General non-specific reactivity of an organism as a factor of individualization of de-mands, behavior and social activity of individual
- Authors: Mulik A.B.1, Ulesikova I.V.2, Mulik I.G.3, Bulatetsky S.V.4, Shatyr Y.A.5
-
Affiliations:
- Institute of Toxicology of Federal Medical-Biological Agency
- S.M. Kirov Military Medical Academy
- Volgograd State Agrarian University
- V.Y. Kikot Moscow University of the Ministry of Internal Affairs of the Russian Federation (Ryazan branch)
- Volgograd State University
- Issue: Vol 27, No 2 (2019)
- Pages: 227-236
- Section: Original study
- Submitted: 30.06.2019
- Published: 02.07.2019
- URL: https://journals.eco-vector.com/pavlovj/article/view/14547
- DOI: https://doi.org/10.23888/PAVLOVJ2019272227-236
- ID: 14547
Cite item
Abstract
Behavioral and social activity, being a component of the general human activity, depends on a number of individual combinations of genotype and phenotype, as well as on environmental conditions. With sufficient elaboration of the general aspects of the physiological mechanisms, systemic organization of the behavioral and social activity of an individual remains an open question of the objective conditionality of the expression and orientation of social activity by individual combination of actualized demands and the psycho-physiological preconditions for their formation.
Aim. To identify regularities of physiological individualization of formation of demands, of behavioral and social human activity.
Materials and Methods. The research was carried out with the participation of 78 men and women aged 18-22 years, students of the Crimean Federal University.
Results. As a result of a complex of experimental studies, the systemic organization of functional, psychophysiological, psychological and social mechanisms of the individual organization of behavioral and social activity of an individual was confirmed. It is determined that anxiety, neuropsychological reactivity, extraversion and neuroticism, as the main preсonditions for behavioral and social activity, are most pronounced in individuals characterized by a high level of general nonspecific reactivity of an organism. The role of the functional and psychophysiological status of the organism in the individualization of demands is substantiated. At the same time, the minimal intensity of actualization of basic demands is characteristic of individuals with a low level of general nonspecific reactivity of an organism. Connections between individual vectors of social activity and basic human demands are specified. The most significant, universal impact on various types of social activity is produced by safety demands, which are the basic human biological demands. The demands for self-realization determine behavioral, social, professional and economic activity of a person. Social and cognitive demands positively affect behavioral and social activity. An insignificant negative relationship is revealed between reproductive demands and social destructiveness.
Conclusion. The cumulative registration of physiological and psychological characteristics provides an opportunity to predict the extent and subject orientation of the individual social activity.
Full Text
Activity as a universal property of living systems influences very different aspects of the vital activity of an individual. Behavioral and social activity being a component of the total activity of an individual, is determined by a number of individual combinations of genotype and phenotype, and also by the environment. Among subjective features that influence expression and specificity of the social activity, the best studied are gender, somatotype, circadian chronotype, autonomic status and temperament of an individual.
Thus, A.O. Bukhanovsky noted significant differences in the psychoemotional sphere of men and women, in the selective direction of motivations and associated with them social activity [1]. In the works of D. Mayers and E.P. Ilyin gender-related peculiarities of manifestations of emotional reactivity and behavioral activity in different spheres of the vital activity of a human are specified [2, 3]. Research of E. Kretschmer and W. Sheldon convincingly showed a link between the structure of the body of an individual and his psychological makeup. Typical scenarios of realization of behavioral strategies based on parameters of temperament and character corresponding to the three main somatotypes of a human, were identified [4]. G. Izenk substantiated the interrelation between the individual organization of circadian biorhythms and extraversion [5]. It is proven that individuals with the evening type of activity are primarily characterized by evident extraversion that conditions a high level of social activity. R.M. Baevsky first demonstrated the psychoemotional status of an individual to be determined by the type of organization of the autonomic nervous system [6]. With this, a positive influence of sympathicotonia on the behavioral and social activity of an individual was identified. Works of I.P. Pavlov predetermined directions of modern investigations about the role of typological peculiarities of the higher nervous activity in the social activity of a personality [7]. Later on, B.M. Teplov, V.D. Nebylitsin, B.M. Rusalov, E.A. Golubeva, V.I. Rozhdestvenskaya and their followers proved existence of complex interrelations between properties of the nervous system and dynamic parameters of the activity that determine the expressiveness of social activity of an individual [8]. N.A. Bernstein in his concept of ‘physiology of activity’ substantiated the leading role of endogenous mechanisms in initiation of complex forms of human behavior including social ones. According to this concept, activity is an essential property of an individual that determines behavior directed to satisfaction of the demands of a person [9]. It is the demands as a special psychological condition of biological and social dissatisfaction of an individual, that make the basis for his behavioral and social activity. It is known that the amount of demands, their hierarchy and the extent of actualization are different in different people [10]. These differences in demands are first of all conditioned by genetically determined and phenotypically reinforced psychophysiological and psychological peculiarities of a personality. Evaluation of the extent of motivational excitation as indicator of actualization of demands, permits to concretize a range of endogenous factors of increased behavioral and social activity. It was found that the strength of motivation is determined by the level of anxiety. The background extent of anxiety varies around a certain level constant for each individual [10]. A high level of anxiety initiates investigatory behavior and accordingly stimulates motor, behavioral and social activity. This is supported by extraversion, neuroticism and emotional activity, the initial level of which is also characterized by individuality of manifestation. It is noted that individuals with different psychological types differ not only in the level of anxiety and emotional reactivity, but also in the qualitative peculiarities of social behavior. Here, it is important to note stability of the structure peculiarities and manifestation of the temperament in the ontogenesis [11].
The information presented shows a good understanding of the general moments of organization of physiological mechanisms of behavioral and social activity of an individual. However, in this question there is no knowledge of subjective conditioning of expression and direction of the social activity by individual combination of actualized demands and psychophysiological preconditions of their formation.
In result of earlier generalization of traditional methods of evaluation of demands of an individual, a universal method of differential quantitative determination of expressiveness of physiological demands for safety, for education, of reproductive, social demands, demands for self-realization, was developed. Reasonability of calculation of two integral arbitrary parameters was shown: the extent of actualization of demands and orientation at successful achievement of result. Interrelation of the elaborated parameters with the key psychological and psychophysiological characteristics of s human was identified [12]. The obtained results confirmed the role of the biological component of motivational excitation in complex forms of behavior of an individual. Taking into account expression of the elaborated parameters permits forecasting direction and force of motivational excitation of an individual. The offered approach permits a quantitative and qualitative evaluation of a subjective drive to achieve a specific result and to characterize potential of its behavioral and social activity using comparable parameters and units of measure.
Besides, in result of the carried out experimental research, the integrity of the level of general non-specific reactivity of an organism (LGNSRO) was substantiated that reflects genetic, functional, psychophysiological and psychological status of an individual. An instrumental non-invasive express-method of evaluation of LGNSRO based on the expressiveness of nociceptive sensitivity of an organism was developed [13, 14].
Aim of work: to identify the regularities of physiological individualization of formation of demands, and of behavioral and social activity of an individual.
Materials and Methods
The studies were performed with participation of 78 men and women aged 18-22 years, students of the Crimean Federal University, in accordance with articles 5, 6 and 7 of «Universal Declaration of Bioethics and Human Rights» with signing a written consent.
As an integrative parameter of functional and psychophysiological status of an individual, LGNSRO was taken. LGNSRO was evaluated by determination of thermal sensitivity threshold (TST) using a laboratory algezimeter Ugo Basile (Italy). The testing procedure consisted in measurement of the time (in seconds) of withdrawal of the hand wrist from the light beam producing a stable thermal action of the threshold force [14]. LGNSRO was calculated taking into account the following range of TST: high LGNSRO – from 0.5 to 15.4 sec, medium LGNSRO – from 15.5 to 30.4 sec, low LGNSRO – from 30.5 to 45.5 sec.
Demands were evaluated by a paper-and-pencil test that included stepwise determination of quantitative presentation of the main human demands with their subsequent differentiation to the first order demands with centripetal character of manifestation (physiological, reproductive demands, demand for safety), and second order demands mostly characterized by centripetal manifestation (social needs, needs in cognition, in self-realization). Besides, the extent of actualization of first order and second order demands (EAD) was determined by calculation of the difference between the values of actualization and satisfaction of the respective demands [12].
Direction and expressiveness of the social activity was determined by a questionnaire method based on self-estimation of the involvement of an individual into socially significant activity [15] with additional differentiation of questions in six positions: behavioral activity, social activity proper, professional activity, economic activity, political activity, social destructiveness. Anxiety, neuropsychological reactivity, extraversion and neuroticisms were evaluated by standard methods of paper-and-pencil tests [16].
Statistical processing of the results was performed using Statistica 6.0 (Stat Soft Inc., USA), MS Excel 2007 (12.0.6611.1000) (Microsoft) programs. Statistical significance of differences between mean arithmetic values of the studied parameters was evaluated by Student’s t-test.For evaluation of expressiveness and direction of the studied parameters, Pearson’s correlation coefficient was calculated.
Results and Discussion
Study of the main psychological preconditions of formation of behavioral and social activity taking into account individual, functional and psychophysiological features of an organism permitted to determine existence of statistically significant differences of the analyzed parameters between the LGNSRO groups (Figure 1).
Fig. 1. Expression of psychological preconditions for behavioral and social activity in individuals with different LGNSRO
Note: * – statistical significance of differences between LGNSRO groups with р<0.05
It is necessary to state the linear character of the expression of the studied parameters of the psychotype of an individual between the extreme groups of observation, with maximal manifestation of anxiety, neuropsychological reactivity, extraversion and neuroticism in individuals with high LGNSRO which provides them with a higher potential of behavioral and social activity.
The conducted analysis of the results of differentiated evaluation of the demands of an individual also revealed a number of specific peculiarities of their manifestation among LGNSRO groups (Figure 2).
The presented data indicate the minimal expression of all the analyzed demands in the group of individuals with low LGNSRO. The obtained result agrees with the psychological characteristics of representatives of the given group who are, as a rule, characterized by a phlegmatic temperament and meticulousness [14]. Maximal actualization of reproductive, social demands and demands for self-realization are seen in representatives of high LGNSRO mostly possessing hyperthymic and choleric temperament. Demands for cognition and safety are most expressed in individuals with medium LGNSRO, and, accordingly, with sanguine temperament and ambiversion.
Fig. 2. Expression of basic demand in individuals with high, medium and low LGNSRO
Note: * – statistical significance of differences between LGNSRO groups with р<0.05
Supplemental study of expression of actualization of the first order demands (physiological, reproductive, for safety) in comparison with second order demands (social, for cognition, for self-realization) in individuals with different LGNSRO showed certain regularities in the distribution among the groups (Figure 3).
Fig. 3. Expression of the extent of actualization of the first and second order demands (DAD) in individuals with high, medium and low LGNSRO
Note: * – statistical significance of differences between LGNSRO groups with р<0.05
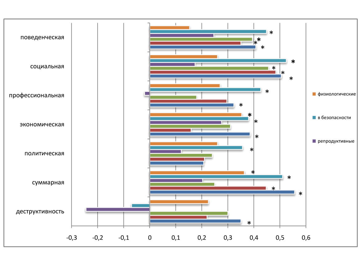
Fig. 4. Expression of different vectors of social activity in individuals with high, medium and high LGNSRO
Note: * – statistical significance of differences between LGNSRO groups with р<0.05
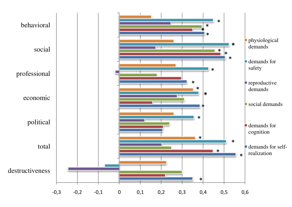
Fig. 5. Correlation relationship of vectors of social activity and the extent of manifestation of the basic demands of an individual
Note: * – statistical significance of correlation relationship with р<0.05
The presented data show the extent of satisfaction of the first order demands to be maximally expressed in individuals with high LGNSRO, and of the second order demands – in individuals with low LGNSRO. The minimal extent of satisfaction of both first and second order demands was seen in the individuals with medium LGNSRO demonstrating the minimal disagreement between actualization and satisfaction of the basic demands.
The results of the analysis of manifestations of parameters of social activity in individuals with high, medium and low LGNSRO are given in Figure 4.
The most significant differences in the expression of the studied parameters were seen between the groups with high and low LGNSRO for behavioral, social and professional activity. It is these kinds of activity that are to a large extent conditioned by a complex of psychophysiological mechanisms of individualization of complex forms of behavior and actualization of social demands characteristic of individuals with a high LGNSRO. Economic and social activity is mostly associated with sanguine temperament characteristic of medium LGNSRO and is controlled by the consciousness of an individual.
For correlation of parameters of social activity and demands of a human, the corresponding correlation analysis was undertaken. Specificity of manifestation of correlation relationships between the studied parameters is shown in Figure 5.
Conclusion
Summarization of the results of conducted studies confirms the systematic character of the functional, psychophysiological, psychological and social mechanisms of individual organization of behavioral and social activity of an individual.
The conducted research revealed a number of significant direct dependences of expression of different vectors of social activity on the extent of manifestation of actualized demands. Basic demands such as demands for safety, produce the most significant, universal influences on different kinds of social activity. Demands for self-realization determine behavioral, professional and economic activity, and also destructiveness of an individual. Insignificant negative relationship was established between reproductive demands and social destructiveness.
About the authors
Alexander B. Mulik
Institute of Toxicology of Federal Medical-Biological Agency
Author for correspondence.
Email: mulikab@mail.ru
ORCID iD: 0000-0001-6472-839X
SPIN-code: 8079-9698
ResearcherId: U-2142-2017
PhD in Biological Sciences, Professor, Leading Researcher
Russian Federation, Saint-PetersburgIrina V. Ulesikova
S.M. Kirov Military Medical Academy
Email: vestnik@rzgmu.ru
ORCID iD: 0000-0001-9284-3280
SPIN-code: 9859-6036
ResearcherId: D-3502-2016
Lecturer of the Department of Normal Physiology
Russian Federation, Saint-PetersburgIrina G. Mulik
Volgograd State Agrarian University
Email: vestnik@rzgmu.ru
ORCID iD: 0000-0002-8452-7306
SPIN-code: 5052-6472
ResearcherId: U-1853-2017
Senior Lecturer of the Department of Pedagogy and Methods of Vocational Training
Russian Federation, VolgogradSergey V. Bulatetsky
V.Y. Kikot Moscow University of the Ministry of Internal Affairs of the Russian Federation (Ryazan branch)
Email: vestnik@rzgmu.ru
ORCID iD: 0000-0002-6023-7523
SPIN-code: 2756-9179
ResearcherId: S-1631-2016
MD, PhD, Professor of the Department of Criminal Procedure and Criminology
Russian Federation, RyazanYulia A. Shatyr
Volgograd State University
Email: vestnik@rzgmu.ru
ORCID iD: 0000-0001-9279-5282
SPIN-code: 2942-6250
ResearcherId: U-2181-2017
PhD in Biological Sciences, Associate Professor, Senior Researcher of the Laboratory of Psychophysiology
Russian Federation, VolgogradReferences
- Bukhanovskiy AO, Andreyev AS. Strukturno-dinamicheskaya iyerarkhiya pola cheloveka. Rostov-na-Donu: Feniks; 1993. (In Russ).
- Myers DG. Social Psychology. 7th ed. Saint-Petersburg: Prime-Euroznak; 2002. (In Russ).
- Il’in EP. Differentsial’naya psikhologiya muzhchiny i zhenshchiny. Saint-Petersburg: Peter; 2003. (In Russ).
- Maddan S, Walker JT, Miller JM. Does size really matter? A reexamination of Sheldon,s somatotipes and criminal behavior. The Social Science Journal. 2008;45(2):330-44. doi: 10.1016/j.soscij.2008.03.009
- Saklofske D, Eysenck HJ, Eysenck SBG, et al. Extraversion-Introversion. In: Encyclopedia of Human Behavior. 2012. P. 150-159. doi: 10.1016/B978-0-12-375000-6.00164-6
- Bayevskiy RM. Prognozirovaniye sostoyaniy na grani normy i patologii. Moscow: Meditsina; 1979. (In Russ).
- Pavlov IP. Dvadtsatiletniy opyt ob'yektivnogo izu-cheniya vysshey deyatel’nosti (povedeniya) zhi-votnykh. Moscow: Nauka; 1973. (In Russ).
- Egorova MS. Psikhologiya individual’nykh razlichiy. Moscow: Planeta detey; 1997. (In Russ).
- Bernshneyn NA. Fiziologiya dvizheniy i aktivnost’. Moscow: Nauka; 1990. (In Russ).
- Zhukov DA. Biologiya povedeniya: gumoral’nyye mekhanizmy. Saint-Petersburg: Rech’; 2007. (In Russ).
- Ravich-Shcherbo IV, Matyurina TM, Grigorenko EL. Psikhogenetika. Moscow: Aspekt Press; 2000. (In Russ).
- Mulik AB, Postnova MV, Mulik YA, et al. Ellaboration and efficative analysis of the qualitative and quantitative estimation of the human requirements. I.P. Pavlov Russian Medical Biological Herald. 2010;(4):52-61. (In Russ).
- Mulik A, Novochadov V, Bondarev A, et al. New insights into genotype-phenotype correlation in individuals with different level of general non-specific reactivity of an organism. Journal of Integrative Bioinformatics. 2016;13(4). doi:10.2390/ biecoll-jib-2016-95
- Mulik AB, Postnova MV, Mulik YuA. Uroven’ obshchey nespetsificheskoy reaktivnosti organizma cheloveka. Volgograd: Volgogradskoye nauchnoye izdatel’stvo; 2009. (In Russ).
- Kharlanova EM. Razvitiye sotsial’noy aktivnosti budushchikh spetsialistov: psikhologo-pedagogi-cheskiy aspekt. Chelyabinsk: CHGPU; 2009. (In Russ).
- Delaryu VV, Tambiyeva FA. Metodiki izucheniya lichnosti. Kislovodsk: RGU; 1998. (In Russ).
Supplementary files
