Opportunities to predict effectiveness of antisecretory therapy in patients with gastroesophageal reflux disease
- Authors: Rabotyagova Y.S.1, Klyaritskaya I.L.1
-
Affiliations:
- Medical Academy named after S.I. Georgievsky
- Issue: Vol 10, No 1 (2018)
- Pages: 61-66
- Section: Reviews
- Submitted: 03.05.2018
- Published: 15.03.2018
- URL: https://journals.eco-vector.com/vszgmu/article/view/8814
- DOI: https://doi.org/10.17816/mechnikov201810161-66
- ID: 8814
Cite item
Full Text
Abstract
To determine the factors that affect the effectiveness of gastroesophageal reflux disease therapy, a correlation analysis was performed that included the international GERD questionnaire, the hospital anxiety and depression score (HADS), and data on the polymorphism of cytochrome P450 2C19 in 136 patients with different variants gastroesophageal reflux disease (GERD): reflux esophagitis (RE), non-erosive reflux disease (NERD) and reflux hypersensitivity (RH). The presence of a strong negative relationship between the favorable outcome of PPI therapy and the GERD score was demonstrated after 4 weeks of therapy in the RE, NERD and RH groups (p < 0.001). When analyzing the relationship between the HADS scale and the effectiveness of therapy, a strong negative correlation was found only in the RE group (p < 0.001), the fact that the metabolic rate of the PPI moderately correlated with the favorable outcome of therapy in the RH and NERD groups (p < 0.05).
Full Text
Введение
Гастроэзофагеальная рефлюксная болезнь (ГЭРБ) относится к одним из широко распространенных болезней пищевода, значительно ухудшающих уровень качества жизни пациентов [1]. На сегодняшний день ГЭРБ остается одним из наиболее часто встречающихся заболеваний в амбулаторной гастроэнтерологической практике: по имеющимся данным, около 70 % женщин и 50 % мужчин страдают теми или иными симптомами заболевания [2]. Единственным эффективным методом лечения ГЭРБ и профилактики ее осложнений является максимально возможное и продолжительное подавление желудочной секреции. При этом первой линией лечения во всех случаях постулируется назначение адекватных доз современных ингибиторов протонной помпы (ИПП), которые с момента их открытия остаются ведущей научно обоснованной терапией для лечения кислотозависимых заболеваний, к которым относится ГЭРБ [3]. Все препараты данной группы имеют одинаковый механизм действия, обеспечивающий сходство их клинических эффектов [4]. Критериями эффективности терапии ГЭРБ служит исчезновение симптоматики через 4 недели лечения [5]. Однако частота случаев клинической неэффективности терапии ГЭРБ составляет 10–40 %, а у 7–23 % пациентов изжога сохраняется даже при приеме ИПП 2 раза в сутки [6].
Механизмы недостаточной эффективности ИПП при подтвержденном диагнозе гастроэзофагеальной рефлюксной болезни остаются неясными, в таких случаях играет роль комбинация различных факторов, что и явилось предпосылкой для проведения настоящего исследования.
Материалы и метод
Для выявления факторов, влияющих на эффективность терапии ГЭРБ, был проведен корреляционный анализ, в который были включены показатели международного опросника GERD, госпитальной шкалы тревоги депрессии (HADS), а также данные о полиморфизме цитохрома Р450 2C19 у 136 пациентов с различными вариантами ГЭРБ: рефлюкс-эзофагитом (РЭ), неэрозивной рефлюксной болезнью (НЭРБ) и гиперчувствительностью пищевода к рефлюксу (ГП). Опросник GERD, состоящий из 6 вопросов, разделенных на три группы (А, В, С), использовался для быстрой оценки жалоб перед началом терапии (неделя 0) и на контрольном визите (неделя 4). Для оценки выраженности тревоги и депрессии у пациентов с ГЭРБ использовали шкалу HADS, которая состоит из 14 утверждений и двух подшкал: А — «тревога» и D — «депрессия». Каждому из них соответствует четыре варианта ответа, отражающие градации выраженности признака. Полиморфизм цитохрома Р450 2C19 определялся методом полимеразной цепной реакции и был представлен генотипами *1/*1 и *1/*2.
Ниже приводятся значения коэффициента корреляции r, уровень значимости p, 95 % доверительный интервал (CI) для коэффициента корреляции, графики рассеяния объектов в координатах соответствующих значений показателей. Показатель эффективности терапии, или «Исход», при построении графиков кодировался как «0» — для неэффективной терапии, «1» — для эффективной терапии, показатель «Скорость метаболизма» кодировался «1» — для быстрого, «0» — для промежуточного типа метаболизма.
Результаты
В ходе проведенного анализа в группе РЭ были выявлены корреляционные связи отрицательного характера и различной силы между показателем «Исход» и данными GERD-Q (табл. 1).
Таблица 1 / Table 1. Корреляционный анализ показателей GERD-Q с исходом терапии в группе с рефлюкс-эзофагитом
Correlation analysis of GERD-Q parameters with the outcome of therapy in a group with reflux esophagitis
Пара показателей | r | p | 95 % CI |
Исход — GERD-В0 | –0,37 | 0,01 | –0,59; –0,09 |
Исход — GERD-суммарный0 | –0,47 | 0,01 | –0,66; –0,22 |
Исход — GERD-А4 | –0,72 | 0,001 | –0,84; –0,56 |
Исход — GERD-В4 | –0,86 | 0,001 | –0,92; –0,76 |
Исход — GERD-С4 | –0,78 | 0,001 | –0,87; –0,63 |
Исход — GERD-суммарный4 | –0,83 | 0,001 | –0,9; –0,72 |
Анализируя данные таблицы, видно, что показатели опросника GERD на неделе 0 не оказывали влияния на эффективность терапии. Напротив, в парах показателей «Исход» и «GERD-В4», «Исход» и «GERD-С4», «Исход» и «GERD-суммарный4» были найдены сильные отрицательные корреляция: r = –0,86; p = 0,001; 0,95 % CI = [–0,92; –0,76]; r = –0,78; p = 0,001; 0,95 % CI = [–0,87; –0,63]; r = –0,83; p = 0,001; 0,95 % CI = [–0,9; –0,72] соответственно. Таким образом, при меньшем количестве балов опросника GERD через 4 недели эффективность антисекреторной терапии ИПП возрастает (рис. 1).
Рис. 1. Взаимосвязь показателей «Исход» и «GERD-суммарный4» в группе пациентов с рефлюкс-эзофагитом
В группе НЭРБ были выявлены отрицательные корреляции различной силы между показателем «Исход» и данными GERD-Q (табл. 2).
Таблица 2 / Table 2. Корреляционный анализ показателей GERD-Q с исходом терапии в группе с неэрозивной рефлюксной болезнью
Correlation analysis of GERD-Q parameters with the outcome of therapy in a group with non-erosive reflux disease
Пара показателей | r | p | 95 % CI |
Исход — GERD-А0 | –0,26 | 0,04 | –0,48; –0,01 |
Исход — GERD-В0 | –0,42 | 0,001 | –0,61; –0,19 |
Исход — GERD-суммарный0 | –0,56 | 0,001 | –0,71; –0,35 |
Исход — GERD-А4 | –0,79 | 0,001 | –0,87; –0,67 |
Исход — GERD-В4 | –0,78 | 0,001 | –0,86; –0,65 |
Исход — GERD-С4 | –0,64 | 0,001 | –0,77; –0,46 |
Исход — GERD-суммарный4 | –0,82 | 0,001 | –0,89; –0,71 |
Таким образом, были обнаружены отрицательные корреляции слабой и средней силы между эффективным исходом терапии и показателями опросника GERD (общее количество баллов, баллы в блоках А и В (r = –0,56; –0,26; –0,42; соот.; p < 0,05)) на неделе 0.
Сильные корреляционные связи отрицательной направленности были выявлены в паре показателей «Исход» и «GERD-А4»: r = –0,79; p = 0,001; 0,95 % CI = [–0,87; –0,67], «Исход» и «GERD-В4»: r = –0,78; p = 0,001; 0,95 % CI = [–0,86; –0,65], но наиболее сильная в паре «Исход» и «GERD-суммарный4»: r = –0,82; p = 0,001; 0,95 % CI = [–0,89; –0,71]. Результаты можно трактовать как увеличение вероятности эффективной терапии при уменьшении количества баллов в блоках А, В, а также суммы баллов через 4 недели терапии (рис. 2).
Рис. 2. Взаимосвязь показателей «Исход» и «GERD-суммарный4» в группе с неэрозивной рефлюксной болезнью
В группе ГП были найдены сильные отрицательные корреляции для пар показателей «Исход» и «GERD-А4» и «Исход» и «GERD-суммарный4»: r = –0,88; p = 0,001; 95 % CI = [–0,95; –0,76]; r = –0,95; p = 0,001; 95 % CI = [–0,97; –0,87] соответственно (табл. 3, рис. 3, 4).
Рис. 3. Взаимосвязь показателей «Исход» и «GERD-А4» в группе с гиперчувствительностью пищевода
Рис. 4. Взаимосвязь показателей «Исход» и «GERD-суммарный4» в группе с гиперчувствительностью пищевода
Таблица 3 / Table 3. Корреляционный анализ показателей опросника GERD с исходом терапии в группе с гиперчувствительностью пищевода
Correlation analysis of indicators of the questionnaire GERD with treatment outcome in the group with hypersensitivity of the esophagus
Пара показателей | r | p | 95 % CI |
Исход — GERD-А4 | –0,88 | 0,001 | –0,95; –0,76 |
Исход — GERD-В4 | –0,73 | 0,001 | –0,88; –0,53 |
Исход — GERD-суммарный4 | –0,95 | 0,001 | –0,97; –0,87 |
Таким образом, при уменьшении количества баллов по проанализированным блокам опросника GERD в группе ГП следует ожидать увеличения шансов благоприятного исхода, в нашем случае — эффективной терапии.
Была проанализирована связь показателей шкалы HADS и вероятности купирования рефлюксных симптомов через 4 недели антисекреторной терапии ИПП.
Таблица 4 / Table 4. Корреляционный анализ показателей шкалы HADS с исходом терапии в группе с рефлюкс-эзофагитом
Correlation analysis of indicators of the scale of the HADS with the outcome of therapy in the group with reflux esophagitis
Пара показателей | r | p | 95 % CI |
Исход — HADS-A | –0,75 | 0,001 | –0,85; –0,6 |
Исход — HADS-D | –0,50 | 0,001 | –0,68; –0,25 |
Исход — HADS-общая | –0,61 | 0,001 | –0,76; –0,4 |
В группе с РЭ нами были выявлены отрицательные корреляционные связи исхода терапии с показателями шкалы HADS (табл. 5). Но только в паре показателей «Исход» и «HADS-А» была найдена сильная отрицательная корреляционная связь: коэффициент корреляции r = –0,75; p = 0,001; 0,95 % CI = [–0,85; –0,6]. Таким образом, терапия оказалась более эффективна у пациентов с меньшим значением показателя «HADS-А» (рис. 5).
Рис. 5. Корреляционный анализ показателей «Исход» и «HADS-А» в группе с рефлюкс-эзофагитом
В группе НЭРБ нами были обнаружены корреляции между исходом терапии как с подшкалой тревоги (HADS-A), так и подшкалой депрессии HADS-D, а также с суммой баллов по обеим подшкалам (HADS-общая) (табл. 5).
Таблица 5 / Table 5. Корреляционный анализ показателей шкалы HADS с исходом терапии в группе с неэрозивной рефлюксной болезнью
Correlation analysis of HADS scale indices with the outcome of therapy in a group with non-erosive reflux disease
Пара показателей | r | p | 95 % CI |
Исход — HADS-A | –0,67 | 0,001 | –0,79; –0,51 |
Исход — HADS-D | –0,65 | 0,001 | –0,78; –0,47 |
Исход — HADS-общая | –0,65 | 0,001 | –0,78; –0,48 |
Как видно из табл. 5, корреляционные связи обладают отрицательной направленностью, но средней силой. Это означает, что предсказательная способность показателей шкалы HADS у пациентов с НЭРБ не очень высока.
В группе ГП нами не было найдено статистически значимых корреляций показателей шкалы HADS с исходом терапии.
Таким образом, корреляционный анализ показателей шкалы HADS с благоприятным исходом терапии при различных формах ГЭРБ продемонстрировал наличие сильной отрицательной связи только в группе РЭ (р < 0,005).
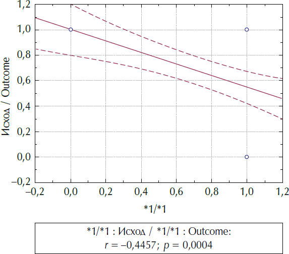
В ходе анализа связи скорости метаболизма с исходом терапии в группе ГП нами была найдена только одна корреляция отрицательной направленности и умеренной силы: r = –0,56; p = 0,001; 0,95 % CI = [–0,77; –0,23]. Таким образом, можно предположить, что вероятность благоприятного исхода антисекреторной терапии ИПП возрастает у пациентов с промежуточным или медленным типом метаболизма ИПП, так как на представленном графике большему значению показателя «Исход» соответствует меньшее значение показателя «Скорость метаболизма» (рис. 6).
Рис. 6. Корреляционный анализ показателей «Исход» и «Скорость метаболизма» в группе с гиперчувствительностью пищевода
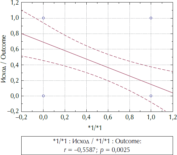
В ходе аналогичного анализа, проведенного в группе НЭРБ, также была найдена отрицательная корреляция умеренной силы: r = –0,45; p = 0,001; 95 % CI = [–0,63; –0,22]. На графике, представленном на рис. 9, где большему значению показателя «Исход» соответствует меньшее значение показателя «Скорость метаболизма», что можно трактовать как увеличение эффективности антисекреторной терапии у пациентов с промежуточным и медленным типами метаболизма ИПП (рис. 7).
Рис. 7. Корреляционный анализ показателей «Исход» и «Скорость метаболизма» в группе с неэрозивной рефлюксной болезнью
В группе пациентов с РЭ корреляционный анализ не обнаружил статистически значимых ассоциаций между скоростью метаболизма и благоприятным исходом терапии.
Выводы
Корреляционный анализ показателей шкалы GERD с исходом терапии продемонстрировал наличие сильной отрицательной связи благоприятного исхода и количества баллов по шкале GERD через 4 недели терапии в группах ГП, НЭРБ и РЭ (р < 0,001). При анализе связи показателей шкалы HADS и эффективности терапии было продемонстрировано наличие одной сильной отрицательной корреляции только в группе РЭ (р < 0,001). Следовательно, можно сделать вывод, что субклиническая тревога и депрессия практически не оказывают влияния на эффективность антисекреторной терапии ИПП. А фактор скорости метаболизма ИПП умеренно коррелировал с благоприятным исходом терапии в группах ГП и НЭРБ (р < 0,05).
About the authors
Yu. S. Rabotyagova
Medical Academy named after S.I. Georgievsky
Author for correspondence.
Email: yliyarabotyagova@gmail.com
Russian Federation, Simferopol
I. L. Klyaritskaya
Medical Academy named after S.I. Georgievsky
Email: yliyarabotyagova@gmail.com
Russian Federation, Simferopol
References
- El-Serag H, Sweet S, Winchester C, Dent J. Update on the epidemiology of gastro-oesophageal reflux disease: a systematic review. Gut. 2014;63:871-80. doi: 10.1136/gutjnl-2012-304269.
- Маев И.В., Белый П.А., Лебедева Е.Г. Влияние полиморфизма гена CYP2C19 на эффективность использования ингибиторов протонной помпы в лечении гастроэзофагеальной рефлюксной болезни // Лечащий врач. – 2011. – Т. 7. – С. 93–95. [Maev IV, Belyj PA, Lebedeva EG. Vlijanie polimorfizma gena CYP2C19 na jeffektivnost’ ispol’zovanija ingibitorov protonnoj pompy v lechenii gastrojezofageal’noj refljuksnoj bolezni. Lechashhij vrach. 2011;7:93-95. (In Russ.)]
- Sachas G, Shin JM, Howden CW. Review article: the clinical pharmacology of proton inhibitors. Aliment Pharmacol Ther. 2006;23(2):2-8. doi: 10.1111/j.1365-2036.2006.02943.x.
- Бордин Д.С. Что следует учитывать при выборе ингибитора протонной помпы больному ГЭРБ? // Медицинский альманах. – 2010. – № 1 (10). – С. 127–130. [Bordin DS. Chto sleduet uchityvat’ pri vybore ingibitora protonnoj pompy bol’nomu GJeRB? Medicinskij al’manah. 2010;1(10):127-130. (In Russ.)]
- Bruley des Varannes S, Coron E, Galmiche JP. Short and long-term PPI treatment for GERD. Do we need more-potent anti-secretory drugs? Best Practice and Research. 2010;24(6):905-921.
- Hunt RH, Yuan Y, Yaghhoobi M. GERD: new strategies and new failures. J Clin Gastroenterol. 2007;41(suppl. 2):72-77.
Supplementary files









