Prognostic Significance of Cardiac Fat Deposits in Patients with Coronary Heart Disease
- Authors: Uryasyev O.M.1, Solov’yeva A.V.1, Cheskidov A.V.1, Filimonova A.A.1, Nikiforova E.А.1
-
Affiliations:
- Ryazan State Medical University
- Issue: Vol 31, No 2 (2023)
- Pages: 221-230
- Section: Original study
- Submitted: 10.04.2023
- Accepted: 19.04.2023
- Published: 16.07.2023
- URL: https://journals.eco-vector.com/pavlovj/article/view/322796
- DOI: https://doi.org/10.17816/PAVLOVJ322796
- ID: 322796
Cite item
Abstract
INTRODUCTION: Obesity is one of the leading risk factors for the development of cardiovascular diseases. At present, of the greatest scientific interest are local deposits of adipose tissue as a possible morphological substrate for the development of this group of diseases. Along with the traditional risk factors, one more risk factor for a poor prognosis of cardiovascular disease can be a change in the thickness of the epicardial fat (EF) and of the interatrial septum (IAS) in case of its lipomatosis.
AIM: To study the significance of EF and of IAS thickness as markers of cardiovascular risk in coronary heart disease.
MATERIALS AND METHODS: The study involved 116 individuals with coronary heart disease (55 men (47%) and 61 women (53%), mean age — 68 [61; 72] years). Thickness of EF and IAS was evaluated by the method of echocardiography. The frequency of poor outcomes was evaluated using Kaplan–Meier method, ROC-curve analysis. The differences were considered statistically significant at p < 0.05.
RESULTS: In the group of patients with unstable angina, the threshold value of IAS thickness was 0.7 cm (p < 0.001), and of EF thickness — 0.8 cm (÷2 = 10.89, p = 0.001), in the group of patients with myocardial infarction — 0.7 cm (p < 0.001) and 0.8 cm (p < 0.001), respectively. In the group of patient with unstable angina, IAS thickness > 0.7 cm (÷2 = 10.3, p = 0.0013) and EF thickness > 0.8 cm (÷2 = 10.89, p = 0.001) demonstrate a poor prognosis in comparison with the parameters below the threshold values. In the group of patients with myocardial infarction, IAS thickness > 0.7 cm (÷2 = 8.4, p = 0.005) and EF > 0.8 cm (÷2 = 9.66, p = 0.0019) demonstrate poor prognosis in comparison with the parameters below the threshold values.
CONCLUSION: In unstable angina and myocardial infarction, the value of IAS thickness > 0.7 cm (p = 0.0013 and p = 0.005, respectively) and of EF thickness > 0.8 cm (p = 0.001 and p = 0.0019, respectively) present a poor prognosis compared to lower values. It is recommended that EF and IAS thickness be determined in echocardiography as an additional marker for a poor prognosis in coronary heart disease.
Full Text
LIST OF ABBREVIATIONS
AF — atrial fibrillation
AH — arterial hypertension
APD — anteroposterior dimension
AUC — area under curve
BMI — body mass index
CEP — combined end point
CHD — coronary heart disease
CVDs — cardiovascular diseases
EchoCG — echocardiography
EDD — end diastolic dimension
EF — epicardial fat
EjF — ejection fraction
ESD — end systolic dimension
HC — hip circumference
IAS — interatrial septum
IVRT — isovolumetric relaxation time
IVS — interventricular septum
LA — left atrium
LV — left ventricle
LVPW — left ventricle posterior wall
RA — right atrium
RV — right ventricle
WC — waist circumference
INTRODUCTION
Cardiovascular diseases (CVDs) are the leading cause of death in economically developed and many economically developing countries [1, 2]. One of the leading factors of cardiovascular risk is obesity a chronic disease associated with excessive accumulation of adipose tissue in an organism [3, 4]. The results of scientific studies of the last decade increasingly demonstrate identification of metabolic phenotypes of obesity, of the greatest interest being metabolically unhealthy phenotype with predominance of deposition of visceral fat [5, 6]. In this context, it seems relevant to search for quantifiable specific markers and/or variants of metabolically unhealthy phenotype. One of the markers may be excessive amount of visceral cardiac fatty tissue; among cardiac fat deposits of highest clinical interest are epicardial fat (EF) and lipomatosis of the interatrial septum (IAS) [7, 8].
EF is the accumulation of adipose tissue between the myocardium and the visceral pericardial leaf. In the domestic and foreign literature of recent years, a sufficient amount of data have been accumulated confirming the role of epicardial fat in the initiation and progression of cardiovascular pathology. Thus, it has been established that increase in the thickness of the EF to more than 0.4 cm, determined by echocardiography (EchoCG), can be used in evaluating cardiovascular risk in patients with CVDs and is associated with abdominal obesity in young people [7–9]. A systematic review, including 12 studies and 1983 patients, was devoted to the study of the relationship between increase in the thickness of the EF and elevated levels of the cerebral natriuretic peptide/N-terminal fragment of the precursor of the cerebral natriuretic peptide in individuals with metabolic diseases. In this study, a statistically significant relationship was found between the thickness of the EF and elevated levels of the cerebral natriuretic peptide/N-terminal fragment of the precursor of the cerebral natriuretic peptide, and the prospects for a noninvasive method of measuring the EF thickness in the diagnosis and prognosis of heart failure have been determined [10].
In a number of works of foreign authors it has been shown that increase in the IAS thickness is associated with accumulation of fat tissue in the IAS at the level of oval fossa of more than 10 mm–20 mm thickness in transverse dimension [11, 12]. Histologically, this thickening is the result of fatty dystrophy of cardiac myocytes [12–14]. Despite the fact that this cardiac fat deposit is less studied than EF, some works attempted to study the relationship of IAS lipomatosis with CVDs.
Initially, IAS lipomatosis was described in literature on an example of separate clinical cases. Lipomatous hypertrophy of the IAS was studied on autopsy, but later on works appeared that demonstrated the interrelation of coronary atherosclerosis with fatty deposits in the IAS, and a strong correlation relationship was established between lipomatosis of the IAS and development of atrial fibrillation (AF) in patients above 65 [15, 16].
Thus, in the population-based study Stroke Prevention: Assessment of Risk in a Community, clinical and laboratory correlates of IAS thickening were studied in 384 patients [17]. According to the data obtained, risk factors for the development of atherosclerosis (smoking, arterial hypertension,) had a weak association with the IAS thickening, no relationship was found between thickening of the IAS and atherosclerotic vascular diseases (coronary artery disease (CHD), cerebrovascular heart disease, aortic atherosclerosis), which shows the need to continue research in this direction.
Based on the above, we think it necessary to conduct studies for determination of the thickness of EF and IAS as independent prognostic factors of cardiovascular risk in patients with CVDs.
The aim of this study to study the significance of thickness of the epicardial fat and thickness of the interatrial septum as markers of cardiovascular risk in coronary heart disease.
MATERIALS AND METHODS
The clinical data of patients hospitalized in the emergency cardiology department of the City Clinical Hospital of Emergency Medical Care (Ryazan) in the period from 01/03/2022 to 31/05/2022 with diagnoses: unstable angina or myocardial infarction, were analyzed.
The study was approved by Local Ethics Committee of Ryazan State Medical University (Protocol No. 3 of 2020, November 11).
Inclusion criteria: verified diagnoses of myocardial infarction and unstable angina; signed Informed consent.
Exclusion criteria:
- heart defects with considerable hemodynamic disorders;
- cardiomyopathies;
- acute renal failure;
- hepatocellular failure;
- pronounced respiratory failure;
- current oncological disease;
- pregnancy;
- severe mental disorder;
- non-optimal visualization in EchoCG (‘echo-window’).
In total, 116 patients were included (55 men (47%) and 61 women (53%), mean age 68 [61; 72] years). Fifty one percent of patients (n = 59) were diagnosed with unstable angina (group 1), 49% (n = 57) with myocardial infarction (group 2). With this, all patients had the diagnosis of AH and received treatment according to the current Clinical recommendations.
The study was performed in two stages. In the period of hospital treatment (first stage), anthropometric examination, laboratory analyses of lipid and carbohydrate metabolism, EchoCG were performed.
The anthropometric examination included the measurement of height, weight, waist circumference (WC), hip circumference (HC), determination of the WC/HC ratio, calculation of body mass index (BMI). Abdominal obesity was diagnosed with WC > 94 cm in men and > 87 cm in women, and was detected in 72% of patients, of which 45% were men (112 [109; 117] cm) and 55% were women (110 [106; 116] cm). There were no statistically significant differences in gender between the selected groups. The WC/HC ratio in men was 1.06 ± 0.16, in women — 0.96 ± 0.07. According to BMI, the prevalence of I degree obesity was observed: 23.2% of patients had normal body weight, 16% were overweight, 46.8% had I degree obesity, 7% had II degree and III degree obesity.
Type 2 diabetes mellitus was present in 9.3% of patients. Fasting blood glucose level was 6.4 [4.9; 6.4] mmol/l, total cholesterol — 5.0 [4.1; 6.1] mmol/l, triglycerides — 2.2 [1.1; 2.4] mmol/l in men and 1.6 [0.95; 1.8] mmol/l in women, low density lipo-proteins — 3.89 [3.2; 4.7] mmol/l.
EchoCG was performed in all patients using HS60-RUS ultrasound diagnostic medical system (Korea, SAMSUNG MEDISON CO., LTD). The thickness of the IAS was measured in atrial diastole along the periphery of the fossa ovalis from subcostal access. All examinations were performed by one specialist. EF thickness was measured in diastole in parasternal position along the long and short axes of the left ventricle (LV). EchoEG parameters in patients with myocardial infarction were evaluated before discharge from hospital (Table 1). In EchoCG data, no statistically significant differences were found between the patients with unstable angina and myocardial infarction.
Тable 1. Echocardiography Data Me [Q1; Q3] of Patients before Discharge from Hospital
Parameters | Unstable Angina | Myocardial Infarction Me [Q1; Q3] | p |
EDD LV, cm | 5.4 [5.1; 5.7] | 5.4 [5.1; 5.6] | 0.895 |
ESD LV, cm | 3.7 [3.4; 3.8] | 3.7 [3.6; 4.2] | 0.756 |
IVS, cm | 1.1 [1.0; 1.2] | 1.1 [1.1; 1.3] | 0.129 |
LVPW, cm | 1.15 [1.1; 1.2] | 1.1 [0.95; 1.2] | 0.087 |
IAS, cm | 0.6 [0.5; 0.7] | 0.7 [0.5; 0.8] | 0.701 |
EF, cm | 0.7 [0.6; 0.8] | 0.6 [0.5; 0.9] | 0.732 |
Mass of myocardium of LV, g | 341 [305; 397] | 309 [290; 363] | 0.061 |
LVEjF, % | 60.5 [57; 62] | 52 [46.5; 59] | 0.398 |
LA, cm | 4.2 [3.9; 4.4] × 5.1 [5.0; 5.5] | 4.4 [4.1; 4.7] × 5.6 [5.3; 6.0] | 0.649 |
RA, cm | 3.8 [3.7; 4.0] × 4.8 [4.7; 4.9] | 4.0 [3.8; 4.3] × 5.1 [4.7; 5.5] | 0.382 и 0.450 |
APD RV, cm | 2.6 [2.4; 2.8] | 2.7 [2.5; 2.9] | 0.196 |
IVRT, msec | 112 [95; 123] | 137 [123; 146] | 0.911 |
Notes: EDD — end diastolic dimension, ESD — end systolic dimension, LV — left ventricle, LA — left atrium, IVS — interventricular septum, LVPW — left ventricle posterior wall, IAS — interatrial septum, APD — anteroposterior dimension; RV — right ventricle, RA — right atrium, LVEjF — left ventricular ejection fraction, EF — epicardial fat, IVRT — isovolumetric relaxation time
The second stage included record of combined end point (CEP) from the moment of discharge of the patient to the date of the last contact with him (follow-up period was 9 months, Me [Q1; Q3] — 9 [6; 9] months).
CEP included:
- deaths from unspecified causes;
- death from CVD;
- non-fatal myocardial infarction;
- rebound of angina symptoms;
- newly identified paroxysm of AF;
- non-fatal stroke.
Contact with patients was through a telephone survey which included acquisition of information of the current condition, the fact of a new hospitalization, its cause and outcome, directly from the patient and/or his relative in 3, 6 and 9 months after discharge from hospital. In case of patient’s death, its cause was identified on the basis of the information obtained from the relatives. If it was impossible to obtain such information, CEP was considered to be death from unspecified causes.
Statistical data processing was performed using Statistical Software program, version 20.104 (MedCalc Software Ltd, Belgium). The character of the data distribution was evaluated using Kolmogorov–Smirnov test. In case of a normal distribution of the attribute, the data were presented as a mean value (M) and a square deviation (SD), nonparametric parameters were represented as a median and an interquartile interval (Me [Q1; Q3]). The interrelation of the two quantitative attributes was evaluated using Spearman correlation analysis (r). The threshold value of the studied attribute was determined using ROC analysis. The frequency of CEPs in the groups was compared using ÷2. An unfavorable prognosis was evaluated using Kaplan–Meyer method. The relative risk of development of the outcome was evaluated using multivariate Cox regression analysis. The differences were considered statistically significant at p < 0.05.
RESULTS
The structure of CEP during the follow-up period is presented in Table 2 (non-fatal stroke is an atherothrombotic ischemic stroke in all cases). The rate of record of adverse prognostic events in the control follow-up periods was the following: in 3 months after discharge from hospital 5 CEPs were recorded, in 6 months — 22 CEPs and in 9 months — 6 CEPs. Thus, in total 33 CEPs were recorded.
Table 2. Structure of Combined End Point by the End of the 9th Month of Follow-up in Study Sample of Patients
Components of Combined End Point | Group of Patients with Myocardial Infarction | Group of Patients with Unstable Angina | In Total |
n | 14 | 19 | 33 |
Death from CVDs, n (%) | 5 (36) | 3 (16) | 8 (24) |
Non-fatal myocardial infarction, n (%) | 0 | 5 (26) | 5 (15) |
Rebound of anginal symptoms, n (%) | 3 (21) | 8 (42) | 11 (33) |
Newly identified AF paroxysm, n (%) | 6 (43) | 1 (5) | 7 (21) |
Non-fatal stroke, n (%) | 0 | 2 (11) | 2 (6) |
Notes: CVDs — cardiovascular diseases, AF — atrial fibrillation
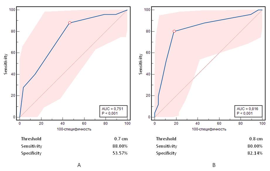
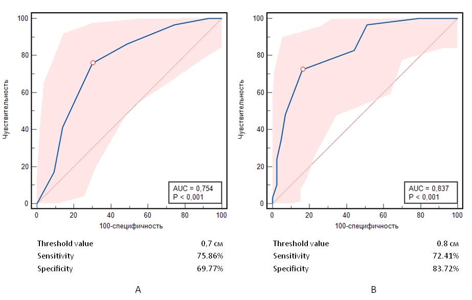
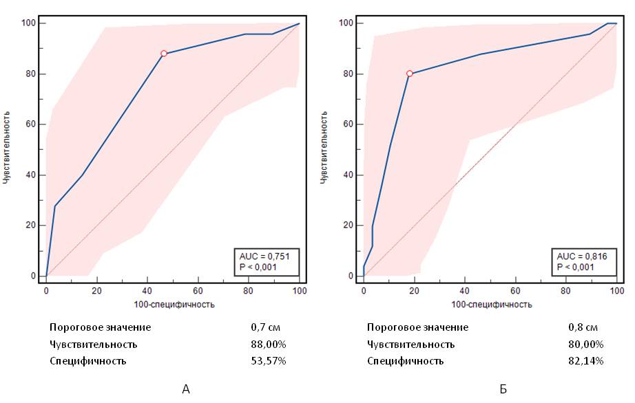
The threshold values of thickness of EF and of IAS that influence the development of CEP, were determined in ROC-analysis (Figure 1). The following threshold values were obtained: IAS > 0.7 cm (sensitivity — 71.79%, specificity — 61.54%; the area under curve, AUC) — 0.707, p < 0.001); EF > 0.8 cm (sensitivity — 74.36%, specificity — 79.49%; AUC — 0.793, p < 0.001). In a similar way, threshold values of the IAS and EF thickness in the group of patients with unstable angina and in the group of patients with myocardial infarction (Figure 2) were determined (Figure 3). The threshold thickness of the IAS in the group of patients with instable angina was 0.7 cm, the threshold thickness of the EF — 0.8 cm; in the group of patients with myocardial infarction — 0.7 and 0.8 cm, respectively.
Fig. 1. ROC-curves of thickness (confidence interval 95%) of the interatrial septum (А) and of the epicardial fat (B) in the study sample of patients.
Note: AUC — area under curve.
Fig. 2. ROC-curves of threshold (confidence interval 95%) thickness of the interatrial septum (А) and of the epicardial fat (B) in the group of patients with unstable angina.
Note: AUC — area under curve.
Fig. 3. ROC-curves (confidence interval 95%) of thickness of the interatrial septum (А) and of the epicardial fat (B) in the group of patients with myocardial infarction.
Note: AUC — area under curve.
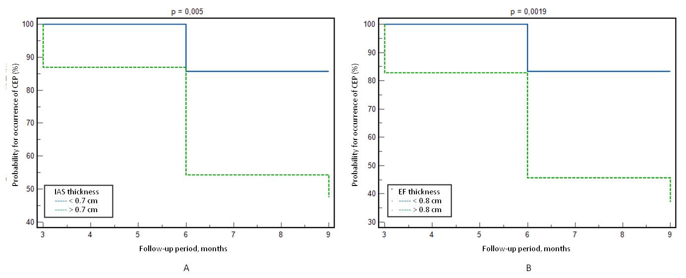
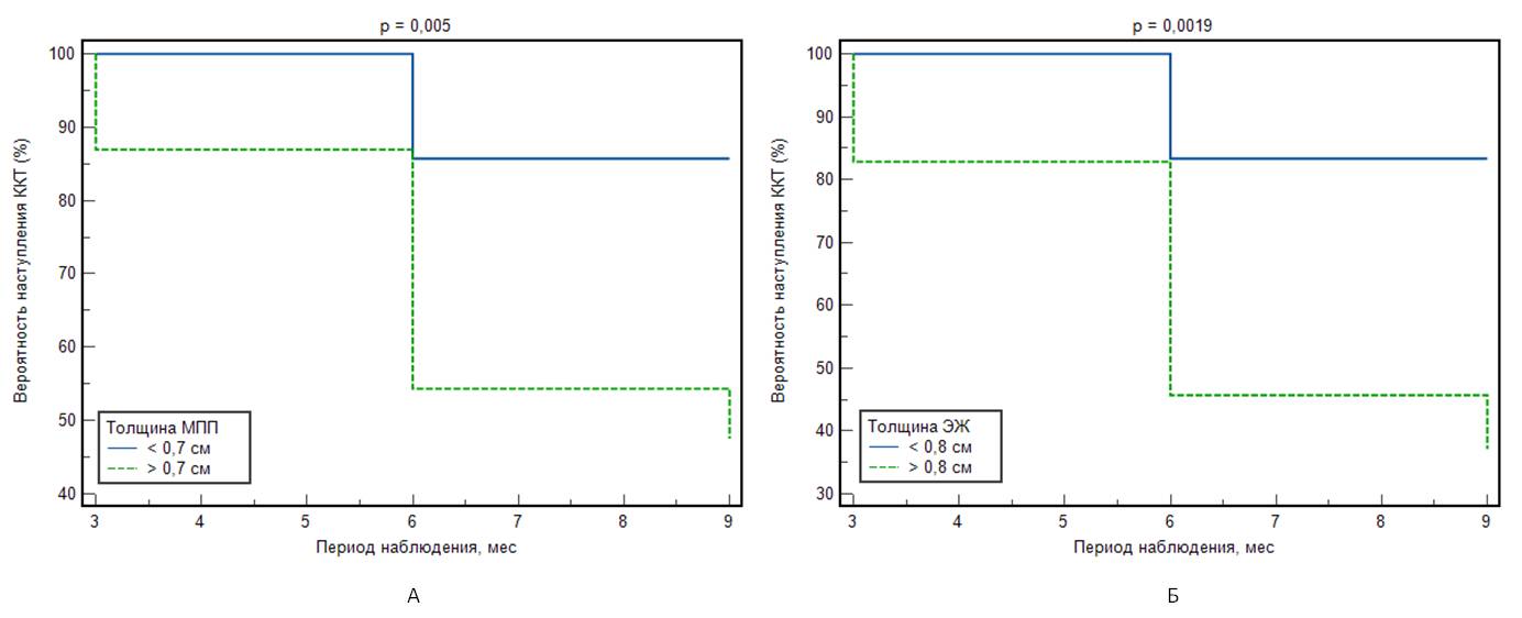
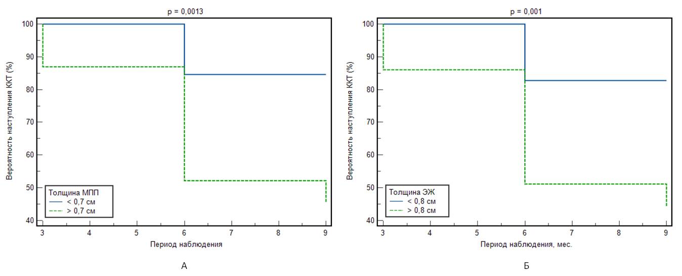
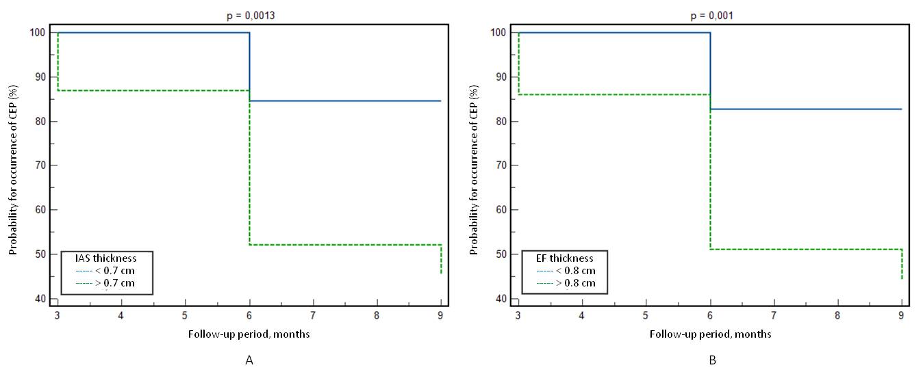
Then, on the basis of threshold values, the probability for CEP occurrence was determined. In the group of patients with unstable angina, the thickness of IAS > 0.7 cm (÷2 = 10.3, p = 0.0013) and of EF > 0.8 cm (÷2 = 10.89, p = 0.001) demonstrate a poor prognosis in comparison with the values below the threshold (Figure 4). In the group of patients with IM, IAS thickness > 0.7 cm (÷2 = 8.4, p = 0.005) and EF thickness > 0.8 cm (÷2 = 9.66, p = 0.0019) demonstrate a poor prognosis in comparison with the values below the threshold (Figure 5).
Fig. 4. Kaplan–Meyer survival curves in patients with unstable angina with thickness of IAS (A) and of EF (B) above threshold (blue lines) and below threshold values (green lines).
Note: the threshold value for IAS is 0.7 cm, for EF — 0.8 cm; IAS — intraventricular septum, EF — epicardial fat.
Fig. 5. Kaplan–Meyer survival curves in patients with thickness of IAS (А) and EF (B) above threshold (blue lines) and below threshold values (green lines).
Notes: the threshold value for IAS is 0.7 cm, for EF — 0.8 cm; IAS — intraventricular septum, EF — epicardial fat.
The position of local cardiac deposits in the structure of the cardiovascular risk factors was demonstrated by the correlation analysis which established the existence of association between thickness of the EF and change of WC (r = 0.5; p = 0.0004) and BMI values (r = 0.4; p < 0.149). Similar correlation relationships were found between increase in thickness of the IAS and the value of WC (r = 0.3; p < 0.0001) and of BMI (r = 0.4; p < 0.149). Besides, a positive correlation relationship was established between thickness of the IAS and of the EF (r = 0.5; p < 0.0001).
DISCUSSION
Meta-analysis by J. Mancio, et al. (2018) demonstrated association of EF thickness with subclinical atherosclerosis, ischemia and adverse cardiovascular events in future [18].
The analysis of survival performed in our study showed that with EF thickness ≥ 0.8 cm, the probability for occurrence of CEP increases 3.9 times (p = 0.0012). The data obtained are consistent with the results of earlier studies on the association of EF with risk factors of CVDs [5, 7, 9]. Similar data were also obtained in the work devoted to the study of the prognostic significance of EF thickness in patients with CHD who underwent myocardial revascularization: it was found that in patients with CHD with EF thickness from 8.5 to 10.2 mm, the risk of occurrence of CEP after myocardial revascularization is 4.3 times higher than with other values of this criterion [20].
According to А. Mohamed (2021), EF thickness > 5 mm in patients with myocardial infarction with elevated ST segment, who underwent the primary percutaneous coronary intervention is an independent predictor of death and «no-reflow» phenomenon (absence of contrast of the distal vascular bed after recanalization of the occluded coronary artery) [21]. R. H. Christensen, et al. found that EF thickness > 5 mm in patients with type 2 diabetes mellitus is associated with a high risk of reaching CEP (cardiovascular diseases and mortality), especially in men, within 4.7 years of follow-up [22].
Our early study devoted to investigation of morphological peculiarities of the IAS in patients with CVDs, revealed a pronounced intracellular dystrophy of cardiac myocytes, pronounced parenchymal dystrophy and large-focal cardiosclerosis [23]. Similar morphological alterations in the IAS are reported in the works of foreign authors and are described as lipomatous hypertrophy of the IAS [10–12, 17]. However, there is no general consensus in the literature on the threshold thickness of the IAS in lipomatosis, therefore, this issue requires further study. Using Kaplan-Meyer method, it was found that with IAS thickness > 0.7 cm, the probability for reaching CEP increases 3.4 times (р = 0.0034) in lipomatosis than with lower values of IAS thickness.
Correlation relationships between thickness of the EF and values of WC and BMI agree with the literature data on the interrelation between thickness of the EF and the amount of the intraabdominal fat [9, 14]. Correlation relationships between thickness of the IAS and that of the EF permit to consider the possibility of determination of thickness of the IAS along with determination of thickness of the EF for evaluation of cardiovascular risk in a patient.
To note, the given study has limitations due to a small sample of patients and a short follow-up period (time of achieving CEP).
CONCLUSIONS
- In patients with unstable angina, the interatrial septum thickness > 0.7 cm (÷2 = 10.3, p = 0.0013), and the epicardial fat thickness > 0.8 cm (÷2 = 10.89, p = 0.001) demonstrate a poor prognosis in comparison with the values below threshold.
- In patients with myocardial infarction, the interatrial septum thickness > 0.7 cm (p = 0.005), and the epicardial fat thickness > 0.8 cm (p = 0.0019) demonstrate a poor prognosis in comparison with the values below threshold.
- On the basis of the data obtained, we recommend the thickness of epicardial fat and thickness of the interatrial septum is determined in echocardiography as an additional marker of cardiovascular risk in coronary heart disease.
ADDITIONALLY
Funding. This article was not supported by any external sources of funding.
Conflict of interests. The authors declare no conflicts of interests.
Contribution of the authors: O. M. Uryasyev — concept of the article, manuscript editing; A. V. Solovyeva — concept of the article, manuscript editing; A. А. Filimonova — collection and analysis of material, manuscript editing; A. V. Cheskidov — collection and analysis of material, writing the text; E. A. Nikiforova — collection and analysis of material. The authors confirm the correspondence of their authorship to the ICMJE International Criteria. All authors made a substantial contribution to the conception of the work, acquisition, analysis, interpretation of data for the work, drafting and revising the work, final approval of the version to be published and agree to be accountable for all aspects of the work.
Финансирование. Авторы заявляют об отсутствии внешнего финансирования при проведении исследования.
Конфликт интересов. Авторы заявляют об отсутствии конфликта интересов.
Вклад авторов: Урясьев О. М. — концепция статьи, редактирование текста; Соловьева А. В. — концепция статьи, редактирование текста; Филимонова А. А. — сбор и анализ материала, редактирование текста; Ческидов А. В. — сбор и анализ материала, написание текста; Никифорова Е. А. — сбор и анализ материала. Авторы подтверждают соответствие своего авторства международным критериям ICMJE (все авторы внесли существенный вклад в разработку концепции и подготовку статьи, прочли и одобрили финальную версию перед публикацией).
About the authors
Oleg M. Uryasyev
Ryazan State Medical University
Email: uryasev@yandex.ru
ORCID iD: 0000-0001-8693-4696
SPIN-code: 7903-4609
MD, Dr. Sci. (Med.), Professor
Russian Federation, RyazanAleksandra V. Solov’yeva
Ryazan State Medical University
Email: savva2005@bk.ru
ORCID iD: 0000-0001-7896-6356
SPIN-code: 1943-7765
MD, Dr. Sci. (Med.), Associate Professor
Russian Federation, RyazanAleksey V. Cheskidov
Ryazan State Medical University
Author for correspondence.
Email: a.v.cheskidov@yandex.ru
ORCID iD: 0000-0001-9468-0438
SPIN-code: 8421-5097
Russian Federation, Ryazan
Anastasiya A. Filimonova
Ryazan State Medical University
Email: anastasiyamolyanova2011@yandex.ru
ORCID iD: 0000-0001-7524-3195
MD, Cand. Sci. (Med.), Associate Professor
Russian Federation, RyazanEkaterina А. Nikiforova
Ryazan State Medical University
Email: ekaterina250499@gmail.com
ORCID iD: 0000-0003-1133-9176
SPIN-code: 2296-3934
Russian Federation, Ryazan
References
- Svarovskaya AV, Trubacheva OA, Pereverzev SV, et al. Anthropometric indices and their relationship with poor prognosis in patients with coronary artery disease and obesity. Russian Journal of Cardiology. 2022;27(1):4624. (In Russ). doi: 10.15829/1560-4071-2022-4624
- Danilov AV, Kobzar II., Nagibin OA, et al. Morbidity and mortality from cardiovascular diseases in Ryazan district: 2014–2018. Nauka Molodykh (Eruditio Juvenium). 2019;7(3):439–49. (In Russ). doi: 10.23888/HMJ201973439-449
- Dedov II, Mokrysheva NG, Mel’nichenko GA, et al. Obesity. Clinical guidelines. Consilium Medicum. 2021;23(4):311–25. (In Russ). doi: 10.26442/20751753.2021.4.200832
- Seliverstova DV. Risk factors for development of myocardial infarction in women with preserved reproductive function. I. P. Pavlov Russian Medical Biological Herald. 2019;27(2):172–80. (In Russ). doi: 10.23888/PAVLOVJ2019272172-180
- Blinova NV, Azimova MO, Zhernakova JV, et al. Assessment of epicardial adipose tissue by echocardiography for risk stratification in young adults with abdominal obesity. Systemic Hypertension. 2020;17(4):74–9. (In Russ). doi: 10.26442/2075082X.2020.4.200557
- Ott AV, Chumakova GA. Epicardial obesity as one of the basic criteria for metabolically unhealthy obesity phenotype and the predictor of subclinical atherosclerosis. Complex Issues of Cardiovascular Diseases. 2018;7(1):21–8. (In Russ). doi: 10.17802/2306-1278-2018-7-1-21-28
- Mustafina IA, Ionin VA, Dolganov AA, et al. Role of epicardial adipose tissue in the development of cardiovascular diseases. Russian Journal of Cardiology. 2022;27(1S):4872. (In Russ). doi: 10.15829/1560-4071-2022-4872
- Kuznetsova TYu, Chumakova GA, Druzhilov MA, et al. Clinical application of quantitative echocardiographic assessment of epicardial fat tissue in obesity. Russian Journal of Cardiology. 2017;(4):81–7. (In Russ). doi: 10.15829/1560-4071-2017-4-81-87
- Koshelskaya OA, Suslova TE, Kologrivova IV, et al. Epicardial fat thickness and biomarkers of inflammation in patients with stable coronary artery disease: correlation with the severity of coronary atherosclerosis. Russian Journal of Cardiology. 2019;(4):20–6. (In Russ). doi: 10.15829/1560-4071-2019-4-20-26
- Nyawo TA, Dludla PV, Mazibuko–Mbeje SE, et al. A systematic review exploring the significance of measuring epicardial fat thickness in correlation to B-type natriuretic peptide levels as prognostic and diagnostic markers in patients with or at risk of heart failure. Heart Fail Rev. 2022; 27(2):665–75. doi: 10.1007/s10741-021-10160-3
- Gay JD, Guileyardo JM, Townsend–Parchman JK, et al. Clinical and morphologic features of lipomatous hypertrophy ("massive fatty deposits") of the interatrial septum. Am J Forensic Med Pathol. 1996;17(1):43–8. doi: 10.1097/00000433-199603000-00007
- Shirani J, Roberts WC. Clinical, electrocardiographic and morphologic features of massive fatty deposits ("lipomatous hypertrophy") in the atrial septum. J Am Coll Cardiol. 1993;22(1):226–38. doi: 10.1016/0735-1097(93)90839-s
- Burke AP, Litovsky S, Virmani R. Lipomatous hypertrophy of the atrial septum presenting as a right atrial mass. Am J Surg Pathol. 1996; 20(6):678–85. doi: 10.1097/00000478-199606000-00004
- Mitrofanova LB, Mikhailov EN, Lebedev DS. Histological and electrophysiological characteristics of the postero superior part of the interatrial septum. Journal of Arrhythmology. 2008;52(52):20–6. (In Russ).
- Chaowalit N, Somers VK, Pellikka PA, et al. Adipose tissue of atrial septum as a marker of coronary artery disease. Chest. 2007;13(2):817–22. doi: 10.1378/chest.06-2425
- López–Candales A. Is the presence of interatrial septal hypertrophy a marker for atrial fibrillation in the elderly? Am J Geriatr Cardiol. 2002;11(6):399–403. doi: 10.1111/j.1076-7460.2002.01629.x
- Agmon Y, Meissner I, Tajik AJ, et al. Clinical, laboratory, and transesophageal echocardiographic correlates of interatrial septal thickness: a population-based transesophageal echocardiographic study. J Am Soc Echocardiogr. 2005;18(2):175–82. doi: 10.1016/j.echo.2004.09.002
- Mancio J, Azevedo D, Saraiva F, et al. Epicardial adipose tissue volume assessed by computed tomography and coronary artery disease: a systematic review and meta-analysis. Eur Heart J Cardiovasc Imaging. 2018;19(5):490–7. doi: 10.1093/ehjci/jex314
- Chiornaya А, Kamyshanskaya IG, Pchelin IYu. Physiological and pathological significance of pericardial fat for the heart and adjacent vessels. Juvenis Scientia. 2022;8(1):32–41. (In Russ). doi: 10.32415/jscientia_2022_8_1_32-41
- Polyakova EA, Berkovich OA, Baranova EI. Prognostic value of epicardial fat thickness in coronary heart disease patients after myocardial revascularization. Kardiologiia. 2020;60(3):4–13. (In Russ). doi: 10.18087/cardio.2020.3.n874
- Mohamed A. Predicting mortality and no-reflow in STEMI patients using epicardial adipose tissue. Clin Cardiol. 2021;44(10):1371–6. doi: 10.1002/clc.23692
- Christensen RH, von Scholten BJ, Hansen CS, et al. Epicardial adipose tissue predicts incident cardiovascular disease and mortality in patients with type 2 diabetes. Cardiovasc Diabetol. 2019;18(1):114. doi: 10.1186/s12933-019-0917-y
- Solov’yeva AV, Cherdantseva TM, Cheskidov AV, et al. Clinical and Morphological Features of Lipomatous Hypertrophy of Interatrial Septum in Patients with Diseases of Cardiovascular System. Nauka Molodykh (Eruditio Juvenium). 2022;10(2):157–64. (In Russ). doi: 10.23888/HMJ2022102157-164
Supplementary files











