranee perenesshikh fistuliziruyushchuyu operatsiyu. Glaukoma. 2007;(1):27–31. (In Russ.)
- Shmyreva VF, Petrov SIu, Antonov AA, Pimenidi MK. Controlled cytostatic therapy in the early periods after surgery for glaucoma: preliminary results. The Russian Annals of Ophthalmology. 2007;123(1):12–14. (In Russ.)
- Wilson RP, Steinmann WC. Use of trabeculectomy with postoperative 5-fluorouracil in patients requiring extremely low intraocular pressure levels to limit further glaucoma progression. Ophthalmo logy. 1991;98(7):1047–1052. doi: 10.1016/S0161-6420(91)32178-X
- Suleiman EA, Petrov SYu. New techniques of sinus trabeculectomy with prolonged hypotensive effect. Russian Ophthalmological Journal. 2022;15(3):61–66. (In Russ.) doi: 10.21516/2072-0076-2022-15-3-61-66
Supplementary files










