Analysis of Prevalence of Lower Extremity Varicose Vein Disease of in One of Major Regions of Central Federal District of Russian Federation Using Multi-Variant Approach
- Authors: Potapov M.P.1, Staroverov I.N.1
-
Affiliations:
- Yaroslavl State Medical University
- Issue: Vol 31, No 3 (2023)
- Pages: 367-380
- Section: Original study
- Submitted: 20.01.2023
- Accepted: 10.07.2023
- Published: 12.10.2023
- URL: https://journals.eco-vector.com/pavlovj/article/view/129204
- DOI: https://doi.org/10.17816/PAVLOVJ129204
- ID: 129204
Cite item
Abstract
INTRODUCTION: The majority of epidemiological studies on lower extremity varicose veins (LEVV) published to date have cross-sectional character, therefore, understanding the relationships between the disease and other epidemiological variables in them is mainly based on data analysis in a short period of time and does not take into account the influence on the main parameters of functioning national health systems. It is relevant to analyze the epidemiological parameters of LEVV in the long term, taking into account the influence of the state health system in a large region of the Russian Federation.
AIM: To identify changes in the distribution of LEVV in different territories of the Yaroslavl region (YaR) over 10 years (2011–2021).
MATERIALS AND METHODS: A retrospective study of statistical parameters of the work of medical organizations of the YaR in 2011–2021 was conducted, namely, of the total number of attached adult population, the dynamics of the number of attached population, the total number and dynamics of the number of patients with the established diagnosis of LEVV. The weighted average value for continuous variables with a 95% confidence interval (CI) was evaluated. Heterogeneity was evaluated based on the I2 value.
RESULTS: The static weighted average value of the prevalence of LEVV in Yaroslavl at the end of the year in 2011–2021 was 1.040% (95% CI: 1.031–1.049). When analyzing the data for 2011–2021, the trend for a decline in the recorded prevalence of LEVV was determined. At the end of 2021, the prevalence of LEVV in Yaroslavl declined by 0.715%, in Pereslavl district — by 0.466%, in Tutaev district — by 0.4%, in Rostov district — by 0.392%, in Rybinsk — by 0.192% with high heterogeneity of data depending on the territory and period (I2 > 99). Besides, during the analyzed 10 years, there occurred significant changes in approaches to surgical treatment of LEVV, such as appearance of hospital-substituting technologies that have become widely used in the territory of the YaR by non-governmental medical organizations in the vast majority of cases.
CONCLUSIONS: According to official data, the decline in the morbidity with LEVV in the studied territories of the YaR over 10 years (2011–2021) contradicts the published results of epidemiological studies. The information obtained, together with the high heterogeneity of statistical data for individual territories and periods, may indirectly indicate the low efficiency of the existing system of providing medical care to the population with LEVV.
Full Text
LIST OF ABBREVIATIONS
CI — confidence interval
CRH — Central Regional Hospital
FE — fixed effect
HM — Health Ministry
LEVV — lower extremity varicose veins
МО — medical organization
RE — random effect
RF — Russian Federation
YaR — the Yaroslavl region
INTRODUCTION
According to the Health Ministry of the Russian Federation (RF), the total morbidity of adult population of the RF with varicose veins of the lower extremities in the period 2013–2017 was 1049.0–1074.3 per 100,000 population [1]. In Russian population-based studies, the prevalence of varicose veins among the adult population ranges from 12% to 26% [2, 3]. In foreign sources, there are various estimates of the prevalence of lower extremity varicose veins (LEVV): from 2% to 56% in men and from 1% to 73.2% in women [4, 5]. The average prevalence of LEVV, according to epidemiological studies, is 25%–33% among women and 10%–40% among men [6–8].
All this indicates the seriousness of the problem of LEVV and indicates significant socio-economic burden borne by modern society due to the high prevalence of LEVV among the working-age population of economically developed countries. Besides, of importance is the high total cost of diagnosis and treatment of both the disease itself and its associated complications, high expenditures associated with the probable disability of the population suffering LEVV [9, 10]. Despite the slowly progressing course of the disease [11], its high prevalence in the population may lead to a rapid accumulation of a significant number of patients with complicated forms of LEVV significantly affecting the quality of patients’ life [12].
Most of the currently known epidemiological studies on LEVV assess morbidity and other statistical parameters in short term and have a small coverage across the territory. There are mostly continuous cross-sectional studies, and the data on the morbidity with and the incidence of LEVV in such studies may differ greatly from the calculated parameters on which the state health system directs their resources. In our opinion, it is important to analyze the data on the prevalence of LEVV from a scientific and practical point of view, including a comparative analysis that should be conducted on large strata and in dynamics over a long period of time. In the available literature, no works were found that describe the problem of the epidemiology of LEVV in this aspect.
The aim of this study to determine changes in the prevalence of lower extremity varicose veins in various territories of the Yaroslavl region over 10 years (from 2011 to 2021).
MATERIALS AND METHODS
A retrospective study of statistical parameters of the work of state medical organizations (MOs) for 2011–2021 was conducted, namely of:
- the total number of attached adult population;
- the dynamics of the attached population;
- the total number and dynamics of the number of patients with established diagnosis of LEVV with the codes I83.0, I83.1, I83.2, I83.9 of the International Statistical Classification of Diseases and Health-Related Problems, 10th revision.
The results were presented in accordance with Cochrane recommendations [13].
The study includes the following state MOs of Yaroslavl:
- Central City Clinical Hospital;
- Clinical Hospitals No. 2–4 (merged with Clinical Hospital No. 9 in 2019), No. 8 (merged with Clinical Hospital No. 2 in 2019), No. 7 (merged with Clinical hospital No. 3 in 2019), No. 9, No. 10 (merged with Semashko Clinical Hospital in 2019);
- Semashko Clinical Hospital;
- Avtodiesel Medical and Sanitary Unit (merged with Clinical Hospital No. 9 in 2014);
- city polyclinic No. 2 (merged with Central City Clinical Hospital in 2019);
- state MO of Rybinsk: City Hospitals No. 1–6, City Polyclinics No. 1–3;
- Pereslavl, Rostov and Tutaev Central District Hospitals (CDH).
The data for meta-analysis were obtained from the main annual statistical reports presented by state MOs:
- statistical reports according to the registration form No. 025-12/у ‘Outpatient talon’, approved by the Order of the Ministry of Health and Social Development of the Russian Federation No. 255 of November 22, 2004 ‘On the procedure for providing primary health care to citizens entitled to receive a set of social services’;
- statistical reports according to the form No. 025-1/у ‘Talon of a patient receiving medical care on an outpatient basis’, approved by the Order of the Ministry of Health of the Russian Federation No. 834n of December 15, 2014 ‘On approval of unified forms of medical documentation used in the MO providing medical care on an outpatient basis, and the procedures for filling them out’ (Orders of the Ministry of Health of the Russian Federation No. 2n of January 09, 2018; No. 1186n of November 02, 2020);
- statistical reports according to the form No. 066/у-02 ’Statistical card of a person discharged from 24-hour stay hospital, a day patient facility at a hospital, a day hospital at an outpatient polyclinic institution, a hospital at home’, approved by Order of the Ministry of Health of the Russian Federation No. 413 of December 30, 2002 ‘On approval of accounting and reporting medical documentation’.
Statistical data were provided by the state budgetary healthcare institution Center for Public Health and Medical Prophylaxis of the YaR in accordance with request No. 01/15-68 of October 07, 2022.
The following parameters were extracted from the included data: quantitative and frequency characteristics of the population, prevalence (Table 1). At the first stage, a meta-analysis of the results of the prevalence of LEVV was performed at the end of each year in the period from 2011 to 2021, obtained from the annual reports of state MOs located in the territories of Yaroslavl, Rostov, Pereslavl, Tutaev districts and the city of Rybinsk. At the second stage, the analysis and synthesis of statistical data on the effects of the implementation of the LEVV in the same municipal districts, but in the interval of one year, was carried out.
Data analysis was performed using Review Manager 5.3.5. (Cochrane Collaboration, Oxford, UK, 2014). The weighted average value for continuous variables with 95% confidence interval (CI) was estimated. Statistically significant parameters were considered those with p < 0.05. Heterogeneity was estimated on the basis of the I2 value. With this, a low degree of heterogeneity (I2 ≤ 25%) implied a homogeneous data series, and a high heterogeneity (I2 ≥ 75%), on the contrary, reflects a significant true variability of the data. To assess the data bias, statistical significance was assessed for each I2 parameter. Eggers and Begg tests, as well as funnel plot, were used to evaluate the data bias.
RESULTS
The total population weight of the sample for Yaroslavl for all periods of the study was 5,360,846 people. The static weighted average value of the prevalence of LEVV for Yaroslavl at the end of the year in the period 2011–2021 was 1.040% (95% CI: 1.031–1.049). Here, in 2011–2012 and 2017–2019, the frequency of the LEVV event was above the average value, in 2013–2016 and 2020–2021 — below (Table 2).
Table 1. Number of Patients Aged 18 and Above Living in 5 Municipal Entities of the Yaroslavl Region Diagnosed with Low Extremity Varicose Veins
Territory | Year | Number of Adult Population | Low Extremity Varicose Veins | Year | Number of Adult Population | Low Extremity Varicose Veins |
Yaroslavl | 2011 | 486 312 | 7 151 | 2012 | 482 437 | 5 729 |
Rybinsk | 170 223 | 864 | 168 438 | 803 | ||
Pereslavl district | 51 498 | 543 | 51 047 | 354 | ||
Rostov district | 54 557 | 564 | 53 678 | 509 | ||
Tutaev district | 45 903 | 370 | 46 080 | 405 | ||
Yaroslavl | 2013 | 482 364 | 4 532 | 2014 | 484 965 | 4 722 |
Rybinsk | 163 717 | 675 | 162 076 | 628 | ||
Pereslavl district | 50 793 | 441 | 50 071 | 351 | ||
Rostov district | 53 193 | 486 | 52 604 | 589 | ||
Tutaev district | 45 775 | 315 | 45 937 | 289 | ||
Yaroslavl | 2015 | 486 221 | 4 615 | 2016 | 488 429 | 5 028 |
Rybinsk | 159 877 | 692 | 156 035 | 708 | ||
Pereslavl district | 50 137 | 367 | 49 928 | 344 | ||
Rostov district | 51 861 | 557 | 51 421 | 398 | ||
Tutaev district | 45 417 | 279 | 45 112 | 256 | ||
Yaroslavl | 2017 | 489 537 | 5 619 | 2018 | 490 054 | 5 833 |
Rybinsk | 154 286 | 545 | 154 904 | 590 | ||
Pereslavl district | 49 459 | 282 | 48 098 | 274 | ||
Rostov district | 51 088 | 344 | 50 449 | 419 | ||
Tutaev district | – | – | 44 446 | 284 | ||
Yaroslavl | 2019 | 490 945 | 5 645 | 2020 | 489 757 | 3 683 |
Rybinsk | 151 408 | 448 | 150 862 | 440 | ||
Pereslavl district | 47 371 | 264 | 47 006 | 200 | ||
Rostov district | 49 568 | 418 | 49 322 | 373 | ||
Tutaev district | 43 707 | 208 | 43 485 | 144 | ||
Yaroslavl | 2021 | 489 825 | 3 696 | |||
Rybinsk | 146 022 | 461 | ||||
Pereslavl district | 45 251 | 266 | ||||
Rostov district | 48 771 | 313 | ||||
Tutaev district | 42 861 | 174 | ||||
Table 2. Characteristics of Groups Included in Study in Territory of Yaroslavl
Studies | Sample Size | Prevalence | Fixed Effect, % | Random Effect, % | |
% | 95% CI | ||||
2011 | 486 312 | 1.470 | 1.437–1.505 | 9.07 | 9.09 |
2012 | 482 437 | 1.188 | 1.157–1.218 | 9.00 | 9.09 |
2013 | 482 364 | 0.940 | 0.913–0.967 | 9.00 | 9.09 |
2014 | 484 965 | 0.974 | 0.946–1.002 | 9.05 | 9.09 |
2015 | 486 221 | 0.949 | 0.922–0.977 | 9.07 | 9.09 |
2016 | 488 429 | 1.029 | 1.001–1.058 | 9.11 | 9.09 |
2017 | 489 537 | 1.148 | 1.118–1.178 | 9.13 | 9.09 |
2018 | 490 054 | 1.190 | 1.160–1.221 | 9.14 | 9.09 |
2019 | 490 945 | 1.150 | 1.120–1.180 | 9.16 | 9.09 |
2020 | 489 757 | 0.752 | 0.728–0.777 | 9.14 | 9.09 |
2021 | 489 825 | 0.755 | 0.731–0.779 | 9.14 | 9.09 |
In total, FE | 5 360 846 | 1.040 | 1.031–1.049 | 100.00 | 100.00 |
In total, RE | 5 360 846 | 1.040 | 0.921–1.167 | 100.00 | 100.00 |
Notes: CI — Confidence Interval, FE — Fixed Effect, RE — Random Effect
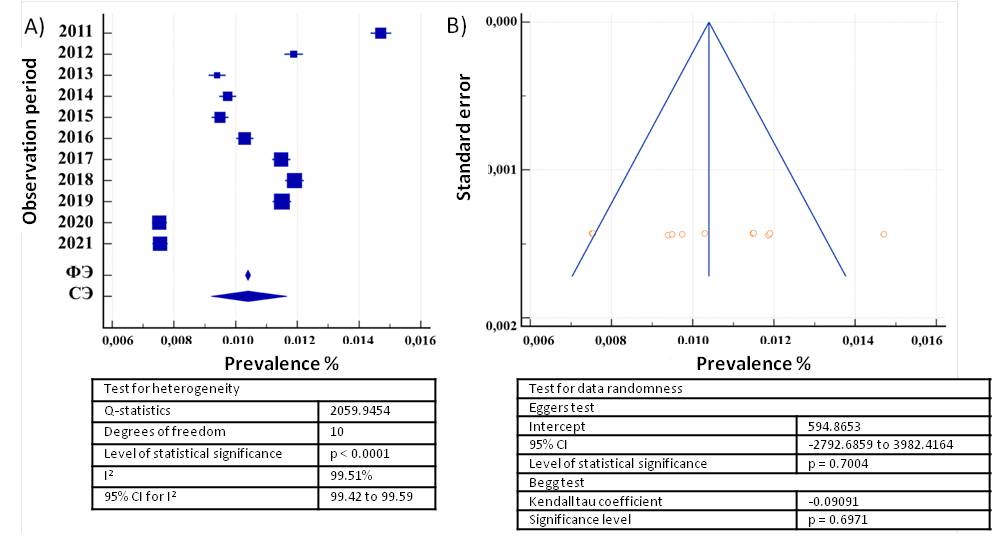
In the test for heterogeneity it was found that samples included in the meta-analysis, were heterogenic I2 — 99.51% (95% CI: 99.42–99.59) at р < 0.0001. On the basis of heterogeneity of sample, the random effect of LEVV realization in the territory of Yaroslavl made 1.040% (95% CI: 0.921–1.167; Table 2).
The adult population size in Yaroslavl during the analyzed ten-year period, practically remained unchanged, despite the different true sizes of the effect in each particular year. At the same time, the forest plot indicates a significant variability in the average prevalence parameter over the years relative to the general average. Here, in periods where the presented data are to the right of the average value, the situation on the prevalence of LEVV among the adult population was more unfavorable. In general, according to statistical reports provided by the state MOs of Yaroslavl, there was a tendency for reduction of morbidity with LEVV within 10 years. The P-values of the results of Eggers and Begg tests and the visual data of the funnel plot indicate the normal distribution of the statistical data obtained relative to the total average of all studies (Figure 1).
Fig. 1. Forest plot (А) and funnel plot (B) of parameters of groups included in the study, on the basis of the data of the state medical organizations of Yaroslavl. Notes: CI — confidence interval, RE — random effect, FE — fixed effect.
It is worth noting that in Yaroslavl, only 2 periods of 2017 and 2019 with similar prevalence of LEVV were recorded by the end of the year. In the rest of the periods, this parameter was characterized by sufficient volatility by the end of the year. In general, high heterogeneity of factors that influence the annual record of prevalence of LEVV in the territory of Yaroslavl, is of high scientific and practical interest.
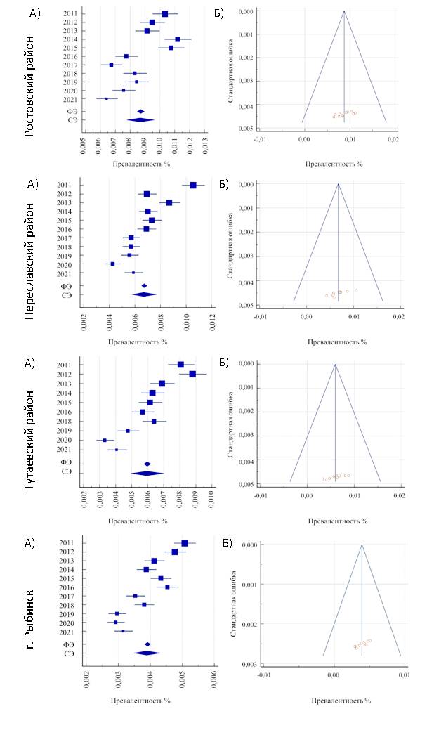
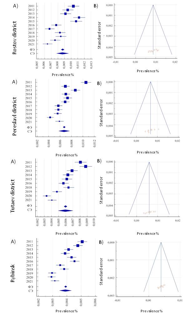
Despite the decrease in the size of the effect of the realization of the LEVV in the period 2011–2021, similar samples for Rostov, Pereslavl, Tutaev districts and the city of Rybinsk, have their own specificity. In contrast to the city of Yaroslavl, negative dynamics of the adult population was recorded in the areas studied according to the protocol. In the period 2011–2015 in these areas, as shown by the visual analysis of the forest plot, the values of the annual cumulative prevalence turned out to be to the right from the general average, and in the period 2017–2021, the situation of morbidity with LEVV changed towards decline. It is interesting to note that in 2017, 2018 and 2019 in Yaroslavl, the situation with respect to the average values of the prevalence of LEVV turned out to be unfavorable, while in Rostov, Pereslavl districts and Rybinsk, the sizes of the effects of realization of LEVV appeared to be smaller compared to the general average in the same territories (Figure 2).
Fig. 2. Forest plot (A) and funnel plot (B) of parameters for groups included in the study, according to the data of state medical organizations of Rostov, Pereslavl, Tutaev districts and of the city of Rybinsk. Notes: RE — random effect, FE — fixed effect
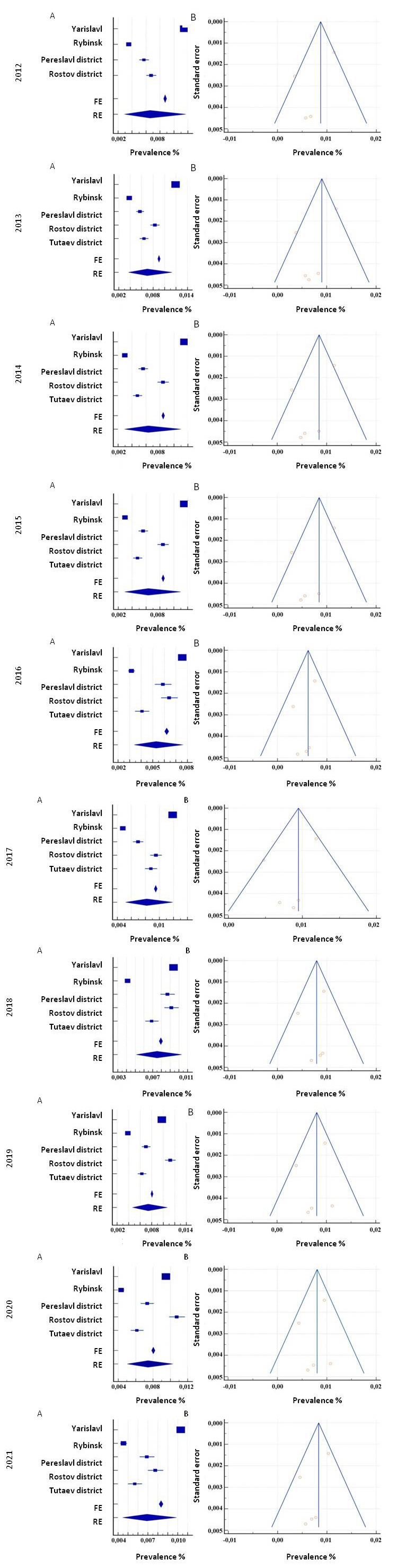
In the course of the analysis of the prevalence of LEVV at the end of the year in the selected municipalities of the Yaroslavl region, the following patterns were revealed. Thu,, in 2011, the total studied population was 808,493 people aged 18 years and older, of whom 1,134 (95% CI: 1,111–1,157) were diagnosed with LEVV. With this, only in Yaroslavl, the incidence of LEVV was above the average and amounted to 1,470 (95% CI: 1,437–1,505). In the remaining territories, the prevalence of LEVV was below the recorded average effect. The lowest prevalence of LEVV in 2011, according to the results of annual reports of state medical organizations in Rybinsk, was 0.508 (95% CI: 0.474–0.542). The heterogeneity test for this year showed that the studies included in the meta-analysis for individual districts turned out to be highly heterogeneous I2 — 99.70% (95% CI: 99.62–99.76) at p < 0.0001. Taking into account the heterogeneity of the sample, the random effect of realization of LEVV was 0.948 (95% CI: 0.548–1.456; Table 3; Figure 3).
Table 3. Characteristics of Groups Included in Study in 2011
Territory of Study | Sample Size | Prevalence | Fixed Effect, % | Random Effect, % | |
% | 95% CI | ||||
Yaroslavl | 486 312 | 1.470 | 1.437–1.505 | 60.15 | 20.08 |
Rybinsk | 170 223 | 0.508 | 0.474–0.542 | 21.05 | 20.05 |
Pereslavl district | 51 498 | 1.054 | 0.968–1.146 | 6.37 | 19.96 |
Rostov district | 54 557 | 1.034 | 0.951–1.122 | 6.75 | 19.97 |
Tutaev district | 45 903 | 0.806 | 0.726–0.892 | 5.68 | 19.94 |
Total FE | 808 493 | 1.134 | 1.111–1.157 | 100.00 | 100.00 |
Total RE | 808 493 | 0.948 | 0.548–1.456 | 100.00 | 100.00 |
Notes: CI — confidence interval, RE — random effect, FE — fixed effect
Fig. 3. Forest plot (A) and funnel plot (B) of parameters of the groups included in the study in 2011. Notes: CI — confidence interval, RE — random effect, FE — fixed effect.
The forest plot shows a strong variance in the average prevalence of all studies relative to the general average. The presented data, namely, the results of Eggers and Begg tests, visual signs of the funnel plot, indicate the fact of existence of different true effect sizes in each specific territory, that, nevertheless, fully corresponded to the normal distribution relative to the total average of all studies with a standard error of less than 0.03.
From the data presented in Table 4, it can be seen that within one year, each specific location has its own incidence of LEVV among the adult population. The heterogeneity revealed in the samples located to the left or right of the average value is not accidental and suggests the existence of certain factors affecting the incidence of LEVV in these areas. For example, in Pereslavl and Rostov districts, these factors are more similar than in other districts, and vice versa.
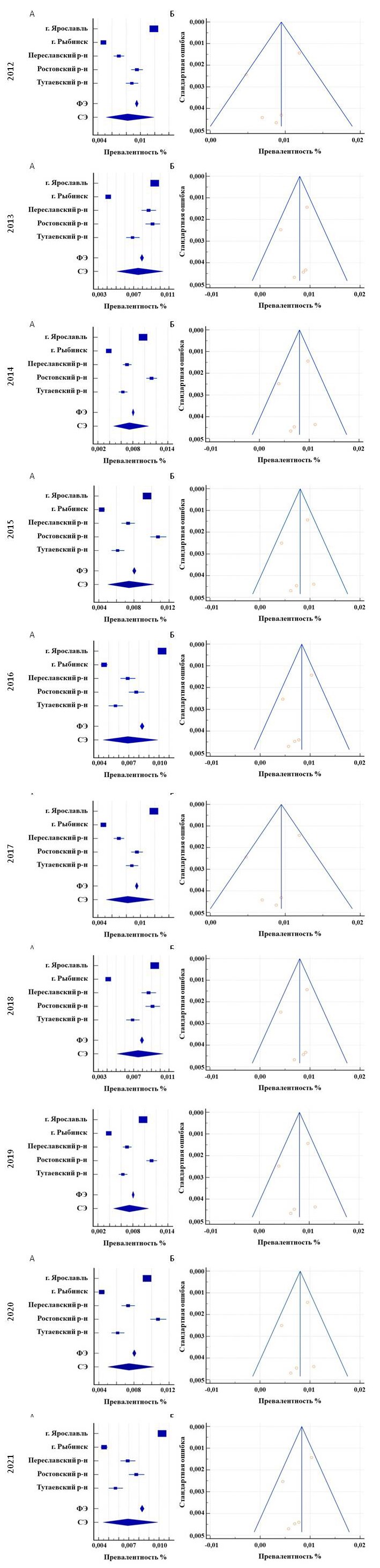
In analysis of the data for 2011–2021, a trend is determined to reduction of the incidence of LEVV. At the end of 2021, the prevalence of LEVV in Yaroslavl decreased by 0.715%, in Pereslavl district — by 0.466%, in Tutaevsky district — by 0.4%, in Rostov district — by 0.392%, in Rybinsk — by 0.192% with high heterogeneity (I2 99.14; 95% CI: 98.81–99.39; Table 4).
Table 4. Characteristics of Groups Included in Study in 2021
Territory of Study | Sample Size | Prevalence | Fixed Effect, % | Random Effect, % | |
% | 95% CI | ||||
Yaroslavl | 489825 | 0.755 | 0.731–0.779 | 63.39 | 20.24 |
Rybinsk | 146022 | 0.316 | 0.288–0.346 | 18.90 | 20.15 |
Pereslavl district | 45251 | 0.588 | 0.519–0.663 | 5.86 | 19.87 |
Rostov district | 48771 | 0.642 | 0.573–0.717 | 6.31 | 19.90 |
Tutaev district | 42861 | 0.406 | 0.348–0.471 | 5.55 | 19.85 |
Total FE | 772730 | 0.621 | 0.603–0.639 | 100.00 | 100.00 |
Total RE | 772730 | 0.530 | 0.339–0.762 | 100.00 | 100.00 |
Notes: CI — confidence interval, RE — random effect, FE — fixed effect
Here, a gradual shift of the total random effect to the left of the average value is recorded on the forest plot (Figure 4), as well as a shift of the data to the left in each location, which, except for Rostov district, formally indicates improvement of the epidemiological situation for LEVV in the given municipalities of the YaR. On the contrary, an opposite trend is observed in Rostov district, which rather conventionally may indicate impairment of the situation with LEVV in the given region.
Fig. 4. Forest plot (А) and funnel plot (B) of parameters of the groups included in the study in 2012–2022. Notes: RE — Random Effect, FE — Fixed Effect
The assessment of absolute and relative values of LEVV among the adult population in Rostov region in 2011–2021 is presented as a plot resembling a declining sinusoid. Here, the incidence of LEVV per capita of the dult population for the same period of time shows stronger fluctuations (Figure 5). The lowest prevalence parameters were noted in 2013, 2017 and 2021. Peaks of LEVV incidence occurred in 3 periods: 2011, 2014–2015 and 2018–2019.
Fig. 5. Number of patients with (А) and prevalence (B) of LEVV in Rostov district from 2011 to 2021. Notes: LEVV — lower extremity varicose disease.
The dynamics of absolute and relative values of LEVV among the adult population of Yaroslavl for 2011–2021, presented in the form of a plot, also resembles a sinusoid with a downward trend. At the same time, the frequency of occurrence of LEVV per capita of the adult population for the same period of time has a more flat form (Figure 6). The lowest prevalence rates of LEVV were noted in 2013, 2015 and 2020, 2021. Peak incidence of LEVV occurred in 2 periods: 2011, 2018–2019.
Fig. 6. Number of patients with А) and prevalence (B) of LEVV in Yaroslavl from 2011 to 2021. Notes: LEVV — lower extremity varicose disease.
DISCUSSION
The epidemiological situation and its dynamics in Yaroslavl, Rybinsk, Rostov, Pereslavl, Tutaev districts of the YaR exclude the significant role of genetic, ethnic and national, demographic and other social factors. The natural and climatic conditions, the ecological situation in these periods in Yaroslavl also remained unchanged. Thus, the trend towards a decrease in the prevalence of LEVV in Yaroslavl can be explained by the influence, first of all, of medical and social factors.
On the one hand, this may be due to a decrease in the level of diagnosis of the disease, on the other, due to an increase in the amount of radical treatment of the disease. The factor of the increasing participation of non-state organizations in the system of providing assistance to the population should not be discounted either. In the last decade, minimally invasive technologies for the treatment of LEVV, primarily endovasal thermal obliteration, significantly changed approaches to radical treatment of LEVV, changing the conditions of care to outpatient ones. In the YaR, hospital-substituting technologies are practiced exclusively in non-state MOs, whose work has no territorial limitations and is focused on the same contingent that is serviced in the public health sector of the region. In this study, the cases of referral to private MOs for treatment of LEVV were not considered. These circumstances can also explain the identified trends in the dynamics of officially recorded epidemiological parameters of LEVV.
The analysis of epidemiological data, including the test for heterogeneity of factors determining the variance of the studied effect in different periods of observation in Rostov, Pereslavl, Tutaev districts of the YaR and in Rybinsk, has a low level of statistical significance, which is confirmed by Eggers and Begg tests (in all statistical models p < 0.01) and by the results of visual analysis of the funnel plot (Figure 2). The latter appeared to be asymmetric, with a shift to the left from the fixed effects and diagonal lines of 95% CI in all the studied areas, where low prevalence of LEVV was recorded at the end of the year. Thus, the distribution of true sizes of the effect differ from normal relative to the general average in Rostov, Pereslavl, Tutaev districts of the YaR and the city of Rybinsk.
Such dynamics of epidemiological parameters could be explained by the heterogeneity of conditions and the effect of different medical and social factors in each of the studied territories. That is, in each of the districts there were unique conditions affecting the trends of the morbidity with LEVV recorded at the end of the year within 10 years. This, in turn, may indicate the absence of uniform standards in the healthcare of the region both in the diagnosis and treatment of this disease and, in general, the low efficiency of the system dealing with this nosological group of diseases, or transfer of the burden of providing such care to the non-state healthcare sector.
CONCLUSION
Thus, based on the meta-analysis conducted with observance of all protocols of Cochrane Community, it was revealed that lower extremity varicose veins is a common vascular disease in the population aged 18 years and older living in Yaroslavl and Rybinsk, Rostov, Pereslavl and Tutaev districts of the Yaroslavl region.
The frequency of occurrence of lower extremity varicose veins, according to the annual statistical reports of state medical organizations in the specified municipalities of the Yaroslavl region over the past 10 years, has a downward trend in all studies. The revealed dynamics of the incidence of lower extremity varicose veins in the studied territories of the Yaroslavl region differs from the data of current population-based epidemiological studies, which have recently recorded an increase in the incidence of varicose veins of the lower extremities. This may indirectly indicate the existence of a share of patients in the study population who fall out of the attention of specialists, the ineffectiveness of the whole system of identifying patients with varicose veins of the lower extremities.
From the analysis of data on the prevalence of lower extremity varicose veins at the end of each of the periods over the past 10 years in the studied municipalities of the Yaroslavl region, statistical heterogeneity was also found in the territories and in dynamics for each year.
The reasons for the situation that has developed in the last decade may be lack of uniform standards in the healthcare of the region both in the diagnosis and treatment of varicose veins, and at the same time an increase in the share of the non-state healthcare sector in the system of providing medical care to patients with venous pathology.
These circumstances should be taken into account when planning and organizing medical care for the population with this pathology.
ADDITIONALLY
Funding. The authors declare that there is no funding for the study.
Conflict of interests. The authors declare no conflicts of interests.
Contribution of the authors: M. P. Potapov ― study concept and design, statistical analysis, data analysis and interpretation, text writing; I. N. Staroverov ― the concept and design of the study, checking the critical intellectual content of the work, final approval for publication of the manuscript. All authors made a substantial contribution to the conception of the work, acquisition, analysis, interpretation of data for the work, drafting and revising the work, final approval of the version to be published and agree to be accountable for all aspects of the work.
About the authors
Maksim P. Potapov
Yaroslavl State Medical University
Author for correspondence.
Email: mxp@mail.ru
ORCID iD: 0000-0002-4596-6517
SPIN-code: 2732-2232
MD, Cand. Sci. (Med.), Associate Professor
Russian Federation, YaroslavlIl'ya N. Staroverov
Yaroslavl State Medical University
Email: aspirant.ygmy@yandex.ru
ORCID iD: 0000-0001-9855-9467
SPIN-code: 8011-7176
MD, Dr. Sci. (Med.), Associate Professor
Russian Federation, YaroslavlReferences
- Sotsial’no znachimyye zabolevaniya naseleniya Rossii v 2015 godu. Statisticheskiye materialy. Moscow; 2016. Available at: http://mednet.ru/images/stories/files/statistika/socialno-znachimie_zabolevaniya/ssz2015.pdf. Accessed: 2023 January 20. (In Russ).
- Mazaishvili KV, Chen VI. Chronic venous diseases of lower limbs in Petropavlovsk–Kamchatksky. Phlebology. 2008;2(4):52–4. (In Russ).
- Zolotukhin IA, Seliverstov EI, Shevtsov YuN, et al. Prevalence of Chronic Venous Disease: Results of Population Based Epidemiological Study. Phlebology. 2016;10(3):119–25. (In Russ). doi: 10.17116/flebo2016103119-125
- Beebe–Dimmer JL, Pfeifer JR, Engle JS, et al. The epidemiology of chronic venous insufficiency and varicose veins. Ann Epidemiol. 2005;15(3):175–84. doi: 10.1016/j.annepidem.2004.05.015
- Robertson L, Evans C, Fowkes FG. Epidemiology of chronic venous disease. Phlebology. 2008;23(3):103–11. doi: 10.1258/phleb.2007.007061
- Fowkes FG, Evans CJ, Lee AJ. Prevalence and risk factors of chronic venous insufficiency. Angiology. 2001;52(Suppl 1):S5–15. doi: 10.1177/0003319701052001S02
- Ruckley CV, Evans CJ, Allan PL, et al. Chronic venous insufficiency: clinical and duplex correlations. The Edinburgh Vein Study of venous disorders in the general population. J Vasc Surg. 2002;36(3):520–5. doi: 10.1067/mva.2002.126547
- Vuylsteke ME, Thomis S, Guillaume G, et al. Epidemiological study on chronic venous disease in Belgium and Luxembourg: prevalence, risk factors, and symptomatology. Eur J Vasc Endovasc Surg. 2015;49(4):432–9. doi: 10.1016/j.ejvs.2014.12.031
- Abenhaim L, Clement D, Norgren L. The management of chronic venous disorders of the leg: An evidence based report of an international Task Force. Phlebology. 1999;14(Suppl 1):S1–126.
- Kurz X, Kahn SR, Abenhaim L, et al. Chronic venous disorders of the leg: epidemiology, outcomes, diagnosis and management. Summary of an evidence-based report of the VEINES task force. Venous Insufficiency Epidemiologic and Economic Studies. Int Angiol. 1999;18(2):83–102.
- Onida S, Davies AH. Predicted burden of venous disease. Phlebology. 2016;31(1 Suppl):74–9. doi: 10.1177/0268355516628359
- Çoban PT, Dirimeşe E. Evaluation of quality of life after minimally invasive varicose vein treatment. Turk Gogus Kalp Damar Cerrahisi Derg. 2019;27(1):49–56. doi: 10.5606/tgkdc.dergisi.2019.16867
- Higgins JPT, Altman DG, Gøtzsche PC, et al. The Cochrane Collaboration’s tool for assessing risk of bias in randomised trials. BMJ. 2011;343:d5928. doi: 10.1136/bmj.d5928
Supplementary files











