Quantitative MRI as marker of the effectiveness of steroid treatment in patients with Duchenne muscular dystrophy
- Authors: Suslov V.M.1, Pozdnyakov A.V.1, Ivanov D.O.1, Rudenko D.I.1, Suslova G.A.1, Suslova A.D.1,2
 - 
							Affiliations: 
							
- St. Petersburg State Pediatric Medical University, Ministry of Healthcare of the Russian Federation
 - Children’s Center for Reconstructive Medicine and Rehabilitation No 3
 
 - Issue: Vol 10, No 4 (2019)
 - Pages: 31-37
 - Section: Original studies
 - URL: https://journals.eco-vector.com/pediatr/article/view/18549
 - DOI: https://doi.org/10.17816/PED10431-37
 - ID: 18549
 
Cite item
Full Text
Abstract
Due to development of new methods for the treatment of Duchenne muscular dystrophy (DMD), aimed at suppressing inflammatory activity in skeletal muscles, there is a necessity for objective instrumental methods for assessing the effectiveness of the therapy. This method could be selective excitation of the water T2 signal.
Aim of the study: to determine the possibility of applying the method of selective excitation of water T2 signal as a quantitative biomarker of the effectiveness of steroid treatment in patients with DMD at different stages of the disease. The study involved 34 DMD boys, who were divided into three groups: ambulant patients taking steroid treatment (n = 14), steroid-naive ambulant patients (n = 10), steroid-naive non-ambulant patients (n = 10) and a control group (n = 10). MRI of the pelvic girdle, thighs and lower legs with multi-slice-multi-echo (MSME) sequences has been done for all subjects. Calculation of the water T2 values has been done by the three-exponential method.
Results: There was a significant difference (p < 0.01) between the three study groups, the highest inflammatory activity was determined in the steroid-naive patients and signal intensity was 39.4 ± 1.0 ms for the pelvic girdle muscles, 37.3 ± 1.1 ms for the thighs muscles and 38.1 ± 1.8 ms for the legs muscles. Thus, using of the technique of selectively determination of the signal from water on T2 weighted images can be quantitative biomarker of inflammatory activity and the effectiveness of steroid treatment in patients with Duchenne muscular dystrophy in different stages
Keywords
Full Text
ВВЕДЕНИЕ
Мышечная дистрофия Дюшенна (МДД) — Х-сцепленное нервно-мышечное заболевание, обусловленное мутацией в гене DMD, локализованном в локусе Xp21.2-p21.1, и приводящее к нарушению синтеза белка дистрофина [17]. Заболевание характеризуется прогрессирующим миогенным парезом с первичным поражением мускулатуры тазового пояса, бедер и голеней и с дальнейшим вовлечением мышц туловища и верхних конечностей [10, 20]. Одним из механизмов повреждения скелетных мышц является воспалительный процесс [8], сопровождающийся процессами повреждения и восстановления мышечных волокон, приводящими к последующей жировой дегенерации [9]. Глюкокортикостероидная (ГКС) терапия позволяет замедлить прогрессирование МДД, на более длительное время сохранить способность к передвижению и замедлить развитие многих ортопедических и кардиореспираторных осложнений [2, 19]. Однако длительный прием глюкокортикостероидов сопряжен с возникновением большого количества побочных эффектов [3]. Это обусловливает актуальность поиска объективных инструментальных биомаркеров для оценки эффективности терапии и принятия решения о необходимости корректировки дозировки и режима лечения. Магнитно-резонансная томография (МРТ) может быть одним из таких маркеров, позволяющих количественно оценить активность воспалительных процессов в мышцах при помощи методики селективного возбуждения протонов Н+ воды на Т2-взвешенных изображениях за счет разного времени релаксации жирового и водного компонентов [4, 5, 12]. В настоящее время проведены лишь единичные исследования, направленные на изучение нескольких мышц голеней, в результате которых были получены данные об эффективности данной методики при мышечной дистрофии Дюшенна. Более детальное изучение скелетных мышц тазового пояса, бедер и голеней на разных стадиях МДД позволит определить возможность применения методики селективного возбуждения сигнала от воды в мышцах в качестве маркера эффективности ГКС-терапии.
Цель работы — определить возможность применения методики селективного возбуждения сигнала от воды на Т2 взвешенных изображениях в качестве количественного биомаркера эффективности ГКС-терапии у пациентов с МДД на разных стадиях заболевания
МАТЕРИАЛЫ И МЕТОДЫ
Исследование проводили на базе Санкт-Петербургского государственного педиатрического медицинского университета. Было обследовано 34 пациента с генетически подтвержденной МДД, из них 24 пациента, способных к самостоятельному передвижению, и 10 пациентов, неспособных к передвижению. Пациенты были разделены на три группы в зависимости от наличия или отсутствия ГКС-терапии и возможностей к передвижению.
Первая группа (пациенты, получавшие ГКС-терапию) состояла из 14 пациентов (средний возраст — 8,5 ± 0,8 года). Все пациенты в этой группе принимали преднизолон в дозировке 0,75 мг/кг в сутки ежедневно согласно рекомендациям Duchenne Muscular Dystrophy Care Considerations по уходу за пациентами с МДД [2] не менее 12 мес., при этом значительных изменений в дозировке препарата или его временной отмены не проводили. Во вторую группу (пациенты, не получавшие ГКС-терапии) вошли 10 пациентов (средний возраст — 8,0 ± 1,0 года). Третья группа (пациенты, не получавшие ГКС-терапии и неспособные к передвижению) состояла из 10 пациентов (средний возраст — 13,5 ± 1,4 года). Контрольную группу составили 10 здоровых добровольцев мужского пола (средний возраст — 9,8 ± 2,3 года).
Всем испытуемым была выполнена МРТ скелетных мышц тазового пояса, бедер и голеней. Перед исследованием все пациенты были предупреждены о необходимости избегать повышенных физических нагрузок минимум в течение трех дней до проведения МРТ. Исследование проводили на магнитно-резонансном томографе Philips Ingenia 1.5T (версия программного обеспечения 5,4) с использованием наружной нательной катушки.
С двух сторон оценивали мышцы тазового пояса (m. gluteus maximus, medius и minimus, m. tensor fasciae latae, m. iliopsoas, m. obturatorius externus, m. obturatorius internus, m. pectineus), бедер (m. adductor longus, m. adductor brevis, m. adductor magnus, m.quadriceps (m. rectus femoris, vastus lateralis, vastus medialis, vastus intermedius), m. biceps femoris (короткие и длинные головки), m. semitendinosus, m. semimembranosus, m. sartorius, m. gracilis) и голеней (m. gastrocnemius (медиальные и латеральные головки), m. soleus, m. peroneus, m. tibialis anterior, m. tibialis posterior, m. extensor digitorum longus, m. flexor digitorum longus, m. flexor hallucis longus).
Применяли последовательности с получением изображений на нескольких срезах с разным временем эхо (последовательности multi-slice-multi-echo (MSME)). Исследование проводили со следующими параметрами: время эхо (ТЕ) — 10–200 мс, время повторений (TR) — 3500 мс, угол наклона — 90°, угол перефокусировки — 180°, количество срезов — 7, расстояние между срезами — 15 мм, толщина срезов — 10 мм. В дальнейшем были получены значения сигнала Т2 от воды с применением методики трехэкспоненциального расчета [1] по следующей формуле:
где S(TE) — сигнал для заданного времени эха; ТЕ — время эхо; T2fl — длинное время релаксации жирового компонента; T2fs — короткое время релаксации жирового компонента; T2m — время релаксации водного компонента в мышце; Af — коэффициент, отражающий долю жира в сигнале; Am — коэффициент, отражающий долю воды в сигнале; cl и cs — длинный и короткий коэффициенты биэкспоненциальной модели жира.
Статистический анализ осуществляли при помощи программного обеспечения IBM SPSS Statistics v.23. Были рассчитаны средние значения, доверительный интервал и t-критерий Стьюдента при сравнении средних величин при p = 0,05. Проведение исследования было одобрено локальным этическим комитетом ФГБОУ ВО СПбГПМУ Минздрава России.
РЕЗУЛЬТАТЫ
В связи с отсутствием значимых различий в интенсивности МР-сигнала Т2 от воды во всех мышцах тазового пояса, бедер и голеней слева и справа были приведены усредненные результаты для двух сторон.
Группа пациентов, не получавших ГКС-терапии и способных к передвижению, характеризовалась повышением интенсивности сигнала Т2 от воды во всех скелетных мышцах тазового пояса, средние значения составляли 39,4 ± 1,0 мс. В группе пациентов, получавших ГКС-терапию и способных к передвижению, были выявлены повышенные показатели сигнала Т2 от воды во всех скелетных мышцах тазового пояса в среднем до 37 ± 0,9 мс. В группе пациентов, не получавших ГКС-терапии и неспособных к передвижению, интенсивность сигнала Т2 от воды составила 32,5 ± 1,8 мс. Интенсивность сигнала Т2 от воды в мышцах тазового пояса здоровых добровольцев в среднем равнялась 32,7 ± 0,7 мс (рис. 1).
Рис. 1. Средние значения интенсивности сигнала Т2 от воды в скелетных мышцах тазового пояса у пациентов с мышечной дистрофией Дюшенна и здоровых добровольцев
Fig. 1. Average values of the water Т2 signal intensity (milliseconds) in the skeletal muscles of the pelvic girdle in DMD patients and healthy volunteers
Пациенты, не получавшие ГКС-терапии и способные к передвижению, характеризовались повышением сигнала Т2 от воды во всех скелетных мышцах бедер, средние значения составили 37,3 ± 1,1 мс. В группе пациентов, получавших ГКС-терапию и способных к передвижению, также были выявлены повышенные показатели сигнала Т2 от воды во всех скелетных мышцах бедер, средние значения составили 34,4 ± 1,2 мс. В группе пациентов, не получавших ГКС-терапии и неспособных к передвижению, средняя интенсивность сигнала Т2 от воды оказалась 30,7 ± 2,0 мс. Интенсивность сигнала Т2 от воды в мышцах бедер здоровых добровольцев в среднем равнялась 32,9 ± 0,6 мс (рис. 2).
Рис. 2. Средние значения интенсивности сигнала Т2 от воды в скелетных мышцах бедер у пациентов с мышечной дистрофией Дюшенна и здоровых добровольцев
Fig. 2. Average values of the water Т2 signal intensity (milliseconds) in the skeletal muscles of the thighs in DMD patients and healthy volunteers
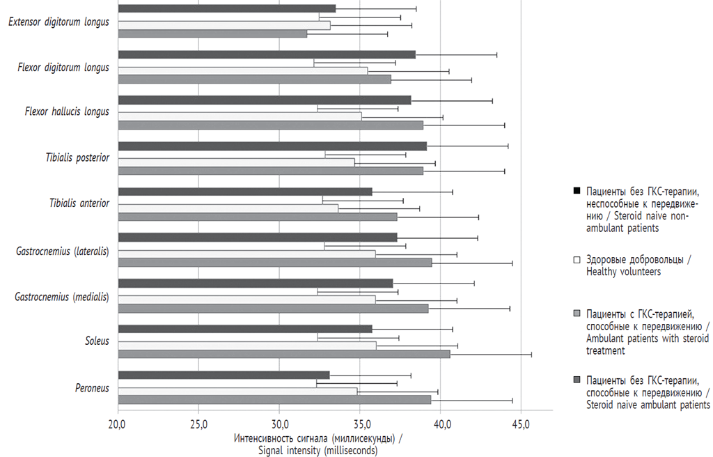
При определении интенсивности сигнала Т2 от воды в мышцах голеней в группе пациентов, не получавших ГКС-терапии и способных к передвижению, средние значения составили 38,1 ± 1,8 мс. В группе пациентов, получавших ГКС-терапию и способных к передвижению, средние значения интенсивности сигнала Т2 от воды оказались равными 35 ± 0,6 мс. В группе пациентов, не получавших ГКС-терапии и неспособных к передвижению, средняя интенсивность сигнала Т2 от воды составила 36,5 ± 1,8 мс. В контрольной группе средние значения сигнала Т2 от воды были равны 32,5 ± 0,6 мс (рис. 3).
Рис. 3. Средние значения интенсивности сигнала Т2 от воды в скелетных мышцах голеней у пациентов с мышечной дистрофией Дюшенна и здоровых добровольцев
Fig. 3. Average values of the water Т2 signal intensity (milliseconds) in the skeletal muscles of the legs in DMD patients and healthy volunteers
Таким образом, было выявлено достоверное различие (p < 0,01) между тремя исследуемыми группами при исследовании мышц тазового пояса, бедер и голеней. Наибольшая интенсивность сигнала Т2 от воды была зафиксирована в группе пациентов, не получавших ГКС-терапии.
ОБСУЖДЕНИЕ
При мышечной дистрофии Дюшенна одним из основных патогенетических механизмов являются воспалительные изменения с повышением активности макрофагов и лейкоцитов в скелетных мышцах [11, 16, 18, 21]. Неспецифические воспалительные изменения обусловлены повреждением мышечных волокон, возникающим вследствие истончения мембран миоцитов из-за отсутствия белка дистрофина [8, 9]. Основу механизма действия глюкокортикостероидов у пациентов с МДД составляет снижение выраженности воспалительных изменений в скелетных мышцах [15].
В группе пациентов, не получавших ГКС-терапии и способных к передвижению, зарегистрированы наибольшие значения интенсивности сигнала Т2 от воды во всех скелетных мышцах тазового пояса, бедер и голеней. В группе пациентов, получавших ГКС-терапию и способных к передвижению, зафиксировано снижение средних значений интенсивности сигнала Т2 от воды во всех мышцах по сравнению с пациентами, не получавшими ГКС-терапии. Обращает на себя внимание, что по сравнению со здоровыми добровольцами группа пациентов, получавших ГКС-терапию, характеризовалась повышенными значениями интенсивности Т2 сигнала от воды. Повышенная интенсивность сигнала Т2 от воды у пациентов с МДД также может быть связана с другими сопутствующими заболеваниями и изменениями, приводящими к внутриклеточному и внеклеточному отеку в мышцах [4, 6, 7, 13]. Однако ведущей патогенетической причиной являются воспалительные изменения [11, 16, 18, 21], обусловливающие повышение интенсивности сигнала Т2 от воды в мышцах при МДД. Эта гипотеза подтверждается и снижением интенсивности сигнала Т2 от воды в ответ на противовоспалительную терапию.
Обращает на себя внимание низкая интенсивность сигнала Т2 от воды в m. gracilis и m. extensor digitorum longus с двух сторон во всех исследуемых группах, что может быть обусловлено наименьшей вовлеченностью данных мышц в патологический процесс при МДД.
Похожие результаты были продемонстрированы A. Mankodi et al. (2016). В исследовании приняли участие 12 пациентов с МДД, средний возраст которых составил 8,9 ± 0,7 года. На момент обследования все пациенты принимали глюкокортикостероиды. При первичном обследовании было выявлено, что значения интенсивности сигнала Т2 от воды повышены (от 37,6 до 45,5 мс) во всех исследуемых мышцах голеней в группе пациентов с МДД по сравнению с контрольной группой (от 34,6 до 39,1 мс) (p < 0,001), что совпадает с результатами нашего исследования. В работе также был обнаружен аналогичный паттерн воспалительных изменений в мышцах. Выявлены наименьшее вовлечение в патологический процесс длинных разгибателей пальцев (в среднем 36,6 мс у пациентов контрольной группы и 37,6 мс у больных МДД, по данным авторов) и наибольшие изменения в икроножных (в среднем 42,5 мс у пациентов контрольной группы и 38,0 мс у пациентов с МДД) и камбаловидных (в среднем 43,9 мс у пациентов контрольной группы и 39,2 мс у больных МДД) мышцах [14].
У пациентов, не получавших ГКС-терапии и без способности к передвижению, интенсивность сигнала Т2 от воды в мышцах тазового пояса и бедер была близка к значениям контрольной группы, что обусловливает высокую фиброзно-жировую дегенерацию исследуемых мышц. Напротив, при исследовании мышц голеней в данной группе в большинстве мышц были выявлены значения интенсивности сигнала Т2 от воды, близкие к таким же значениям у пациентов, способных к передвижению и не получавших ГКС-терапии.
ВЫВОДЫ
Таким образом, методика селективного получения сигнала от воды может служить количественным биомаркером выраженности воспалительных изменений в скелетных мышцах и эффективности ГКС-терапии у пациентов с мышечной дистрофией Дюшенна на разных стадиях заболевания.
Конфликт интересов: авторы заявляют об отсутствии конфликта интересов.
Информация о финансировании: исследование не имело спонсорской поддержки.
About the authors
Vasiliy M. Suslov
St. Petersburg State Pediatric Medical University, Ministry of Healthcare of the Russian Federation
							Author for correspondence.
							Email: vms.92@mail.ru
				                					                																			                								
Assistant, Department of Rehabilitation
Russian Federation, 2, Litovskay street, Saint-Peterburg, 194100Alexander V. Pozdnyakov
St. Petersburg State Pediatric Medical University, Ministry of Healthcare of the Russian Federation
														Email: pozdnyakovalex@yandex.ru
				                					                																			                								
MD, PhD, Dr Med Sci, Professor, Head of the Department of Radiology Diagnostic
Russian Federation, 2, Litovskay street, Saint-Peterburg, 194100Dmitry O. Ivanov
St. Petersburg State Pediatric Medical University, Ministry of Healthcare of the Russian Federation
														Email: doivanov@yandex.ru
				                	ORCID iD: 0000-0002-0060-4168
				                																			                								
MD, PhD, Dr Med Sci, Professor, Rector
Russian Federation, 2, Litovskay street, Saint-Peterburg, 194100Dmitry I. Rudenko
St. Petersburg State Pediatric Medical University, Ministry of Healthcare of the Russian Federation
														Email: dmrud_h2@mail.ru
				                					                																			                								
MD, PhD, Dr Med Sci, Docent, Assistant, Department of Rehabilitation
Russian Federation, 2, Litovskay street, Saint-Peterburg, 194100Galina A. Suslova
St. Petersburg State Pediatric Medical University, Ministry of Healthcare of the Russian Federation
														Email: docgas@mail.ru
				                					                																			                								
MD, PhD, Dr Med Sci, Professor, Head of the Department of Rehabilitation
Russian Federation, 2, Litovskay street, Saint-Peterburg, 194100Aleksandra D. Suslova
St. Petersburg State Pediatric Medical University, Ministry of Healthcare of the Russian Federation; Children’s Center for Reconstructive Medicine and Rehabilitation No 3
														Email: fifa379@mail.ru
				                					                																			                								
student, Pediatric Faculty, Assistant, Department of Rehabilitation; nurse
Russian Federation, 2, Litovskay street, Saint-Peterburg, 194100; 5, Bryantseva str., Saint-Peterburg, 195269References
- Azzabou N, Loureiro de Sousa P, Caldas E, Carlier PG. Validation of a generic approach to muscle water T2 determination at 3T in fat-infiltrated skeletal muscle. J Magn Reson Imaging. 2015;41(3):645-653. https://doi.org/10.1002/jmri.24613.
 - Birnkrant DJ, Bushby K, Bann CM, et al. Diagnosis and management of Duchenne muscular dystrophy, part 1: diagnosis, and neuromuscular, rehabilitation, endocrine, and gastrointestinal and nutritional management. Lancet Neurol. 2018;17(3):251-267. https://doi.org/10.1016/S1474- 4422(18)30024-3.
 - Burrow KL, Coovert DD, Klein CJ, et al. Dystrophin expression and somatic reversion in prednisone-treated and untreated Duchenne dystrophy. CIDD Study Group. Neurology. 1991;41(5):661-666. https://doi.org/10.1212/wnl.41.5.661.
 - Carlier PG. Global T2 versus water T2 in NMR imaging of fatty infiltrated muscles: different methodology, different information and different implications. Neuromuscul Disord. 2014;24(5):390-392. https://doi.org/10.1016/j.nmd.2014.02.009.
 - Carlier PG, Azzabou N, de Sousa PL, et al. Skeletal muscle quantitative nuclear magnetic resonance imaging follow-up of adult Pompe patients. J Inherit Metab Dis. 2015;38(3):565-572. https://doi.org/10.1007/s10545-015-9825-9.
 - Carlier PG, Marty B, Scheidegger O, et al. Skeletal Muscle Quantitative Nuclear Magnetic Resonance Imaging and Spectroscopy as an Outcome Measure for Clinical Trials. J Neuromuscul Dis. 2016;3(1):1-28. https://doi.org/10.3233/JND-160145.
 - Godi C., Ambrosi A., Nicastro F. Longitudinal MRI quantification of muscle degeneration in Duchenne muscular dystrophy. Ann Clin Transl Neurol. 2016Aug;3(8):607-622. https://doi.org/10.1002/acn3.319.
 - Cruz-Guzman Odel R, Rodriguez-Cruz M, Escobar Cedillo RE. Systemic Inflammation in Duchenne Muscular Dystrophy: Association with Muscle Function and Nutritional Status. Biomed Res Int. 2015;2015:891972. https://doi.org/10.1155/2015/891972.
 - Deconinck N, Dan B. Pathophysiology of duchenne muscular dystrophy: current hypotheses. Pediatr Neurol. 2007;36(1):1-7. https://doi.org/10.1016/j.pediatrneurol.2006.09.016.
 - Emery AE. The muscular dystrophies. Lancet. 2002; 359(9307):687-695. https://doi.org/10.1016/S0140-6736(02)07815-7.
 - Giordano C, Mojumdar K, Liang F, et al. Toll-like receptor 4 ablation in mdx mice reveals innate immunity as a therapeutic target in Duchenne muscular dystrophy. Hum Mol Genet. 2015;24(8):2147-2162. https://doi.org/10.1093/hmg/ddu735.
 - Hollingsworth KG, de Sousa PL, Straub V, Carlier PG. Towards harmonization of protocols for MRI outcome measures in skeletal muscle studies: consensus recommendations from two TREAT-NMD NMR workshops, 2 May 2010, Stockholm, Sweden, 1-2 October 2009, Paris, France. Neuromuscul Disord. 2012;22 Suppl 2: S54-67. https://doi.org/10.1016/j.nmd.2012.06.005.
 - Hollingsworth KG. Quantitative MRI in muscular dystrophy: An indispensable trial endpoint? Neurology. 2014;83(11):956-957. https://doi.org/10.1212/WNL.0000000000000785.
 - Mankodi A, Azzabou N, Bulea T, et al. Skeletal muscle water T2 as a biomarker of disease status and exercise effects in patients with Duchenne muscular dystrophy. Neuromuscul Disord. 2017;27(8):705-714. https://doi.org/10.1016/j.nmd.2017.04.008.
 - Miyatake S, Shimizu-Motohashi Y, Takeda S, Aoki Y. Anti-inflammatory drugs for Duchenne muscular dystrophy: focus on skeletal muscle-releasing factors. Drug Des Devel Ther. 2016;10:2745-2758. https://doi.org/10.2147/DDDT.S110163.
 - Mojumdar K, Liang F, Giordano C, et al. Inflammatory monocytes promote progression of Duchenne muscular dystrophy and can be therapeutically targeted via CCR2. EMBO Mol Med. 2014;6(11):1476-1492. https://doi.org/10.15252/emmm.201403967.
 - Muntoni F, Torelli S, Ferlini A. Dystrophin and mutations: one gene, several proteins, multiple phenotypes. Lancet Neurol. 2003;2(12):731-740. https://doi.org/10.1016/s1474-4422(03)00585-4.
 - Rosenberg AS, Puig M, Nagaraju K, et al. Immune-mediated pathology in Duchenne muscular dystrophy. Sci Transl Med. 2015;7(299):299rv294. https://doi.org/10.1126/scitranslmed.aaa7322.
 - Strober JB. Therapeutics in duchenne muscular dystrophy. NeuroRx. 2006;3(2):225-234. https://doi.org/10.1016/j.nurx.2006.01.005.
 - Sussman M. Duchenne muscular dystrophy. J Am Acad Orthop Surg. 2002;10(2):138-151.
 - Villalta SA, Nguyen HX, Deng B, et al. Shifts in macrophage phenotypes and macrophage competition for arginine metabolism affect the severity of muscle pathology in muscular dystrophy. Hum Mol Genet. 2009;18(3):482-496. https://doi.org/10.1093/hmg/ddn376.
 
Supplementary files
				
			
					
						
						
									






