Gender peculiarities of heart rate variability and hemodynamic basis of students’ educational activity
- Authors: Biryukova E.V.1, Vasilyuk N.A.1, Andrianov V.V.1
-
Affiliations:
- I.M. Sechenov First Moscow State Medical University (Sechenov University)
- Issue: Vol 27, No 2 (2019)
- Pages: 188-196
- Section: Original study
- Submitted: 28.06.2019
- Published: 02.07.2019
- URL: https://journals.eco-vector.com/pavlovj/article/view/14538
- DOI: https://doi.org/10.23888/PAVLOVJ2019272188-196
- ID: 14538
Cite item
Abstract
Aim of this study is to analyze gender peculiarities of physiological and psychophysical basis of students’ academic activity.
Materials and Methods. 32 medical students (16 men and 16 women, 19-22 years) were examined. Students were proposed an alternative method of a colloquium on normal physiology in the form of a computer test. The test consisted of 30 questions, time of testing was not limited. The test was considered to be done if the number of correct answers was 50% or more. Examination of students’ heart rhythm, hemodynamic, and psychological parameters was conducted before and immediately after the test. Cardio-intervalogram was recorded within 5 minutes using Varicard hardware-software complex. The Students t-test, Mann-Whitney analysis, Wilcoxon analysis were used to determine the significance of differences between parameters among and within groups of men and women. Relationships of the studied parameters were determined using Spearman’s method of rank correlation.
Results. It was demonstrated that fulfilment of the test by men was associated with reduction of hemodynamic parameters, with reduction of parasympathetic component and activation of sympathetic suprasegmental and central mechanisms of regulation of heart rhythm. Women showed stability of hemodynamic parameters and increase in suprasegmental influences on the dynamics of heart rhythm with lower average values. In correlation analysis conjugated pairs were found with the two components being different psychophysiological and physiological parameters, time and effectiveness of fulfilment of the test. The total number of conjugated and stable parameters were higher in women than in men both before and after computer testing.
Conclusions. Gender peculiarities of hemodynamic basis of academic activity of students were found. The described dynamics can be considered a manifestation of a higher stability and relatively lower mobility of regulatory mechanisms in women.
Full Text
Physiological basis of intellectual activity of an individual remains an important question in theory and practice of academic processes of an individual. At present the diverse activity of an enormous amount of individuals is closely associated with use of computer technologies. A high percentage of these individuals are students of higher educational institutions (HEI). Thus, there are noted individual peculiarities of the autonomic processes involved in salvation of psychophysical tasks in computer testing [1]. Alongside with introduction of new technologies, an important factor characterizing real activity of students is a considerable non-uniformity of intellectual and psychological loads within the academic year [2, 3]. The main loads are experienced by students during examination periods [2, 4]. To rationalize the academic process it seems important to study physiological mechanisms providing the current academic activity of students in conditions of moderate loads taking into account composition of groups. Most students’ groups consist of young men and women with different proportion depending on the specificity of a HEI. There are known some peculiarities in the dynamics of psychological and physiological parameters in individuals of different genderin` physical, emotional, and intellectual loads [5-8].
Aim – to identify peculiarities of the dynamics of physiological and psychophysical parameters in implementation of a control computer test by women and men.
Materials and Methods
In the work, a comparative analysis of psychophysiological, hemodynamic and cardiointerval parameters of medical students (16 men and 16 women of 19 to 22 years of age) was carried out in the process of performing a control computer test on normal physiology. The work was conducted on legal basis after signing a voluntary informed consent. The test objects were offered an alternative method of taking colloquium in the form of a computer test on physiology of excitable tissues consisting of 30 questions of different extent of complexity. The durationof test was not limited. The test was considered done with the amount of correct answers ≥50%.
The research program included the following stages:
- A week before the basic test the participants were checked for anxiety level by STAI method, for psychological attitude by Eysenck test, and for parameters of a simple sensomotor reaction to a moving object.
- On the day of the computer test the level of situation anxiety was determined by STAI method, and immediately before the test systolic and diastolic arterial pressure measurements (SAP and DAP, respectively) were taken by Korotkoff method, heart rate (HR) was determined, a cardiointervalogram (CIG) was recorded in II lead within 5 minutes using VARICARD hardware-software complex (РАМЕНА).
- Implementation of the computer test.
- Completion of the test. Repeated record of CIG within 5 minutes, determination of SAP, DAP and HR after the test.
Using the obtained data, the following hemodynamic parameters were calculated: pulse pressure (PP), mean dynamic pressure (MDP), stroke volume and minute volume of blood (SV and CO, respectively), peripheral resistance of vessels (PRV) and cardiac cycle (CC).
After Fourier transformation, statistical characteristics of a dynamic set of cardiointervals was analyzed: standard deviation (SDNN), coefficient of variation (CV), pNN50 – percentage of pairs of successive cardiointervals differing by more than 50 msec, RMSDD – the square root of the sum of the squared differences of successive pairs of normal intervals (NN). On the basis of the data of variation pulsometry, mode (Mo), mode amplitude (Amo), stress index (SI) were determined. Spectral characteristics expressed in conventional units of the total power (TP) were studied: high-frequency (PHF), low-frequency(PLF) and very low-frequency (PVLF) components of spectrum, and index of centralization (IC) was calculated.
Statistical processing of the data was carried out using software package Statistica 6.0 (Stat Soft Inc., США), Office Excel 2007 (Microsoft, USA).Statistical significance of values inside and among groups of men and women in case of normal distribution was determined using Student’s t-test, for other than normal distribution Mann-Whitney test was used (for independent samples) and Wilcoxon test (for dependent ones). To establish interrelations between the studied parameters, Spearman’s rank correlation method was used. Differences were considered statistically significant at р<0.05.
Results and Discussion
All participants were divided into two equal groups 16 students in each: women (the 1st group) and men (the 2nd group). The rating of effectiveness of performing the task by students was from 19.3% to 65.0%.The average effectiveness of implementation of the task was found to be higher in women than in men (48.5±11.7% and 8.6±11.3%, respectively, p<0.05), which was probably associated with differences in cognitive activity in achievement of the result in implementation of the given type of task by individuals of both genders [7]. Comparison of psychophysiological parameters showed the average time of a simple sensomotor reaction to be longer in women than in men (274.7±17.8 msecand 261.1±17.3 msec, respectively, p<0.05). No differences were noted between the groups in the mean time of reaction to a moving object, as well as in the time of doing a computer test.
Analysis of hemodynamic parameters (Table 1) indicated increase in SAP, DAP, MDP, PRV in men and reduction of SAP in women after computer test. As to comparison between groups, it should be noted that the values of SAP and MDP in women were lower than in men both before and after the test, and DAP was reliably lower only before the test. In men reduction of parameters of hemodynamics and peripheral resistance of vessels was observed that was not seen in women. These facts may be interpreted as manifestations of peculiarities, first of all, of the vascular component of a psychoemotional tension both before and after achievement of the result with a higher dynamism in men. The latter may be determined by a difference between the cytoarchitectonics of the 24th field of limbic cortex in men and women. This field is closely linked with the prefrontal cortex, especially in the right hemisphere [9] and participates in regulation of cardiac rhythm and of hemodynamics [10].
Table 1 Comparative characteristics of hemodynamic parameters in groups of men and women before and after test
Parameter | Before Test | After Test | ||
Group 1 (women) | Group 2 (men) | Group 3 (women) | Group 4 (men) | |
n | 16 | 16 | 16 | 16 |
SAP, mm Hg | 115.8±11.8++, ** | 131.6±13.6ˣ | 109.1±11.1ˣˣ | 126.0±15.4 |
DAP, mm Hg | 68.1±7.4* | 74.3±8.4ˣˣ | 65.9±6.1 | 70.1±10.3 |
HR, beat/min | 71.3±9.5 | 65.6±10.4 | 71.3±10.1 | 64.8±9.4 |
MDP, mm Hg | 84.0±8.1** | 93.4±9.4ˣˣ | 80.3±6.8ˣ | 88.8±11.4 |
SV, ml | 66.7±6.1 | 67.9±6.9 | 65.4±5.9 | 69.5±7.3 |
CO, ml/min | 4757.0±825.9 | 4473.9±973.2 | 4677.9±876.5 | 4519.9±941.5 |
PRV, dyn. с. cm-5 | 1445.5±258.0 | 1743.6±450.1ˣ | 1411.4±253.6 | 1650.8±487.2 |
Note:* – p<0.05 incomparisonwithgroup 2;** – p<0.01 incomparisonwithgroup 2; ++ – p<0.01 in comparison with group 3; ˣ – p<0.05 in comparison with group 4; ˣˣ – p<0.01 in comparison with group 4
A study of integral parameters of variability of cardiac rhythm showed the following regularities (Table 2). After the test men had a higher value of the total power of the spectrum. Here, in men the share of a high-frequency component (PHF) reliably decreased with increase in the share of the low and very low frequency components of the spectrum (PLF and PLVF, respectively).
Table 2 Parameters of variability of cardiac rhythm in groups of men and women before and after test
Parameter | Before Test | After Test | ||
Group 1 (women) | Group 2 (men) | Group 3 (women) | Group 4 (men) | |
pNN50, % | 30.62±19.28 | 36.91±21.51 | 28.78±18.38 | 33.31±17.89 |
SDNN, msec | 67.31±24.44 | 74.13±25.88 | 69.69±26.09 | 81.81±27.22 |
AMo50, % | 35.10±11.47 | 31.59±13.64 | 35.24±10.87 | 29.82±9.27 |
SI, conventional units | 84.38±55.15 | 67.94±61.13 | 77.38±52.22ˣ | 45.38±20.81 |
TP, msec2 | 4467.03±3004.13 | 4874.44±2980.38 | 4910.51±4001.38ˣ | 6207.11±3837.72 |
PHF, % | 37.71±14.83 | 45.48±18.13ˣˣˣ | 35.64±13.89 | 30.04±11.11 |
PLF, % | 48.36±13.40 | 39.14±12.34ˣ | 45.09±11.31 | 44.75±10.12 |
PVLF, % | 13.94±7.14+ | 15.37±7.22ˣˣ | 19.28±8.50 | 25.21±10.73 |
LF/HF | 1.58±0.88 | 1.22±1.07ˣˣ | 1.52±0.79 | 1.97±1.64 |
IC | 2.04±1.18 | 1.73±1.58ˣˣ | 2.18±1.12 | 3.11±2.48 |
HF, msec2 | 1749.21±1729.27 | 5822.00±14546.82 | 1572.00±1351.00 | 1702.17±1406.89 |
LF, msec2 | 1952.49±1444.68 | 1499.74±1032.37ˣ | 2086.16±2434.50 | 2123.63±1154.23 |
VLF, msec2 | 510.15±444.99 | 613.93±531.79ˣˣ | 805.05±801.42ˣ | 1321.76±1133.69 |
Note: + – p<0.05 incomparisonwithgroup 3, ˣ – p<0.05 in comparison with group 4,
ˣˣ – p<0.01 in comparison with group 4, ˣˣˣ – p<0.001 in comparison with group 4
Increase in the index of vagosympathetic interaction (LF/HF) and in the index of centralization (IC) was noted. Such a dynamics evidences a reduction of influence of the autonomic nervous system and enhancement of central and suprasegmental mechanisms of regulation of cardiac rhythm. After the test the autonomic balance in men shifted toward the sympathetic influence.
It should be noted that some authors in their works show an increase in the sympatho-adrenal activity in mental load and the role of sympathetic influences in the dynamics of cardiac rhythm and of the arterial pressure in salvation of the tasks of verbal-logical type [11, 12].The link between the condition of the cardiovascular system and the psychoemotional status was shown[4, 6]. In view of the lower effectiveness of implementation of the test by men it can be suggested that dynamics of the heart rhythm is a cardiac component of the emotional condition associated with the negative subjective evaluation of the obtained result. In the group of women an increase in the very low component of spectrum (PVLF) was shown which indicated enhancement ofsuprasegmental mechanisms of regulation of heart rhythm. After the test,a higher value of stress-index of regulatory systems (SI) was recorded in women in comparison with men, which characterized sympathetic component of regulation.
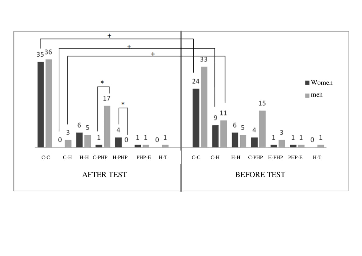
Correlation analysis revealed interrelations between the studied hemodynamic and psychophysical parameters, and also between parameters of variability of cardiac rhythm (VCR), of time and effectiveness of performing the test. These relationships were designated by us as functional conjugated pairs. The highest number of conjugated pairs included two parameters of VCR, followed by pairs of a psychophysical parameter and a VCR parameter, then – pairs of two hemodynamic parameters and, at last, pairs of a VCR parameter and a hemodynamic parameter (Fig. 1). Before the test a reliably higher number of conjugated pairs of psychophysical and VCR parameters was noted in women than in men (p<0.05).
Fig. 1. Main groups and composition of conjugated pairs of studied parameters before and after computer test in women and men
Note: С – VCR parameter; H – parameter of hemodynamics; PHP – psychophysiologicalparameter; T – time of performing the test; E – effectiveness; + – p<0.05 in comparison between similar parameter inside the group after testing; *– p<0.05 in comparison between similar parameter between groups of women and men
In the process of performing the test there were noted stable, disintegrated and newly formed pairs (Table 3). The total number of conjugated pairs in the group of women was higher than in the group of men both before and after the computer test. Here, stable pairs were predominating in the studied groups. After the test the share of stable pairs was higher and that of newly formed pairs was lower in women than in men. A significantly higher number of stable conjugated pairs can be considered a manifestation of stability and of lower mobility of regulatory mechanisms in women.
Table 3 Dynamics of conjugated pairs of studied parameters before and after test in women and men
Number of Pairs BEFORE Test | ||
Dynamics of pairs | Women | Men |
Disintegrated pairs | 20+ | 13+ |
Stable pairs | 40 | 28 |
In total | 60 | 41 |
Number of Pairs AFTER Test | ||
Stable pairs | 40*,+ | 28+ |
Newly formed pairs | 8* | 15 |
In total | 48 | 43 |
Note: * – p<0.05 in comparison with the cell to the right; + – p<0.05 in comparison with the cell below
Besides this, the greatest amount of conjugated pairs of psychophysiological parameters and VCR parameters in the initial condition in women may be interpreted as realization of the central dominating relationships providing a successful implementation of the intellectual test within the scope of the brain. It is known that the preset level of functioning of the whole organism has a corresponding equivalent level of the functioning of circulatory apparatus [18].
In the literature a relationship is noted between the activity of the anterior areas of the cerebral cortex and parameters of the heart rhythm [13]. There exist data that evidence involvement of different structures of the central nervous system into the cognitive, affective and autonomic functions, and, in particular, into regulation of the hemodynamics and of the heart rhythm [14-16]. A relationship is established between the parameters of the heart rhythm and parameters of the future result in individuals who successively recognized visual images [17]. Such involvement is probable in case of existence of dynamic connections between groups of neurons that form a part of the centers controlling the work of the heart and the tone of blood vessels, and also of neurons responsible for the psychosomatic sphere and motor activity. Predomination of stable pairs in women probably evidences a higher stability of mechanisms and a wider interaction of centers participating in implementation of intellectual task of the given kind. In this case, alteration of the amount and composition of the conjugated pairs after the test will indicate alteration of the level of dynamic connections between the centers.
Thus, it may be suggested that the dynamics of interaction between the studied parameters of the cardiovascular system, variability of the heart rhythm and of conjugated pairs will, according to P.K. Anokhin [19], provide achievement of the final useful result – successful fulfillment of the academic computer test.
Conclusions
- The test was implemented by men with the underlying reduction of hemodyna-mic parameters with weakened parasympathetic and activation of sympathetic suprasegmental and central mechanisms of regulation of the heart rhythm.
- In women, stability of hemodynamic parameters was noted and enhancement of suprasegmental influences on the dynamics of the heart rhythm.
Correlation analysis revealed «conjugated» pairs, two components of which included the studied parameters. The total quantity of «conjugated» pairs, in particular, of stable pairs in the group of women were higher than in the group of men both before and after computer test. The described dynamics of the number of stable conjugated pairs should be regarded as manifestation of a higher stability and of lower mobility of regulatory mechanisms in women.
About the authors
Ekaterina V. Biryukova
I.M. Sechenov First Moscow State Medical University (Sechenov University)
Author for correspondence.
Email: biryukova_kate@bk.ru
ORCID iD: 0000-0002-2721-5402
SPIN-code: 7147-5950
ResearcherId: H-7602-2016
Assistant of the Department of Normal Physiology
Russian Federation, MoscowNikolaj A. Vasilyuk
I.M. Sechenov First Moscow State Medical University (Sechenov University)
Email: vestnik@rzgmu.ru
ORCID iD: 0000-0002-7447-6648
SPIN-code: 6503-4310
ResearcherId: V-9883-2018
Main Specialist of the Department of Normal Physiology
Russian Federation, MoscowVladimir V. Andrianov
I.M. Sechenov First Moscow State Medical University (Sechenov University)
Email: vestnik@rzgmu.ru
ORCID iD: 0000-0002-0988-7918
SPIN-code: 1402-0080
ResearcherId: W-1057-2018
MD, PhD, Professor of the Department of Normal Physiology
Russian Federation, MoscowReferences
- Dzhebrailova TD, Sulejmanova RG, Ivanova LI, et al. Students’ knowledge level computer testing results and individual specificity of purposeful activity vegetative support. Human Physiology. 2012; 38(5):58-66. (In Russ).
- Akhmedova OO, Ovezgeldyeva GO, Grigoryan AG. The psychophysiological condition of first year students with different levels of physical activity. Human Physiology. 2011;37(5):84-90. (In Russ).
- Sudakov KV, Andrianov VV. Teoriya funktsional’-nykh sistem kak osnova formirovaniya sistemnogo mirovozzreniya studentov-medikov. Sechenovskiy vestnik. 2012;1(7):29-33. (In Russ).
- Zaripov VN, Barinova MO. Changes in parameters of tachography and heart rate variability in students differing in the level of psychoemotional stress and type of temperament during an academic test week. Human Physiology. 2008;34(4):73-9. (In Russ).
- Lysenko NE, Davydov DM. Gender differences in regulating emotions in response to text with violent content. Human Physiology. 2012;38(4):26. (In Russ).
- Pankova NB, Karganov MYu, Nadorov SA. Analysis of heart rate variability and arterial blood pressure in different functional tests in men and women. Human Physiology. 2008;34(4):64-72. (In Russ).
- Razumnikova OM, Volf NV. Information processing specialization during interference between global and local aspects of visual hierarchical stimuli in men and women. Human Physiology. 2011; 37(2):14-9. (In Russ).
- Slavutzkaya AV, Gerasimenko NY, Mikhailova ES. Recognition of spatially transformed objects in men and women: Analysis of behavior and evoked potentials. Human Physiology. 2012;38(3):18-29. (In Russ).
- Bogolepova IN, Malofeeva LI, Sveshnikov AV, et al. Neural organization of cortal areas as the index of inter-detained asymmetry of the brain of men and women. Journal of Asymmetry. 2017;11(3):5-16. (In Russ).
- Khaspekova NB. Regulyatsiya variabel’nosti ritma serdtsa u zdorovykh i bol’nykh s psikhogennoy i organicheskoy patologiyey mozga [dissertation]. Moscow; 1996. (In Russ).
- Stoyanov Z, Vartanyan I, Nikolova P. Psychophysiological reactivity and personality traits of left- and right-handers during intense mental load. Human Physiology. 2011;37(6):42-5. (In Russ).
- Martynova OV, Roik AO, Ivanitsky GA. Changes in some indices of the cardiovascular system in different mental tasks. Human Physiology. 2011;37 (6):35-41. (In Russ).
- Gorev AS, Kovaleva AV, Panova EN, et al. Dynamics of spatial synchronization of EEG parameters during relaxation and their relationship with regulation of heart rate. Human Physiology. 2014; 40(5):38-47. (In Russ).
- Aftanas LI, Brak IV, Reva NV, et al. Brain oscillations and individual variability of cardiac defense in human. Russian Journal of Physiology. 2013;99 (11):1342-56. (In Russ).
- Grigoryan VH, Stepanyan AYu, Stepanyan LS. Gender differences of dynamic changes of anterior cortical activity under negative emotional strain. Human Physiology. 2012;38(4):35-40. (In Russ).
- Thayer JF, Johnsen BH. Autonomic Nervous system activity and its relationship to attention and working memory. In: Monitoring metabolic status: predicting decrements in physiological and cognitive performance. Washington: National Academic Press; 2004. P. 366-371.
- Merkulova MA, Lapkin MM, Kulikova NA. Obratnaya svyaz i faktor vremeni v formirovanii sistemnoj organizacii celenapravlennogo povedeniya cheloveka pri vosproizvedenii zritelnyh obrazov. I.P. Pavlov Russian Medical Biological Herald. 2014;(1):50-9. (In Russ).
- Baevsky RM. Problem of the estimation and forecasting of the organisms functional state and its development in space medicine. Physics-Uspekhi. 2006;37(3):42-57. (In Russ).
- Anokhin PK. Biologiya i neyrofiziologiya uslovnogo refleksa. Moscow: Meditsina; 1968. (In Russ).
Supplementary files







