Bedside assessment of cognitive heterogenety with clock drawing performance among clinical subtypes of schizophrenia — preliminary study
- Authors: Ransing R.1, Sakekar G.S.2, Grigo O.2, Khairkar P.3
-
Affiliations:
- BKL Walawalkar Rural Medical College
- Mahatma Gandhi Institute of Medical Sciences
- Kamineni Institute of Medical Sciences
- Issue: Vol 33, No 1 (2025)
- Pages: 37-48
- Section: Original study
- Submitted: 17.06.2023
- Accepted: 14.09.2023
- Published: 16.04.2025
- URL: https://journals.eco-vector.com/pavlovj/article/view/501723
- DOI: https://doi.org/10.17816/PAVLOVJ501723
- ID: 501723
Cite item
Abstract
INTRODUCTION: Cognitive deficit is the enduring, persistent, and core feature of schizophrenia associated with increased risk of psychosocial disability. The cognitive deficit is highly prevalent, and variable according to the type of schizophrenia and course of illness. It is often overlooked by clinicians because of the complexity of assessment. The clock drawing test (CDT) is a brief, simple, and widely used cognitive screening instrument.
AIM: To compare the level of cognitive impairment among subtypes of schizophrenia using CDT.
MATERIALS AND METHODS: The CDT performance of institutionalized patients with schizophrenia of three clinical subtypes, Paranoid (n = 45), undifferentiated (n = 45), and disorganized (n = 45) was compared with age and sex-matched controls (n=45). The severity of symptoms in each group was assessed using Free drawn CDT, Positive and Negative Symptoms Scale (PANSS), and a Brief Psychiatric Rating Scale (BPRS) at the time of admission. The test and One-way ANOVA test with Bonferroni multiple comparison test were used to compare these groups. Pearson correlation coefficients were calculated to determine the bi-variate relationship among continuous variables including PANSS score, BPRS score, CDT Score, and Mini-Mental Status Examination (MMSE) Score among various comparison groups.
RESULTS: The patients in the disorganized group (3.06 ± 2.27) performed more poorly than the paranoid group (6.06 ± 1.86), undifferentiated (4.60 ± 2.71), and the comparison group (8.68 ± 1.22), p < 0.004. The CDT performance was negatively correlated with the PANSS score (r = -0.47, p < 0.001) and BPRS score (r = -0.47, p < 0.001) among three subtypes. The MMSE was highly correlated with CDT score among the disorganized group (r = 0.65, p < 0.001) than the paranoid group (r = 0.43, p < 0.05).
CONCLUSION: Our findings suggest that the CDT test can be used at the bedside to distinguish between disorganized and paranoid types of schizophrenia. The disparity in CDT performance may be due to the different involvement of neural correlates among schizophrenia subtypes. Furthermore, CDT performance may be useful to clinicians in routine clinical practice in selecting appropriate pharmacological and psychosocial interventions.
Keywords
Full Text
LIST OF ABBREVIATIONS
BPRS — Brief Psychiatric Rating Scale
CDT — Clock Drawing Test
CI — confidence interval
DSM-IV-TR — Diagnostic and Statistical Manual of Mental Disorders, IV edition, text revision
MMSE — Mini Mental Status Examination
NA — not available
PANSS — Positive and Negative Syndrome Scale
INTRODUCTION
The term Dementia Praecox was coined by Emil Kraepelin to describe schizophrenia, a complex disease characterized by early onset, cognitive deficit, and a deteriorating course with hallucination and delusion [1]. The symptoms of schizophrenia are grouped into domains of dysfunction, which include positive symptoms, negative symptoms, affective symptoms, and cognitive impairment. These symptoms vary in severity, frequency, course of illness, and outcome across patients. Though the classification of schizophrenia is not beneficial, the researchers attempted to solve schizophrenia heterogeneity by clustering symptoms in different domains [2].
The DSM-IV-TR (Diagnostic and Statistical Manual of Mental Disorders, IV edition, text revision) classifies schizophrenia into subtypes, which include:
1) paranoid: associated with one or more systematized delusions and hallucinations;
2) disorganized: associated with disorganization in speech and behaviour;
3) catatonic: marked psychomotor disturbance;
4) other subtypes including undifferentiated type, residual type [3–4].
During the course of illness, clinical subtypes remain unstable [5], nonspecific to explain the etiology and pathophysiology, treatment, and prognosis of schizophrenia [6–8].
Cognitive deficit is a persistent, highly variable, enduring, and core feature of schizophrenia. Cognitive deficits vary across schizophrenia subtypes and are further classified as neurocognitive and social-cognitive deficits. The neurocognitive deficit affects specific brain areas and neural circuits, whereas the social cognitive deficit affects the process of interacting with the social world [9]. The neurocognitive deficits affect the speed of information processing, attention/vigilance [10], working memory [11], visual memory, reasoning, and problem-solving [12]. Cognitive deficit is one of the strong predictors of poor social and occupational outcomes among patients with schizophrenia [13]. The deficit in executive function and working memory is known to produce maximum cognitive impairment. The early detection and intervention of cognitive impairment are required for disability limitation and better prognosis in schizophrenia [14].
Various approaches are used to assess the cognitive deficit in schizophrenia including experimental, ecological, psychometric, and neuropsychological approaches [15]. These approaches are complex, time-consuming, and limited to researchers only. Despite being aware of the potential implication of cognitive deficit in a patient with schizophrenia, clinician mostly fails to prioritize the assessment of cognitive deficit among subtypes. Thus, the need of the hour is that the cognitive test should be simple, easy to administer and interpret.
Clock drawing test (CDT) has been considered as reliable screening test to measure mild cognitive impairment in delirium and dementia along with Mini-Mental Status Examination (MMSE), besides, it is simple, easy to administer, and interpret [16, 17]. Though MSE and CDT are moderately correlated with each other, they measure different aspects of cognitive impairment. MMSE is considered a nonspecific measure of global cognitive function while CDT is a specific indicator of executive function [18]. The present study was aimed to compare the level of cognitive impairment among subtypes of schizophrenia using CDT.
MATERIALS AND METHODS
The cross-sectional study was carried out at the Tertiary Care Rural Hospital of Central India and after obtaining permission from Institute Ethics Committee. After explaining the nature of the study, the written consent was obtained from all participants.
The Inclusion criteria for cases were:
1) age between 18 to 65 years;
2) minimum 10 years of education;
3) right-handed;
4) that fulfils the DSM-IV — TR for Schizophrenia.
The Exclusion criteria were the presence of delirium or dementia, organic diseases of brain, past history of head injury and epilepsy, learning disability, poor eyesight, and hearing. Age and sex-matched controls were selected from the community fulfilling exclusion criteria and never visited psychiatry OPD in their lifetime. The patients who fulfilled the inclusion and exclusion criteria were assessed with Folstein MMSE [19], CDT (free drawn), Positive and Negative Syndrome Scale (PANSS) scale, and Brief Psychiatric Rating Scale (BPRS) on the day of admission. The CDT performance was assessed with Sunderland Scoring System [20]. The patient with schizophrenia was grouped later into three categories based on their clinical features as per DSM-IV-TR Diagnostic criteria.
Socio-demographic characteristic. A total of 135 patients of schizophrenia consisting of Paranoid (n = 45), undifferentiated (n = 45), and disorganized (n = 45) groups were included. The age and sex-matched controls (n = 45) were included in the study. The socio-demographic profile of the four groups is presented in Table 1. All four groups are age and sex-matched with male predominance among paranoid subtype of schizophrenia. (66.7%, male vs 33.3%, female) followed by disorganised schizophrenia (62.2%, male vs 37.8%, female). A significant difference was observed in their years of education among patients with schizophrenia (11.11 ± 2.31) and the healthy group (13.56 ± 1.71, p < 0.001). However, the educational status of a subgroup of schizophrenia was comparable to each other. Most of the patients with schizophrenia were unemployed, unmarried / divorced, and living alone. There were more unemployed patients in the disorganised group than in the paranoid group (71.11% vs 54.54%). The number of unemployed patients was almost equal (68.88%) in the undifferentiated and in the disorganized group (χ2 = 9.10, df = 3, p = 0.02).
Table 1. Comparison of Socio-demographic Profile
Variables | Paranoid | Undifferentiated | Disorganised | Control | ANOVA Test |
n | 45 | 45 | 45 | 45 | – |
Age, years | 26.45 ± 9.27 | 30.00 ± 7.13 | 27.00 ± 9.49 | 29.24 ± 7.47 | р = 0.4271 |
Sex | |||||
Male, n (%) | 30 (66.66) | 22 (48.88) | 28 (62.20) | 21 (45.45) | ÷2 = 5.30, df = 3, p = 0.15 |
Female, n (%) | 15 (33.33) | 23 (51.11) | 17 (37.80) | 24 (54.54) | |
Years of education, n (%) | 11.11 ± 2.31 | 11.10 ± 1.66 | 11.11 ± 2.31 | 13.56 ± 1.71 | p < 0.001 |
Marital status | |||||
Married, n (%) | 22 (48.88) | 14 (31.11) | 10 (22.22) | 22 (48.88) | ÷2 = 10.32, df = 3, p = 0.016 |
Unmarried / divorce, n (%) | 23 (51.11) | 31 (68.88) | 35 (77.77) | 23 (51.11) | |
Occupation | |||||
Employed, n (%) | 21 (45.45) | 14 (31.11) | 13 (28.88) | 25 (55.55) | ÷2 = 9.10, df = 3, p = 0.02 |
Unemployed, n (%) | 24 (54.54) | 31 (68.88) | 32 (71.11) | 20 (44.44) | |
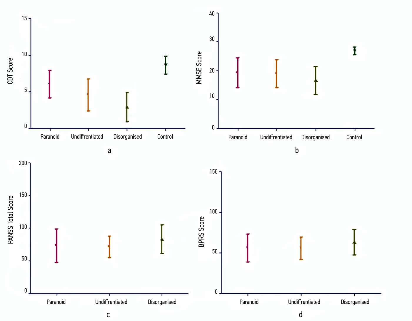
Clinical Characteristics. Clinical characteristics of study group are shown in Table 2, and results of Bonferroni post-hoc multiple comparison tests are shown in Table 3, Figure 1.
Table 2. Comparison among Subtypes of Schizophrenia
Variables | Paranoid | Undifferentiated | Disorganised | Control | ANOVA Test |
n | 45 | 45 | 45 | 45 | – |
CDT score (1–10) | 6.06 ± 1.86 | 4.60 ± 2.71 | 3.06 ± 2.27 | 8.68 ± 1.22 | p = 0.004 |
PANSS Total score | 73.43 ± 25.69 | 71.80 ± 16.42 | 83.36 ± 22.14 | – | p = 0.09 |
PANSS-P score | 19.34 ± 7.82 | 17.00 ± 8.75 | 21.38 ± 9.20 | – | p = 0.27 |
PANSS-N score | 17.41 ± 8.68 | 16.60 ± 5.93 | 19.29 ± 9.20 | – | p = 0.49 |
PANSS-G score | 36.68 ± 13.57 | 38.20 ± 5.51 | 42.69 ± 9.90 | – | p = 0.04 |
BPRS score | 56.23 ± 17.03 | 55.90 ± 13.91 | 63.44 ± 15.49 | – | p = 0.08 |
MMSE score (0–30) | 19.30 ± 5.15 | 19.00 ± 4.80 | 16.69 ± 4.86 | 26.88 ± 1.38 | p < 0.001 |
Table 3. Bonferroni Post-Hoc Multiple Comparison among Subtypes of Schizophrenia
Variables | Comparison Group | Bonferroni’s Post Hoc Comparison (95 % СI) | |||||
F, p | Paranoid & Undifferentiated | Paranoid & Disorganised | Paranoid & Control | Undifferentiated & Disorganised | Undifferentiated & Control | Disorganised & Control | |
CDT score (1–10) | 87.38, р < 0.001 | -0.17 to 3.10 | 2.14 to 4.13*** | -3.57 to -1.64*** | 0.032 to 3.30* | -5.69 to -2.46*** | -6.70 to -4.78*** |
PANSS Total | 2.37, р < 0.09 | -18.31 to 21.57 | -21.99 to 2.14 | NA | -31.45 to 8.34 | NA | NA |
PANSS-P | 1.32, р < 0.27 | -4.97 to 9.65 | -6.46 to 2.39 | NA | -11.68 to 2.922 | NA | NA |
PANSS-N | 0.70, р < 0.49 | -6.62 to 8.24 | -6.38 to 2.62 | NA | -10.11 to 4.73 | NA | NA |
PANSS-G | 3.16, р < 0.047* | -11.26 to 8.22 | -11.90 to -0.11* | NA | -14.21 to 5.235 | NA | NA |
BPRS | 2.52, р < 0.085 | -13.38 to 14.04 | -15.52 to 1.08 | NA | -21.23 to 6.14 | NA | NA |
MMSE | 53.26, р < 0.001 | -3.58 to 4.17 | 0.26 to 4.95* | -9.87 to -5.29*** | -1.56 to 6.18 | -11.71 to -4.04*** | -12.46 to -7.91*** |
Notes: * — p < 0.05, ** — p < 0.01, *** — p < 0.001; BPRS — Brief Psychiatric Rating Scale, CDT — Clock Drawing Test, CI — Confidence Interval, MMSE — Mini Mental Status Examination, NA — not available, PANSS — Positive and Negative Syndrome Scale
Fig. 1. Comparison between three clinical subtypes of schizophrenia with control group: оn CDT (a, p = 0.004), MMSE (b, p < 0.001), PANSS score (с, p = 0.9), BPRS score (d, p = 0.08).
Notes: BPRS — Brief Psychiatric Rating Scale, CDT — Clock drawing test, MMSE — Mini-Mental Status Examination, PANSS — Positive and Negative Syndrome Scale.
All patients with schizophrenia irrespective of their subtype performed worse on CDT than healthy controls (p = 0.004). The CDT performance differed significantly across all four groups as reflected by highly significant group interaction (F = 87.38, df = 3,145, p < 0.001). Among the patients with schizophrenia, disorganized group performed worse on CDT (3.06 ± 2.27) than the paranoid group (6.06 ± 1.86) and the undifferentiated group (4.60 ± 2.71). The patients in the undifferentiated group performed worse than in the paranoid group (p < 0.004). On multiple comparison tests, the difference was more significant between paranoid and disorganised group (95% confidence interval (CI) 2.14–4.13, p < 0.001) than between the undifferentiated and disorganised group (95% CI 0.03–3.30, p < 0,05).
There was no significant difference among four groups on PANSS Total (p = 0.09), PANSS — positive (p = 0.27), PANSS — negative (p = 0.49) and BPRS scale (p = 0.08). The significant difference was observed on PANSS — G subscale (p = 0.04). Bonferroni’s Post-hoc multiple comparison tests were performed for comparisons between groups. A significant difference is observed between paranoid and disorganized groups (95% CI -11.90 – -0.11, p < 0.05, Bonferroni adjusted).
We observed significant differences between patients with schizophrenia and the control group (p < 0.001). On Multiple comparison significant difference was observed between paranoid and disorganized group (95% CI 0.26–4.95, p < 0.05, Bonferroni adjusted) than paranoid and undifferentiated (95% CI -3.58–4.17, p > 0.05, Bonferroni adjusted), undifferentiated and disorganised group (95% CI -1.56–6.18, p > 0.05, Bonferroni adjusted). The difference was highly significant between subtypes of schizophrenia and healthy control (p < 0.001).
All analyses were performed using SPSS software version 20.0 (SPSS, Cary, N.C., USA). Descriptive statistics in terms of percentages was used for categorical variables such as sociodemographic characteristics and clinical characteristics. The Chi-Square test and Fisher’s exact test were used for the analysis of categorical data. Student-independent t-tests were performed to analyze continuous data between two groups. One-way ANOVA was used to compare the continuous data for three or more groups. Pearson correlation coefficients were calculated to determine the bi-variate relationship among continuous variables including PANSS score, BPRS score, CDT Score, and MMSE Score among various comparison groups.
RESULTS
The representative example of CDT task is depicted in Figure 2 according to subtypes of schizophrenia.
Correlates of CDT Performance and Socio-Demographic and Clinical Variables. The correlations between neurocognitive function measured on CDT, MMSE, and clinical variables were assessed with Pearson correlation coefficient. No significant correlation was observed between age, education, and CDT performance. The poorer performance on CDT positively correlated with poorer scores on MMSE among disorganised and paranoid subtypes of schizophrenia.
Fig. 2. Representative Examples of CDT by Patients with Schizophrenia: (a) patients with disorganised schizophrenia, Sunderland’s Score — 3; (b) patients with Paranoid schizophrenia, Sunderland’s Score — 5; (c) patients with undifferentiated schizophrenia, Sunderland’s Score — 9; (d) patients with undifferentiated schizophrenia, Sunderland’s Score — 10.
A high level of positive correlation is observed between CDT and MMSE among disorganised subtype of schizophrenia (Pearson correlation coefficient r = 0.65, p < 0.001) than paranoid group (r = 0.43, p < 0.01). The MMSE score highly correlated with BPRS score (r = -0.47, p < 0.001), PANSS total (r = -0.47, p < 0.001), PANSS-negative (r = -0.45, p < 0.05), PANSS general (r = -0.45, p < 0.001) among paranoid group than disorganized group. Among disorganised groups, correlation between MMSE with BPRS score (r = -0.33, p < 0.05), PANSS total score (r = -0.40, p < 0.01) and PANSS negative (r = -0.32, p < 0.05) was observed. No significant correlations were observed between other clinical variables (Table 4).
Table 4. Pearson correlations (r value) of CDT Score with MMSE score, PANSS Score, BPRS Score among subtypes of schizophrenia
Variables | Paranoid (n = 45) | Undifferentiated (n = 45) | Disorganised (n = 45) | Control (n = 45) | ||||
MMSE score | CDT score | MMSE score | CDT score | MMSE score | CDT score | MMSE score | CDT score | |
Age | -0.041 | -0.23 | 0.44 | -0.021 | 0.069 | 0.11 | 0.12 | 0.059 |
Education | -0.029 | -0.46 | -0.11 | -0.38 | 0.14 | 0.016 | -0.10 | 0.19 |
MMSE | NA | 0.43** | NA | 0.11 | NA | 0.65*** | NA | -0.02 |
BPRS | -0.47*** | -0.16 | -0.49 | 0.17 | -0.33* | -0.19 | NA | NA |
PANSS Total | -0.47*** | -0.20 | -0.60 | -0.14 | -0.40** | -0.32** | NA | NA |
PANSS Positive Scale | -0.24 | -0.20 | -0.46 | 0.15 | -0.28 | -0.16 | NA | NA |
PANSS Negative Scale | -0.47** | -0.19 | -0.56 | -0.39 | -0.36* | -0.32* | NA | NA |
PANSS General psychopathology scale | -0.45*** | -0.13 | -0.45 | -0.22 | -0.30* | -0.28 | NA | NA |
Notes: * — p < 0.05, ** — p < 0.01, *** — p < 0.001; BPRS — Brief Psychiatric Rating Scale, CDT — Clock Drawing Test, CI — Confidence Interval, MMSE — Mini-Mental Status Examination, NA — not available, PANSS — Positive and Negative Syndrome Scale
DISCUSSION
To the best of our knowledge, no study seems to have compared neurocognitive functioning with clock drawing performance among subtypes of schizophrenia. However, few researchers in past attempted to assess clock drawing performance among schizophrenia patients without stratification in subtypes and elderly subjects [21, 22]. The age and disease process has a significant impact on clock drawing performance in schizophrenia [23]. We attempted to overcome this major limitation with inclusion of younger subjects and stratification in subtypes of schizophrenia.
As expected, we found that patients with schizophrenia have low scholastic performance compared to healthy comparison. The cognitive decline in schizophrenia has been studied extensively and found to be associated with number of relapses, hospitalizations, premorbid IQ, length of illness, and depression [24–26]. In the present study, we tried to minimize the influence of education on clock drawing performance with a purposeful selection of subjects that are matriculated.
The index study confirms previous research finding that patients with a higher score on PANSS were performed worse on both MMSE and CDT score. Poorer performance score on CDT correlated with higher performance score on PANSS positive symptoms sub-scale [21]. These finding may be suggestive of potential impact of positive, negative and affective domains of schizophrenia on cognitive domains. P. Brazo, et al. (2002) in their study found that patients with positive symptoms have better cognitive skills than disorganized subtype [27].
The patients with paranoid schizophrenia performed better on CDT and had higher MMSE score than other subtypes. They were mostly employed, married than another subtype. The CDT was studied as a specific indicator of executive function, and Mini mental status is considered as indicator of global cognitive function [18]. The intact executive function, working memory, sustained attention is required for occupational and social functioning [20, 28]. It may be suggestive of the patients with schizophrenia being cognitively superior to other subtypes. The most of the authors previously reported that the paranoid and undifferentiated group of schizophrenia are cognitively heterogenous with near normal or normal cognitive function termed as ‘Neuropsychologically normal schizophrenia’ [29–31].
The representatives of disorganised group were more unemployed, divorced or living single and had worst MMSE score and poor performance on clock drawing test. The employment requires the ability to plan, prioritize and solve the problems along with planning for future and setting goals. The wide range of neurocognitive functions is required for better occupational and social functioning, which includes attention, memory, executive function and learning. These all are affected in schizophrenia, which leads to increased unemployment among patients with schizophrenia. The index study suggests the unemployment is higher in disorganised group, which is secondary to impaired cognitive function and appears subtype specific. It can be assessed with clock drawing test at early stage to better plan management in clinical practice.
The poor performance of disorganised group on clock drawing test compared to paranoid and disorganised group may be suggestive of different underlying neurobiological mechanism contributing to same. The most of the previously conducted functional neuroimaging studies suggests that hypoactivity of mesocortical dopaminergic pathway to dorsolateral prefrontal cortex mediates cognitive and negative symptoms of schizophrenia, and hyperactivity of mesolimbic dopamine pathway to nucleus accumbens is being involved in positive symptoms of schizophrenia [32–34]. The one of the recently conducted studies suggests the correlation between severity of negative symptoms with grey matter volume reduction in ventrolateral prefrontal cortex, and severity of positive symptoms with grey matter reduction in temporal and medio-frontal cortex. Most of these symptoms were found to be associated with slowing down of processing speed and impairment in working memory [35].
The Nenadicetal achieved 98.5 % accuracy in classification of schizophrenia into three groups on the basis of Voxel Based Morphometry. They reported association of stronger deficit in medial temporal and cerebellar region with disorganised subsyndrome, the paranoid/hallucinatory subsyndrome with superior temporal cortex, and negative subsyndrome with stronger deficit in thalamus [36]. Interestingly, in our study we found highly significant difference on clock drawing performance among disorganised and paranoid group which is almost comparable to their neuroimaging studies and may indicate the potential of CDT to delineate heterogenous schizophrenia into their subtypes. However, it requires further exploration with both qualitative and quantitative analysis of CDT.
The various neurotransmitter systems have previously been postulated, which modulate the cognitive symptoms in schizophrenia along with positive, negative and affective symptoms. The antipsychotics use has been reported with improvement in cognitive function. Atypical antipsychotics such as quetiapine and olanzapine have been proven more efficacious in cognitive outcomes in patients with schizophrenia than risperidone, ziprasidone, and haloperidol [37]. The patient with better cognitive performance is able to maintain regular drug compliance and to monitor their symptoms. They are considered as suitable candidates for cognitive behaviour therapy. Thus, bedside assessment of cognitive heterogeneity may appear useful for clinicians to select appropriate pharmacotherapy and psychosocial therapy. The clinician may set different vocational and educational goals from those set for other patients and may allow higher degree of independent living.
Limitations. Our study has few limitations. Firstly, we included only inpatients who are obvious with higher severity of symptoms than outpatients. Therefore, further study with matched case control is warranted to generalize these finding in clinical practice. Secondly, it is expected that simple screening tests are usually insufficient to discriminate subjects with subtle cognitive impairment from cognitively healthy subjects. Thirdly, in index study, cognitive performance was not compared with any standardised neuropsychological test.
CONCLUSION
The сlock drawing test has potential to differentiate subtypes of schizophrenia from each other and healthy control. Being a brief, relatively time-efficient screening test, it is easy to administer, well accepted by patient and easy to document in clinical settings. It may help to measure improvement or deterioration in cognitive deficit, negative symptoms among patients with schizophrenia. It may guide the selection of psychotropics and a better understanding of underlying functional impairment of neural circuits in patient with schizophrenia.
ADDITIONALLY
Funding. The authors declare that there is no funding for the study.
Conflict of interests. The authors declare no conflicts of interests.
Acknowledgement. Authors are thankful to all patients and their caregivers for participating and supporting to our study.
Contribution of the authors: R. Ransing — concept of study, collection and analysis of data, writing the text, editing; O. Grigo — concept of study, collection and analysis of data, writing the text; G. Sakekar — collection and analysis of data; P. Khairkar — writing the text, editing. The authors confirm the correspondence of their authorship to the ICMJE International Criteria. All authors made a substantial contribution to the conception of the work, acquisition, analysis, interpretation of data for the work, drafting and revising the work, final approval of the version to be published and agree to be accountable for all aspects of the work.
Финансирование. Авторы заявляют об отсутствии внешнего финансирования при проведении исследования.
Конфликт интересов. Авторы заявляют об отсутствии конфликта интересов.
Благодарность. Авторы благодарны всем пациентам и лицам, осуществляющим уход за ними, за участие и поддержку в исследовании.
Вклад авторов: Ransing R. — концепция исследования, сбор и анализ данных, написание текста, редактирование; Grigo O. — концепция исследования, сбор и анализ данных, написание текста; Sakekar G. — сбор и анализ данных; Khairkar P. — написание текста, редактирование. Авторы подтверждают соответствие своего авторства международным критериям ICMJE (все авторы внесли существенный вклад в разработку концепции и подготовку статьи, прочли и одобрили финальную версию перед публикацией).
About the authors
Ramdas Ransing
BKL Walawalkar Rural Medical College
Author for correspondence.
Email: ramdas_ransing123@yahoo.co.in
ORCID iD: 0000-0002-5040-5570
MD
India, Ratnagiri, MaharashtraGajanan Sh. Sakekar
Mahatma Gandhi Institute of Medical Sciences
Email: gsakekar@gmail.com
ORCID iD: 0009-0000-9700-008X
India, Sevagram, Wadha, Maharashtra
Omityah Grigo
Mahatma Gandhi Institute of Medical Sciences
Email: dromityah@gmail.com
ORCID iD: 0000-0003-3384-1386
Assistant Professor
India, Sevagram, Wadha, MaharashtraPraveen Khairkar
Kamineni Institute of Medical Sciences
Email: praveen.khairkar280@gmail.com
ORCID iD: 0000-0003-3166-3547
MD, Dr. Sci. (Med.), Professor
India, NarketpallyReferences
- Kraepelin E; Robertson GM, editor. Dementia praecox and paraphrenia. Chicago; 1919.
- Tandon R, Nasrallah HA, Keshavan MS. Schizophrenia, “just the facts” 5. Treatment and prevention. Past, present, and future. Schizophr Res. 2010;122(1–3):1–23. doi: 10.1016/j.schres.2010. 05.025
- The ICD-10 Classification of Mental and Behavioural Disorders. Clinical descriptions and diagnostic guidelines. Geneva: World Health Organization; 1992.
- DSM-IV-TRTM. Diagnostic and Statistical Manual of Mental Disorders. Text Revision. 4th ed. Washington: American Psychiatric Association; 2000.
- Helmes E, Landmark J. Subtypes of schizophrenia: a cluster analytic approach. Can J Psychiatry. 2003;48(10):702–8. doi: 10.1177/070674370304801010
- Suvisaari J, Perälä J, Saarni SI, et al. The Epidemiology and Descriptive and Predictive Validity of DSM-IV Delusional Disorder and Subtypes of Schizophrenia. Clinical Schizophrenia & Related Psychoses. 2009;2(4):289–97.
- Kendler KS, Gruenberg AM, Tsuang MT. A family study of the subtypes of schizophrenia. Am J Psychiatry. 1988;145(1):57–62. doi: 10.1176/ajp.145.1.57
- Peralta V, Cuesta MJ. How many and which are the psychopathological dimensions in schizophrenia? Issues influencing their ascertainment. Schizophr Res. 2001;49(3):269–85. doi: 10.1016/s0920-9964(00)00071-2
- Beer JS, Ochsner KN. Social cognition: A multi level analysis. Brain Res. 2006;1079(1):98–105. doi: 10.1016/j.brainres.2006. 01.002
- Dickinson D, Ramsey ME, Gold JM. Overlooking the obvious: a meta-analytic comparison of digit symbol coding tasks and other cognitive measures in schizophrenia. Arch Gen Psychiatry. 2007;64(5):532–42. doi: 10.1001/archpsyc.64.5.532
- Reichenberg A, Harvey PD. Neuropsychological impairments in schizophrenia: Integration of performance-based and brain imaging findings. Psychol Bull. 2007;133(5):833–58. doi: 10.1037/0033-2909.133.5.833
- Keefe RSE, Harvey PD. Cognitive impairment in schizophrenia. Handb Exp Pharmacol. 2012;(213):11–37. doi: 10.1007/978-3-642-25758-2_2
- Bowie CR, Leung WW, Reichenberg A, et al. Predicting Schizophrenia Patients’ Real-World Behavior with Specific Neuropsychological and Functional Capacity Measures. Biological Psychiatry. 2008;63(5):505–11. doi: 10.1016/j.biopsych.2007.05.022
- Gopal YV, Variend H. First-episode schizophrenia: review of cognitive deficits and cognitive remediation. Advances in Psychiatric Treatment. 2005;11(1):38–44. doi: 10.1192/apt.11.1.38
- Chan RCK, Chen E. Assessment of executive function for schizophrenia in Hong Kong. Hong Kong J Psychiatry. 2005;15(1): 23–8.
- Shulman KI. Clock-drawing: is it the ideal cognitive screening test? Int J Geriatr Psychiatry. 2000;15(6):548–61. doi: 10.1002/1099-1166(200006)15:6%3C548::aid-gps242%3E3.0.co;2-u
- Pinto E, Peters R. Literature review of the Clock Drawing Test as a tool for cognitive screening. Dement Geriatr Cogn Disord. 2009;27(3):201–13. doi: 10.1159/000203344
- Fuller CD, Schillerstrom JE, Jones WE 3rd, et al. Prospective evaluation of pretreatment executive cognitive impairment and depression in patients referred for radiotherapy. Int J Radiat Oncol Biol Phys. 2008;72(2):529–33. doi: 10.1016/j.ijrobp.2007.12.040
- Folstein MF, Folstein SE, McHugh PR. "Mini-mental state". A practical method for grading the cognitive state of patients for the clinician. J Psychiatr Res. 1975;12(3):189–98. doi: 10.1016/0022-3956(75)90026-6
- Sharma T, Antonova L. Cognitive function in schizophrenia: Deficits, functional consequences, and future treatment. Psychiatr Clin North Am. 2003;26(1):25–40. doi: 10.1016/s0193-953x(02)00084-9
- Bozikas VP, Kosmidis MH, Gamvrula K, et al. Clock Drawing Test in patients with schizophrenia. Psychiatry Res. 2004;121(3):229–38. doi: 10.1016/j.psychres.2003.07.003
- Bozikas VP, Kosmidis MH, Kourtis A, et al. Clock drawing test in institutionalized patients with schizophrenia compared with Alzheimer's disease patients. Schizophr Res. 2003;59(2–3):173–9. doi: 10.1016/s0920-9964(01)00335-8
- Kaneda A, Yasui–Furukori N, Umeda T, et al. Comparing the influences of age and disease on distortion in the clock drawing test in Japanese patients with schizophrenia. Am J Geriatr Psychiatry. 2010;18(10):908–16. doi: 10.1097/jgp.0b013e3181ef7a47
- Olivares JM, Sermon J, Hemels M, et al. Definitions and drivers of relapse in patients with schizophrenia: a systematic literature review. Ann Gen Psychiatry. 2013;12(1):32. doi: 10.1186/1744-859x-12-32
- Bonner–Jackson A, Grossman LS, Harrow M, et al. Neurocognition in schizophrenia: a 20-year multi-follow-up of the course of processing speed and stored knowledge. Compr Psychiatry. 2010;51(5):471–9. doi: 10.1016/j.comppsych.2010. 02.005
- Hafner H, Loffler W, Maurer K, et al. Depression, negative symptoms, social stagnation and social decline in the early course of schizophrenia. Acta Psychiatr Scand. 1999;100(2):105–18. doi: 10.1111/j.1600-0447.1999.tb10831.x
- Brazo P, Marié RM, Halbecq I, et al. Cognitive patterns in subtypes of schizophrenia. Eur Psychiatry. 2002;17(3):155–62. doi: 10.1016/s0924-9338(02)00648-x
- Hardy–Baylé M–C, Sarfati Y, Passerieux C. The cognitive basis of disorganization symptomatology in schizophrenia and its clinical correlates. Schizophr Bull. 2003;29(3):459–71. doi: 10.1093/oxfordjournals.schbul.a007019
- Seaton BE, Goldstein G, Allen DN. Sources of heterogeneity in schizophrenia: the role of neuropsychological functioning. Neuropsychol Rev. 2001;11(1):45–67. doi: 10.1023/a:1009013718684
- Allen DN, Goldstein G, Warnick E. A consideration of neuro-psychologically normal schizophrenia. J Int Neuropsychol Soc. 2003; 9(1):56–63. doi: 10.1017/s135561770391006x
- Goldstein G. Application of Cluster Analysis to Investigate Neuropsychological Heterogeneity in Psychiatric and Neurological Patients. In: Allen D, Goldstein G, editors. Cluster Analysis in Neuropsychological Research. Springer, N.–Y.; 2013. P. 37–70. doi: 10.1007/978-1-4614-6744-1_3
- Abi-Dargham A, Moore H. Prefrontal DA transmission at D1 receptors and the pathology of schizophrenia. Neuroscientist. 2003; 9(5):404–16. doi: 10.1177/1073858403252674
- Tuppurainen H, Kuikka J, Viinamäki H, et al. Extrastriatal dopamine D 2/3 receptor density and distribution in drug-naive schizophrenic patients. Mol Psychiatry. 2003;8(4):453–5. doi: 10.1038/sj.mp.4001334
- Gross G, Huber G. Psychopathology of schizophrenia and brain imaging. Fortschr Neurol Psychiatr. 2008;76(Suppl 1):S49–56. (In German). doi: 10.1055/s-2008-1038152
- Zierhut KC, Schulte–Kemna A, Kaufmann J, et al. Distinct structural alterations independently contributing to working memory deficits and symptomatology in paranoid schizophrenia. Cortex. 2013;49(4):1063–72. doi: 10.1016/j.cortex.2012.08.027
- Nenadic I, Sauer H, Gaser C. Distinct pattern of brain structural deficits in subsyndromes of schizophrenia delineated by psychopathology. NeuroImage. 2010;49(2):1153–60. doi: 10.1016/j.neuroimage.2009.10.014
- Désaméricq G, Schurhoff F, Meary A, et al. Long-term neuro-cognitive effects of antipsychotics in schizophrenia: a network meta-analysis. Eur J Clin Pharmacol. 2014;70(2):127–34. doi: 10.1007/s00228-013-1600-y
Supplementary files






