Disadaptive genetic-evolutionary processes in human populations of industrial cities
- 作者: Artemenkov A.A.1
-
隶属关系:
- Cherepovets State University
- 期: 卷 28, 编号 2 (2020)
- 页面: 234-248
- 栏目: Reviews
- ##submission.dateSubmitted##: 02.07.2020
- ##submission.datePublished##: 03.07.2020
- URL: https://journals.eco-vector.com/pavlovj/article/view/34919
- DOI: https://doi.org/10.23888/PAVLOVJ2020282234-248
- ID: 34919
如何引用文章
详细
Aim. Generalization of literature and proprietary data on genetic-physiological and evolutionary processes occurring in human populations in environmentally neglected industrial cities.
In the review information is given about damage to the genetic apparatus of cells of a human organism under influence of unfavorable environmental factors and disadaptations of different
genesis. To denote the totality of alterations induced by the given exposure, a new term is introduced – ‘genetics of disadaptations’. The information of mutagenic factors of the environment of industrial cities associated with growth of oncological diseases and of malformations resulting from chromosomal aberrations in cells is generalized. The problem of genetic burden of human populations
in environmentally neglected territories and of the influence of disadaptive factors on this process is discussed. Information of the ecological situation and morbidity of the population in Cherepovets industrial city is given. A role of disadaptations in genetic-evolutionary processes occurring in
human populations is shown. The cause of different manifestations of disadaptation in the population is stated to be divergence of traits. A hypothesis is proposed and evidences are given in favor of the existence of natural selection for a disadaptive trait in human populations. It is suggested that being accumulated in a human organism, disadaptive disorders may be transmitted to the next
generations reducing vital ability of organisms and inducing different diseases.
Conclusion. Within the topic, examples of different prophylactic measures for improving the health of the population of industrial cities are given to prevent unfavorable alterations of human genome under the influence of unfavorable ecological and related disadaptive factors.
全文:
Disadaptation is commonly understood as a disorder of adaptation of an organism to constantly changing environmental conditions. It is a kind of frustration of interaction between an organism and habitat that leads to derangement of physiological functions and to development of pathological processes. ‘Genetics of disadaptations’ is the term introduced by us to describe the whole complex of alterations in the genetic machinery of cells induced by disadaptive environmental factors and leading to transformation of a human genome having evolutionary significance. Of importance is the fact that disadaptation induced by unfavorable ecological and other factors triggers free radical oxidation reaction in an organism leading to degeneration of cells and to damage of DNA [1]. The probability for damage of DNA and instability of genome on exposure to environmental and related disadaptive factors is shown by F.I. Ingel in her genetic toxicology studies [2, 3]. The authors showed that the condition of disadaptation (non-adaptive stress characterized by reduction of adaption potential of an organism), especially in healthy teenagers, may develop both under action of social and emotional factors, and also on exposure to chemical compounds, and may lead to DNA methylation [4]. So, instability of human genome may manifest in the form of genetic changes in nucleotide sequence of DNA or in structural (or numeric) changes of chromosomes in the cell nucleus. Here, insufficient repair of double strand rupture of DNA, as well as shortening of telomeres are an important factor in formation of chromosomal aberrations [5].
The analysis showed that the activity of human genome is determined by systemic endocrine regulation of genetic processes [6]. But, nevertheless, action of an extreme stressor induces restructure of the genetic material of the cell to the extent of its complete disintegration which eventually deprives a human of the possibility to adapt to environmental conditions. Such dynamic changes of the activity of genes in response to external damaging stimuli make the basis for cell adaptation or disadaptation. It is noteworthy that the main factors influencing processes of adaptation/disadaptation of an organism in stress include hereditary predisposition, environmental conditions and interaction between the environment and the genome of an organism. But the most important is the fact that stress is considered a factor of evolutionary development that triggers the processes of genetic variability, that is, changes occurring in gametes in stress, provide the genetic basis for gametic selection in human populations. Thus, the direction of adaptive reactions in an organism causing adaptive or disadaptive changes, is determined by individual, genetically determined properties of an organism and its conditions depending on the type and force of influence.
From here it follows that accumulation of genetically altered cells in an organism leads to dysfunctional disorders and to reduction of its ability to adaptation. This genetic instability of human genome is accompanied by dysregulatory disorders and by all possible disorders in homeostasis. Deviations of hemostasis induce changes in the activity of functional systems manifested by reduction in the working capacity, impairment of wellbeing and phenomena of disadaptation.
Mutagenic Factors of the Environment of Industrial Cities. Accumulation of Disadaptations and Mutation Process
It is known that chemical carcinogenesis and mutagenesis condition initiation and development of genetic diseases in an organism and increase the risk of congenital pathology in the population of ecologically unfavorable regions of the world. One of dangerous contaminants of the environment is 1-nitropyrene widely famous for its mutagenic and carcinogenic activity. Thus, it was shown in experiments on mice that introduction of this eco-toxicant into their stomach through the tube leads to vacuolization of placenta, proliferation and limitation of growth of fetus [7].
Nevertheless, such fact as a high incidence of malformations and oncological diseases in the population, permitted to forecast several spontaneous and induced effects of carcinogenesis. It was found that initiation of malignant tumors follows a strictly determined genetic program of the oncoprocess irrespective of living condition of the population, but predominantly occurs in the part of the population predisposed to cancer development. This predisposition may be present in 15-20% of each population per generation [8]. However, a clear evidence of interaction of genes with the environment is the identified shortening of telomeres on exposure to polycyclic aromatic hydrocarbons [9].
It is known that in Russia and in the whole world the amount of chemical substances contaminating the environment steadily grows. This creates additional health risks for different groups of human population. The studies showed genotoxic influence of the environmental mutagens on the population of Vladikavkaz. A correlation was established between increase in the level of chromosomal disorders in individuals engaged in hazardous industry and in those having no relation to it. Indeed, there is an increased rate of congenital abnormalities, dead births and fetal deaths in the population of this city [10].
At the same time the study of influence of ecological factors on human constitutional type showed that variability of anthropometric parameters in the population of Mordovia is an element of morphological adaptation of an organism to unfavorable factors of the environment. It was found that females in ecologically friendly regions are characterized by normal evolutive type of constitution, whereas in the areas contaminated with emissions of industrial enterprises evolutive somatotype of females was formed differing in some anthropometric parameters (in particular, in length and mass of body, chest circumference, force of wrists muscles, pulse rate, level of arterial pressure) [11].
Besides emerging constitutional-environmental alterations of an organism, in the literature a question is being discussed about contamination of the environment as a triggering mechanism for – as compared to individuals engaged in administrative service. Here, the amount of cells with chromosomal aberrations varied depending on remoteness from the sources of industrial emissions. The average incidence of cells with chromosomal aberrations in cytological analysis was maximal in individuals living at the distance 3 km from the enterprise, and minimal in those living in remote regions [14, 15].
The following works [16] indicate the probability for chromosomal aberrations in the population of an industrial center of West Siberia – Kemerovo – under influence of contaminated atmosphere. Formation of the population level of cytogenetic instability showed dependence of chromosomal aberrations on concentration of the main contaminants of the atmosphere (benzpyrene, formaldehyde). A significant reduction of the level of chromosomal aberrations in citizens of this industrial center in the 2000s as compared with the previous years which was associated with reduction of emission of contaminants into the atmosphere. At the same time, it is shown in the work of I. Jamebozorgi, et al. [17] that chronic occupational exposure to low concentrations of benzol may lead to methylation of DNA of genes-suppressors of tumor which may eventually promote development of cancer in a human. Besides, in Chinese workers exposed to polycyclic aromatic hydrocarbons, the fact of oxidative damage to DNA was ascertained [18]. It should be noted that on an example of citizens of some populated areas of the Kemerovo region, the influence of polymorphism of LIG4 gene on the level of chromosomal aberrations in human lymphocytes on exposure to the background and excess emission of radon [19] was identified.
As it is seen from the data [20, 21], contamination of the atmosphere of large industrial cities with nitrogen dioxide and sulfur dioxide, carbon oxide, ammonia, phenol and formaldehyde produce multifactor influence of the health of adult population, pregnant females and children. Recently, there started to occur genetic damages in the organisms of children living in Italian cities with high levels of atmospheric contamination that play an important role in development of chronic diseases including cancer [22]. It should be
stated that direct action of carcinogens (for example, of chromium) on the reproductive function of male population leads to reduction of the motility and of average concentration of gametes. A consequence of mutagenic effects on gametes is also an increase in the amount of degenerative forms of spermatozoids in workers of chromium industry [23].
The monitoring of congenital pathology in the Kuzbass region showed increased morbidity of the population associated with emissions of toxic substances possessing gonadotoxic, mutagenic, embryotoxic and teratogenic effect. A contribution to initiation of congenital pathology is also made by such atmospheric contaminants as benzpyrene, nitric oxide (IV), formaldehyde [24]. There are also traced ecological risks of triclosan that may appear in the natural environment by different ways and threatens the health of the population through affecting the reproductive sphere [25].
All these are evidences of the fact that congenital malformations are ecoassociated diseases with multifactor causes associated with combined influence of genetic and exogenous factors (concentration of hazardous substances in small territories of industrial enterprises). Thus, in the structure of congenital malformations of newborns of Shymkent of South-Kazakhstan region of Republic of Kazakhstan who were born in the territory contaminated with lead and other heavy metal salts, pathology of the nervous system was identified in 28% of cases [26]. Epidemiological studies established a close connection between the presence of arsenic in the drinking water and increase in the incidence of cancer of liver, lungs, urinary bladder, prostate and skin [27].
Thus, contamination of habitat and gradual deepening of global ecological crisis increases the rate of mutations of genes and produces a negative influence on health of the population of different regions [28]. And of much importance for elucidation of mechanisms of hereditary pathology are improved molecular cytogenetic methods of study of the structure and functions of chromosomes that open new prospects for understanding the chomosomal-molecular bases of ecologically conditioned diseases including cancer, degeneration of tissues and disadaptive alterations of the genome [29].
Disadaptations and Genetic Burden of Populations of Ecologically Unfriendly Territories
At present there is an increasing amount of works in medico-biological literature presenting the data of population health and quality of life of different regions of Russia. This is not occasional since genetic-evolutionary changes are especially fast in certain groups of populations living in ecologically and socially neglected regions of the country and in most cases are associated with disadaptive disorders [30, 31]. According to the existing data, hereditary diseases also make a considerable ‘contribution’ to the health of population and account for 20.0% in the total list of factors influencing health level [32].
In this respect attention should be paid to genetic polymorphism which, on the one hand, is a part of adaptive processes, and, on the other hand, provides genetic basis for diseases with hereditary predisposition. It plays a key role in development of desynchronoses and socially significant diseases of the cardiovascular system, such as venous thromboembolism. Here are the facts that evidence accumulation of genetic burden in human populations. Analysis of distribution of alleles and genotypes of polymorphic markers in healthy individuals of North Ossetia demonstrated predomination of negative carriage over positive one for the majority of mutations, which proves the fact of accumulation of genetic burden in the local population [33]. At the same time it was found that polymorphism of genes of glutathione-S-transferase in mothers may be involved in teratogenesis in their progeny [34]. A study of spontaneous mutation in the gene pool of citizens of Vladikavkaz showed that in 27.9-29.0% of studied individuals the level of chromosomal aberrations ranges within 3.0-6.0%. This is 1.5-2 times the control level, and in 10.7% of studied individuals the control level is exceeded 2.5-3 times. The obtained data evidence a serious mutation burden accumulated in the population of Vladikavkaz [35].
Analysis of the data obtained by the present moment showed that the incidence of single-gene hereditary diseases among child population of Chuvash Republic makes 1.0%, of Republic of Udmurtia – 1.2%, of Republic of Bashkortostan – 1.4%. It was also ascertained that genetic burden of hereditary diseases in Udmurtian population is formed under a considerable influence of genetic drift of genes in the population [36, 37].
In a study of causes of difference in the parameters of the burden of single-gene diseases in the population of the Rostov region it was found that distribution of genetic burden in the areas of this region and peculiarities of genetic structure (inbreeding, migrations, gene drift) largely influence formation of autosomal hereditary pathology. Here, evident distribution of genetic burden of autosomal-dominant and autosomal-recessive diseases between populations is noted. The analysis showed that the incidence of single-gene diseases in the region is 1: 336 [38, 39]. Materials of study of peculiarities of genetic burden and of diversity of single-gene hereditary diseases in Karachaevsk and in the Karachaevsk region of Karachai-Cherkess Republic showed that they have 47 nosological forms. The most common autosomal-dominant disease is Ehlers-Danlos syndrome (1:1815) and oligophrenia (1:3992) [40].
It is not a secret that increasing anthropogenic pressure on the biosphere is associated with increased probability for self-destruction of genetic links between an organism and habitat in result of buildup of genetic burden and accumulation of disadaptations in the human populations. In the absence of natural selection or with its low intensity in human populations, mutations and disadaptations that do not significantly reduce the vital capacity of an organism are not only not removed but accumulate. Thus, population genetic burden in the middle of the last century expressed in parameters of reproduction was 11% of losses from the number of recorded pregnancies and 5% of newborns with congenital malformations, at present it is 15 and 7%, respectively, and by the middle of XXI century it may be 65 and 40%, respectively. A vivid evidence of buildup of genetic burden under influence of contamination of habitat may be increased number of oncological diseases in human populations in the contaminated territories [41].
And, at last, one more problem requires attention associated with reproductive health of the population. It is the problem of spontaneous abortions. Interruption of pregnancy is a complex reproduction problem of the population of industrial cities. It is found today that chromosomal abnormalities appearing in 2-8% of pairs with periodical interruption of pregnancies, and especially translocation-related restructures in both parents, may be the cause of repeated spontaneous abortion [[42].
Summarizing the above said, it should be noted that at present identification of prognostic biomarkers of health of the population of ecologically contaminated territories is the most relevant task of ecological genetics and of biomedical studies. Such genetic research help understand interaction of genes and the environment. A complex study of interaction of genome and the environment will help find approaches to identification of prognostic markers for elaboration of prophylactic measures with the aim to minimize negative influence of the environment on the health of population of industrial cities [43].
Thus, through evaluation of the load of hereditary pathology in human populations and understanding of its mechanisms, it is possible to determine the main tasks of ecological genetics for the future and minimize disadaptive impact on the genetic machinery of cell of an organism.
Role of Disadaptations in Genetic-Evolutionary Processes. Selection of Disadaptations in Human Populations of Industrial Cities
Considering the role of disadaptations in genetic-evolutionary processes, we inevitably come to the question of health of the population of industrial cities since contamination of the habitat, stress and social woes are additional risk factors for hereditary alterations. Cherepovets city is a large industrial and environmentally neglected center of the Vologda region of Northwestern Federal District of Russia. The dominating branches of industry here are iron and metalworking industries, chemical and wood-processing industry. To the estimates of Department of Natural Resources Management and Environmental Protection, in 2017 the level of atmospheric contamination was evaluated as increased. Maximal permissible one-time concentrations of carbon monoxide, formaldehyde, carbon disulphide, dust, nitrogen dioxide, phenol were exceeded. Analysis of morbidity of the adult population showed that diseases of the circulatory system rank first, followed by diseases of respiratory organs, and by diseases of eye and its appendages. Disadaptive disorders and low hemoglobin parameters are identified in 20-25% of students of Cherepovets State University [44, 45].
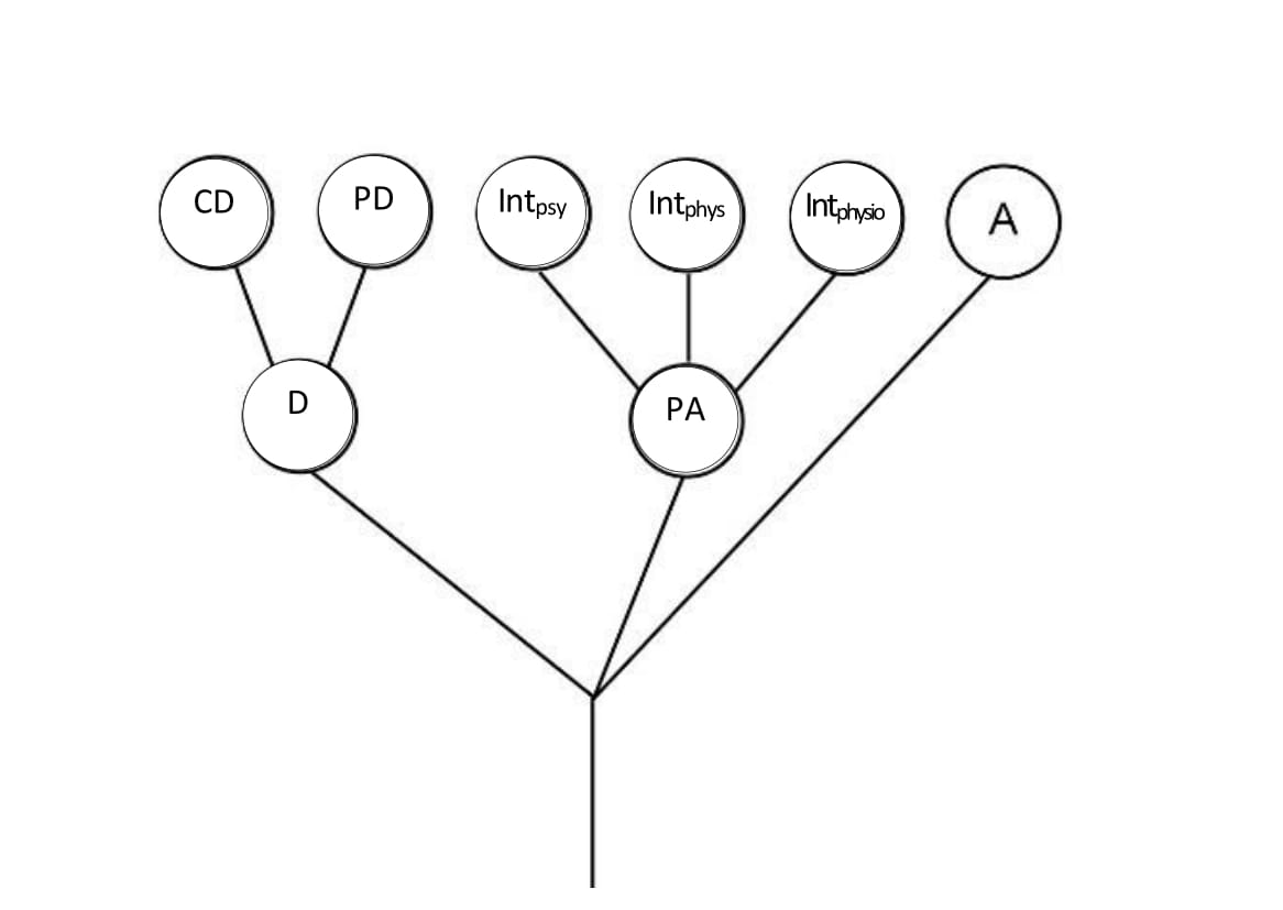
Existence of sufficiently high number of disadapted individuals of juvenile age with different symptoms in the social student community leads to the idea of the existence of some disadaptive divergence of traits and accumulation of disadaptive disorders in an organism over time. Indeed, in different groups of studied population of 18-22 years of age, 1030 in total, 20 to 45% of individuals of juvenile age were disadapted. With this, in each group there were individuals with psychological problems, disharmonic physical development and with functional disorders. In this context the term ‘disadaptive divergence’ was used understood as non-uniformity of disadaptive manifestations in certain groups of population of the city (Figure 1).
Fig. 1. Disadaptive divergence of characteristics in human populations [46]. Types of disadaptation: D – disadaptive; CD – completely disadapted; PD – partially disadapted; PA – partially adapted; Intpsy – intermediate with predomination of psychological disadaptation; Intphys – intermediate with predomination of physical disadaptation; Intphysiol – intermediate with predomination of physiological disadaptation; A – adapted
One may think that accumulation of different disadaptations in a human organism is associated with multifactorial inheritance and natural selection of disadaptive traits. It is polygenic inheritance of disadaptive traits that explains diversity of disorders in the adaptation in human populations. At present a question of multifactorial diseases in modern populations is considered in the context of the evolution. The evolutionary approach permits to widely investigate the origin, spread of pathological phenotypes and their rate staying at a high level in human populations [47]. In this connection, the genetic identification of polymorphisms responsible for the regenerative capacity of DNA, carried out in Saudi Arabia, will be helpful in screening of individuals exposed to environmental carcinogens and having predisposition to cancer [48].
The facts available at present indicate the key role of genetic alterations and natural selection in adaptation of the indigenous population of the North East Asia to extreme conditions of the Far North. In the Eskimos, Chukchi and Koryaks, the maximal frequency of loss (deletion) of the pancreatic amylase gene AMY2A required for cleavage of starch is found. It is very likely that the loss of the ability not to assimilate certain carbohydrates may be associated with a reduction of negative selection for SI and AMY2A genes due to deficit of starch and disaccharides in the traditional food of the indigenous population in the past. Thus, genetic alterations in the populations of aboriginals of the Far North in modern conditions when there is no more deficit of carbohydrate substrates in their ration, become harmful since they enhance the risk for development of diseases of metabolism and disorders in adaptation [49].
In the general biological plan an important factor is discovery of the role of natural selection in the evolution of mitochondrial genomes of the populations of the North-East Eurasia. A directional effect of selection on region-specific C haplogroup is reliably shown. The character of its spread in the indigenous population of Siberia and America and detection of traces of the purifying selection may evidence the fact that evolution of the system of oxidative phosphorylation was directed to adaptation to severe climatic conditions, and any newly occurring replacements are rejected by selection. Weakening of the pressure of selection seen at present, may be associated with the modern way of life of the population in these territories and its lower dependence on the environmental conditions [50].
However, at the present stage of the evolution a sharp expansion of intervention of a human into the natural environment is seen which results in a considerable change in conditions of natural selection that have been established throughout centuries. In connection with low physical activity of a human and growth of the role of the brain in the everyday activity, some researchers predict gradual devolution of a human into a physically weak dwarf with a large head. Besides, inexpedience of some actions, stimuli, instincts of a human draw more and more attention to the problem of natural selection in the modern life of an individual [51].
As far as we understand, in recent years a real growth of the amount of individuals with disadaptive disorders is seen in the population that impair the vital activity of an organism. Increase in the amount of different disadaptations leads to their accumulation in an organism and to their increasing participation in genetic evolutionary processes in the form of disadapting selection. In considering this problem, one may not doubt that in disadapted individuals a higher probability for initiation of mutations exists. And it is known that mutations may enhance or weaken manifestations of any trait of an organism irrespective of the level of adaptation since they are elementary evolution material. In human populations, in adapted, partially adapted and disadapted individuals mutations accumulate in the concealed form, but in different combinations and in unfavorable ecological conditions induced mutations may influence the evolution process or induce alterations of morphofunctional traits in an individual (Figure 2).
Fig. 2. Disadapting form of selection in human population [46]
As it is known, one of factors of the evolution is isolation that is considered to be the initial stage of divergence of populations. But as it is shown by the existing data, there does not exist a single genetic structure of the population isolate. Thus, comparative analysis of Latin-American and Finnish isolates of population showed that Latin-American isolation of the population increases genetic diversity in the populations in comparison with Finnish one [52]. Therefore, at present within the evolution-genetic structure of populations the problem of longevity is actively studied, since the ability of individuals to long life is determined by interaction of genes and the environment. In this context, genetics of longevity is undoubtedly considered in the ecological and evolution prospect [53].
And, eventually, it should be also noted that both in our country and abroad the problem of evolution of cancer has been discussed with the increasing frequency, with discussion of the functional role of the microenvironment of the tumor in progress of the pathological process in a human. Evolution aspects of the tumor growth and invasion are discussed from the point of view of the modern therapeutic challenges and potentials of personalized medicine [54].
Conclusion
Thus, we have the facts evidencing that increasing diversity of mutagenic factors in the environment of industrial cities may lead to acceleration of mutation process in a human, to buildup of genetic load in the human populations, to accumulation of disadaptations and to initiation of natural selection for disadaptive trait. Diversity of disadaptive manifestations in a human probably reflects different degree of expression of polygenic factors of predisposition to somatic diseases in conditions of interaction with ecological and social factors of different strength.
Health and quality of life of urban citizens are largely determined by problems associated with rapidly increasing urbanization of the population worldwide, including the problem of contamination of the environment. Therefore, in 1986 the World Health Organization undertook realization of the plan «Healthy Cities» that supports populated areas that try to eliminate problems associated with growing density of the urban population. Based on this concept, many cities can achieve ecologically clean environment which could be beneficial for the health of their citizens [55]. In 2001 Cherepovets also joined the International movement «Healthy Cities». In 2002 the municipal targeted program was accepted with the main positions corresponding to the strategic plan of protection and strengthening of health of the population of the Vologda region.
‘Healthy Cities’ concept determines responsibility of a human for ecological cataclysms on the Earth, for reduction of the species of rare animals in the natural populations. Derangement of optimal environmental conditions reduces the ability of a human to adapt, leads to accumulation of disadaptations in an organism and to emergence of disadaptive forms of selection transmitting unfavorable characteristics to the next generations [56]. These changes negatively influence health and wellbeing of the population of different regions of our country and of the whole world [57].
作者简介
Aleksey Artemenkov
Cherepovets State University
编辑信件的主要联系方式.
Email: basis@live.ru
ORCID iD: 0000-0001-7919-3690
SPIN 代码: 9516-2356
PhD in Biological Sciences, Associate Professor, Corresponding Member of the Russian Academy of Natural Sciences, Acting Head of the Department of Theoretical Foundations of Physical Culture, Sports and Health at the Faculty of Biology and Human Health
俄罗斯联邦, Cherepovets参考
- Voronina TA. The role of oxidative stress and antioxidants in different disadapation genesis. Pharmacy & Pharmacology. 2015;(S1):8-17. (In Russ).
- Ingel FI. Quality of life and individual susceptibility of human genome. Whether there is an exit from a vicious circle? Ecological Genetics. 2005;3(3):38-45. (In Russ).
- Ingel' FI, Krivtsova EK, Urtseva NA, et al. Volatility and sensitivity of the genome of healthy children in Magnitogorsk. Hygiene and Sanitation. 2013;(3): 20-7. (In Russ).
- Wu Y, Peterson KE, Sánchez BN, et al. Association of blood leukocyte DNA methylation at LINE-1 and growth-related candidate genes with pubertal onset and progression. Epigenetics. 2018;13(12):1222-33. doi: 10.1080/15592294.2018.1556198
- Vodicka P, Musak L, Vodickova L, et al. Genetic variation of acquired structural chromosomal aberrations. Mutation Research/Genetic Toxicology and Environmental Mutagenesis. 2018;836(Pt A):13-21. doi: 10.1016/j.mrgentox.2018.05.014
- Dyuzhikova NA, Daev EV. Genome and stress-reaction in animals and humans. Ecological Genetics. 2018;16(1):4-26. (In Russ). doi: 10.17816/ecogen 1614-26
- Li R, Wang X, Wang B, et al. Gestational 1-nitro-pyrene exposure causes fetal growth restriction through disturbing placental vascularity and prolife-ration. Chemosphere. 2018;213:252-8. doi:10.1016/ j.chemosphere.2018.09.059
- Golivets TP, Kovalenko BS, Parshkov EM. Population patterns of development of cancer incidence. Scientific Bulletins of Belgorod State University. Series: Medicine. Pharmacia. 2014;18(189; Pt 27):166-9. (In Russ).
- Fu W, Chen Z, Bai Y, et al. The interaction effects of polycyclic aromatic hydrocarbons exposure and TERT- CLPTM1L variants on longitudinal telomere length shortening: A prospective cohort study. Environmental Pollution. 2018;242(Pt B):2100-10. doi: 10.1016/j.envpol.2018.05.026
- Bobyleva LA. Chemical mutagenesis and the problems of ecological safety of population of industrial cities. Modern High Technologies. 2015;(12):590-4. (In Russ).
- Kaverin AV, Shchankin AA, Shchankina GI. Impact of environmental factors on physical development and population health. Mordovia University Bulletin. 2015;25(2):87-97. (In Russ). doi:10.15507/ VMU.025.201502.087
- Drach LA. The influence of environmental factors on populance health: frequency of congenital cataract among population of Kramatorsk city (2004-2006). In: Problemi ekologìčnoï ta medičnoï genetiki ì klìnìčnoï ìmunologìï. 2010;4(100):374-81. (In Russ). Available at: http://ecoproblemlug.ucoz.ua/ load/2010/4_100/drach_l_o_vpliv_faktoriv_dovko-lishnogo_seredovishha_na_zdorov_ja_naselennja_ chastota_vrodzhenoji_katarakti_sered_naselennja_ m_kramatorska_2004_2/31-1-0-1511. Accessed: 2019 December 15.
- Shemetun OV, Talan OO, Demchenko OM, et al. Development of radiation-induced bystander effect in the somatic cells of persons from different age groups. Problems of radiation medicine and radiobiology. 2018;23:499-509. doi: 10.33145/2304-8336 -2018-23-499-509
- Chshiyeva FT. Cytogenetic analysis of residents of North Ossetia contacting with toxic factors. Ecolo-gical Genetics. 2014;12(2):68-73. (In Russ).
- Chshiyeva FT. Cytogenetic analysis of the residents of North Ossetia living in ecologically different regions. Ecological Genetics. 2014;12(3):87-94. (In Russ).
- Minina VI, Druzhinin VG, Golovina TA, et al. Dynamics of chromosomal aberrations level in residents of an industrial city in conditions of changing atmosphere pollution. Ecological Genetics. 2014; 12(3):60-70. (In Russ).
- Jamebozorgi I, Majidizadeh T, Pouryagoub G, et al. Aberrant DNA Methylation of Two Tumor Suppressor Genes, p14ARF and p15INK4b, after Chronic Occupational Exposure to Low Level of Benzene. The International Journal of Occupational and Environmental Medicine. 2018;9(3):145-51. doi:10.15 171/ijoem.2018.1317
- Liu Y, Zhang H, Zhang H, et al. Mediation effect of AhR expression between polycyclic aromatic hydrocarbons exposure and oxidative DNA damage among Chinese occupational workers. Environmental Pollution. 2018;243(Pt B):972-7. doi:10.1016/ j.envpol.2018.09.014
- Volkov AN, Druzhinin VG, Minina VI, et al. Research of the influence of Lig4 gene polimorphism on chromosomal aberrations level IN human lymphocytes, with background and excessive exposure to radon. Ecological Genetics. 2013;11(2):16-21. (In Russ).
- Bayravov NA, Zhilyakov EV. Anthropogenic load as a contributor to the development and course of major diseases of pregnant women and children. Fundamental Research. 2014;(4-3):624-8. Available at: https:// fundamental-research.ru/ru/article/view?id=33973. Accessed: 2019 December 15. (In Russ).
- Mukhina MV, Shevchenko SM, Frolova K.A. Analysis of the environment of a large industrial city. Russian Journal of Resources, Conservation and Recycling. 2018;5(1):7. Available at: https:// resources. today/PDF/08NZOR118.pdf. Accessed: 2019 December 15. (In Russ). doi: 10.15862/08NZOR11
- Villarini M, Levorato S, Salvatori T, et al. Buccal micronucleus cytome assay in primary school children: A descriptive analysis of the MAPEC_LIFE multicenter cohort study. International Journal of Hygiene and Environmental Health. 2018;221(6): 883-92. doi: 10.1016/j.ijheh.2018.05.014
- Iztleuov MK, Iztleuov EM. Vlijanie proizvodstvennyh faktorov hromovogo proizvodstva na reproduktivnuju funkciju rabochih. Akademicheskij Zhurnal Zapadnoj Sibiri. 2013;9(3):85. (In Russ).
- Bachina AV, Kos'kina EV, Glebova LA, et al. Hygienic support for the regional model of congenital anomalies monitoring in Kuzbass. Medicine in Kuzbass. 2017;16(1):30-9. (In Russ).
- Zhang LN, Gong XS, An J, et al. Occurrence, degradation and potential ecological risks of triclosan in environment. Ying Yong Sheng Tai Xue Bao. 2018; 29(9):3139-46. doi: 10.13287/j.1001-9332.201809.033
- Ospanova EN, Askambay K. Prevalence and reasons for the emergence of perinatal pathology of central nervous system (PPCNS) among children in shymkent, the South Kazakhstan region. Fundamental Research. 2014;(4-1):129-32. Available at: http://fundamental-research.ru/ru/article/view?id= 33681. Accessed: 2019 December 15. (In Russ).
- Zhou Q, Xi S. A review on arsenic carcinogenesis: Epidemiology, metabolism, genotoxicity and epigenetic changes. Regulatory Toxicology and Pharmacology. 2018;99:78-88. doi: 10.1016/j.yrtph.2018.09.010
- Sauchanka VK. Contribution of human genome and environment to shaping health of society. HealthCare (Minsk). 2016;(3):21-35. (In Russ).
- Balajee AS, Hande MP. History and evolution of cytogenetic techniques: Current and future applications in basic and clinical research. Mutation Research. Genetic Toxicology and environmental mutagenesis. 2018;836(Pt A):3-12. doi: 10.1016/j.mr gentox.2018.08.008
- Aburakhmanov GM, Bekshokova PA, Gabibova PI. Quality of life study of population of Dakhadaev region in Dagestan Republic using the SF-36 questionnaire. Bulletin of the Multinational Center of Quality of Life Research. 2015;(25-26):27-36. (In Russ).
- Kiku PF, Gigaev DS, Shiter NS, et al. The concept of risk factors for the health of the population. Bulletin Physiology and Pathology of Respiration. 2016;(62):101-9. (In Russ). doi: 10.12737/23260
- Puzyrev VP, Nazarenko LP, Lebedev IN. Genetic load and orphan diseases in siberian populations. The Bulletin of Siberian Branch of Russian Academy of Medical Sciences. 2013;33(2):54-62. (In Russ).
- Khetagurova LG, Datieva FS, Tagaeva IR, et al. Search of possibility of integrative approach use in the analysis of the genetic polymorphism role in the development of desynchronosis and socially important diseases of cvd from the view of chronomedicine. Vladikavkazskij Mediko-Biologicheskij Vestnik. 2012;15(23):21-25. (In Russ).
- Gordeeva LA, Voronina EN, Sokolova EA, et al. Association GSTT1, GSTM1 and GSTP1 (Ile105Val) genetic polymorphisms in mothers with risk of congenital malformations in their children in Western Siberia: a case-control study. Prenatal Diagnosis. 2013;33(11):1095-101. doi: 10.1002/pd.4204
- Nabokova LV, Chopikashvili LV, Puhaeva EG. Zdorov'e naselenija goroda Vladikavkaza RSO – Alanija, kak sledstvie sinergizma antropogennyh faktorov sredy. Jelektronnyj sbornik nauchnyh trudov «Zdorov'e i obrazovanie v XXI Veke». 2011; 13(10):478-80. (In Russ).
- Bessonova LA, El'chinova GI, Zinchenko RA. Population genetics of hereditary diseases in the child population of the Republic of Bashkortostan, Chuvashia, and Udmurtia. Russian Journal of Genetics. 2012;48(5):644-54. (In Russ).
- Zinchenko RA, Osipova EV, Elchinova G.I., et al. Factors of population dynamics determining the load of hereditary diseases in subpopulations of udmurt republic. Zdorov'e, Demografija, Jekologija Finno-Ugorskih Narodov. 2012;(1):37-42. (In Russ).
- Amelina SS, Vetrova NV, Ponomareva TI, et al. The load of hereditary diseases in the twelve districts of the Rostov region. Journal of Health and Life Sciences. 2014;(2):43-8. (In Russ).
- Amelina SS, Vetrova NV, Amelina MA, et al. The load and diversity of hereditary diseases in four raions of Rostov oblast. Russian Journal of Genetics. 2014;50(1):91-9. (In Russ). doi: 10.7868/S001 6675814010020
- Makaov AKh, Kutsev SI, Zinchenko RA. Medical genetics and population study of Karachaevsk and Karachayevsky district Karachai-Cherkess republic. Eurazian Union Scientist. 2016;(1-4):73-5. (In Russ).
- Yablokov AV, Levchenko VF, The Decision Exists: Transition to Controlled Evolution of the Biosphere. Philosophy and Cosmology. 2015;14:91-117. (In Russ).
- Pal AK, Ambulkar PS, Waghmare JE, et al. Chromosomal Aberrations in Couples with Pregnancy Loss: A Retrospective Study. Journal of Human Reproductive Sciences. 2018;11(3):247-53. doi:10. 4103/jhrs.JHRS_124_17
- Barouki R, Audouze K, Coumoul X, et al. Integration of the human exposome with the human genome to advance medicine. Biochimie. 2018;152:155-8. doi: 10.1016/j.biochi.2018.06.023
- Artemenkov AA. Change in clinic-physiological parameters of students of industrial center. Scientific Bulletins of Belgorod State University. Series: Me-dicine. Pharmacia. 2016;35(19):67-71. (In Russ).
- Artemenkov AA. Ecological aspects of hygiene noncommunicable diseases of adult population of large industrial city. Public Health and Life Environment. 2017;(4):7-10. (In Russ).
- Artemenkov AA. Disadaption as a factor of evolution development in human populations. Abstract Journal «Scientific review». 2017;(1):5-6. Available at: http://abstract.science-review.ru/ru/article/view? id=1839. Accessed 2019 December 15. (In Russ).
- Stepanov VA. Evolution of genetic diversity and human diseases. Russian Journal of Genetics. 2016; 52(7):852-64. (In Russ). doi: 10.7868/S0016675816 070109
- Haque S. Frequency of XRCC1 Exon 9 G>A gene polymorphism in Saudi Arabian population: A comparative study with worldwide ethnic groups. Journal of Balkan Union of Oncology. 2018;23(4):1195-9.
- Malyarchuk BA, Derenko MV. Genomic studies of aboriginal populations of the North-East Asia. Vestnik Dal'nevostochnogo otdelenija Rossijskoj akademii nauk. 2017;(5):72-7. (In Russ).
- Eltsov NP, Volod'ko NV, Starikovskaya EB, et al. The Role of Natural Selection in the Evolution of Mitochondrial Haplogroups from Northeastern Eurasia. Russian Journal of Genetics. 2010;46(9):1247-9. (In Russ).
- Tetior AN. Problems of binary plural evolution of person. Nacional'naja associacija uchenyh. 2015;4-6(9):129-33. Available at: https://national-science. ru/wp-content/uploads/2016/02/national_9_p6_6-173.pdf. Accessed 2019 December 15. (In Russ).
- Mooney JA, Huber CD, Service S, et al. Understanding the Hidden Complexity of Latin American Population Isolates. American Journal of Human Genetics. 2018;103(5):707-26. doi: 10.1016/j.ajhg.2018.09.013
- Giuliani C, Garagnani P, Franceschi C. Genetics of Human Longevity Within an Eco-Evolutionary Nature-Nurture Framework. Circulation Research. 2018;123(7):745-72. doi: 10.1161/CIRCRESAHA. 118.312562
- Lacina L, Čoma M, Dvořánková B, et al. Evolution of Cancer Progression in the Context of Darwinism. Anticancer Research. 2019;39(1):1-16. doi:10.21873/ anticanres.13074
- Kuo HW. Health Without Borders: Creating Healthy Cities. Hu li za zhi The journal of nursing. 2018; 65(5):27-33. doi: 10.6224/JN.201810_65(5).05
- Artemenkov AA. Genetic, Physiological, and Evolutionary Significance of Maladaptation (Review). Journal of Medical and Biological Research. 2018;6(4):319-31. (In Russ). doi: 10.17238/issn 2542-1298.2018.6.4.319
- Fenster CB, Ballou JD, Dudash MR, et al. Conservation and Genetics. The Yale Journal of Biology and Medicine. 2018;91(4):491-501.
补充文件







