Фазовый сдвиг между изменениями глобальной температуры и содержания Co2 в а тмосфере при внешних эмиссиях парниковых газов в атмосферу
- Авторы: Мурышев К.Е.1, Елисеев А.В.1,2,3, Денисов С.Н.1, Мохов И.И.1,2,4, Тимажев А.В.1
-
Учреждения:
- Институт физики атмосферы им. А.М. Обухова РАН
- Московский государственный университет им. М.В. Ломоносова
- Казанский (Приволжский) федеральный университет
- Московский физико-технический институт (государственный университет)
- Выпуск: Том 55, № 3 (2019)
- Страницы: 11-19
- Раздел: Статьи
- URL: https://journals.eco-vector.com/0002-3515/article/view/14175
- DOI: https://doi.org/10.31857/S0002-351555311-19
- ID: 14175
Цитировать
Полный текст
Аннотация
Ранее было показано, что фазовый сдвиг между изменениями глобальной приповерхностной температуры Tg и содержания СО2 в атмосфере qCO2 в общем случае не характеризует причинно-следственные связи в земной системе. В частности, при непарниковом радиационном возмущающем воздействии (РВВ) знак этого сдвига меняется в зависимости от временного масштаба РВВ. В данной работе в численных экспериментах с климатической моделью ИФА РАН и концептуальной климатической моделью климата с углеродным циклом исследован фазовый сдвиг между изменениями Tg и qCO2 при внешнем воздействии в виде синфазных по времени внешних эмиссиях углекислого газа и метана в атмосферу. Получено, что при достаточно большом временном масштабе внешнего воздействия изменения qCO2 запаздывают относительно соответствующих изменений Tg.
Ключевые слова
Полный текст
ВВЕДЕНИЕ
Глобальная приповерхностная температура Tg в земной климатической системе (ЗКС) повышалась в течение последнего столетия. Потепление в 1880–2012 гг. составило в среднем 0.85 К (с интервалом неопределенности 0.65–1.06 К), а в 1951–2012 гг. — 0.72 К (с интервалом неопределенности 0.49–0.89 К) [1]. В соответствии с общепринятыми представлениями, основной причиной происходящего потепления является антропогенный парниковый эффект, дополняемый, а иногда компенсируемый антропогенным воздействием иной природы, а также естественными воздействиями на климат и внутренней изменчивостью ЗКС. Это подтверждается данными эмпирических моделей [2–7] и глобальных климатических моделей [8–14].
Тем не менее, существуют альтернативные гипотезы относительно природы наблюдаемого потепления. В соответствии с ними основной вклад в его формирование вносят естественные (неантропогенные) факторы. Одним из широко используемых аргументов в поддержку этих гипотез является взаимное запаздывание между изменениями Tg и содержания углекислого газа в атмосфере qCO2, восстанавливаемое по антарктическим ледовым кернам: согласно этим данным, изменения qCO2 в целом отстают от соответствующих изменений Tg на несколько столетий [15–18]. Кроме того, в [19] на основании данных измерений для 1980–2012 гг. было показано, что межгодовые изменения qCO2 запаздывают относительно соответствующих изменений Tg. Поскольку естественно ожидать, что следствие не может опережать свою причину, существование подобного запаздывания используется в качестве аргумента для опровержения роли антропогенного парникового эффекта в изменениях климата (напр., [20]).
Однако, в [21] в численных экспериментах с концептуальной моделью климата с углеродным циклом было продемонстрировано запаздывание изменений Тg относительно изменений qCO2 при внешнем воздействии, подразумевающем, что изменения qCO2 являются откликом на изменения Tg. В [22, 23] аналогичные результаты были получены в численных экспериментах с глобальной климатической моделью промежуточной сложности, а также приведены аналитические решения, доказывающие возможность существования в ЗКС этого эффекта, и дано его качественное объяснение.
Цель данной работы — показать, что аналогичные эффекты могут проявляться при внешнем воздействии на ЗКС в виде эмиссий в атмосферу нескольких (как минимум двух) парниковых газов, например, СО2 и СН4. При этом изменения qCO2 могут запаздывать относительно изменений Тg, хотя являются основной причиной их возникновения. Простейший пример подобной динамики разных переменных земной климатической системы приведен в [24], где представлены аналитические оценки взаимных вариаций радиационного баланса Земли и его компонентов (см. стр. 139–141).
Взаимное запаздывание между qCO2 и Тg исследуется с использованием результатов численных экспериментов с климатическими моделями разного класса.
КЛИМАТИЧЕСКАЯ МОДЕЛЬ ИФА РАН
Климатическая модель (КМ) ИФА РАН описана в [25–34]. Модель включает модули атмосферы, океана, деятельного слоя суши, углеродного и метанового циклов.
В частности, блок термо- и гидрофизических процессов в деятельном слое суши описан в [35–37]. Блок углеродного цикла КМ ИФА РАН основан на [27, 28]. Его современная версия описана в [30, 33, 34]. Океанический углеродный цикл представлен глобально-осредненной моделью типа Бакастоу, модифицированной с учетом температурных зависимостей констант химических реакций [22]. Для расчетов естественной эмиссии метана из влажных экосистем используется схема эмиссий метана [38–40], интегрируемая совместно с моделью процессов тепло- и влагопереноса в почве.
Для метанового цикла атмосферы аналогично [38, 41] использовалось балансовое уравнение
(1)
где qCH4 — концентрация метана в атмосфере [млрд-1], ECH4 — суммарные (естественные и антропогенные) эмиссии метана в атмосферу [МтСН4/год], β = 2.75 МтCH4/млрд–1. Для τtot используется соотношение
(2)
где τsoil = 150 лет — характерное время разложения метана в почве, а τatm — время жизни метана в атмосфере, зависящее от температуры [40].
Антропогенные эмиссии метана задаются в виде табулированной функции от времени. Естественные эмиссии этого газа представляются в виде суммы эмиссий из почвы, которые вычисляются интерактивно, и прочих эмиссий естественного происхождения, которым приписывается постоянное значение 65 МтCH4/год [38, 40].
КОНЦЕПТУАЛЬНАЯ МОДЕЛЬ КЛИМАТА С УГЛЕРОДНЫМ ЦИКЛОМ
Используемая в данной работе концептуальная климатическая модель с углеродным циклом состоит из уравнений, характеризующих изменения среднеглобальных значений температуры и содержания СО2 и СН4 в атмосфере. Первое уравнение описывает тепловой баланс ЗКС (см. напр., [42, 43]):
(3)
где Tg — глобальная приповерхностная температура, Тg(0) = 13.7 °C — ее базовое значение, C = 109 Дж м–2 K–1 [42] — теплоемкость единицы площади земной поверхности, примерно соответствующая теплоемкости слоя океана глубиной 350 м, Rtot — суммарное радиационное возмущающее воздействие, слагаемое характеризует все климатические обратные связи в линейном виде (в частности, сюда входит парниковый эффект водяного пара). Коэффициент λ0 называют параметром чувствительности климата. Для современных климатических моделей значение λ0 находится в диапазоне от 0.6 до 1.6 Вт м–2 К–1 [1]. В стандартной версии концептуальной модели λ0 = 1 Вт м–2 К–1.
Радиационное возмущающее воздействие (РВВ) Rtot можно условно разделить на три слагаемых: первое соответствует парниковому эффекту СО2, второе — парниковому эффекту СН4, третье — непарниковым радиационным возмущающим воздействиям (обусловленным, например, изменениями солнечной постоянной, вулканическими извержениями и др).
(4)
В данной работе рассматривается только случай Rx ≡ 0.
Парниковое РВВ СО2 описывается в виде
(5)
где = 278 млн–1 — доиндустриальное значение содержания СО2 в атмосфере. Для современных климатических моделей R0 = 5.3 Вт/м2.
Радиационное возмущающее воздействие метана рассчитывается согласно [44]. Содержание метана в атмосфере и его естественные эмиссии рассчитываются аналогично тому, как это делается в КМ ИФА РАН.
Поскольку разрушение метана в атмосфере в результате цепочки химических превращений приводит к образованию углекислого газа, в правой части уравнения для qCO2 возникает дополнительное слагаемое, зависящее от qCH4. Это уравнение имеет следующий вид:
(6)
где qCO2 — концентрация углекислого газа в атмосфере [млн–1], c0 = 2.123 ГтС/млн (СО2)–1, ECO2 — внешние (напр., антропогенные) эмиссии СО2 в атмосферу, Fland и Foc — потоки углерода из атмосферы в наземные экосистемы и в океан соответственно, μ = 0.27 ∙ 10–3 ГтС/млрд(СН4)–1. Схема расчета потоков Fland и Foc описана в [22].
РЕЗУЛЬТАТЫ ЧИСЛЕННЫХ ЭКСПЕРИМЕНТОВ С КЛИМАТИЧЕСКИМИ МОДЕЛЯМИ
С климатической моделью ИФА РАН и концептуальной климатической моделью с углеродным циклом проведены численные эксперименты при внешнем воздействии в виде эмиссий в атмосферу углекислого газа ECO2 и метана ECH4, изменяющихся во времени по следующему закону:
ECO2 (t) = {ECO2,0 sin (ωt),
при ωt < π; 0 при ωt > π}, (7)
ECH4 (t) = {ECH4,0 sin (ωt),
при ωt < π; 0 при ωt > π}, (8)
где — время, ω = 2π/P, P — временной масштаб воздействия. Вид функций (7), (8) при P = 1000 лет показан на рис. 1.
Рис. 1. Синфазные эмиссии СО2 (кривая 1) и СН4 (кривая 2) в виде (7), (8) при P = 1000 лет.
Синусоидальная форма эмиссий использована для облегчения процедуры получения аналитических решений, предпринимаемой в дальнейшем для объяснения полученных результатов. Поскольку функции (7), (8) отличны от нуля только при , изменения Tg и qCO2, возникающие при таком внешнем воздействии, не являются периодическими. Благодаря этому запаздывание между ними определяется однозначно. Синфазность эмиссий СО2 и СН4 основана на предположении, что антропогенные эмиссии обоих этих газов на межгодовом временном масштабе пропорциональны интенсивности хозяйственной деятельности человека.
Расчеты проводились при значениях P, меняющихся в зависимости от численного эксперимента от 10 до 1500 лет, и амплитудах эмиссий ECO2,0 = 10 ГтС/год и ECH4,0 = {180; 360; 720 МтСН4/год}. Амплитуды ECO2,0 = 10 ГтС/год и ECH4,0 = 360 МтСН4/год соответствуют значениям антропогенных эмиссий СО2 и СН4, характерным для конца XX — начала XXI вв. При таких амплитудах эмиссий относительный вклад СО2 и СН4 в суммарный парниковый эффект, получаемый в численных экспериментах, сопоставим с соответствующим вкладом для конца XX — начала XXI вв.
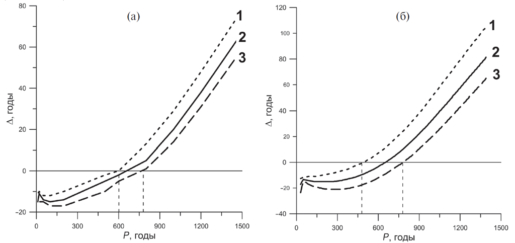
Запаздывание Δ между изменениями Tg и qCO2 определялся по максимуму коэффициента корреляции со сдвигом по времени между рядами Tg и qCO2. Характерные значения максимального коэффициента корреляции ≥ 0,99. Результаты анализа численных экспериментов с КМ ИФА РАН и концептуальной моделью на качественном уровне совпадают между собой (см. рис. 2а, б).
Рис. 2. Запаздывание Δ между изменениями глобальной температуры Tg и содержания в атмосфере углекислого газа qСО2 в численных экспериментах с КМ ИФА РАН (а) и с концептуальной моделью (б) при ECH4,0 = 720 МтСН4/год (кривая 1), ECH4,0 = 360 МтСН4/год (кривая 2) и ECH4,0 = 180 МтСН4/год (кривая 3). Δ < 0 соответствует случаю, когда qСО2 опережает Tg, Δ > 0 – случаю, когда Tg опережает qСО2.
Для узкополосного (в том числе монохроматического) сигнала вычисленное таким образом запаздывание Δ соответствует фазовому сдвигу φ между двумя временными рядами: Δ = φ/ω. Альтернативной характеристикой является групповое запаздывание δ = dφ/dω. Однако последняя характеристика в данной работе не используется ввиду того, что во всех цитируемых в данной работе публикациях используется именно Δ.
Получено, что изменения Tg могут как отставать по фазе от изменений qCO2, так и опережать их в зависимости от временного масштаба внешнего воздействия P. На вековом временном масштабе (P < 400 лет) Tg запаздывает относительно qCO2 (Δ < 0), тогда как на тысячелетнем (P > 800 лет) изменения qCO2 запаздывают относительно изменений Tg (Δ > 0), хотя могут считаться причиной их возникновения. Точное значение критического периода воздействия Pcr, при котором запаздывание Tg относительно qCO2 сменяется опережением, зависит от соотношения амплитуд эмиссий СО2 и СН4.
ОБСУЖДЕНИЕ
Простейший вариант концептуальной модели, в которой воспроизводится запаздывание qCO2 относительно Tg на тысячелетнем временном масштабе, соответствует линеаризованной исходной концептуальной модели без учета ряда процессов, второстепенных для данной задачи (в частности, зависимости потоков CO2 и CH4 между атмосферой, океаном и сушей от температуры и содержания углерода в наземных экосистемах и океане). Уравнения этой модели приведены ниже.
(9)
(10)
(11)
Здесь — отклонение содержания СО2 в атмосфере от начального (равновесного) значения, — соответствующее отклонение содержания в атмосфере метана, — соответствующее отклонение температуры, , , b — коэффициент, характеризующий время релаксации q.
Система (9)–(11) может быть решена аналитически. Если внешние эмиссии СО2 и СH4 задать в виде (7), (8) то при ωt < π решения для отклонений температуры T и содержания СО2 в атмосфере q будут иметь вид:
(12)
(13)
где и — фазовые сдвиги Т и q относительно внешнего воздействия, причем
(14)
(15)
где
(16)
(17)
Если в формулах (12), (13) пренебречь влиянием затухающих экспоненциальных слагаемых (что допустимо, когда временной масштаб внешнего воздействия много больше характерного времени релаксации системы), то знак запаздывания Δ между изменениями q и T, будет зависеть от соотношения величин и : при изменения q опережают изменения T (Δ < 0), при изменения T опережают изменения q (Δ > 0).
Таким образом, критический временной масштаб внешнего воздействия , при котором запаздывание T относительно q сменяется опережением, может быть получен из условия С учетом (14) и (15) это условие эквивалентно уравнению
(18)
Используя выражения (18) и (19), получаем:
(19)
Следовательно,
(20)
Таким образом, для возникновения обсуждаемого эффекта необходимо наличие двух парниковых газов с различными временами релаксации атмосферных концентраций 1/a и 1/b.
Этому эффекту можно дать качественное объяснение. На рис. 3 показано, как в случае синфазных эмиссий СО2 и СH4 меняются во времени РВВ СО2 и СH4, а также их суммарное РВВ и Tg. Концентрация метана в атмосфере благодаря его достаточно быстрому окислению (порядка 10 лет) спадает быстрее, чем концентрация СО2. Благодаря этому максимум суммарного РВВ, находящийся между максимумами РВВ СО2 и СH4, достигается раньше максимума РВВ СО2 (одновременного с максимумом его содержания в атмосфере qCO2).
Рис. 3. Зависимость от времени глобальной приповерхностной температуры Tg (кривая 1), суммарного РВВ (кривая 2), РВВ СО2 (кривая 3), РВВ СН4 (кривая 4) в численных экспериментах с КМ ИФА РАН (а) и с концептуальной моделью (б) при ECH4,0 = 720 МтСН4/год и P = 1500 лет.
Величина запаздывания между максимумом qCO2 и максимумом суммарного РВВ неограниченно растет при увеличении временного масштаба внешнего воздействия Р. При этом максимум Tg запаздывает относительно максимума суммарного РВВ на время τT, не превышающее 1/λ. Это приводит к тому, что при большом временном масштабе внешнего воздействия максимум Tg достигается раньше, чем максимум qCO2.
ЗАКЛЮЧЕНИЕ
В данной работе описан возможный механизм взаимного запаздывания между изменениями глобальной приповерхностной температуры Tg и содержания СО2 в атмосфере qCO2 при внешнем воздействии на ЗКС в виде синфазных внешних эмиссий углекислого газа и метана. Показано, что изменения Tg могут как отставать по фазе от изменений qCO2, так и опережать их в зависимости от временного масштаба изменений эмиссий. В частности, при большом временном масштабе изменений эмиссий изменения qCO2 запаздывают относительно соответствующих изменений Tg, несмотря на то, что могут считаться основной причиной их возникновения (подобно тому, как при непарниковом РВВ с большим временным масштабом изменения qCO2 опережают по фазе вызывающие их изменения Tg [21–23]).
Этот результат является следствием различия времен релаксации qCO2 и qCH4, благодаря которому при синфазных эмиссиях СО2 и СН4 максимум qCH4 опережает максимум суммарного РВВ двух газов Rtot, а максимум qCO2 запаздывает относительно него. При большом временном масштабе изменений эмиссий запаздывание qCO2 относительно Rtot становится больше, чем соответствующее запаздывание Тg, зависящее только от параметров обратной связи в ЗКС.
Описанный механизм формирования фазового сдвига между qCO2 и Тg включает процессы, характерные для широкого круга моделей земной системы. Как следствие, можно ожидать проявления отмеченного эффекта и в других подобных моделях.
Следует отметить, что существование обсуждаемого эффекта не зависит от того, как меняются при изменении температуры Тg эмиссии метана из почвы. Также практически не играет роли, что окисленный в атмосфере метан превращается именно в СО2. Это означает, что подобные эффекты могут возникать при учете влияния на температуру других парниковых газов.
Полученные результаты свидетельствуют о невозможности в общем случае определить характер причинно-следственной связи между двумя коррелируемыми переменными по фазовому сдвигу между их изменениями без привлечения физических представлений о природе их взаимодействия. В частности, определяемое по ледниковым кернам и данным инструментальных наблюдений запаздывание между Tg и qCO2 не может быть использовано в качестве аргумента против антропогенного вклада в климатические изменения последних десятилетий.
Специально отметим, что в данной работе не ставится задача анализа причинно-следственных связей в ЗКС. Как показано в данной работе, а также в [21–23], лаговая статистика не может быть использована для подобного анализа. Выбор лаговой статистики в качестве метода анализа временных рядов в работе связан не с попыткой выявления причинно-следственных связей в ЗКС, а формулировкой аргументов, указывающих на несправедливость отрицания антропогенного вклада в изменения климата последних десятилетий (см. Введение). При этом принципиально важно использовать те же методы, что и в работах авторов, отрицающих такой вклад.
Источник финансирования. Работа была выполнена при поддержке Российского фонда фундаментальных исследований (проекты 17-05-01097, 18-05-00087, 18-05-60111) и средств субсидии, выделенных в рамках государственной поддержки Казанского (Приволжского) федерального университета в целях повышения его конкурентоспособности среди ведущих мировых научно-образовательных центров, с использованием результатов, полученных в рамках программы РАН «Изменения климата: причины, риски, последствия, проблемы адаптации и регулирования». Проводились также оценки фазовых сдвигов в климатических процессах в рамках проекта РНФ (№ 19-17-0240).
Об авторах
К. Е. Мурышев
Институт физики атмосферы им. А.М. Обухова РАН
Автор, ответственный за переписку.
Email: kmuryshev@mail.ru
Россия, 119017, Москва, Пыжевский пер., 3
А. В. Елисеев
Институт физики атмосферы им. А.М. Обухова РАН; Московский государственный университет им. М.В. Ломоносова; Казанский (Приволжский) федеральный университет
Email: kmuryshev@mail.ru
Россия, 119017, Москва, Пыжевский пер., 3; 119991, Москва, ГСП-1, Ленинские горы, 1, с. 2; 420008, Казань, ул. Кремлёвская, 8
С. Н. Денисов
Институт физики атмосферы им. А.М. Обухова РАН
Email: kmuryshev@mail.ru
Россия, 119017, Москва, Пыжевский пер., 3
И. И. Мохов
Институт физики атмосферы им. А.М. Обухова РАН; Московский государственный университет им. М.В. Ломоносова; Московский физико-технический институт (государственный университет)
Email: kmuryshev@mail.ru
Россия, 119017, Москва, Пыжевский пер., 3; 119991, Москва, ГСП-1, Ленинские горы, 1, с. 2; 141700, Московская обл., г. Долгопрудный, Институтский пер., 9
А. В. Тимажев
Институт физики атмосферы им. А.М. Обухова РАН
Email: kmuryshev@mail.ru
Россия, 119017, Москва, Пыжевский пер., 3
Список литературы
- Climate change 2013: The Physical Science Basis. [Stocker T., Qin D., Plattner G.-K., et al. (eds.)]. Cambridge/New York, Cambridge Univ. Press, 1535 p.
- Lean J., Rind D. How natural and anthropogenic influences alter global and regional surface temperatures: 1889 to 2006 // Geophys. Res. Lett. 2008. V. 35. № 18. P. L18701.
- Мохов И.И., Смирнов Д.А. Эмпирические оценки воздействия естественных и антропогенных факторов на глобальную приповерхностную температуру // Доклады АН. 2009. Т. 426. № 5. C. 679–684.
- Smirnov D.A., Mokhov I.I. From Granger causality to long-term causality: application to climatic data // Phys. Rev. E. 2009. V. 80. № 1. P. 016208.
- Schonwiese C.D., Walter A., Brinckmann S. Statistical assessments of anthropogenic and natural global climate forcing. an update // Meteorol. Zeitschrift. 2010. V. 19 № 1. P. 3–10.
- Мохов И.И., Смирнов Д.А., Карпенко А.А. Оценки связи изменений глобальной приповерхностной температуры с разными естественными и антропогенными факторами на основе данных наблюдений // Доклады АН. 2012. Т. 443. № 2. С. 225–231.
- Мохов И.И., Смирнов Д.А. Оценки вклада Атлантической мультидесятилетней осцилляции и изменений атмосферного содержания парниковых газов в тренды приповерхностной температуры по данным наблюдений // Доклады АН. 2018. T. 480. № 1. С. 97–102.
- Hegerl G., Hasselmann K., Cubasch U., Mitchell J., Roeckner E., Voss R., Waszkewitz J. Multi-fingerprint detection and attribution analysis of greenhouse gas, greenhouse gas-plus-aerosol and solar forced climate change // Clim. Dyn. 1997. V. 13. P. 613–634.
- Stott P., Tett S., Jones G., Allen M., Ingram W., Mitchell J. Attribution of twentieth century temperature change to natural and anthropogenic causes // Clim. Dyn. 2001. V. 17. № 1. P. 1–21.
- Stone D., Allen M., Selten F., Kliphuis M., Stott P. The detection and attribution of climate change using an ensemble of opportunity // J. Climate. 2007. V. 20. № 3. P. 504–516.
- Stone D., Allen M., Stott P., Pall P., Min S. K., Nozawa T., Yukimoto S. The detection and attribution of human influence on climate // Annu. Rev. Energy Resour. 2009. V. 34. P. 1–16.
- Sedlacek K., Knutti R. Evidence for external forcing on 20th-century climate from combined ocean atmosphere warming patterns // Geophys. Res. Lett. 2012. V. 39. № 20. P. L20708.
- Jones G., Stott P., Christidis N. Attribution of observed historical near-surface temperature variations to anthropogenic and natural causes using CM1P5 simulations // J. Geophys. Res.: Atmospheres. 2013. V. 118. № 10. P. 4001–4024.
- Ribes A., Terray L. Application of regularised optimal fingerprint analysis for attribution. Part II: application to global near-surface temperature // Clim. Dyn. 2013. V. 41. № 11–12. P. 2837–2853.
- Monnin E., Indermohle A., Dallenbach A., Flockiger J., Stauffer B., Stocker T., Raynaud D., Barnola J. M. Atmospheric CO2 concentrations over the last glacial termination // Science. 2001. V. 291. № 5501. P. 112–114.
- Мохов И.И., Безверхний В.А., Карпенко А.А. Диагностика взаимных изменений содержания парниковых газов и температурного режима атмосферы по палеореконструкциям для антарктической станции Восток // Изв. РAH. Физика aтмocфepы и oкeaнa. 2005a. Т. 41. № 5. С. 579–592.
- Мохов И.И., Безверхний В.А., Карпенко А.А. Взаимные изменения температурного режима и содержания парниковых газов в атмосфере по палеореконструкциям для последних 800 тысяч лет / В: Экстремальные природные явления и катастрофы. Т. 1. Оценка и пути снижения негативных последствий экстремальных природных явлений. Отв. ред. А.О. Глико. М.: ИФЗ РАН, 2010. С. 312–319.
- Bereiter B., Luthi D., Siegrista M., Schupbach S.,Stocker T., Fischer H. Mode change of millennial CO2 variability during the last glacial cycle associated with a bipolar marine carbon seesaw // Proc. Nat. Acad. Sci. 2012. V. 109. № 25. P. 9755–9760.
- Humlum O., Stordahl K., Solheim J.E. The phase relation between atmospheric carbon dioxide and global temperature // Glob. Planet. Change. 2013. V. 100. P. 51–69.
- Quinn J. Global Warming. Geophysical Counterpoints to the Enhanced Greenhouse Theory. Pittsburgh: Dorrance Publ., 2010. 118 p.
- Мурышев К.Е., Елисеев А.В., Мохов И.И., Тимажев А.В. Взаимное запаздывание между изменениями температуры и содержания углекислого газа в атмосфере в простой совместной модели климата и углеродного цикла // Доклады АН. 2015. Т. 463. № 6. С. 708–712.
- Muryshev K.E., Eliseev A.V., Mokhov I.I., Timazhev A.V. Lead-lag relationships between global mean temperature and the atmospheric CO2 content in dependence of the type and time scale of the forcing // Glob. Planet. Change. 2017. V. 148. P. 29–41.
- Мурышев К.Е., Тимажев А.В., Дембицкая М.В. Взаимное запаздывание между изменениями глобальной температуры и содержания углекислого газа в атмосфере при непарниковом внешнем воздействии на климатическую систему // Фундаментальная и прикладная климатология. 2017. № 3. С. 84–102.
- Мохов И.И. Диагностика структуры климатической системы. СПб: Гидрометеоиздат, 1993. 271 с.
- Мохов И.И., Демченко П.Ф., Елисеев А.В., Хон В.Ч., Хворостьянов Д.В. Оценки глобальных и региональных изменений климата в XIX–XXI вв. на основе модели ИФА РАН с учетом антропогенных воздействий // Изв. РAH. Физикa aтмocфepы и oкeaнa. 2002. Т. 38. № 5. С. 629–642.
- Мохов И.И., Елисеев А.В., Демченко П.Ф., Хон В.Ч., Акперов М.Г., Аржанов М.М., Карпенко А.А., Тихонов В.А., Чернокульский А.В., Сигаева Е.В. Климатические изменения и их оценки с использованием климатической модели ИФА РАН // Доклады АН. 2005. Т. 402. № 2. С. 243–247.
- Елисеев А.В. Оценка изменения характеристик климата и углеродного цикла в XXI веке с учётом неопределённости значений параметров наземной биоты. // Изв. РАН. Физика атмосферы и океана. 2011. Т. 47. № 2. С. 147–170.
- Eliseev A., Mokhov I. Uncertainty of climate response to natural and anthropogenic forcings due to different land use scenarios // Adv. Atmos. Sci. 2011. V. 28. № 5. P. 1215–1232.
- Мохов И.И., Елисеев А.В. Моделирование глобальных климатических изменений в XX–XXIII веках при новых сценариях антропогенных воздействий RCP // Доклады АН. 2012. Т. 443. № 6. С. 732–736.
- Елисеев А.В., Сергеев Д.Е. Влияние подсеточной неоднородности растительности на расчёты характеристик углеродного цикла // Изв. РAH. Физика aтмocфepы и oкeaнa. 2014. Т. 50. № 3. С. 259–270.
- Елисеев А.В., Мохов И.И., Чернокульский А.В. Влияние низовых и торфяных пожаров на эмиссии СО2 в атмосферу // Доклады АН. 2014. Т. 459. № 4. С. 496–500.
- Eliseev A., Mokhov I., Chernokulsky A. An ensemble approach to simulate CO2 emissions from natural fires // Biogeosciences. 2014. V. 11. № 12. P. 3205–3223.
- Eliseev A. Impact of tropospheric sulphate aerosols on the terrestrial carbon cycle // Glob. Planet. Change. 2015. V. 124. P. 30–40.
- Елисеев А.В. Влияние соединений серы в тропосфере на наземный углеродный цикл // Изв. РAH. Физикa aтмocфepы и oкeaнa. 2015. Т. 51. № 6. С. 673–683.
- Аржанов М.М., Елисеев А.В., Демченко П.Ф., Мохов И.И., Хон В.Ч. Моделирование температурного и гидрологического режима водосборов сибирских рек в условиях вечной мерзлоты с использованием данных реанализа // Изв. РАН. Физика атмосферы и океана. 2008. Т. 44. № 1. C. 86–93.
- Аржанов М.М., Елисеев А.В., Мохов И.И. Влияние климатических изменений над сушей внетропических широт на динамику многолетне-мерзлых грунтов при сценариях RCP в XXI веке по расчетам глобальной климатической модели ИФА РАН // Метеорология и гидрология. 2013. № 7. C. 31–42.
- Елисеев А.В., Аржанов М.М., Демченко П.Ф., Мохов И.И. Изменения климатических характеристик суши внетропических широт Северного полушария в XXI веке: оценки с климатической моделью ИФА РАН // Изв. РАН. Физика атмосферы и океана. 2009. Т. 45. № 3. С. 291–304.
- Елисеев А.В., Мохов И.И., Аржанов М.М., Демченко П.Ф., Денисов С.Н. Учет взаимодействия метанового цикла и процессов в болотных экосистемах в климатической модели промежуточной сложности // Изв. РАН. Физика атмосферы и океана. 2008. Т. 44. № 2. С. 147–162.
- Денисов С.Н., Аржанов М.М., Елисеев А.В., Мохов И.И. Чувствительность эмиссий метана болотными экосистемами Западной Сибири к изменениям климата: мультимодельные оценки // Оптика атмосферы и океана. 2011. Т. 24. № 4. C. 319–322.
- Денисов C.Н., Елисеев А.В., Мохов И.И. Изменения климата в глобальной модели ИФА РАН с учетом взаимодействия с метановым циклом при антропогенных сценариях семейства RCP // Метеорология и гидрология. 2013. № 11. С. 30–42.
- Osborn T.J., Wigley T.M.L. A Simple Model for Estimating Methane Concentration and Lifetime Variations // Clim. Dyn. 1994. V. 9. P. 181–193.
- Andreae M., Jones C., Cox P. Strong present-day aerosol cooling implies a hot future // Nature. 2005. V. 435. № 7046. P. 1187–1190.
- Masters T., Benestad R. Comment on “The phase relation between atmospheric carbon dioxide and global temperature” // Glob. Planet. Change. 2013. V. 106. P. 141–142.
- Myhre G., Highwood E.J., Shine K. P., Stordal F. New estimates of radiative forcing due to well mixed greenhouse gases // Geophys. Res. Lett. 1998. V. 25. P. 2715–2718.
- Gedney N., Cox P.M., Huntingford C. Climate feedback from wetland methane emissions // Geophys. Res. Lett. 2004. V. 31. P. L2050.
Дополнительные файлы





