Sulfate sources in carbonaceous aerosol particles in urban atmosphere (on the example of Irkutsk)
- Authors: Yermakov A.N.1, Aloyan A.E.2, Arutyunyan V.O.2
- 
							Affiliations: 
							- Institute for Energy Problems of Chemical Physics, RAS
- Institute of Numerical Mathematics, RAS of the Russian Academy of Sciences
 
- Issue: Vol 55, No 3 (2019)
- Pages: 52-61
- Section: Articles
- URL: https://journals.eco-vector.com/0002-3515/article/view/14240
- DOI: https://doi.org/10.31857/S0002-351555352-61
- ID: 14240
Cite item
Full Text
Abstract
According to the monitoring data, it was found that the main source of sulfates in carbonaceous particles in the atmosphere of Irkutsk is sulfur dioxide captured from the air. Their accumulation in the particles is caused by heterogeneous chemical reactions (GHR) and is accompanied by the replacement of hydrocarbonates (HCO3 –) with sulfate anions. In this case, sulfur dioxide is oxidized by ozone in the dry atmosphere, and hydrogen peroxide (H2O2) also participates in the humid, along with dissolved ozone, during the oxidation of sulfur dioxide. The details of the mechanisms of these GHR are discussed and estimates of the dynamics of the sulphate production in carbonaceous particles are given.
Full Text
ВВЕДЕНИЕ
Атмосферные карбонаты (кальцит, доломит и др. [1]) — одна из важнейших компонент минеральной пыли (1 ÷ 3 млрд тонн) принимающих участие в глобальном обмене с атмосферным диоксидом углерода [2]. Будучи химически активными, карбонаты вступают в химические реакции и с атмосферными кислотами [3]. О замещении карбонатов в атмосфере на сульфаты, например, свидетельствуют данные натурных измерений [4–7]. По их результатам в пылевых частицах отмечалось присутствие анионов SO42– не морского происхождения. Признаки подобного их накопления в частицах обнаруживаются и в атмосфере Иркутска. Несмотря на преобладание в воздухе паров HNO3 и хлористого водорода, доминирующим компонентом в составе аэрозоля оказываются SO42– [8, 9]. В [10, 11] по данным Лимнологического Института СО РАН (ЛИН) нами сообщалось о выделении в атмосфере Иркутска карбонатных частиц аэрозоля; их катионами являются в основном ионы щелочных и щелочно-земельных металлов (ЩЩЗМ). Цель настоящей работы — на основе этих данных проследить за влиянием SO2 на содержание сульфатных анионов в составе карбонатных частиц в атмосфере этого крупного города.
ДАННЫЕ МОНИТОРИНГА
При их анализе использовались результаты контроля ЛИН ионного состава водорастворимой фракции приземного аэрозоля, данные контроля метеопараметров (T, RH), а также содержания в воздухе газообразных HNO3, HCl, SO2 и NH3. Общее количество проб в кампаниях 2001–2004 гг. составило 176. Подробнее о процедуре их отбора, контроле газовых компонентов и ионного состава аэрозоля, а также подходах к диагностике морфологических и др. свойств аэрозоля и результатах этих наблюдений сообщалось в [12]. Основными ионными компонентами водорастворимой фракции являются: SO42–, NO3–, Cl–, Ca2+, Mg2+, Na+ и K+, а также HCO3–. Об их изменчивости, как и в [12], судили по данным об удельном содержании индивидуальных ионных компонентов: αi(aer) = [xi(aer)]/Σ[xi(aer)], г-экв/г-экв, что позволило нивелировать отчасти естественные колебания массовой концентрации аэрозоля. Здесь [xi(aer)] — массовая концентрация i-компонента г-экв/м3, а Σ[xi(aer)] — суммарная массовая концентрация в частицах катионов (meti) или анионов (ani), г-экв/м3.
ОБ ИОННОМ СОСТАВЕ КАРБОНАТНЫХ ЧАСТИЦ АЭРОЗОЛЯ
В [12] отмечалось, что анионы HCO3– можно рассматривать в качестве маркера ГХР с участием частиц аэрозоля. Их контроль в пробах позволяет судить о направлении и глубине ГХР с участием HNO3 и др., включая и реакции с SO2. Напомним, что HCO3– являются одним из основных и вместе с тем наиболее изменчивым анионом в составе аэрозоля. Усредненное по году в 2001–2004 гг. абсолютное содержание гидрокарбонатов по данным [8, 9] составило ~0.59 мкг/м3. Их удельное содержание αHCO3(aer) в году колеблется при этом в пределах от ~0 до ~1, с максимумом, приходящемся на теплое время, отчасти совпадающим с периодом пониженных RH, см. также [12]. По данным многолетних исследований в ЛИН основным источником гидрокарбонатов в атмосфере Иркутска является карбонат кальция (CaCO3(кр)) терригенного происхождения. По этой причине доминирующими в аэрозоле оказываются именно ионы кальция (~0.42 мкг/м3). В тоже время анионами в частицах оказываются преимущественно не гидрокарбонатные, а сульфатные анионы (~3 мкг/м3) [8, 9]. Вместе с данными о происхождении карбонатных частиц [8, 9], сезонной изменчивостью αHCO3(aer) и ее чувствительностью к колебаниям относительной влажности воздуха (RH) [12], это указывает на участие атмосферных ГХР в изменении ионного состава первичных аэрозольных частиц в атмосфере этого города. В сухой атмосфере могут рассматриваться при этом реакции, с участием паров азотной кислоты и др. (HX(газ)):
СаСO3(aer)_кр + 2HX(газ) → СО2(газ) + Ca(aer)2+ +
+ 2X(aer)– + Н2O(aer), (1)
а во влажной:
НCO3(aq)– + HX(газ) → СО2(газ) + X(aq)– + Н2O(aq), (2)
где (аer)_кр, (газ) и (aq) обозначают состояние реагентов и продуктов (1), (2). Мы не рассматриваем здесь подобных реакций с парами H2SO4 в виду низкого их содержания. В летний период, например, их концентрация не превышает (2 ÷ 3)⋅106 см–3 [13], на три-четыре порядка ниже, чем HNO3(газ) или HCl(газ) [12].
Для контроля глубины замещения гидрокарбонатов в (1) и (2) необходимы данные о распределении продуктов ГХР между аммиачными и карбонатными частицами. В работе их распределение находили, используя диаграммы «состав–свойство» [12]. За «состав» при этом принималась сумма «кислых» катионов в частицах: αNH4+H(aer) = ([NH4(aer)+]+[H(aer)+])/Σani(aer), а за «свойство» — удельное содержание индивидуальных ионов в аэрозоле или их сумм: αSO4(aer), αNO3(aer), αCl(aer), αHCO3(aer) или αSO4(aer)+αNO3(aer)+αCl(aer).
На вставке рис. 1 в качестве примера приводятся данные об αHCO3(aer) и αSO4(aer)+αNO3(aer)+αCl(aer) в сухой атмосфере (RH < 0.5), см. также [12]. Характер их изменчивости показывает, что ионный состав проб аэрозоля в каждом эпизоде можно рассматривать в виде суммы парциальных составов, отвечающих карбонатным (карб) и аммиачным (амм) частицам. Экстраполяция линейных зависимостей αi(aer) = f(αNH4+H(aer)) к αNH4+H(aer) → 0, т.е. к условиям отвечающим отсутствию в атмосфере аммиачных частиц позволяет найти распределение кислых анионов в карбонатных частицах (αi(aer)_карб) и в частности αSO4(aer)_карб. В таких условиях (αNH4+H(aer) = 0) и уравнение ионного баланса в аэрозоле:
Σani_S =Σmeti + 10–pH + [NH4(aer)+] (I)
преобразуется к виду:
Σani_карб = Σmeti. (II)
Здесь Σ и карб — общее содержание ионов в аэрозоле и их общее содержание в карбонатных частицах. Напротив, экстраполируя αi(aer) = f(αNH4+H(aer)) к αNH4+H(aer) → 1 приходим к их распределению в аммиачных частицах (αi(aer)_амм). Из данных экстраполяции к αNH4+H(aer) → 0 и αNH4+H(aer) → 1, см. вставку рис. 1, следует, что анионы SO42–, NO3– и Cl– в аэрозоле Иркутска — ионные компоненты обеих групп частиц, тогда как гидрокарбонаты являются ионными составляющими лишь в карбонатных частицах.
Рис. 1. Графическое соответствие найденных по данным мониторинга и вычисленных из диаграмм «состав–свойство» удельных содержаний гидрокарбонатов в карбонатных аэрозольных частицах. Сухая атмосфера (RH < 0.5). Пунктир отвечает тангенсу угла наклона равного 1. На вставке в координатах «состав–свойство» показана изменчивость по данным мониторинга удельного содержания гидрокарбонатных и кислых анионов в аэрозоле с изменением αNH4_H(aer). Сухая атмосфера. 1:[HCO3(aer)–] и 2:[SO4(aer)2–]+[NO3(aer)–]+[Cl(aer)–].
Для удельного содержания сульфатных анионов в карбонатных частицах в сухой атмосфере в зависимости от αNH4+H(aer) и RH по этим данным будем иметь: αSO4(aer)_карб = 0.44⋅(1 – αNH4+H(aer)), а во влажной: αSO4(aer)_карб = 0.57⋅(1 – αNH4+H(aer)). Для гидрокарбонатных анионов в сухой атмосфере находим αHCO3(aer)_карб = 0.23⋅(1 – αNH4+H(aer)), а во влажной: αHCO3(aer)_карб = 0.1⋅(1 – αNH4+H(aer)). Разницу в содержании сульфатов между найденным по данным мониторинга и описанным выше образом и в сухой и во влажной атмосфере (RH > 0.8) будем относить на аммиачные частицы.
На рис. 1 применительно в сухой атмосфере приводится сопоставление вычисленных таким образом αHCO3(aer)_карб с найденными из данных мониторинга (αHCO3(aer)_карб)мон. Численные значения αHCO3(aer)_карб находились из уравнения (II): 1 – (αSO4(aer)_карб + αNO3(aer)_карб + αCl(aer)_карб), где 1 = Σmeti/Σmeti, а αi_карб = [xi_карб] / Σmeti. Из рисунка видно, что (αHCO3(aer)_карб)мон и их вычисленные значения неплохо соответствуют друг другу. Это вновь подтверждает, что гидрокарбонаты в атмосфере присутствуют лишь в карбонатных частицах. Описанная процедура разделения анионов по группам частиц не нарушает баланса зарядов между ионами противоположного знака в частицах, см. (II). Из данных рис. 1 следует также наличие корреляции между αHCO3(aer)_карб и (αHCO3(aer)_карб)мон; приводимые здесь точки располагаются вблизи пунктирной прямой, тангенс угла наклона которой равен единице. Это указывает на эквивалентность замещения гидрокарбонатов в карбонатных частицах в ГХР с участием кислых газов (г-экв/г-экв).
О ДИНАМИКЕ ХИМИЧЕСКИХ ПРЕВРАЩЕНИЙ В КАРБОНАТНЫХ ЧАСТИЦАХ
Уже отмечалось, что, вопреки бóльшим концентрациям в воздухе HX(газ) (~1010 см–3), чем H2SO4(газ) ((2 ÷ 3)⋅106 см–3), доминирующим анионом в карбонатных частицах оказываются сульфатные анионы. В [12] в этой связи указывалось, что замещение основной массы гидрокарбонатов в этих частицах происходит возможно не в результате поглощения паров серной кислоты (см. (1), (2)), а при захвате из воздуха SO2 с последующим окислением на поверхности частиц. На возможность такого процесса в атмосфере с участием озона указывалось и в [3–7]. Прямое подтверждение его протекания было получено из данных лабораторных экспериментов [14] и позднее в [15]. При этом в [14] с использованием FTIR сообщалось также, что полупродуктом на пути к SO4(aer)2– является угольная кислота (H2CO3), факт обнаружения которой свидетельствует о ключевой роли влажности воздуха в формировании сульфатов в ГХР с участием карбонатных частиц и SO2(газ), см. также [16].
«Сухая» атмосфера
Признаки прямого окисления SO2 в ГХР с участием карбонатных частиц в атмосфере Иркутска находим, сравнивая близкие по метеоусловиям эпизоды отбора проб 16.06.03 (T = 297 K, RH = 0.45) и 0.7.07.03 (T = 300 K, RH ~0.3). Их сопоставление показывает, что в июльском эпизоде конверсия гидрокарбонатов: εНСО3 = (Σmeti – [НСО3(aer)–]) / Σmeti в частицах вырастает приблизительно вдвое. Использование здесь и далее εНСО3 в качестве показателя содержания гидрокарбонатов в частицах более информативно т.к. в значительном числе эпизодов αHCO3(aer)_карб = 0. При вычислениях εНСО3, как и ранее, полагали что [НСО3(aer)–][SO2]_фон = = Σmeti, см. (II), где «фон» обозначает фоновую атмосферу. Наблюдаемое удвоение εНСО3 при практически идентичном начальном содержании гидрокарбонатов (т. е. равных Σmeti) и в условиях спада содержания в воздухе HNO3(газ) (содержание хлоридов значительно уступает содержанию сульфатов и нитратов в частицах) можно единственно связать с ростом содержания диоксида серы в атмосфере от ~1010 до ~1.7⋅1010 см–3.
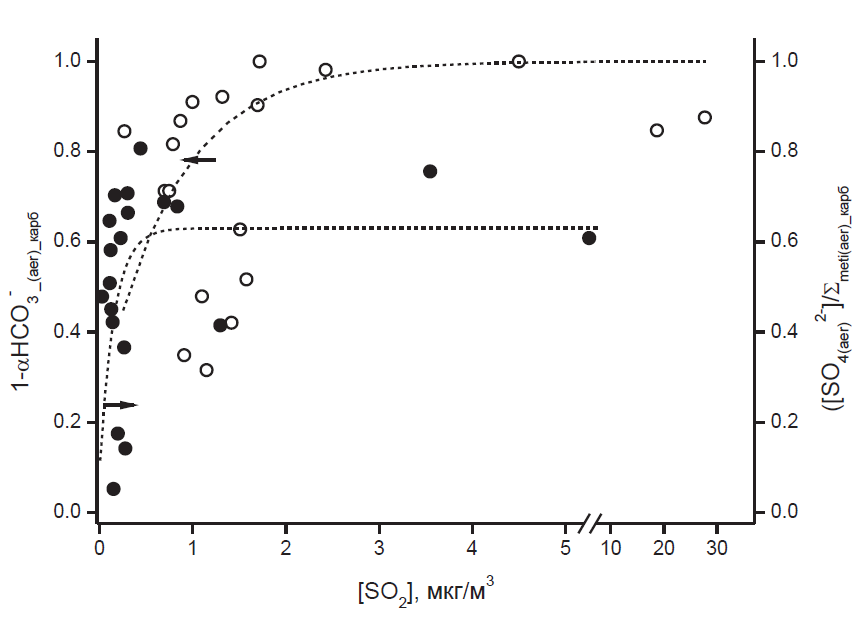
На рис. 2 показаны рассчитанные по результатам мониторинга данные о влиянии содержания диоксида серы на изменение в карбонатных частицах εНСО3 и αSO4(aer)_карб. Напомним при этом, что наряду с SО2 в замещении гидрокарбонатов участвуют и поглощаемые из воздуха пары азотной кислоты и хлористого водорода, см. реакции (1), (2). Для выделения картины влияния SО2, приводимые на рисунках данные, выбирали из числа эпизодов с близким к постоянству содержанием в частицах суммы нитратных и хлоридных анионов (αNO3(aer)_карб + αCl(aer)_карб = 0.24 ± 0.1).
Рис. 2. Влияние концентрации диоксида серы (мкг/м3) на степень конверсии гидрокарбонатных анионов (светлые кружки) и удельного содержания сульфатных (темные кружки) анионов в карбонатных аэрозолях. Сухая атмосфера, αNO3(aer)_карб + αCl(aer)_карб = 0.24 ± 0.1. Пунктир — демонстрационные кривые, отражающие ход αNO3(aer)_карб и αSO4(aer)_карб при вариациях содержания диоксида серы (мкг/м3) в атмосфере.
Несмотря на значительный разброс из данных рис. 2 отчетливо виден рост εНСО3 при возрастании [SO2(газ)]. При этом подъем εНСО3 по мере увеличения [SO2(газ)] стартует не с нулевой отметки, а с εНСО3 ≈ (αNO3(aer)_карб + αCl(aer)_карб). Это значит, что процесс с участием SO2(газ) не затрагивает накопленные в частицах нитраты и хлориды. Параллельно с этим на рис. 2 прослеживается рост αSO4(aer)_карб. В отличие от εНСО3, накопление сульфатов в частицах начинается с αSO4(aer)_карб = 0 и продолжается вплоть до полного исчерпания гидрокарбонатов в частицах, т.е. до (αSO4(aer)_карб)[SO2]=max ~0.76. При этом наблюдается корреляция между увеличением εНСО3, т.е. убылью гидрокарбонатов и ростом αSO4(aer)_карб в частицах при увеличении [SO2(газ)], что позволяет связать накопление сульфатов с конверсией SO2(газ) → SO4(aer)2– на поверхности CaCO3(кр).
О похожем приращении содержания сульфатов в карбонатных частицах по данным натурных наблюдений сообщалось неоднократно и ранее [6]. Примечательной особенностью приводимых здесь данных является выявление близкой к линейной взаимосвязи между убылью αHCO3(aer)_карб и ростом αSO4(aer)_карб в частицах. Такая их корреляция в рассматриваемых условиях (теплое время года, RH < 0.5) прослеживается, однако лишь при невысоких [SO2(газ)] (≤ 1 мкг/м3). Вместе с пропорциональностью между αSO4(aer)_карб и [SO2(газ)] это свидетельствует о лимитирующей роли в процессе диоксида серы ([SO2(газ)]max ≤ 10 ppb), а не озона (несколько десятков ppb).
Учитывая, что отбор проб в кампаниях 2001–2004 гг. проводился, как правило, раз в неделю, т.е. за одинаковый промежуток времени, приводимые на рисунке данные можно рассматривать и как картину влияния [SO2(газ)] на динамику ГХР замещения в частицах гидрокарбонатов на сульфаты. Для скорости наработки сульфатов в частицах по этим данным будем иметь: ωSO4(aer)_карб = ∆αSO4(aer)_карб/t, с–1. Здесь ∆αSO4(aer)_карб = = (αSO4(aer)_карб)[SO2] – (αSO4(aer)_карб)[SO2]_фон — изменение содержания сульфатов в частицах за время t при заданном содержании в атмосфере диоксида серы в рассматриваемом эпизоде, а t — время между забором проб аэрозоля (7 суток или ~6⋅105 с). Для [SO2(газ)] ≤ 1 мкг/м3, см. рис. 2, можно считать, что αSO4(aer)_карб ~ [SO2(газ)]. Отсюда по истечении 7 суток для содержания сульфатов в частицах находим: ωSO4(aer)_карб = 0.76⋅αSO4(aer)_карб м3/мкг. Для эпизода 19.05.03, например, (αNO3(aer)_карб + + αCl(aer)_карб = 0.17) и [SO2(газ)] = 0.7 мкг/м3 прирост содержания сульфатов в частицах по этим данным составит: ∆[SO4(aer)_карб2–] = ωSO4(aer)_карб⋅ ⋅[SO2(газ)]⋅Σmeti = 0.76⋅0.7⋅1.22 ≈ 0.65 мкг/м3, т.е. более половины, наблюдаемой по данным мониторинга массовой концентрации сульфатов в пробе аэрозоля (0.91 мкг/м3). Оставшуюся их часть (0.91–0.65 = 0.26 мкг/м3) следует отнести очевидно на аммиачные частицы ([SO4(aer)_амм2–]). Для их содержания из диаграммы «состав–свойство» находим 0.31 мкг/м3, что неплохо согласуется с рассчитанным по «кинетическим» данным.
Абсолютная скорость наработки сульфатов в частицах по данным эпизода 19.05.03 составит ωSO4(aer)_карб ~ 8·10–15 г-экв·м–3·с–1 или ~5·103 см–3·с–1. Используя выражение для скорости ГХР [15] получим: ωSO4(aer)_карб = γSO2·vSO2·nSO2·Sкарб/4, где vSO2 ~ 2⋅104 см/с — средняя скорость молекул SO2(газ), nSO2 ~ 7·109 см–3 их концентрация в воздухе в данном эпизоде и Sкарб ~ 1.7⋅10–8 см2/см3 — удельная поверхность карбонатных частиц радиусом r ≤ 0.7 мкм, на долю которых приходится ~ 70% растворимой фракции аэрозоля [9]. Отсюда γSO2 ~ 4·wSO4(aer)/vSO2·nSO2·Sкарб ~8⋅10–3. Здесь Sкарб ~ 3·(Σmeti(aer)_карб + Σani(aer)_карб)(aer)_карб/ρкарб⋅rкарб. В расчетах Sкарб принято, что частицы имеют сферическую форму и (Σmeti(aer)_карб + Σani(aer)_карб) = = 0.7·(Σmeti + [HCO3(aer_карб)–]met + [SO4(aer)_карб2–]карб + + [NO3(aer)_карб–]карб + [Cl(aer)_карб–]карб) ~ 1.2·10–6 г/м3, rкарб ~ 0.7 мкм и ρкарб ~ ρCaCO3 ≈ 3 г/см3. К близким цифрам приходим по результатам рассмотрения данных других эпизодов. С учетом принятых допущений выполненная оценка γSO2 оказывается приблизительно на порядок выше сообщаемых значений по данным других натурных измерений [3], а также по результатам лабораторных опытов [15]. Причина видится в том, что, найденное нами γSO2 в большей степени отвечает контролируемости условий «натурного эксперимента». Им отвечают выборки, сочетающие не только заданную влажность воздуха, но также заданный уровень конверсии гидрокарбонатов в реакциях с парами азотной кислоты и хлористого водорода (εНСО3 = 0.24) и содержания диоксида серы в воздухе ≤1 мкг/м3. Все это вместе взятое и обеспечивает линейность в расходовании/накоплении гидрокарбонатов/сульфатов в карбонатных частицах в ГХР с участием захватываемого из воздуха диоксида серы. Авторы настоящей публикации отдают предпочтение найденному ими значению γSO2 в сухой атмосфере и при сопоставлении с результатами (γSO2 ~ 7⋅10–4) лабораторных опытов (Т = 298 К и RH = 0.4) [15]. Приводимая здесь величина γSO2 отвечает условиям протекания этого процесса в реальной атмосфере. В то же время используемые в опытах [15] концентрации SO2 и O3 на три-четыре порядка превосходят их типичные значения в атмосфере. При отвечающих им потоках газовых молекул (~ 1018 см–2·с–1), следует ожидать быстрого истощения поверхности рабочих образцов, а вместе с этим и замедления ГХР с участием диоксида серы. На это указывает наблюдаемое в данных опытах исчерпание гидрокарбонатов в объеме частиц уже при [SO2(газ)]³ ≥ 1 ÷ 1.5 мкг/м3, см. рис. 2. В указанных условиях (αNO3(aer)_карб + αCl(aer)_карб + αSO4(aer)_карб) → 1. На подобное замедление ГХР с участием диоксида серы и частиц минеральной пыли указывалось и в [6].
Заканчивая, подчеркнем значимость полученного значения γSO2. Численное значение γSO2 характеризует динамику замещения в карбонатных частицах анионов HCO3– на сульфаты в ГХР при захвате диоксида серы из воздуха. Для иллюстрации универсальности найденного нами γSO2 в иных географических условиях обратимся к данным отбора пробы аэрозоля в эпизоде 01.04.03 на фоновой станции Монды (t = 11 суток, [SO2(газ)] = 0 ÷ 0.3 мкг/м3). Оцененное нами содержание сульфатных анионов в карбонатных частицах составило [SO4(aer)_карб2–]карб = 0.05 мкг/м3. Расчет же их содержания по данным рис. 2 приводит: [SO4(aer)_карб2–]карб = 0.76⋅0.15⋅0.16⋅1.5 ≈ 0.04 мкг/м3, что не слишком отклоняется от приводимой выше величины и демонстрирует пригодность «кинетического» подхода к расчетам ионного состава карбонатных частиц и оценкам их возраста в атмосфере.
«Влажная» атмосфера
Можно ли считать SO2 источником сульфатов в карбонатных частицах и во влажной атмосфере? В [3] указывалось, например, что γSO2 в таких условиях гораздо выше (~0.1), что говорит об ускорении декарбонизации частиц и накопления в них сульфатов. Подтверждение находим и в наших данных, сравнивая близкие по метеоусловиям эпизоды 15.09.03 (T = 280K, RH = 0.89) и 22.09.03 (T = 286K, RH ~0.82). Во втором из них εНСО3 оказывается примерно в полтора раза больше. При близком исходном содержании HCO3(aer)– и в условиях спада [HNO3(газ)] (от ~7⋅109 до ~6⋅108 см–3) такой прирост εНСО3 в условиях ~3-кратного роста [SO2(газ)] от ~1.7⋅1010 до ~6⋅1010 см–3 однозначно, казалось, свидетельствует об увеличении γSO2 во влажной атмосфере.
С этим не согласуются, однако, полученные нами данные о влиянии [SO2(газ)] на αHCO3(aer)_карб и αSO4(aer)_карб в выборках (αNO3(aer)_карб + αCl(aer)_карб) = 0.24, см. рис. 3. Какой либо тренд в изменении содержания в частицах гидрокарбонатов (αHCO3(aer)_карб = 0.13 ± 0.07) и сульфатов (αSO4(aer)_карб = 0.63 ± 0.13) при вариациях [SO2(газ)] от 0 до 40 мкг/м3 выявить по этим данным не удается. Из них следует, что близкий к постоянству уровень αHCO3(aer)_карб в частицах достигается уже при [SO2(газ)] = 0.09 мкг/м3 (~0.03 ppb). Рассматривая данные этого эпизода (26.01.04), находим по аналогии с приводимым выше: γSO2 ~ 0.05. Это значит, что, если во влажной, как и в сухой атмосфере, лимитирующим реагентом в накоплении сульфатов оказывается диоксид серы, то пропорциональность между αHCO3(aer)_карб и [SO2(газ)] следует ожидать при еще более низких его концентрациях. С этим не согласуется, однако, обнаружение в частицах, не прореагировавших гидрокарбонатов (αHCO3(aer)_карб = 0.13 ± 0.07) и при максимальных [SO2(газ)]. Их регистрация в частицах свидетельствуют поэтому об ограничениях скорости ГХР с участием карбонатных частиц во влажной атмосфере, а не об их ускорении.
Рис. 3. Влияние содержания диоксида серы, мкг/м3, на удельное содержание гидрокарбонатных (светлые кружки) и сульфатных (темные кружки) анионов в карбонатных аэрозолях. Влажная атмосфера (RH > 0.8), αNO3(aer)_карб + αCl(aer)_карб = 0.24 ± 0.1.
Их причина видится в увлажнении карбонатных частиц во влажной атмосфере. Оно вызвано адсорбцией влаги из атмосферы и присутствием в частицах гигроскопичных солей (хлориды ЩЩЗМ, а в эпизоде, рассматриваемом ниже — хлорида кальция [10]). Так, в эпизоде 18.07.03 (T = 295 K, RH = 0.8) для объема водной фазы (vкарб, л/м3) в [10] нами было найдено ~5⋅10–9 л/м3. Поскольку активность воды в насыщенном растворе хлорида кальция aw ≈ 0.3 [17] оказывается ниже влажности воздуха (RH > aw) в этом эпизоде, то это влечет за собой дальнейший рост vкарб еще приблизительно втрое (до ~1.5⋅10–8 л/м3). Ограничения окисления SО2 в капельной влаге облаков обсуждались и в [18]. При их рассмотрении в увлажненных карбонатных частиц необходимо принимать во внимание динамику растворения СаСО3(кр):
СаСО3(кр) Са(aq)2+ + CO3(aq)2–
ПРСaCO3 (298) = 6⋅10–9 моль2/л 2 (3)
H(aq)+ + CO3(aq)2– HCO3(aq)–,
k4(298) = 5⋅1010 л × моль–1 × с–1 (4)
H(aq)+ + HCO3(aq)– H2CO3(aq)–,
k5(298) = 5⋅1010 л × моль–1 × с–1 (5)
Об устойчивости СаСО3(кр) к растворению в атмосфере будем судить, опираясь на данные лабораторных опытов. Здесь ПРСaCO3(298) — константа равновесия растворения СаСО3(кр) при Т = 298.15 К [19], а k4(298) и k5(298) — константы скорости жидкофазных процессов, протекание которых ведет к сдвигу равновесия (3) вправо, т.е. к растворению карбоната кальция [20]. В [19] по данным обобщения известных результатов сообщалось, что при Т = 298 К скорость растворения карбоната кальция: WСaCO3 = (1 ÷ 10)⋅10–9 моль × см–2 × с–1. Разброс обусловлен различиями условий опытов (Т, рН раствора), структуры образцов карбонатов (кальцит, арагонит), содержащимися в них примесями и др.
Сопоставим данные [19] с результатами по динамике замещения гидрокарбонатов в атмосфере Иркутска. По данным эпизода 22.09.03 (RH = 0.82, Т = 286 К), например, εСaCO3 = 0.75. С учетом времени забора пробы (7 суток) находим wСaCO3 ≈ 7⋅10–14 моль⋅м–3⋅с–1. Для скорости замещения гидрокарбонатов в натурных условиях, т.е. динамики растворения СаСО3(кр) в атмосфере будем иметь отсюда WСaCO3 = wСaCO3/Sкарб = 3.5⋅10–12 моль⋅см–2⋅с–1, что, по крайней мере, в 300 раз меньше, чем измеренное на опыте WСaCO3. Здесь sкарб = 106⋅Sкарб ~ 2⋅10–2 см2/м3, а 106 — размерный коэффициент см3/м3. Ключевым фактором в замещении гидрокарбонатов на сульфаты во влажной атмосфере оказывается динамика растворения СаСО3(кр) зависящая не только от температуры, но и кислотности влаги в частицах [19]. При этом рН влаги зависит также и от динамики наработки протонов (H(aq)+), участие которых в реакциях (4), (5) и ведет к растворению CaCO3(кр). Их главный источник — окисление растворенных форм диоксида серы (H2O⋅SO2(aq), HSO3(aq)– и SO3(aq)2–):
H2O⋅SO2(aq) HSO3(aq)– + H(aq)+
K6(298) = 1.4⋅10–2 моль/л (6)
HSO3(aq)– SO3(aq)2– + H(aq)+
K7(298) = 6.3⋅10–8 моль/л, (7)
где К6 и К7 — константы диссоциации H2O⋅SO2 и HSO3– при Т = 298.15 [20]. Напомним, что рН насыщенного раствора СаСО3(кр) в равновесии с атмосферным СО2 близок к 8.3 [21]. Косвенным свидетельством невысокой кислотности влаги в частицах в атмосфере и в условиях одновременного растворения СаСО3(кр) и окисления растворенных форм SO2 служит регистрация в них HСO3(aer)–, в том числе и при высоких [SO2(газ)], см. рис. 3. На это указали и результаты наших численных экспериментов, выполненные с применением боксовой модели (ChemWG [22]). Данная модель суммы фотохимических процессов в атмосфере («газ–капли»), описанная в [22], представляет собой компромисс между степенью детализации и количеством химических реакций; в химическом блоке ChemWG учитывались лишь наиболее значимые процессы (51 химических и фотохимических реакций в газе и 46 жидкофазных процессов). Рассчитанная в дневное время концентрация радикалов (для полудня равноденствия на широте 60° с. ш. и высоты 1 км), например, составила [OH(газ)] ≈ 4⋅106 см–3, что лишь на ≈30% меньше, приводимой в более «полной» модели [20].
При адаптации модели ChemWG к задаче накопления сульфатов в карбонатных частицах необходимы данные о характерном времени растворения карбоната кальция: τСaCO3, с. Расчет τСaCO3 производили, сочетая результаты данных мониторинга WСaCO3 и sкарб: τСaCO3 = = wСaCO3/αHCO3(aer)_карб⋅Σmeti. В численных экспериментах (Т = 286 и 295 К) принимали, что vкарб = 10–8 л/м3, содержание карбоната кальция: 0.9 мкг/м3, а диоксида серы, озона и пероксида водорода, соответственно, 1.7, 30 и 1 ppb. При этом концентрации последних по ходу расчетов поддерживались постоянными. Для энергии активации растворения СаСО3(кр) в расчетах принимали 25 ккал/моль [19], а размер частиц в соответствии с [9] полагали неизменным и равным 0.7 мкм.
На рис. 4 приводятся рассчитанные кинетические кривые изменения рН в увлажненных карбонатных частицах и содержания в них СаСО3(кр) (hСaCO3 = [СаСО3]t / [СаСО3]t = 0). Как и ожидалось, окисление H2O⋅SO2(aq), HSO3(aq)– и SO3(aq)2– сопровождает рост кислотности влаги в частицах, несмотря на растворение СаСО3(кр). Видно, однако, что СаСО3(кр) в существенной мере сдерживает рост кислотности влаги, что и обуславливает регистрацию в них гидрокарбонатов [10]. При Т = 295 К рост кислотности влаги по ходу окисления растворенных форм SO2 составил чуть более 2 единиц рН. Протекающий при этом в основном при близком к постоянству рН (рН 6.9 → 6.1) переход в раствор СаСО3(кр) при T = 295 К практически завершается за время ~2⋅105 с. (ηСaCO3 < 0.05). Отметим попутно, что это время не слишком отклоняется от времени забора проб аэрозоля в натурных экспериментах, свидетельствуя о близости используемых в расчетах параметров к их реальным значениям.
Рис. 4. Расчетные кинетические кривые растворения карбоната кальция и изменения рН водяной пленки карбонатных частиц. Модель Chem WG. Серый и черный цвета, соответственно Т = 286 и Т = 295 К.
Внимание в расчетах привлекает относительно небольшое снижение рН (DрН ≈ 0.8) с ростом времени экспозиции (6.9 → 6.1) при растворении основной (~0.95) массы СаСО3(кр). Оно указывает на смещение баланса скоростей растворения СаСО3(кр) (3) и скорости нейтрализации H(aq)+ (4), (5) по ходу декарбонизации и свидетельствует о нарастании скорости окисления поглощенного SО2 по мере усиления кислотности влаги в частицах. Рост скорости (4), (5) становится особенно сильным при длительных экспозициях, т.е. в условиях практически полного перехода в раствор СаСО3(кр) и лавинообразного нарастания кислотности пленки (вплоть до 4). Все эти особенности растворения и закисления водяной пленки в карбонатных частицах наблюдаются и при Т = 286 К. При этом в условиях близкого к постоянству рН (5.9 → 5.4, DрН ≈ 0.5) в раствор переходит лишь около половины СаСО3(кр) (ηСaCO3 ~ 0.5). Другая его половина переходит в раствор уже в условиях лавинообразного роста кислотности пленки (вплоть до рН 3 и ниже).
Сравнение полученных расчетных данных указывают на торможение декарбонизации частиц при понижении температуры. Ее падение оборачивается уменьшением скорости реакций (4), (5) и ростом кислотности влаги в частицах. При этом «включение» растворения СаСО3(кр) в условиях лавинообразного роста кислотности влаги сдвигается к началу процесса и начинается уже при (5 ÷ 6)⋅104 с, см. рис. 4. Вместе с наблюдаемыми при этом DрН (0.8 и 0.5) при Т = 295 и 286 К это свидетельствует о том, что в окислении растворенных форм SO2 принимает участие процесс, скорость которого чувствительна к кислотности увлажненной частицы.
Анализ результатов модельных расчетов показывают, что при Т = 295 К и рН ≥ 6.1 основным окислителем растворенных форм SO2 при t ≤ 105 c оказывается растворенный озон. Доминирующий вклад (4.3⋅10–5 мкг⋅м–3⋅с–1) вносит при этом быстрая реакция [20]:
SO3(aq)2– + O3(aq) → SO4(aq)2– + O2(aq),
k8(298) = 1.5⋅109 л × моль–1⋅c–1. (8)
Лимитирующим реагентом в (8) в условиях близкого к постоянству рН по ходу растворения оказывается не диоксид серы, как в сухой атмосфере, а озон(!), что обусловлено его низкой растворимостью [20]. Оценки реакционного коэффициента захвата озона (накопления сульфатов) во влажной атмосфере по данным эпизода 22.09.03 (Т = 295 К) приводят к γO3 = = γSO4 = WСaCO3 / ΨO3 ~ 10–4, где ΨO3 — поток озона на частицы, см–2⋅с–1. С этим и связана регистрация в частицах гидрокарбонатов в летний период в отдельных эпизодах, несмотря на высокую влажность воздуха [10]. Наряду с SO3(aq)2–окислению озоном подвергаются НSO3(aq)– и SO2(aq), но в силу различия констант скорости их реакций с озоном [20], эти процессы протекает гораздо более медленно (≤3⋅10–8 мкг⋅м–3⋅с–1). Причиной же выявленных по результатам расчетов DрН по ходу декарбонизации сменяющихся драматическим ростом кислотности влаги является окисление НSO3(aq)– захватываемым из воздуха пероксидом водорода [20]:
HSO3(aq)– + H2O2(aq) + H(aq)+ →
→ SO4(aq)2– + H2O (aq) + 2H(aq)+,
k9(298) = 6.7⋅107⋅[H(aq)+] л⋅моль–1⋅c–1.
При Т = 286 К этот процесс эффективно конкурирует с (8) уже при t ≤ (5 ÷ 6)⋅104 с. Причина — активированный характер реакции (8) [20], также замедляющейся по мере снижения температуры. Т.к. принятое в расчетах содержание в воздухе пероксида водорода и диоксида серы близки, то лимитирующим реагентом в (9) оказывается при этом диоксид серы, что связано с бóльшей растворимостью H2O2 [20]. Оценка по данным проведенных расчетов (ηСaCO3 ~ 0.5, Sкарб ~ 4⋅10–3 см2/м3), см. рис. 4, приводит к γSO2 ~ 0.06, что практически не расходится с данными натурных измерений [3] и свидетельствует в пользу корректности рассматриваемой картины накопления сульфатов в карбонатных частицах во влажной атмосфере, связанным в основном с участием пероксида водорода. Это рассмотрение показывает, что в оценках γSO2 по данным натурных экспериментов в условиях высокой влажности воздуха следует учитывать и различия температуры. Приводимая в [3] оценка γSO2 ~ 0.1 отвечает, по-видимому, низким температурам и преимущественному участию в формировании сульфатов пероксида водорода. На это указывают и собственные данные по мониторингу содержания гидрокарбонатов в аэрозоле в приземной атмосфере [10]. Минимум их содержания в частицах приходится именно на холодное время.
Возвращаясь к обсуждению рис. 4 отметим, что при малых ηСaCO3 кислотность влаги в частицах определяется в основном реакциями (3) и (8). Протекание реакции (8) приводит к повышению ее уровня на 1.4 единицы рН (Т = 295 К). Скорость реакции (9) пропорциональная [H(aq)+] в условиях буферного действия СаСО3(кр) еще не слишком велика (4⋅10–7 мкг⋅м–3⋅с–1, Т = 295 К), чтобы конкурировать с (8), однако результатом ее протекания является понижение рН влаги в частицах еще на δрН ~ 0.8. При этом каждый акт реакции (9), сопровождающийся расходованием H(aq)+, приводит к наработке двух новых протонов, что обуславливает автокаталитический характер этой реакции и связанное с ней в конечном итоге лавинообразное падение рН на завершающей стадии декарбонизации карбонатных частиц.
ЗАКЛЮЧЕНИЕ
В работе рассматриваются источники сульфатов в карбонатных частицах аэрозоля в загрязненной атмосфере крупного города. По результатам анализа данных мониторинга найдено, что накопление SO42– в карбонатном аэрозоле происходит в результате старения частиц в атмосфере, вызванного замещением сульфатов гидрокарбонатных анионов в гетерофазных химических реакций. В сухой атмосфере (RH < 0.5) окисление диоксида серы происходит в реакциях с захватываемым из воздуха озоном. Во влажной атмосфере (RH > 0.8) накопление в составе частиц сульфатных анионов связано с жидкофазным окислением растворенных форм SO2 на поверхности карбонатных частиц. При этом наряду с озоном, в процессе принимает участие и пероксид водорода, вклад которого в формирование сульфатов нарастает по мере понижения температуры. При этом именно реакция пероксида водорода определяет наблюдаемую в натурных экспериментах динамику накопления сульфатов в карбонатных частицах: γSO2 ~ 0.06. Оценки же реакционного коэффициента захвата молекул SO2 в сухой атмосфере по данным мониторинга приводят к γSO2 = 8⋅10–3.
Источник финансирования. Работа выполнена при поддержке проекта РФФИ 18-05-00289, а также при финансировании Госзадания ИНЭП ХФ РАН им. В.Л. Тальрозе (тема AAAA-0047-2018-0012).
About the authors
A. N. Yermakov
Institute for Energy Problems of Chemical Physics, RAS
							Author for correspondence.
							Email: polclouds@yandex.ru
				                					                																			                												                	Russian Federation, 							 Leninsky prospect, 38, korp. 2, Moscow 119334 						
A. E. Aloyan
Institute of Numerical Mathematics, RAS of the Russian Academy of Sciences
														Email: aloyan@inm.ru
				                					                																			                												                	Russian Federation, 							 ul. Gubkina, 8, Moscow 119333 						
V. O. Arutyunyan
Institute of Numerical Mathematics, RAS of the Russian Academy of Sciences
														Email: polclouds@yandex.ru
				                					                																			                												                	Russian Federation, 							 ul. Gubkina, 8, Moscow 119333 						
References
- Dentener F.J., Carmichael G.R., Zhang Y., Lelieveld J., Crutzen P.J. Role of mineral aerosol as a reactive surface in the global troposphere // J. Geophys. Res.- Atmos. 1996. V. 101. P. 22869–22889.
- Robbins L.L., Fabry V.J. Carbon Dioxide Chemistry: Environmental Issues // The Royal Society of Chemistry, Cambridge. 1994.
- Usher C.R., Michel A.E., Grassian V.H. Reactions on mineral dust // Chem. Rev. 2003. V. 103. P. 4883–4939.
- Mamane Y., Ganor E., Donagi A.E. Aerosol composition of urban and desert origin in the eastern Mediterranean, I. Individual particle analysis // Water Air Soil Pollut. 1980. V. 14. P. 29–43.
- Savoie D.L., Prospero J.M., Saltzman E.S. Non-seasalt sulfate and nitrate in trade wind aerosols at Barbados: evidence for long-range transport // J. Geophys. Res. – Atmos. 1989. V. 99. P. 5069–5080.
- Zhuang H.C., Chan C.K., Fang M., Wexler A.S. Formation of nitrate and non-sea-salt sulfate on coarse particles // Atmos. Environ. 1999. V. 33. P. 4223–4233.
- Zhang D.Z., Shi G.Y., Iwasaka Y., Hu M. Mixture of sulfate and nitrate in coastal atmospheric aerosols: individual particle studies in Qingdao (36 degrees 040 N, 120 degrees 210 E), China. //Atmos. Environ. 2000. V. 34. P. 2669–2679.
- Голобокова Л.П., Филиппова У.Г., Маринайте И.И., Белозерова О.Ю., Горшков А.Г., Оболкин В.А., Потемкин В.Л., Ходжер Т.В. Химический состав аэрозолей над акваторией оз. Байкал // Оптика атмосферы и океана. 2011. Т. 24. № 3. С. 236–241.
- Оболкин В.А., Нецветаева О.Г., Голобокова Л.П., Потемкин В.Л, Зимник Е.А., Филиппова У.Г., Ходжер Т.В. Результаты многолетних исследований кислотных выпадений в районе Южного Байкала // География и природ. ресурсы. 2013. № 2. С. 66–73.
- Ермаков А.Н., Голобокова Л.П., Нецветаева О.Г., Алоян А.Е., Арутюнян В.О., Ходжер Т.В. О природе частиц аэрозоля в атмосфере Иркутска. Изв. РАН. Физика атмосферы и океана. 2018. Т. 54. № 2. С. 184–194.
- Ермаков А.Н., Алоян А.Е., Ходжер Т.В., Голобокова Л.П., Арутюнян В.О. О влиянии атмосферных химических реакций на ионный состав аэрозольных частиц в Байкальском регионе /Изв. РАН. Физика атмосферы и океана. 2007. Т. 43. № 2. C. 234–245.
- Еремина И.Д., Алоян А.Е., Арутюнян В.О., Ларин И.К., Чубарова Н.Е., Ермаков А.Н. Гидрокарбонаты в атмосферных осадках Москвы. Данные мониторинга и их анализ // Изв. РАН. Физика атмосферы и океана. 2017. Т. 53. № 3. С. 379–388.
- Mikkonen S., Romakkaniemii S., Smith J.N., Korhonen H., Petäjä T., Plass-Duelmer C., Boy M., McMurry P.H., Lehtinen K.E.J., Joutsensaari J., Hamed A., Mauldin R.L., Birmili W., Spindler G., Arnold F., Kulmala M., Laaksonen A. A statistical proxy for sulphuric acid concentration // Atmos. Chem. Phys. 2011. V. 11. P. 11319–11334.
- Al-Hosney H.A., Grassian V.H. Carbonic acid: An important intermediate in the surface chemistry of calcium carbonate // J. Amer. Chem. Soc. 2004. V. 126. P. 8068–8069.
- Li L., Chen Z.M., Zhang Y.H., Zhu T., Li J. L., Ding J. Kinetics and mechanism of heterogeneous oxidation of sulfur dioxide by ozone on surface of calcium carbonate // Atmos. Chem. Phys. 2006. V. 6. P. 2453–2464.
- Santschi Ch., Rossi M.J. Uptake of CO2, SO2, HNO3 and HCl on Calcite (CaCO3) at 300 K: Mechanism and the Role of Adsorbed Water // J. Phys. Chem. A. 2006. V. 110. № 21. P. 6789–6802. doi: 10.1021/jp056312b
- Robinson R.A., Stokes R.H. Electrolyte Solutions, 3rd ed., Butterworths, London, 1970. 647 P.
- Schwartz S.E. Mass transfer considerations pertinent to aqueous phase reaction of gases in liquid water clouds // Chemistry of Multiphase Atmospheric Systems. NATO. ASI Series. Ed. By W. Jaeschke. 1986. V. 6. Springer. Berlin. P. 415–471.
- Latterman R.D. Calcium dissolution rate in limestone contactors, Syracuse Univ. Syracuse — New-York 13244. 1995. P. 1–112.
- Herrmann H., Ervens B., Jacobi H.-W., Wolke R., Nowacki P., Zellner R. CAPRAM2.3: A chemical aqueous phase radical mechanism for tropospheric chemistry // J. Atmos. Chem. 2000. V. 36. № 3. P. 231–284.
- Garrels R.M., Christ C.L. Solutions, Minerals and Equilibria, Harper & Row, N-Y. 1965. 450 P.
- Ермаков А.Н., Ларин И.К., Пурмаль А.П., Угаров А.А. О катализе ионами железа окисления SO2 в атмосфере // Кинетика и катализ. 2003. Т. 44. № 4. С. 524–537.
Supplementary files
 
				
			 
					 
						 
						 
						 
						 
									
 
  
  
  Email this article
			Email this article 




