Effectiveness of Different Treatment Tactics of Superficial Thrombophlebitis of Lower Limbs (with Development of Mathematical Model for Prediction of Therapeutic Effectiveness)
- Authors: Kalinin R.E.1, Suchkov I.A.1, Uporov M.M.1, Taraskina A.N.2, Titov D.S.1, Klishchenko M.Y.1
-
Affiliations:
- Ryazan State Medical University
- National Research University Higher Schools of Economics
- Issue: Vol 31, No 4 (2023)
- Pages: 535-550
- Section: Original study
- Submitted: 06.02.2023
- Accepted: 10.04.2023
- Published: 22.11.2023
- URL: https://journals.eco-vector.com/pavlovj/article/view/192535
- DOI: https://doi.org/10.17816/PAVLOVJ192535
- ID: 192535
Cite item
Abstract
INTRODUCTION: The main goals of treatment of superficial thrombophlebitis of lower limbs (ST LL) can be achieved using different treatment tactics: conservative treatment, surgical intervention, and their combination.
AIM: To perform a comparative analysis of the effectiveness of pharmacotherapy, crossectomy in combination with pharmacotherapy and of phlebectomy in combination with pharmacotherapy in patients with ST LL.
MATERIALS AND METHODS: A comparative analysis of the effectiveness of the therapeutic tactics of ST LL was conducted (86 patients; 36 men and 50 women). Group 1 patients received only conservative treatment, group 2 patients underwent crossectomy and conservative treatment in the postoperative period, group 3 — phlebectomy in combination with conservative treatment. The clinical effectiveness of treatment was evaluated by the recurrence rate and/or progression of the disease within 3 months after treatment and the level of life quality (Chronic Venous Insufficiency Questionnaire, CIVIQ 20, visual analog scale, VAS). Based on the data obtained in the study, a mathematical model was developed to determine the maximally effective treatment method. For mathematical modeling, a ‘random forest’ method was used.
RESULTS: All the studied treatment methods demonstrated a comparative clinical effectiveness. Analysis of the dynamics of the studied parameters (adjusted for gender and age of the patients) compared with their initial values within each group showed that statistically significant changes in the psychological factor were observed in the pharmacotherapy group already on the 7th control day (p = 0.024), while in the crossectomy and phlebectomy groups only on the 14th day. In the groups of pharmacotherapy (p = 0.001) and phlebectomy (p = 0.005), the improvement in terms of the social factor occurred faster than in the group of crossectomy, since statistically significant differences were found on the 7th day, and in the group of crossectomy only on the 14th day.
CONCLUSION: All the groups demonstrated comparable clinical effectiveness in normalization of the quality of life and the recurrence rate and/or progression of the disease within three months after completion of treatment. On the basis of the data obtained, predictive models have been constructed that allow, based on the initial characteristics of the patient, to determine the tactics of therapy that can ensure maximum effectiveness in terms of normalization of values, reflecting the quality of life and VAS parameter.
Full Text
LIST OF ABBREVIATIONS
CI — confidence interval
CIVIQ — Chronic Venous Insufficiency Questionnaire
LL — lower limb
lq — lower quartile
MAE — Mean Absolute Error
R2 — determination coefficient
ST LL— superficial thrombophlebitis of lower limbs
uq — upper quartile
VAS — visual analog scale
VTEC — venous thromboembolic complication
INTRODUCTION
Thrombosis and/or superficial thrombophlebitis (ST) is a pathological condition associated with formation of thrombotic masses in superficial veins with the development of concomitant inflammatory reactions of skin and subcutaneous tissue.
In a population study of 2014, the annual incidence of ST in a cohort of 265,687 people was 0.64% (95% confidence interval (CI) 0.55–0.74%) [1]. ST is recorded in the general population with a frequency of 0.3–0.6 cases per 1000 person years, reaching the level of 0.7–1.5 cases per 1000 person years in older individuals [2–4].
From the point of view of tactics, patients with ST should be divided into groups according to the degree of risk of thrombus transition to deep veins and to stages, depending on the activity and dynamics of manifestations of an inflammatory reaction and age of thrombosis, which determines the need for hospitalization, the reasonability of prescribing and dosing of anticoagulants, nonsteroidal anti-inflammatory drugs, as well as the choice of the aim and type of surgical intervention [1, 2, 4].
According to the Clinical Recommendations of the Association of Phlebologists of Russia, approved by the Ministry of Health of Russia in 2021, the main objectives of the treatment of ST are prevention of the spread of the thrombotic process to deep veins and the development of pulmonary embolism; prevention of recurrence of ST; relief of acute inflammatory reaction of veins and paravasal tissues; prevention of involvement of new segments of superficial veins in the process [1].
To solve the above problems, locally or systemically applied drugs, compression therapy, surgical intervention, as well as a combination of methods can be used [5–8]. The drugs used for the treatment of ST include rivaroxaban (film-coated tablets, 10 mg), nonsteroidal anti-inflammatory drugs, heparin preparations, venoactive drugs [1, 2, 9], such as purified micronized flavonoid fraction (diosmin + flavonoids recalculated for hesperidin; film-coated tablets, 1000 mg) or diosmin (film-coated tablets, 600 mg) [10, 11].
With a moderate risk of a thrombus moving to deep veins at any stage of ST, anticoagulant therapy is recommended as a priority treatment method. If anticoagulant therapy is impossible in the acute period of the disease or in a period of a subsiding process, it is reasonable to consider a subostial (high) ligation or crossectomy. At a high risk of a thrombus passing to deep veins and impossibility of anticoagulant therapy in the stage of acute and subsiding ST, in order to prevent the transition of a thrombus to deep veins and the development of venous thromboembolic complications (VTECs), it is recommended to perform a subostial (high) ligation or crossectomy [1, 2]. In the acute stage of ST, only interventions are recommended aimed at reducing the risk of pulmonary embolism (crossectomy or subiostial ligation of the saphenous vein), the manifestations of inflammation [2].
Crossectomy (Troyanov–Trendelenburg operation) is a high (immediately at the deep vein) ligation of the great (or small) saphenous vein with obligatory ligation of all the tributaries and excision of the trunk of the superficial vein within the surgical wound [2].
According to the Clinical Recommendations ‘Phlebitis and Thrombophlebitis of Superficial Vessels — 2021–2022–2023 (21.09.2021)’, interventions aimed at the complete elimination of pathological reflux and varicose altered superficial veins are recommended to be carried out at the stage of subsided thrombophlebitis or after past ST [2], among other things, by phlebectomy — removal of a pathologically altered subcutaneous vein using special phlebectomy hooks (venoextractors) [10].
The aim of this study was to conduct a comparative analysis of the effectiveness of pharmacotherapy, crossectomy in combination with pharmacotherapy and of phlebectomy in combination with pharmacotherapy in patients with thrombophlebitis of the superficial veins of the lower limbs (LL).
MATERIALS AND METHODS
The study included 86 patients (36 men and 50 women) aged 20 to 87 years with a diagnosis of ST LL. The patients were divided into three groups depending on the treatment tactics used, determined in accordance with the clinical recommendations of the Association of Phlebologists of Russia ‘Phlebitis and Thrombophlebitis of Superficial Vessels — 2021–2022–2023 (21.09.2021)’ [1]:
- - group 1 (pharmacotherapy group; n = 29) — moderate risk of transition to deep veins, conservative treatment with medical drugs;
- - group 2 (crossectomy group; n = 31) — high risk of transition to deep veins, crossectomy with the use of medical drugs;
- - group 3 (phlebectomy group; n = 26) — moderate risk of transition to deep veins, phlebectomy with the use of medical drugs.
No statistically significant differences were found between the studied groups in gender (χ2 = 0.228; p = 0.892), while the patients of the crossectomy group were statistically older than the phlebectomy group (p = 0.001; Figure 1). For concomitant diseases, the three groups (χ2 = 1.801; p = 0.406) and for the duration of hospitalization the crossectomy and phlebectomy groups (p = 0.353) were comparable (no comparison with the pharmacotherapy group was performed, since this group received treatment on an outpatient basis).
Note: Statistical significance is specified in comparison with the crossectomy group.
The clinical efficiency of treatment was assessed by recurrence and/or progression of the disease within three months after completion of treatment, as well as on the basis of a questionnaire for assessing the quality of life of patients with chronic venous insufficiency (Chronic Venous Insufficiency Questionnaire, CIVIQ 20) and a visual analog scale (VAS). With the help of this scale and questionnaire, the values of the pain factor, psychological factor, physical factor, social factor were determined on the 0th, 7th, 14th, 28th and 45th day (‘control days’) of treatment [12, 13].
Statistical data processing and graphical presentation of the results were performed in Statistica 13.0 (Stat Soft Inc., USA, license number AX003J115213FAACD-X), SPSS Statistics 20 (IBM SPSS, USA), GraphPadPrism 9.0 (Graph Pad Software, USA) software, Office XP software package (Microsoft, USA). Multivariate regression analysis was performed using Python 3.6 stats models 0.12.2 package.
A linear model of mixed effects was used with corrections for the gender and age of patients:
where age, gender and group are considered as a constant effect, and day as a variable effect; β, u are the coefficients of the model obtained in optimization; ε is a random error of the model.
The significance of the coefficients (the relationship with the dependent variable) was evaluated using Wald test. A preliminary exponential (Yeo–Johnson method) and quantile transformation of the data were used to bring them to a normal form.
Factor values were compared between the control days in Python 3.6 statsmodels 0.12.2 package using a linear regression method with optimization by least square method with corrections for gender and age:
Bonferroni correction for multiple testing was used.
To model the five factors under consideration after the start of treatment, the ‘random forest’ method from Python 3.6 scikit-learn 0.24.2 library was used. The model parameters were selected using the Randomized Search CV function with 100 iterations and cross-validation with 8 parts. The considered parameters included the number of trees from 10 to 1000 with increments of 20 trees; the maximum depth of trees from 1 to 20 with increment 1. The predictors were selected by sequential passing through all known signs on the zero day and factor values already predicted for the previous days. For example, at first a model was constructed for predicting the pain factor on the 7th day and a modeled value for the 7th day was obtained, which was somewhat different from the experimental one. Then this value was used to model the pain factor for later points. This approach gives a significant gain in accuracy in models for the 45th day. The signs giving the greatest gain in the R2 determination coefficient were selected. The iteration stopped after the newly added variables no longer improved R2 value. To all models, the treatment method identifier was added — binary variables for three methods. The accuracy of the model was evaluated on 20% of the sample after training on the other 80% using the mean absolute error (MAE).
After obtaining a random forest of solutions, 5 factors were predicted for the study participants for the 7th, 14th, 28th and 45th days in case of treatment with each of the three methods. Further, the obtained parameters were summed up and a treatment method was selected that gives the minimum value of the sum. The next procedures were correction of the models for accuracy and normalization of the values of the factors:
where Ri,d = R2 are values of the determination coefficient for the i-th factor model on the day d, the factors are the normalized values predicted by the model.
In statistical processing of quantitative data, the nature of the distribution was evaluated by Shapiro–Wilk test, the homogeneity of the variances by Levene test. Parameters with a normal distribution (parametric data) were evaluated using one-factor analysis of variance (ANOVA), then Newman–Keuls test was used for multiple comparisons. Mann–Whitney test was used to evaluate quantitative nonparametric data of two independent groups.
When analyzing qualitative data from independent groups, χ2-criterion was used to identify differences between all the groups (if all expected frequencies were not less than 1, and not more than 20% of expected frequencies were less than 5). To identify which two groups had statistically significant differences and which did not, several four-field tables were used with assessment of each by the criterion χ2 with Yates correction and Bonferroni correction (if, when identifying differences between the studied groups, all expected frequencies were greater than 5), or the two-sided Fisher exact test with Bonferroni correction (if, when identifying differences between the studied groups, the expected frequencies were less than 5) (for dichotomic data). In the case when more than 20% of the expected frequencies were less than 5, the dichotomic data were analyzed by pairwise addition of the results of observations of two groups with the third group using the two-sided Fisher exact test with Bonferroni correction.
Kruskall–Wallis test was used to analyze the qualitative ordinal data of independent groups, and Friedman test for dependent groups. Dunn test was used for multiple comparisons.
The differences were considered statistically significant at p < 0.05.
For data having a normal distribution, the arithmetic mean (Mean) and standard deviation (SD) were calculated. For data having a distribution other than normal, for quantitative discrete data having a normal distribution, Median, upper and lower quartiles (lq; uq) were calculated. Frequencies (%) were calculated for qualitative nominal data. For qualitative ordinal data, the median, upper and lower quartiles (lq; uq) or 95% CI, or frequencies (%) were calculated.
RESULTS
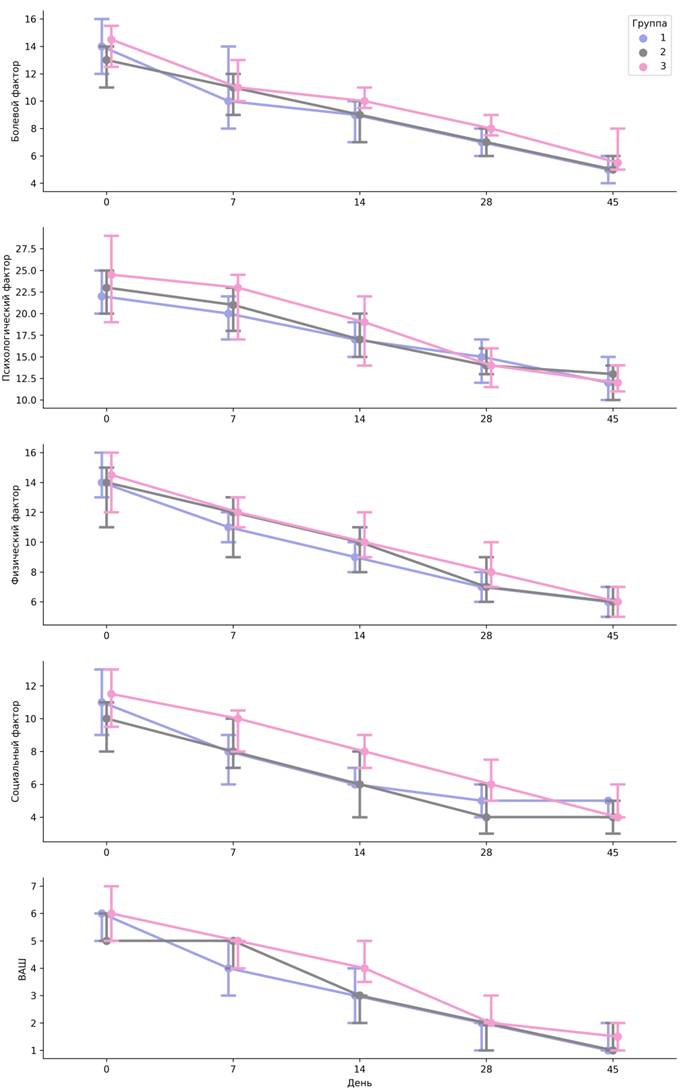
The effectiveness of therapy by the parameter of relapse and/or progression of the disease within three months after the end of treatment did not show any statistically significant differences. The effectiveness of therapy by the parameter of the dynamics of pain (p = 0.243), psychological (p = 0.760), physical (p = 0.731), social factors (p = 0.109) and VAS values (p = 0.648; value on the 0 day — value on the 45th day) did not show statistically significant differences (Figures 2, 3).
Note: The numbers above the columns are Median values.
Note: VAS is a visual analog scale.
The analysis of independent groups did not reveal any statistically significant differences in terms of pain, psychological, physical and social factors between the studied groups (pharmacotherapy, crossectomy, phlebectomy) in the same time intervals (Figures 4a–4d). The differences on VAS were identified on the 14th day between the pharmacotherapy and phlebectomy groups (p = 0.033), and also between the crossectomy and phlebectomy groups (p = 0.005; Figure 4e). On the 14th day in the phlebectomy group, VAS parameter increased (impairment of the quality of life), which was due to phlebectomy performed on the 7th–10th day — the persistence of pain in the postoperative period could be observed, which coincided with the 14th day of control. A short-term negative dynamics did not affect the final result of observation and did not require correction of the prescribed therapy.
Fig. 4. Analysis of the values of pain (a), psychological (b), physical (c), social (d) factors and visual analog scale (e) for pharmacotherapy, crossectomy and phlebectomy on the control 0, 7th, 14th, 28th, and 45th day (analysis of independent groups–analysis of different treatment tactics on identical control days), , Median [lq; uq].
Notes: 1 — compared with the pharmacotherapy group on the given control day; 2 — compared with the crossectomy group on the given control day; the numbers above the columns are Median values.
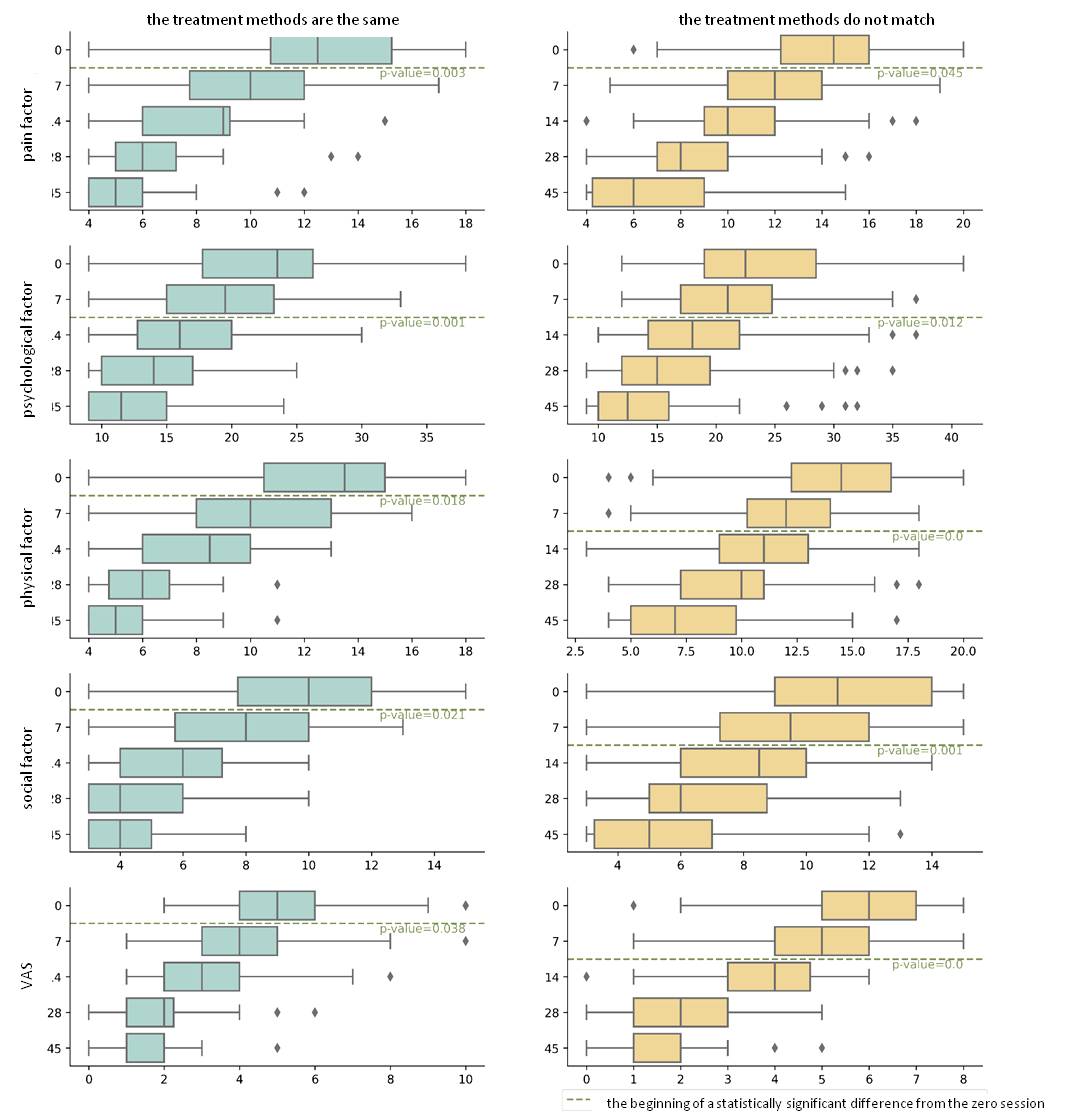
A comparative analysis of the groups by pain, psychological, physical, social factors and VAS on different control days in the same group revealed statistically significant differences (Figure 5), reflecting the positive dynamics from the first days of observation. The results of the analysis of the dynamics of pain, psychological, physical, social factors and VAS parameters separately in each group on the control days compared with the initial values (with the 0 day), taking into account corrections for gender and age, are shown in Figure 6.
Fig. 5. Analysis of the dynamics of pain (a), psychological (b), physical (c), social (d) factors and VAS (e) for pharmacotherapy, crossectomy and phlebectomy tactics (analysis of dependent groups), Median [lq; uq].
Notes: a through assignment of indexes for comparisons between the groups for the entire statistical analysis was performed, in this connection, index 1 is not used in Figure 5; 2 — compared with the values on the 7th day with the same treatment method (dependent groups); 3 — compared with the values on the 14th day with the same treatment method (dependent groups); 4 — compared with the values on the 28th day with the same treatment method (dependent groups); 5 — compared with the values on the 45th day with the same treatment method (dependent groups).
Statistically significant changes of the pain factor were observed after the seventh day of observation in all the groups (p = 0.002). Statistically significant changes in the psychological factor were observed after the seventh day of observation in the group of pharmacotherapy (p = 0.020), while in group 2 and 3 statistically significant changes were observed only in fourteen days from the moment of observation (p = 0.001).
Fig. 6. Dynamics of pain, psychological, physical, social factors and VAS parameters for various methods of treatment on control days compared with the initial parameters (with corrections for gender and age of patients), Median [lq; uq].
Notes: VAS is a visually analog scale; the green dotted line cuts off the control days since which statistically significant differences appeared compared to the zero day (from the initial values).
Statistically significant changes of the physical factor were observed after the seventh day in all the groups (p = 0.048), of social factor after the seventh day of observation in the group of pharmacotherapy (p = 0.001) and the group of pharmacotherapy and phlebectomy (p = 0.005), while in the group of crossectomy — only after fourteen days (p = 0.001). Changes in VAS were observed after the seventh day of observation in all groups (p = 0.003).
A multifactorial analysis with corrections for gender and age showed a statistically significant positive association of the psychological factor with the conducted phlebectomy, while other treatment methods showed no significant association. The analysis did not reveal any differences in the pain, physical, social factor and VAS parameter between the study groups (Table 1).
Table 1. Coefficients in Multifactorial Regression Analysis (value and direction of relationship) and Their Statistical Significance p (in brackets)
Parameters | Pain Factor | Psychological Factor | Physical Factor | Social Factor | Visual Analog Scale |
Age | -0.02 (0.455) | 0.10 (< 0.001) | 0.01 (1.000) | -0.00 (1.000) | -0.02 (0.006) |
Gender | 0.23 (1.000) | 1.92 (0.008) | 1.63 (< 0.001) | 1.26 (< 0.001) | 0.17 (1.000) |
Pharmacotherapy | 0.07 (1.000) | -0.66 (1.000) | 0.12 (1.000) | -0.12 (1.000) | -0.32 (0.829) |
Crossectomy | -0.85 (0.409) | -1.97 (0.196) | -0.75 (0.727) | -0.76 (0.466) | -0.13 (1.000) |
Phlebectomy | 0.85 (0.485) | 2.90 (0.018) | 0.68 (1.000) | 0.97 (0.206) | 0.51 (0.193) |
Day of Observation | 0.00 (1.000) | 0.00 (1.000) | 0.00 (1.000) | 0.00 (1.000) | 0.00 (1.000) |
Note: significance level < 0.05 is highlighted in italics
On the basis of the data obtained in the course of study, a modification of the choice of treatment method algorithm was proposed providing maximal effectiveness in the studied parameters (pain, psychological, physical, social factors and VAS). The solution trees were constructed that predict parameters of pain, psychological, physical, social factors and VAS value for each control day depending on the selected treatment method. The accuracy of the developed models is given in Table 2. The developed models are available at https://github.com/reiho/TTM (29/12/2022).
Table 2. Accuracy of Models Predicting Values of Factors on Control Days after Start of Treatment
Parameters | 7th day | 14th day | 28th day | 45th day |
Pain factor | R2 = 0.90; MAE = 2.12 | R2 = 0.94; MAE = 1.45 | R2 = 0.92; MAE = 1.41 | R2 = 0.93; MAE = 1.55 |
Psychological factor | R2 = 0.94; MAE = 2.68 | R2 = 0.95; MAE = 2.79 | R2 = 0.95; MAE = 1.09 | R2 = 0.97; MAE = 1.86 |
Physical factor | R2 = 0.94; MAE = 1.43 | R2 = 0.92; MAE = 1.36 | R2 = 0.93; MAE = 1.32 | R2 = 0.95; MAE = 1.57 |
Social factor | R2 = 0.97; MAE = 1.39 | R2 = 0.94; MAE = 1.21 | R2 = 0.96; MAE = 0.80 | R2 = 0.95; MAE = 1.05 |
Visual analogue scale | R2 = 0.94; MAE = 0.99 | R2 = 0.94; MAE = 0.97 | R2 = 0.92; MAE = 0.76 | R2 = 0.83; MAE = 0.56 |
Notes: MAE — mean absolute error in test sample, R2 — determination coefficient
Table 3. Characteristics of Predicted Groups for Treatment Tactics, Median [95% CI] or %
Parameters | Group 1, Pharmacotherapy | Group 2, Crossectomy | Group 3, Phlebectomy |
Pain factor (day 0) | 14.00 [11.00; 18.00] | 11.00 [7.00; 18.00] | 15.50 [12.00; 20.00] |
Psychological factor (day 0) | 25.00 [16.00; 36.00] | 21.00 [12.00; 32.00] | 23.00 [14.00; 38.00] |
Physical factor (day 0) | 15.00 [10.00; 18.00] | 13.00 [4.00; 17.00] | 14.0 [11.00; 19.00] |
Social factor (day 0) | 12.00 [7.00; 15.00] | 9.00 [3.00; 13.00] | 13.0 [8.00; 15.00] |
Visual analogue scale 0) | 6.00 [5.00; 8.00] | 5.00 [2.00; 8.00] | 6.00 [4.00; 8.00] |
Gender | 20% of men; 80% of women | 54% of men; 46% of women | 45% of men; 55% of women |
Proportion of participants with risk of transition to deep veins | 20% | 51% | 27% |
Period of disease | Acute 64%; subsiding 24%; subsided 12% | acute 72%; subsiding 23%; subsided 5% | acute 64%; subsiding 23%; subsided 13% |
Patients with concomitant diseases | 48% | 46% | 32% |
Age | 47.00 [25.00; 78.00] | 53.00 [37.00; 71.00] | 43.50 [28.00; 78.00] |
Based on the predicted value, a treatment method can be selected giving the best result in the dynamics of the pain, psychological, physical, social factors and VAS parameter on the 7th, 14th, 28th and 45th control days. The characteristics of new groups are shown in Table 3. In 40 patients the proposed treatment tactics coincided with the used one; by the results of modeling, 46 patients were recommended other treatment methods (Table 4).
Table 4. Coincidence of Recommended Treatment Tactics with Used Tactics
Prescribed Treatment | Treatment Recommended by Model | ||
Pharmacotherapy | Crossectomy | Phlebectomy | |
Pharmacotherapy | 10 | 11 | 8 |
Crossectomy | 5 | 20 | 6 |
Phlebectomy | 6 | 10 | 10 |
Note: in cells of the table, the number of people is shown from the group indicated in the row who are recommended treatment method indicated in the column on the basis of the proposed predictive model.
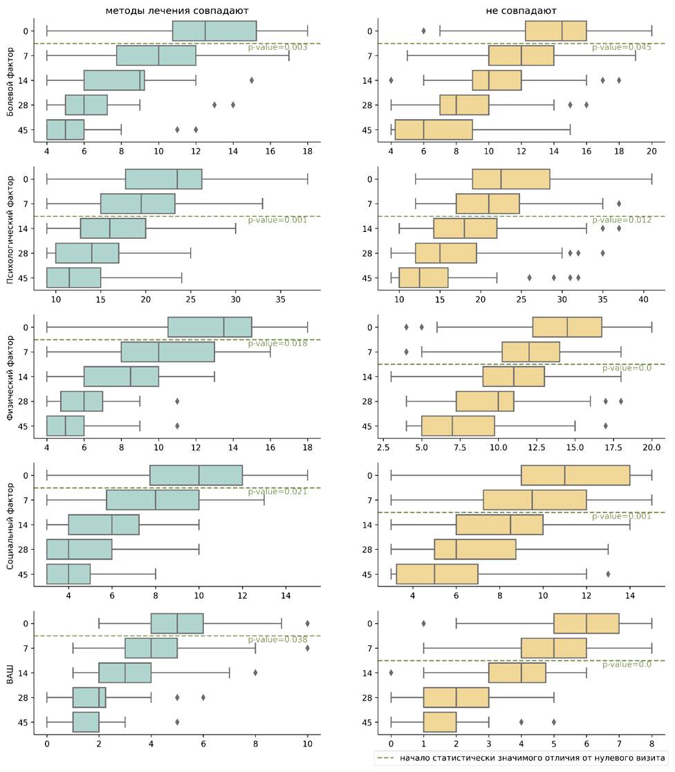
In the patients in whom the new and original group coincide, there is a faster improvement in a number of studied parameters (physical, social factors and VAS parameters) and a comparable effectiveness in pain and psychological factors, which proves a greater effectiveness of the mathematically recommended treatment method (Figure 7).
Fig. 7. Dynamics of normalization of pain, psychological, physical, social factors and parameters of the visual-analog scale in patients in whom the treatment tactics used and the treatment tactics proposed on the basis of the predictive model coincided and did not coincide (with corrections for gender and age of patients).
Note: VAS — visual analog scale; box-and-whiskers for control days for 5 measured factors among participants with the coincided recommended model and the original treatment method (first column) and participants redefined into another group (second column).
Analysis of the dynamics (with corrections for gender and age of patients) of pain, psychological, physical, social factors and VAS parameters compared with the initial parameters within each group, showed statistically significant changes in the psychological factor in the pharmacotherapy group already on the 7th control day (p = 0.024), and in the crossectomy and phlebectomy groups only on the 14th day. In the pharmacotherapy (p = 0.001) and phlebectomy (p = 0.005) groups, social factor normalized faster than in the crossectomy group, since statistically significant differences compared to the initial values were revealed already on the 7th control day while in the crossectomy group on the 14th day.
DISCUSSION
When evaluating and comparing the results of various methods of treatment of patients with ST of the lower limbs, of no less importance, along with efficiency and safety, is the dynamics of the quality of life. In the modern terminology proposed by A. A. Novik and T. I. Ionova, ‘quality of life’ is defined as an integral characteristics of the physical, psychological, emotional and social functioning of the patient, based on his subjective perception [14]. The means for assessing the quality of life are questionnaires. There are several types of them: generics — not focused on the nosological unit (for example, SF-36, Nottingham Health Profile, EQ-5D, Domain-Specific questionnaire), and domain-specific (Chronic Venous Insufficiency Questionnaire (CIVIQ), Venous Insufficiency Epidemiological and Economic Study (VEINES), Aberdeen Varicose Vein Questionnaire (AVVQ), Charing Cross Venous Ulceration Questionnaire (CXVUQ), Freiburger Questionnaire of Quality of Life in Venous Diseases). At the moment, there are few studies that have assessed the quality of life of patients with ST with different treatment methods. The disadvantage of these questionnaires is their non-specificity for ST (the effect of ST treatment on the quality of life has not been studied by these questionnaires). In the previously published studies, the authors used generics or domain-specific questionnaires for patients with chronic venous diseases. In order to obtain accurate and reliable results in studies aimed at search for most effective methods of treating ST, the issue of creating domain-specific questionnaires for ST LL should be considered. Below are a number of papers in which the quality of life of patients was assessed using questionnaires such as Chronic Venous Insufficiency Questionnaire 2.0, SF-36 and VAS.
The study by S. Savolyuk, et al. (2020) compared the dynamics of the quality of life of patients with ST after endovasal laser coagulation or standard phlebectomy in the system of the affected great saphenous vein [15]. To assess the quality of life, the Chronic Venous Insufficiency Questionnaire 2.0 was used. The results obtained indicate the advantage of using endovasal laser coagulation instead of classic phlebectomy in patients with ST.
Another prospective, randomized, double-blind, placebo-controlled, multicenter study compared the use of parnaparin at different doses for the treatment of patients with ST [16]. The decrease in symptoms according to VAS was the same in the three groups at the beginning of treatment with a comparable significant decrease on the 10th day (compared to the first days). Complete disappearance of symptoms on the 30th day was noted in all patients, regardless of the dose of the drug. Thus, in this study, no differences in the life quality parameters were obtained according to VAS among the study groups.
A. D. Gaibov, et al. (2017) compared the results of one- and two-stage treatment of patients (n = 185) with acute varicothrombophlebitis [17]. The first group (66.5%) included patients with two-stage surgical intervention (at the first stage, crossectomy, then conservative therapy for 8–10 weeks, until the regression of the inflammatory process; at the second stage, radical phlebectomy). The second group (33.5%) included patients with one-stage radical phlebectomy. The results of treatment were evaluated on the basis of pain syndrome, neurological deficit and quality of life according to the Chronic Venous Insufficiency Questionnaire0 and SF-36. The data obtained indicate the advantage of a two-stage surgical intervention compared to a one-stage one.
In our study, all the used treatment tactics demonstrated comparable clinical effectiveness in the normalization of pain, psychological, physical, social factors and VAS parameters evaluated by occurrence of relapse and/or progression of the disease within three months after the end of treatment. Statistically significant differences in the dynamics of normalization of these parameters were found for the VAS values in the phlebectomy group on the 14th control day, when the values of VAS with use of this treatment tactic were inferior to the groups of pharmacotherapy and crossectomy in a similar time period (Figure 4e). Analysis of the dynamics (with corrections for gender and age of patients) of pain, psychological, physical, social factors and VAS values compared with the initial parameters within each group showed that in the pharmacotherapy group, statistically significant changes in the psychological factor were observed already on the 7th control day (p = 0.024), while in the crossectomy and phlebectomy groups — only on the 14th day. In the pharmacotherapy (p = 0.001) and phlebectomy (p = 0.005) groups, normalization by the social factor was faster than in the group of crossectomy, because statistically significant differences in comparison with the initial values were found already on the 7th control day, while in the crossectomy group — on the 14th day.
Based on the obtained data, predictive models were constructed that, using the initial patient’s characteristics, permit to determine the maximally effective treatment tactics for him:
- - 11 patients of pharmacotherapy group were recommended crossectomy, 8 patients — phlebectomy, for 10 patients the used treatment tactics coincided with the recommended one.
- - 5 patients of crossectomy group were recommended pharmacotherapy, 6 — phlebectomy, for 20 patients the used treatment tactics coincided with the recommended one;
- - 6 patients using phlebectomy as a treatment method, were recommended pharmacotherapy, 10 — crossectomy, for 10 patients the used treatment tactics coincided with the recommended one.
To note, these models are limited by the parameters used for their construction, and can be used as a means to support the taken medical decisions, rather than an independent algorithm to determine the treatment tactics required for the patient.
CONCLUSION
Pharmacotherapy, crossectomy and phlebectomy with use of medical drugs have demonstrated comparable clinical effectiveness in terms of normalization of pain, psychological, physical, social factors and parameters on the visual analog scale, as well as in the parameter of recurrence and/or progression of the disease within 3 months after the end of treatment of patients.
On the basis of the data obtained, predictive models were constructed that, using the initial patient’s characteristics, permit to determine the treatment tactics maximally effective in terms of normalization of the pain factor, psychological factor, social factor and parameter of visual-analog scale. The treatment recommended by the model, can be considered for application only if it corresponds to the stage of thrombosis and/or thrombophlebitis of superficial veins of the lower limbs and the extent of risk of a thrombus passing to deep veins.
ADDITIONALLY
Funding. The authors declare that there is no funding for the study.
Conflict of interests. The authors declare no conflicts of interests.
Contribution of the authors: R. E. Kalinin, I. A. Suchkov — concept, writing the text; M. M. Uporov — performing research, writing the text; A. N. Taraskina — mathematical modeling; D. S. Titov — statistical data processing; M. Yu. Klishchenko — statistical data processing, editing. The authors confirm the correspondence of their authorship to the ICMJE International Criteria. All authors made a substantial contribution to the conception of the work, acquisition, analysis, interpretation of data for the work, drafting and revising the work, final approval of the version to be published and agree to be accountable for all aspects of the work.
Финансирование. Авторы заявляют об отсутствии внешнего финансирования при проведении исследования.
Конфликт интересов. Авторы заявляют об отсутствии конфликта интересов.
Вклад авторов: Калинин Р. Е., Сучков И. А. — концепция, написание текста; Упоров М. М. — выполнение исследования, написание текста; Тараскина А. Н. — математическое моделирование; Титов Д. С. — статистическая обработка данных; Клищенко М. Ю. — статистическая обработка данных, редактирование. Авторы подтверждают соответствие своего авторства международным критериям ICMJE (все авторы внесли существенный вклад в разработку концепции и подготовку статьи, прочли и одобрили финальную версию перед публикацией).
About the authors
Roman E. Kalinin
Ryazan State Medical University
Email: kalinin-re@yandex.ru
ORCID iD: 0000-0002-0817-9573
SPIN-code: 5009-2318
MD, Dr. Sci. (Med.), Professor
Russian Federation, RyazanIgor’ A. Suchkov
Ryazan State Medical University
Email: suchkov_med@mail.ru
ORCID iD: 0000-0002-1292-5452
SPIN-code: 6473-8662
MD, Dr. Sci. (Med.), Professor
Russian Federation, RyazanMikhail M. Uporov
Ryazan State Medical University
Author for correspondence.
Email: mikhailuporov@yandex.ru
ORCID iD: 0000-0003-0470-119X
SPIN-code: 2077-3808
Russian Federation, Ryazan
Anastasiya N. Taraskina
National Research University Higher Schools of Economics
Email: antaraskina@edu.hse.ru
ORCID iD: 0000-0003-1952-9783
Russian Federation, Moscow
Dmitriy S. Titov
Ryazan State Medical University
Email: dmit.serg.titov@gmail.com
ORCID iD: 0000-0002-4535-9549
SPIN-code: 5642-7498
ResearcherId: V-3816-2018
Cand. Sci. (Biol.)
Russian Federation, RyazanMarina Yu. Klishchenko
Ryazan State Medical University
Email: kmarina62@mail.ru
ORCID iD: 0000-0001-5528-4627
SPIN-code: 7325-1681
Senior Lecturer of the Department of Pharmacy Management and Economics
Russian Federation, RyazanReferences
- Stoyko YuM, Kirienko AI, Ilyukhin EA, et al. Diagnosis and treatment of superficial trombophlebitis. Guidelines of the Russian association of phlebologists. Flebologiya. 2019;13(2):78–97. (In Russ). doi: 10.17116/ flebo20191302178
- Klinicheskiye rekomendatsii ‘Flebit i tromboflebit poverkhnostnykh sosudov’ (21/09/2021) [Internet]. Available at: https://base.garant.ru/402793810/. Accessed: 2023 February 05. (In Russ).
- Kalinin RE, Suchkov IA, Mzhavanadze ND, et al. Surgical Prevention of Venous Thromboembolism in Patients with Superficial Vein Thrombosis and Phlebitis on the Thigh in Routine Clinical Practice. Flebologiya. 2022;16(2):139–44. (In Russ). doi: 10.17116/flebo202216021139
- Uporov MM. The Current State of Treatment of Superficial Thrombophlebitis of Lower Extremities. Nauka Molodykh (Eruditio Juvenium). 2022;10(4):471–90. (In Russ). doi: 10.23888/HMJ2022104471-490
- Kalinin RE, Suchkov IA, Agapov AB, et al. The Effectiveness of Compression Therapy in the Prevention of Venous Thromboembolic Complications in Patients With COVID-19. Russian Sklifosovsky Journal “Emergency Medical Care”. 2022;11(3):436–43. (In Russ). doi: 10.23934/2223-9022-2022-11-3-436-443
- Kalinin RE, Suchkov IA, Kamaev AA. Effectiveness of Local Treatment in Patients with Chronic Venous Disease. Flebologiya. 2021;15(4):290–6. (In Russ). doi: 10.17116/flebo202115041290
- Kalinin RE, Narizhniy MV, Suchkov IA. Risk of pulmonary embolism associated with superficial vein thrombophlebitis. I. P. Pavlov Russian Medical Biological Herald. 2011;19(2):19. (In Russ).
- Katel’nitskiy II, Nemirovich MV, Prostov II, et al. Justification of Choice of Thromboprophylaxis Method in Patients with High-Risk Surgical Profile: A Literature Review. I. P. Pavlov Russian Medical Biological Herald. 2022;30(2):279–86. (In Russ). doi: 10.17816/PAVLOVJ65252
- Kalinin RE, Suchkov IA, Kamayev AA. Dinamika pokazateley venospetsificheskogo vospaleniya i kachestva zhizni u patsiyentov s varikoznoy bolezn’yu. Flebologiya. 2022;16(2–2):T37–8. (In Russ).
- Klinicheskiye rekomendatsii ‘Varikoznoye rasshireniye ven nizhnikh konechnostey’ (18/10/2021) [Internet]. Available at: https://www.garant.ru/products/ipo/prime/doc/402776841/. Accessed: 2023 February 05. (In Russ).
- Kalinin RE, Suchkov IA, Maksaev DA. Clinical effectiveness of bioflavonoids in the treatment of secondary lower limb lymphedema. I. P. Pavlov Russian Medical Biological Herald. 2021;29(2):245–50. (In Russ). doi: 10.17816/PAVLOVJ63283
- Oprosnik CIVIQ dlya otsenki kachestva zhizni patsiyenta s khronicheskim zabolevaniyem ven [Internet]. Available at: https://venousregistry.org/index.php?f=1&id=25. Accessed: 2023 February 05. (In Russ).
- Prilozheniye G2. Vizual’no analogovaya shkala otsenki boli. Klinicheskiye rekomendatsii «Distoniya» [Internet]. Available at: https://sudact.ru/law/klinicheskie-rekomendatsii-distoniia-utv-minzdravom-rossii/prilozhenie-g1-gn/prilozhenie-g2/?ysclid=lcpvdo6soc159539652. Accessed: 2023 February 05. (In Russ).
- Novik AA, Ionova TI; Shevchenko YuL, editor. Rukovodstvo po issledovaniyu kachestva zhizni v meditsine. 2nd ed. Moscow: OLMA Media Grupp; 2007. (In Russ).
- Savolyuk S, Khodos V, Gerashchenko R, et al. Assessment of quality of life in patients after the treatment of acute ascending thrombophlebitis of the great saphenous vein with of high-frequency endovenous welding. Georgian Med News. 2020;(298):13–6.
- Decousus H, Prandoni P, Mismetti P, et al.; CALISTO Study Group. Fondaparinux for the treatment of superficial-vein thrombosis in the legs. N Engl J Med. 2010;363(13):1222–32. doi: 10.1056/nejmoa0912072
- Gaibov AD, Dzhurakulov ES, Sultanov DD, et al. Results of one- and two-stage surgical treatment of acute varicotromboflebitis. Vestnik Akademii Meditsinskikh Nauk Tadzhikistana. 2017;(3):31–7. (In Russ).
Supplementary files












