Effect of thermal state on the chemical composition of the mantle and the sizes of the moon’s core
- Authors: Kuskov O.L.1, Kronrod E.V.1, Kronrod V.A.1
-
Affiliations:
- Vernadsky institute of geochemistry and analytical chemistry, Russian academy of sciences
- Issue: Vol 64, No 6 (2019)
- Pages: 567-584
- Section: Articles
- URL: https://journals.eco-vector.com/0016-7525/article/view/14344
- DOI: https://doi.org/10.31857/S0016-7525646567-584
- ID: 14344
Cite item
Full Text
Abstract
Based on the joint inversion of seismic and gravity data in combination with the Gibbs free energy minimization method for calculating phase equilibria in the framework of the Na2O-TiO2-CaO-FeO-MgO-Al2O3-SiO2 system, the influence of the thermal state on the chemical composition models of the mantle and the sizes of the Fe-S core of the Moon has been studied. The boundary conditions used are seismic models from Apollo experiments, mass and moment of inertia from the GRAIL mission. As a result of solving the inverse problem, constraints on the chemical composition (concentration of rock-forming oxides) and the mineralogy of a three-layer mantle are obtained. It is shown that regardless of the temperature distribution, the FeO content of 11–14 wt.% and magnesian number MG# 80–83 are approximately the same in the upper, middle and lower mantle of the Moon, but differ sharply from that for the bulk composition of the silicate Earth (Bulk Silicate Earth = BSE, FeO ~8 wt% and MG# 89). On the contrary, estimates of the Al2O3 content in the mantle rather noticeably depend on the temperature distribution. For the considered scenarios of the thermal state with a difference in temperature of 100–200°C at different depths, Al2O3 concentrations increase from 1–5% in the upper and middle mantles to 4–7 wt.% in the lower mantle with garnet amounts up to 20 wt.%. For the “cold” models, the bulk abundance of aluminum oxide in the Moon
is Al2O3 ~1–1.2 × BSE, and for the “hot” models it can be in the range of 1.3–1.7 × BSE. Concentrations of SiO2 to a lesser extent depend on the temperature distribution and constitute 50–55% in the upper and 45–50 wt.% in the lower mantle; orthopyroxene, rather than olivine, is the dominant mineral of the upper mantle. Based on the modeling of the density of Fe-S melts at high Р-Т parameters, the sizes of the lunar core are estimated. The Fe-S core radii with an average density of 7.1 g/cm3 and a sulfur content of 3.5–6 wt.% are in the range of 50–350 km with a most likely value of about 300 km and rather weakly depend on the thermal regime of the Moon. The simulation results suggest that a lunar mantle is stratified by chemical composition and indicate significant differences in the compositions of the Earth and its satellite.
Keywords
Full Text
ВВЕДЕНИЕ
Система Земля – Луна занимает особое место среди тел Солнечной системы. Ее происхождение – одна из фундаментальных проблем естествознания, а проблема образования Луны играет особую роль в современных сценариях формирования спутников Солнечной системы (Рускол, 1975; Левин, Маева, 1975; Галимов, 2008; 2011; Galimov, Krivtsov, 2012; Hartmann, 2014; Discussion Meeting Issue, 2014; Meier et al., 2014; Barr, 2016). Исследование внутреннего строения Луны, выявление сходства и/или различия химического состава силикатной оболочки Земли (Bulk Silicate Earth, BSE) и ее спутника (Bulk Silicate Moon, BSM) является ключевой проблемой лунной геохимии и геофизики (Ganapathy, Anders, 1974; Ringwood, 1977; Mueller et al., 1988; Jones, Palme, 2000; Wieczorek et al., 2006; Галимов, 2008; Neal, 2009; Khan et al., 2013; Dauphas et al., 2014; Taylor, Wieczorek, 2014; Sossi, Moynier, 2017).
Петролого-геохимические и изотопные исследования образцов лунного вещества, доставленных американскими экспедициями Apollo и советскими автоматическими станциями “Луна” (Флоренский и др., 1981; Taylor, 1982; Wieczorek et al., 2006; Neal, 2009), а также последующие дистанционные исследования дают прямую информацию о распределении химических элементов, воды и других летучих компонентов, но накладывают слабые ограничения на химический состав и минералогию глубинных пород. Геофизические данные экспериментов Apollo, Lunar Prospector, GRAIL, Kaguya, Chang-E, Chandrayaan по изучению гравитационного и электромагнитного полей позволяют уточнить численные характеристики внутреннего строения и динамической фигуры Луны (безразмерные моменты инерции, коэффициенты упругости, мощность и плотность коры и др.) и оценить размеры частично расплавленного ядра (Hood et al., 1999; Konopliv et al., 2001; Williams et al., 2001, 2014; Garcia et al., 2012; Weber et al., 2011; Shimizu et al., 2013; Matsumoto et al., 2015; Раевский и др., 2015; Matsuyama et al., 2016), но дают лишь косвенную информацию о термальном состоянии и химическом составе мантии и ядра Луны.
Химический состав Луны должен рассматриваться в качестве фундаментального геохимического ограничения при тестировании космогонических моделей ее происхождения. Однако модели валового состава Луны неоднозначны, а отсутствие образцов мантийных пород ограничивает наше понимание состава и химической дифференциации Луны. Основные противоречия связаны с оценкой концентраций тугоплавких оксидов CaО и Al2О3, а также FeO, имеющих ключевую роль в эволюции Луны и влияющих на количество и устойчивость основных минеральных фаз (плагиоклаза, оливина, пироксенов, граната), физические свойства и момент инерции.
Ряд авторов предполагает обогащение силикатной оболочки Луны (относительно земной мантии) тугоплавкими элементами примерно на 50% (Morgan et al., 1978; Taylor, 1982; Kuskov, 1997; Lognonné et al., 2003; Taylor et al., 2006; Галимов, 2008). Другие исследователи на основе корреляционных соотношений Mg/Si, Al/Si, Mg/Al, содержаний U, Th, а также анализа зеленых стекол и лунных метеоритов оценивают концентрации Al2О3 на уровне 4% (Ringwood, 1977; Warren, Rasmussen, 1987; Warren, 2005; Longhi, 2006), т.е. как почти одинаковые в силикатных оболочках Земли и ее спутника. В геохимической литературе часто рассматриваются две предельные модели состава Луны: модель TWM (Taylor Whole Moon model), (Taylor, 1982; Taylor et al., 2006), обогащенная Ca и Al, и модель LPUM (Lunar Primitive Upper Mantle model), (Longhi, 2006), имеющая концентрации тугоплавких оксидов, близкие к земным. Обе модели по содержанию FeO различаются почти в два раза, то есть в отношении распространенности FeO также нет консенсуса (Sossi, Moynier, 2017).
В настоящей работе на основе совместной инверсии сейсмических и гравитационных данных методом Монте-Карло в сочетании с методом минимизации свободной энергии Гиббса исследовано влияние термального состояния на модели химического состава трехслойной мантии в рамках системы Na2O-TiO2-CaO-FeO-MgO-Al2O3-SiO2 (NaTiCFMAS) и размеры ядра Луны в системе Fe-S. Основная задача состоит в обращении геофизических данных в геохимические модели внутреннего строения мантии и ядра Луны. В качестве основных граничных условий использованы сейсмические модели из экспериментов Apollo, масса и момент инерции из данных миссии GRAIL. С этой задачей сопряжено выявление степени химической однородности резервуаров мантии и определение валового состава Луны, что позволит провести сопоставление состава силикатных фракций Луны и Земли и выявить их геохимическое сходство и/или различие.
МОДЕЛЬ
Мы рассматриваем пятислойную модель сферически симметричной Луны, дифференцированной в результате частичного плавления первоначально однородного тела. Модель состоит из анортозитовой коры, трехслойной мантии и железо-сульфидного ядра (Lognonné, 2005; Gagnepain-Beyneix et al., 2006; Weber et al., 2011; Garcia et al., 2012; Khan et al., 2013; Wieczorek et al., 2013; Williams et al., 2014).
В ранних работах толщина коры в местах посадки Apollo 12, 14, 16 оценивалась в интервале 30-75 км (Nakamura, 1983; Lognonné et al., 2003; Wieczorek et al., 2006; Khan et al., 2013). В связи с усовершенствованием методов анализа сейсмической информации Apollo и появлением новых данных GRAIL по гравитационному полю и топографии Луны появились более надежные оценки мощности и плотности коры (Wieczorek et al., 2013), согласно которым средняя толщина лунной коры может варьировать в пределах 34-43 км. Неоднородная по толщине анортозитовая кора заменяется однородной по составу, плотности и мощности сферической оболочкой. По современным представлениям (Shearer et al., 2006; Khan et al., 2013), содержание Al2O3 в материковой коре составляет 25–28 мас.% Al2O3 (около 30% для верхнего и промежуточного слоя и ~20% для самого нижнего слоя мафической коры). Уменьшение толщины коры почти вдвое подразумевает и одновременное уменьшение валового содержания оксида алюминия в Луне, что дает дополнительную аргументацию сторонникам одинаковой распространенности тугоплавких элементов в Луне и Земле (Dauphas et al., 2014; Taylor, Wieczorek, 2014).
Вопрос о степени плавления остается одним из ключевых в отношении термальной и магматической эволюции Луны (Шарков, Богатиков, 2001; Wieczorek et al., 2006; Shearer et al., 2006). Оценки толщины магматического океана (lunar magma ocean, LMO), основанные на физико-химических моделях и геофизической информации, охватывают интервал глубин от верхних 500 км до частичного или полного плавления всей Луны (Snyder et al., 1992; Longhi, 2006; Elardo et al., 2011; Arai, Maruyama, 2017; Charlier et al., 2018). Однако в ряде сейсмических исследований существование глобального разрыва на глубине 500 км поставлено под сомнение (Lognonné et al., 2003; Khan et al., 2007), в то время как имеющиеся данные по недавней тектонической активности Луны не согласуются с глобальным плавлением и предполагают наличие недифференцированной нижней мантии (Watters et al., 2012). Состав исходного LMO и его термальная и композиционная эволюция остаются предметом дискуссии (Elardo et al., 2011; Arai, Maruyama, 2017; Charlier et al., 2018).
На основе современной обработки сейсмической информации (Lognonné, 2005; Gagnepain-Beyneix et al., 2006) глубина солидификации LMO предполагается равной 750 км, ниже которой находится первичная (primordial) мантия, не затронутая процессами частичного плавления. Входные параметры модели Луны приняты следующими: масса (7.3463×1022 кг), средний радиус (1737.15 км) и безразмерный момент инерции (IS=(I/MR2) = 0.393112±0.000012) по (Williams et al., 2014); состав, средняя толщина (Hcr = 39 км) и плотность (ρcr = 2.6 г/см3) коры по (Taylor, 1982; Wieczorek et al., 2013); средняя плотность Fe-S-ядра (ρ = 7.1 г/см3) по (Kuskov, Belashchenko, 2016a,b). Скорости P-, S-волн (VР,S) в мантии приняты по сейсмической модели (Gagnepain-Beyneix et al., 2006), согласно которой мантия состоит из трех зон: верхняя мантия на глубинах 39–240 км, средняя – 240–750 км и нижняя мантия, простирающаяся от 750 км до границы с ядром.
Геохимическая природа геофизических границ не вполне ясна. Фазовый переход шпинель-гранат, имеющий место ниже 200 км и сопровождающийся крайне незначительным скачком скоростей P-, S-волн и плотности (Kuskov, 1997; Kuskov et al., 2014a), не в состоянии объяснить резкие изменения скоростей на глубинах 240–270 км в сейсмических моделях (Nakamura, 1983; Gagnepain-Beyneix et al., 2006). Фазовые переходы на глубинах ниже 500 км не обнаружены (Kuskov, 1997; Khan et al., 2013). По этой причине геофизическую границу на глубине 750 км, на которой скорости упругих волн испытывают скачок (Gagnepain-Beyneix et al., 2006) и с которой может быть связана подошва LMO, вероятно, можно рассматривать как химический раздел, отделяющий первичное вещество нижней мантии от дифференцированных внешних оболочек.
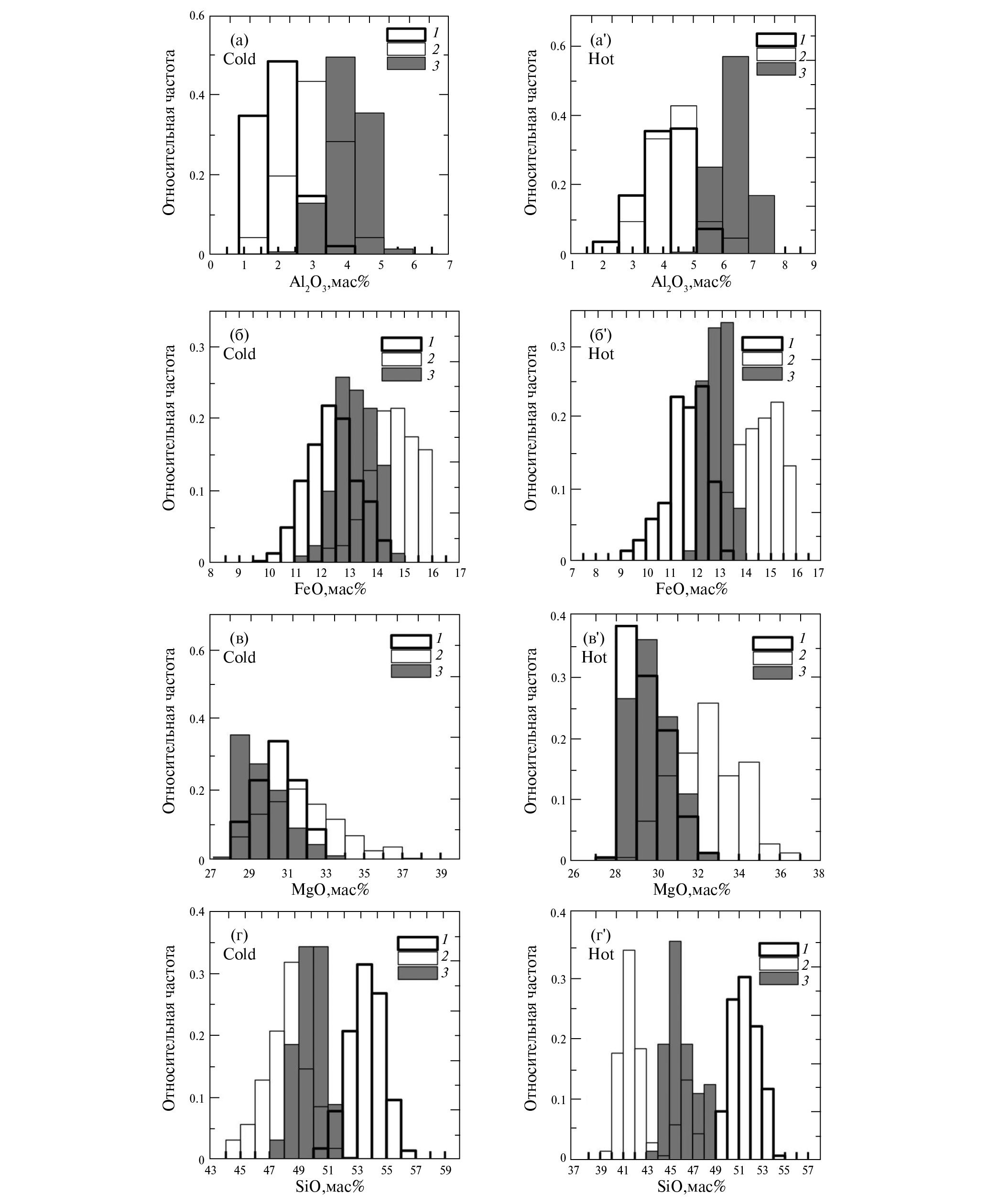
Рис. 1. Распределение температур в мантии Луны, полученных инверсией сейсмических и гравитационных данных. Профили всех селенотерм отвечают условиям возрастания температуры по глубине Ti−1 ≤ Ti ≤ Ti+1. Сплошная линия – профиль температуры по уравнению T(°C) = 351 + 1718{1 – – exp[–0.00082H(км)]} (Kuskov, Kronrod, 2009). Кресты – солидус перидотита (Hirshmann, 2000). Штриховыми линиями показаны профили температур на средних глубинах мантийных резервуаров для «холодной» (T150 = 600°С, T500 = 900°С, T1000 = 1100°С) и “горячей” (T150 = 700°С, T500 = 1100°С, T1000 = 1300°С) моделей Луны.
Минералогия фазовых ассоциаций и их физические свойства (скорости Р-, S-волн, упругие модули и плотность) на данной глубине зависят от распределения температуры в мантии, которое a priori неизвестно. Термальное состояние обычно оценивается по результатам определений теплового потока, распространенности долгоживущих радиоактивных элементов, профилей скоростей Р-, S-волн и численного моделирования внутреннего строения и тепловой истории Луны (Левин, Маева, 1975; Keihm, Langseth, 1977; Warren, Rasmussen, 1987; Khan et al., 2013; Кронрод и др., 2014). На рис. 1 приведены геофизически допустимые интервалы температур в мантии Луны, восстановленные из сейсмических и гравитационных данных (Hood, Jones, 1987; Kuskov, Kronrod, 2009; Lognonné et al., 2003; Gagnepain-Beyneix et al., 2006; Khan et al., 2007). Оценки распределения температуры в мантии до глубин порядка 500 км можно записать в виде уравнения (Kuskov et al., 2014a)
T(±100-150°C) = 374 + 1.17(°C/км)·H(км). (1)
Уравнение (1) получено из сейсмических данных, согласно которым постоянные значения VP,S в однородном слое приводят к постоянному градиенту температуры, который близок к максимальной величине 1.17 град/км, контролирующей отсутствие инверсии плотности (dρ/dH ~0); его значение в два-три раза меньше найденного в работе (Keihm, Langseth, 1977), но на порядок выше адиабатического градиента в лунной мантии, принятого ad hoc в референц-модели VPREMOON (Garcia et al., 2012). Согласно (1), на границе кора-мантия (при средней толщине коры 39 км) температура составляет ~420°C.
По совокупности литературных данных диапазон температур в мантии покрывает область, удовлетворяющую ограничениям (рис. 1)
450 < T150 км < 750°С, 750 < T500 км < 1200°С,
950 < T1000 км < 1400°С (2)
с дальнейшим возрастанием температуры до границы с ядром. Каждая селенотерма дополнительно удовлетворяет условию убывания градиента температуры с глубиной (dT/ dH) i+1 < (dT/ dH) i. Максимальная величина dT/dH при нулевом градиенте плотности монотонно уменьшается от величины ~1.17 град/км по (1) до ~0.5 град/ км при H = 1000 км (Kuskov et al., 2014a). Допуская ошибку до 25–30% в верхней мантии и ~20% в нижней, градиенты температуры на глубинах 150–500 км варьировали в пределах
0.84 < dT/ dH < 1.50 град/км, а на глубинах 500–1000 км – в пределах 0.40 < dT/dH < 0.60 град/км. В результате совокупность селенотерм покрывает всю область температур в мантии Луны.
Из рис. 1 следует, что температуры на глубинах 1000 км должны быть не выше 1400°C, что ниже температуры солидуса пироксенитовой или перидотитовой мантии (Ringwood, Essene, 1970; Hirshmann, 2000). Термальное состояние недр Луны оказывается намного холоднее земных, поскольку даже в холодном Сибирском кратоне Т ~1400-1500°C достигаются уже на глубинах порядка 300 км (Kuskov et al., 2014b). Из обработки гравитационных данных GRAIL предполагается, что на границе мантия-ядро температуры могут достигать или превышать температуру солидуса (Williams et al., 2014). Это связано с малыми размерами спутника, в котором температура нарастает быстрее, чем давление.
ПОСТАНОВКА ЗАДАЧИ, МЕТОД РЕШЕНИЯ, ИСХОДНЫЕ ДАННЫЕ
Реконструкция химического состава мантии и размеров ядра производится на основе совместной инверсии гравитационных и сейсмических данных с учетом масс-балансовых петрологических соотношений для модели, дифференцированной в результате частичного плавления первоначально однородной Луны. В качестве граничных условий используются входные параметры модели Луны, приведенные в предыдущем разделе. При заданных Р-Т условиях минеральный состав и физические свойства пород Луны (плотность, скорости сейсмических волн и др.) полностью характеризуются профилем концентраций всех тех петрогенных элементов, которые образуют самостоятельные фазы. Элементы, присутствующие в малых концентрациях, не рассматриваются. Предполагается, что двухвалентное железо является преобладающей формой железа в мантии Луны, поскольку для восстановительных условий лунных недр фугитивность кислорода близка или ниже буфера IW (Sato et al., 1973; Jones, Palme, 2000; Arai, Maruyama, 2017).
В качестве независимых компонентов приняты оксиды в сухой системе NaTiCFMAS, образующие фазы постоянного и переменного состава: α-β-кварц, коэсит, минералы группы Al2SiO5, плагиоклаз, железо-магнезиальные оливин, шпинель и ильменит – бинарные растворы, гранат (пироп-альмандин-гроссуляр), ортопироксен (5-компонентный раствор – MgSiO3, FeSiO3, Ca0.5Mg0.5SiO3, Ca0.5Fe0.5SiO3, Al2O3) и клинопироксен - те же компоненты плюс жадеитовый минал (Kuskov et al., 2014a,b). Моделирование фазового состава и физических свойств мантии проведено с помощью метода минимизации свободной энергии Гиббса и уравнений состояния минералов в приближении Ми-Грюнайзена-Дебая на основе программного комплекса THERMOSEISM и согласованной базы данных по термодинамическим константам минералов с учетом параметров взаимодействия для моделей твердых растворов (de Capitani, Brown, 1987; Kuskov, 1997; Kuskov et al., 2014c). Скорости P-, S-волн рассчитывались для изотропной фазовой ассоциации; модули сжатия (KS) и сдвига (G) находились по усреднению Фойгта-Реусса-Хилла (Voigt-Reuss-Hill averaging), принятому в теории композитов. Распределение давления определяется по приближенной формуле:
P = Pо{1–[(R–H)/R]2},
где Po ~ 5 ГПа – давление в центре Луны (Garcia et al., 2012), R – средний радиус, H – глубина. Термодинамические данные, погрешности расчетов и процедура решения обратной задачи, основанная на минимизации отклонений рассчитываемых параметров от данных наблюдений, подробно описаны (Kronrod, Kuskov, 2011; Kuskov et al., 2014a,b,c). Расчет упругих свойств ортоэнстатита VP = 8.158 км/с, VP /VS = 1.73 при 5 ГПА / 1500 K на основе комплекса THERMOSEISM показывает отличное согласие с новейшими расчетами из первых принципов, согласно которым VP = 8.16 км/с, VP /VS = 1.716 (Qian et al., 2018).
Условия, характеризующие баланс концентраций для модели дифференциации первоначально однородной по составу Луны на кору, верхнюю и среднюю зоны мантии относительно первичной недифференцированной мантии, записываются следующим образом (Kronrod, Kuskov, 2011):
δС = Cl – [(ρVC)cr + (ρVС)u + (ρVС)m]/[(ρV)cr +
+ (ρV)u + (ρV)m] < δmax (3)
(С = MgO, FeO, Al2O3, CaO, SiO2).
Здесь C, ρ, V – концентрации оксидов (мас. %), плотность, объем. Индексы cr, u, m, l соответствуют коре, верхней, средней и нижней мантии. Величина δC ≤ 0.5% – невязка балансовых уравнений для каждого оксида. Если все δC = 0, то состав первичной нижней мантии, не затронутой процессами магматической дифференциации, должен быть равен современному составу равномерно перемешанных вышележащих оболочек (коры, верхней и средней мантии), образовавшихся в результате дифференциации LMO вплоть до глубины 750 км. Из этого предположения следует, что состав первичной нижней мантии, идентичный составу магматического океана, должен отражать валовый состав силикатной Луны.
Состав, средняя толщина и плотность анортозитовой коры, равно как и средняя плотность Fe-S ядра, фиксированы. Химический состав, минералогия и физические свойства каждой зоны мантии (i = 1, 2, 3) определяются в результате решения обратной задачи в рамках системы NaTiCFMAS. Скачки состава допускаются лишь на геофизических границах. В каждой зоне составы считаются постоянными и равными значениям в некоторых средних точках по разрезу мантии в сочетании с естественным требованием отсутствия инверсии плотности:
dρi /dH = 0, ρi + 1> ρi, dСi /dH=0, (4)
Сi = MgO, FeO, Al2O3, CaO, SiO2, i = 1,2,3.
При моделировании состава Луны рассматривались следующие интервалы концентраций оксидов в верхней, средней и нижней мантии (мас.%), охватывающие набор потенциальных возможных составов из анализа геохимических и геофизических данных (Lognonné et al., 2003; Shearer et al., 2006; Wieczorek et al., 2006; Khan et al., 2007; Kronrod, Kuskov, 2011; Kuskov et al., 2014a; Dauphas et al., 2014):
25 ≤ MgO ≤ 45%, 40 ≤ SiO2 ≤ 55%,
5 ≤ FeO ≤ 15%, 0.1 ≤ CaO, Al2O3 ≤ 7%, (5)
причем концентрации Al2O3 и CaO связаны зависимостью CaO ~0.8Al2O3 (Ringwood, Essene, 1970; Jones, Palme, 2000), а концентрации других оксидов фиксированы на уровне 0.05 мас.% для Na2O и 0.2 мас.% для TiO2 (Snyder et al., 1992; Warren, 2005).
Задача формулируется следующим образом. При заданных условиях термального состояния (рис. 1) требуется найти химический состав (интервалы концентраций оксидов) и физические свойства (скорости P-, S-волн и плотности) стабильных фазовых ассоциаций в трех мантийных резервуарах, а также радиусы Fe-S ядра. Искомые параметры должны удовлетворять балансовым соотношениям на валовый состав Луны (3), значениям VР,S в зональной мантии (Gagnepain-Beyneix et al., 2006), уравнениям сохранения массы и момента инерции Луны (Williams et al., 2014). Для решения задачи используется статистический метод Монте-Карло – выборка по равномерному распределению, характеризующаяся тем, что плотность вероятности на выбранном интервале постоянна (Кронрод, Кусков, 2011). Для получения частотных распределений искомых параметров (один вариант расчета при заданных значениях температуры) требовалось рассчитать порядка 107 – 108 вариантов моделей. Метод позволяет рассмотреть все возможные области решения многопараметричеcкой задачи при наложении сформулированных ограничений и получить полный спектр решений с учетом того, что невязка между расчетными и экспериментально определенными величинами для момента инерции, скоростей P-, S-волн и балансовых уравнений не превышает заданной погрешности; невязка по массе равна нулю. При выполнении всех условий пробная модель Луны считается прошедшей отбор («удачной»), запоминается и идет на построение частотных гистограмм искомых функций (VP, VS, концентраций оксидов) в каждой зоне мантии. Решение существенно зависит от термального состояния Луны, поэтому количество удачных моделей меняется в зависимости от распределения температуры в мантии.
РЕЗУЛЬТАТЫ МОДЕЛИРОВАНИЯ
Для реконструкции термохимической структуры лунных недр интегральную совокупность гравитационных и сейсмических данных необходимо конвертировать в распределения концентраций оксидов по глубине. Для уменьшения числа неизвестных рассмотрим два сценария термального состояния мантии, согласно рис. 1. С учетом того, что погрешность ±0.05 км/с (~1%) в значениях VР,S приводит к ошибке в ±100°С на глубинах до 500 км и ±150–200°С до 1000 км (Kuskov et al., 2014a), рассмотрим две модели при фиксированных температурах на средних глубинах верхней, средней и нижней мантии. Выбранные селенотермы обозначим как «холодную» модель – Т150 = 600°С, Т500 = 900°С,
Т1000 = 1100°С и «горячую» модель – Т150 = 700°С, Т500 = 1100°С, Т1000 = 1300°С (рис. 1). Ограничения по температуре со сдвигом 100–200°С позволяют оценить влияние вариаций температуры на химический состав трехслойной мантии и размеры ядра Луны.
На рис. 2-4 представлены расчеты химического состава минеральных ассоциаций, термодинамически устойчивых в каждой зоне трехслойной мантии Луны, плотность и радиусы Fe-S ядра. Результаты приведены в виде частотных распределений, средние значения которых соответствуют решениям, оптимально удовлетворяющим ограничениям на скорости P-, S-волн в мантии, массу и момент инерции Луны.
Влияние термального состояния на химический состав, минералогию и физические свойства трехслойной мантии Луны
Результаты расчетов по влиянию термального состояния на химический состав трехслойной мантии Луны приведены на рис. 2, ряд особенностей которого заслуживает специального обсуждения. Из результатов решения обратной задачи следует, что мантия Луны стратифицирована по химическому составу с разными концентрациями оксидов в различных зонах мантии. Подразделение мантии на три зоны может оказаться оправданным, несмотря на то, что состав средней мантии на глубинах 240-750 км может частично перекрываться составом верхней и/или нижней мантии. Это связано с тем, что композиционные модели наследуют характерные особенности поведения скоростей P-, S-волн в сейсмической модели (Gagnepain-Beyneix et al., 2006). С другой стороны, если процесс эволюции LMO сопровождался конвективным перемешиванием, то это привело бы к смешению составов верхней и средней мантии, в то время как нижняя примитивная мантия не подвергалась дифференциации. Поэтому мы остановимся в основном на обсуждении композиционных моделей верхней и нижней мантии.
По гистограммам (рис. 2a, а´) видно, что концентрации C(Al2O3) увеличиваются от 1–5% в верхней и средней мантии до 4–7 мас.% в нижней мантии, причем для горячей модели C(Al2O3) во всех трех зонах мантии выше, чем для холодной. Напротив, вне зависимости от температуры содержания FeO ~11–14% (рис. 2б, б´) и MgO ~28–31 мас.% (рис. 2в, в´) достаточно стабильны в верхней и нижней мантии. Средняя мантия, вероятно, имеет несколько более железистый состав (вплоть до ~15 мас.% FeO), что может быть связано со слабым уменьшением скорости S-волн по модели (Gagnepain-Beyneix et al., 2006) и существованием слоя повышенной проводимости на глубинах >200 км (Дайел et al., 1975).
В работах (Jones, Palme, 2000; Taylor et al., 2006) отмечается, что поскольку ограничения на FeO и MG# являются модель-зависимыми в геохимическом отношении, то наименее произвольный путь их определения состоит в использовании комплекса геофизических данных. Наши результаты (рис. 2) подтверждают это заключение. Из обращения гравитационных и сейсмических данных следует, что вне зависимости от теплового режима, концентрации FeO (11–14 мас.%) и значения MG# (80–83) в верхней и нижней мантии Луны находятся в довольно узких пределах, которые резко отличаются от таковых для BSE (FeO ~8% и MG# 89). Напротив, петролого-геохимические и космохимические оценки BSM показывают большой разброс: от 7.6% FeO (Longhi, 2006) до 13–14 мас.% FeO (Morganet al., 1978; Taylor at al., 2006).
Рис. 2. Вероятностные оценки концентраций основных породообразующих оксидов в трехслойной мантии Луны. Состав нижней примитивной мантии соответствуют валовому составу силикатной Луны (мантия + кора = BSM). Расчеты проведены для двух сценариев термального состояния на средних глубинах мантийных резервуаров: холодная модель (cold) и горячая модель (hot); см. подпись к рис. 1. Трехслойная модель мантии: 1 – верхняя (39–240 км), 2 – средняя (240–750 км), 3 – нижняя мантия (750 км – граница ядро-мантия). (а, а´) – Al2O3, (б, б´) – FeO, (в, в´) – MgO, (г, г´) – SiО2.
Результаты практически всех геохимических и геофизических определений по этим критериям (исключение составляют оценки Warren (2005) и Longhi (2006)) свидетельствуют о принципиальном различии химического состава силикатных оболочек Луны и Земли, что отвергает возможность формирования Луны из вещества примитивной мантии Земли, несмотря на совпадение изотопного состава кислорода и ряда других элементов (Галимов и др., 2011; Dauphas et al., 2014). Мантийная величина MG# 80–83 совпадает с рядом геохимических и геофизических оценок (Snyder at al., 1992; Taylor at al., 2006; Khan et al., 2007, 2013; Kuskov, 1997), и несколько больше, чем в сейсмических и электромагнитных моделях Луны MG# 75–80 (Lognonné et al., 2003; Grimm, 2013), но меньше ранее оцененного значения MG# 87 (Warren, 2005), позже пересмотренного до MG# 85 (Dauphas et al., 2014).
Если в материковой лунной коре содержания SiO2 составляют 44–46 мас.% (Taylor, 1982; Khan et al., 2007), то в мантии они варьируют в более широких пределах (рис. 2г, г´). Как для холодных, так и для горячих моделей вероятные концентрации SiO2 ~50–55 мас.% в верхней мантии выше, нежели в средней (42–48 мас.%) и нижней мантии (45–50 мас.%), причем ортопироксен (>70 мол.%), а не оливин является преобладающим минералом верхней мантии Луны. Высокая пироксеновость верхней мантии является геохимическим следствием геофизических моделей (Gagnepain-Beyneix et al., 2006; Williams et al., 2014), используемых при инверсии в соотношения для состава и температуры. Содержание SiO2 в нижней мантии (= BSM) составляет 45–50 мас.% (рис. 2г, г´), что согласуется c геохимическими оценками валовой распространенности SiO2 в Луне и сопоставимо с таковым для земной мантии – 45–47 мас.% SiO2 (McDonough, 1990; O’Neill, Palme, 1998; Dauphas et al., 2014).
Вопрос о сходстве и/или различии химического состава силикатного вещества Луны и Земли до сих пор остается предметом острой дискуссии (Warren, 2005; Taylor et al., 2006; Галимов, 2008; Dauphas et al., 2014; Kuskov et al., 2014a; Sossi, Moynier, 2017). Существуют радикальные противоречия как между геофизическими и геохимическими классами моделей состава Луны, так и внутри обоих классов. Основные из них связаны с оценкой содержания оксида алюминия, которое коррелирует с распространенностью тугоплавких элементов U и Th, что становится критически важным для моделей термической эволюции Луны (Keihm, Langseth, 1977; Warren, Rasmussen, 1987; Taylor et al., 2006; Кронрод и др., 2014; Taylor, Wieczorek, 2014).
В связи с этим особое внимание следует обратить на вариации концентраций Al2O3 в различных зонах мантии. Из рис. 2а, а´ можно видеть, что вне зависимости от термального состояния содержание Al2O3 с глубиной возрастает – от верхней и средней мантии к нижней мантии (=BSM), в которой концентрация оксида алюминия может достигать 4-7 мас.%. Холодные модели BSM по содержанию Al2O3 сопоставимы с предыдущими оценками 3.6–4.5 мас.% Al2O3 в силикатной Луне (Warren, 2005; Longhi, 2006; Khan et al., 2007; Dauphas et al., 2014), и близки к валовым оценкам 4–4.5 мас.% Al2O3 для BSE (McDonough, 1990; Dauphas et al., 2014). Напротив, горячие модели BSM существенно обогащены оксидом алюминия по сравнению с BSE и близки к валовым оценкам ~6 мас.% Al2O3как по петролого-геохимическим данным и элементным корреляциям (Mueller et al., 1988; Taylor, 1982; Snyder et al., 1992; Taylor et al., 2006; Галимов, 2008), так и на основе совместной инверсии сейсмических и гравитационных данных (Kuskov, 1997; Lognonné et al., 2003; Kuskov et al., 2014a). На основе гипотезы совместного происхождения системы Земля – Луна при коллапсе и фрагментации крупного пылевого сгущения предполагается, что обогащение Луны тугоплавкими элементами связано с ее высокотемпературным генезисом (Галимов, 2008, 2011).
В любом случае, для рассмотренных термальных сценариев результаты решения обратной задачи приводят к ограничениям на валовые концентрации оксида алюминия в Луне на уровне 4–7 мас.%. Это существенно выше оценок 1.3–3.1 мас.% Al2O3 (Taylor, Wieczorek, 2014), основанных на содержаниях Al2O3 в морских базальтах и отношении оливин/пироксен в области источников морских базальтов. Как для холодных (4-5% Al2O3), так и для горячих (5–7% Al2O3) моделей нижняя мантия обогащена Al2O3 и имеет более высокие концентрации граната (табл. 1) по сравнению с минералогией Ca-Al-обедненной верхней мантии, в которой ортопироксен является доминирующим минералом (Kuskov et al., 2014a).
Иллюстрация влияния термального состояния и химического состава на фазовый состав и физические свойства нижней мантии на глубине 1000 км приведена в табл. 1 при похожих концентрациях С(FeO) и С(MgO), но варьируемых C(Al2O3) и C(SiO2). Можно видеть, что при обогащении Al2O3 (рис. 2) гранат становится важной Al-составляющей фазой нижней мантии, контролирующей значения физических свойств. Плотность лунных пород, обогащенных оксидом алюминия, примерно на 1–2% превышает плотность вещества, обедненного Al2O3, что эквивалентно изменению температуры на ~100–200°C (Kuskov et al., 2014a). При содержании 4–6 мас.% Al2O3 количество граната в нижней мантии может достигать 4-7 мол.% или ~12–20 мас.% (табл. 1); минеральный состав граната изменяется от Py69Al25Gr6 до Py74Al20Gr6. Если бы удалось обнаружить гранат в глубинных лунных породах, это означало бы обогащение Луны оксидом алюминия.
Таблица 1. Состав и физические свойства для холодных и горячих моделей нижней мантии Луны при 4 ГПа (~1000 км)
Химический | Холодные | Горячие | ||
MgO | 30.0 | 31.0 | 30.0 | 31.0 |
FeO | 12 | 13.0 | 12.0 | 13.0 |
Al2O3 | 4.0 | 5.0 | 5.5 | 6.0 |
CaO | 3.2 | 4.0 | 4.4 | 4.8 |
SiO2 | 50.55 | 46.75 | 47.85 | 44.95 |
Na2O | 0.05 | 0.05 | 0.05 | 0.05 |
TiO2 | 0.2 | 0.2 | 0.2 | 0.2 |
MG# | 81.7 | 81 | 81.7 | 81.0 |
Фазовый состав | ||||
Оливин | 16.3 (Fo84) | 35.0 (Fo84) | 27.0 (Fo84) | 44.0 (Fo84) |
Ортопироксен | 62.8 | 28.4 | 36.9 | 3.9 |
Клинопироксен | 16.4 | 30.0 | 29.8 | 44.0 |
Гранат | 4.2 | 6.3 | 6.0 | 7.7 |
Ильменит | 0.3 | 0.3 | 0.3 | 0.4 |
ρ, г/см3 | 3.408 | 3.443 | 3.407 | 3.437 |
VP, км/с | 7.99 | 8.08 | 8.00 | 8.07 |
VS, км/с | 4.46 | 4.47 | 4.42 | 4.41 |
KS, ГПа | 126.8 | 133.3 | 129.6 | 134.7 |
G, ГПа | 67.9 | 68.8 | 66.4 | 66.9 |
Это согласуется с петролого-геофизическими моделями (Hood, Jones, 1987; Neal, 2001; Draper et al., 2006; Kuskov, Kronrod, 2009; Khan et al., 2013; Kuskov et al., 2014a), но радикально противоречит предположению (Taylor, Wieczorek, 2014), согласно которому нижняя мантия может содержать лишь 1 мас.% Al2O3. Обогащение гранатом глубинных зон Луны связано с тем, что при заданных геодезических и сейсмических данных (Gagnepain-Beyneix et al., 2006; Williams et al., 2014) решение задачи для холодных и горячих моделей настраивается в основном за счет изменения концентраций SiO2 и Al2O3 при почти постоянных C(FeO) и MG#.
Почему проявляются столь разные тенденции? Слабо зависящие от температуры концентрации FeO (рис. 2) в холодных и горячих моделях, вероятно, обусловлены тем, что скоростные и плотностные вариации при изменении содержания FeO имеют антикорреляционный характер: увеличение С(FeO) в составе породы увеличивает ее плотность, но приводит к уменьшению сейсмических скоростей. Такое поведение физических свойств обеспечивает выполнение заданных геодезических и сейсмических условий. Напротив, как следует из рис. 2, повышение температуры приводит к росту С(Al2O3) и понижению С(SiO2) в верхней и нижней мантии Луны. Содержание этих оксидов в коре фиксировано (Taylor, 1982; Taylor et al., 2006), хотя и может варьировать в некотором интервале значений. Содержание Al2O3 в верхней мантии, обедненной тугоплавкими оксидами за счет их экстракции в кору, составляет 1.5–3 мас.% Al2O3 (Kuskov, 1997; Khan et al., 2007; Kronrod, Kuskov, 2011). Следовательно, для того чтобы выполнялись соотношения для массы и момента инерции Луны (Williams et al., 2014) и ограничения для скоростей P-, S-волн (Gagnepain-Beyneix et al., 2006), нижняя мантия Луны вне зависимости от теплового режима должна быть обогащена оксидом алюминия и обеднена оксидом кремния относительно верхней мантии.
Очевидно, что противоречия между сейсмическими моделями (связанные с методами анализа первичных данных Apollo) оказывают влияние на реконструкцию химического состава мантийных резервуаров. Возникает вопрос, как входные данные, в частности положения сейсмических границ, влияют на надежность результатов. Как отмечалось ранее, фактическое положение и резкость границ остаются под вопросом (Nakamura, 1983; Lognonné, 2005; Gagnepain-Beyneix et al., 2006; Khan et al., 2007). В связи с этим мы провели серию расчетов по устойчивости результатов путем изменения толщины коры и расположения сейсмических границ, за исключением границы верхней мантии на глубине 240 км, положение которой определяется более или менее надежно.
Границы между средней и нижней мантией варьировались и фиксировались на глубинах 500, 625 и 750 км (Nakamura, 1983; Lognonné, 2005; Gagnepain-Beyneix et al., 2006; Kronrod, Kuskov, 2011). Толщина коры уменьшена и принята равной 34 км (Wieczorek et al., 2013). Как и раньше, мантия состоит из трех зон: верхняя мантия на глубинах 34–240 км, средняя мантия на глубинах 240–500 км, 240–625 км и 240–750 км, и нижняя мантия на глубинах от 500/625/750 км до границы с ядром. Профили двух селенотерм для холодных и горячих моделей с разностью температур 100–200°C на разных глубинах считаются такими же, как на рис. 1. Все остальные параметры модели Луны оставались фиксированными.
Проведенное тестирование показало, что вариации в толщине коры и глубинах расположения сейсмических границ не влияют сколько-нибудь заметно на концентрации оксидов, в том числе на содержание Al2O3, во всех трех зонах мантии, не изменяют выводы о стратификации мантии Луны по химическому составу и обеспечивают робастность результатов. Это связано с тем, что вклад кора + верхняя мантия
([(ρVC)cr + (ρVС)u] > 2/3[(ρVC)cr + (ρVС)u + (ρVС)m]) имеет подавляющее влияние при решении балансового уравнения (3) в отношении концентраций Al2O3, слабо зависящих от положения границ. Как следствие, решение этого уравнения в отношении концентраций Al2O3 и других оксидов удовлетворяется с погрешностью менее 0.5 мас.% при изменении положения сейсмических границ в интервале 500–750 км. Дополнительной неопределенностью в этом подходе является сейсмическая модель. На основе проведенных численных экспериментов можно предположить, что когда геофизические характеристики инвертируются в геохимические модели, основным источником неопределенности, влияющим на концентрации оксидов в зональной мантии, являются интерпретации первичных данных Apollo и / или топологические структуры сейсмических профилей, так как масса и момент инерции определяются с очень высокой точностью.
Влияние термального состояния на размеры ядра Луны
Особое место в термохимической эволюции Луны связано с изучением центральной зоны (ядра) с параметрами Т ~2000 К, Р ~5 ГПа и прилегающей к ядру области на границе между твердой мантией и жидким или частично расплавленным ядром. Для сравнения, земное ядро, составляющее примерно треть от массы планеты, соответствует Р-Т-параметрам от 136 до 364 ГПа при 4000–6000 К. Считается, что в состав земного Fe-Ni-ядра входит около 10% легких примесных компонентов, объясняющих дефицит плотности, наиболее вероятными из которых в космохимическом и геофизическом отношении являются S, Si, O, С и Н.
Средняя плотность Луны указывает на дефицит металлического железа, но вопрос о составе, свойствах и размерах лунного ядра остается нерешенным. Состав ядер крупных спутников (Луна, Ио, Европа и Ганимед) часто рассматривается в виде модельного железо-сульфидного сплава (Balog et al., 2003; Bagdassarov et al., 2009; Кусков и др., 2009; Kronrod, Kuskov, 2011; Weber et al., 2011; Лебедев, Галимов, 2012; Laneuville et al., 2014; Jing et al., 2014; Kuskov, Belashchenko, 2016a,b; Morard et al., 2018; Pommier, 2018), представляющего собой жидкий и/или твердый Fe-Ni раствор с примесью серы. По космохимическим данным, содержание серы изменяется от ~2% в обыкновенных хондритах и углистых хондритах СО и СV до ~6 мас.% в энстатитовых и углистых хондритах CI (Додд, 1986). Разумеется, это не исключает присутствие других примесных элементов в ядрах малых планетных тел (Righter et al., 2017).
Ограничения на структуру центральной зоны получены по данным интерпретации сейсмических экспериментов Apollo, магнитометрических измерений (Lunar Prospector, Kaguya), лазерной локации Луны и миссии GRAIL (Hood et al., 1999; Konopliv et al., 2001; Williams et al., 2001, 2014; Weber et al., 2011; Garcia et al., 2012; Shimizu et al., 2013; Раевский и др., 2015; Matsumoto et al., 2015; Matsuyama et al., 2016). Построенные модели удовлетворяют геодезическим (масса, полярный момент инерции, числа Лява) и сейсмологическим (времена пробега объемных волн) данным и включают некоторые дополнительные, но не всегда обоснованные (Kuskov, Belashchenko, 2016a,b) физические ограничения.
Результаты экспериментов Аpollo и их математическая обработка привели к построению целого ряда сейсмических моделей Луны, но не дали прямых сведений о наличии ядра (Lognonné, 2005). Несмотря на то, что разрешающая способность сейсмическихисточников недостаточна для надежного выявления структуры ядра, в работах (Garcia et al., 2012; Weber et al., 2011) впервые сообщаются ограничения на радиус лунного ядра. Оценки получены по результатам сейсмической сети Аpollo с использованием методов обработки массивов и стека на основе анализа лунных сейсмограмм с учетом отраженных от ядра волн.
В работе (Garcia et al., 2012) в предположении адиабатического сжатия гомогенного материала без фазовых переходов радиус преимущественно жидкого ядра Луны составляет 380 ± 40 км со средней плотностью ρ = 5.2 ± 1 г/см3. Скорости волн в жидком ядре не определены; твердое внутреннее ядро не обнаружено, но не исключается. В работе (Weber et al., 2011) представлена более детализированная модель лунного ядра: жидкое внешнее Fe-S ядро, предположительно содержащее ≤6 мас.% серы, радиусом (R) 330 ± 20 км и ρ = 5.1 г/см3 и твердое внутреннее ядро (с неопределенным количеством серы) с R = 240 ± 10 км и ρ = 8 г/см3. Столь большие различия между моделями (Weber et al., 2011; Garcia et al., 2012) демонстрируют неопределенность в структуре центральной области.
Экспериментальных данных по физическим свойствам расплавов Fe–S при Р-Т условиях ядра Луны довольно мало. В работах (Kuskov, Belashchenko, 2016a,b) проведено моделирование термодинамических свойств твердых и жидких Fe-S растворов (плотность, скорость звука, параметр Грюнайзена и др.) методом молекулярной динамики (МД) с применением потенциала модели погруженного атома (Embedded Atom Model) при концентрациях серы 0–18 ат.%, температурах до 2500 К и давлении до 14 ГПа. Потенциал взаимодействия частиц в системе железо–сера и детали применения модели погруженного атома детально описаны (Белащенко, 2014). Сравнение МД расчетов плотности жидкого железа с экспериментом (Elanskii, Kudrin, 2015; Nishida et al., 2016) при нормальном давлении показывает хорошее согласие в пределах 1%. При Р-Т параметрах лунного ядра расхождения между нашими результатами (Kuskov, Belashchenko, 2016a,b) и экспериментальными данными по плотности жидкого железа и расплавов Fe–S составляют 2–10% при ошибках опытов 10–15% (Sanloup et al., 2000; Balog et al., 2003; Jing et al., 2014; Nishida et al., 2016; Morard et al., 2018). И в расчетах, и в опытах плотность расплавов Fe–S заметно уменьшается с ростом концентрации серы.
Рис. 3. Плотность расплавов Fe-S при разных концентрациях серы (ат.%) в сравнении с плотностью ядра Луны по сейсмической модели (Weber et al., 2011): залитая звезда – внешнее ядро (ρ = 5.1 г/см3), незалитая звезда – внутреннее ядро (ρ = 8 г/см3). МД расчеты плотности при 2000 К и концентрациях серы 0, 10 и 16 ат.% (сплошные линии) приведены по (Kuskov, Belashchenko, 2016a,b). Обозначения экспериментов: B03 (Balog et al., 2003) – Fe-16 ат.% S; N16 (Nishida et al., 2016) – Fe-20 ат.% S; M18 (Morard et al., 2018) – Fe-29 ат.% S; J14 (Jing et al., 2014) – плотность внешнего Fe-S ядра при концентрации серы 4 ± 3 мас.%.
На рис. 3 представлено сравнение сейсмических и физико-химических моделей плотности лунного ядра, а в табл. 2 приведены зависимости плотности растворов Fe-S от температуры при 5 ГПа, причем ячейки с жидкими состояниями тонированы. Из табл. 2 следует, что в центре Луны (~5 ГПа) Fe-10 ат.% S сплав является твердой фазой при 1800 К и жидкой при 2000 К, то есть линия ликвидуса располагается между этими границами. При 5 ГПа/1800 К и содержании серы <14 ат.% система Fe-S представляет собой твердый раствор. При 5 ГПа и 1800–2000 К чистое железо имеет плотность 7.4–7.5 г/см3, что соответствует оценкам (Tsujino et al., 2013; Jing et al., 2014; Antonangeli et al., 2015; Nishida et al., 2016), но на 0.5 г/см3 ниже, нежели в модели внутреннего ядра (Weber et al., 2011). При наличии 10% никеля в ядре его плотность должна возрасти на ~1%.
Таблица 2. Зависимость плотности растворов Fe-S от температуры при 5 ± 0.02 ГПа
Температура, К | Плотность (г/см3) | ||||
0 | 6 | 10 | 14 | 18 | |
298 | 8.18 | 7.80 | 7.56 | 7.25 | 6.90 |
500 | 8.14 | 7.78 | 7.50 | 7.17 | 6.82 |
1000 | 8.02 | 7.64 | 7.38 | 6.99 | 6.61 |
1500 | 7.87 | 7.23 | 6.96 | 6.66 | 6.34 |
1800 | 7.47 | 7.08 | 6.81 | 6.51 | 6.18 |
2000 | 7.39 | 7.00 | 6.73 | 6.41 | 6.08 |
2200 | 7.31 | 6.90 | 6.62 | 6.31 | 5.98 |
2500 | 7.18 | 6.76 | 6.48 | 6.17 | 5.82 |
Примечания. Тонированы ячейки с жидкими растворами.
При Т ≥ 2000 К система Fe-S представляет собой расплав при всех концентрациях серы, что находится в соответствии с фазовой диаграммой системы Fe-S (Buono, Walker, 2011; Antonangeli et al., 2015). Из рис. 3 видно, что при 5 ГПа и 2000 К жидкое Fe-S ядро оказывается существенно более плотным по сравнению с оценками (Sanloup et al., 2000; Garcia et al., 2012; Weber et al., 2011), а его плотность может изменяться от ~7.4 г/см3 (чистое жидкое железо) до 6.7–7.0 г/см3 при содержании серы 6–10 ат.% (3.5–6 мас.%) и до 6.25 г/см3 при содержании серы 16 ат.% (10 мас.%). Полученные данные соответствуют оценкам плотности внешнего ядра (Jing et al., 2014; Antonangeli et al., 2015), согласно которым ρ = 6.5 ± 0.5 г/см3 при 1800-2000 К и содержании серы 1–7 мас.%, но значительно превышают (примерно на 20-30%) плотность жидкого внешнего ядра по сейсмическим моделям (Garcia et al., 2012; Weber et al., 2011). При 5±0.6 ГПа и 1900 К плотность расплава Fe-29 ат.% S составляет 5.98 ± 0.24 г/см3 (Morard et al., 2018). Плотность внешнего ядра около 5 г/ см3 достигается лишь при содержании серы более 30 ат.% (Jing et al., 2014; Nishida et al., 2016), что намного превышает распространенность серы в веществе метеоритов (Jarosewich, 1990). Из этого обсуждения следует, что плотность внешнего ядра Луны, принятая в сейсмических моделях, не соответствует экспериментальным и теоретическим данным.
Согласно моделям, построенным по данным GRAIL, радиус флюидного ядра составляет 200-380 км, а радиус твердого внутреннего ядра оценивается в интервале 0–280 км (Williams et al., 2014). Геофизические данные указывают на неоднородности в строении ядра, позволяют установить ограничения на размеры внешнего и внутреннего ядер, но не дают возможности для определения их плотности. Поэтому плотность вещества, слагающего ядро, остается неизвестным параметром и вводится из других соображений.
Здесь в соответствии с табл. 2 для жидкой компоненты принята плотность 6.73 г/см3, а для твердой – 7.47 г/см3, что соответствует средней плотности Fe-S ядра 7.1 г/см3 с примерным содержанием серы 6-10 ат.% (3.5–6 мас.%). Результаты расчетов по влиянию термального состояния на размеры ядра Луны приведены на рис. 4 в виде частотных распределений, средние значения которых соответствуют решениям, удовлетворяющим заданным условиям на толщину и плотность коры, массу и момент инерции Луны, скорости распространения P-,S-волн в мантии (Gagnepain-Beyneix et al., 2006; Wieczorek et al., 2013; Williams et al., 2014), а также ограничениям на химический состав трехслойной мантии (рис. 2), ее минералогию и плотность. Как можно видеть из рис. 4, размеры ядра находятся в интервале 50–350 км с наиболее вероятным значением около 300 км и довольно слабо зависят от теплового режима. Это связано с тем, что изменение температуры на 200°С приводит к изменению плотности Fe-S расплава в пределах 1% (табл. 2).
Рис. 4. Гистограммы рассчитанных радиусов Fe-S ядра Луны со средней плотностью 7.1 г/см3 и содержанием серы 3.5–6 мас.% для двух сценариев термального состояния (холодная и горячая модели, см. подпись к рис. 1).
В табл. 3 приведены модели ядра Луны, полученные в результате обработки гравитационных, электромагнитных и сейсмических наблюдений, в сопоставлении с теоретическими оценками, основанными на данных по скоростям сейсмических волн, моменту инерции и массе Луны. Можно видеть, что радиус ядра зависит от его состава и плотности, интерпретации сейсмических и геодезических данных.
Таблица 3. Модели внешнего ядра Луны
Состав ядра Луны | Радиус внешнего ядра, км | Плотность внешнего ядра, г/см3 | Метод | Литературный |
неизвестен неизвестен | 340±90 290-400 | неизвестна неизвестна | Электромагнитные данные Lunar Prospector и Kaguya | Hood et al. (1999) Shimizu et al. (2013) |
Fe Fe-FeS-эвтектика | ≤ 352 ≤ 374 | плотность Fe плотность Fe-FeS | Лазерная локация Луны, LLR | Williams et al. (2001) |
Fe-6 мас.% S | 330±20 | 5.100 | Интерпретация данных Apollo | Weber et al. (2011) |
неизвестен | 380±40 | 5.171 | Garcia et al. (2011) | |
неизвестен | 200–380 | неизвестна | Миссия GRAIL | Williams et al. (2014) |
неизвестен | 200–410 | 4.70–7.50 | Инверсия данных GRAIL, LLR, LOLA* | Matsuyama et al. (2016) |
неизвестен | >330 | <4.50 | Инверсия гравитационных и сейсмических данных | Matsumoto et al. (2015) |
Fe-10 мас.% S Fe-10 мас.% S | 340±30 340–390 | 5.70 5.0–6.0 | Kronrod, Kuskov (2011), Khan et al. (2007) | |
Fe-3.5-6 мас.% S Fe-3.5-6 мас.% S | 50-350 300** | 7.10 7.10 | Настоящая работа |
* – GRAIL – the Gravity Recovery and Interior Laboratory, LLR – Lunar Laser Ranging, LOLA – Lunar Orbiter Laser Altimeter.
** – Наиболее вероятный радиус.
На первый взгляд, из табл. 3 следует, что значения радиуса внешнего ядра (200–400 км), выведенные различными методами, в пределах погрешности определений находятся в хорошем соответствии друг с другом. Однако это согласие не вполне очевидное, поскольку состав ядра часто неизвестен, а значения его плотности либо не определены, либо изменяются в широких пределах – от 4.70 г/см3, что соответствует плотности жидкого сульфида железа (Nishida et al., 2016), до 7.50 г/см3, что соответствует плотности жидкого железа (Jing et al., 2014; Kuskov, Belashchenko, 2016a,b; Nishida et al., 2016). Однако хорошо известно, что размеры ядра сильно зависят от его плотности – чем меньше плотность сплава, тем больше размеры ядра при заданных граничных условиях на массу и момент инерции Луны. Плотность сплава/расплава на основе железа становится критическим параметром при определении радиуса ядра. Альтернативой металлическому ядру может быть плотное подплавленное силикатное ядро, обогащенное FeO или TiO2 и имеющее высокую электропроводность.
В заключение отметим, что относительные размеры лунного ядра (внутреннего и внешнего) заметно зависят от концентрации серы (и/или других легких примесей), но слабо зависят от термального режима. Полностью закристаллизованное ядро не удовлетворяет анализу данных по лазерной локации Луны, сейсмическим и гравитационным моделям (Garcia et al., 2011; Weber et al., 2011; Williams et al., 2001, 2014; Matsumoto et al., 2015; Matsuyama et al., 2016). Наличие сравнительно небольшого плотного, электропроводящего и частично расплавленного Fe-S ядра Луны, умещающегося в «прокрустово ложе» геофизических ограничений, согласуется с геохимическими наблюдениями по обеднению пород Луны сидерофильными элементами и экспериментами по металл / силикатному распределению V, Cr, Ni, Co, W, Mo, P (Rai, van Westrenen, 2014), и совместимы с моделированием механизма генерации лунного динамо ~3–4 млрд лет назад, обусловленного процессами взаимодействия между твердой силикатной мантией и жидким ядром или кристаллизацией внутреннего ядра (Williams et al., 2001; Laneuville et al., 2014; Breuer et al., 2015).
ЗАКЛЮЧЕНИЕ
На основе совместной инверсии прямо не связанных между собой сейсмических и гравитационных данных исследовано влияние термального состояния на модели химического состава мантии и размеры Fe-S ядра Луны. Результаты работы позволяют связать набор физико-химических и геофизических параметров на фундаментальном уровне, установить более надежные геохимические ограничения на химический состав, минералогию и внутреннее строение трехслойной мантии Луны и сделать следующие основные выводы.
- Определены геофизически допустимые интервалы химического состава в различных зонах мантии Луны и показано, что вне зависимости от температуры концентрации FeO ~11–14 мас.% и значения MG# 80-83 примерно одинаковы в верхней, средней и нижней мантии, но резко отличаются от таковых для валового состава силикатной Земли (FeO ~8% и MG# 89). Концентрации SiO2 слабо зависят от теплового режима и составляют 50–55% в верхней, 42–48% в средней и 45–50 мас.% в нижней мантии; ортопироксен, а не оливин является доминирующим минералом верхней мантии. Высокая пироксеновость верхней мантии является геохимическим следствием сейсмических и гравитационных данных, используемых при инверсии в соотношения для химического состава. Оценки содержания Al2O3 в трехслойной мантии довольно заметно зависят от температуры. Для рассмотренных сценариев термального состояния концентрации Al2O3 увеличиваются от 1–5% в верхней и средней мантии до 4–7 мас.% в нижней мантии с количеством граната вплоть до 20 мас.%. Для «холодных» моделей валовая распространенность оксида алюминия в Луне составляет Al2O3 ~1–1.2 × BSE, а для «горячих» моделей может находиться в интервале 1.3–1.7 × BSE.
- Результаты моделирования показывают, что изохимические модели гомогенной мантии не объясняют топологию сейсмического профиля и предполагают, что мантия Луны стратифицирована по химическому составу с разными концентрациями петрогенных элементов в различных зонах мантии. Для возможных распределений температуры силикатная фракция Луны обогащена FeO и обеднена MgO по отношению к BSE, что указывает на существенные различия в составах Земли и ее спутника и отвергает возможность формирования Луны из вещества примитивной мантии Земли. В связи с тем, что концентрации Al2O3 не могут быть найдены однозначно из заданных граничных условий, принципиально важный для геохимии Луны и Земли вопрос о сходстве и/или различии их состава в отношении распространенности тугоплавких элементов остается нерешенным и требует дальнейших исследований.
- Методом молекулярной динамики проведено моделирование плотности твердых и жидких Fe-S сплавов при Р-Т параметрах лунного ядра. Плотность расплавов Fe–S слабо зависит от изменения температуры, но заметно уменьшается с ростом концентрации серы. Показано, что плотность расплавов Fe-6-10 ат.% S (3.5–6 мас.% серы) на 20-30% превышает плотность жидкого ядра Луны, принятую в сейсмических моделях. Пересмотр значений плотности Fe-S ядра приводит к ревизии его размеров и массы, поскольку с учетом выполнения ограничений на массу и момент инерции Луны увеличение плотности ядра должно приводить к уменьшению его радиуса. Радиусы Fe-S ядра со средней плотностью 7.1 г/см3 и содержанием серы 3.5–6 мас.% находятся в интервале 50–350 км с наиболее вероятным значением около 300 км (~1% от массы Луны) и довольно слабо зависят от теплового режима Луны.
Для дальнейшего продвижения в исследовании внутреннего строения мантии, состава и физического состояния ядра необходимы космические эксперименты по измерению теплового потока, сейсмо- и электрозондированию лунных недр, а также лабораторные эксперименты по фазовым соотношениям и физико-химическим свойствам пород и твердых / жидких сплавов на основе железа при высоких Р-Т параметрах. Новые данные с более высоким разрешением о текущем состоянии ядра имеют решающее значение для интерпретации моделей термохимической эволюции Луны.
Благодарности
Авторы благодарят Э.М. Галимова за постоянную поддержку наших исследований в ГЕОХИ РАН, D.K. Belashchenko – за полезные дискуссии и рецензентов за высказанные замечания.
Источник финансирования
Работа выполнена при финансовой поддержке РФФИ (проект 18-05-00225) и программы Президиума РАН № 17.
About the authors
O. L. Kuskov
Vernadsky institute of geochemistry and analytical chemistry, Russian academy of sciences
Author for correspondence.
Email: ol_kuskov@mail.ru
Russian Federation, Moscow
E. V. Kronrod
Vernadsky institute of geochemistry and analytical chemistry, Russian academy of sciences
Email: ol_kuskov@mail.ru
Russian Federation, Moscow
V. A. Kronrod
Vernadsky institute of geochemistry and analytical chemistry, Russian academy of sciences
Email: ol_kuskov@mail.ru
Russian Federation, Moscow
References
- Белащенко Д. К. (2014) Оценка термодинамических характеристик ядра Земли с применением модели погруженного атома. Геохимия (6), 507-518.
- Belashchenko D.K. (2014) Estimation of the thermodynamic characteristics of the Earth’s core using the Embedded Atom Model. Geochem. Int. 52 (6), 456-466).
- Галимов Э.М. (2008) Современное состояние проблемы происхождения системы Земля-Луна. Проблемы зарождения и эволюции биосферы. Ред. Галимов Э.М. М.: ЛИБРОКОМ, 213-222.
- Галимов Э.М. (2011) Образование Луны и Земли из общего супрапланетного газо-пылевого сгущения (доклад на XIX Всеросс. симпозиуме по геохимии изотопов 16 ноября 2010 г.). Геохимия (6), 563-580.
- Galimov E. (2011) Formation of the Moon and the Earth from a common supraplanetary gas-dust cloud (lecture presented at the XIX all-Russia symposium on isotope geochemistry on November 16, 2010). Geochem. Int. 49 (6), 537-554
- Додд Р.Т. (1986) Метеориты. М.: Мир, 384 с.
- Дайел П., Паркин К., Дейли В. (1975) Лунная электропроводность, магнитная проницаемость и температура по данным магнитных экспериментов экспедиций “Аполлон”. Космохимия Луны и планет / Ред. Виноградов А.П. М.: Наука, 323-340.
- Кронрод В.А., Кронрод Е.В., Кусков О.Л. (2014) Ограничения на тепловой режим и содержание урана в Луне по сейсмическим данным. ДАН 455 (6), 698-702.
- Кусков О.Л., Дорофеева В.А., Кронрод В.А., Макалкин А.Б. Системы Юпитера и Сатурна: формирование, состав и внутреннее строение крупных спутников. М.: Изд-во ЛКИ, 2009. 576 с.
- Левин Б.Ю., Маева С.В. (1975) Загадки происхождения и термической истории Луны. Космохимия Луны и планет. М.: Наука, 283-298.
- Лебедев Е.Б., Галимов Э.М. (2012) Экспериментальное моделирование формирования металлического ядра Луны в условиях частичного плавления. Геохимия50 (8), 715-725.
- Lebedev E.B., Galimov E.M. Experimental modeling of the origin of the moon’s metallic core at partial melting Geochem. Int. 50 (8), 639-648.
- Раевский С.Н., Гудкова Т.В., Кусков О.Л., Кронрод В.А. (2015) О согласовании моделей внутреннего строения Луны с данными гравитационного поля. Физика Земли (1), 139-147.
- Рускол Е.Л. Происхождение Луны. М.: Наука, 1975, 185 с.
- Флоренский К.П., Базилевский А.Т., Бурба Г.А. (1981) Очерки сравнительной планетологии. М.: Наука, 1981. 324 с.
- Шарков Е.В., Богатиков О.А. (2001) Ранние этапы тектономагматического развития Земли и Луны: Сходство и различия. Петрология 9,115-139.
- Antonangeli D., Morard G., Schmerr N.C., Komabayashi T., Krisch M., Fiquet G., Fei Y. (2015) Toward a mineral physics reference model for the Moon’s core. PNAS112, 3916-3919.
- Arai T, Maruyama S. (2017) Formation of anorthosite on the Moon through magma ocean fractional crystallization. Geoscience Frontiers 8, 299-308.
- Bagdassarov N., Solferino G., Golabek G.J., Schmidt M.W. (2009) Centrifuge assisted percolation of Fe-S melts in partially molten peridotite: Time constraints for planetary core formation. Earth Planet. Sci. Lett. 288, 84-95.
- Balog P.S., Secco R.A., Rubie D.C., Frost D.J. (2003) Equation of state of liquid Fe-10 wt % S: Implications for the metallic cores of planetary bodies. J. Geophys. Res. 108. doi: 10.1029/2001JB001646.
- Barr A.C. (2016) On the origin of Earth’s Moon. J. Geophys. Res. 121, 1573-1601. doi: 10.1002/2016JE005098.
- Breuer D., Rueckriemen T., Spohn T. (2015) Iron snow, crystal floats, and inner-core growth: modes of core solidification and implications for dynamos in terrestrial planets and moons. Progress Earth Planet. Sci. P. 2:39. doi: 10.1186/s40645-015-0069-y.
- Buono A.S., Walker D. (2011) The Fe-rich liquidus in the Fe-FeS system from 1 bar to 10 GPa. Geochim. Cosmochim. Acta 75, 2072-2087.
- Charlier B., Grove T.L., Namur O., Holtz F. (2018) Crystallization of the lunar magma ocean and the primordial mantle-crust differentiation of the Moon. Geochim. Cosmochim. Acta 234, 50-69. https://doi.org/10.1016/j.gca.2018.05.006.
- Dauphas N., Burkhardt C., Warren P. H., Fang-Zhen T. (2014) Geochemical arguments for an Earth-like Moon-forming impactor. Phil. Trans. R. Soc. A. 372, 20130244.
- de Capitani C., Brown T.H. (1987) The computation of equilibrium in complex systems containing non-ideal solutions. Geochim. Cosmochim. Acta 51, 2639-2652.
- Discussion Meeting Issue (2014) ‘Origin of the Moon: challenges and prospects’ organised and edited by D.J. Stevenson and A.N. Halliday. Phil.Trans.R.Soc. A 372. rsta.royalsocietypublishing.org/content/372/2024.
- Draper D.S., duFrane S.A., Shearer C.K., Dwarzski R.E., Agee C.B. (2006) High-pressure phase equilibria and element partitioning experiments on Apollo 15 green C picritic glass: implications for the role of garnet in the deep lunar interior. Geochim. Cosmochim. Acta 70, 2400-2416.
- Elanskii G.N., Kudrin V.A. (2015) Structure and properties of iron-base melts. Bull. South Ural State Univ. Ser. Metallurgy 15, 11-19.
- Elardo S.M., Draper D.S., Shearer C.K. (2011) Lunar magma ocean crystallization revisited: Bulk composition, early cumulate mineralogy, and the source regions of the highlands Mg-suite. Geochim. Cosmochim. Acta 75, 3024-3045. doi: 10.1016/j.gca.2011.02.033.
- Gagnepain-Beyneix J., Lognonné P., Chenet H., Lombardi D., Spohn T. (2006) A seismic model of the lunar mantle and constraints on temperature and mineralogy. Phys. Earth Planet. Inter. 159, 140-166.
- Galimov E.M., Krivtsov A.M. (2012) Origin of the Moon. New Concept. Geochemistry and Dynamics. De Gruyter, 168 pp.
- Ganapathy R., Anders E. (1974) Bulk composition of the Moon and Earth, estimated from meteorites. Proc. 5th Lunar Sci. Conf., Geochim. Cosmochim. Acta, Suppl. 5, 1181-1206.
- Garcia R.F., Gagnepain-Beyneix J., Chevrot S., Lognonné P. (2012) Erratum to “Very preliminary reference Moon model”, [Phys. Earth Planet. Inter. 188 (2011) 96-113]. Phys. Earth Planet. Inter. 202-203, 89-91.
- Grimm R.E. (2013) Geophysical constraints on the lunar Procellarum KREEP Terrane. J. Geophys. Res. Planets 118, 768-777. doi: 10.1029/2012JE004114.
- Hartmann W.K. (2014) The giant impact hypothesis: past, present (and future?). Phil. Trans. R. Soc. A. 372: 20130249. http://dx.doi.org/10.1098/rsta.2013.0249.
- Hirschmann M.M. (2000) Mantle solidus: Experimental constrain and the effects of peridotit composition. Geochem. Geophys. Geosyst. 1, 1525-2027, doi. 2000GC000070.
- Hood L.L., Jones J.H. (1987) Geophysical constraints on lunar bulk composition and structure: A reassessment. J. Geophys. Res. 92E, 396-410.
- Hood L.L., Mitchell D.L., Lin R.P., Acuña M.H., Binder A.B. (1999) Initial measurements of the lunar induced magnetic dipole moment using lunar prospector magnetometer data. Geophys. Res. Lett. 26, 2327-2330.
- Jarosewich E. (1990) Chemical analyses of meteorites: A compilation of stony and iron meteorite analyses. Meteoritics 25, 323-337.
- Jing Z., Wang Y., Kono Y., Yu T., Sakamaki T., Park C., Rivers M.L., Sutton S.R., Shen G. (2014) Sound velocity of Fe-S liquids at high pressure: Implications for the Moon’s molten outer core. Earth Planet. Sci. Lett. 396, 78-87. http://dx.doi.org/10.1016/j.epsl.2014.04.015.
- Jones J.H., Palme H. (2000) Geochemical constraints on the origin of the Earth and Moon. Origin of the Earth and Moon / Eds. Canup R.M. et al. Tucson: Univ. Arizona Press., 197-216.
- Keihm S.J., Langseth M.G. (1997) Lunar thermal regime to 300 km. Proc. 8th Lunar Sci. Conf., 499-514.
- Khan A., Connolly J.A.D., Maclennan J., Mosegaard K. (2007) Joint inversion of seismic and gravity data for lunar composition and thermal state. Geophys. J. Int. 168, 243-258.
- Khan A., Pommier A., Neumann G., Mosegaard K. (2013) The lunar moho and the internal structure of the Moon: A geophysical perspective. Tectonophys. 609, 331-352. http://dx.doi.org/10.1016/j.tecto.2013.02.024.
- Konopliv A.S., Asmar S.W., Carranza E., Sjogren W.L., Yuan D.N. (2001) Recent gravity models as a result of the Lunar Prospector mission. Icarus 150, 1-18.
- Kronrod V.A., Kuskov O.L. (2011) Inversion of seismic and gravity data for the composition and core sizes of the Moon. Izv. Phys. Solid Earth 47, 711-730.
- Kuskov O.L. (1997) Constitution of the Moon: 4. Composition of the mantle from seismic data. Phys. Earth Planet.Inter. 102, 239-257.
- Kuskov O.L., Belashchenko D.K. (2016a) Thermodynamic properties of Fe-S alloys from molecular dynamics modeling: Implications for the lunar fluid core. Phys. Earth Planet. Inter. 258, 43-50. http://dx.doi.org/10.1016/j.pepi.2016.07.006.
- Kuskov O.L., Belashchenko D.K. (2016b) Molecular dynamics estimates for the thermodynamic properties of the Fe-S liquid cores of the Moon, Io, Europa, and Ganymede. Sol. Syst. Res. 50 (3), 165-183. doi: 10.1134/S0038094616030035.
- Kuskov, O. L., Kronrod, V. A. (2009) Geochemical constraints on the model of the composition and thermal conditions of the Moon according to seismic data. Izv. Phys. Solid Earth 45, 753-768.
- Kuskov O.L., Kronrod V.A., Kronrod E.V. (2014a) Thermo-chemical constraints on the interior structure and composition of the lunar mantle. Phys. Earth Planet. Inter.235, 84-95. doi: http://dx.doi.org/10.1016/j.pepi.2014.07.011.
- Kuskov O.L., Kronrod V.A., Prokofyev A.A., Pavlenkova N.I. (2014b) Thermo-chemical structure of the lithospheric mantle underneath the Siberian craton inferred from long-range seismic profiles. Tectonophys. 615. 154-166. http://dx.doi.org/10.1016/j.tecto.2014.01.006.
- Kuskov O.L., Kronrod V.A., Prokofyev A.A., Pavlenkova N.I. (2014c) Petrological-geophysical models of the internal structure of the lithospheric mantle of the Siberian craton. Petrologiya 22 (1), 21-49. doi: 10.1134/S0869591114010056.
- Laneuville M., Wieczorek M.A., Breuer D., Aubert J. Morard G., Rückriemen T. (2014) A long-lived lunar dynamo powered by core crystallization. Earth Planet. Sci. Lett. 401, 251-260.
- Longhi J. (2006) Petrogenesis of picritic mare magmas: constraints on the extent of early lunar differentiation. Geochim. Cosmochim. Acta 70, 5919-5934.
- Lognonné P. (2005) Planetary seismology. Annu. Rev. Earth Planet. 33, 571-604.
- Lognonné P., Gagnepain-Beyneix J., Chenet H. (2003) A new seismic model of the Moon: implications for structure, thermal evolution and formation of the Moon. Earth Planet. Sci. Lett. 211, 27-44.
- Matsumoto K., Yamada R., Kikuchi F., Kamata S., Ishihara Y., Iwata T., Hanada H., Sasaki S. (2015) Internal structure of the Moon inferred from Apollo seismic data and selenodetic data from GRAIL and LLR. Geophys. Res. Lett. 42. doi: 10.1002/2015GL065335.
- Matsuyama I., Nimmo F., Keane J.T., Chan N.H., Taylor G.J., Wieczorek M.A., Kiefer W.S., Williams J.G. (2016) GRAIL, LLR, and LOLA constraints on the interior structure of the Moon. Geophys. Res. Lett. 43, 8365-8375. doi: 10.1002/2016GL069952.
- McDonough W.F. (1990) Constraints on the composition of the continental lithospheric mantle. Earth Planet. Sci. Lett. 101, 1-18.
- Meier M.M.M., Reufer A., Wieler R. (2014) On the origin and composition of Theia: Constraints from new models of the Giant Impact. Icarus 242, 316-328.
- Morard G., Bouchet J., Rivoldini A., Antonangeli D., Roberge M., Boulard E., Denoeud A., Mezouar M. (2018) Liquid properties in the Fe-FeS system under moderate pressure: Tool box to model small planetary cores. Amer. Mineral. 103, 1770-1779.
- Morgan J.W., Hertogen J., Anders E. (1978) The Moon: composition determined by nebula processes. Moon and Planets. 18, 465-478.
- Mueller, S., Taylor, G.J., Phillips, R.J. (1988) Lunar composition: A geophysical and petrological synthesis. J. Geophys. Res. 93, 6338-6352.
- Nakamura Y. (1983) Seismic velocity structure of the lunar mantle. J. Geophys. Res. 88, 677-686.
- Neal C.R. (2001) Interior of the Moon: The presence of garnet in the primitive deep lunar mantle. J. Geophys. Res.: Planets 106, 27865-27885.
- Neal C.R. (2009) The Moon 35 years after Apollo: What’s left to learn? Chemie der Erde 69, 3-43. doi: 10.1016/j.chemer.2008.07.002.
- O’Neill H. S. C., Palme H. (1998) Composition of the silicate Earth: implications for accretion and core formation / In: The Earth’s mantle: Structure, Composition, and Evolution—The Ringwood Volume (Ed. Jackson I.). Cambridge Univ. Press, Cambridge, 3-126.
- Nishida K., Suzuki A., Terasaki H., Shibazaki Y., Higo Y., Kuwabara S., Shimoyama Y., Sakurai M., Ushioda M., Takahashi E., Kikegawa T., Wakabayashi D., Funamori N. (2016) Towards a consensus on the pressure and composition dependence of sound velocity in the liquid Fe-S system. Phys. Earth Planet. Inter. 257, 230-239. http://dx.doi.org/10.1016/j.pepi.2016.06.009.
- Pommier A. (2018) Influence of sulfur on the electrical resistivity of a crystallizing core in small terrestrial bodies. Earth Planet. Sci. Lett. 496, 37-46. https://doi.org/10.1016/j.epsl.2018.05.032.
- Qian W., Wang W., Zou F., Wu Z. (2018) Elasticity of orthoenstatite at high pressure and temperature: Implications for the origin of low VP/VS zones in the mantle wedge. Geophys. Res. Lett. 45, 665-673. https://doi.org/10.1002/2017GL075647.
- Rai N., van Westrenen W. (2014) Lunar core formation: New constraints from metal-silicate partitioning of siderophile elements. Earth Planet. Sci. Lett. 388, 343-352.
- Righter K., Go B.M., Pando K.A., Danielson L., Ross D.K., Rahman Z., Keller L.P. (2017) Phase equilibria of a low S and C lunar core: Implications for an early lunar dynamo and physical state of the current core. Earth Planet. Sci. Lett. 463, 323-332. http://dx.doi.org/10.1016/j.epsl.2017.02.003.
- Ringwood A.E. (1977) Basaltic magmatism and the bulk composition of the Moon. I. Major and heat-producing elements. The Moon and Planets 16 (4), 389-423.
- Ringwood A.E., Essene E. (1970) Petrogenesis of Apollo 11 basalts, internal constitution and origin of the Moon. Proc. Apollo 11th Lunar Sci. Conf. 1, 769-799.
- Sanloup C., Guyot F., Gillet P., Fiquet G., Mezouar M., Martinez I. (2000) Density measurements of liquid Fe-S alloys at high-pressure. Geophys. Res. Lett. 27, 811-814.
- Sato M., Hickling N.L., McLane J.E. (1973) Oxygen fugacity values of Apollo 12, 14, and 15 lunar samples and reduced state of lunar magmas. Proc. Lunar Sci. Conf.4, 1061-1079.
- Shearer C.K., Hess P.C., Wieczorek M.A., Pritchard M.E., Parmentier E.M., Borg L.E., Longhi J., Elkins-Tanton L.T., Neal C.R., Antonenko I., Canup R.M., Halliday A.N., Grove T.L., Hager B.H., Lee D.C., Wiechert U. (2006) Thermal and magmatic evolution of the moon. New views of the Moon: Rev. Mineral. Geochem. 60, 365-518.
- Shimizu H., Matsushima M., Takahashi F., Shibuya H., Tsunakawa H. (2013) Constraint on the lunar core size from electromagnetic sounding based on magnetic field observations by an orbiting satellite. Icarus 222, 32-43.
- Snyder G. A., Taylor L. A., Neal C. R. (1992) A chemical model for generating the source of mare basalts: Combined equillibrium and fractional crystallization of the lunar magmasphere. Geochim. Cosmochim. Acta 56, 3809-3823.
- Sossi P.A., Moynier F. (2017) Chemical and isotopic kinship of iron in the Earth and Moon deduced from the lunar Mg-Suite. Earth Planet. Sci. Lett. 471, 125-135. http://dx.doi.org/10.1016/j.epsl.2017.04.029.
- Taylor G. J., Wieczorek M. A. (2014) Lunar bulk chemical composition: a post-Gravity Recovery and Interior Laboratory reassessment. Phil. Trans. R. Soc. A. 372, 20130242. http://dx.doi.org/10.1098/rsta.2013.0242.
- Taylor S.R. (1982) Planetary Science: A Lunar Perspective. LPI. Houston. TX., 481 рр.
- Taylor S.R. , Taylor G.J., Taylor L.A. (2006) The Moon: A Taylor perspective. Geochim. Cosmochim. Acta 70, 594-5918.
- Tsujino N., Nishihara Y., Nakajima Y., Takahashi E., Funakoshi K., Higo Y. (2013) Equation of state of γ-Fe: Reference density for planetary cores. Earth Planet. Sci. Lett. 375, 244-253.
- Warren P.H. (2005) ‘New’ lunar meteorites: implications for composition of the global lunar surface, lunar crust, and the bulk Moon. Meteorit. Planet. Sci. 40, 477-506. doi: 10.1111/j.1945-5100.2005.tb00395.x.
- Warren P.H., Rasmussen K.L. (1987) Megaregolith insulation, internal temperatures and bulk uranium content of the Moon. J. Geophys. Res. 92 (B5), 3453- 3465.
- Watters T.R., Robinson M.S., Banks M.E., Tran T., Denevi B.W. (2012) Recent extensional tectonics on the Moon revealed by the Lunar Reconnaissance Orbiter Camera. Nat. Geosci. 5, 181-185.
- Weber R.C., Lin P., Garnero E.J., Williams Q., Lognonné P. (2011) Seismic detection of the lunar core. Science 331, 309-312.
- Wieczorek M.A., Jolliff B.J., Khan A., Pritchard M.E., Weiss B.J., Williams J.G., Hood L.L., Righter K., Neal C.R., Shearer C.K., McCallum I.S., Tompkins S., Hawke B.R., Peterson C., Gillis J.J., Bussey B. (2006) The constitution and structure of the lunar interior. New views of the Moon: Rev. Mineral. Geochem. 60, 221-364.
- Wieczorek M.A., Neumann G.A., Nimmo F., Kiefer W.S., Taylor G.J., Melosh H.J., Phillips R.J., Solomon S.C., Andrews-Hanna J.C., Asmar S.W., Konopliv A.S., Lemoine F.G., Smith D.E., Watkins M.M., Williams J.G., Zuber M.T. (2013) The crust of the Moon as seen by GRAIL. Science 339, 671-675.
- Williams J.G., Boggs D.H., Yoder C.F., Ratcliff J.T., Dickey J.O. (2001) Lunar rotational dissipation in solid body and molten core. J. Geophys. Res. 106, 27933-27968.
- Williams J.G., Konopliv A.S., Boggs D.H., Park R.S., Yuan D-N., Lemoine F.G., Goossen S. Mazarico E., Nimmo F., Weber R.C., Asmar S.W., Melosh H.J., Neumann G.A., Phillips R.J., Smith D.E., Solomon S.C., Watkins M.M., Wieczorek M.A., Andrews-Hanna J.C., Head J.W., Kiefer W.S, Matsuyama I., McGovern P.J., Taylor G.J., Zuber M.T. (2014). Lunar interior properties from the GRAIL mission. J. Geophys. Res. Planets 119.
Supplementary files






