Стимуляция адаптационных возможностей почек у больных мочекаменной болезнью
- Авторы: Стрельцова О.С.1, Почтин Д.П.2, Горбунова Т.А.2, Лазукин В.Ф.1, Сиднев И.Л.1
-
Учреждения:
- ФГБОУ ВО «Приволжский исследовательский медицинский университет» Минздрава России
- ГБУЗ НО «Нижегородская областная клиническая больница им. Н.А. Семашко»
- Выпуск: Том 9, № 3 (2019)
- Страницы: 13-20
- Раздел: Оригинальные исследования
- Статья получена: 11.11.2019
- Статья одобрена: 11.11.2019
- Статья опубликована: 11.11.2019
- URL: https://journals.eco-vector.com/uroved/article/view/17700
- DOI: https://doi.org/10.17816/uroved9313-20
- ID: 17700
Цитировать
Аннотация
Воспалительные изменения в почке, возникшие в раннем послеоперационном периоде на фоне операционной травмы, ухудшения процессов микроциркуляции, гипоксии, являются значимым фактором нарушения ее функции. Цель настоящей работы — изучение влияния комбинированного препарата УрикларТМ на адаптационные возможности почек в раннем послеоперационном периоде в ответ на операционную травму у пациентов с мочекаменной болезнью. Изучено влияние оперативного вмешательства — чрескожной пункционной нефролитотрипсии на содержание в крови белков острой фазы воспаления и цистатина С. Выполнен анализ результатов обследования 35 пациентов (20 — основная группа и 15 — контрольная). Средний возраст больных составил 51 ± 8,4 года. Пациенты основной группы начинали прием Уриклара по 2 капсулы (430 мг) два раза в день за 5 дней до операции и продолжали его в течение 1 мес. после операции. Пациенты из контрольной группы в до- и послеоперационном периоде Уриклар не принимали. У пациентов основной группы, в отличие от контрольной, после операции не было отмечено статистически значимого повышения уровня цистатина С и изменения содержания биохимических маркеров электрофореграммы, что свидетельствует о наличии адаптогенного эффекта Уриклара. Таким образом, включение комбинированного препарата Уриклар в комплексное лечение больных мочекаменной болезнью позволяет корректировать нарушенные биологические и адаптационные функции почек в раннем послеоперационном периоде.
Ключевые слова
Полный текст
Чрескожная пункционная нефролитотрипсия (ЧПНЛТ) в настоящее время является стандартом лечения крупных камней почки [1]. Несмотря на принятую периоперационную антибактериальную профилактику, по данным различных авторов, частота развития острого пиелонефрита в послеоперационном периоде достигает 87,5 % [2], синдрома системной воспалительной реакции — 27,4 %, а уросепсис встречается в 7,9 % [3, 4]. Инфекционно-воспалительные осложнения удлиняют сроки пребывания пациентов в стационаре и последующий реабилитационный период, увеличивают расходы на лечение. К наиболее распространенным послеоперационным осложнениям ЧПНЛТ наряду с пиелонефритом и проблемами, вызванными резидуальными камнями, относят фебрильную лихорадку (до 32,1 % случаев) [5].
Воспалительные изменения на фоне гипоксии и микроциркуляторных расстройств в почке в раннем послеоперационном периоде являются значимым фактором ухудшения ее функции [6]. Патологические структурные изменения почек, в том числе нарушение деятельности нефронов, отражаются на регуляции функции почек в отношении гомеостаза и водно-электоролитного обмена. Эти факторы, а также воспалительные осложнения удлиняют сроки пребывания пациентов в стационаре, удорожают лечение, удлиняют реабилитационный период. Профилактика послеоперационных воспалительных процессов в почках у пациентов, особенно с отягощенным по мочекаменной болезни (МКБ) анамнезом, по-прежнему актуальна. Применение в комплексном лечении урологических пациентов фитопрепаратов может способствовать повышению эффективности лечения [7]. Правовой статус биологически активных добавок в области профилактики алиментарно-зависимых состояний и заболеваний в соответствии с требованиями медицинской науки регламентирован в РФ приказами и распоряжениями [8]. БАД-парафармацевтики нормализуют и/или улучшают в физиологических границах функциональную активность органов и систем, а также влияют на адаптацию организма к неблагоприятным условиям. Эти особенности позволяют широко использовать их для вспомогательной терапии различных заболеваний. В России препараты растительного происхождения составляют приблизительно 40 % общего количества применяемых в практической медицине лекарств [9]. По мнению И.В. Казанской (2015), преимущества фитопрепаратов перед синтетическими заключаются в их большей биодоступности, хорошей переносимости, весьма редких и легких побочных эффектах [7]. При лечении МКБ к фитотерапии прибегают давно, так как эфирные масла и терпены влияют на функции почек (циркуляцию крови, диурез), гладкой мускулатуры лоханки и мочеточника [9].
Целью настоящей работы было изучить влияние комбинированного препарата УрикларТМ (Aсфарма-Рос) на адаптационные возможности почек в раннем послеоперационном периоде в ответ на операционную травму у пациентов с осложненной МКБ.
МАТЕРИАЛЫ И МЕТОДЫ
В работе изучено влияние ЧПНЛТ у пациентов, страдающих МКБ, с отягощенным анамнезом, на показатели крови по уровню белков острой фазы воспаления и цистатина С.
В исследование были включены 35 пациентов: 20 — в основную группу и 15 — в контрольную. Больные обеих групп были сопоставимы по диагнозу, возрасту, гендерным характеристикам. Средний возраст пациентов составил 51 ± 8,4 года. Включение в исследование было добровольным на основе подписания информированного согласия. В исследование включали пациентов старше 18 лет с осложненным по МКБ анамнезом (ранее оперированных, имеющих рецидивные камни, с калькулезным пиелонефритом), которым предстояло оперативное лечение — ЧПНЛТ. Размеры конкрементов чашечно-лоханочной системы почки находились в пределах от 10 до 80 мм. Всем пациентам выполняли стандартные исследования (рентгеновское, ультразвуковое и лабораторное) с оценкой уровня мочевины и креатинина крови, посевом мочи на флору и чувствительность к антибиотикам. За 5 дней до операции определяли уровень белков крови электрофорезом и цистатина С. Отличие подготовки к операции в группах состояло в том, что пациенты основной группы за 5 дней до операции начинали получать комбинированный продукт с растительными компонентами Уриклар по 2 капсулы (430 мг) два раза в день [10]. В послеоперационном периоде они продолжали его прием до одного месяца. В остальном лечение в группах не различалось: согласно рекомендациям Российского общества урологов [11] всем пациентам проводили антибактериальную профилактику. С этой целью пациентам выполняли посев мочи на флору и за 1 ч до операции вводили антибиотик широкого спектра действия (чаще цефалоспорин третьего поколения) или препарат согласно чувствительности к антибиотику по результату посева мочи на флору. ЧПНЛТ осуществляли на оборудовании фирмы Karl Storz с помощью нефроскопа 26Сh и жесткого уретероскопа 10Ch. Для работы использовали ренальный кожух «амплац» 28Ch, что позволяло минимизировать повышение давления в чашечно-лоханочной системе в процессе операции. Операцию завершали нефростомией. Время оперативного вмешательства составляло от 20 до 150 мин. В послеоперационном периоде пациенты основной и контрольной групп также принимали антибактериальные и антигистаминные (Супрастин) препараты, НПВС (Кетонал), всем назначали антигеморрагические средства (этамзилат натрия). Повторный анализ крови пациентам обеих групп выполняли в послеоперационном периоде на 3-и или 4-е сутки. Всем пациентам ежедневно два раза в сутки проводили термометрию.
Влияние операционной травмы на почки оценивали по уровню белков крови, косвенно отражающих выраженность воспалительного ответа организма. В исследовании основное внимание уделяли маркерам структурного и функционального повреждения почек: цистатину С и β2-микроглобулину. Цистатин С — ингибитор цистеиновой протеазы, негликозилированный основной белок с низким молекулярным весом (13,4 кДа). Его уровень может сигнализировать о «преклинической» фазе ренальной дисфункции. Кроме того, он признан надежным и чувствительным маркером скорости клубочковой фильтрации (СКФ) по сравнению с сывороточным креатинином и его сывороточным клиренсом, не зависящим от гендерных и возрастных характеристик пациента. Известно, что цистатин С образуется в организме с постоянной скоростью во всех ядерных клетках, свободно фильтруется в ренальных клубочках и почти полностью реабсорбируется и разрушается в почечных канальцах [12].
Анализ крови на цистатин С выполняли на биохимическом анализаторе Huma Star 600 иммунотурбодиметрическим методом. Электрофорез белков сыворотки крови выполняли с использованием системы капиллярного электрофореза Capillaris — 2Flex Piercing компании Sebia. Этот метод позволяет разделять белки на шесть фракций в соответствии с их физическими свойствами (альбумины и пять фракций глобулинов). В каждую фракцию мигрируют белки с определенной биологической функцией, определенным клинико-диагностическим значением. Электрофорез белков сыворотки крови — один из лучших инструментов скрининга, обеспечивающего более эффективный подход к идентификации патофизиологических состояний, поскольку функции белков чрезвычайно разнообразны и изменение их концентраций в биологических жидкостях отражает даже незначительные функциональные нарушения систем организма [13].
Математическую обработку данных проводили с помощью статистического пакета Statistica v13. Для проверки на нормальность выборок данных в группах применяли метод Колмогорова – Смирнова. Значимость различий в содержании биохимических маркеров в сравниваемых группах пациентов анализировали в рамках непараметрического метода Уилкоксона для независимых выборок.
РЕЗУЛЬТАТЫ
Содержание белков в крови пациентов сравниваемых групп до и после операции представлено в табл. 1.
Таблица 1 / Table 1
Содержание белков в крови пациентов основной и контрольной групп до и после операции, M ± m (n = 35)
Proteins blood level of patients in the main and control groups before and after surgery, M ± m (n = 35)
Биохимические маркеры | Основная группа (n = 20) | p | Контрольная группа (n = 15) | p | ||
до операции | после операции | до операции | после операции | |||
Цистатин С, мг/л | 1,44 ± 1,7 | 1,13 ± 0,66 | 0,01108 | 1,22 ± 0,64 | 1,17 ± 0,65 | 0,08532 |
Альбумин, % | 56,82 ± 8,27 | 56,42 ± 7,21 | 0,61551 | 56,42 ± 9,05 | 53,9 ± 9,68 | 0,00506 |
Глобулин α1, % | 5,29 ± 2,12 | 5,17 ± 1,2 | 0,34637 | 5,08 ± 1,34 | 6,28 ± 1,48 | 0,00089 |
Глобулин α2, % | 11,12 ± 4,49 | 11,98 ± 1,62 | 0,09954 | 10 ± 2,89 | 11,0 ± 3,25 | 0,00428 |
Глобулин β1, % | 5,83 ± 1,55 | 5,88 ± 1,55 | 0,80173 | 5,86 ± 0,91 | 6,24 ± 0,63 | 0,00314 |
Глобулин β2, % | 4,86 ± 1,83 | 5,0 ± 2,03 | 0,31517 | 5,31 ± 1,41 | 5,81 ± 1,48 | 0,00065 |
Общий белок, г/л | 71,43 ± 13 | 69,8 ± 7,77 | 0,22204 | 71,76 ± 7,91 | 67,14 ± 11 | 0,07962 |
Примечание: полужирным шрифтом выделены статистически достоверные различия (p < 0,05). | ||||||
Анализ уровня цистатина С
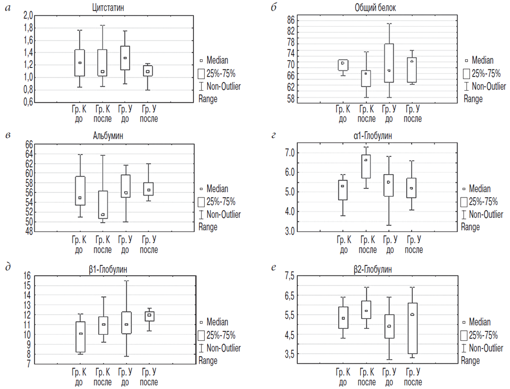
У больных основной группы, получавших Уриклар, средний показатель цистатина С до операции составил 1,44 ± 1,7 мг/л (от 0,9 до 3,31 мг/л), а после операции — 1,13 ± 0,66 мг/л (от 0,8 до 1,74 мг/л). Только у одного больного после операции зафиксировано повышение его уровня с 1,13 до 1,74 мг/л, в остальных случаях наблюдалось понижение. Средние показатели изменялись в границах референсного интервала. Известно, что средний уровень цистатина С составляет 0,77 мл/л [10]. При этом для людей в возрасте старше пятидесяти лет показатели нормы для цистатина С равняются 0,74–1,55 мг/л. В основной группе исходно у одного пациента, имевшего максимальный показатель цистатина С, наблюдалась хроническая почечная недостаточность латентной стадии течения, а уровень креатинина был повышен до 140 мкмоль/л. В контрольной группе до операции показатели уровня цистатина С варьировали от 0,85 до 1,76 мг/л (в среднем — 1,22 ± 0,64), а после операции — от 0,86 до 1,84 мг/л (в среднем — 1,17 ± 0,65 мг/л) (рис. 1, а). У двух пациентов с дооперационными уровнями 1,76 и 1,45 мг/л и исходно имевших азотемию (креатинин сыворотки крови — 155 и 135 мкмоль/л при норме 110–115 мкмоль/л) зафиксировано повышение показателей цистатина С до уровней 1,84 и 1,55 мг/л соответственно.
Рис. 1. Распределение цистатина С (а) и показателей электрофореграммы (б–е) у пациентов основной (гр. У) и контрольной (гр. К) групп до и после операции
Fig. 1. Distribution of cystatin С (а) and electrophoregram indices (б–е) in patients of the main (group У) and control (group K) groups before and after surgery
Анализ полученных данных по методике Уилкоксона свидетельствует, что содержание цистатина С в группе больных, получавших Уриклар, после операции у всех пациентов стабилизировалось примерно на одном уровне (р ≤ 0,05) (см. рис. 1, а).
Анализ электрофореграммы
Под понятием «общий белок» понимают концентрацию всех белков плазмы крови. Средний показатель уровня общего белка крови в группах представлен в табл. 1. Выявлено, что уровень белка в группе пациентов, не принимавших Уриклар, в послеоперационном периоде имел тенденцию к снижению, а в группе пациентов, принимавших препарат в послеоперационном периоде, остался прежним, но при этом разброс концентраций по группе был значительно меньше (рис. 1, б). Все изменения происходили в пределах референсных интервалов нормы содержания общего белка у здоровых взрослых — от 65 до 80 г/л. В нашем исследовании показатели в основной группе составили 71, 4 и 69,8 г/л, а в контрольной — 71,7 и 67,1 г/л.
Уровень основной фракции электрофореграммы — альбумина у больных, получавших Уриклар, не изменялся — 56,82 и 56,42 % соответственно. У больных контрольной группы уровень альбумина незначительно снизился с 56,4 до 53,9 % (при норме для примененной нами лабораторной методики 55,8–66,1 % г/л). Альбумин относят к группе белков, негативно реагирующих на воспаление. Снижение уровня альбумина, главного транспортного белка, связывают с дефицитом аминокислот и увеличением синтеза ИЛ-6 при ответе острой фазы воспаления. В данном исследовании существенной динамики уровня альбумина у пациентов основной группы в ответ на операционную травму не зафиксировано. Незначительное снижение синтеза альбумина в пределах нормальных значений (51–61 или 35–52 г/л) [13] наблюдали у 9 пациентов (45 %, 9/20). Увеличение содержания альбумина обычно связано с дегидратацией. В контрольной группе снижение уровня показателя выявлено у 13 пациентов, что составило 86,6 % (13/15). Таким образом, содержание альбумина в крови пациентов контрольной группы в среднем уменьшилось, а пациентов основной группы стабилизировалось примерно на одном уровне (рис. 1, в).
Группа глобулинов
В зону белковых фракций α1-глобулинов электрофореграммы мигрируют α1-антитрипсин и кислый α1-гликопротеин. Известно, что бактериальная инфекция является самым мощным индуктором повышения уровня α1-антитрипсина этого белка, поэтому в послеоперационном периоде повышение кислого α1-гликопротеина даже в условиях острофазного ответа на операционную травму является индикатором локальной инфекции [13]. Наиболее значимый эффект α1-антитрипсина — подавление активности лейкоцитарной эстеразы. α1-Антитрипсин представляет собой белок острой фазы воспаления, повышение уровня которого наблюдают и при травмах тканей примерно через 48 ч. Выработка его в печени увеличивается под действием фактора некроза опухоли, ИЛ-1, ИЛ-6, то есть эта группа белков является позитивной по отношению к активности воспалительного процесса [13]. В нашем исследовании повышение α1-глобулина наблюдали только у пациентов контрольной группы (рис. 1, г, табл. 1), в то время как у пациентов основной группы повышения уровня α1-глобулина отмечено не было. Анализ значимости различий по методике Уилкоксона свидетельствует, что содержание α1-глобулина в послеоперационном периоде у больных основной группы стабилизировалось примерно на исходном уровне (см. рис. 1, г).
Содержание фракции α2-глобулина у больных контрольной группы увеличилось незначительно, а в основной группе наблюдалась стабилизация показателей у всех пациентов примерно на исходном уровне (см. табл. 1). Известно, что уровень белков, мигрирующих в α2-зону (гаптоглобин и α2-макроглобулин), при остром воспалении повышается незначительно. При острофазном ответе они выполняют защитную функцию, образуя комплексы с белками, высвобождающимися при распаде клеток [13].
Анализ фракции β-глобулинов
Выявлено, что содержание β1- и β2-глобулина у пациентов, не принимавших Уриклар (контрольная группа), в послеоперационном периоде увеличивалось, а у больных, принимавших препарат в до- и послеоперационном периоде, оставалось на исходном уровне, при этом разброс концентраций по группе значительно увеличивался (рис. 1, д, е, табл. 1). Известно, что во фракции β-глобулинов доминируют трансферрин, компоненты C3, C4 комплемента, а также липопротеин. Синтез C3 происходит в печени, макрофагах, фибробластах, ускоряется в острой фазе воспаления (активатор — ИЛ-6). Комплемент С3 имеет значение при бактериальных инфекциях, С4 — также белок острой фазы воспаления, повышение его концентрации наблюдают при воспалительных процессах [13].
Таким образом, при анализе содержания биохимических маркеров было установлено, что в группе пациентов, не получавших Уриклар в до- и послеоперационном периоде, различие в уровне содержания биохимических маркеров у пациентов, кроме цистатина С, оказалось статистически значимым (см. табл. 1). Это свидетельствует, что у больных данной группы наблюдалась реакции организма вообще и почек в частности на операционное повреждение в виде выработки белков острой фазы воспаления. У больных, принимавших Уриклар (основная группа), различие в уровне содержания биохимических маркеров в этих периодах, кроме цистатина С, было статистически незначимо (см. табл. 1). Это говорит об эффекте компенсации/адаптации данного препарата фактора операционного воздействия на послеоперационное состояние соответствующих систем организма.
Пример электрофореграмм пациентов основной и контрольной групп представлен на рис. 2.
Рис. 2. Электрофореграммы пациентов контрольной группы — гр. К (а, б) и основной группы — гр. У (в, г) до и после операции. Пик фракции β2-глобулина указан стрелкой (а, б)
Fig. 2. Electrophoregrams of patients in the control group – group K (a, б) and the main group – group У (в, г) before and after surgery. The peak of the β2-globulin fraction is indicated by the arrow (a, б).
Результаты термометрии
Лихорадка зафиксирована у 50 % (n = 10) больных основной и у 66,6 % (n = 10) контрольной группы. При этом повышение температуры тела до фебрильных цифр наблюдали у 3 (15 %) пациентов в основной и у 4 (26,6 %) в контрольной группе, что потребовало оптимизации антибактериальной терапии и дезинтоксикационного лечения.
ОБСУЖДЕНИЕ
В эру преимущественно эндоскопического подхода к лечению МКБ изучению уровня молекулярных маркеров почечной дисфункции придают все большее значение. Общепризнано, что определение значений СКФ необходимо для диагностики и мониторинга нарушения ренальных функций [14–16]. Креатинин и цистатин С почти полностью фильтруются клубочками, поэтому повышение их сывороточных уровней свидетельствует о снижении СКФ, а уровень цистатина С может сигнализировать о «преклинической» фазе ренальной дисфункции [10].
В проведенном нами исследовании выявлено, что ЧПНЛТ является фактором, способным вызвать генерализованный ответ организма на операционную травму. В то же время включение в предоперационную подготовку препарата Уриклар приводит к стабилизации показателей цистатина С в послеоперационном периоде, что свидетельствует об отсутствии выраженного повреждения паренхимы почек, соответственно, СКФ не изменяется.
Уриклар — комбинированный продукт с растительными компонентами, которые способствуют поддержанию функций мочевыделительной системы за счет флавоноидов, эфирных масел, дубильных веществ, каротиноидов, фитонцидов и органических кислот, а также цитратного комплекса. Содержащиеся в нем флавоноиды из сухих экстрактов растительных компонентов участвуют в обменных процессах в организме, способствуют снижению тонуса гладкой мускулатуры, а также обладают противомикробными и противовоспалительными свойствами. Уриклар на сегодняшний день нашел широкое применение в клинической практике, главным образом, при лечении и метафилактике МКБ [17].
Изменение уровня белков сыворотки крови связано с патологическими состояниями организма, в частности с острым воспалительным ответом [18]. Белки острой фазы — это плазменные протеины, образующиеся преимущественно в печени, оказывающие как прямое, так и опосредованное бактерицидное и/или бактериостатическое действие, служащие хемоаттрактантами, неспецифическими опсонинами и ингибиторами альтерации. В результате исследования белковых фракций плазмы крови удалось выявить изменение качественного и количественного состава отдельных белков и их фракций плазмы крови при нормальном уровне общего белка в до- и послеоперационном периоде.
Сравнительный анализ динамики показателей электрофореграммы в основной и контрольной группах позволяет заключить, что благодаря назначению во время предоперационной подготовки препарата Уриклар в послеоперационном периоде колебания уровня биохимических маркеров острой фазы воспаления были статистически незначимы, в то время как в группе пациентов, не получавших препарат, различия в уровне их содержания оказались статистически значимыми. Известно, что парафармацевтики, как правило, являются минорными (то есть содержатся в небольших количествах) компонентами пищи, обеспечивающими регуляцию (ослабление или усиление) в физиологических границах функциональной активности органов и систем, а также эффект адаптации организма к неблагоприятным условиям [8]. Это подтверждается также меньшим количеством пациентов с температурной реакцией после операции в группе пациентов, принимавших Уриклар, по сравнению с группой контроля (50 и 66,6 % соответственно). При этом необходимо учитывать, что повышение температуры возможно как ответ на действие не только пирогенов, вырабатываемых в организме преимущественно макрофагами и нейтрофилами под влиянием инфекционных процессов, но и пирогенов неинфекционного генеза, таких как ИЛ-1, ИЛ-6, ФНО, γИНФ, — компонентов острой фазы воспалительного ответа.
ВЫВОДЫ
Результаты исследования позволяют заключить, что Уриклар оказывает значимый адаптогенный эффект вследствие влияния на неспецифический воспалительный процесс в почках в ответ на операционную травму. Включение комбинированного препарата Уриклар в комплексное лечение пациентов с отягощенной МКБ способствует регуляции нарушенных биологических и адаптационных функций почек в раннем послеоперационном периоде.
Об авторах
Ольга Сергеевна Стрельцова
ФГБОУ ВО «Приволжский исследовательский медицинский университет» Минздрава России
Автор, ответственный за переписку.
Email: strelzova_uro@mail.ru
д-р мед. наук, профессор кафедры урологии им. Е.В. Шахова
Россия, Нижний НовгородДмитрий Петрович Почтин
ГБУЗ НО «Нижегородская областная клиническая больница им. Н.А. Семашко»
Email: dpochtin@mail.ru
врач-уролог
Россия, Нижний НовгородТатьяна Анатольевна Горбунова
ГБУЗ НО «Нижегородская областная клиническая больница им. Н.А. Семашко»
Email: gorbunova6030@yandex.ru
врач клинической лабораторной диагностики
Россия, Нижний НовгородВалерий Федорович Лазукин
ФГБОУ ВО «Приволжский исследовательский медицинский университет» Минздрава России
Email: valery-laz@yandex.ru
канд. мед. наук, доцент кафедры медицинской физики и информатики
Россия, Нижний НовгородИлья Львович Сиднев
ФГБОУ ВО «Приволжский исследовательский медицинский университет» Минздрава России
Email: iljasidnev@yandex.ru
студент
Россия, Нижний НовгородСписок литературы
- Türk C, Neisius A, Petrik A, et al. EAU Guidelines on urolithiasis [Electronic resource]. European Association of Urology; 2017. 84 p. Available from: https://uroweb.org/wp-content/uploads/EAU-Guidelines-on-Urolithiasis_2017_10-05V2.pdf.
- Толордава Э.Р. Роль бактериальных биопленок в этиопатогенезе мочекаменной болезни: Автореф. дис. … канд. биол. наук. – М., 2014. – 27 с. [Tolordava ER. Rol’ bakterial’nyi bioplenok v etiopatogeneze mochekamennoi bolezni. [dissertation abstract] Moscow; 2014. 27 р. (In Russ.)]. Доступно по: https://dlib.rsl.ru/viewer/01005545003#?page=1. Ссылка активна на 02.06.2019.
- Liu YQ, Lu J, Hao YC, et al. [Predicting model based on risk factors for urosepsis after percutaneous nephrolithotomy. (In Chinese)]. Beijing Da Xue Xue Bao Yi Xue Ban. 2018;50(3):507-513.
- Koras O, Bozkurt IH, Yonguc T, et al. Risk factors for postoperative infectious complications following percutaneous nephrolithotomy: a prospective clinical study. Urolithiasis. 2015;43(1):55-60. https://doi.org/10.1007/s00240-014-0730-8.
- Yang T, Liu S, Hu J, et al. T. The evaluation of risk factors for postoperative infectious complications after percutaneous nephrolithotomy. Biomed Res Int. 2017;2017:4832051. https://doi.org/10.1155/2017/4832051.
- Патент РФ на изобретение RU № 2253366. Татевосян А.С., Осипов А.А., Опольский А.Б., Татевосян Т.С. Способ консервативного лечения мочекаменной болезни и предупреждения рецидивного образования камней почек. [Patent RUS № 2253366. Tatevosyan AS, Osipov AA, Opolskiy AB, Tatevosyan TS. Сonservative method for treating the cases of urolithiasis and preventing recurrent calculus formation. (In Russ.)]. Доступно по: http://www.freepatent.ru/patents/2253366. Ссылка активна на 16.05.2019.
- Казанская И.В. Фитопрепараты в детской уронефрологии // Вестник Российского общества урологов. – 2015. – № 2. – С. 18. [Kazanskaya IV. Fitopreparaty v detskoi uronefrologii. Vestnik Rossiyskogo obshchestva urologov. 2015;(2):18. (In Russ.)]
- Постановление Правительства РФ № 917 от 10.08.1998 «О Концепции государственной политики в области здорового питания населения Российской Федерации на период до 2005 года». – М., 1998. [Decree of the Government of the Russian Federation № 917 “O Kontseptsii gosudarstvennoy politiki v oblasti zdorovogo pitaniya naseleniya Rossiyskoy Federatsii na period do 2005 goda”; dated 2014 August 10. Moscow; 1998. (In Russ.)]. Доступно по: http://www.consultant.ru/cons/CGI/online.cgi?req=doc;base=EXP;n=259367;dst=100010#03399473135018607. Ссылка активна на 02.06.2019.
- Гуденко Ю.А., Казанская И.В., Лобжанидзе З.Д. Применение препарата Роватинекс в детской урологии // Экспериментальная и клиническая урология. 2013. – № 3. – С. 61–65. [Gudenko YaA, Kazanskaya IV, Lobyanidze ZB. Rovatinex usage in pediatric urology. Experimental and clinical urology. 2013;(3):61-65. (In Russ.)]
- Справочник лекарств [электронный ресурс]. Уриклар. Инструкция по применению. [Spravochnik lekarstv [Elektronnyi resurs]. Uriklar. Instruktsiya po primeneniyu. (In Russ.)]. Доступно по: http://instrukciya-otzyvy.ru/1588-uriklar-po-primeneniyu-analogi-kapsuly-tabletki-kamni-v-pochkah-profilaktika-sostav.html. Ссылка активна на 02.06.2019.
- Урология. Российские клинические рекомендации / Под ред. Аляева Ю.Г., Глыбочко П.В., Пушкаря Д.Ю. – М.: Медфорум, 2017. – 544 с. [Urologiya. Rossiiskie klinicheskie rekomendatsii. Ed. by Alyaev YuG, Glybochko PV, Pushkar’ DYu. Moscow: Medforum; 2017. 544 р. (In Russ.)]
- Вельков В.В. Цистатин С — новые возможности и новые задачи для лабораторной дигностики [электронный ресурс]. – М.: ЗАО «Диакон», 2011. – 73 с. [Velkov VV. Cystatin C: The new opportunities and new goals for laboratory diagnostics [Elektronnyi resurs]. Moscow: ZAO “DIAKON”; 2011. 73 р. (In Russ.)]. Доступно по: http://www.diakonlab.ru/files/Docs/SciArticles/Cystatin_C_Rev_Site(2).pdf. Ссылка активна на 02.06.2019.
- Клиническая лабораторная диагностика: национальное руководство. В 2 т. Т. 1 / Под ред. В.Д. Долгова, В.В. Меньшикова. – М.: ГЭОТАР-Медиа, 2012. – 928 с. [Klinicheskaya laboratornaya diagnostika: natsional’noe rukovodstvo. V 2 t. Vol. 1. Ed. by V.D. Dolgov, V.V. Men’shikov. Moscow: GEOTAR-Media; 2012. 928 р. (In Russ.)]
- National Kidney Foundation. K/DOQI clinical practice guidelines for chronic kidney disease: evaluation, classification, and stratification. Am J Kidney Dis. 2002;39(2 Suppl 1):S1-266.
- Grubb A, Björk J, Lindström V, et al. A cystatin C-based formula without anthropometric variables estimates glomerular filtration rate better than creatinine clearance using the cockcroft-gault formula. Scand J Clin Lab Invest. 2005;65(2):153-162. https://doi.org/10.1080/00365510510013596.
- Тарасенко А.И., Пушкарев А.М., Ракипов И.Г., и др. Биомаркеры повреждения почек при контактной уретеролитотрипсии // Урология. – 2017. – № 5. – С. 75–79. [Tarasenko AI, Pushkarev AM, Rakipov IG, et al. Biomarkers of renal injury in contact ureteral lithotripsy. Urologiia. 2017;(5):75-79. (In Russ.)]. https://doi.org/10.18565/urology.2017.5.75-79.
- Шестаев А.Ю., Протощак В.В., Паронников М.В., Киселев А.О. Комбинированный (цитратный и растительный) препарат Уриклар в дистанционной литотрипсии и метафилактике мочекаменной болезни // Урологические ведомости. – 2018. – Т. 8. – № 1. – С. 19–25. [Shestaev AYu, Protoshchak VV, Paronnikov MV, Kiselev AO. Combined (citrate and herbal) drug Uriklar in extracorporeal shock wave lithotripsy and metaphylaxis of urolithiasis. Urologicheskie vedomosti. 2018;8(1):19-25. (In Russ.)]. https://doi.org/10.17816/uroved8119-25.
- Шевченко О.П., Долгов В.В., Олиференко Г.А. Электрофорез в клинической лаборатории. – М.: Реафарм, 2006. – 160 c. [Shevchenko OP, Dolgov VV, Oliferenko GA. Elektroforez v klinicheskoi laboratorii. Moscow: Reafarm; 2006. 160 р. (In Russ.)]
Дополнительные файлы






