Оценка когнитивного и биохимического статуса головного мозга у пациентов после проведения каротидной эндартерэктомии
- Авторы: Калинин Р.Е.1, Сучков И.А.1, Пшенников А.С.1, Зорин Р.А.1, Соляник Н.А.1, Никифоров А.А.1, Климентова Э.А.1, Везенова И.В.2, Леонов Г.А.1, Буршинов А.О.1
-
Учреждения:
- Рязанский государственный медицинский университет имени академика И.П. Павлова
- Областная клиническая больница
- Выпуск: Том 31, № 4 (2023)
- Страницы: 601-612
- Раздел: Оригинальные исследования
- Статья получена: 03.10.2023
- Статья одобрена: 09.11.2023
- Статья опубликована: 22.11.2023
- URL: https://journals.eco-vector.com/pavlovj/article/view/585436
- DOI: https://doi.org/10.17816/PAVLOVJ585436
- ID: 585436
Цитировать
Аннотация
Введение. В таких крупных исследованиях, как NASCET, ESCT, VACS, ACAS и ACST-1, не определена роль изменения когнитивных функций пациента в раннем и отдаленном послеоперационном периоде.
Цель. Оценить биохимические параметры церебральных функций, когнитивный статус пациентов, а также их взаимосвязь после каротидной эндартерэктомии.
Материалы и методы. В исследование было включено 60 пациентов, разделенных на две группы. Средний возраст составлял 67,3 ± 7,9 года, мужчин было 49 (81%), женщин — 19 (19%). Группа А — «симптомные» больные (n = 30), которым выполнялась каротидная эндартерэктомия, и они в анамнезе имели перенесенное острое нарушение мозгового кровообращения. Группа Б — «асимптомные больные» (n = 30), которым выполнялась каротидная эндартерэктомия, и они не имели в анамнезе церебральных сосудистых событий. В рамках исследования в срок до 6 мес. были оценены когнитивный статус (по шкалам MMSE, FAB, MoCA-test, NIHSS), биохимические показатели (белок S100b, нейрон-специфичная энолаза (NSE), мозговой нейротрофический фактор роста (BDNF)) и данные ультразвукового исследования сонных артерий.
Результаты. Установлено, что у пациентов группы А имеет место улучшение когнитивного статуса к 6 мес. по шкале MMSE (p = 0,001) и MoCA-test (p = 0,09) относительно исходных показателей; по шкале FAB относительно данных — через 1 мес. (p = 0,01); отмечено снижение уровня неврологического дефицита по шкале NIHSS (p = 0,01). В группе А выявлена обратная корреляция между оценкой по шкале MMSE и индексом резистентности (r = -0,675; p = 0,005) и прямая — между шкалой FAB и конечным диастолическим давлением во внутренней сонной артерии (r = +0,912; p = 0,005), по данным ультразвукового исследования. В группе Б были получены данные, отражающие улучшение когнитивного статуса к 6 мес. только по шкале MoCA-тест на 2 балла (p = 0,03) относительно исходных показателей. Также в данной группе через 6 мес. после операции произошло повышение маркера S100b (p = 0,01) и белка NSE (p = 0,02) в 2 раза, а протеина BDNF в 1,5 раза по сравнению с исходными значениями (p = 0,005).
Выводы. Каротидная эндартерэктомия ведет к улучшению когнитивного статуса, оцененного по шкалам (MMSE, FAB, MoCA, NIHSS) в отдаленном послеоперационном периоде у симптомных пациентов. Степень улучшения нейропсихического статуса зависит от уровня конечного диастолического давления и индекса резистентности во внутренней сонной артерии на стороне вмешательства.
Полный текст
СПИСОК СОКРАЩЕНИЙ
ВВШ — временный внутрипросветный шунт
ВСА — внутренняя сонная артерия
ИР — индекс резистентности
КДД — конечное диастолическое давление
КЭАЭ — каротидная эндартерэктомия
ACAS — asymptomatic carotid atherosclerosis study (Исследование бессимптомного атеросклероза сонных артерий)
ACST-1 — asymptomatic carotid surgery trial 1 (Исследование хирургических вмешательств на бессимптомных сонных артериях)
BDNF — brain derived neurotrophic factor (мозговой нейротрофический фактор роста)
ESCT — European Carotid Surgery Trial (Европейское исследование хирургических вмешательств на сонных артериях)
FAB — frontal assessment battery (тест батареи лобной дисфункции)
MoCA-test — Monreal Cognitive Assessment (Монреальская когнитивная шкала)
MMSE — Mini Mental State Examination (краткая шкала оценки психического статуса)
NASCET — North American Symptomatic Carotid Endarterectomy Trial (Североамериканское исследование эндартерэктомии на симптомной сонной артерии)
NSE — neuron specific enolase (нейрон-специфичная энолаза)
NIHSS — National Institutes of Health Stroke Scale (шкала инсульта национального института здоровья)
VACS — Veterans Affairs Cooperative Study (Совместное исследование по делам ветеранов)
ВВЕДЕНИЕ
На данный момент хирургическая реваскуляризация каротидного бассейна (каротидная эндартерэктомия (КЭАЭ) или стентирование сонных артерий) при наличии показаний является основным методом как первичной, так и вторичной профилактики нежелательных церебральных ишемических событий, связанных с деградацией атеросклеротической бляшки. В таких крупных исследованиях, как Североамериканское исследование эндартерэктомии на симптомной сонной артерии (англ.: North American Symptomatic Carotid Endarterectomy Trial, NASCET), Европейское исследование хирургических вмешательств на сонных артериях (англ.: European Carotid Surgery Trial, ESCT), Совместное исследование по делам ветеранов (англ.: Veterans Affairs Cooperative Study, VACS), Исследование бессимптомного атеросклероза сонных артерий (англ.: Asymptomatic Carotid Atherosclerosis Study, ACAS) и Исследование хирургических вмешательств на бессимптомных сонных артериях (англ.: Asymptomatic Carotid Surgery Trial 1, ACST-1) роль КЭАЭ является ведущей в профилактике сосудистых мозговых катастроф [1–5]. Но в них не исследована роль изменения когнитивного статуса пациента в раннем и отдаленном послеоперационном периоде. Также большое значение приобретает оценка предикторов изменения нейропсихических функций в данной группе больных [6]. С учетом значительного количества инсультов, возникающих в группе трудоспособных пациентов, это имеет все более важное значение для социализации и возвращения пациента к трудовой деятельности. Ранние когнитивные и психоэмоциональные изменения изучены нешироко, но они имеют свое описание в литературе в виде исследований послеоперационной когнитивной дисфункции и отражают краткосрочные процессы перестройки церебральной гемодинамики в ответ на увеличение объема мозгового кровотока [7–9].
Данные относительно отдаленного послеоперационного периода и статуса мозговых функций неоднозначны [10]. В крупном мета-анализе, включающем 31 исследование и 2059 пациентов, говорится о том, что у 64% процентов не наступало изменений когнитивных функций в отдаленном периоде после каротидных вмешательств, у 24% были улучшения лишь в нескольких тестах, ухудшение по всем доменам было у 1,8%, улучшение — у 1,5% [11].
Также важное значение приобретают биохимические маркеры церебрального повреждения в контексте объективной оценки степени ишемического и реперфузионного поражения как нейронов, так и глии [12–14].
Одними из базовых маркеров являются 3 мозговых белка [15–17]:
- Белок S100b считается специфичным к церебраль-ной ткани, так как входит в состав различных клеток (швановских клеток, астроцитов). В связи с тем, что данный протеин представлен в большом количестве нервных клеток, то его стоит рассматривать также как косвенный признак повреждения гематоэнцефалического барьера, ввиду того что при повреждении гематоэнцефалического барьера он определяется в периферической крови.
- Нейрон-специфичная энолаза (англ.: neuron specific enolase, NSE) присутствует почти во всех клетках, в том числе гранулярных, клетках Пуркинье, проекционных, сенсорных и вегетативных нейронах и т. д. Попадание в системный кровоток NSE свидетельствует о повреждении нейронов и повышении проницаемости гематоэнцефалического барьера.
- Мозговой нейротрофический фактор роста (англ.: brain derived neurotrophic factor, BDNF) широко экспрессируется в центральной нервной системе и может оказывать сильное влияние на развитие, морфологию, синаптическую пластичность и функцию мозга. Также играет роль в таких процессах, как созревание нейронов, формирование синапсов и синаптической пластичности. Его повышение отражает процессы восстановления функций нервной ткани при повреждении различного генеза.
Цель — оценить биохимические церебральные параметры, когнитивный статус пациентов, а также их взаимосвязь в раннем и отдаленном периоде после каротидной эндартерэктомии.
МАТЕРИАЛЫ И МЕТОДЫ
Открытое проспективное исследование, проведенное в период с октября 2021 г. по декабрь 2022 г. на базе отделения сосудистой хирургии Областной клинической больницы г. Рязани. Исследование одобрено Локальным этическим комитетом Рязанского государственного медицинского университета имени академика И. П. Павлова (Протокол № 3 от 11.10.2021). Все пациенты подписали информированное согласие на участие в исследовании.
Было включено 60 пациентов, разделенных на две группы:
- - Группа А — 30 «симптомных» больных, которые имели гемодинамически значимое поражение внутренней сонной артерии (ВСА) и в анамнезе перенесенное острое нарушение мозгового кровообращения (ишемический инсульт, транзиторная ишемическая атака, эмболия в центральную артерию сетчатки), которым выполнялась КЭАЭ.
- - Группа Б — 30 «асимптомных» больных, которые имели гемодинамически значимое поражение ВСА, но в анамнезе без церебральных сосудистых событий, которым выполнялась КЭАЭ.
Обе группы пациентов были сопоставимы по возрасту и наличию сопутствующей патологии, а также методике вмешательства. Всем пациентам была проведена КЭАЭ.
Таблица 1. Клинико-демографическая характеристика исследуемых групп
Параметры | Группа А, «симптомные» пациенты | Группа Б, «асимптомные» пациенты | p |
n | 30 | 30 | – |
Возраст, M ± m, лет | 66,7 ± 8,2 | 68,2 ± 7,1 | – |
Количество мужчин, n (%) | 21 (70) | 20 (66) | – |
Гипертоническая болезнь, n (%) | 28 (93) | 26 (86) | 0,424 |
Ишемическая болезнь сердца, n (%) | 11 (36) | 15 (50) | 0,123 |
Постинфарктный кардиосклероз, n (%) | 4 (13) | 6 (20) | 0,302 |
Сахарный диабет 2 типа, n (%) | 7 (23) | 6 (20) | 0,155 |
Примечание: р — уровень значимости при сравнении между группами А и Б
Критерий включения: гемодинамически значимое поражение ВСА. Для его верификации все пациенты проходили предоперационное ультразвуковое обследование брахиоцефальных артерий. Для пациентов группы А показанием для вмешательства являлся стеноз ВСА от 50% (при нестабильности атеросклеротической бляшки) или 60% (при отсутствии критериев нестабильности) до 99% по методике NASCET, для пациентов группы Б — стеноз от 70% до 99%. Контралатеральный стеноз ВСА более 70% в группе А имели три пациента (10%), а в группе Б — два пациента (6%).
Критерии исключения: острое нарушение мозгового кровообращения (инсульт или транзиторная ишемическая атака) в раннем послеоперационном периоде, отказ пациента от дальнейшего прохождения по программе исследования, выявление онкологического заболевания вне зависимости от его локализации и смерть пациента.
Стандартный протокол дооперационного обследования включал общеклинический осмотр и лабораторные анализы, осмотр терапевтом, неврологом, офтальмологом, ультразвуковое исследование экстракраниальных отделов брахиоцефальных артерий (линейный датчик 7–13 МГц; GE Vivid S5, США), магнитно-резонансную томографию головного мозга (SIEMENS MAGNETOM Symphony, Германия), в некоторых случаях для уточнения тактики лечения проводилась компьютернотомографическая ангиография артерий дуги аорты (Siemens Somatom Go Up, Германия).
Методика КЭАЭ (классическая или эверсионная) выбиралась исходя из предпочтений оперирующего хирурга, протяженности атеросклеротической бляшки на внутреннюю и общую сонные артерии, а также уровня расположения каротидной бифуркации. Виды оперативных вмешательств и ангиологический статус представлен в таблице 2.
Таблица 2. Общая характеристика проводимых вмешательств
Вмешательство | Группа А, «симптомные» пациенты | Группа Б, «асимптомные» пациенты | p |
n | 30 | 30 | – |
Каротидная эндартерэктомия, n (%) | Классическая — 14 (46) Эверсионная — 16 (54) | Классическая — 14 (46) Эверсионная — 16 (54) | 0,519 0,457 |
Временное внутрипросветное шунтирование, n (%) | 6 (20) | 7 (23%) | 0,378 |
Временный внутрипросветный шунт (ВВШ) использовался у пациентов, церебральный резерв которых не позволял проведение оперативного вмешательства с длительным пережатием сонных артерий. Использовалось измерение ретроградного давления в ВСА, критерием установки ВШШ являлось ретроградное давление в ВСА менее 45 мм рт. ст. Также в некоторых клинических ситуациях хирурги использовали внутрипросветный шунт превентивно.
У всех пациентов было стандартное анестезиологическое пособие. Премедикация включала в себя седатив- ные, антигистаминные и M-холинолитические препараты. Интраоперационно использовалась тотальная комбинированная анестезия с использованием фентанила, ингаляционного анестетика (оксида азота), кислорода.
Общий период наблюдения за пациентами составлял 6 мес. Все пациенты проходили контрольные осмотры в следующие сроки:
- - до операции;
- - 1 сут. после вмешательства;
- - 1 мес. после вмешательства;
- - 6 мес. после вмешательства.
Во время осмотра пациентам проводилось:
- Тестирование с помощью шкал оценки когнитивного статуса:
- - Краткая шкала оценки психического статуса (англ.: Mini Mental State Examination, MMSE). Оценка производилась по 5 базовым пунктам: ориентация, память, восприятие, внимание, речь. Сроки: до вмешательства, через 1 сут., 1 мес., 6 мес.;
- - Батарея лобной дисфункции (англ.: Frontal Assessment Battery, FAB). Производилась оценка следующих параметров: концептуализация, беглость речи, динамический праксис, простая реакция выбора, усложненная реакция выбора, исследование хватательных рефлексов. Сроки: до операции, через 1 мес., 6 мес.;
- - Монреальская шкала оценки когнитивных функций (англ.: Monreal Cognitive Assessment, MoCA). Оценка проводится по ряду пунктов: зрительно-конструктивные /исполнительные навыки, называние, память, внимание, речь, абстракция, отсроченное воспроизведение, ориентация. Сроки: до операции, через 1 мес., 6 мес.;
- - Шкала инсульта национального института здоровья (англ.: National Institutes of Health Stroke Scale, NIHSS), для симптомных пациентов в сроки до вмешательства и через 6 месяцев.
Оценка маркеров церебральной клеточной дисфункции в периферической крови:
- - белок S100b;
- - нейрон-специфичная энолаза (англ.: neuron specific enolase, NSE);
- - нейротрофический фактор мозга (англ.: brain derived neurotrophic factor, BDNF).
Забор крови у пациентов производили натощак. Далее кровь центрифугировали при 3000 оборотах в минуту в течение 10 мин., полученную сыворотку использовали для определения количества биохимических показателей. Исследование белка S100b производилось с помощью наборов SEA567Hu ELISA Kit for S100 Calcium Binding Protein B (S100B) (Корея); NSE — с помощью наборов SEA537Hu ELISA Kit for Enolase, Neuron Specific (NSE) (Корея); BDNF — с помощью наборов SEA011Hu ELISA Kit for Brain Derived Neurotrophic Factor (BDNF) (Корея) из сыворотки крови пациентов путем иммуноферментного анализа (StatFax3200, США) с двумя контрольными измерениями для одной пробы.
- Ультразвуковое исследование, включавшее оценку:
- - степени рестеноза ВСА;
- - конечного диастолического давления (КДД) в ВСА;
- - индекса резистентности в ВСА.
Тестирование в первые сутки производилось только по шкале MMSE для выявления послеоперационной когнитивной дисфункции, оценки предиктивности данной шкалы, а также для избегания эффекта «заучивания» по другим нейропсихических шкалам. Тестирование для всех пациентов проводилось в дневное время, одним специалистом и не превышало 30 мин. для снижения риска возникновения феномена истощаемости.
Статистический анализ выполнен с использованием программы Statistica 10.0 (Stat Soft Inc., США), Excel (Microsoft, CША). Распределение данных производилось с помощью применения критерия Шапиро–Уилка (p > 0,05). В связи с распределением данных, отличных от нормального, для дальнейшей обработки полученных результатов применялись непараметрические методы статистики. Для оценки взаимосвязи изучаемых показателей использовали коэффициент корреляции Спирмена. Для оценки статистической значимости внутригрупповых различий (у симптомных либо асимптомных пациентов в различные сроки наблюдения) применяли критерий Уилкоксона. Межгрупповые различия (между группами А и Б) оценивали с помощью критерия Манна–Уитни. Критический уровень значимости (р) принимали < 0,05.
РЕЗУЛЬТАТЫ
Когнитивный и биохимический статус в группе А (симптомные пациенты). При проведении когнитивного тестирования в различные сроки до и после операции выявлено, что у пациентов данной группы имеет место улучшение когнитивного статуса к 6 мес. по шкале MMSE (p = 0,001) и MoCA-тест (p = 0,09) относительно исходных показателей; по шкале FAB относительно данных через 1 мес. (p = 0,01, рис. 1). При этом отмечено снижение уровня неврологического дефицита по шкале NIHSS (p = 0,01).
Рис. 1. Динамика когнитивного тестирования по шкалам MMSE, MoCa, FAB и NIHSS в группе А в разные сроки относительно вмешательства
Примечания: FAB — frontal assessment battery (тест батареи лобной дисфункции), MoCA-test — Monreal Cognitive Assessment (Монреальская когнитивная шкала), MMSE — Mini Mental State Examination (краткая шкала оценки психического статуса), NIHSS — National Institutes of Health Stroke Scale (шкала инсульта национального института здоровья); * — р < 0,05 — статистически значимые различия относительно исходного уровня.
В целом, прирост составил по шкале MMSE 1 балл, по MoCA 2,5 балла и по FAB 1 балл, при этом по шкале NIHSS произошло снижение на 1,5 балла, что отражает улучшение когнитивного статуса после оперативного вмешательства у данной группы пациентов.
Стоит отметить, что не было достоверных различий по количеству набранных баллов по шкале MMSE у пациентов на первые сутки после вмешательства как отражение синдрома церебральной гиперперфузии или же послеоперационного когнитивного дефицита. Также не было взаимосвязи нейропсихического тестирования с временем пережатия ВСА.
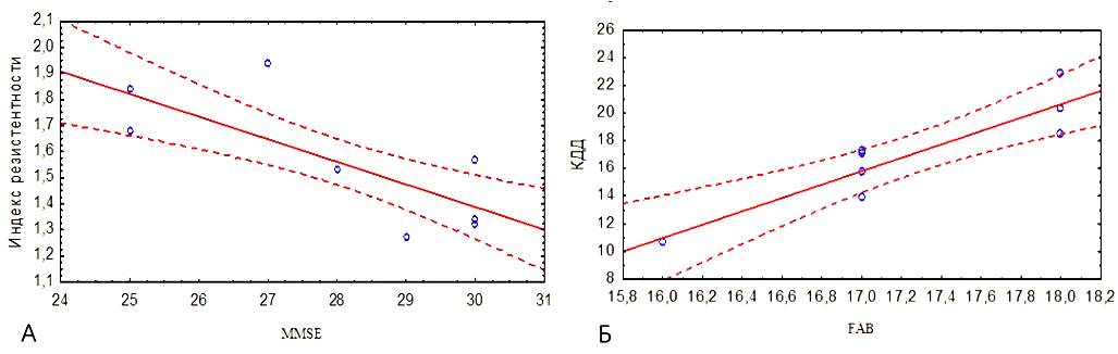
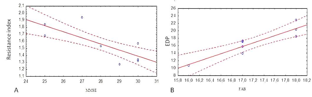
Рис. 2. Результаты корреляционного анализа: А — корреляционная связь между результатом оценки по шкале MMSE и индексом резистентности во внутренней сонной артерии через 6 месяцев после вмешательства, Б — корреляционная связь между результатом оценки по шкале FAB и конечным диастолическим давлением во внутренней сонной артерии через 6 месяцев после вмешательства
Примечания: КДД — конечное диастолическое давление, FAB — frontal assessment battery (тест батареи лобной дисфункции), MMSE — Mini Mental State Examination (краткая шкала оценки психического статуса).
Сравнивая показатели когнитивного статуса и ультразвуковых данных, стоит отметить, что по данным ультразвукового исследования через 6 мес. после оперативного вмешательства имеется обратная корреляционная связь между оценкой по шкале MMSE и индексом резистентности (ИР; r = -0,675; p = 0,005; рис 2А) и прямая корреляционная связь между оценкой по шкале FAB и КДД в ВСА (r = +0,912; p = 0,005; рис. 2Б). Показатели КДД в ВСА и ИР отражают состояние интрацеребральных артерий и артериол и, согласно полученным данным, имеют прямую корреляционную связь с изменением когнитивного статуса пациентов.
Рис. 3. Динамика биохимических показателей церебральной ткани (белок S100b, пг/мл; NSE, нг/мл; BDNF, пг/мл плазмы) в течение первых шести месяцев после вмешательства у пациентов группы А
Примечания: BDNF — brain derived neurotrophic factor (мозговой нейротрофический фактор роста), NSE — neuron specific enolase (нейрон-специфичная энолаза).
В ходе проведения исследования мы рассмотрели динамику изменения биохимических показателей (BDNF, S100b, NSE; рис. 3). Было получено, что у пациентов группы А через 6 мес/ после операции произошло повышение маркера нейроадаптации BDNF (p = 0,01) на фоне статистически незначимого изменения показателей церебрального повреждения NSE (p = 0,18) и S100b (p = 0,18) по сравнению с исходными значениями. Также нужно отметить прирост в 16 раз BDNF от первых суток к шестому месяцу (p = 0,01). При восстановлении перфузии головного мозга с увеличением объемного кровотока в интракраниальном отделе происходит перестройка нейронов, располагающихся на границе с зоной инфаркта, выделение ими нейротрофических факторов, направленных на усиление межнейронального взаимодействия. При этом маркеры церебрального повреждения статистически значимо не изменились, что отражает незначимый характер реперфузионного поражения мозговой ткани при резком увеличении объемного интракраниального кровотока.
При проведении корреляционного анализа выявлена прямая взаимосвязь между исходными уровнями S100b и NSE (r = +0,834, p = 0,005) и их значениями через 6 мес. (r = +0,561, p = 0,005) после оперативного вмешательства. Данные белки являются маркерами повреждения мозговой ткани и отражают степень нарушения целостности как самих клеток белого и серого вещества, так и гематоэнцефалического барьера.
Анализ взаимосвязей между уровнем белков, связанных с изменением перфузионного статуса головного мозга, и когнитивным тестированием статистических связей не выявил.
Рис. 4. Динамика когнитивного тестирования по шкалам MMSE, MoCa, FAB и NIHSS в группе Б в разные сроки относительно вмешательства
Примечания: MoCA-test — Monreal Cognitive Assessment (Монреальская когнитивная шкала), MMSE — Mini Mental State Examination (краткая шкала оценки психического статуса); * — р < 0,05 — статистически значимые различия относительно исходного уровня.
Когнитивный и биохимический статус в группе Б (асимптомные пациенты). При анализе исследуемых показателей у асимптомных пациентов получены данные, представленные на рисунке 4. К 6 мес. по шкалам FAB, ММSE, NIHSS не было выявлено статистически значимого улучшения или ухудшения когнитивного статуса, MoCA-тест показал улучшение в среднем на 2 балла (p = 0,03).
При проведении корреляционного анализа выявлена прямая взаимосвязь между шкалой FAB и MoCA-тест до вмешательства (r = +0,555; p = 0,005) и через 1 мес. после операции (r = +0,566; p = 0,005).
Также важно отметить, что в группе асимптомных пациентов, не было достоверных различий по когнитивному статусу пациентов на первые сутки после вмешательства как отражение реперфузионного синдрома.
После рассмотрения биохимических параметров обнаружено, что через 6 мес. после операции произошло повышение маркера S100b (p = 0,01) и NSE (p = 0,02) в 2 раза, а белка BDNF в 1,5 раза по сравнению с исходными значениями (p = 0,005). В отношении маркера NSE отмечается прирост его значений к шестому месяцу в 4 раза относительно его значений на первые сутки после вмешательства (p = 0,005; рис. 5).
Рис. 5. Динамика биохимических показателей церебральной ткани (белок S100b, пг/мл; NSE, нг/мл; BDNF, пг/мл плазмы) в течение первых шести месяцев после вмешательства у пациентов группы Б
Примечания: BDNF — brain derived neurotrophic factor (мозговой нейротрофический фактор роста), NSE — neuron specific enolase (нейрон-специфичная энолаза).
Данные изменения стоит отметить достаточно неоднозначны, маркеры S100b и NSE являются маркерами повреждения и в периферической крови появляются только в случае нарушения гематоэнцефалического барьера, которое может быть также ассоциировано как с повреждением нейронов, так и без затрагивания вещества головного мозга. BDNF же является показателем восстановления функций нейронов и глии. Выявленные изменения, на наш взгляд, стоит рассматривать как параллельно протекающие процессы, включающие в себя повреждение вследствие хронической ишемии мозга и восстановление с замещением утраченных функций ряда нервных клеток.
В последующем была выявлена прямая корреляционная связь между исходными уровнями следующих белков: S100b и NSE (r = +0,838; p = 0,005), S100b и BDNF (r = +0,592; p = 0,005), NSE c BDNF (r = +0,577; p = 0,005); на первые сутки после вмешательства: NSE и BDNF (r = +0,620; p = 0,005); через 6 мес.: NSE и BDNF (r = +0,752; p = 0,005).
У пациентов группы Б данные ультразвукового исследования через 6 мес. после оперативного вмешательства не имели связи ни с нейропсихическим статусом, ни с биохимическими показателями.
При проведении анализа исследуемых показателей в группах А и Б было выявлено различие только между исходным уровнем маркера BDNF. У пациентов группы А уровень данного белка был в три раза ниже, чем у пациентов группы Б (p = 0,04). Вероятно, это может быть связано с истощением церебрального резерва, направленного на восстановление межнейрональных взаимодействий и замещения утраченных функций вследствие выпадения части нейронов из общего состава при перенесенном нарушении мозгового кровообращения.
Также мы провели внутригрупповой анализ исследуемых показателей в зависимости от вида проведенного оперативного вмешательства. При сравнении классической и эверсионной КЭАЭ в группе Б у пациентов было выявлено различие по шкале FAB до операции (p = 0,04), через 1 мес. (p = 0,04) и 6 мес. (p = 0,01). При этом средний балл при классической методике был ниже и во все сроки составлял 15, а при эверсионной — 17. На наш взгляд, эти данные достаточно неоднозначны в связи с небольшой выборкой и влиянием типа КЭАЭ только на одну из шкал оценки когнитивного статуса.
В группе А ни тип производимой КЭАЭ, ни время пережатия достоверно не влияло на когнитивный и биохимический церебральный статус.
ОБСУЖДЕНИЕ
Рассматривая группу пациентов с нарушением мозгового кровообращения в анамнезе, мы выявили достоверное улучшение когнитивного статуса в отдалённом периоде по всем исследуемым шкалам (MMSE, FAB, MoCA-тест, NIHSS). Сложно сказать, связано ли это с восстановительным периодом после мозгового сосудистого события или с улучшением перфузии после КЭАЭ. Схожие данные были получены C. Baracchini, et al. (2012). Они указывают на улучшение когнитивного статуса у пациентов старше 65 лет с острым нарушением мозгового кровообращения в анамнезе и выраженным поражением сонной артерии, перенесших КЭАЭ. У больных с симптомными стенозами наблюдалось значительное улучшение средних показателей когнитивных функций в тестах MMSE и MoCA-тест через 3 и 12 мес. соответственно [18]. Также у этих пациентов стоит отметить взаимосвязь между нейропсихическим тестированием и ультразвуковыми данными: КДД и ИР. Ультразвуковые параметры отражают степень перфузии головного мозга, напрямую связанную с проведенным вмешательством. Схожие данные отражены в работе А. Nakamizo, et al. (2020), где была указана взаимосвязь КДД и индекса пульсации в общей сонной артерии с уровнем нейропсихического статуса пациентов после КЭАЭ [19].
В группе пациентов без предшествующей острой ишемии головного мозга в анамнезе данные нейропсихического тестирования не отражают большой динамики, только баллы шкалы MoCA имели статистически значимое увеличение к 6 мес. после вмешательства. При этом показатели маркеров церебрального повреждения (белки S100b и NSE) и адаптации (белок BDNF) были выше к 6 мес. В данной когорте больных присутствует обратная тенденция по сравнению с симптомными пациентами. Отмеченные изменения могут отражать перестройку мозговой ткани в ответ на реперфузию вследствие интактности белого и серого вещества.
В нашем исследовании выявлено, что исходно группы больных отличаются только по уровню белка BDNF, при этом симптомные пациенты имели сниженный его уровень. Важно отметить, что данный белок играет роль в таких процессах как созревание нейронов, формирование синапсов и синаптическая пластичность [20]. Такие изменения могут отражать механизмы компенсации и перераспределения функций между нейронами за счет формирования новых межнейрональных связей. В исследованиях показано, что при хронической ишемии мозга, в т. ч. связанной со стенозами брахиоцефальных артерий, уровень BDNF снижается, что коррелирует с ухудшением когнитивных функций, а при черепно-мозговой травме повышается как фактор регресса когнитивных нарушений в отдаленном периоде [21, 22].
К ограничениям исследования можно отнести небольшой размер выборки, короткий временной период оценки после операции, а также используемые шкалы (они валидированы для оценки деменции, но не для определения послеоперационного когнитивного дефицита после КЭАЭ). На наш взгляд, необходимо продолжение данной работы и ее расширение за счет введения контрольной группы пациентов и увеличения сроков отслеживания исследуемых параметров.
ВЫВОДЫ
- У симптомных пациентов каротидная эндартерэктомия ведет к комплексному улучшению когнитивного статуса, оцененного по шкалам (MMSE, FAB, MoCA-тест, NIHSS), в отдаленном послеоперационном периоде, у асимптомных пациентов — только к частичному (по шкале MoCA).
- Степень улучшения нейропсихического статуса пациентов, перенесших острое нарушение мозгового кровообращения в анамнезе, напрямую зависит от уровня конечного диастолического давления и индекса резистентности во внутренней сонной артерии на стороне вмешательства.
- Достоверной связи между биохимическим статусом головного мозга (уровнем белков S100b, NSE и BDNF) и когнитивными функциями выявлено не было.
ДОПОЛНИТЕЛЬНО
Финансирование. Исследование выполнено в рамках гранта Президента РФ № МД-922.2022.3.
Конфликт интересов. Авторы заявляют об отсутствии конфликта интересов.
Вклад авторов: Калинин Р. Е. — окончательное утверждение рукописи; Сучков И. А. — проверка критически важного интеллектуального содержания работы; Пшенников А. С. ― анализ и интерпретация данных, разработка концепции и дизайна; Зорин Р. А. — проведение нейропсихического тестирования, анализ и интерпретация результатов; Соляник Н. А. — забор материала, проведение основных этапов исследования, анализ и интерпретация данных, написание статьи; Никифоров А. А. — забор материала, проведение биохимических исследований, анализ результатов; Климентова Э. А. — анализ и интерпретация клинических данных; Везенова И. В. — проведение и интерпретация данных ультразвукового исследования; Леонов Г. А. — анализ и интерпретация результатов нейропсихического тестирования; Буршинов А. О. — анализ и интерпретация данных. Все авторы подтверждают соответствие своего авторства международным критериям ICMJE (все авторы внесли существенный вклад в разработку концепции, проведение исследования и подготовку статьи, прочли и одобрили финальную версию перед публикацией).
Funding. The study was carried out within the framework of the grant of the President of the Russian Federation No. MD-922.2022.3.
Conflict of interests. The authors declare no conflicts of interests.
Contribution of authors: R. E. Kalinin — final approval of the article; I. A. Suchkov — checking the critical intellectual content of the work; A. S. Pshennikov — analysis and interpretation of data, concept and design of study; R. A. Zorin — conducting neuropsychological testing, analysis and interpretation of results; N. A. Solyanik — collecting material, conducting the main stages of the study, analysis and interpretation of data, writing the text; A. A. Nikiforov — collecting material, conducting biochemical studies, analyzing the results; E. A. Klimentova — analysis and interpretation of clinical data; I. V. Vezenova — conducting and interpreting ultrasound data; G. A. Leonov — analysis and interpretation of the results of neuropsychological testing; A. O. Burshinov — analysis and interpretation of data. The authors confirm the correspondence of their authorship to the ICMJE International Criteria. All authors made a substantial contribution to the conception of the work, acquisition, analysis, interpretation of data for the work, drafting and revising the work, final approval of the version to be published and agree to be accountable for all aspects of the work.
Об авторах
Роман Евгеньевич Калинин
Рязанский государственный медицинский университет имени академика И.П. Павлова
Email: kalinin-re@yandex.ru
ORCID iD: 0000-0002-0817-9573
SPIN-код: 5009-2318
доктор медицинских наук, профессор
Россия, РязаньИгорь Александрович Сучков
Рязанский государственный медицинский университет имени академика И.П. Павлова
Email: suchkov_med@mail.ru
ORCID iD: 0000-0002-1292-5452
SPIN-код: 6473-8662
доктор медицинских наук, профессор
Россия, РязаньАлександр Сергеевич Пшенников
Рязанский государственный медицинский университет имени академика И.П. Павлова
Email: pshennikov1610@rambler.ru
ORCID iD: 0000-0002-1687-332X
SPIN-код: 3962-7057
доктор медицинских наук, доцент
Россия, РязаньРоман Александрович Зорин
Рязанский государственный медицинский университет имени академика И.П. Павлова
Email: zorin.ra30091980@mail.ru
ORCID iD: 0000-0003-4310-8786
SPIN-код: 5210-5747
доктор медицинских наук, доцент
Россия, РязаньНикита Андреевич Соляник
Рязанский государственный медицинский университет имени академика И.П. Павлова
Автор, ответственный за переписку.
Email: solianik.nikita@gmail.com
ORCID iD: 0000-0002-4667-3513
SPIN-код: 3258-5210
врач сердечно-сосудистый хирург; аспирант кафедры сердечно-сосудистой, рентгенэндоваскулярной хирургии и лучевой диагностики
Россия, РязаньАлександр Алексеевич Никифоров
Рязанский государственный медицинский университет имени академика И.П. Павлова
Email: a.nikiforov@rzgmu.ru
ORCID iD: 0000-0003-0866-9705
SPIN-код: 8366-5282
кандидат медицинских наук, доцент
Россия, РязаньЭмма Анатольевна Климентова
Рязанский государственный медицинский университет имени академика И.П. Павлова
Email: klimentowa.emma@yandex.ru
ORCID iD: 0000-0003-4855-9068
SPIN-код: 5629-9835
доктор медицинских наук
Россия, РязаньИрина Владимировна Везенова
Областная клиническая больница
Email: irina-vz@mail.ru
ORCID iD: 0009-0002-4410-3821
Россия, Рязань
Геннадий Александрович Леонов
Рязанский государственный медицинский университет имени академика И.П. Павлова
Email: genady.leonov1956@gmail.com
ORCID iD: 0000-0001-5780-1675
SPIN-код: 5115-3996
доктор медицинских наук, доцент
Россия, РязаньАлександр Олегович Буршинов
Рязанский государственный медицинский университет имени академика И.П. Павлова
Email: baomz@mail.ru
ORCID iD: 0000-0002-6951-0290
SPIN-код: 8792-9686
доктор медицинских наук, доцент
Россия, РязаньСписок литературы
- Walker M.D., Marler J.R., Goldstein M., et al. Endarterectomy for asymptomatic carotid artery stenosis. Executive Committee for the Asymptomatic Carotid Atherosclerosis Study // JAMA. 1995. Vol. 273, No. 18. P. 1421–1428.
- Halliday A., Mansfield A., Marro J., et al. Prevention of disabling and fatal strokes by successful carotid endarterectomy in patients without recent neurological symptoms: randomised controlled trial // Lancet. 2004. Vol. 363, No. 9420. P. 1491–1502. doi: 10.1016/S0140-6736(04)16146-1
- Hobson R., Weiss D., Fields W., et al.; The Veterans Affairs Cooperative Study Group. Efficacy of Carotid Endarterectomy for Asymptomatic Carotid Stenosis // N. Engl. J. Med. 1993. Vol. 328, No. 4. P. 221–227. doi: 10.1056/NEJM199301283280401
- Warlow C.; European Carotid Surgery Trialists' Collaborative Group. MRC European carotid surgery trial: interim results for symptomatic patients with severe (70–99%) or with mild (0–29%) carotid stenosis // Lancet. 1991. Vol. 337, No. 8752. P. 1235–1243. doi: 10.1016/0140-6736(91)92916-p
- North American Symptomatic Carotid Endarterectomy Trial. Methods, patient characteristics, and progress // Stroke. 1991. Vol. 22, No. 6. P. 711–720. doi: 10.1161/01.str.22.6.711
- Бабаян Г.Б., Зорин Р.А., Пшенников А.С., и др. Предикторы неврологического дефицита при гемодинамически значимых стенозах сонных и позвоночных артерий // Наука молодых (Eruditio Juvenium). 2019. Т. 7, № 4. С. 533–540. doi: 10.23888/HMJ201974533-540
- Белов Ю.В., Медведева Л.А., Загорулько О.И., и др. Когнитивные расстройства в раннем и отдаленном периодах у пациентов после каротидной эндартерэктомии // Хирургия. Журнал им. Н.И. Пирогова. 2018. № 12. С. 5–12. doi: 10.17116/hirurgia20181215
- Turowicz A., Czapiga A., Malinowski M., et al. Carotid Revascularization Improves Cognition in Patients With Asymptomatic Carotid Artery Stenosis and Cognitive Decline. Greater Improvement in Younger Patients With More Disordered Neuropsychological Performance // J. Stroke Cerebrovasc. Dis. 2021. Vol. 30, No. 4. P. 105608. doi: 10.1016/j.jstrokecerebrovasdis.2021.105608
- Zorin R.A., Zhadnov V.A., Burshinov A.O., et al. Neurophysiological correlates of neurological deficiency in hemodynamically significant stenosis of the arteries of the neck // Pakistan Journal of Medical and Health Sciences. 2021. Vol. 15, No. 1. P. 445–447.
- Калинин Р.Е., Сучков И.А., Пшенников А.С., и др. Динамика изменения когнитивных функций у пациентов, перенесших вмешательства на каротидном бассейне // Российский медико-биологический вестник имени академика И. П. Павлова. 2022. Т. 30, № 2. С. 261–270. doi: 10.17816/PAVLOVJ100037
- Ancetti S., Paraskevas K.I., Faggioli G., et al. Effect of carotid interventions on cognitive function in patients with asymptomatic carotid stenosis: a systematic review // Eur. J. Vasc. Endovasc. Surg. 2021. Vol. 62, No. 5. P. 684–694. doi: 10.1016/j.ejvs.2021.07.012
- Serra M.P., Boi M., Poddighe L., et al. Resveratrol Regulates BDNF, trkB, PSA-NCAM, and Arc Expression in the Rat Cerebral Cortex after Bilateral Common Carotid Artery Occlusion and Reperfusion // Nutrients. 2019. Vol. 11, No. 5. P. 1000. doi: 10.3390/nu11051000
- Wiciński M., Malinowski B., Węclewicz M.M., et al. Resveratrol Increases Serum BDNF Concentrations and Reduces Vascular Smooth Muscle Cells Contractility via a NOS-3-Independent Mechanism // Biomed Res. Int. 2017. Vol. 2017. P. 9202954. doi: 10.1155/2017/9202954
- Alserr A.H., Elwan H., Antonopoulos C.N., et al. Using serum s100-β protein as a biomarker for comparing silent brain injury in carotid endarterectomy and carotid artery stenting // Int. Angiol. 2019. Vol. 38, No. 2. P. 136–142. doi: 10.23736/S0392-9590.19.04079-3
- Wang K.K.W., Zhang Z., Kobeissy F.H., editors. Biomarkers of Brain Injury and Neurological Disorders. CRC Press; 2014. doi: 10.1201/b17644
- Korfias S., Papadimitriou A., Stranjalis G., et al. Serum biochemical markers of brain injury // Mini Rev. Med. Chem. 2009. Vol. 9, No. 2. P. 227–234. doi: 10.2174/138955709787315994
- Калинин Р.Е., Пшенников А.С., Зорин Р.А., и др. Биохимические показатели церебрального повреждения при операциях на сонных артериях (обзор литературы) // Ангиология и сосудистая хирургия. 2022. Т. 28, № 1. С. 148–153. doi: 10.33029/1027-6661-2022-28-1-148-153
- Baracchini C., Mazzalai F., Gruppo M., et al. Carotid endarterectomy protects elderly patients from cognitive decline: a prospective study // Surgery. 2012. Vol. 151, No. 1. P. 99–106. doi: 10.1016/j.surg.2011.06.031
- Nakamizo A., Amano T., Matsuo S., et al. Common carotid flow velocity is associated with cognitive function after carotid endarterectomy // J. Clin. Neurosci. 2020. Vol. 76, P. 53–57. doi: 10.1016/j.jocn.2020.04.050
- Park H., Poo M.–M. Neurotrophin regulation of neural circuit development and function // Nat. Rev. Neurosci. 2013. Vol. 14, No. 1. P. 7–23. doi: 10.1038/nrn3379
- Цепилов С.В., Каракулова Ю.В. Нейротрофины крови при хронической ишемии головного мозга // Пермский медицинский журнал. 2016. Т. 33, № 6. С. 60–65. doi: 10.17816/pmj33660-65
- Селянина Н.В. Мозговой нейротрофический фактор как прогностический критерий развития когнитивных нарушений у больных острой черепно-мозговой травмой // Медицинский альманах. 2013. № 1 (25). С. 127–129.
Дополнительные файлы










