Evaluation of radiological indices of the spine and pelvis ratios in children with a severe form of slipped capital femoral epiphysis
- 作者: Barsukov D.B.1, Bortulev P.I.1, Vissarionov S.V.1,2, Pozdnikin I.Y.1, Baskaeva T.V.1
-
隶属关系:
- H. Turner National Medical Research Center for Children’s Orthopedics and Trauma Surgery
- North-Western State Medical University named after I.I. Mechnikov
- 期: 卷 10, 编号 4 (2022)
- 页面: 365-374
- 栏目: Clinical studies
- ##submission.dateSubmitted##: 10.10.2022
- ##submission.dateAccepted##: 11.11.2022
- ##submission.datePublished##: 23.12.2022
- URL: https://journals.eco-vector.com/turner/article/view/111772
- DOI: https://doi.org/10.17816/PTORS111772
- ID: 111772
如何引用文章
详细
BACKGROUND: Slipped capital femoral epiphysis is one of the most severe diseases of the hip joint in children and is characterized by the displacement of the proximal femoral epiphysis, occurring as a result of a decrease in the mechanical strength of its growth plate. Some pathological processes in the hip joints and lumbosacral spine cause changes in the position (vergence) of the pelvis in the sagittal plane and the development of degenerative dystrophic diseases. The analysis of the spine–pelvis relationships in children with slipped capital femoral epiphysis may provide the basis for the development of new approaches to the surgical correction of the deformity of the hip component of the affected joint.
AIM: To assess the radiological parameters of the frontal and sagittal spine–pelvis relations in children with proximal femur deformity in slipped capital femoral epiphysis.
MATERIALS AND METHODS: The study included 30 patients (30 hips) aged 11–14 years with a severe form of slipped capital femoral epiphysis characterized by the presence of a posterior displacement of the epiphysis of >60° combined with the downward displacement of no more than 10° in one of the joints and absence of displacement (pre-slip stage) in the other. Patients underwent clinical and radiological examinations. The radiographs taken in the standing position were used to assess the values of thoracic kyphosis and lumbar lordosis, pelvic incidence (PI), sacral slope (SS), pelvic tilt (PT), sagittal vertical axis (SVA), and spine–sacral angle (SSA). The obtained data were subjected to statistical processing.
RESULTS: The patients had pelvic retroversion (decreased values of the PI and SS indices and increased PT index) and formed hypolordotic type of vertical posture according to P. Roussouly classification. In addition, thoracic hyperkyphosis occurred, and the SVA shifted to the front, which can be considered a mechanism of trunk balance compensation for the existing pelvic retroversion and reduction of lumbar lordosis to maintain the ability to move in an upright position.
CONCLUSIONS: Children with this severe form of slipped capital femoral epiphysis are characterized by pelvic retroversion, decreased lumbar lordosis and increased thoracic kyphosis, positive trunk imbalance, and PT toward the affected limb. Planning and reconstructive restorative interventions on the affected hip joint should consider existing pathological changes to restore the correct spine–pelvis relationships and prevent degenerative dystrophic processes in the lumbosacral spine.
全文:
BACKGROUND
Slipped capital femoral epiphysis (SCFE) is one of the most severe diseases of the hip joint in children, whose incidence ranges from 0.2 to 10 per 100,000 children. The disease is characterized by the displacement of the proximal epiphysis of the femur as a result of a decrease in the mechanical strength of its growth plate in the presence of hormonal disorders [1–3]. Most often, epiphyseal displacement, which can be unilateral, or bilateral, begins at the age of 12–13 years and has a chronic course. Typical directions of displacement are posterior and downward or only posterior direction. As a result, a deformity of the femoral component of the hip joint of varying severity occurs, which impairs the ratio in the latter and presents as external rotational position, limb shortening, amplitude limitation, and pain with hip movements [4, 5].
Recent studies have shown that the spinopelvic complex, which forms a single kinematic system, supports the concept of the “cone of the economy” [6–9]. Moreover, progressive anatomical and biomechanical changes in various pathological processes in the hip joints or the spinomotor segments of the lumbosacral spine lead to changes in the hip joint–pelvis–lumbosacral spine system, aggravating the already existing deformity and progression of degenerative and dystrophic diseases. These phenomena are caused by a change in the position (version) of the pelvis in the sagittal plane and are quite fully described in patients with various spinal pathologies, hip dysplasia, hip–spine syndrome, and coxarthrosis [10–16].
Furthermore, the analysis of the spinopelvic ratio provides an understanding of the spatial relationships of the spine and pelvis and enables a thorough evaluation of parameters in terms of diagnosing pathological changes that have formed in the spine–hip joint system. All this can be the basis for the development of new approaches to the surgical correction of deformities in pediatric patients with SCFE. Currently, no data in the literature have presented the frontal and sagittal spinopelvic ratios in pediatric patients with deformity of the proximal femur in SCFE.
This study aimed to evaluate the radiographic parameters of the frontal and sagittal spinopelvic ratios in pediatric patients with a deformity of the proximal femur associated with SCFE.
MATERIALS AND METHODS
The study design was a single-center open-cohort prospective study (STROBE).
The inclusion criteria of the patients were as follows:
- Lack of surgeries on the hip joints
- Age 11–14 years
- Posterior epiphyseal displacement of >60° in combination with a downward displacement of not more than 10° in one of the hip joints in the absence of displacement (pre-slip stage) in the other
- Chronic epiphyseal displacement
- Absence of congenital and acquired pathologies of the spinal column, neurological disorders of the trunk and lower extremities, and systemic and genetic diseases
- Voluntary informed consent of patients and their parents to participate in this study
The exclusion criteria were as follows:
- Age <11 years and >14 years
- No posterior epiphyseal displacement by >60° in combination with downward displacement of not more than 10° in one of the hip joints
- Epiphysis displacement in both hip joints
- Acute nature of the epiphysis displacement
- Synovitis of the hip joint
- Flexion and/or adduction contracture of the hip
- Congenital malformations of the spine, including neutral, verified neurological, systemic, and genetic diseases.
The study included 30 patients (30 hip joints) aged 11–14 years (mean age 12.4 ± 1.0 years) with SCFE characterized by posterior epiphyseal displacement of >60°, combined with a downward displacement of not more than 10° in one of the joints and the absence of displacement (pre-slip stage) in the other joint. The sample included 19 (63.3%) boys and 11 (36.7%) girls. The patients were hospitalized for a comprehensive examination and surgical treatment.
The clinical study did not differ from the classical technique used in patients with orthopedic pathology of the hip joints. All patients underwent radiography of the hip joints in the anteroposterior projection and Lauenstein projection in the supine position, a panoramic radiograph of the lower extremities, and a lateral panoramic radiograph of the spine, including the femoral heads in the standing position. On radiographs taken in the supine position (Fig. 1), the values of the projection caput–collum–diaphyseal angle, projection epiphyseal–diaphyseal angle, and epiphyseal angle were determined, and signs of partial, and complete synostosis at the level of the epiphyseal growth zone were excluded. In addition, the posterior and downward epiphyseal displacement angles were evaluated on the displacement side, and the absence of the epiphyseal displacement was confirmed on the contralateral side. The posterior epiphyseal displacement angle was calculated from the difference in the epiphyseal angles in the joint without (individual norm) and with displacement. The downward displacement angle was calculated by the difference between the caput–collum–diaphyseal angle and the epiphyseal–diaphyseal angle in the joint with displacement. On radiographs taken in the standing position (Fig. 2), indicators of the magnitude of thoracic kyphosis and lumbar lordosis (according to Cobb), pelvic incidence (PI), sacral slope (SS), pelvic tilt (PT), sagittal vertical axis (SVA), and spinosacral angle (SSA) were determined.
Fig. 1. Radiographs of the hip joints in the anteroposterior projection (a) and Lauenstein projection (b) of patient A., aged 13 years 2 months, with slipped capital femoral epiphysis, posterior epiphyseal displacement by 62° and downward displacement by 4° on the right, and no displacement (pre-slip stage) on the left
Fig. 2. Lateral panoramic radiograph of the spine, including the femoral heads of the same patient, and an example of the calculation of spinopelvic ratios
Statistical analysis
Data were analyzed using the Surgimap v. 2.3.2.1 software. Statistical analysis was performed using Excel 2010 and IBM SPSS Statistics for Windows version 26 (IBM Corp., Armonk, NY, USA). Using descriptive statistics, arithmetic means (M), standard deviations (SD), median (Me) with 25th and 75th percentiles (Q1–Q3) were calculated. Correlation analysis was performed (Pearson’s test), whereas the strength of the relationship was determined by the indicators 0.01 ≤ ρ ≤ 0.29 for a weak relationship, 0.30 ≤ ρ ≤ 0.69 for a moderate relationship, and 0.70 ≤ ρ ≤ 1.00 for a strong relationship. The coefficient value indicated the presence of a positive or a negative relationship. To assess the degree and variation of the influence of one attribute on another, regression analysis was performed in the form of a paired linear and quadratic regression model. The proportion of the sample was determined using the coefficient of multiple determinations (R2).
RESULTS
During hospitalization, all patients complained of impaired functioning of the affected lower limb, i.e., limited range of motion in the hip joint. Patients’ gait was not assessed for being on bed rest. As an exception, pediatric patients were verticalized with support only for a clinical examination in a standing position and for two radiographs. During a visual examination, all patients showed a PT toward the hip joint with epiphyseal displacement. No impairment of the frontal balance of the spine was noted, and the Adams test was negative in all patients. The clinical assessment of the physiological curves of the spine revealed that 25 (83.3%) patients had a decrease in lumbar lordosis and an increase in thoracic kyphosis. The relative lower limb shortening on the side of the deformity was 2.0 ± 0.47 cm.
Lower limb dysfunction on the lesion side was characterized by the irreparable position of the external rotation in the hip joint, typical for SCFE with severe epiphyseal displacement, and limited hip abduction, and flexion, with average values of 46.8 ± 9.33, 22.3 ± 6.12, and 79.0 ± 17.8°, respectively. Functionally significant changes in adduction amplitude were not revealed, and a slight increase in the amplitude of extension and external rotation was noted. The Thomas test, which reveals hidden flexion contracture in the hip joint, was negative in all patients.
The results of radiation research methods for the above indicators are presented in Table.
Table. Indicators of the spatial orientation of the proximal epiphysis of the femur and frontal and sagittal spinopelvic ratios in pediatric patients with slipped capital femoral epiphysis in comparison with normal indicators according to the literature [9, 17, 18]
Indicator | Main group (M ± SD) Ме (Q1–Q3) | Normal values in healthy children |
Projection CCDA, ° | 143.3 ± 4.4 144.0 (139.0–146.3) | 125–135 |
Projection EDA, ° | 136.8 ± 6.9 137.5 (130.8–144.0) | 125–135 |
EA, ° | 12.6 ± 5.6 11.5 (8.0–18.3) | 80–90 |
Epiphyseal posterior displacement angle, ° | 72.9 ± 8.0 75.5 (68.0–78.0) | – |
Epiphyseal downward displacement angle, ° | 7.2 ± 1.9 7.0 (5.8–9.0) | – |
PI, ° | 37.5 ± 3.2 37.2 (35.9–39.8) | 45.4 ± 10.7 |
PT, ° | 14.2 ± 2.8 14.9 (12.2–16.4) | 10.3 ± 6.5 |
SS, ° | 23.4 ± 3.5 23.4 (20.6–26.5) | 35.4 ± 8.1 |
TK, ° | 43.9 ± 4.2 44.1 (41.3–45.2) | 37.1 ± 9.9 |
GLL, ° | 35.2 ± 2.2 35.1 (33.4–35.9) | 39.6 ± 12.4 |
SVA, mm | 28.7 ± 40.7 45.3 (12.2–63.3) | 0.1 ± 2.3 |
SSA, ° | 114.1 ± 3.4 113.2 (110.8–118.0) | 130.4 ± 8.1 |
Note. CCDA, caput–collum–diaphyseal angle; EDA, epiphyseal–diaphyseal angle; EA, epiphyseal angle; PI, pelvic incidence; PT, pelvic tilt; SS, sacral slope; GLL, global lumbar lordosis; SVA, sagittal vertical axis; SSA, spinosacral angle.
All patients were diagnosed with a pronounced posterior displacement of the epiphysis, significantly prevailing over its downward displacement. As regards the main indices of the sagittal spinopelvic ratios, PI differed from similar values in the pediatric population according to the literature toward decrease [18]. Moreover, SS values were significantly (p < 0.05) lower than the average standard values, whereas PT significantly (p < 0.05) exceeded them. Such changes indicate the presence of pelvic retroversion. In this regard, global lumbar lordosis (GLL) values were significantly lower than the average values, and those of the thoracic kyphosis exceeded them. For the global sagittal balance (SVA), sharply positive values were obtained in most cases, which indicate a positive imbalance in this category of patients.
In addition, the average SSA values were below the age norm, which also indicates the tilt of the body as a whole anteriorly in relation to the pelvis and excessive rotation of the latter posteriorly, that is, retroversion of the pelvis as a whole.
Correlation analysis (Fig. 3) showed a strong positive relationship (solid line) between the values of the anatomical index PI and the magnitude of posterior epiphyseal displacement, between the positional parameter SS and GLL values, as well as between SS and SSA. A moderately pronounced positive relationship (dashed line) was noted between the anatomical parameter (PI) and positional parameter (SS), between both positional indicators (SS and PT), between SS and degree posterior epiphyseal displacement, and between SSA, and GLL, SSA, and posterior epiphyseal displacement.
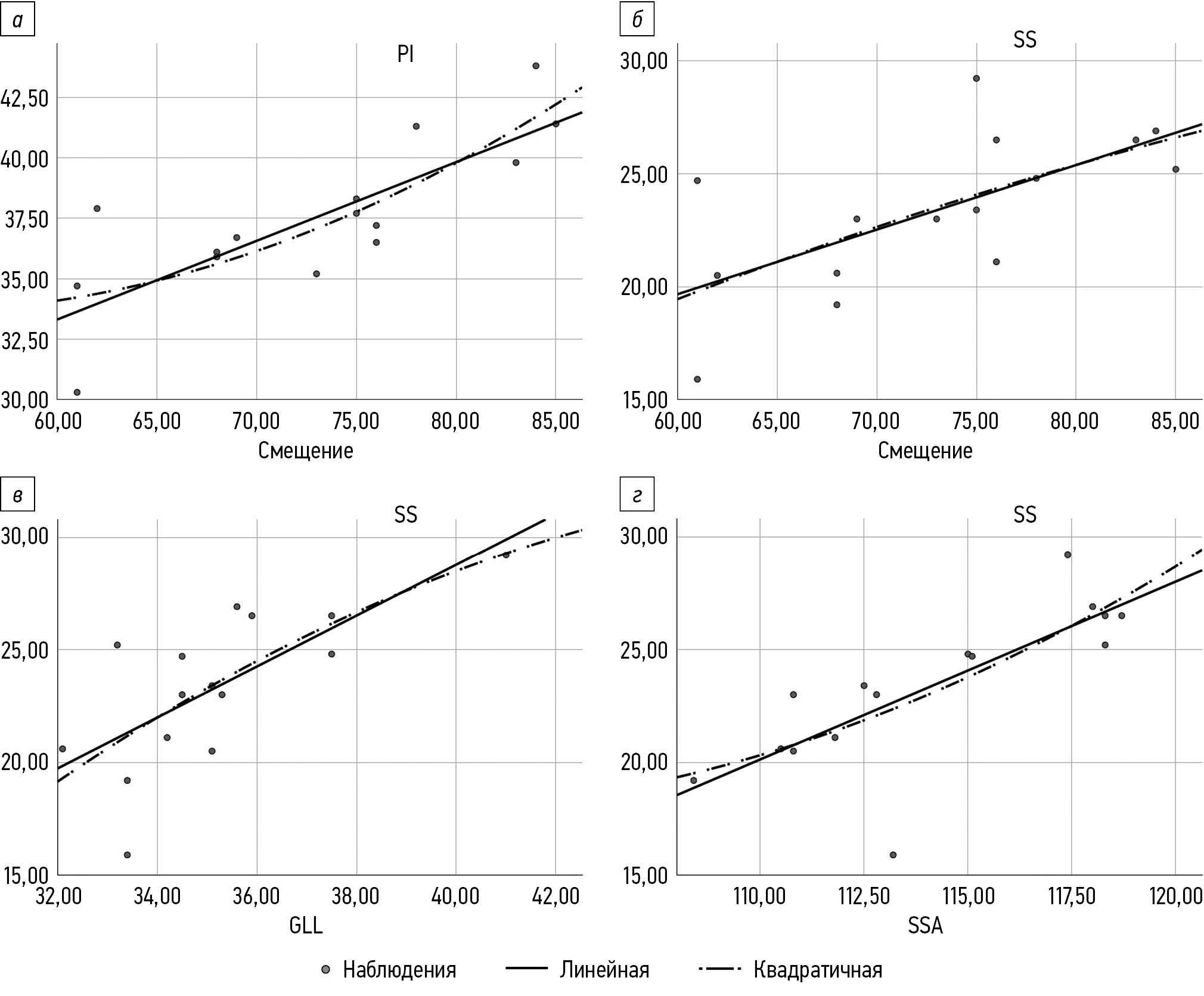
Figure 4 presents the results of the regression analysis, indicating the relationship between the sagittal spinopelvic ratios and posterior displacement of the proximal epiphysis of the femur.
Fig. 4. Results of the regression analysis, indicating the relationship between the frontal and sagittal spinopelvic ratios: a, between the pelvic incidence (PI) and posterior displacement of the epiphysis; b, between the sacral angle, and posterior epiphyseal displacement; c, between the sacral slope (SS) and the global lumbar lordosis (GLL); d, between the sacral slope and the spinosacral angle (SSA)
The coefficient of determination (R2) for the relationship of some indicators of the sagittal spinopelvic ratios and the extent of the posterior epiphyseal displacement (Fig. 4a, b) did not exceed 0.66 and did not differ significantly between the linear and quadratic models, which brought the studied signs closer to linear regression, and the approximation was considered quite good because 65% of the sample can be justified by the regression equation. The coefficient of determination (R2) between SS and GLL was 0.51 and that between SS and SSA was 0.6. Both models did not differ significantly from each other, and the approximation was considered satisfactory because no more than 60% of the sample can be justified by the regression equation. Thus, based on the regression analysis in pediatric patients with severe SCFE, a hypolordotic type of vertical posture is formed according to the classification of P. Roussouly. In addition, the formation of hyperkyphosis and a pronounced anterior shift of the SVA can be regarded as a mechanism for compensating the balance of the body in the case of pelvic retroversion and flattening of the lumbar lordosis to maintain the ability to move in a vertical position.
DISCUSSION
Nowadays, various diseases of the hip joints affect the state of the lumbosacral spine because of changes in the frontal and sagittal spinopelvic ratios [11, 19–21]. In addition, some authors argue that changes in the pelvic indices over time lead to a transformation of the sagittal profile of the lumbar spine. This results in a change in the biomechanical relationships in the spinal motion segments and, accordingly, to an increase in the load either on the anterior or posterior spinal column, which contributes to the onset and progression of degenerative and dystrophic processes at a young age [10, 22].
Currently, several studies have assessed the spinopelvic ratios in pediatric patients with various orthopedic pathologies [11, 21, 23, 24]. However, no articles discuss the spinopelvic ratios in pediatric patients with SCFE.
This study was conducted in pediatric patients with SCFE with a verified deformity of the femoral component of one of the hip joints caused by a posterior epiphyseal displacement of more than 60°, combined with a downward displacement of more than 10°. The absence of similar Russian and international studies excludes the possibility of a comparative analysis of the data obtained. The study results revealed that these patients have pelvic retroversion, which leads to the flattening of the lumbosacral spine and a positive imbalance of the trunk. Changes in the spatial position of the pelvis such as its retroversion contribute to the hypolordotic type of vertical posture according to P. Roussouly [25]. Pathological anatomical and biomechanical spinopelvic relationships can cause degenerative and dystrophic processes in the lumbosacral spine and discopathy in the thoracolumbar junction, leading to the formation of listhesis in this zone [26, 27].
Study limitation
This study has several limitations, such as a small cohort of patients, which is due to the low incidence of severe SCFE, and the lack of thematic publications. Thus, both the initial state of the spinopelvic complex and state after reconstructive and restorative interventions on the affected joint must be examined in these patients.
CONCLUSION
In pediatric patients with severe SCFE characterized by posterior epiphyseal displacement of >60°, combined with a downward displacement of not more than 10° in one of the joints and the absence of displacement (pre-slip stage) in the other, pelvic retroversion is often detected, which manifests as a decrease in the sacral angle (SS) and increase in the PT combined with decreased lumbar lordosis, increased thoracic kyphosis, and positive trunk imbalance. In addition, these patients have a PT toward the affected limb. The totality of these changes in pediatric patients with type I (hypolordotic) vertical posture according to P. Roussouly can contribute to the development of degenerative and dystrophic processes in the lumbar spine. When planning and performing reconstructive and restorative interventions on the affected hip joint for severe deformity of the femoral component of the latter in patients with SCFE, pathological changes in the spinopelvic complex must be considered to restore the correct spinopelvic ratios and prevent the development of degenerative and dystrophic processes in the lumbosacral spine.
ADDITIONAL INFORMATION
Funding. The study was conducted within the State Task of the Ministry of Health of Russia (Research Project No. 121031700122-6).
Conflict of interest. The authors declare no conflict of interest.
Ethical considerations. The study was performed in accordance with the ethical standards of the Declaration of Helsinki of the World Medical Association, as amended by the Russian Ministry of Health, and was approved by the ethics committee of the H.I. Turner National Medical Research Center for Сhildren’s Orthopedics and Trauma Surgery of the Ministry of Health of Russia (Protocol No. 22-5 dated September 15, 2022). The patients and their legal representatives gave consent to participate in the study and publication of personal data.
Author contributions. D.B. Barsukov formulated the aims and developed the study design, wrote several sections of the article, collected and analyzed the data, analyzed the literature, and performed surgical treatment of patients. P.I. Bortulev formulated the aims and developed the study design, wrote several sections of the article, performed staged and final editing of the article text, collected and analyzed the data, analyzed the literature, and performed surgical treatment of patients. S.V. Vissarionov formulated the aims and developed the study methodology and performed final editing of the article text. I.Yu. Pozdnikin collected the data and performed surgical treatment of patients. T.V. Baskaeva collected the data and performed surgical treatment of patients.
All authors made a significant contribution to the research and preparation of the article, as well as read, and approved the final version before its publication.
作者简介
Dmitriy Barsukov
H. Turner National Medical Research Center for Children’s Orthopedics and Trauma Surgery
编辑信件的主要联系方式.
Email: dbbarsukov@gmail.com
ORCID iD: 0000-0002-9084-5634
SPIN 代码: 2454-6548
MD, PhD, Cand. Sci. (Med.)
俄罗斯联邦, Saint PetersburgPavel Bortulev
H. Turner National Medical Research Center for Children’s Orthopedics and Trauma Surgery
Email: pavel.bortulev@yandex.ru
ORCID iD: 0000-0003-4931-2817
SPIN 代码: 9903-6861
Scopus 作者 ID: 57193258940
MD, PhD, Cand. Sci. (Med.)
俄罗斯联邦, Saint PetersburgSergei Vissarionov
H. Turner National Medical Research Center for Children’s Orthopedics and Trauma Surgery; North-Western State Medical University named after I.I. Mechnikov
Email: vissarionovs@gmail.com
ORCID iD: 0000-0003-4235-5048
SPIN 代码: 7125-4930
Scopus 作者 ID: 6504128319
MD, PhD, Dr. Sci. (Med.), Professor, Corresponding Member of RAS
俄罗斯联邦, Saint Petersburg; Saint PetersburgIvan Pozdnikin
H. Turner National Medical Research Center for Children’s Orthopedics and Trauma Surgery
Email: pozdnikin@gmail.com
ORCID iD: 0000-0002-7026-1586
SPIN 代码: 3744-8613
MD, PhD, Cand. Sci. (Med.)
俄罗斯联邦, Saint PetersburgTamila Baskaeva
H. Turner National Medical Research Center for Children’s Orthopedics and Trauma Surgery
Email: tamila-baskaeva@mail.ru
ORCID iD: 0000-0001-9865-2434
SPIN 代码: 5487-4230
MD, orthopedic and trauma surgeon
俄罗斯联邦, Saint Petersburg参考
- Abraham E, Gonzalez MH, Pratap S, et al. Clinical implications of anatomical wear characteristics in slipped capital femoral epiphysis and primary osteoarthritis. J Pediatr Orthop. 2007;27(7):788–795. doi: 10.1097/BPO.0b013e3181558c94
- Mamisch TC, Kim YJ, Richolt JA, et al. Femoral morphology due to impingement influences the range of motion in slipped capital femoral epiphysis. Clin Orthop Relat Res. 2009;467(3):692–698. doi: 10.1007/s11999-008-0477-z
- Ziebarth K, Leunig M, Slongo T, et al. Slipped capital femoral epiphysis: relevant pathophysiological findings with open surgery. Clin Orthop Relat Res. 2013;471(7):2156–2162. doi: 10.1007/s11999-013-2818-9
- Bellemore JM, Carpenter EC, Yu NY, et al. Biomechanics of slipped capital femoral epiphysis: evaluation of the posterior sloping angle. J Pediatr Orthop. 2016;36(6):651–655. doi: 10.1097/BPO.0000000000000512
- Sonnega RJ, van der Sluijs JA, Wainwright AM, et al. Management of slipped capital femoral epiphysis: results of a survey of the members of the European Paediatric Orthopaedic Society. J Child Orthop. 2011;5(6):433–438. doi: 10.1007/s11832-011-0375-x
- Vaz G, Roussouly P, Berthonnaud E, et al. Sagittal morphology and equilibrium of pelvis and spine. Eur Spine J. 2002;11(1):80–87. doi: 10.1007/s005860000224
- Shefi S, Soudack M, Konen E, et al. Development of the lumbar lordotic curvature in children from age 2 to 20 years. Spine (Phila Pa 1976). 2013;38(10):E602–E608. doi: 10.1097/BRS.0b013e31828b666b
- Hasegawa K, Okamoto M. Normative values of spino-pelvic sagittal alignment, balance, age and health-related quality of life in a cohort of healthy adult subjects. Eur Spine J. 2016;25:3675–3686. doi: 10.1007/s00586-016-4702-2
- Mac-Thiong JM, Roussouly P, Berthonnaud E, et al. Age- and sex-related variations in sagittal sacropelvic morphology and balance in asymptomatic adults. Eur Spine J. 2011;20(Suppl 5):572–577. doi: 10.1007/s00586-011-1923-2
- Roussouly P, Pinheiro-Franco JL. Biomechanical analysis of the spino-pelvic organization and adaptation in pathology. Eur Spine J. 2011;20(Suppl 5):609–618. doi: 10.1007/s00586-011-1928-x
- Bortulev PI, Vissarionov SV, Baskov VE et al. Clinical and roentgenological criteria of spine-pelvis ratios in children with dysplastic femur subluxation. Traumatology and Orthopedics of Russia. 2018;24(3):74–82. (In Russ.). doi: 10.21823/2311-2905-2018-24-3-74-82
- Vissarionov SV, Kokushin DN, Kartavenko KA, et al. Surgical treatment of children with congenital deformity of the lumbar and lumbosacral spine. Khirurgiya pozvonochnika. 2012;3:33–37. (In Russ.)
- Prodan AI, Radchenko VA, Khvisyuk AN, et al. Mechanism of vertical posture formation and parameters of sagittal spinopelvic balance in patients with chronic low back pain and sciatica. Khirurgiya pozvonochnika. 2006;(4):61–69. (In Russ.)
- Murray KJ, Le Grande MR, Ortega de Mues A, et. al. Characterisation of the correlation between standing lordosis and degenerative joint disease in the lower lumbar spine in women and men: a radiographic study. BMC Musculoskeletal Disorders. 2017;18:330. doi: 10.1186/s12891-017-1696-9
- Fukushima K, Miyagi M, Inoue G, et al. Relationship between spinal sagittal alignment and acetabular coverage: a patient-matched control study. Arch Orthop Trauma Surg. 2018;138:1495–1499. doi: 10.1007/s00402-018-2992-z
- Averkiev VA, Kudyashev AL, Artyukh VA, et al. Features of spino-pelvic realtions in patients with hip-spine syndrome. Khirurgiya pozvonochnika. 2012;(4):49–54. (In Russ.)
- Krechmar AN. Slipped capital femoral epiphysis (clinic-experimental study) [dissertation]. Leningrad; 1982. (In Russ.)
- Hesarikia H, Rahimnia A. Differences between male and female sagittal spinopelvic parameters and alignment in asymptomatic pediatric and young adults. Minerva Ortopedica e traumatologica. 2018;69(2):44–48. doi: 10.23736/S0394-3410.18.03867-5
- Bortulev PI, Vissarionov SV, Barsukov DB, et al. Evaluation of radiological parameters of the spino-pelvic complex in children with hip subluxation in Legg-Calve-Perthes disease. Traumatology and Orthopedics of Russia. 2021;27(3):19–28. (In Russ.). doi: 10.21823/2311-2905-2021-27-3-19-28
- Fukushima K, Miyagi M, Inoue G, et al. Relationship between spinal sagittal alignment and acetabular coverage: a patient-matched control study. Arch Orthop Trauma Surg. 2018;138:1495–1499. doi: 10.1007/s00402-018-2992-z
- Bortulev PI, Vissarionov SV, Baskov VE, et al. Ocenka sostoyaniya pozvonochno-tazovyh sootnoshenij u detej s dvustoronnim vysokim stoyaniem bol’shogo vertela. Sovremennye problem nauki i obrazovaniya. 2020;(1):66. (In Russ.)
- Le Huec JC, Rossouly P. Sagittal spino-pelvic balance is a crucial analysis for normal and degenerative spine. Eur Spine J. 2011;20(5):556–557. doi: 10.1007/s00586-011-1943-y
- Abelin K, Vialle R, Lenoir T, et al. The sagittal balance of the spine in children and adolescents with osteogenesis imperfecta. Eur Spine J. 2008;17(12):1697–1704. doi: 10.1007/s00586-008-0793-8
- Prudnikova OG, Aranovich AM. Clinical and radiological aspects of the sagittal balance of the spine in children with achondroplasia. Pediatric Traumatology, Orthopaedics and Reconstructive Surgery. 2018;(6):6–12. (In Russ.). doi: 10.17816/PTORS646-12
- Roussouly P, Berthonnaud E, Dimnet J. Geometrical and mechanical analysis of lumbar lordosis in an asymptomatic population: proposed classification. Rev Chir Orthop Reparatrice Appar Mot. 2003;89(7):632–639.
- Jackson R, Phipps T, Hales C, et al. Pelvic lordosis and alignment in spondylolisthesis. Spine. 2003;28(2):151–160. doi: 10.1097/00007632-200301150-00011
- Sorensen CJ, Norton BJ, Callaghan JP, et al. Is lumbar lordosis related to low back pain development during prolonged standing? Man Ther. 2015;20(4):553–557. DOI: 10.1016/j. math.2015.01.001
补充文件









