Распространенность и предикторы заболеваемости мочекаменной болезнью на примере отдельно взятого региона
- Авторы: Стрельцова О.С.1, Крупин В.Н.1, Лазукин В.Ф.1, Почтин Д.П.2, Халили В.Д.1, Манакова Э.А.3
-
Учреждения:
- Приволжский исследовательский медицинский университет
- Нижегородская областная клиническая больница им. Н.А. Семашко
- ООО «Централизованная лаборатория «АВК-Мед»
- Выпуск: Том 12, № 2 (2022)
- Страницы: 105-116
- Раздел: Оригинальные исследования
- Статья получена: 26.03.2022
- Статья одобрена: 23.05.2022
- Статья опубликована: 31.07.2022
- URL: https://journals.eco-vector.com/uroved/article/view/105423
- DOI: https://doi.org/10.17816/uroved105423
- ID: 105423
Цитировать
Полный текст
Аннотация
Актуальность. Отечественные и зарубежные исследования показывают наличие корреляционных связей между распространенностью мочекаменной болезни, антропогенными факторами и составом потребляемой населением воды. В Нижегородской области отмечается высокая заболеваемость уролитиазом, выявление причин которой представляется актуальной задачей.
Цель — оценить распространенность и выявить предикторы заболеваемости уролитиазом населения сельских районов Нижегородской области.
Материалы и методы. Исследование проведено на территории Нижегородской области. Анализ обращаемости пациентов за медицинской помощью по поводу мочекаменной болезни выполняли по данным годовых отчетов за три года 49 центральных районных больниц и двух крупных больниц областного значения. Коэффициент заболеваемости мочекаменной болезнью высчитывали по обращению пациентов с данным заболеванием так же за три года по отношению к количеству населения каждого района. Информация об источниках питьевой воды получена путем анкетирования 800 пациентов с мочекаменной болезнью, находившихся на лечении в Нижегородской областной клинической больнице. Химический состав питьевой воды оценивали в соответствии с учетом требований к питьевой воде СанПиН 2.1.4.1074-01. Ретроспективный анализ минералогического состава 1000 мочевых камней пациентов из сельских районов Нижегородской области выполняли с помощью инфракрасной Фурье-микроскопии, спектрометр Nicolet iS5.
Результаты. Выявлено, что 38 (77,5 %) районов Нижегородской области неблагополучны по мочекаменной болезни. Установлено, что 59,5 % населения сельских районов используют воду из подземных источников — скважин и колодцев. Выявлены статистически значимые корреляционные связи между заболеваемостью уролитиазом и химическим составом потребляемой воды, в частности жесткостью воды. Анализ минералогического состава мочевых камней показал их поликомпонентный состав в 89,5 % случаев. Различия в химическом составе конкрементов связаны с экологическими факторами региона, один из которых — питьевая вода.
Выводы. Население большинства сельских районов Нижегородской области находится в группе риска по заболеваемости мочекаменной болезнью. Выявлены статистически значимые различия заболеваемости в зависимости от степени жесткости грунтовой воды, используемой для питья. Повышенная жесткость воды является значимым фактором риска развития уролитиаза.
Полный текст
АКТУАЛЬНОСТЬ
Результаты отечественных и международных эпидемиологических исследований свидетельствуют о продолжающемся росте заболеваемости мочекаменной болезнью (МКБ) [1, 2]. В странах Европы уролитиаз выявляют у 4–5 % населения [3]. В Российский Федерации по данным официальной статистики число впервые выявленных случаев МКБ за 12 лет возросло с 123,3 на 100 тыс. населения в 2002 г. до 150,3 в 2014 г., в абсолютных цифрах данный показатель составил 198 413 человек в 2011 г. и 217 469 человек в 2016 г. [4]. В Приволжском федеральном округе (ПФО) с 2005 по 2016 г. число заболевших уролитиазом увеличилось на 40 565 человек (+30,0 %) [5]. В Российской Федерации в 2016 г. уровень общей заболеваемости МКБ был 737,5 на 100 тыс. взрослого населения, прирост за 10 лет составил 29,9 % [5]. Уролитиаз — рецидивирующее заболевание, причем вероятность развития рецидива камнеобразования составляет в интервале 5–10 лет 50–75 % [1]. Больные МКБ составляют 30–40 % пациентов урологических стационаров и чаще всего представлены лицами наиболее активного и трудоспособного возраста — от 30 до 55 лет [6, 7].
Несмотря на повышение эффективности лечения МКБ, количество случаев выявления уролитиаза в Нижегородской области превышает среднероссийские показатели. Так, по данным Минздрава России (2019), на 100 тыс. населения заболеваемость МКБ в Российской Федерации составила 139,9 человек, в ПФО — 133,7 человек, а в Нижегородской области — 143,7 человек [8].
Отечественные и зарубежные исследования показывают наличие корреляционных связей между составом употребляемой жителями воды, отдельными антропогенными факторами и распространенностью МКБ [9–11]. При этом многие аспекты причин заболеваемости МКБ остаются неясными.
Цель — выявить зависимость заболеваемости МКБ и рецидивирования камнеобразования после проведенного лечения от состояния водных ресурсов в районах отдельно взятой области ПФО.
МАТЕРИАЛЫ И МЕТОДЫ
Исследование проведено на территории Нижегородской области, являющейся административной единицей ПФО. Численность населения в области в 2021 г. по данным Росстата составила 3 202 964 человек [12]. Обращаемость пациентов за медицинской помощью по поводу уролитиаза, в том числе впервые выявленного, анализировали по данным годовых отчетов за три года (2017–2019) 49 центральных районных больниц (ЦРБ) Нижегородской области, годовых отчетов клиник урологии ГБУЗ НО «Нижегородская областная клиническая больница им. Н.А. Семашко» и Приволжского окружного медицинского центра Федерального медико-биологического агентства. В анализ включали нозологические формы уролитиаза согласно международной классификации болезней МКБ-10: N20.0, N20.1, N20.2. Основным источником информации о стационарном лечении пациентов по поводу МКБ послужили данные годовых отчетов ЦРБ и Нижегородской областной клинической больницы (НОКБ), а также результаты анкетирования 800 пациентов с МКБ, находившихся на лечении в НОКБ. Один из вопросов предлагаемой пациентам анкеты был сформулирован следующим образом: «Откуда Вы берете питьевую воду?» с вариантами ответов: центральное водоснабжение, из скважины или колодца, бутилированная вода (из магазина), использование фильтров.
Коэффициент заболеваемости МКБ рассчитывали исходя из числа обращений пациентов с МКБ в ЦРБ за три года и количества населения данного района. В зависимости от указанного коэффициента каждому району области был присвоен ранговый номер. Сопоставление заболеваемости МКБ и состава потребляемой воды выполняли в соответствии с требованиями по питьевой воде СанПиН 2.1.4.1074-01 с учетом общей минерализации, жесткости, содержания отдельных элементов, таких как железо, марганец, и растворенных в используемой воде сероводорода, нитратов. При этом учитывали также состояние почв и антропогенную нагрузку по отдельным районам Нижегородской области по данным государственного доклада «О состоянии санитарно-эпидемиологического благополучия населения в Нижегородской области в 2019 году» Управления Федеральной службы по надзору в сфере защиты прав потребителей и благополучия человека по Нижегородской области, опубликованного в 2020 г. В настоящей работе использованы материалы Федеральной службы государственной статистики, размещенные на сайте https://rosstat.gov.ru [13], а также материалы Государственных докладов о состоянии санитарно-эпидемического благополучия населения в Нижегородской области в 2020 и 2021 гг., размещенных на сайте https://52.rospotrebnadzor.ru.
Ретроспективный анализ минералогического состава мочевых камней (1000 шт.) пациентов из сельских районов Нижегородской области выполняли с помощью инфракрасной Фурье-микроскопии (ИК-Фурье), спектрометр Nicolet iS5. Данные за пять лет получены из централизованной лаборатории «АВК-Мед».
Статистическую обработку данных проводили с помощью пакета статистических программ SPSS Statistics v.19. Статистическую значимость различий между выборками данных определяли по критерию Манна – Уитни. Проверку соответствия распределения выборок камней с содержанием определенного химического компонента по процентному его содержанию в анализируемых образцах на соответствие нормальному распределению проводили по критерию Колмогорова – Смирнова.
РЕЗУЛЬТАТЫ
В 2019 г. в Нижегородской области зарегистрированы 19 248 пациентов с МКБ [14]. Анализ обращаемости больных в ЦРБ по поводу МКБ показал, что лидерами являются 10 районов, классифицируемых нами условно как «К» — красные (табл. 1). Коэффициент их обращаемости в пересчете на количество жителей был максимальный и составил 0,2214 ± 0,0044. К группе средней обращаемости были отнесены 28 районов («Ж», желтые) с коэффициентом 0,1446 ± 0,0052, к группе низкой обращаемости — 11 районов («З», зеленые) с коэффициентом 0,0607 ± 0,0078. Таким образом, 38 (77,5 %) районов Нижегородской области с высокой и средней обращаемостью можно рассматривать как неблагополучные по МКБ. Выявлены статистически значимые корреляционные связи наличия МКБ у жителей районов, относящихся к категории «К», с составом питьевой воды в этих районах. Для районов, которые отнесены к категориям «Ж» и «З», указанной зависимости не выявлено.
Таблица 1. Коэффициенты обращаемости по поводу мочекаменной болезни в зависимости от ранга районов Нижегородской области
Table 1. Medical aid appealability rates for urolithiasis depending on the rank of districts of the Nizhny Novgorod Region
Ранг районов | % | Коэффициент обращаемости по поводу МКБ в пересчете на 10 тыс. жителей пункта проживания (за три года) |
«Красный» (n = 10) | 20,4 | 0,2214 ± 0,0044 |
«Желтый» (n = 28) | 57,1 | 0,1446 ± 0,0052 |
«Зеленый» (n = 11) | 22,5 | 0,0607 ± 0,0078 |
Выполнен сравнительный анализ среднегодовой обращаемости пациентов с МКБ в различных районах области, результаты представлены на рис. 1.
Анализ полученных результатов показал, что существуют две основные категории кластеров районов. Первая категория — это точки, соответствующие районам Нижегородской области, которые укладываются на три прямые линии (рис. 1). Это относительно благополучные районы. Во-первых, в них выявлена низкая относительная частота обращаемости пациентов с МКБ. Во-вторых, видно, что эта частота линейно, и тем самым, закономерно, растет при увеличении численности населения таких районов. Эта закономерность свидетельствует, что ситуация в этих районах во многом схожая. И поэтому рост относительной частоты приема больных в лечебном учреждении обусловлен единым главным фактором, а именно только лишь численностью населения самих этих районов. Вторая категория — это районы, соответствующие точкам, хаотически складывающимся во второй массив, сильно вытянутый по вертикали — оси роста относительной частоты приема пациентов. Этот кластер можно охарактеризовать как «бич» или «недуг» малых населенных пунктов. То есть, в малых населенных пунктах наблюдается чрезмерно высокий уровень заболеваемости данного типа (МКБ) по сравнению с крупными по численности районами. В качестве одной из причин такого разделения на благоприятные и неблагоприятные районы, можно предположить качественное различие в используемой населением питьевой воде, например, по жесткости. Как пример подтверждения такой гипотезы, на графике выделены две точки. Точка № 6 — это город К. (66 928 человек на момент проведения исследования в 2021 г.), относящийся к категории благополучных в отношении данного заболевания районов. Используемая питьевая вода у населения этого района нежесткая, поскольку водозабор выполняется из реки Волги. С другой стороны, точка № 49 — старинный город В. районного значения, имеющий статус городского поселения с количеством жителей 8555, крайне неблагополучный в отношении МКБ населенный пункт по сравнению со всеми остальными районами. По данным анализа грунтовых вод, в этом населенном пункте в верхних слоях имеется превышение содержания марганца и железа, в некоторых скважинах небольшое превышение кальция, из глубоких скважин — превышение уровня солей, превышение минерализации и жесткости в 1,5–2,0 раза по сравнению с нормами СанПиН 2.1.4.1110-02.
Рис. 1. Среднегодовая численность приема пациентов с мочекаменной болезнью (нозологии N20.0, N20.1, N20.2) на 10 тыс. населения районов Нижегородской области. № 6 — город К., № 49 — город В.
Fig. 1. Average annual number of admissions of patients with urolithiasis (nosologies N20.0, N20.1, N20.2) per 10,000 populations in the Nizhny Novgorod Region. № 6 — city K., № 49 — city V.
Больные МКБ преобладали среди госпитализированных в клинику урологии ГБУЗ НО «НОКБ им. Н.А. Семашко» и составляли в 2019 г. 43,3 ± 0,85 % (n = 1458), в 2018 г. — 48,0 ± 0,86 % (n = 1621), в 2017 г. — 46,3 ± 0,86 % (n = 1552). Средний возраст пациентов, госпитализированных по поводу МКБ в 2014–2019 гг., составил 47,0 ± 0,81 года у мужчин и 53,1 ± 0,97 года у женщин. За указанный период в стационар чаще всего поступали пациенты только с камнями в мочеточниках (N20.1) — 57,8 %, реже с камнями в почках (N20.0) — 21,9 % и с камнями в почках и мочеточниках (N20.2) — 20,3 %.
На рис. 2 представлены результаты сравнительного анализа относительных частот приема пациентов с МКБ из различных районов Нижегородской области в областной больнице к частоте приема в непосредственно самих местных лечебных учреждениях этих районов. Относительная частота определяется как отношение среднегодовых количеств пациентов с МКБ, отправляемых из регионов в областное лечебное учреждение, к количеству пациентов, обслуживаемых в местных лечебных учреждениях, приведенные на 10 тыс. населения этих районов.
На рис. 2 точки, лежащие на пунктирной линии, соответствующей отношению частот, равной 1 (единица), указывают на районы, которые отправляют всех больных с данной нозологией в областной центр. Причем, точки, лежащие на этой прямой линии, не рассчитываются стандартным образом, как описано выше, то есть как отношение частот приема в областном лечебном учреждении к приему в местном лечебном учреждении, а условно приняты за «1». Тем самым, эта линия представляет собой чисто формальное построение, которое выделяет категорию районов, отправляющих всех своих пациентов с данной нозологией в областной центр. Таких районов данной категории по нозологии N20.0 — 7 (рис. 2, а), по нозологии N20.1 — 2 (рис. 2, b), а в случае множественного уролитиаза N20.2 — 12 (рис. 2, с). При этом первичная помощь пациентам с камнями в почках была оказана в ЦРБ с последующим направлением в крупный урологический стационар. В то же время определено, что пациентам с камнями в мочеточниках (рис. 2, b) в районах с численностью населения более 40 тыс. человек значительно чаще оказывают медицинскую помощь на местах по сравнению с малонаселенными районами. Отмечено также, что частота направления пациентов с конкрементами в мочеточниках (N20.1) в областной центр много ниже, чем при нозологиях N20.0 и N20.2, и не зависит от численности населения самих районов.
Рис. 2. Относительная частота обращения пациентов с нозологической единицей N20.0 — камни в почках (a), N20.1 — камни в мочеточниках (b), N20.2 — камни в почках и мочеточниках (c) в областную больницу и местные лечебные учреждения
Fig. 2. Relative frequency of treatment of patients with nosological unit N20.0 (kidney stones) (a), N20.1 (ureteral stones) (b), and N20.2 (kidney and ureteral stones) (c) in regional hospitals and local medical institutions
Таким образом, ясно, что чаще всего в расчете на 10 тыс. населения отправляют в областной центр пациентов с МКБ из малонаселенных районов с численностью населения, не превышающей 20–30 тыс. человек. Это обусловлено не только основной базовой проблемой, связанной с качеством питьевой воды в местах проживания пациентов, но также и с острой вторичной проблемой малых населенных пунктов, связанной с отсутствием физической возможности у местных лечебных учреждений оказывать высококвалифицированную и качественную медицинскую помощь пациентам с МКБ.
Результаты проведенного анкетирования больных показали, что 59,5 % населения сельских районов Нижегородской области используют воду из подземных источников — скважин и колодцев (рис. 3).
Рис. 3. Источники потребления воды жителями Нижегородской области (n = 800)
Fig. 3. Sources of water consumed by the residents of the Nizhny Novgorod Region (n = 800)
Анализ сопоставления частоты МКБ у жителей разных районов области и жесткости воды в этих районах представлены в табл. 2 и на рис. 4.
Таблица 2. Показатели жесткости грунтовой воды в зависимости от категории районов Нижегородской области
Table 2. Indicators of groundwater hardness depending on the category of districts of the Nizhny Novgorod Region
Ранг районов | Жесткость воды, мг-экв/л [мин; макс] | Уровень значимости различия, p | ||
«Красные» | «Желтые» | «Зеленые» | ||
«Красные» | – | 0,013 | 0,020 | |
«Желтые» | 0,013 | – | 0,353 | |
«Зеленые» | 0,020 | 0,353 | – | |
Из табл. 2 видно наличие статистической значимости различия уровней жесткости грунтовой воды в районах, классифицируемых условно как «Красные», от двух других категорий районов, классифицируемых как «Желтые» и «Зеленые». На рис. 4 представлены данные, показывающие наличие связи между средним по районам медианным значением жесткости грунтовой воды и средней частотой обращений жителей этих районов по поводу МКБ. Полученные нами результаты свидетельствуют, что чем больше жесткость потребляемой населением воды, тем выше частота обращений по поводу МКБ.
Рис. 4. Показатели жесткости грунтовой воды и частоты обращений по поводу МКБ в зависимости от категории районов
Fig. 4. Indicators of groundwater hardness and frequency of requests for urolithiasis depending on the category of districts
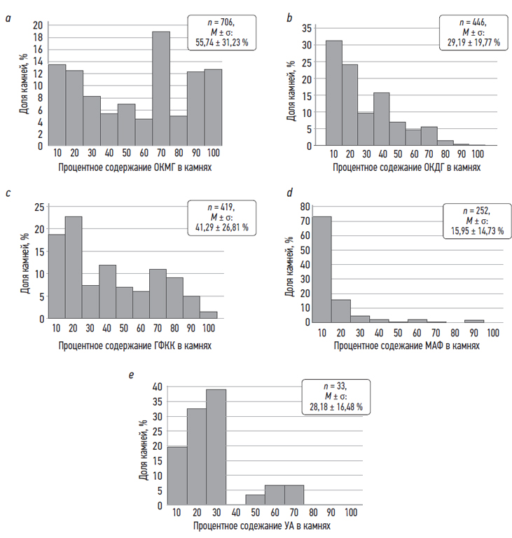
При анализе минералогического состава 1000 камней больных уролитиазом обнаружены следующие химические соединения: оксалат кальция моногидрат (ОКМГ), оксалат кальция дигидрат (ОКДГ), гидрофосфат-карбонат кальция (ГФКК), магний-аммоний фосфат (МАФ), альфа химотрипсин, урат аммония (УА) (табл. 3). Из табл. 3 следует, что большинство (70,6 %) конкрементов данной выборки содержат в качестве одного из компонентов ОКМГ. Однако только в 90 случаях выявлено содержание ОКМГ в «чистом» 100 % виде. В 44,6 % случаев в конкременте выявляли ОКДГ, в 41,9 % — ГФКК, в 25,2 % — МАФ, в 3,3 % — УА. При этом ни в одном случае не обнаружены конкременты с 100 % содержанием УА.
Таблица 3. Компонентный (химический) состав мочевых конкрементов жителей Нижегородской области (n = 1000)
Table 3. Component (chemical) composition of urinary calculi of residents of the Nizhny Novgorod region (n = 1000)
Наименование химических компонент | Сокращенное обозначение | Кол-во | 100 % состав * |
Оксалат кальция моногидрат | ОКМГ | 706 | 90 |
Оксалат кальция дигидрат | ОКДГ | 446 | 1 |
Гидрофосфат-карбонат кальция | ГФКК | 419 | 6 |
Магний-аммоний фосфат | МАФ | 252 | 4 |
Альфа-химотрипсин | АХТ | 4 | 4 |
Урат аммония | УА | 33 | 0 |
* Количество камней, содержащих данный химический компонент в «чистом» виде.
Приведенное на рис. 5, а распределение содержания ОКМГ в конкрементах является трехмодальным, то есть имеет три локальных максимума. Это может свидетельствовать в пользу предположения, что эти максимумы распределения соответствуют трем различным регионам проживания пациентов со своей уникальной экологической спецификой, в частности по жесткости воды, обусловливающей образование камней со специфическим процентным содержанием в них компонента ОКМГ. Следует отметить, что по критерию Колмогорова – Смирнова при анализе соответствующих данных для каждого из конкрементов по их процентному содержанию в камнях установлено отсутствие у этих выборок свойства нормальности. Распределение ОКДГ (рис. 5, b) несимметрично со смещенным влево максимумом. Это указывает на то, что в анализируемой выборке содержание компонента ОКДГ чаще всего встречается в относительно небольшой доле в камнях, в которых содержание другого/других компонентов велико. Третьим по частоте встречаемости является компонент ГФКК. В связи с этим с большой долей вероятности можно предположить, что генезис этого типа камней у пациентов может быть обусловлен уникальным сочетанием экологических особенностей региона и индивидуальных физиологических характеристик проживающих в нем пациентов. МАФ обнаружен в 252 случаях. При том в анализируемой нами выборке камней, содержащих данный компонент, МАФ чаще встречается в относительно небольшой доле, то есть его содержание незначительно. Таким образом этот компонент практически всегда находится в камнях, в которых велико содержание других компонентов. Распределение компонента УА в камнях пациентов было двухмодальным. Содержание УА может свидетельствовать о наличии связи с географией проживания пациентов в регионах с большой частотой МКБ и о зависимости от меняющейся/усугубляющейся экологической обстановки.
Рис. 5. Минералогический состав конкрементов больных уролитиазом (n = 1000): a — оксалат кальция моногидрат (ОКМГ); b — oксалат кальция дигидрат (ОКДГ); c — гидрофосфат-карбонат кальция (ГФКК); d — магний-аммоний фосфат (МАФ); е — урат аммония (УА)
Fig. 5. Mineralogical composition of stones from patients with urolithiasis (n = 1000): a, calcium oxalate monohydrate; b, calcium oxalate dihydrate; c, hydrophosphate-calcium carbonate; d, magnesium ammonium phosphate; е, ammonium urate
ОБСУЖДЕНИЕ
По данным государственного доклада 2020 г., 92,9 % населения Нижегородской области обеспечено качественной питьевой водой из централизованных систем водоснабжения, однако в течение ряда лет сохраняется актуальность проблемы организации сельского водоснабжения в связи с имеющими место недостатками в эксплуатации колодцев, родников и скважин без разводящей сети. По данным Росстата, сельское население Нижегородской области составляло в 2020 г. 20 %. По результатам нашего исследования установлено, что 59,5 % сельского населения пользуются подземными источниками водозабора — колодцами и скважинами. У жителей 38 районов Нижегородской области, что составляет 77,5 % всех районов региона, выявлены корреляционные связи между частотой МКБ и характеристиками питьевой воды. Следует отметить, что по данным Государственного доклада 2012 г. «О состоянии благополучия населения в Нижегородской области в 2012 году» и результатам анализа Регионального фонда данных социально-гигиенического мониторинга, высокоминерализованной водой с повышенной жесткостью (в отдельных районах до трех ПДК) вынуждено было пользоваться население 20 районов Нижегородской области. По данным управления Федеральной службы по надзору в сфере защиты прав потребителей и благополучия человека по Нижегородской области за 2021 г., основными поверхностными источниками, обеспечивающими водой 65 % населения Нижегородской области, являются Горьковское водохранилище, реки Ока, Волга, Валава, Керженец. При этом 35 % населения получают воду из подземных источников, расположенных в пределах трех артезианских бассейнов подземных вод — Волго-Сурского, Ветлужского и Московского. Из документа следует, что доля проб воды, не соответствующих требованиям гигиенических нормативов для источников централизованного водоснабжения по санитарно-химическим показателям в 2020 г. составила 20,2 % (в 2019 г. — 24,3 %), по микробиологическим — 6,4 % (в 2019 г. — 7,0 %), а для подземных источников централизованного питьевого водоснабжения — 3,8 % (в 2019 г. — 3,4 %) и 19,9 % (в 2019 г. — 24,8 %) соответственно. Отмечается повышение в воде содержания сульфатов, минерализации и жесткости на большей части Приволжской возвышенности, где для хозяйственно-питьевых нужд эксплуатируются слабоводоносный уржумский комплекс и водоносный нижнеказанский горизонт. Жители большинства административных районов на территории правобережья Волги, имеющих ограниченные ресурсы пресных вод, для водоснабжения нередко используют некондиционные воды с повышенной минерализацией (до 1,5 ПДК) [15]. Актуальным для сельских районов Нижегородской области является природно-обусловленное высокое содержание железа и общая жесткость в воде подземных источников. Длительное употребление такой воды нередко приводит к развитию мочекаменной и желчнокаменной болезней, заболеваниям органов пищеварения. Удельный вес нецентрализованных источников водоснабжения, не отвечающих санитарным требованиям, в 2020 г. составил 6,8 %, из них в сельских поселениях — 7,2 % (в 2019 г. — 5,2 %, в 2018 г. — 7,8 %). При этом в 2020 г. 40 % проб воды нецентрализованных источников не соответствовали требованиям гигиенических нормативов по санитарно-химическим и микробиологическим показателям.
По данным СанПиН 2.1.4.1074–01 для питьевой воды жесткость в норме не должна превышать 7,0 мг-экв/л, минерализация должна быть меньше 1000 мг/л, содержание железа (суммарно) — 0,3 мг/л, сульфатов — менее 500 мг/л, марганца (суммарно) — менее 0,1 мг/л, фториды должны отсутствовать. Состояние же источников водозабора для скважин и колодцев, которые «питаются» из подземных водоносных пластов, подземных озер, грунтовых вод районов Нижегородской области следующее: в 11 районах повышена жесткость воды, в четырех районах повышено содержание железа, в четырех районах и двух городских округах повышено содержание железа и марганца, а в одном районе и одном городском округе повышено содержание фтора в воде. При этом возраст основных водопроводных станций составляет более 70 лет, а износ сетей водоснабжения в среднем по области составляет 70 %.
Коморбидные заболевания в развитии и рецидивировании МКБ, несомненно, играют важную роль. Так, по данным проведенного Министерством здравоохранения Российской Федерации расчета заболеваемости на 1000 человек населения, который высчитывается как отношение числа заболеваний у пациентов с впервые в жизни установленным диагнозом к среднегодовой численности населения, установлено, что значение данного показателя для болезней мочеполовой системы в Нижегородской области составило 40,9, в то время как, например, в Московской области — 26,8 [16]. Для болезней органов пищеварения и нарушений обмена веществ у взрослого населения Нижегородской и Московской областей значение показателя равнялось 24,7 и 22,8, для болезней эндокринных органов — 10,5 и 7,5 соответственно. Заболеваемость подростков гастритом и дуоденитом в Нижегородской области в 1,2–1,5 раза выше, чем в среднем в Российской Федерации, и имеет тенденцию к увеличению — прирост заболеваемости в 2019 г. составил 49,8 %. Причем территориями «риска» для развития гастрита и дуоденита, как факторных заболеваний для развития МКБ, признано 9 муниципальных образований, где показатели превышали среднеобластной уровень в 1,2–5,7 раза и характеризовались ростом в 1,1–6,1 раза за 5 лет. Исходя из этого следует считать значимым в развитии МКБ в Нижегородской области присутствие и антропогенных факторов.
Анализ состава мочевых камней жителей сельских районов Нижегородской области показал, что только 10,5 % конкрементов были монокомпонентными, то есть содержали один минерал, остальные 89,5 % — многокомпонентными. В пограничной с Нижегородской областью Ивановской области монокомпонентный состав камней был выявлен в 44 % случаев, однако следует отметить, что анализ был выполнен только на 100 конкрементах [17]. По данным W.L. Strohmaier и соавт. [18], 34 % мочевых камней содержит только один минерал, 44 % — два минерала, 2 % — три минерала и только около 1 % конкрементов состоит из большего числа компонентов. В Нижегородской области, как и в Ивановской, наиболее часто встречающимся минералом оказались ОКМГ и ОКДГ (75,4 % и более 70 % случаев соответственно). Наиболее часто встречающимися комбинациями минералов в камнях со смешанным содержанием компонентов в Нижегородской области были гидраты оксалата кальция и КФКК. G. Schubert [19] провел анализ состава более 100 000 мочевых камней и обнаружил 145 различных комбинаций минералов. Несомненно, что на состав конкрементов могут влиять микрокомпоненты, содержащиеся как в продуктах питания, так и в воде, и в этом значительная роль принадлежит экологической характеристике места проживания пациента. В конечном счете, разнообразный многокомпонентный состав камней — это всегда результат среды обитания человека. Однако значимые различия минералогического состава мочевых камней жителей Нижегородской области и других регионов следует связывать с экологическими факторами, из которых одним из важнейших является питьевая вода.
Постановлением правительства Нижегородской области в 2013 г. была начата реализация региональной адресной программы «Чистая вода». На территории области проводятся мероприятия по улучшению водоснабжения и водоотведения, реализуются региональные программы «Оздоровление Волги» в рамках национального проекта «Экология» [14]. Однако одной из ведущих в разрешении проблемы снижения частоты МКБ в Нижегородской области остается роль медицинских работников. Особенность оказания урологической помощи пациентам с МКБ состоит в том, что штатные урологи, согласно нормативным актам в соответствии с численностью населения, имеются только в 9 (18,4 %) из 49 сельских районов области. Необходимо отметить, что согласно штатным нормативам для лечебных учреждений Нижегородской области уролог в поликлинике предусмотрен при наличии количества жителей района более 20 000. В то же время по приказу Минздрава России от 12.11.2012 № 907н (ред. от 21.02.2020) «Об утверждении Порядка оказания медицинской помощи взрослому населению по профилю „урология“» (зарегистрировано в Минюсте России 29.12.2012 № 26478) есть указание, что для районов с низкой плотностью населения и ограниченной транспортной доступностью медицинских организаций количество должностей урологического кабинета устанавливается исходя из меньшей численности населения.
Весьма актуальными остаются вопросы метафилактики уролитиаза. Известно, что у пациента, у которого вышел первый кальциевый камень, вероятность формирования второго камня в течение года составляет около 15 %, в течение 5 лет — 40 % и в течение 10 лет — 80 % [20]. В странах Европы и США выполнен целых ряд вполне надежных эпидемиологических исследований, в которых показано, что на образование камней в мочевыделительном тракте влияет множество различных факторов. Особенно важный вывод состоит в том, что между этими факторами прослеживается явный синергизм [21, 22], и это следует принимать во внимание при анализе причин эндемичности камнеобразования, выявляемой в каком-либо регионе.
В 2003 г. в России создана Единая государственная информационная система в сфере здравоохранения (ЕГИСЗ), компонентом которой является Единая региональная медицинская информационная система здравоохранения (ЕРМИС). С 2018 г. медицинские организации третьего уровня Нижегородской области присоединены к федеральной телемедицинской системе, введена в эксплуатацию услуга удаленных консультаций для всех медицинских организаций. Несомненно, необходимо вовлечение сотрудников лечебных учреждений районов высокого риска заболеваемостью МКБ, выявленных в процессе данного исследования, в работу по популяризации методов профилактики камнеобразования (в поликлиниках районных больниц организация лекций, бесед, научно-популярных фильмов для пациентов), популяризация знаний среди населения о необходимости употреблять чистую, доведенную до требуемых стандартов воду в больших объемах — до двух литров в сутки, что позволит уменьшить концентрацию литогенных субстанций в моче.
ВЫВОДЫ
В Нижегородской области в группе риска по заболеваемости МКБ находятся 77,5 % районов. Выявлена связь между состоянием употребляемой жителями этих районов воды и заболеваемостью МКБ. Выявлены статистически значимые различия в заболеваемости МКБ в районах Нижегородской области в зависимости от степени жесткости грунтовой воды, используемой для питья. В 89,5 % случаях состав мочевых конкрементов жителей Нижегородской области был многокомпонентным, что может быть обусловлено спецификой места проживания, значимым фактором которого является питьевая вода.
ДОПОЛНИТЕЛЬНАЯ ИНФОРМАЦИЯ
Вклад авторов. Все авторы внесли существенный вклад в разработку концепции, проведение исследования и подготовку статьи, прочли и одобрили финальную версию перед публикацией.
Конфликт интересов. Авторы декларируют отсутствие явных и потенциальных конфликтов интересов, связанных с публикацией настоящей статьи.
Источник финансирования. Работа выполнена при финансовой поддержке Российского научного фонда (грант № 21-15-00371).
ADDITIONAL INFORMATION
Author contribution. Thereby, all authors made a substantial contribution to the conception of the work, acquisition, analysis, interpretation of data for the work, drafting and revising the work, final approval of the version to be published and agree to be accountable for all aspects of the work.
Funding source. The work was carried out with the financial support of the Russian Science Foundation (grant No. 21-15-00371).
Competing interests. The authors declare that they have no competing interests.
Об авторах
Ольга Сергеевна Стрельцова
Приволжский исследовательский медицинский университет
Автор, ответственный за переписку.
Email: strelzova_uro@mail.ru
ORCID iD: 0000-0002-9097-0267
SPIN-код: 9674-0382
д-р мед. наук, профессор кафедры урологии им. Е.В. Шахова
Россия, Нижний НовгородВалентин Николаевич Крупин
Приволжский исследовательский медицинский университет
Email: vn.krupin@mail.ru
ORCID iD: 0000-0002-4887-4888
SPIN-код: 8892-7661
Scopus Author ID: 7003284228
д-р мед. наук, профессор, заведующий кафедрой урологии им. Е.В. Шахова
Россия, Нижний НовгородВалерий Федорович Лазукин
Приволжский исследовательский медицинский университет
Email: valery-laz@yandex.ru
ORCID iD: 0000-0003-0916-0468
SPIN-код: 3400-9905
канд. биол. наук, доцент кафедры медицинской физики и информатики
Россия, Нижний НовгородДмитрий Петрович Почтин
Нижегородская областная клиническая больница им. Н.А. Семашко
Email: dpochtin@mail.ru
врач-уролог
Россия, Нижний НовгородВасиф Джумшуд оглы Халили
Приволжский исследовательский медицинский университет
Email: khalili.vasif@yandex.ru
ORCID iD: 0000-0002-2793-4407
клинический ординатор кафедры урологии им. Е.В. Шахова
Россия, Нижний НовгородЭльвира Александровна Манакова
ООО «Централизованная лаборатория «АВК-Мед»
Email: e.manakova@gemohelp.ru
директор по медицине ООО «Централизованная лаборатория «АВК-Мед»
Россия, Нижний НовгородСписок литературы
- Turney B.W., Reynard J.M., Noble J.G., Keoghane S.R. Trends in urological stone disease // BJU Int. 2012. Vol. 109, No. 7. P. 1082–1087. doi: 10.1111/j.1464-410X.2011.10495.x
- Аполихин О.И., Сивков А.В., Комарова В.А., и др. Заболеваемость мочекаменной болезнью в Российской Федерации (2005–2016 годы) // Экспериментальная и клиническая урология. 2018. № 4. С. 4–14.
- Skolarikos A., Neisius A., Petřík A., et al. EAU Guidelines on Urolithiasis. European Association of Urology, 2021. 114 p. URL: https://uroweb.org/guidelines/urolithiasis
- Заболеваемость всего населения России в 2016 г. Статистические материалы. Часть I / под ред. Г.А. Александрова, А.В. Поликарпова, Н.А. Голубева, и др. Москва, 2017. 140 с. Доступ по ссылке: https://www.rosminzdrav.ru/ministry/61/22/stranitsa-979/statisticheskie-i-informatsionnye-materialy/statisticheskiy-sbornik-2016-god. Дата обращения: 16.01.2022.
- Каприн А.Д., Аполихин О.И., Сивков А.В., и др. Анализ уронефрологической заболеваемости и смертности в Российской Федерации за период 2002–2014 гг. по данным официальной статистики // Экспериментальная и клиническая урология. 2016. № 3. С. 4–13.
- Heers H., Turney B.W. Trends in urological stone disease: A 5-year update of hospital episode statistics // BJU International. 2016. Vol. 118, No. 5. P. 785–789. doi: 10.1111/bju.13520
- Малхасян В.А., Иванов В.Ю., Ходырева Л.А., и др. Анализ оказания специализированной медицинской помощи пациентам с почечной коликой в урологических стационарах г. Москва // Экспериментальная и клиническая урология. 2016. № 4. С. 18–25.
- Александрова Г.А., Голубев Н.А., Тюрина Е.М., и др. Заболеваемость всего населения России в 2019 году с диагнозом, установленным впервые в жизни: статистические материалы. Москва: Департамент мониторинга, анализа и стратегического развития здравоохранения Минздрав России, ФГБУ «ЦНИИОИЗ» Минздрава России, 2020. 140 с.
- Guo Z.-L., Wang J.-Y., Gong L.-L., et al. Association between cadmium exposure and urolithiasis risk: A systematic review and meta-analysis // Medicine. 2018. Vol. 97, No. 1. ID e9460. doi: 10.1097/MD.0000000000009460
- Медведев Е.В. Связь содержания микроэлементов в питьевой воде с развитием мочекаменной болезни у населения Московской области // Медицина труда и промышленная экология. 2007. № 2. С. 14–17.
- Sulaiman S.K., Enakshee J., Traxer O., Somani B.K. Which Type of Water Is Recommended for Patients with Stone Disease (Hard or Soft Water, Tap or Bottled Water): Evidence from a Systematic Review over the Last 3 Decades // Curr Urol Rep. 2020. Vol. 21. ID 6. doi: 10.1007/s11934-020-0968-3
- Территориальный орган Федеральной службы государственной статистики по Нижегородской области [Internet]. Официальная статистика ПФО. Доступ по ссылке: https://nizhstat.gks.ru/folder/38723. Дата обращения: 30.01.2022.
- Федеральная служба государственной статистики [Internet]. Численность постоянного населения России на 1 января. Доступ по ссылке: https://rosstat.gov.ru. Дата обращения: 30.01.2022.
- Регионы России. Социально-экономические показатели / под ред. С.М. Окладникова, О.А. Александрова, Н.С. Бугакова, и др. 2020: Р32 Стат. сб. Москва: Росстат, 2020. 1242 с.
- Краткая информация о состоянии подземных вод в районе г. Нижнего Новгорода. Доступ по ссылке: http://geomonitoring.ru/download/spravki/pfo/Справка%20Нижегородская%20область.pdf. Дата обращения: 03.03.2022.
- Федеральная служба по надзору в сфере защиты прав потребителей и благополучия человека. О состоянии санитарно-эпидемиологического благополучия населения в Российской Федерации в 2019 году: Государственный доклад. Москва: Федеральная служба по надзору в сфере защиты прав потребителей и благополучия человека, 2020. 299 с.
- Кустов А.В., Стрельников А.И., Смирнов П.Р., и др. Количественный минералогический анализ и структура мочевых камней пациентов Ивановской области // Урология. 2016. № 3. С. 19–25.
- Strohmaier W.L., Seilnacht J., Schubert G. Clinical significance of uric acid dihydrate in urinary stones // Urol Res. 2011. Vol. 39. P. 357–360. doi: 10.1007/s00240-010-0356-4
- Schubert G. Urinary stone analysis. In: Rao P.N., Preminger G.N., Kavanagh J.P., editors. Urinary tract stone disease. London: Springer-Verlag, 2011. P. 341–353. doi: 10.1007/978-1-84800-362-0_29
- Справочник MSD. Профессиональная версия [Internet]. Доступ по ссылке: https://www.msdmanuals.com/ru/профессиональный/патология-мочеполовой-системы/мочевые-конкременты/мочевые-конкременты. Дата обращения: 28.12.2021.
- Curham G. Epidemiology. In: Rao P.N., Preminger G.N., Kavanagh J.P., editors. Urinary tract stone disease. London: Springer-Verlag, 2011. P. 3–9. doi: 10.1007/978-1-84800-362-0_1
- Rodgers A., Trinchieri A., Ather M.H., et al. Vision for the future on urolithiasis: research, management, education and training-some personal views // Urolithiasis. 2019. Vol. 47. P. 401–413. doi: 10.1007/s00240-018-1086-2
Дополнительные файлы








