Estimation of the content and composition of trapped melt in dunite
- Authors: Bazylev B.A.1, Ledneva G.V.2, Bychkova Y.V.3, Kononkova N.N.1, Kuz’mina T.G.1, Romashova T.V.1
-
Affiliations:
- V.I. Vernadsky Institute of Geochemistry and Analytical Chemistry RAS
- Geological Institute, Russian Academy of Sciences
- Faculty of Geology, Lomonosov Moscow State University
- Issue: Vol 64, No 5 (2019)
- Pages: 471-485
- Section: Articles
- URL: https://journals.eco-vector.com/0016-7525/article/view/12767
- DOI: https://doi.org/10.31857/S0016-7525645471-485
- ID: 12767
Cite item
Full Text
Abstract
A method was developed for the quantitative estimation of the content of trapped melt in various dunite types and the composition of this melt on the basis of the major- and trace-element characteristics of the dunites and compositions of their chrome spinels. Our approach is advantageous over the method based on clinopyroxene geochemistry and clinopyroxene–melt partition coefficients for the contents of the light REE and more incompatible elements in melt, comparable with it for the middle REE, and possibly less accurate for the heavy REE and Sr. The estimated mean contents of trapped melt in dunites from ophiolite and concentrically zoned complexes are 1.0–1.5 wt %, which is probably typical of various dunite types, including cumulate dunites from layered complexes. These values are an order of magnitude higher than previous estimates. The correspondence between the compositions of calculated trapped melts in dunites and real natural melts indicates that the estimated contents of trapped melt in dunites are realistic, and the mineral–melt partition coefficients that were used in our calculations are valid for the complexes considered in this paper. In general, the proposed method is suitable for serpentinized dunites, including dunitic serpentinites.
Full Text
Геохимия примитивных мантийных расплавов играет ключевую роль в магматической петрологии и геодинамике, позволяя выявлять характерные особенности процессов мантийного магматизма в различных геодинамических обстановках. Именно поэтому особенное внимание в петролого-геохимических и геодинамических исследованиях уделяется составам наиболее примитивных вулканических пород и расплавов. При исследовании плутонических пород в этих целях используются преимущественно составы первичных минералов, но этой информации не всегда бывает достаточно, например, для однозначной идентификации геодинамической обстановки магматизма.
В этой связи важно отметить, что многие плутонические породы являются адкумулатами и содержат некоторое количество остаточного или захваченного расплава. Состав этого расплава в принципе может быть рассчитан по данным о валовой петрохимии и геохимии пород, составах слагающих их первичных минералов и модальном минеральном составе пород (включая и количество захваченного расплава, tm) с использованием масс-балансового подхода и значений коэффициентов распределения минерал-расплав (Bédard, 1994). Захваченный или остаточный расплав присутствует в разных типах пород, в том числе в реститовых, реакционных и кумулятивных перидотитах, в пироксенитах и кумулятивных габброидах. Однако оценка его состава и количества в этих типах пород затрудняется относительно высоким содержанием несовместимых элементов в пироксенах, плагиоклазе и роговой обманке, а также методическими проблемами определения модального минерального состава пород. Дуниты являются наиболее удобным объектом для исследования количества и состава захваченного расплава благодаря простому модальному минеральному составу и низким содержаниям несовместимых элементов в слагающих дуниты оливинах и хромшпинелидах. Определенными проблемами, однако, являются изменение составов первичных минералов при субсолидусной (посткумулусной) перекристаллизации пород и возможное изменение валовых составов пород (в отношении как петрогенных, так и редких элементов) при их среднетемпературном метаморфизме и серпентинизации.
Захваченный или остаточный расплав должен присутствовать в дунитах различных типов (кумулятивные, реакционные), поскольку на финальной стадии формирования все они находились в равновесии с расплавом, который не мог отделиться полностью (Bédard, 1994; Sundberg et al., 2010). При остывании дунитов захваченный расплав (как межзерновой, так и его включения в оливине и хромшпинелиде) раскристаллизовывается в мелкие зерна или агрегаты, в составе которых наиболее часто присутствуют клинопироксен, плагиоклаз и роговая обманка. Эти мелкие зерна легко замещаются водными силикатами на самых ранних стадиях серпентинизации дунитов.
Прямое определение состава захваченного расплава по составам гомогенизированных расплавных включений в хромшпинелиде дунитов (Симонов и др., 2016) возможно лишь в исключительных случаях. Его расчет по геохимии клинопироксена (в клинопироксенсодержащих дунитах) сильно зависит от использованных величин коэффициентов распределения клинопироксен-расплав и аналитической погрешности определения содержаний редких элементов в клинопироксене, так что оцененные таким образом составы расплавов иногда обнаруживают разброс по содержаниям наиболее информативных сильно несовместимых элементов на 2–3 порядка (Tian et al., 2011).
Задачами настоящей статьи являются исследование возможности оценки состава и количества захваченного дунитами расплава по их геохимии и минералогии, анализ вероятных погрешностей оценок, разработка соответствующей методологии и ее апробирование на нескольких характерных объектах. В качестве таковых в данной работе выбраны типичные офиолитовые дуниты массива Брезовица (Западная ветвь Вардарской зоны, Сербия) (Bazylev et al., 2003) и типичные дуниты из концентрически-зонального Нижнетагильского массива (Урал, Россия). В последнем случае сделанные нами оценки могут быть сопоставлены с составами частично гомогенизированных включений в хромшпинелидах из дунитов (Симонов и др., 2016), а также с составами расплавов, рассчитанных по геохимии клинопироксена из дунитов и ассоциирующих с ними оливиновых клинопироксенитов (Перцев, Савельева, 2005; Krause et al., 2007).
МЕТОДИКА ОЦЕНКИ КОЛИЧЕСТВА И СОСТАВА ЗАХВАЧЕННОГО РАСПЛАВА
Основной принцип методики расчета состава захваченного расплава по валовому составу пород (Bédard, 1994) сводится к тому, что содержание элемента i в породе может быть выражено как сумма содержаний этого элемента в слагающих породу фазах, включая и захваченный расплав (tm). В частности, для дунитов
Cirock = (φOlCiOl) + (φSplCiSpl) +(φtmCiliq) , (1)
где φ – массовая доля (мода) фазы в составе породы, а C – содержание элемента i в валовом составе породы и отдельных фаз.
При отсутствии данных о содержании элемента i в минерале (в частности, редких и редкоземельных элементов) это содержание может быть оценено с использованием величины коэффициента распределения минерал-расплав (Bédard, 1994):
CiMin = Ci liqDiMin-liq , (2)
а уравнение (1) может быть преобразовано до вида
Ciliq = Cirock/(φOlDiOl-liq + φSplDiSpl-liq + φtm) , (3)
позволяющего оценивать содержания редких и редкоземельных элементов в захваченном расплаве по данным о величинах коэффициентов распределения минерал-расплав Di, модальному минеральному составу протолита пород и оцененному или заданному количеству захваченного расплава.
Величины коэффициентов распределения оливин-расплав, использованные нами в расчетах, скомпилированы по данным экспериментальных работ (Beattie, 1994; Salters et al., 2002; Zanetti et al., 2004; Adam, Green 2006; Evans et al., 2008; Mallmann, O’Neill, 2009; 2013; Imai et al., 2012; Laubier et al., 2014) и приведены в табл. 1. Поскольку в этих работах величины коэффициентов распределения оценивались не для всего набора редких элементов, величина коэффициента распределения для Y рассчитывалась как среднее геометрическое из значений, оцененных в цитированных работах. Величины коэффициентов распределения для остальных элементов (i) определялись относительно этой величины по средним значениям Di /DY с использованием работ, в которых величина Di была оценена.
Величины коэффициентов распределения хромшпинелид-расплав для большинства несовместимых редких элементов крайне невелики, что позволяет пренебречь вкладом хромшпинелида в валовые содержания этих элементов в породах. Наиболее существенны величины этих коффициентов для Nb, Zr и Hf, которые зависят от состава хромшпинелида и, по данным экспериментальных работ (Wijbrans et al., 2015; Horn et al., 1994; Nielsen, Beard, 2000), описываются следующими зависимостями:
DNbSpl-liq = 0.165exp(-3.15[Al]), R2=0.87, (4)
DZrSpl-liq = 0.099exp(-2.46[Al]), R2=0.92, (5)
DHfSpl-liq = 0.122exp(-2.36[Al]), R2=0.89, (6)
где [Al] – содержание алюминия в структурной формуле шпинелида при расчете на 4О. Эти зависимости выполняются для всех составов шпинелидов из цитированных работ, включенных в калибровочную выборку (чисто глиноземистых шпинелидов, хромшпинелидов различного состава, магнетитов) во всем интервале температур экспериментов (940–1430°C).
Таблица 1. Составы дунитов
Компонент | SiO2 | TiO2 | Al2O3 | FeO*** | MnO | MgO | CaO | Na2O | K2O | Cr2O3 | P2O5 | П.п.п. | Сумма |
BR-9 | 35.03 | 0.011 | 0.28 | 7.22 | 0.110 | 41.42 | 0.16 | 0.00 | 0.00 | 0.388 | 0.010 | 14.70 | 99.32 |
BR-10 | 35.72 | 0.008 | 0.22 | 7.29 | 0.113 | 43.05 | 0.17 | 0.02 | 0.01 | 0.428 | 0.016 | 12.39 | 99.44 |
BR-11 | 34.41 | 0.012 | 0.34 | 6.95 | 0.116 | 41.63 | 0.18 | 0.01 | 0.01 | 1.822 | 0.017 | 13.76 | 99.25 |
BR-12 | 35.72 | 0.009 | 0.26 | 8.23 | 0.133 | 42.14 | 0.16 | 0.02 | 0.01 | 0.387 | 0.014 | 12.27 | 99.36 |
NT10-1 | 34.24 | 0.014 | 0.20 | 5.03 | 0.106 | 44.81 | 0.30 | 0.00 | 0.00 | 1.088 | 0.021 | 14.06 | 99.87 |
NT10-4 | 34.58 | 0.008 | 0.22 | 6.66 | 0.135 | 42.03 | 0.38 | 0.00 | 0.00 | 0.219 | 0.016 | 15.19 | 99.43 |
NT10-5 | 33.52 | 0.017 | 0.21 | 6.28 | 0.114 | 41.09 | 0.28 | 0.01 | 0.00 | 1.046 | 0.016 | 17.10 | 99.68 |
NT10-7 | 35.07 | 0.013 | 0.25 | 7.38 | 0.157 | 41.38 | 0.54 | 0.02 | 0.02 | 0.403 | 0.017 | 14.26 | 99.50 |
1σ, мас.% | 0.32 | 0.002 | 0.04 | 0.21 | 0.006 | 0.46 | 0.02** | 0.03 | 0.005 | 0.027 | 0.003 | 0.19 | ND |
DTS-1 | ND | ND | ND | ND | ND | ND | ND | ND | ND | ND | ND | ND | ND |
UB-N | ND | ND | ND | ND | ND | ND | ND | ND | ND | ND | ND | ND | ND |
DTS-1* | ND | ND | ND | ND | ND | ND | ND | ND | ND | ND | ND | ND | ND |
D Ol-melt | ND | ND | ND | ND | ND | ND | ND | ND | ND | ND | ND | ND | ND |
D Cpx-melt | ND | ND | ND | ND | ND | ND | ND | ND | ND | ND | ND | ND | ND |
Компонент | Mg# | (Mg+Fe)/Si | Mg#Ol | Cr#Spl | φOl | φSpl | Li | Sc | Ti | V | Co | Ni | Cu |
BR-9 | 91.1 | 1.94 | 91.4 | 0.798 | 0.991 | 0.009 | 0.15 | 3.34 | 37.1 | 7.5 | 112 | 2303 | 4.1 |
BR-10 | 91.3 | 1.97 | 91.4 | 0.794 | 0.991 | 0.009 | 0.73 | 3.62 | 29.2 | 8.6 | 114 | 2334 | 2.6 |
BR-11 | 91.4 | 1.97 | 91.7 | 0.783/0.863 | 0.962 | 0.038 | 0.67 | 3.58 | 30.8 | 9.47 | 103 | 2156 | BDL |
BR-12 | 90.1 | 1.95 | 90.1 | 0.694 | 0.991 | 0.009 | 0.29 | 3.83 | 29.0 | 6.7 | 121 | 2061 | 2.4 |
NT10-1 | 94.1 | 2.07 | ND | 0.798 | 0.972 | 0.028 | 0.53 | 3.37 | 69.9 | 9.1 | 104 | 1262 | 5.2 |
NT10-4 | 91.8 | 1.97 | 92.3 | 0.794 | 0.995 | 0.005 | 1.45 | 3.58 | 51.5 | 8.1 | 107 | 1226 | 4.2 |
NT10-5 | 92.1 | 1.98 | 92.9 | 0.791 | 0.976 | 0.024 | 0.98 | 2.87 | 63.0 | 8.0 | 101 | 1516 | 4.5 |
NT10-7 | 90.9 | 1.94 | 91.6 | 0.79 | 0.988 | 0.012 | 1.50 | 4.12 | 41.4 | 5.6 | 109 | 1065 | 6.5 |
1σ, отн.% | ND | ND | ND | ND | ND | ND | 34 | 4 | 9 | 18 | 3 | 4 | 16 |
DTS-1 | ND | ND | ND | ND | ND | ND | 1.9 | 3.38 | 24.0 | 7.1 | 136 | 2327 | 5.5 |
UB-N | ND | ND | ND | ND | ND | ND | 29.0 | 12.6 | 554 | 70.2 | 100 | 1959 | 26.25 |
DTS-1* | ND | ND | ND | ND | ND | ND | 1.99 | 3.35 | 22.2 | 10.0 | 136 | 2298 | 5.7 |
D Ol-melt | ND | ND | ND | ND | ND | ND | ND | 0.14 | 0.0064 | ND | ND | ND | ND |
D Cpx-melt | ND | ND | ND | ND | ND | ND | ND | ND | 0.33 | ND | ND | ND | ND |
Компонент | Zn | Rb | Sr | Y | Zr | Nb | Ba | La | Ce | Pr | Nd | Sm | Eu |
BR-9 | 30 | 0.151 | BDL | 0.141 | BDL | BDL | 1.95 | 0.032 | 0.067 | 0.0083 | 0.040 | 0.021 | 0.0066 |
BR-10 | 38 | 0.25 | 0.77 | 0.09 | 0.48 | 0.026 | 0.71 | 0.030 | 0.066 | 0.0076 | 0.033 | 0.012 | 0.0023 |
BR-11 | 27 | 0.176 | 1.15 | 0.111 | 0.45 | 0.019 | 1.06 | 0.041 | 0.088 | 0.010 | 0.048 | 0.011 | 0.0022 |
BR-12 | 36 | 0.12 | 0.92 | 0.069 | 0.27 | 0.022 | 1.01 | 0.025 | 0.057 | 0.0067 | 0.028 | 0.0084 | 0.0020 |
NT10-1 | 42 | 0.195 | BDL | 0.062 | 0.34 | BDL | 1.35 | 0.050 | 0.098 | 0.010 | 0.039 | 0.0067 | 0.0025 |
NT10-4 | 44 | 0.17 | 0.99 | 0.11 | 0.35 | 0.029 | 2.18 | 0.038 | 0.077 | 0.0092 | 0.039 | 0.013 | 0.0023 |
NT10-5 | 34 | 0.177 | BDL | 0.046 | 0.16 | BDL | 2.21 | 0.075 | 0.193 | 0.024 | 0.083 | 0.017 | 0.0033 |
NT10-7 | 37 | 0.424 | BDL | 0.042 | BDL | BDL | 3.10 | 0.076 | 0.123 | 0.012 | 0.035 | 0.010 | 0.0020 |
1σ, отн.% | 11 | 34 | 22 | 16 | 17 | 35 | 21 | 17 | 17 | 12 | 14 | 22 | 18 |
DTS-1 | 36 | 0.129 | 0.51 | 0.044 | 0.17 | 0.017 | 0.45 | 0.028 | 0.059 | 0.007 | 0.026 | 0.006 | 0.001 |
UB-N | 76.0 | 2.09 | 5.48 | 2.32 | 4.08 | 0.038 | 25.36 | 0.353 | 0.917 | 0.123 | 0.637 | 0.212 | 0.074 |
DTS-1* | 43.8 | 0.066 | 0.3 | 0.0363 | 0.153 | 0.0154 | 0.342 | 0.0264 | 0.0503 | 0.0061 | 0.0232 | 0.0044 | 0.0011 |
D Ol-melt | ND | 0.000038 | 0.000073 | 0.0065 | 0.0007 | 0.000069 | 0.000009 | 0.000031 | 0.000036 | 0.000065 | 0.00014 | 0.00048 | 0.00062 |
D Cpx-melt | ND | 0.00008 | 0.077 | 0.46 | 0.10 | 0.002 | 0.0012 | 0.049 | 0.089 | 0.15 | 0.21 | 0.33 | 0.37 |
Компонент | Gd | Tb | Dy | Ho | Er | Tm | Yb | Lu | Hf | Ta | Pb | Th | U |
BR-9 | 0.012 | 0.0023 | 0.020 | 0.0040 | 0.017 | 0.0028 | 0.029 | 0.0056 | BDL | BDL | 0.13 | BDL | 0.0056 |
BR-10 | 0.010 | 0.0016 | 0.014 | 0.0035 | 0.014 | 0.0023 | 0.018 | 0.0032 | 0.012 | 0.0018 | 0.13 | 0.0058 | 0.0071 |
BR-11 | 0.0079 | 0.0016 | 0.012 | 0.0031 | 0.014 | 0.0025 | 0.021 | 0.0028 | 0.013 | 0.0017 | 0.40 | 0.010 | 0.0062 |
BR-12 | 0.0059 | 0.0014 | 0.0082 | 0.0020 | 0.0097 | 0.0018 | 0.0160 | 0.0030 | 0.011 | 0.0015 | 0.15 | 0.0084 | 0.0055 |
NT10-1 | 0.0087 | 0.0008 | 0.0094 | 0.0017 | 0.0093 | 0.0020 | 0.020 | 0.0064 | BDL | BDL | 0.15 | BDL | 0.0053 |
NT10-4 | 0.0075 | 0.0017 | 0.014 | 0.0034 | 0.013 | 0.0025 | 0.023 | 0.0040 | BDL | 0.0017 | 0.12 | BDL | 0.0066 |
NT10-5 | BDL | BDL | 0.0093 | 0.0019 | 0.0084 | 0.0020 | 0.016 | 0.0033 | BDL | BDL | 0.22 | BDL | 0.0082 |
NT10-7 | 0.0078 | 0.0006 | 0.0077 | 0.0013 | 0.0056 | 0.0017 | 0.011 | 0.0030 | BDL | BDL | 0.15 | BDL | 0.0102 |
1σ, отн.% | 18 | 16 | 16 | 18 | 14 | 15 | 13 | 14 | 27 | 16 | 45 | 30 | 28 |
DTS-1 | 0.004 | 0.001 | 0.005 | 0.002 | 0.005 | 0.001 | 0.012 | 0.003 | 0.0060 | 0.0016 | 6.3 | 0.010 | 0.0042 |
UB-N | 0.316 | 0.060 | 0.404 | 0.081 | 0.266 | 0.039 | 0.295 | 0.040 | 0.110 | 0.003 | 10.1 | 0.065 | 0.062 |
DTS-1* | 0.0041 | 0.00071 | 0.005 | 0.0014 | 0.0049 | 0.001 | 0.0095 | 0.0021 | 0.0053 | 0.0012 | 8.5 | 0.0098 | 0.0032 |
D Ol-melt | 0.0008 | 0.0023 | 0.0040 | 0.0066 | 0.0086 | 0.0127 | 0.018 | 0.020 | 0.0010 | ND | 0.0007 | 0.000036 | 0.000061 |
D Cpx-melt | 0.41 | 0.45 | 0.47 | 0.48 | 0.47 | 0.44 | 0.39 | 0.37 | 0.22 | ND | 0.008 | 0.007 | 0.006 |
Проблемой, не решенной в работе (Bédard, 1994), является методика оценки количества захваченного дунитами расплава. В ходе ее решения в работе (Sundberg et al., 2010) было отмечено, что присутствие захваченного расплава в дунитах должно отражаться на содержаниях ряда петрогенных элементов, таких как Al2O3, TiO2 и CaO, в валовых составах дунитов. При этом количество захваченного расплава может быть оценено по уравнениям масс-баланса типа уравнения (1). Авторы цитированной работы использовали прецизионно измеренные содержания Al и Ti в оливинах и предположенные из общих соображений содержания Al2O3, TiO2 и CаO в захваченном расплаве, однако результаты оценки содержания захваченного расплава в дунитах по балансу разных элементов обнаружили систематическое расхождение и вариации в широком интервале (от 0.1 мас.% до 3–4 мас.%). Это было объяснено отчасти влиянием субсолидусной перекристаллизации на содержания Al, Ti и Ca в оливинах, а отчасти аналитическими погрешностями определения содержания этих элементов в валовых составах пород. Тем не менее, хотя авторы в качестве наиболее вероятного содержания выбрали 0.2 мас.%, проблема в целом осталась.
Мы попытались использовать этот методический подход, несколько изменив его. Расчет баланса по Са представляется малоперспективным ввиду ряда факторов. Во-первых, содержание CaO в захваченном расплаве не может быть оценено независимо. Во-вторых, фактическое содержание CаO в оливинах дунитов, скорее всего, занижено по сравнению с его первичным содержанием (высокое содержание СаO в клинопироксенах (табл. 2) и низкое содержание CаО в оливинах, особенно в оливинах из дунитов массива Брезовица, где оно составляет 0.01–0.06 мас.%, свидетельствуют о перераспределении Сa из оливина в клинопироксен дунитов). Однако количественно оценить первичное содержание CаO в оливине дунитов не представляется возможным, поэтому в дунитах, серпентинизированных изохимично в отношении CaO, расчет содержания захваченного расплава по балансу Сaвсегда будет давать лишь верхний предел этой величины. В-третьих, серпентинизация дунитов может сопровождаться выносом Ca из пород, а их карбонатизация – его привносом, что делает балансовые рассчеты в этих случаях невозможными.
Расчет баланса по Al представляется наиболее перспективным. Согласно выражению (1), содержание глинозема, связанного с захваченным расплавом в дунитах, может быть рассчитано как
φtmCAl2O3liq = CAl2O3rock – (φOlCAl2O3Ol) – (φSplCAl2O3Spl), (7)
при этом содержание Al2O3 в захваченном расплаве может быть оценено по составу первичных хромшпинелидов из дунитов (их центральных зон) (Базылев, 1995; Kamenetskyet al., 2001; Rollinson, 2008). Отметим, что разные калибровки оценок содержания глинозема в расплаве, основанные на разных экспериментальных данных (Базылев, 1995; Rollinson, Adetunji, 2015), дают оценки с разницей в большинстве случаев менее 10 отн. % в интервале содержаний Al2O3 в расплавах 8–19 мас.%. Для оценки содержания глинозема в расплаве мы использовали зависимость из работы (Базылев, 1995):
СAl2O3liq = (1000(1–Cr#Spl))(0.444-0.0021P), (8)
где содержание Al2O3 – в мас.%, Cr# = Cr/ (Cr+Al), а P – в кбар (при расчетах в настоящей работе для обоих объектов принималось давление 5 кбар).
Таблица 2. Составы минералов дунитов Нижнетагильского массива
Компонент | Минерал | n | SiO2 | TiO2 | Al2O3 | FeO* | MnO | MgO | CaO | Na2O | K2O | Cr2O3 | NiO | V2O3 | ZnO | Сумма | Mg# | Cr# | F# |
NT10-1 | SplC | 3 | 0.08 | 0.40 | 7.70 | 35.47 | 0.58 | 8.24 | ND | ND | ND | 45.41 | 0.06 | 0.04 | 0.04 | 99.72 | 42.2 | 0.798 | 0.222 |
NT10-1 | SplR | 3 | 0.06 | 0.44 | 7.55 | 38.42 | 0.49 | 7.35 | ND | ND | ND | 43.67 | 0.14 | 0.00 | 0.01 | 100.00 | 37.8 | 0.795 | 0.245 |
NT10-1 | Cpx | 3 | 54.31 | 0.09 | 0.75 | 1.43 | 0.02 | 17.32 | 25.40 | 0.20 | 0.00 | 0.32 | ND | ND | ND | 99.85 | 95.6 | ND | ND |
NT10-4 | SplC | 4 | 0.05 | 0.48 | 8.62 | 29.61 | 0.42 | 10.59 | ND | ND | ND | 49.43 | 0.09 | 0.05 | 0.29 | 101.01 | 52.5 | 0.794 | 0.176 |
NT10-4 | SplR | 3 | 0.05 | 0.53 | 8.85 | 30.90 | 0.45 | 9.87 | ND | ND | ND | 48.23 | 0.08 | 0.02 | 0.23 | 100.63 | 49.3 | 0.785 | 0.180 |
NT10-4 | Ol | 4 | 41.09 | ND | ND | 7.51 | 0.14 | 50.61 | 0.25 | ND | ND | ND | 0.22 | ND | ND | 99.81 | 92.3 | ND | ND |
NT10-4 | Cpx | 3 | 54.01 | 0.08 | 0.73 | 1.20 | 0.00 | 17.36 | 25.51 | 0.10 | 0.01 | 0.31 | ND | ND | ND | 99.30 | 96.3 | ND | ND |
NT10-5 | SplC | 2 | 0.04 | 0.40 | 9.05 | 26.51 | 0.45 | 10.19 | ND | ND | ND | 51.39 | 0.09 | 0.08 | 0.22 | 99.46 | 51.3 | 0.792 | 0.131 |
NT10-5 | SplR | 2 | 0.05 | 0.41 | 9.17 | 27.48 | 0.45 | 9.65 | ND | ND | ND | 51.13 | 0.06 | 0.06 | 0.03 | 99.50 | 48.4 | 0.789 | 0.130 |
NT10-5 | Ol | 4 | 41.49 | ND | ND | 6.93 | 0.14 | 50.99 | 0.20 | ND | ND | ND | 0.24 | ND | ND | 100.00 | 92.9 | ND | ND |
NT10-7 | SplC | 4 | 0.07 | 0.69 | 7.04 | 42.50 | 0.56 | 6.67 | ND | ND | ND | 39.45 | 0.13 | 0.01 | 0.12 | 99.46 | 34.7 | 0.790 | 0.299 |
NT10-7 | Ol | 9 | 41.16 | ND | ND | 8.08 | 0.17 | 49.92 | 0.34 | ND | ND | ND | 0.18 | ND | ND | 99.84 | 91.7 | ND | ND |
NT10-7 | Cpx | 1 | 54.98 | 0.07 | 0.98 | 1.88 | 0.06 | 16.46 | 23.60 | 0.26 | 0.01 | 0.57 | ND | ND | ND | 98.88 | 94.0 | ND | ND |
NT10-7 | Phl | 2 | 39.79 | 0.08 | 14.31 | 3.83 | 0.04 | 26.00 | 0.93 | 1.02 | 6.88 | 1.32 | ND | ND | ND | 94.20 | 92.4 | ND | ND |
Содержание глинозема в оливине дунитов редко измеряется прецизионно. При этом оно сильно зависит от температуры и, по-видимому, сильно понижено по сравнению с его первичным содержанием вследствие кристаллизации новообразованного хромшпинелида за счет выделения из первичного оливина алюминия и хрома (Sundberg et al., 2010). Его можно было бы оценить с использованием зависимостей содержания глинозема в оливине, равновесном с хромшпинелидом, от температуры, однако температура захвата дунитами расплава, как правило, неизвестна и не может быть строго оценена. Преодолеть это затруднение помогает установленная в работе (DeHoog et al., 2010) зависимость, согласно которой для сосуществующих хромшпинелида и оливина Сr# Spl и Cr# Ol для значений Cr# Spl выше 0.2 практически совпадают. В этом случае нет необходимости в оценке температуры захвата расплава и в оценке солидусного содержания глинозема в оливине дунитов, и зависимость (7) приобретает вид
φtmCAl2O3liq = CAl2O3rock – CCr2O3rock (СAl2O3Spl/CCr2O3Spl) , (9)
что позволяет ее использовать для оценки количества захваченного дунитами расплава. При этом мы, как и Sundberg et al. (2010), пренебрегали неизвестной величиной содержания хрома в расплаве ввиду ее незначительности по сравнению с содержанием в расплаве глинозема.
Расчет баланса по Ti по выражению, аналогичному (7), также представляется перспективным для оценки содержаний захваченного расплава в дунитах. При этом содержание титана в захваченном расплаве, как и содержание глинозема, может быть оценено по составу хромшпинелида на основе экспериментальных данных (Kamenetsky etal., 2001; Rollinson, 2008). Сопоставление данных из работ (Horn et al., 1994; Kamenetsky etal., 2001; Mallmann, O’Neill, 2009; Wijbrans et al., 2015) позволяет заключить, что величина DSpl-liq для титана хорошо описывается уравнением
DTiSpl-liq = 0.300–0.116[Al] + 1.871[Fe3+], R2 = 0.92, (10)
где [Al] и [Fe3+] – содержания алюминия и окисного железа в структурной формуле шпинелида при ее расчете на 4О. Эта зависимость выполняется для шпинелидов с [Fe3+] менее 0.55 и не обнаруживает существенной зависимости от температуры в интервале 1255-1430оС; средняя погрешность оценки величины DTiSpl-liq составляет 22 отн. %. Для оценки солидусного содержания титана в оливине дунитов может быть использовано выражение (2), при этом величина коэффициента распределения для Ti приведена в табл. 1, а содержание захваченного дунитами расплава по балансу Ti может быть рассчитано согласно выражению
φtmCTiO2liq = C TiO2rock – (φOlCTiO2liq × DTiOl-liq) –
– (φSplCTiO2Spl). (11)
АНАЛИТИЧЕСКИЕ МЕТОДЫ
Определение составов минералов в исследованных дунитах производилось в ГЕОХИ РАН (Москва) на микрозонде Cameca SX100 при ускоряющем напряжении 15 кВ и силе тока 30 нA. В качестве эталонов были использованы стандартные образцы минералов Смитсониановского института (Jarosewich et al., 1980). Точность анализов составляла ±2 отн. % при содержании компонента 10–100 мас.%, ±5 отн. % при содержании компонента 2–10 мас.%, ±10 отн. % при содержании компонента 1–2 мас.%, ±20 отн. % при содержании компонента менее 1 мас.%.
Дробление проб проводилось с использованием щековой дробилки, истирание – в агатовой ступке. Содержания петрогенных элементов в породах определялись в препаратах прессованных порошков методом рентгенофлуоресцентного анализа (XRF) на спектрометре со сканирующим каналом AXIOS Advanced фирмы PANalytical в ГЕОХИ РАН. Калибровка производилась по международным и российским стандартным образцам с использованием внутренних стандартов. Аналитическая погрешность измерений оценивалась по сопоставлению составов в неоднократно проанализированных пробах; данные по аналитической погрешности измерения составов пород приведены в табл. 1.
Содержания редких и редкоземельных элементов в пробах определялись методом ICP-MSна масс-спектрометре Finnigan Element XR в МГУ имени М.В. Ломоносова. Подготовка проб производилась в микроволновой печи с использованием метода кислотного растворения. Содержания элементов рассчитывались с использованием стандартных растворов ICP-MS-68A, HPS (A и B). Воспроизводимость определенных содержаний элементов в дунитах, оцененная по повторным измерениям проб, приведена в табл. 1. Точность определений контролировалась регулярным измерением международных стандартов BCR-2, UB-N и DTS-1 (табл. 1).
ОБЪЕКТЫ ДЛЯ ТЕСТИРОВАНИЯ МЕТОДИКИ
Массив Брезовица (западная ветвь Вардарской зоны, Сербия) представляет собой несколько останцов тектонической пластины, сложенной преимущественно шпинелевыми гарцбургитами (Bazylev et al., 2003). Исследованные дуниты отобраны из тел среди гарцбургитов в одном из фрагментов массива. Дуниты довольно сильно серпентинизированы, однако во всех образцах сохранились реликты первичных хромшпинелидов и оливина, в трех образцах установлены мелкие (до 0.3 мм) ксеноморфные зерна клинопироксена, а в одном из исследованных дунитов с этими зернами ассоциируют мелкие зерна роговой обманки. В настоящей работе мы использовали составы минералов, приведенные в работе (Bazylev et al., 2003). Хромистость шпинелидов (Cr# = Cr/(Cr+Al) в гарцбургитах этого массива составляет 0.45–0.72, магнезиальность оливинов (Mg# = 100Mg/(Mg+Fe)) 90.1–92.3, пироксены являются низкоглиноземистыми (1.0–2.7 мас.% Al2O3). Дуниты сложены оливином со столь же высокой магнезиальностью (90.1–91.7), но содержат более хромистую шпинель (Cr# 0.69–0.86) с более высокими содержаниями титана (0.17–0.31 мас.% TiO2 против 0.02–0.14 мас.% в хромшпинелидах гарцбургитов). Данные дуниты, очевидно, представляют наиболее распространенный тип офиолитовых дунитов, интерпретируемый как дуниты замещения или реакционные дуниты (Kelemen et al., 1995).
Рис. 1. Содержания несовместимых редких и редкоземельных элементов в дунитах массива Брезовица. Нормирование составов здесь и ниже произведено на состав примитивной мантии (PM) (Sun, McDonough, 1989).
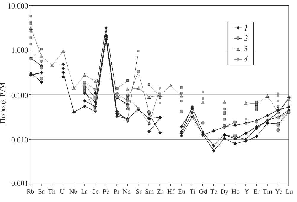
Рис. 2. Содержания несовместимых редких и редкоземельных элементов в дунитах Нижнетагильского массива. 1 – оригинальные данные, 2 – данные работы (Tessalina et al., 2015), 3 – данные работы (Шмелев и др., 2010), 4 – данные работы (Пилюгин и др., 2015).
Нижнетагильский массив (Урал, Россия) является одним из наиболее известных и изученных концентрически-зональных (дунит-клинопироксенитовых) массивов Уральского пояса (Шмелев, Филиппова, 2010; Шмелев и др., 2010; Anikina et al., 2014). Дуниты слагают центральную часть массива и обрамляются клинопироксенитами. Исследованные дуниты были отобраны из разных участков в пределах дунитового ядра. Породы сильно серпентинизированы, реликты оливина сохранились лишь в трех из четырех исследованных образцов. Оливины дунитов имеют высокую магнезиальность (91.6–92.9), довольно высокое содержание CaO (0.20–0.34 мас.%) и относительно низкое содержание NiO (0.18–0.24 мас.%) (табл. 2). Хромшпинелиды дунитов имеют высокую хромистость (0.78–0.80) при умеренно высоких содержаниях TiO2 (0.40–0.69 мас. %) и повышенной степени окисления железа (Fe# = Fe3+/(Cr+Al+Fe3+) (0.13–0.30). В краевых участках зерен проявлено заметное обогащение титаном при неизменной хромистости шпинелидов (табл. 2). В трех образцах сохранились редкие мелкие (до 0.1 мм) изометричные и ксеноморфные зерна клинопироксена; в одном из образцов присутствуют единичные довольно крупные (до 0.5 мм) пластинчатые зерна флогопита (табл. 2). В целом, минералогия и петрография исследованных дунитов соответствуют литературным данным по этим породам (Krause etal., 2007; Anikina et al., 2014) и отражают характерные черты дунитов концентрически-зональных массивов Урало-Аляскинского типа.
Таблица 3. Оцененные содержания и составы расплавов, захваченных дунитами массива Брезовица (BR) и Нижнетагильского массива (NT)
Образец | φtm(Al) | φtm(Ti-XRF) | Al2O3 | TiO2 | Rb | Ba | Th | U | Nb | La | Ce | Pb | Pr | Nd |
BR-9 | 0.021 | 0.019 | 10.7 | 0.41 | 8.4 | 108 | ND | 0.31 | ND | 1.8 | 3.7 | 6.9 | 0.46 | 2.2 |
BR-10 | 0.017 | 0.014 | 9.9 | 0.35 | 16.8 | 47 | 0.39 | 0.47 | 1.7 | 2.0 | 4.4 | 8.4 | 0.50 | 2.1 |
BR-11 | 0.010 | 0.012 | 10.0 | 0.38 | 20.3 | 122 | 1.21 | 0.72 | 1.8 | 4.7 | 10.2 | 43.1 | 1.11 | 5.5 |
BR-12 | 0.013 | 0.008 | 12.0 | 0.60 | 10.7 | 87 | 0.72 | 0.48 | 1.9 | 2.2 | 4.9 | 12.0 | 0.58 | 2.4 |
Среднее | 0.017 | 0.014 | 10.6 | 0.42 | 13.2 | 86 | 0.70 | 0.47 | 1.8 | 2.4 | 5.3 | 13.1 | 0.62 | 2.8 |
NT10-1 | 0.002* | 0.007 | 10.0 | 0.37 | 19 | 133 | ND | 0.52 | ND | 5.0 | 9.6 | 13.5 | 1.0 | 3.8 |
NT10-4 | 0.021* | 0.007 | 10.1 | 0.53 | 17 | 214 | ND | 0.65 | 2.7 | 3.7 | 7.5 | 11.5 | 0.9 | 3.8 |
NT10-5 | 0.003* | 0.013 | 10.1 | 0.54 | 18 | 221 | ND | 0.82 | ND | 7.5 | 19.3 | 21.3 | 2.3 | 8.2 |
NT10-7 | 0.020* | 0.007 | 10.2 | 0.50 | 41 | 298 | ND | 0.97 | ND | 7.3 | 11.8 | 13.9 | 1.1 | 3.3 |
Среднее | 0.012 | 0.009 | 10.1 | 0.48 | 22 | 208 | ND | 0.72 | 2.7 | 5.6 | 11.3 | 14.6 | 1.2 | 4.5 |
Образец | Sr | Sm | Zr | Hf | Eu | Ti | Gd | Tb | Dy | Ho | Y | Er | Tm | Yb | Lu |
BR-9 | ND | 1.16 | ND | ND | 0.36 | 2160 | 0.62 | 0.12 | 0.91 | 0.17 | 6.0 | 0.67 | 0.096 | 0.88 | 0.16 |
BR-10 | 51 | 0.76 | 30 | 0.73 | 0.15 | 2077 | 0.65 | 0.09 | 0.72 | 0.17 | 4.4 | 0.61 | 0.088 | 0.59 | 0.10 |
BR-11 | 132 | 1.19 | 43 | 1.23 | 0.24 | 2406 | 0.85 | 0.15 | 0.98 | 0.22 | 8.0 | 0.90 | 0.132 | 0.88 | 0.11 |
BR-12 | 80 | 0.70 | 22 | 0.88 | 0.17 | 2850 | 0.49 | 0.10 | 0.54 | 0.12 | 4.0 | 0.51 | 0.078 | 0.59 | 0.10 |
Среднее | 81 | 0.93 | 30 | 0.92 | 0.21 | 2355 | 0.64 | 0.11 | 0.77 | 0.16 | 5.4 | 0.66 | 0.096 | 0.72 | 0.12 |
NT10-1 | ND | 0.64 | 29 | ND | 0.23 | 2046 | 0.81 | 0.06 | 0.70 | 0.11 | 4.0 | 0.54 | 0.095 | 0.80 | 0.24 |
NT10-4 | 97 | 1.24 | 32 | ND | 0.22 | 2486 | 0.69 | 0.14 | 1.04 | 0.22 | 6.7 | 0.73 | 0.121 | 0.89 | 0.15 |
NT10-5 | ND | 1.60 | 14 | ND | 0.31 | 3293 | 1.59 | 0.60 | 0.70 | 0.12 | 3.0 | 0.50 | 0.098 | 0.65 | 0.13 |
NT10-7 | ND | 0.92 | ND | ND | 0.19 | 2519 | 0.70 | 0.05 | 0.56 | 0.08 | 2.6 | 0.32 | 0.081 | 0.43 | 0.11 |
Среднее | 97 | 1.04 | 24 | ND | 0.23 | 2549 | 0.89 | 0.13 | 0.73 | 0.12 | 3.8 | 0.50 | 0.098 | 0.67 | 0.15 |
Размер зерен клинопироксена в дунитах обоих исследованных комплексов, их морфология и состав позволяют предполагать, что эти зерна являются по своей природе субсолидусными. По-видимому, это можно предполагать и для единичных зерен флогопита в дунитах Нижнетагильского массива, поскольку низкое содержание в нем титана (табл. 2) не свойственно магматическим флогопитам.
ПЕТРОХИМИЯ И ГЕОХИМИЯ ПОРОД
Валовые составы исследованных дунитов (табл. 1) имеют величины отношения (Mg+Fe)/ Si, близкие к 2 (1.94–1.97 в дунитах Брезовицы и 1.94–2.07 в дунитах Нижнетагильского массива), что соответствует стехиометрии оливина, являющегося основным породообразующим минералом этих пород, и свидетельствует об изохимичности серпентинизации в отношении этих основных породообразующих элементов. В пользу этого говорит и высокая магнезиальность дунитов, соответствующая магнезиальности оливинов или немного пониженная относительно ее (за счет присутствия в породах более железистого хромшпинелида). Рассчитанное модальное содержание хромшпинелида (по содержаниям SiO2, FeO, MnO, MgO и Сr2O3 в составах пород, оливина и хромшпинелида) в дунитах Брезовицы составляет 0.9–3.8 мас.%, в дунитах Нижнетагильского массива – 0.5–2.8 мас.%.
На спайдер-диаграмме составы дунитов Брезовицы характеризуются U-образными спектрами РЗЭ при их крайне низких содержаниях, интенсивными положительными аномалиями Pb и U, повышенными относительно La содержаниями Rb, Ba и Th, слабой отрицательной аномалией Nb и слабыми положительными аномалиями Ti и Sr (рис. 1). При этом спектры всех исследованных образцов субпараллельны, а абсолютные содержания сильнонесовместимых элементов различаются не более чем в 2–3 раза.
Измеренные нами содержания несовместимых редких и редкоземельных элементов в дунитах Нижнетагильского массива в целом близки к их содержаниям, определенным предшествовавшими исследователями (рис. 2), хорошее соответствие с нашими результатами обнаруживают данные из работы (Tessalina et al., 2015). Все основные геохимические черты, свойственные дунитам массива Брезовица, в целом проявлены и в составах дунитов Нижнетагильского массива; заметные отличия проявляются лишь в разной степени обогащенности дунитов (по величине La/Sm) и относительной величине отдельных геохимических аномалий. В частности, положительная аномалия Ti проявлена более отчетливо, а положительные аномалии U и Sr – менее отчетливо, чем в дунитах Брезовицы. Как и в случае дунитов Брезовицы, спектры всех исследованных образцов субпараллельны, и содержания сильнонесовместимых элементов в разных образцах различаются не более чем в 2–3 раза.
Это наблюдение позволяет предполагать изохимичное поведение при серпентинизации исследованных дунитов обоих комплексов не только для РЗЭ, Th, Nb и Ti, которые считаются наименее подвижными при метаморфизме пород, но и для таких элементов, как Rb, Ba, U и Sr. Кроме того, можно ожидать, что содержания захваченного расплава в дунитах для каждого из рассмотренных объектов будут различаться не более чем в 2–3 раза.
РЕЗУЛЬТАТЫ ОЦЕНКИ КОЛИЧЕСТВА И СОСТАВА ЗАХВАЧЕННОГО ДУНИТАМИ РАСПЛАВА
Содержание захваченного расплава в дунитах массива Брезовица, оцененное по балансу Al, для трех исследованных образцов варьирует от 1.3 до 2.1 мас.%, составляя в среднем 1.7±0.4 мас.%. Для одного из исследованных образцов (BR-11), в котором установлены необычно высокие вариации хромистости между разными зернами хромшпинелидов, при расчете с использованием состава высокохромистой генерации хром-шпинелида (Cr# 0.863) получено содержание захваченного расплава 2.0 мас.%, а при расчете с использованием состава низкохромистой генерации (Cr# 0.783) – 0.0 мас.%. Очевидно, истинное содержание находится где-то между этими значениями; для оценки состава захваченного расплава в этом образце было принято его содержание 1.0 мас.%. Содержание захваченного расплава в дунитах, оцененное по балансу Ti (по данным XRF), варьирует от 0.7 до 1.9 мас.%, составляя в среднем 1.3±0.5 мас.%.
Содержание захваченного расплава в дунитах Нижнетагильского массива, оцененное по балансу Al, варьирует от 0.2 до 2.1 мас.%, составляя в среднем 1.2±1.1 мас.%. Это же содержание, оцененное по балансу Ti (по данным XRF), варьирует от 0.7 до 1.3 мас.%, составляя в среднем 0.8±1.3 мас.%.
Таким образом, расчеты по балансу Al и по балансу Ti (XRF) дают примерно одинаковый уровень содержаний захваченного расплава для дунитов обоих массивов, близкий к 1.5 мас.% для дунитов Брезовицы и близкий к 1 мас.% для дунитов Нижнетагильского массива. Содержания титана в валовых составах пород, определенные методом ICP-MS, являются систематически заниженными по сравнению с содержаниями, определенными методом XRF. Соответственно, рассчитанные содержания захваченного расплава при расчете баланса Ti (по данным ICP-MS) также оказываются систематически заниженными. Это представляется артефактом, возможные причины которого обсуждаются ниже.
Рассчитанные по уравнениям (8) и (10) содержания Al2O3 и TiO2 в расплавах, захваченных дунитами массива Брезовица, составляют 8.4–12.0 мас.% и 0.33–0.60 мас.% соответственно, а в расплавах, захваченных дунитами Нижнетагильского массива, – 10.0–10.5 мас.% и 0.37–0.54 мас.% соответственно.
При расчете содержаний редких и редкоземельных элементов в захваченных расплавах мы использовали результаты расчетов по балансу Al, при этом для дунитов Нижнетагильского массива использовали его среднее содержание, что в данном случае приводит к меньшему разбросу оцененных составов захваченных расплавов.
Рассчитанные составы расплавов, захваченных дунитами массива Брезовица, приведены в табл. 3 и сопоставлены со средним составом бонинита (рис. 3). Оцененные составы расплавов, захваченных дунитами Нижнетагильского массива, приведены в табл. 3. Эти составы сопоставлены с составами частично гомогенизированных расплавных включений в хромшпинелидах дунитов этого массива (Симонов и др., 2016), с составами расплавов, рассчитанных по геохимии клинопироксена из дунитов (Krause et al., 2007) и оливиновых клинопироксенитов (Перцев, Савельева, 2005), а также с представительным составом субщелочного островодужного пикрита (Milidragovic et al., 2016) (рис. 4). Для унификации результатов приведенные составы расплавов, оцененные по составам клинопироксенов из пород Нижнетагильского массива, были пересчитаны по данным цитированных работ с использованием коэффициентов клинопироксен-расплав, скомпилированных по экспериментальным данным (Соболев и др., 1996; Adam, Green, 2006; Laubier et al., 2014). Представляется, что величины этих коэффициентов, приведенные в табл. 1, приложимы к относительно низкоглиноземистым клинопироксенам (с содержаниями Al2O3 менее 2.5 мас.%), которые наиболее типичны для дунитов и непосредственно ассоциирующих с ними пород.
Рис. 3. Рассчитанные содержания несовместимых элементов в расплавах, захваченных дунитами массива Брезовица (1), в сопоставлении со средним составом бонинита (2) по данным (Kelemen et al., 2003).
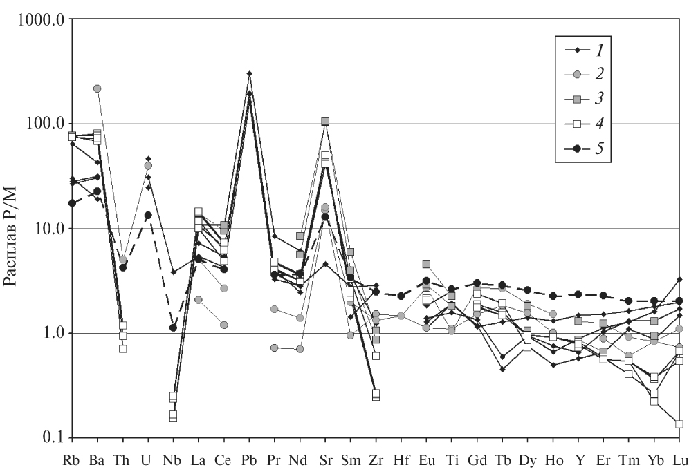
Рис. 4. Рассчитанные содержания несовместимых элементов в расплавах, захваченных дунитами Нижнетагильского массива (1). Для сопоставления приведены составы расплавов, рассчитанных по геохимии клинопироксена из дунитов этого массива (2) по данным из работы (Krause et al., 2007), по геохимии клинопироксена из оливиновых клинопироксенитов этого массива (3) по данным работы (Перцев, Савельева, 2005), составы частично гомогенизированных расплавных включений из хромшпинелидов дунитов Нижнетагильского массива (4) по данным из работы (Симонов и др., 2016), а также представительный состав субщелочного островодужного пикрита (5) по данным работы (Milidragovicet al., 2016).
ОБСУЖДЕНИЕ РЕЗУЛЬТАТОВ
Погрешности определения количества захваченного расплава
Погрешность расчета содержания захваченного расплава в дунитах по балансу Al, как следует из уравнения (8), зависит от погрешности определения нескольких параметров, но основной ее составляющей, очевидно, является погрешность определения содержания Al2O3 в валовых составах дунитов. Эта погрешность, оцененная по воспроизводимости повторных измерений валовых составов дунитов после калибровки по внутренним и внешним стандартам в ГЕОХИ РАН, составляет около 0.04% Al2O3 (1σ, по 42 образцам). Обусловленная этим погрешность расчета содержания захваченного расплава в дунитах составляет ±0.3 мас.% при оценке по балансу Al (для средних составов расплавов c 12.7 мас.% Al2O3). В случае наиболее низкоглиноземистых расплавов, как в рассмотренных выше примерах, эта погрешность несколько выше и составляет ±0.5 мас.%.
Вариации хромистости шпинелидов в пределах образца для дунитов обычно невелики (охарактеризованный выше образец BR-11 является редким исключением), тем не менее наиболее надежными следует считать оценки содержания захваченного расплава, сделанные для дунитов с наиболее низкими модальными содержаниями хромшпинелида (и, соответственно, с наиболее низкими содержаниями Cr в валовых составах дунитов, согласно уравнению 8).
При определении содержания TiO2 в валовых составах дунитов методом XRFаналитическая погрешность составляет несколько менее чем 0.002 мас.% (1σ, по 30 образцам), что соответствует погрешности расчета содержания захваченного расплава в дунитах ±0.4 мас.% при оценке по балансу Ti (для средних составов расплавов c 0.5 мас.% TiO2). Однако в случае наиболее низкотитанистых расплавов эта погрешность существенно выше – до 2.5 мас.%. Поэтому для образцов с низким содержанием TiO2 (<0.20 мас.%) в равновесном расплаве расчет количества захваченного расплава по балансу Tiнеинформативен.
Однако при расчете содержания захваченного расплава по балансу Ti, согласно выражению (11), существенную роль играет также величина коэффициента распределения титана между оливином и расплавом. Использованная нами величина этого коэффициента (табл. 1) представляется оптимальной и реалистичной, по крайней мере для исследованных дунитов. В то же время значения этого коэффициента по данным экспериментальных работ существенно варьируют, обнаруживая тенденцию к увеличению с понижением температуры (Bédard, 2005). Как отмечалось выше, температура захвата дунитами расплава обычно не может быть строго оценена, и не исключено, что для дунитов других типов оптимальная величина этого коэффициента может быть иной.
Отмеченная выше систематическая разница в валовых содержаниях Ti, определенных разными методами, по-видимому, обусловлена методическими проблемами. При разложении проб в открытой системе при анализе методом ICP-MS в них может оставаться осадок, представляющий собой, по-видимому, недорастворенный хромшпинелид. Присутствие этого осадка не влияет на результаты определения содержания несовместимых элементов в составах дунитов (Parkinson, Pearce, 1998), за исключением титана, который является единственным несовместимым элементом, для которого вклад хром-шпинелида в валовый состав дунитов является ощутимым (рис. 5). Это позволяет рассматривать валовые содержания TiO2 в дунитах, определенные методом XRF, как более надежные (хотя и менее прецизионные), чем содержания, определенные методом ICP-MS.
Рис. 5. Относительный вклад оливина, хромшпинелида и захваченного расплава (TM) в содержания несовместимых элементов в валовом составе типичного дунита на примере обр.BR-12 (содержание захваченного расплава 1,3 мас.%, содержание хром-шпинелида 0,9 мас.%). При расчете использованы величины коэффициентов минерал-расплав, приведенные в табл. 1, а также рассчитанные по приведенным в тексте уравнениям.
В целом, сделанные для дунитов из обоих рассмотренных массивов оценки содержаний захваченного расплава и их вариации находятся в рамках охарактеризованных выше погрешностей, а из приведенного выше обсуждения ясно, почему мы рассматриваем оценки, произведенные по балансу Al, как предпочтительные. Средние содержания захваченного расплава в рассмотренных выше офиолитовых дунитах и дунитах концентрически-зонального комплекса (1.0–1.5 мас.%) практически совпадают со средними оценками содержаний захваченного расплава в кумулятивных дунитах из расслоенного Пекульнейского комплекса (Чукотка), полученными по той же методике (Bazylev et al., 2017). Это позволяет рассматривать данный уровень содержаний захваченного расплава как характерный для дунитов разных типов.
Погрешности определения состава захваченного расплава
Эти погрешности определяются видом уравнения (3), величиной коэффициентов распределения и количеством захваченного расплава. При типичном уровне содержаний захваченного расплава и хромшпинелида в дунитах (рис. 5) погрешность определения содержания захваченного расплава ±0.5 мас.% приводит к систематическому завышению или занижению расчетных содержаний наиболее несовместимых элементов в расплаве (Rb-Tb) на 30–50 отн. %, но соотношение содержаний этих элементов в расчетном захваченном расплаве остается неизменным. Соответствующее завышение или занижение содержаний для Dy составляет 25–40 отн. %, для Ho, Er и Y – 20–30 отн. %, для Ti и Tm – 20 отн. %, для Yb и Lu – 15 отн. %. Изменение величины коэффициента распределения оливин-расплав на 50 отн. % приводит к существенным погрешностям лишь для расчетных содержаний тяжелых РЗЭ в расплаве (±25 отн. % для Yb и Lu, ±20 отн. % для Tm, ±15 отн. % для Ho, Y и Er, ±10 отн. % для Dy и Ti), для более несовместимых элементов она составляет менее 10 отн. %. Поскольку эти погрешности имеют систематический характер, они практически не влияют на форму спектров несовместимых элементов рассчитанных составов захваченных расплавов. Погрешность определения содержаний несовместимых элементов в валовых составах дунитов имеет несистематический характер (табл. 1) и автоматически переносится на погрешность расчета содержаний этих элементов в захваченных расплавах. В целом, величина оцененных погрешностей позволяет заключить, что форма спектров несовместимых элементов в рассчитанных расплавах воспроизводит их реальную форму. Однако для уменьшения неопределенности в уровне содержаний сильнонесовместимых элементов в расчетных расплавах, связанной с погрешностью определения их содержаний, целесообразно исследовать несколько образцов дунитов из одного объекта (не менее 3–4): в этом случае для среднего состава оцененного расплава погрешности минимизируются.
Сопоставление оценок составов, захваченных дунитами расплавов, с природными расплавами и с оценками, сделанными разными методами
Оцененные содержания Al2O3 и TiO2 в расплавах, захваченных дунитами массива Брезовица (8.4–12.0 мас.% и 0.33–0.60 мас.% соответственно), сопоставимы с содержаниями этих элементов в расплавах бонинитового типа. Редкоэлементные спектры рассчитанных расплавов также отвечают составам бонинитов как по уровню содержаний несовместимых элементов, так и по форме спектров, а также по проявлениям и интенсивности аномалий отдельных элементов (рис. 3). Соответствие рассчитанных расплавов природным в данном случае не позволяет предполагать изменения содержаний приведенных элементов в породах при их серпентинизации (за возможным исключением Pb, для которого рассчитанное содержание в расплавах на порядок превышает его реальное содержание в бонинитах). Это соответствие является весомым аргументом в пользу того, что содержания захваченного расплава в дунитах оценены достаточно достоверно.
Оцененные нами содержания глинозема в расплавах, захваченных дунитами Нижнетагильского массива (10.0–10.5 мас.%), близки к содержаниям глинозема в субщелочных пикритах и пикрито-базальтах (8.2–9.9 мас.% по данным Batanova et al., 2005; Milidragovic et al., 2016), но существенно выше содержаний глинозема в стеклах частично гомогенизированных расплавных включений в хромшпинелидах из дунитов этого массива, составляющих 6.2–9.3 мас.% (Симонов и др., 2016). Возможной причиной этого расхождения является присутствие в проанализированных включениях мелких зерен закалочных хромшпинелидов относительно глиноземистого состава (Симонов и др., 2016), выпадение которых из расплава могло привести к существенному понижению содержания в нем глинозема.
Оцененные содержания титана в расплавах из дунитов этого массива (0.37–0.54 мас.% TiO2) также превышают их содержания в упомянутых выше стеклах (0.15–0.40 мас.%), однако соответствуют содержаниям, оцененным по составам клинопироксенов из дунитов и оливиновых пироксенитов этого массива (0.24–0.50 мас.%), и обычным содержаниям титана в субщелочных пикритобазальтах (0.29–0.57 мас.%).
Рассчитанные нами составы расплавов, захваченных дунитами Нижнетагильского массива (рис. 4), удовлетворительно соответствуют составам расплавных включений в хромшпинелиде этих дунитов по содержаниям Rb, Ba, легких и средних РЗЭ, хотя значительно различаются по содержаниям Nb, Zr, Sr и тяжелых РЗЭ. При этом содержания Th, Zr и тяжелых РЗЭ, измеренные в частично гомогенизированных расплавных включениях, существенно занижены также и по сравнению с их содержаниями в расплавах, составы которых оценены по геохимии клинопироксенов. Возможно, это связано с методическими или аналитическими проблемами определения состава гомогенизированных расплавных включений в хромшпинелидах.
Составы расплавов, рассчитанные традиционным методом по геохимии клинопироксенов, обнаруживают хорошее соответствие с нашими оценками по содержаниям средних РЗЭ, удовлетворительное – по содержаниям Sr и Ba, но при этом имеют сильный разброс по содержаниям легких РЗЭ. Наибольшее отличие демонстрируют составы расплавов, рассчитанных по геохимии акцессорного клинопироксена из дунитов. Возможно, это обусловлено тем, что зерна клинопироксенов в дунитах из-за их незначительного количества и обычно мелкого размера более подвержены изменению состава при субсолидусной перекристаллизации пород. Существенно, что содержания элементов, более несовместимых, чем La, в клинопироксенах обычно ниже предела обнаружения. Это крайне ограничивает возможности определения содержаний этих элементов в равновесных расплавах по геохимии клинопироксенов.
В целом, по характеру спектров оцененные нами составы расплавов, захваченных дунитами Нижнетагильского массива, близки к составу субщелочных пикритов или пикритобазальтов, которые предполагались в качестве возможного родоначального расплава для пород концентрически-зональных комплексов (Batanova et al., 2005), в том числе и для Нижнетагильского массива (Симонов и др., 2016), хотя и отличаются от использованного для сравнения состава пикрита более высокими содержаниями Rb, Ba, U, легких РЗЭ и более низкими содержаниями тяжелых РЗЭ.
ВЫВОДЫ
- Разработанная методика позволяет количественно оценивать содержание захваченного расплава в дунитах различных типов и состав этого расплава по данным петрохимии и геохимии дунитов и составам их хромшпинелидов. По точности оценки состава расплава данная методика превосходит традиционную (основанную на использовании данных по геохимии клинопироксена и коэффициентам распределения клинопироксен-расплав) в отношении содержаний в расплавах легких РЗЭ и более несовместимых элементов (Rb, Ва, Th, U, Nb), сопоставима с ней в отношении содержаний средних РЗЭ, но уступает ей в отношении содержаний тяжелых РЗЭ и Sr.
- Оцененные средние содержания захваченных расплавов в дунитах различных типов (из офиолитового и концентрически-зонального комплекса) составляют 1–1.5 мас.% и, по-видимому, являются типичными для дунитов разных типов, в том числе и кумулятивных дунитов расслоенных комплексов. Эти оценки на порядок превышают предполагавшиеся ранее (Sundberg et al., 2010).
- Установленное соответствие рассчитанных составов захваченных дунитами расплавов реальным природным расплавам (в исследованных объектах – бонинитовому и субщелочному пикритовому) свидетельствует о том, что оцененные содержания захваченного расплава в дунитах близки к реальным. Это соответствие также позволяет полагать, что использованные в расчетах величины коэффициентов распределения минерал-расплав пригодны для рассмотренных объектов, а предложенная методика в принципе применима к серпентинизированным дунитам, в том числе и к аподунитовым серпентинитам.
Благодарности
Авторы благодарны Е.В. Пушкареву за проведение геологической экскурсии по Нижнетагильскому массиву, в ходе которой были отобраны исследованные образцы. Авторы глубоко признательны двум анонимным рецензентам за полезные замечания.
Источник финансирования
Исследование поддержано грантом РФФИ 15-05-04543, сотрудники институтов РАН обеспечены базовым финансированием.
About the authors
B. A. Bazylev
V.I. Vernadsky Institute of Geochemistry and Analytical Chemistry RAS
Author for correspondence.
Email: bazylev@geokhi.ru
Russian Federation, 19 Kosygina str., Moscow
G. V. Ledneva
Geological Institute, Russian Academy of Sciences
Email: ledneva@ilran.ru
Russian Federation, 7 Pyzhevsky per., Moscow
Ya. V. Bychkova
Faculty of Geology, Lomonosov Moscow State University
Email: yanab66@yandex.ru
Russian Federation, GSP-1 Leninskie Gory, Moscow
N. N. Kononkova
V.I. Vernadsky Institute of Geochemistry and Analytical Chemistry RAS
Email: nnzond@geokhi.ru
Russian Federation, 19 Kosygina str., Moscow
T. G. Kuz’mina
V.I. Vernadsky Institute of Geochemistry and Analytical Chemistry RAS
Email: nnzond@geokhi.ru
Russian Federation, 19 Kosygina str., Moscow
T. V. Romashova
V.I. Vernadsky Institute of Geochemistry and Analytical Chemistry RAS
Email: nnzond@geokhi.ru
Russian Federation, 19 Kosygina str., Moscow
References
- Базылев Б.А. (1995) Составы клинопироксена и шпинелида реститовых гипербазитов как индикаторы условий генерации и состава сопряженных первичных мантийных магм. Геохимия (7), 915–924.
- Bazylev B.A. (1996) Compositions of clinopyroxene and spinel in restite hyperbasites as indicators of the generation conditions and compositions of coupled primary mantle magmas. Geochem. Int. 33(3), 115–124.
- Перцев А.Н., Савельева Г.Н. (2005) Первичные магмы Уральских ультрамафитовых комплексов Аляскинского типа: геохимические ограничения по составу минералов. Геохимия (5), 503–518.
- Pertsev A.N., Savel’eva G.N. (2005) Primary magmas of Uralian-Alaskan-type ultramafic complexes: Geochemical constraints deduced from mineral compositions. Geochem. Int. 43(5), 456–470.
- Пилюгин А.Г., Таловина И.В., Дурягина А.М., Никифорова В.С. (2015) Геохимические особенности платиноносных дунитов Светлоборского и Нижнетагильского массивов платиноносного пояса Урала. Записки Горного института 212, 50–61.
- Симонов В.А., Пучков В.Н., Приходько В.С., Ступаков С.И., Котляров А.В., Карманов Н.С., Степанов А.С. (2016) Физико-химические условия кристаллизации дунитов Нижнетагильского платиноносного массива (Средний Урал). Геология и геофизика 57(6), 1106–1134.
- Соболев А.В., Мигдисов А.А., Портнягин М.В. (1996) Распределение примесных элементов между клинопироксеном и базальтовым расплавом по данным исследования расплавных включений в минералах массива Троодос, о-в Кипр. Петрология 4(3), 326–336
- Шмелев В.Р., Пушкарев Е.В., Аникина Е.В. (2010) Нижнетагильский дунит-клинопироксенитовый массив и его платиновые месторождения. Путеводитель геологических экскурсий к XI Всероссийскому петрографическому совещанию. Екатеринбург: Изд-во ИГиГ УрО РАН, 38–58.
- Шмелев В.Р., Филиппова С.С. (2010) Структура и механизм формирования Нижнетагильского дунит-клинопироксенитового массива (Средний Урал). Геотектоника, (4), 65–86.
- Adam J., Green T. (2006) Trace element partitioning between mica- and amphibole-bearing garnet lherzolite and hydrous basanitic melt: 1. Experimental results and the investigation of controls on partitioning behavior. Contrib. Mineral. Petrol. 152(1), 1–17.
- Anikina E.V., Malitch K.N., Pushkarev E.V., Shmelev V.R. (2014) The Nizhny Tagil and Volkovsky Massifs of the Uralian Platinum Belt, and related deposits. Field trip guidebook. 12th International platinum symposium. Yekaterinburg: IGG UB RAS, 48 p.
- Batanova V.G., Pertsev A.N., Kamenetsky V.S., Ariskin A.A., Mochalov A.G., Sobolev A.V. (2005) Crustal evolution of island-arc ultramafic magma: Galmoenan pyroxenite–dunite plutonic complex, Koryak Highland (Far East Russia). J. Petrol. 46(7), 1345–1366.
- Bazylev B.A., Karamata S., Zakariadze G.S. (2003) Petrology and evolution of the Brezovica ultramafic massif, Serbia. In Ophiolites in Earth History (Eds. Dilek Y., Robinson P.T.) Geol. Soc. London Spec. Publ. 218, 91–108.
- Bazylev B.A., Ledneva G.V., Bychkova Ya.V. (2017) Assessment of a trapped melt composition in dunite by rock geochemistry: a methodic and examples. In Magmatism of the Earth and related strategic mineral deposits. Proceedings of XXXIV International Conference (Eds. Zaitsev V.A., Ermolaeva V.N.) Moscow: GEOKHI RAS, 32–35.
- Beattie P. (1994) Systematics and energetics of trace-element partitioning between olivine and silicate melts: Implications for the nature of mineral/melt partitioning. Chem. Geol. 117(1–4), 57–71.
- Bédard J.H. (1994) A procedure for calculating the equilibrium distribution of trace elements among the minerals of cumulate rocks, and the concentration of trace elements in the coexisting liquids. Chem. Geol. 118(1–4), 143–153.
- Bédard J.H. (2005) Partitioning coefficients between olivine and silicate melts. Lithos 83(3-4), 394–419.
- DeHoog J.C.M., Gall L., Cornell D.H. (2010) Trace-element geochemistry of mantle olivine and application to mantle petrogenesis and geothermobarometry. Chem. Geol. 270(1–4), 196–215.
- Evans T.M., O’Neill H.St.C., Tuff J. (2008) The influence of melt composition on the partitioning of REEs, Y, Sc, Zr and Al between forsterite and melt in the system CMAS. Geochim. Cosmochim. Acta 72(23), 5708–5721.
- Horn I., Foley S.F., Jackson S.E., Jenner G.A. (1994) Experimentally determined partitioning of high field strength- and selected transition elements between spinel and basaltic melt. Chem. Geol. 117(1–4), 193–218.
- Imai T., Takahashi E., Suzuki T., Hirata T. (2012) Element partitioning between olivine and melt up to 10 GPa: Implications for the effect of pressure. Physics of the Earth and Planetary Interiors 212-213, 64–75.
- Jarosewich E.J., Nelen J.A., Norberg J.A. (1980) Reference samples for electron microprobe analysis. Geostandards Newsletter 4(1), 43–47.
- Jochum K.P., Weis U., Schwager B., Stoll B., Wilson S.A., Haug G.H., Andreae M.O., Enzweiler J. (2016) Reference values following ISO guidelines for frequently requested rock reference materials. Geostandards and Geoanalytical Research 40(3), 333–350.
- Kamenetsky V.S., Crawford A.J., Meffre S. (2001) Factors controlling chemistry of magmatic spinel: an empirical study of associated olivine, Cr-spinel and melt inclusions from primitive rocks. J. Petrol. 42(4), 655–671.
- Kelemen P.B., Shimizu N., Salters V.J.M. (1995). Extraction of mid-ocean-ridge basalt from the upwelling mantle by focused flow of melt in dunite channels. Nature 375(-), 747–753.
- Kelemen P.B., Hanghøj K., Greene A.R. (2003) One view of the geochemistry of subduction-related magmatic arcs, with an emphasis on primitive andesite and lower crust. In Treatise on geochemistry. (Eds. Rudnick R.L., Ex.Eds. Holland H.D., Turekian. K.K.) Elsevier, 3, 593–659.
- Krause J., Brügmann G.E., Pushkarev E.V. (2007) Accessory and rock forming minerals monitoring the evolution of zoned mafic-ultramafic complexes in the Central Ural Mountains. Lithos 95(1–2), 19–42.
- Laubier M., Grove T.L., Langmuir C.H. (2014) Trace element mineral/melt partitioning for basaltic and basaltic andesitic melts: An experimental and laser ICP-MS study with application to the oxidation state of mantle source regions. Earth Planet. Sci. Lett. 392, 265–278.
- Mallmann G., O’Neill H.St.C. (2009) The crystal/melt partitioning of V during mantle melting as a function of oxygen fugacity compared with some other elements (Al, P, Ca, Sc, Ti, Cr, Fe, Ga, Y, Zr and Nb). J. Petrol. 50(9), 1765–1794.
- Mallmann G., O’Neill H.St.C. (2013) Calibration of an empirical thermometer and oxybarometer based on the partitioning of Sc, Y and V between olivine and silicate melt. J. Petrol. 54(5), 933–949.
- Milidragovic D., Chapman J.B., Bichlmaier S., Canil D., Zagorevski A. (2016) H2O-driven generation of picritic melts in the Middle to Late Triassic Stuhini arc of the Stikine terrane, British Columbia, Canada H2O-driven generation of picritic melts in the Middle to Late Triassic Stuhini arc of the Stikine terrane, British Columbia, Canada. Earth Planet. Sci. Lett. 454, 65–77.
- Nielsen R.L., Beard J.B. (2000) Magnetite–melt HFSE partitioning. Chem. Geol. 164(1–2), 21–34.
- Parkinson I.J., Pearce J.A. (1998) Peridotites from the Izu–Bonin–Mariana Forearc (ODP Leg 125): evidence for mantle melting and melt–mantle interaction in a supra-subduction zone setting. J. Petrol. 39(9), 1577–1618.
- Rollinson H. (2008) The geochemistry of mantle chromitites from the northern part of the Oman ophiolite: inferred parental melt compositions. Contrib. Mineral. Petrol. 156(3), 273–288.
- Rollinson H., Adetunji J. (2015) The geochemistry and oxidation state of podiform chromites from the mantle section of the Oman ophiolite: A review. Gondwana Research 27(2), 543–554.
- Salters V.J.M., Longhi J.E., Bizimis M. (2002) Near mantle solidus trace element partitioning at pressures up to 3.4 GPa. Geochem. Geophys. Geosyst. 3(6), 10.1029/2001GC000148.
- Sun S.S., McDonough W.F. (1989) Chemical and isotopic systematics of oceanic basalts: Implication for mantle composition and processes. In Magmatism in the Oceanic Basins (Eds. Saunders A.D., Norry M.J.) Geol. Soc. Spec. Publ.42, 313–345.
- Sundberg M., Hirth G., Kelemen P.B. (2010) Trapped melt in the Josephine peridotite: implications for permeability and melt extraction in the upper mantle. J. Petrol. 51(1–2), 185–200.
- Tessalina S.G., Malitch K.N., Augé T., Puchkov V.N., Belousova E., McInnes B.I.A. (2015) Origin of the Nizhny Tagil clinopyroxenite-dunite massif, Uralian platinum belt, Russia: Insights from PGE and Os isotope systematics. J. Petrol.56(12), 2297–2318.
- Tian W., Chen B., Ireland T.R., Green D.H., Suzuki K., Chu Z. (2011) Petrology and geochemistry of dunites, chromitites and mineral inclusions from the Gaositai Alaskan-type complex, North China Craton: Implications for mantle source characteristics. Lithos 127(1–2), 165–175.
- Wijbrans C.H., Klemme S., Berndt J., Vollmer C. (2015) Experimental determination of trace element partition coefficients between spinel and silicate melt: the influence of chemical composition and oxygen fugacity. Contrib.Mineral. Petrol. 169:45.
- Zanetti A., Tiepolo M., Oberti R., Vannucci R. (2004). Trace-element partitioning in olivine: modelling of a complete data set from a synthetic hydrous basanite melt. Lithos 75(1–2), 39–54.
Supplementary files







