Analysis of Influence of Cigarette Smoke on Signaling Pathways of Innate Immune System in Monocytes of Peripheral Blood
- Authors: Kotlyarov S.N.1, Suchkov I.A.1, Uryas'yev O.M.1, Yakusheva E.N.1, Shchulkin A.V.1, Kotlyarova A.A.1
-
Affiliations:
- Ryazan State Medical University
- Issue: Vol 31, No 3 (2023)
- Pages: 391-404
- Section: Original study
- Submitted: 02.03.2023
- Accepted: 11.07.2023
- Published: 12.10.2023
- URL: https://journals.eco-vector.com/pavlovj/article/view/306495
- DOI: https://doi.org/10.17816/PAVLOVJ306495
- ID: 306495
Cite item
Abstract
INTRODUCTION: Tobacco smoking is an important medical problem since it has a significant impact on the development and progression of chronic obstructive pulmonary disease (COPD). The components of tobacco smoke can initiate and support local and systemic inflammation with participation of monocytes and macrophages.
AIM: To study molecular mechanisms associated with the impact of cigarette smoke on signaling pathways of the innate immune system in monocytes of peripheral blood.
MATERIALS AND METHODS: The methods of in silico analysis was used to identify genes associated with the impact of tobacco smoke. On the basis of the data obtained, a cellular model of inflammation was created in vitro using tobacco smoke extract and monocytes of peripheral blood isolated by immunomagnetic separation. An enzyme-linked immunoassay (ELISA) kit was used to measure the concentration of tumor necrosis factor-α (TNF-α), interleukin-1β (IL-1β) in cell supernatants, and of Toll-like receptor 4 (TLR4), ATP-binding cassette A1 (ABCA1) in homogenates of cell membranes of native monocytes and monocytes exposed to 4% tobacco smoke extract. These data were compared with the levels of TNF-α, IL-1β, TLR4 and ABCA1 in monocytes of peripheral blood of patients with COPD with frequent exacerbation phenotype and with obliterating atherosclerosis of lower limb arteries (OALLA). For statistical processing and visualization of the data, MedCalc 20.1.4 and R (version 4.2.2) software was used.
RESULTS: Tobacco smoke influences TLR4, TNF-α signaling pathways and lipid metabolism. Cigarette smoke extract enhanced the expression of proinflammatory cytokines TNF-α and IL-1β in cell supernatants, increased the level of TLR4 and decreased that of ABCA1 in plasmolemma of monocytes of peripheral blood. In patients with COPD with frequent exacerbation phenotype and with OALLA, there were shown increase in the levels of proinflammatory TNF-α and IL-1β cytokines in cell supernatants, increase in the level of TLR4 and reduction of the level of ABCA1 in plasmolemma of monocytes of peripheral blood compared to native monocytes of healthy individuals.
CONCLUSION: Cigarette smoke enhances the production of proinflammatory TNF-α and IL-1β cytokines, increases the levels of TLR4 protein and reduces the amount of ABCA1 transporter in membranes of monocytes of peripheral blood. This may partially explain the cause of the influence of cigarette smoke on development of the pulmonary and cardiovascular diseases. COPD with frequent exacerbation phenotype and OALLA are characterized by enhancement of inflammation with participation of monocytes.
Full Text
LIST OF ABBREVIATIONS
ABCA1 — ATP binding cassette subfamily A member 1
ACVD — atherosclerotic cardiovascular disease
CI — confidence interval
CD — cluster of differentiation
COPD — chronic obstructive pulmonary disease
CS — cigarette smoke
CSE — cigarette smoke extract
CTD — Comparative Toxicogenomics Database
EBC — expired breath condensate
EDTA — ethylenediaminetetraacetic acid
FDR — false discovery rate
FEV1 — forced expiratory volume for 1 second
FVCL — forced vital capacity of lungs
GEO — gene expression omnibus database
GO — gene ontology
GOLD — Global Initiative for Chronic Obstructive Lung Disease
HIF-1 — hypoxia-inducible factor-1
IL-1β — Interleukin-1β
KEGG — Kyoto Encyclopedia of Genes and Genomes
LDLP — low density lipoproteins
LPS — lipopolysaccharide
NCBI — the National Center for Biotechnology Information
NF kappa B — nuclear factor kappa B
NLRP3 — NOD-like receptor family pyrin domain-containing 3
NOD — nucleotide-binding oligomerization domain
OALLA — obliterating atherosclerosis of lower limb arteries
PAD — peripheral artery disease
PPI — protein-protein interaction
STRING — search tool for the retrieval of interacting genes database
TF-IDF — term frequency — inverse document frequency
TLR4 — toll-like receptor 4
TNF — tumor necrosis factor
TNFα — tumor necrosis factor alpha
UMAP — uniform manifold approximation and projection
INTRODUCTION
Tobacco smoking is recognized to be a global problem of the modern mankind due to its wide spread and participation in development of many diseases, for example, chronic obstructive pulmonary disease (COPD). COPD is among the key causes of morbidity, disability and mortality, and currently these parameters do not show any downward tendency, which increases attention to the problem. To note, COPD rarely runs an isolated course, especially in patients of the older age group, but is often associated with a number of comorbid pathologies, such as atherosclerotic cardiovascular diseases (ACVDs) which significantly influence the course of COPD and its prognosis. COPD is believed to have numerous interrelations with ACVDs, the leading one being systemic inflammation [1]. With this, smoking is regarded as a key risk factor for COPD, whereas early cessation of smoking is considered an effective therapeutic strategy that can reduce local and systemic inflammation.
Cigarette smoke (CS) contains several thousand chemicals, including oxidants and free radicals at concentrations that may exceed the mechanisms of antioxidant protection of an organism. CS has a multifaceted negative effect inducing development of oxidative stress, inflammation and frustration of metabolic processes not only in lungs, but also at the systemic level.
There is a growing amount of evidence of the important role of disorders of the innate immune system in the development and progression of both COPD and atherosclerosis. The innate immune system uses a wide variety of mechanisms involving different cells, such as macrophages. Tobacco smoking is considered an important factor that activates and supports inflammation with the participation of macrophages that are actively involved in the pathogenesis of both COPD and ACVD [2]. Monocytes, which are precursors to macrophages, are characterized by different immunometabolic polarization, which may be important for their subsequent role in inflammation [3].
An important immune mechanism where CS participates, is associated with the activation of receptors of the innate immune system, such as toll-like receptors 4 (TLR4). TLR4, the most well-known representative of this family of receptors, recognizes lipopolysaccharides (LPSs) of the cell wall of gram-negative bacteria, and can be activated in the lungs either by LPSs or exogenous oxidants and, consequently, can modulate inflammatory reactions. The components of SC, including LPSs can also activate TLR4 and its downstream signaling pathways that promote the production of cytokines. The TLR4 signaling pathway is considered one of the key mechanisms of activation and support of inflammation in the airways in COPD [4].
Besides activation of TLR4, CS also promotes activation of signaling pathways of nucleotide-binding oligomerization domain-like receptor family pyrin domain containing 3 (NLRP3). NLRP3 inflammasome is a large molecular protein complex that acts as a platform for the maturation of proinflammatory cytokines, including Interleukin 1β (IL-1β) which plays an important role in the development of COPD and atherosclerosis. IL-1ß, together with tumor necrosis factor alpha (TNF-α) which is another cytokine important for COPD, participates in the development of emphysema [5]. TNF-α levels are increased in the blood serum of smokers compared to non-smokers, which indicates an important pro-inflammatory role of TNF-α [6].
Another pro-inflammatory mechanism where tobacco smoke participates, is the modification of lipid composition of plasma membranes of cells, including membranes of macrophages [7]. In this context, it should be noted that the function of membrane proteins, and of TLR4 as well, is related to the lipid composition of the plasma membranes of macrophages. These and other data improve the understanding of the significance of interrelations between the lipid transport mechanisms and the innate immune system in myeloid cells. ATP-binding cassette transporter A1 (ABCA1) is an important participant in these connection due to its role in the export of cholesterol from the cell, which influences the membrane location and activation of the TLR4 pathway [8]. Thus, smoking is an important mechanism that initiates and supports inflammation through several mechanisms.
The aim of this study to the molecular mechanisms associated with the effect of cigarette smoke on the signaling pathways of the innate immune system in monocytes of peripheral blood.
MATERIALS AND METHODS
Identification of inflammatory signaling pathways associated with smoking. Target proteins for studying the effects of CS were identified using the Comparative Toxicogenomics Database (CTD). The genes obtained from the database were analyzed by constructing a network of protein-protein interactions using a search tool for retrieval of the database of interacting genes STRING version 11.5, which were analyzed using Cytoscape version 3.9.1 and plug-ins Network Analyzer and cytoHubba using Maximal Clique Centrality topological analysis algorithm. The functional enrichment of the most significant genes was analyzed with ShinyGO and Enrichr tools.
Characteristics of patients. The study was conducted on monocytes of peripheral blood obtained from 10 healthy volunteers and 10 patients with COPD with the 'frequent exacerbator' phenotype and OALLA. The diagnosis of COPD was established in accordance with the criteria of the Global Initiative for Chronic Obstructive Lung Disease (GOLD) based on spirometric data. Obliterating atherosclerosis of the lower limb arteries (OALLA) was confirmed by the data of clinical and ultrasound examination (Accuvix V10 Medison device, South Korea) and corresponded to IIB stage in Pokrovsky–Fontaine classification, which was the criterion for inclusion in the study. The study included only male individuals in order to exclude the effect of gender differences of the response to exposure to CS extract on the results of the study
The study did not include patients with acute infectious diseases, renal and hepatic insufficiency, oncological diseases, bronchial asthma, patients permanently taking anti-inflammatory drugs, including systemic glucocorticosteroids.
Inclusion criteria in the healthy control group:
- absence of broncho-obstructive diseases;
- absence of clinically manifested forms of atherosclerosis of any location.
Demographic, clinical and functional characteristics of healthy individuals of the control group and of patients with COPD and OALLA are given in Table 1. Patients of both groups were comparable in age (p > 0.05). While healthy individuals had not smoked before, patients with COPD had smoking history of 37.6 (95% confidence interval (CI) 32.1; 43.1) pack-year and continued smoking at the time of inclusion in the study.
Table 1. Characteristics of Patients’ Groups Included in Study
Parameters | Healthy | Patients with Chronic Obstructive Pulmonary Disease and Obliterating Atherosclerosis of Lower Limb Arteries |
n | 10 | 10 |
Age, years | 62.6 (95% CI 60.07; 65.13) | 63.4 (95% CI 59.32; 67.48) |
Body mass index, kg/m2 | 27.02 (95% CI 25.67; 28.38) | 27.19 (95% CI 24.37; 30.01) |
Stage of chronic obstructive pulmonary disease | no | 3.0 (95% CI 2.42; 3.58) |
Pack-year | 0 | 37.6 (95% CI 32.1; 43.1) |
Forced expiratory volume for one second, % of rated value | 98.35 (95% CI 96.98; 99.71) | 44.23 (95% CI 4.33; 54.13) |
Exacerbations of COPD were considered enhancement of two or more main symptoms, such as shortness of breath, purulent sputum, sputum volume, or worsening of any one main symptom, the appearance of an additional symptom (sore throat, nasal discharge and/or nasal congestion, fever for no other reason, cough or wheezing) in ≥ 2 consecutive days. In accordance with the clinical recommendations on COPD approved by the Scientific and Practical Council of the Ministry of Health of the Russian Federation, frequent exacerbations are considered those that occur ≥ 2 per year. In the current study, patients with COPD and OALLA had ≥ 3 exacerbations per year (the average number of exacerbations was 3.1 (95% CI 2.96; 3.24) per year).
Clinical examination of patients and individuals from the control group included spirometry on a MIR SPIROLAB I spirometer (Medical International Research, Italy). At the same time, the rated values of forced expiratory volume for the first second (FEV1) were calculated, taking into account gender, age, height and ethnic group.
An obligatory condition for inclusion in the study was signing the voluntary informed consent to participate in the study. The study was approved by the Local Ethics Committee of Ryazan State Medical University (Protocol No. 12 of June 10, 2020).
Obtaining cells and procedure of the experiment. Monocytes were obtained from peripheral blood taken from the ulnar vein using sterile vacuum tubes (Elamed, Russia) containing ethylenediaminetetraacetic acid (EDTA). Monocytes were isolated by column-free immunomagnetic separation using EasySep (Stemcell Technologies Inc., Canada). For this purpose, the EasySep™ kit was used to isolate CD14 + CD16 monocytes (Stemcell Technologies Inc., Canada). The obtained monocytes were placed in sterile 96-well plates for cell cultures and incubated in a WS-189C CO2 incubator (World Science, Korea) at 100% humidity and 37°C for 24 hours in a DMEM medium (Dulbecco's Modified Eagle's Medium) with a high content of glucose (4500 mg/l) with the addition of L-glutamine (4 mM), 15% fetal bovine serum, 100 units/ml and 100 µg/ml of penicillin and streptomycin (Sigma-Aldrich, USA).
The first part of the study consisted in division of monocytes obtained from healthy volunteers, to 2 experimental groups, one of which was exposed to CS extract for 24 hours (a group of CS extract), and intact group of monocytes (control group) that was incubated without external influences (Figure 1).
Fig. 1. Design of study. Notes: ABCA1 — ATP binding cassette subfamily A member 1; TLR4 — Toll-like receptor 4; IL-1β — interleukin-1β.
The second part of the study consisted in obtaining monocytes from COPD patients with ‘frequent exacerbator’ phenotype and OALLA. The isolated monocytes were incubated for 24 hours without external influences.
Obtaining CS extract. The CS extract was obtained immediately before use. For this, the cigarette was installed in one end of a polymer tube, the other end of which was placed in a test tube with 5 ml of saline solution with phosphate buffer. From this test tube, air was pumped out through another polymer tube using a 150 ml syringe, which created a draft of CS into the test tube and the saline solution with phosphate buffer in it. If it was necessary to re-move the syringe piston, a roller clamp on a polymer tube was used. The solution obtained from 5 cigarettes was considered a 100% initial solution, which was proportionally diluted to obtain a 4% CS extract solution that was used in the cell experiment. The concentration of the CS extract was calculated by method of spectrophotometry with measuring the optical density at 320 nm wavelength (Smart Spec Plus, Bio-RAD, USA).
Enzyme immunoassay. The release of TNF-α and IL-1β by monocytes into the culture medium was quantified (pg/ml) using the appropriate ELISA kit in accordance with the instructions of the manufacturer (Cloud-Clone Corp., China). TLR4 and ABCA1 levels were determined (ng/ml) using ELISA kit following the manufacturer's protocol (Cloud-Clone Corp., China) in the membrane fraction of cell homogenate obtained using a high-speed centrifuge (Avanti JXN-30, Beckman Coulter, USA). For this, after the end of the exposure, the cells were removed from the wells of plates with trypsin-EDTA solution (0.25% trypsin and 0.2% EDTA, Sigma-Aldrich, USA), washed three times with phosphate buffer solution (BioRad, USA) and lysed in NP40 Cell Lysis Buffer Thermo (Thermo Fisher Scientific, USA). The resulting lysate was centrifuged at 5,000 g. The supernatant was used for analyses. The amount of protein in the samples was analyzed by Bradford method (Pierce Coomassie Plus (Bradford) Assay Kit, ThermoFisher, USA). All samples were examined on 96-well microplates according to the appropriate standards using a plate enzyme immunoassay reader Stat Fax-2100, USA.
Statistical processing and data visualization were carried out using MedCalc 20.1.4 and R software (version 4.2.2). The variables were compared using Student's t-test or Mann-Whitney or Kruskall–Wallis U-test (ANOVA) after evaluating the criteria in parametric tests. The critical significance level was considered at p < 0.05. The data are presented with 95% CI of the average value. For visualizing the data, the values — log 10 of the obtained values in the respective units of measurement were used.
Fig. 2. Protein-protein interaction networks for genes associated with the effect of tobacco smoke.
RESULTS
Identification of inflammatory signaling pathways associated with smoking. To identify the inflammatory signaling pathways associated with smoking, genes associated with tobacco smoke, were obtained from CTD. One thousand and seventy five genes have been identified with the interaction coefficient ≥ 5. On the basis of these data, required necessary interaction index 0.4.
The obtained networks have been analyzed using Cytoscape ver. 3.9.1; in result, 20 most significant genes were identified (Figure 3). Then, their functional enrichment in the biological processes and pathways was analyzed according to Kyoto Encyclopedia of Genes and Genomes, KEGG (Figure 4).
Fig. 3. The identified most significant genes associated with the effect of tobacco smoke. Note: the important genes are ranked in the following way: the most important genes are marked red, less important — orange, least important — yellow.
Fig. 4. Identified biological processes (BPs) and signaling pathways by Kyoto Encyclopedia of Genes and Genomes (KEGG). Notes: TNF — tumor necrosis factor, HIF-1 — hypoxia-inducible factor-1, NF kappa B — nuclear factor kappa B, NOD — nucleotide-binding oligomerization domain.
As follows from Figure 4, the most significant genes associated with smoking, were involved in the following biological processes:
- process of nitric oxide biosynthesis (GO:0006809);
- cell response to lipopolysaccharide (GO:0032496);
- positive regulation of cell migration (GO:0030335);
- cytokine-mediated signaling pathway (GO:0019221);
- migration of leukocytes (GO:0050900);
- angiogenesis (GO:0001525);
- inflammatory response (GO:0006954);
- cell response to cytokine stimulus (GO:0071345);
- response to lipids (GO:0033993);
- cell response to oxygen-containing compounds (GO:1901701);
- cell response to chemical stimulus (GO:0070887);
- processes of immune system (GO:0002376).
Here, the most significant KEGG pathways were:
- signaling pathway of toll-like receptors (hsa04620);
- signaling pathway of tumor necrosis factor (TNF) (hsa04668);
- signaling pathway of hypoxia-inducible factor-1 (HIF-1) (hsa04066);
- signaling pathway of NF-kappa B (hsa04064);
- fluid shear stress and atherosclerosis (hsa05418);
- lipids and atherosclerosis (hsa05417);
- interaction of cytokines and cytokine receptors (hsa04060);
- signaling pathway of NOD (nucleotide-binding oligomerization domain)-like receptors (hsa04621).
These data evidence the effect of tobacco smoke on the immune processes and lipid metabolism, which is important for COPD and its comorbidity with atherosclerosis.
Then, using the data obtained from Azimuth Cell Types 2021 library in Enrichr, the cell types associated with the most significant genes were identified. Among the Leiden clusters presented in Figure 5, characterizing various cell types, the most significant cells associated with the identified genes were CD14 + classic monocytes (Figure 5).
Fig. 5. Diagram with cell types associated with identified genes. Note: Each point on the graph represents a term in the library. The values of the term frequency and inverse document frequency, (TF-IDF) were calculated for a set of genes corresponding to each term, and UMAP (uniform manifold approximation and projection) was applied to the obtained values. The terms are constructed on the basis of the first two UMAP dimensions. The terms are colored in colors of automatically defined clusters calculated using Leiden algorithm applied to TF-IDF values. Ten Leiden clusters are highlighted in color according to the entries in the Azimuth Cell Types 2021 library. The significantly enriched terms are shown with darker color and larger size.
Thus, tobacco smoke is associated with the activation of many signaling pathways, among which the pathways of innate immunity are import. These data permit to include TLR4, TNF, IL-1ß and ABCA1 for further analysis in classic (CD14+) monocytes.
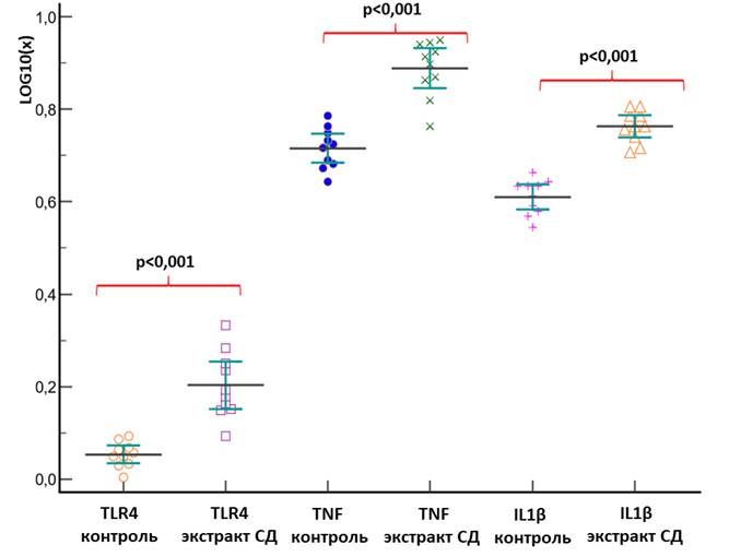
The effect of CS extract on proinflammatory signaling pathways. Comparative analysis of TLR4 levels in the membrane fraction of monocytes showed that the effect of CS extract on monocytes promoted LPS-independent expression of TLR4 (fold change = 1.4271, p = 0.00014) in plasma membranes (Figure 6). This is confirmed by information that smoking can stimulate the activation of the proinflammatory pathway of TLR4 receptor in monocytes/macrophages. Comparison of TLR4 levels in monocyte membranes of patients with COPD showed elevated levels of TLR4 in plasma membranes of monocytes in COPD patients with ‘frequent exacerbator’ phenotype in combination with OALLA as compared to intact monocytes of the control group (fold change = 1.3150, p < 0.005). The data on LPS-independent activation of TLR4 in smoking are of clinical interest, since they may give understanding of some factors of a complex chain of processes linking COPD and atherosclerosis. In this context, the data on increased membrane levels of TLR4 protein in monocytes in COPD with ‘frequent exacerbator’ phenotype and OALLA may evidence a higher level of systemic inflammation in these patients compared with healthy control.
Tobacco smoke has been reported to activate a number of intracellular signaling pathways associated with production of proinflammatory cytokines. Our analysis showed that the effect of CS extract on monocytes increased production of TNF-α (fold change = 1.4942, p = 0.0066) and IL-1ß (fold change = 1.42, p < 0.0001), determined in the supernatant of monocytes (Figure 6).
Fig. 6. A graph of changes of TLR4, TNF and IL1β before and after exposure to cigarette smoke extract. Notes: control — control group, CS extract — group of exposure to CS extract; data are given in the form of — log10 of values; CS — cigarette smoke, TLR4 — toll-like receptor 4, TNF-α — tumor necrosis factor alpha, IL-1β — Interleukin-1β.
These data show an important role of CS promoting activation of signaling TLR pathway and production of TNF-α and IL-1β proinflammatory cytokines involved in the pathogenesis of both COPD and atherosclerosis.
The effect of CS extract on the membrane levels of ABCA1 and TLR4. Further analysis showed that exposure to CS led to a decrease in the membrane levels of ABCA1 transporter compared with the control (fold change = -1.7582, p < 0.001) (Figure 7). Lower levels of ABCA1 were also shown in the plasma membranes of macrophages in COPD patients with the ‘frequent exacerbator’ phenotype in combination with OALLA compared with the control group (fold change = -1.8532, p < 0.005).
Fig. 7. A graph of changes in the relative amounts of АВСА1 protein and TLR4 in plasma membranes of monocytes in the compared groups. Notes: CS extract – a group exposed to CS extract, COPD – group of COPD with “frequent exacerbator” phenotype in combination with OALLA; OALLA – obliterating atherosclerosis of lower limb arteries, CS –cigarette smoke, COPD – chronic obstructive pulmonary disease, ABCA1 — ATP binding cassette subfamily A member 1, TLR4 — toll-like receptor 4.
The results obtained correspond to the data on a decrease in the amount of ABCA1 protein in macrophages of smokers compared to non-smokers [9].
DISCUSSION
In this study, we evaluated the molecular mechanisms associated with the effect of CS on the signaling pathways of the innate immune system in peripheral blood monocytes. At the first stage, signaling pathways and cytokines associated with the effects of CS were identified by bioinformatic analysis methods. Then, in in vitro experiment, the production of TNF-α and IL-1β by peripheral blood monocytes isolated by immunomagnetic separation, was evaluated. The study included monocytes of healthy volunteers divided into two groups: one group was exposed to a freshly prepared 4% solution of CS extract for 24 hours, and the second group represented intact monocytes that were incubated for 24 hours. In addition, the study included peripheral blood monocytes of patients with COPD with ‘frequent exacerbator’ phenotype and OAANK, with evaluation of the quantity of ABCA1 and TLR4 in their plasma membranes.
It was found by us that the effect of CS is associated with the activation of pro-inflammatory signaling pathways and a disorder in lipid metabolism. These pro-inflammatory signaling pathways included the Toll-like receptor signaling pathway, the TNF signaling pathway, the NF-kappa B signaling pathway, and the NOD-like receptor signaling pathway. It has also been shown that key genes involved in many of these important biological processes were associated with classic monocytes.
In in vitro experiment, we found that stimulation of macrophages with CS extract leads to enhanced release of TNF-α and IL-1β into the culture medium, increased membrane levels of TLR4 and decreased membrane levels of ABCA1. With this, higher levels of TLR4 and lower levels of ABCA1 were found in the membrane fraction of peripheral blood monocytes of COPD patients with the 'frequent exacerbator' phenotype and OALLA compared to the control.
The obtained results supplement the information that smoking can promote activation and support of inflammation through the TLR4 signaling pathway [10].
It is known that CS contains a large number of different chemicals and is a source of a large number of free radicals. Exposure to CS causes oxidative stress and affects the function of the innate immune system. Acute exposure to CS induces an inflammatory reaction, promotes the recruitment of neutrophils and macrophages into the airways [11, 12]. Monocytes and macrophages differentiating from them play an important role in the pathogenesis of smoking-related diseases, such as COPD, and are also involved in the development of atherosclerotic cardiovascular diseases [13, 14]. Here, macrophages are involved in all stages of the progression of atherosclerotic lesions.
Previous studies have shown that the acute reaction of monocytes to CS is characterized by an inflammatory reaction involving the TLR signaling pathway [8, 15, 16]. Therefore, we assumed that CS would be perceived by monocytes as a pro-inflammatory stimulus, with the result of enhanced production of cytokines such as TNF-α and IL-1ß. TNF-α is known to be a pro-inflammatory cytokine, which is considered a key mediator of inflammation playing an important role both in the immune defense of the body and in the pathogenesis of a number of chronic diseases [17, 18]. It is believed that elevated TNF-α levels may be associated with sarcopenia and muscle weakness in patients with COPD [19]. It was previously shown that serum TNF-α levels were significantly higher in the group of smokers compared to non-smokers and were associated with the number of cigarettes smoked per day [6]. In vitro studies have shown that CS condensate stimulates monocytes to express TNF-α [15].
IL-1ß, which is a typical cytokine of innate immunity, is involved in the initiation and support of inflammation and is a key mediator of neutrophilic inflammation of the airways in COPD [20, 21]. It has been shown that IL-1ß levels are significantly elevated in epithelial cells of the small airways in COPD. Besides, the levels of IL-1ß in the bronchoalveolar lavage fluid are elevated in smokers compared to non-smokers [22]. It should be noted that IL-1ß is also an important participant in the development of atherosclerosis, where it promotes enhanced expression of adhesion factors and chemokines.
The interconnections between the lipid transport function of ABCA1 and the innate immune system are of growing interest [8]. A decrease in the expression and functional activity of ABCA1 leads to activation of the mechanisms of the innate immune system through the overload of macrophages with cholesterol, and to alteration of the lateral lipid organization of plasma membrane and, accordingly, of the function of receptors localized in it, such as TLR4. Previously, decreased levels of ABCA1 protein in the macrophages were shown in patients with atherosclerosis, which can lead to impairment of their lipid transport function [23]. Besides, previous studies have shown lower level of ABCA1 expression in macrophages in smokers (both with and without coronary heart disease) than in non-smokers [9]. These results show that prolonged cigarette smoking disrupts the outflow of cholesterol from macrophages mediated by ABCA1. This is of great clinical significance, showing connection with the signaling pathway of TLR4, which is one of the most well-known receptors of the innate immune system.
The expression levels of TLR4 mRNA in peripheral blood mononuclear cells were higher in smokers than in non-smokers. However, these levels decreased in 2 months after smoking cessation [15]. Besides, stimulation of macrophages originating from human monocytes on exposure to the medium containing CS extract, leads to activation of NF kappa B via the TLR4 pathway [4]. Besides, TLR4 mediates the production of interleukin 8 in macrophages in smoking, which ensures the recruitment of new immune cells [4].
The data obtained in the current study improve understanding of the role of smoking in the activation of immune mechanisms with participation of peripheral blood monocytes, which is of great clinical importance. These data permit to better understand the mechanisms of comorbid relations between COPD and atherosclerosis in smoking.
To note, the current study has some limitations, such as a small sample of patients, as well as limited aims for analysis. Promising directions for future research are evaluation of the mechanisms of involvement of the innate immune system in clinically heterogenous course of COPD, and also relationships of these mechanisms with severity of COPD and OALLA. Besides, of interest are the data of alterations of the immune mechanisms after cessation of smoking. Evaluation of the clinical significance of the data obtained also seems a promising direction for future studies. Thus, the present study permitted to identify the molecular mechanisms of CS influence on the signaling pathways of the innate immune system in monocytes of peripheral blood involved in the pathogenesis of COPD and OALLA, such as the LR4 receptor pathway, IL-1β and TNF-α, as well as АВСА1 which plays an important role in the interconnections between metabolism and innate immunity.
CONCLUSION
Thus, cigarette smoke participates in the activation of pro-inflammatory immune mechanisms, which may play a role in development of chronic obstructive pulmonary disease and atherosclerosis. The data obtained supplement the information about cigarette smoking as an important risk factor of chronic diseases.
ADDITIONALLY
Funding. This study was not supported by any external sources of funding.
Conflict of interests. The authors declare no conflicts of interests.
Contribution of the authors: S. N. Kotlyarov ― concept and design of study, conducting the main stages of the experiment, data analysis and interpretation, writing the text; I. A. Suchkov ― concept of study, editing; O. M. Uryas’yev, E. N. Yakusheva ― editing; A. V. Shchul’kin ― conducting and evaluating biochemical analyses; A. A. Kotlyarova ― conducting the main stages of the experiment, data analysis and interpretation. The authors confirm the correspondence of their authorship to the ICMJE International Criteria. All authors made a substantial contribution to the conception of the work, acquisition, analysis, interpretation of data for the work, drafting and revising the work, final approval of the version to be published and agree to be accountable for all aspects of the work.
About the authors
Stanislav N. Kotlyarov
Ryazan State Medical University
Author for correspondence.
Email: SKMR1@yandex.ru
ORCID iD: 0000-0002-7083-2692
SPIN-code: 3341-9391
MD, Cand Sci. (Med.), Associate Professor
Russian Federation, RyazanIgor′ A. Suchkov
Ryazan State Medical University
Email: suchkov_med@mail.ru
ORCID iD: 0000-0002-1292-5452
SPIN-code: 6473-8662
MD, Dr. Sci. (Med.), Professor
Russian Federation, RyazanOleg M. Uryas'yev
Ryazan State Medical University
Email: uryasev08@yandex.ru
ORCID iD: 0000-0001-8693-4696
SPIN-code: 7903-4609
MD, Dr. Sci. (Med.), Professor
Russian Federation, RyazanElena N. Yakusheva
Ryazan State Medical University
Email: e.yakusheva@rzgmu.ru
ORCID iD: 0000-0001-6887-4888
SPIN-code: 2865-3080
MD, Dr. Sci. (Med.), Professor
Russian Federation, RyazanAleksey V. Shchulkin
Ryazan State Medical University
Email: alekseyshulkin@rambler.ru
ORCID iD: 0000-0003-1688-0017
SPIN-code: 2754-1702
MD, Dr. Sci. (Med.), Associate Professor
Russian Federation, RyazanAnna A. Kotlyarova
Ryazan State Medical University
Email: kaa.rz@yandex.ru
ORCID iD: 0000-0002-0676-7558
SPIN-code: 9353-0139
ResearcherId: K-7882-2018
Cand Sci. (Biol.)
Russian Federation, RyazanReferences
- Brassington K, Selemidis S, Bozinovski S, et al. Chronic obstructive pulmonary disease and atherosclerosis: common mechanisms and novel therapeutics. Clin Sci (Lond). 2022;136(6):405–23. doi: 10.1042/CS20210835
- Yang DC, Chen C–H. Cigarette Smoking–Mediated Macrophage Reprogramming: Mechanistic Insights and Therapeutic Implications. J Nat Sci. 2018;4(11):e539.
- Mills CD, Kincaid K, Alt JM, et al. M-1/M-2 macrophages and the Th1/Th2 paradigm. J Immunol. 2000;164(12):6166–73. doi: 10.4049/jimmunol.164.12.6166
- Karimi K, Sarir H, Mortaz E, et al. Toll-like receptor-4 mediates cigarette smoke-induced cytokine production by human macrophages. Respir Res. 2006;7(1):66. doi: 10.1186/1465-9921-7-66
- Churg A, Zhou S, Wang X, et al. The role of interleukin-1beta in murine cigarette smoke-induced emphysema and small airway remodeling. Am J Respir Cell Mol Biol. 2009;40(4):482–90. doi: 10.1165/rcmb.2008-0038OC
- Petrescu F, Voican SC, Silosi I. Tumor necrosis factor-α serum levels in healthy smokers and nonsmokers. Int J Chron Obstruct Pulmon Dis. 2010;5:217–22. doi: 10.2147/copd.s8330
- Hannan SE, Harris JO, Sheridan NP, et al. Cigarette smoke alters plasma membrane fluidity of rat alveolar macrophages. Am Rev Respir Dis. 1989;140(6):1668–73. doi: 10.1164/ajrccm/140.6.1668
- Sonett J, Goldklang M, Sklepkiewicz P, et al. A critical role for ABC transporters in persistent lung inflammation in the development of emphysema after smoke exposure. FASEB J. 2018; 32(12):fj201701381. doi: 10.1096/fj.201701381
- Song W, Wang W, Dou L–Y, et al. The implication of cigarette smoking and cessation on macrophage cholesterol efflux in coronary artery disease patients. J Lipid Res. 2015;56(3):682–91. doi: 10.1194/jlr.P055491
- Kotlyarov S. Analysis of differentially expressed genes and signaling pathways involved in atherosclerosis and chronic obstructive pulmonary disease. Biomol Concepts. 2022;13(1):34–54. doi: 10.1515/bmc-2022-0001
- Stämpfli MR, Anderson GP. How cigarette smoke skews immune responses to promote infection, lung disease and cancer. Nat Rev Immunol. 2009;9(5):377–84. doi: 10.1038/nri2530
- Lugg ST, Scott A, Parekh D, et al. Cigarette smoke exposure and alveolar macrophages: mechanisms for lung disease. Thorax. 2022;77(1):94–101. doi: 10.1136/thoraxjnl-2020-216296
- Shustova SA, Miroshkina TA. Protective mechanisms of lungs. I. P. Pavlov Russian Medical Biological Herald. 2020;28(4):567–77. (In Russ). doi: 10.23888/PAVLOVJ2020284567-577
- Flynn MC, Pernes G, Lee MKS, et al. Monocytes, Macrophages, and Metabolic Disease in Atherosclerosis. Front Pharmacol. 2019;10:666. doi: 10.3389/fphar.2019.00666
- Yeh HY, Hung SH, Chen SC, et al. The Expression of Toll-Like Receptor 4 mRNA in PBMCs Is Upregulated in Smokers and Decreases Upon Smoking Cessation. Front Immunol. 2021;12:667460. doi: 10.3389/fimmu.2021.667460
- Demirjian L, Abboud RT, Li H, et al. Acute effect of cigarette smoke on TNF-α release by macrophages mediated through the erk1/2 pathway. Biochim Biophys Acta. 2006;1762(6):592–7. doi: 10.1016/j.bbadis.2006.04.004
- Budnevsky AV, Ovsyannikov ES, Maltseva YuN, et al. Peculiarities of course of chronic obstructive pulmonary disease with underlying metabolic syndrome. Nauka Molodykh (Eruditio Juvenium). 2020; 8(2):164–71. (In Russ). doi: 10.23888/HMJ202082164-171
- Yao Y, Zhou J, Diao X, et al. Association between tumor necrosis factor-α and chronic obstructive pulmonary disease: a systematic review and meta-analysis. Ther Adv Respir Dis. 2019; 13:1753466619866096. doi: 10.1177/1753466619866096
- Ma K, Huang F, Qiao R, et al. Pathogenesis of sarcopenia in chronic obstructive pulmonary disease. Front Physiol. 2022;13:850964. doi: 10.3389/fphys.2022.850964
- Zou Y, Chen X, Liu J, et al. Serum IL-1β and IL-17 levels in patients with COPD: associations with clinical parameters. Int J Chron Obstruct Pulmon Dis. 2017;12:1247–54. doi: 10.2147/COPD.S131877
- Osei ET, Brandsma C–A, Timens W, et al. Current perspectives on the role of interleukin-1 signalling in the pathogenesis of asthma and COPD. Eur Respir J. 2020;55(2):1900563. doi: 10.1183/13993003.00563-2019
- Colarusso C, Terlizzi M, Molino A, et al. Role of the inflammasome in chronic obstructive pulmonary disease (COPD). Oncotarget. 2017;8(47):81813–24. doi: 10.18632/oncotarget.17850
- Demina EP, Miroshnikova VV, Schwarzman AL. Role of the ABC transporters A1 and G1, key reverse cholesterol transport proteins, in atherosclerosis. Mol Biol (Mosk). 2016;50(2):223–30. (In Russ). doi: 10.7868/S002689841602004X
Supplementary files











