Anoxia markers in the photic layer of the sedimentation basin in the oils of Tatarstan
- Authors: Smirnov M.B.1, Poludetkina E.N.2, Fadeeva N.P.2
-
Affiliations:
- A.V.Topchiev Institute of Petrochemical Synthesis, Russian Academy of Sciences
- Lomonosov Moscow State University, Faculty of Geology
- Issue: Vol 64, No 6 (2019)
- Pages: 594-604
- Section: Articles
- URL: https://journals.eco-vector.com/0016-7525/article/view/14346
- DOI: https://doi.org/10.31857/S0016-7525646594-604
- ID: 14346
Cite item
Full Text
Abstract
It is established that the source rocks for the oils of Tatarstan was formed under similar conditions in the presence of anoxia in the photic layer of the sedimentation basin that existed during the whole time of accumulation of the initial organic matter at a considerable thickness of the layer infected with hydrogen sulphide. It is not excluded that disturbances in the existence of anoxia existed or thickness of the infected layer was reduced that resulted in decreasing of anoxia markers content for some oils. Biocenoses of microflora in the sedimentation layer contaminated by hydrogen sulfide demonstrate high stability. Transformation conditions of the buried organic matter in diagenesis and catagenesis were uniform, which manifests itself in approximately the same ratio between the depth of the complete hydrogenation and cyclization of the initial polyene aromatic carotenoids, the closeness of the molecular mass distributions of the C-C bond destruction products of components C40 and relatively small differences in the total concentration of monoaromatic compounds and the sum of hydrogenated analogs of the initial aromatic carotenoids. Analysis of content of the components – anoxia markers throughout the whole Devonian section is needed to establish the complexes that generated oils of Tatarstan.
Full Text
ВВЕДЕНИЕ
Из всего Волго-Уральского нефтегазоносного бассейна (НГБ) нефтям Татарстана посвящено наибольшее число работ (Галимов и др., 2015; Каюкова и др., 2006; Арефьев и др., 1994; Гордадзе и др., 2005, 2007; Юсупова и др., 2012; Каткова и др., 2004; Aizenshtat et al., 1998). Такой интерес к этой части бассейна, по-видимому, частично обусловлен большим разнообразием условий залегания нефтей. В пределах Татарстана выявлено около двух десятков продуктивных горизонтов в интервале от живетского яруса (средний девон) до московского яруса (средний карбон) и ряд крупных тектонических структур (Нефтяные…, 1987; Ларочкина, 2008; Нефтегазоносность…, 2007). Однако во всех работах геохимической направленности, в которых использовали наиболее информативный метод хроматомасс-спектрометрии, изучали только фракции насыщенных углеводородов, причем рассматривали исключительно стандартный набор биомаркеров: н-алканы, пристан, фитан, типовой набор коэффициентов, рассчитываемых по составу стеранов и тритерпанов (Каюкова и др., 2006; Арефьев и др., 1994; Гордадзе и др., 2005; 2007; Каткова и др., 2004; Aizenshtat etal., 1998). Из специфических маркеров анализировали только гамма-церан. В результате получена следующая обобщенная картина: все нефти геохимически однотипны, их исходное органическое вещество отлагалось в морских обстановках осадконакопления в условиях восстановительной среды в карбонатных или кремнисто-карбонатных породах. Только относительно нефтей из отложений среднего девона, согласно (Каюкова и др., 2006), есть основания полагать глинистые материнские породы, причем этот вывод требует подтверждения. Полагают, что существует или одна нефтематеринская толща для всех нефтей, или – несколько, но с однотипными условиями осадконакопления и нефтегенерации. Конкретно в качестве материнских предположительно рассматривали породы семилукского горизонта и терригенного девона (Зайдельсон и др., 1990; Хисамов и др., 2008), причем ни одну из точек зрения на тему о нефтематеринских породах нельзя признать обоснованной.
Вместе с тем на территории Татарстана в карбонатных отложениях верхнего девона в пределах Южно-Татарского свода нами была найдена большая группа ароматических соединений – свидетелей аноксии в фотическом слое бассейна седиментации (Полудеткина и др., 2017; Смирнов и др., 2018). То же было обнаружено в ряде образцов нефтей Ромашкинского месторождения (Смирнов, Полудеткина, 2018). Эти соединения вместе с методами их идентификации детально описаны в (Koopman et al., 1996; Clifford et al., 1998). Естественно возникла необходимость выяснить, насколько данная группа компонентов характерна для нефтей Татарстана в целом и, соответственно, можно ли исходя из концентраций и состава этих маркеров реконструировать особенности условий нефтегенерации и осадконакопления материнских пород.
ЭКСПЕРИМЕНТАЛЬНАЯ ЧАСТЬ
Рис. 1. Обзорная карта с указанием изученных месторождений на территории Татарстана.
Объектами изучения служили 42 фракции ароматических соединений, выделенных из нефтей 18-ти месторождений Татарстана, распределенных по всей территории республики (рис. 1, табл. 1, 2). Возраст коллекторов – от D2 (воробьевский горизонт) до C2(башкирский ярус). Всего в выборке представлено 11 горизонтов и ярусов. Месторождения расположены в пределах пяти из шести крупных тектонических структур Татарстана. Большая их часть – в пределах Южно-Татарского свода, так как здесь сосредоточено подавляющее большинство
месторождений республики (табл. 2). Общая характеристика состава нефтей бассейна приведена в (Смирнов, Ванюкова 2015; Смирнов и др., 2016).
Таблица 1. Список изученных образцов нефтей Ромашкинского месторождения
Шифр | Площадь | Возраст | Скважина | Глубина, м | |
от | до | ||||
Р-1 | Азнакаевская | D3dm | 4560 | 1605 | 1611 |
Р-2 | Азнакаевская | D3md-dm | 4371 | 1858,5 | 2031,7 |
Р-3 | Березовская | D3md-dm | 25276 | н.д. | н.д. |
Р-4 | Восточно- Лениногорская | C1kz | 11111 | 1211 | 1216 |
Р-5 | Зеленогорская | D3psh | 19949 | 1698 | 1699 |
Р-6 | Зеленогорская | D2vr | 29206 | 1801 | 1803 |
Р-7 | Северо- Альметьевская | D3psh | 14707 | н.д. | н.д. |
Р-8 | Северо- Альметьевская | D3psh | 14708 | н.д. | н.д. |
Р-9 | Чишминская | D3kn | 13394 | 1851 | 1854 |
Р-10 | Чишминская | D3psh | 6945 | 1814 | 1817,6 |
Р-11 | Чишминская | D3psh | 21914 | 1760,8 | 1764,0 |
Р-12 | Чишминская | D2ar | 21914 | 1837,2 | 1840,4 |
Р-13 | н.д. | C1bb | 17948 | 1237 | 1239 |
Р-14 | н.д. | D3d-lb | 19819 | н.д. | н.д. |
Р-15 | н.д. | D3d-lb | 19742 | 1399,6 | 1412 |
Р-16 | н.д. | D3d-lb | 28370 | н.д. | н.д. |
Р-17 | н.д. | D3d-lb | 19817 | н.д. | н.д. |
Р-18 | н.д. | D3dm | 22712 | 1462 | 1467 |
Примечания. н.д. – в этой таблице и далее – нет данных.
Таблица 2. Список изученных образцов нефтей прочих месторождений Татарстана
Шифр | ТС | Месторождение | Возраст | Скв. | Глубина, м | |
от | до | |||||
Т-1 | МВ | Аксубаево- | C1bb | 114 | 1204 | 1209 |
Т-2 | ЮТС | Бавлинское | D3d-lb | 1144 | н.д. | н.д. |
Т-3 | ЮТС | Бавлинское | D3psh | 488 | н.д. | н.д. |
Т-4 | ЮТС | Бавлинское | D2ar | 558д | н.д. | н.д. |
Т-5 | ЮТС | Беркет- | C1bb | 1952 | 1258 | 1261 |
Т-6 | МВ | Енорускинское | C1bb | 84 | 1220 | 1224 |
Т-7 | ЮТС | Ивашкино- | C1bb | 1565 | н.д. | н.д. |
Т-8 | МВ | Кутушское | D3kn | 596-д | 1605,2 | 1606,2 |
Т-9 | ЮТС | Ново- | C1t | 6766 | н.д. | н.д. |
Т-10 | МВ | Нурлатское | C2b | 9447 | н.д. | н.д. |
Т-11 | МВ | Нурлатское | C1bb+rd | 9816 | н.д. | н.д. |
Т-12 | МВ | Нурлатское | D3kn | 1703 | н.д. | н.д. |
Т-13 | МВ | Пионерское | C1bb | 462 | н.д. | н.д. |
Т-14 | МВ | Пионерское | D3kn+psh | 33 | 1938 | 1951 |
Т-15 | ЮТС | Сабанчинское | D3psh | 40 | н.д. | н.д. |
Т-16 | ЮТС | Тюгеевское | D3kn | 2617 | н.д. | н.д. |
Т-17 | ЮТС | Тюгеевское | D3psh | 2642 | н.д. | н.д. |
Т-18 | ЮТС | Уратьминское | C1tl | 862 | 1077 | 1079 |
Т-19 | БС | Актанышское | C1bb | 122 | 1273 | 1274 |
Т-20 | НСЛД | Бондюжное | D3kn+psh | 266д | н.д. | н.д. |
Т-21 | НСЛД | Первомайское | C1el | 740 | 1118 | 1124 |
Т-22 | НСЛД | Первомайское | D3kn | 689 | 1605 | 1606 |
Т-23 | СС | Бастрыкское | C1t | 455 | н.д. | н.д. |
Т-24 | МВ | Аканское | C2b | 2263 | н.д. | н.д. |
Примечания. ТС – крупные тектонические структуры: ЮТС – Южно-Татарский свод, БС – Бирская седловина, МВ – Мелекесская впадина, НСЛД – Нижнекамская система линейных дислокаций, СС – Сарайлинская седловина.
После стандартного осаждения асфальтенов гексаном полученные мальтены разделяли на силикагеле (Merck), импрегнированном AgNO3. При выделении фракции насыщенных углеводородов элюент – гексан, ароматических соединений – толуол. Полнота разделения подтверждена данными хроматомасс-спектрометрии (ГХ/МС).
ГХ/МС анализ проводили на масс-спектрометре Thermo Focus DSQ II. Использована капиллярная колонка HP-5, длина 15 м, внутренний диаметр 0,25 мм, толщина фазы 0,25 мкм, газ-носитель – гелий. Режим работы: температура инжектора 300°С, начальная температура печи хроматографа – 70°С, нагрев – 2°С/ мин до 310°С, далее – изотерма в течении 20 мин; режим работы масс-спектрометра: ионизация электронами (энергия ионизации 70 эВ), температура источника 250°С, сканирование в диапазоне 10–650 Да со скоростью 1.0 скан/с, разрешение единичное по всему диапазону масс.
Идентификацию соединений – свидетелей аноксии проводили по масс-фрагментограммам, построенным по характеристическим ионам с m/z = 133, 134, 169, 183, 209, 223, 235, 237, 287 и молекулярным ионам от М = 148 до М = 546 в соответствии с данными (Koopman et al., 1996; Clifford et al., 1998; Hartgers et al., 1994). Детально методика идентификации индивидуальных компонентов и методика количественного анализа выделенных групп соединений (см. ниже) описана в (Смирнов, Полудеткина, 2018а).
РЕЗУЛЬТАТЫ И ИХ ОБСУЖДЕНИЕ
Все изученные нефти, кроме образца из отложений терригенного верхнего девона Пионерского месторождения, по стандартным параметрам, рассчитываемым из состава насыщенных биомаркеров (Pr/Ph, Ts/Tm, диа-/рег- и т.д.), соответствовали ранее опубликованным данным (Каюкова и др., 2006; Арефьев и др., 1994; Гордадзе и др., 2005, 2007; Каткова и др., 2004; Aizenshtat et al., 1998). Значения этих параметров типичны для зрелого нефтематеринского вещества, отлагавшегося в морских условиях в восстановительной среде осадконакопления. Образец Пионерского месторождения (№ Т-14, табл. 2) резко выделяется среди прочих практически по всем показателям: Pr/Ph ~1,0 (наибольшее значение для прочих нефтей 0,72), Ts / Tm = 0,84, гопаны/стераны = 0,6 (для прочих – >2), С27-диа-/С27-рег- = 0,8 (для остальных – максимум – 0,33), то есть отличается как повышенной зрелостью, так и условиями формирования нефтематеринского вещества.
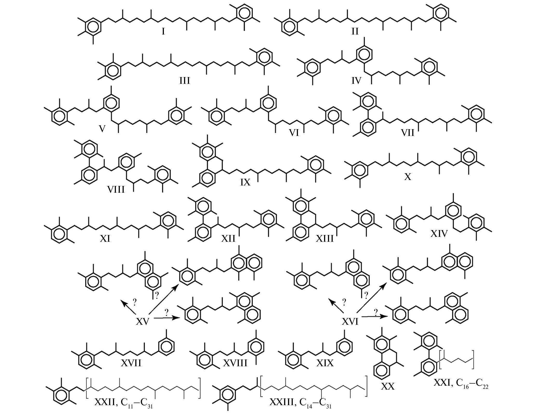
Во всех изученных фракциях ароматических соединений обнаружено более 50 компонентов от С11 до С40 – свидетелей аноксии в фотическом слое бассейна седиментации (рис. 2). Только в одном образце найдено единственное соединение с характеристическим ионом m/z = 287, концентрация которого была крайне мала. Поэтому на рис. 2 оно не приведено. Эти соединения на основании приведенных в (Koopman et al., 1996; Clifford et al., 1998) схем их вероятного образования сгруппированы следующим образом:
группа 1 – продукты гидрирования исходных полиеновых соединений I – III;
группа 2 – прочие компоненты С40 – продукты циклизации в диагенезе с частичным гидрированием исходных (IV – IX);
группа 3 – соединения С32 и С33 – продукты, образовавшиеся в диагенезе путем элиминирования толуола или ксилолов из компонентов группы 2 (X – XIV);
группа 4 – компоненты С19 – С26 – продукты более глубокой деструкции в диагенезе (XV– XX);
группа 5 – ряд бифенилов XXI;
группа 6 – 2,3,6-Ме3-замещенные алкилбензолы XXII;
группа 7 – 3,4,5-Ме3-замещенные алкилбензолы XXIII.
Для количественной оценки содержания каждой группы соединений и общей концентрации во фракциях свидетелей аноксии в соответствии с (Полудеткина и др., 2017) в качестве характеристических использованы суммы четных и нечетных ионов m/z 133 + 134, 237 + 238, 287 + 288, 169 + 170, 183 + 184, 209 + 210, 223 + 224, 235 + 236. Кроме того, использованы молекулярный ион с m/z = 274 и ион m/z = 237. Общее содержание соединений – свидетелей аноксии во фракциях ароматических соединений и их относительное распределение по выделенным группам приведено в табл. 3.
Рис. 2. Структура идентифицированных соединений – свидетелей аноксии в фотическом слое бассейна седиментации. Знаками вопроса отмечены случаи, когда структура установлена с точностью до приведенных на рисунке изомеров.
Из данных табл. 3 следует, что свидетели аноксии присутствуют во всех нефтях Татарстана. То есть нефтематеринское вещество всех этих нефтей в той или иной мере формировалось за счет компонентов, продуцированных в условиях аноксии в фотическом слое, и эти условия имели место в бассейне (или бассейнах) седиментации либо постоянно, либо эпизодически. Если временно исключить из рассмотрения выделяющийся среди прочих образец Пионерского месторождения (Т-14), среди остальных нефтей суммарное содержание этих компонентов, как правило, достаточно велико и различия между нефтями умеренные: интервал наблюдаемых значений – 1,2–5,6%, наибольшая разница – примерно в 4,5 раза – близка к наблюдавшейся в аналогичных фракциях, выделенных из битумоидов одного (семилукского) горизонта одной скважины (Полудеткина и др., 2017; Смирнов и др., 2018). При этом только в трех пробах содержание свидетелей аноксии менее 2,0% и в двух – более 5,0%, то есть для 88% проб значения укладываются в диапазон от 2,0 до 5,0%. Для сравнения, суммарная концентрация всех изопренанов до С20 включительно во фракциях насыщенных углеводородов, выделенных из тех же нефтей, составляла от 1,8 до 9,0 мас.% от фракции насыщенных углеводородов. Учитывая, что все соединения – свидетели аноксии образовались в основном из двух исходных биароматических каротиноидов С40 (см. ниже), такие концентрации, как показано ранее (Смирнов, Полудеткина, 2018а), следует признать очень высокими, указывающими на то, что аноксия в фотическом слое существовала в течение всего времени накопления исходного органического вещества этих нефтей, причем мощность зараженного сероводородом слоя была значительной. Для нефтей с наименьшим содержанием свидетелей аноксии представляется возможным ситуация, когда либо имели место перерывы в существовании сероводородного заражения, либо мощность зараженного слоя была пониженной.
Таблица 3. Суммарное содержание соединений – свидетелей аноксии во фракциях ароматических соединений и их относительное распределение по группам
Шифр | Сумма, мас.% | Мас. % от всех компонентов - свидетелей аноксии в группах 1–7 | Группы (6+7)/ группа 1 | Сумма групп 2–5 | ||||||
1 | 2 | 3 | 4 | 5 | 6 | 7 | ||||
Р-1 | 3,0 | 16,2 | 1,1 | 1,3 | 4,0 | 1,4 | 56,7 | 19,4 | 4,7 | 7,8 |
Р-2 | 2,2 | 11,5 | 1,2 | 1,2 | 3,9 | 1,7 | 60,8 | 19,7 | 7,0 | 8,0 |
Р-3 | 4,4 | 19,0 | 1,0 | 1,4 | 2,2 | 1,0 | 55,4 | 20,0 | 4,0 | 5,5 |
Р-4 | 2,8 | 11,0 | 0,9 | 1,1 | 2,5 | 2,9 | 61,8 | 19,7 | 7,4 | 7,4 |
Р-5 | 3,4 | 8,6 | 0,6 | 0,8 | 2,6 | 2,3 | 64,9 | 20,3 | 9,9 | 6,3 |
Р-6 | 2,0 | 7,6 | 0,9 | 1,1 | 4,1 | 4,1 | 61,9 | 20,4 | 10,8 | 10,2 |
Р-7 | 2,0 | 9,3 | 0,8 | 1,2 | 3,2 | 4,2 | 59,7 | 21,7 | 8,8 | 9,4 |
Р-8 | 3,5 | 8,3 | 0,7 | 1,0 | 2,9 | 2,7 | 63,3 | 21,1 | 10,2 | 7,3 |
Р-9 | 4,3 | 7,3 | 0,4 | 0,8 | 1,9 | 2,9 | 69,0 | 17,8 | 11,8 | 5,9 |
Р-10 | 2,5 | 7,9 | 1,0 | 1,2 | 2,7 | 3,8 | 64,8 | 18,7 | 10,6 | 8,6 |
Р-11 | 3,8 | н.д. | н.д. | н.д. | 2,0 | 2,2 | 78,1 | 17,6 | н.д. | >4,3 |
Р-12 | 3,4 | 5,7 | 0,6 | 1,0 | 1,7 | 3,1 | 70,3 | 17,6 | 15,5 | 6,4 |
Р-13 | 2,7 | 13,8 | 1,0 | 1,3 | 2,9 | 2,5 | 59,5 | 18,9 | 5,7 | 7,7 |
Р-14 | 3,0 | 15,3 | 1,1 | 1,5 | 4,0 | 2,7 | 56,4 | 19,1 | 4,9 | 9,3 |
Р-15 | 4,4 | 14,6 | 1,6 | 1,6 | 3,2 | 2,5 | 59,3 | 17,2 | 5,2 | 8,9 |
Р-16 | 5,1 | 15,1 | 1,4 | 1,4 | 2,9 | 1,7 | 60,5 | 17,0 | 5,1 | 7,4 |
Р-17 | 4,7 | 19,2 | 1,9 | 1,5 | 2,9 | 1,5 | 57,3 | 15,7 | 3,8 | 7,8 |
Р-18 | 4,0 | 15,1 | 1,6 | 1,6 | 4,5 | 2,9 | 55,7 | 18,6 | 4,9 | 10,6 |
Т-1 | 1,2 | 17,1 | 0,3 | 0,0 | 1,9 | 3,8 | 57,7 | 19,3 | 4,5 | 5,9 |
Т-2 | 3,6 | 12,4 | 1,0 | 1,0 | 3,1 | 2,3 | 59,6 | 20,6 | 6,5 | 7,4 |
Т-3 | 2,9 | 4,9 | 0,6 | 0,8 | 4,6 | 3,8 | 67,3 | 18,1 | 17,6 | 9,8 |
Т-4 | 2,0 | 3,3 | 0,4 | 0,6 | 3,3 | 3,5 | 74,1 | 14,9 | 27,1 | 7,8 |
Т-5 | 1,4 | 13,6 | 0,5 | 1,4 | 2,8 | 3,3 | 60,6 | 17,9 | 5,8 | 7,9 |
Т-6 | 2,9 | 15,9 | 1,0 | 0,8 | 3,5 | 1,9 | 57,6 | 19,3 | 4,8 | 7,2 |
Т-7 | 3,1 | 11,2 | 0,9 | 0,8 | 3,5 | 2,3 | 62,4 | 18,9 | 7,2 | 7,5 |
Т-8 | 3,3 | 12,1 | 0,5 | 1,1 | 2,6 | 1,9 | 66,9 | 14,9 | 6,8 | 6,1 |
Т-9 | 4,5 | 11,0 | 0,4 | 1,1 | 3,6 | 2,1 | 65,9 | 15,8 | 7,4 | 7,2 |
Т-10 | 3,2 | 12,9 | 0,8 | 1,0 | 3,0 | 2,5 | 61,5 | 18,4 | 6,2 | 7,2 |
Т-11 | 3,0 | 15,9 | 1,2 | 1,5 | 4,2 | 2,3 | 52,3 | 22,6 | 4,7 | 9,2 |
Т-12 | 3,2 | 7,5 | 0,7 | 1,0 | 4,8 | 3,6 | 60,9 | 21,6 | 11,0 | 10,0 |
Т-13 | 3,0 | 13,1 | 0,8 | 1,1 | 3,7 | 3,1 | 57,3 | 21,0 | 6,0 | 8,7 |
Т-14 | 0,5 | 7,4 | 0,0 | 0,0 | 0,0 | 0,6 | 52,1 | 39,9 | 12,4 | н.д. |
Т-15 | 1,8 | 6,0 | 0,4 | 1,4 | 2,5 | 5,0 | 65,9 | 18,8 | 14,0 | 9,3 |
Т-16 | 2,7 | 19,9 | 1,2 | 1,7 | 3,8 | 2,5 | 54,6 | 16,4 | 3,6 | 9,1 |
Т-17 | 2,7 | 21,1 | 1,3 | 1,8 | 3,0 | 2,5 | 53,3 | 17,0 | 3,3 | 8,6 |
Т-18 | 4,8 | 16,9 | 1,0 | 1,2 | 3,8 | 2,2 | 61,8 | 12,9 | 4,4 | 8,3 |
Т-19 | 3,6 | 17,3 | 0,9 | 1,4 | 1,7 | 2,2 | 59,2 | 17,2 | 4,4 | 6,2 |
Т-20 | 4,8 | 9,2 | 0,9 | 1,0 | 3,8 | 2,4 | 63,8 | 19,0 | 9,0 | 8,0 |
Т-21 | 3,2 | 16,7 | 0,5 | 1,6 | 2,5 | 2,5 | 62,7 | 13,6 | 4,6 | 7,1 |
Т-22 | 5,6 | 12,3 | 1,0 | 1,2 | 2,3 | 1,5 | 64,4 | 17,3 | 6,6 | 6,0 |
Т-23 | 3,4 | 10,6 | 0,5 | 1,3 | 2,0 | 3,2 | 64,6 | 17,7 | 7,7 | 7,1 |
Т-24 | 3,3 | 14,8 | 0,7 | 0,8 | 3,2 | 2,2 | 61,2 | 17,1 | 5,3 | 7,0 |
Все нефти Татарстана не только сформированы из органического вещества, отлагавшегося в схожих обстановках, но и близки по условиям преобразования этого вещества. Так, согласно (Koopman et al., 1996; Clifford et al., 1998; Hartgers et al., 1994), исходные для всех рассматриваемых соединений – свидетелей аноксии биароматические полиены на начальном этапе могут либо вступать в реакции внутримолекулярной циклизации с образованием дополнительных ароматических циклов, либо подвергаться полному гидрированию двойных связей цепи с образованием соединений группы 1. После частичного элиминирования толуола и ксилола на стадии диагенеза, иных процессов деструкции и гидрирования оставшихся после циклизации двойных связей первый вариант преобразования дает соединения групп 2–5, то есть их общая концентрация отражает скорость протекания процесса циклизации. Разрыв С-С-связей в цепи частично гидрированных исходных ароматических каротиноидов с последующим полным гидрированием двойных связей приводит к образованию моноароматических компонентов групп 6 и 7 (Смирнов и др., 2018). Так что суммарная концентрация соединений групп 1, 6 и 7 есть мера скорости протекания конкурирующего процесса полного гидрирования исходных полиенов. Соотношение между содержанием групп 2–5 и групп 1, 6, 7 показывает соотношение между скоростями циклизации и полного гидрирования. Из данных табл. 3 следует, что при трансформации материнского вещества всех нефтей доминировали процессы полного гидрирования двойных связей цепей. На долю соединений – продуктов циклизации приходится не более 10% общего количества свидетелей аноксии. Более того, доли этих продуктов циклизации варьируют в узких пределах: разница между крайними значениями всего лишь двухкратная. Как отмечалось выше, в нефтях Татарстана практически не бывает продуктов глубокой циклизации, когда образуются нафталиновые или фенантреновые фрагменты, найденные в (Koopman et al., 1996). Следовательно, условия на той стадии трансформации органического вещества, когда протекали указанные процессы, для материнского вещества всех нефтей были очень близки.
Далее, согласно (Koopman et al., 1996; Clifford et al., 1998), тетразамещенные бензолы групп 6 и 7 образовались в результате разрыва С-С-связей цепи гидрированных исходных ароматических каротиноидов на стадии катагенеза, исходя из чего предложено рассматривать отношение суммарного содержания компонент групп 6 и 7 к общему содержанию соединений группы 1 как характеристику зрелости органического вещества. Хотя, как показано в (Смирнов и др., 2018), процесс образования бензолов групп 6 и 7 намного сложнее и может протекать в диагенезе: этот показатель, безусловно, полезен для оценки степени близости условий, в которых проходило нефтеобразование. Так вот, в нефтях Белоруссии в наименее зрелом образце это отношение составляло около 0,05; наибольшее же зафиксированное значение – более 100, то есть наблюдавшаяся в нефтях одного региона разница между крайними величинами данного параметра превышала 2000 (Clifford et al., 1998). Среди же изученных нефтей крайние значения отличаются менее чем в 9 раз (образцы Т-17 – 3,3 и Т-4 – 27,1), причем 90% проб укладываются в диапазон 3,8–15,5 всего с четырехкратной разницей крайних величин (табл. 3). Так что и по глубине протекания процессов деструкции цепей нефти Татарстана отличаются друг от друга не сильно.
В полученных при анализе фракций молекулярно-массовых распределениях (ММР) моноароматических соединений групп 6 и 7 наблюдаются те же различия, что и в нефтях Ромашкинского месторождения (Смирнов, Полудеткина, 2018): положение максимума распределения варьировало в интервале от С13 до С18, отличаются доли компонентов, приходящихся на области С13 – С16 и С18 – С22. Однако изучение набора сырых нефтей показало, что эта разница обусловлена неконтролируемым элиминированием более летучих членов ряда при выделении фракций. Типичные результаты сравнения ММР, полученные при анализе сырых нефтей и выделенных из них фракций, представлены на рис. 3. По-видимому, наибольшая потеря относительно летучих соединений происходит в образцах, выделенных в малых количествах (единицы миллиграмм) при большой задержке с регистрацией их масс-спектров (1–2 недели).
Следствием того, что часть компонентов групп 6 и 7 теряется при пробоподготовке, становится занижение отношения суммарного содержания бензолов групп 6 и 7 к общему содержанию соединений группы 1. Наименьшее наблюдавшееся занижение – в 1,1 раза, наибольшее – в 1,7 раза, для остальных изученных нефтей эта величина лежала в диапазоне 1,2–1,3. Поскольку,
как указывалось выше, разница по данному отношению между нефтями может быль более чем 2000-кратной, для грубой его оценки такие искажения не принципиальны. Однако точный анализ требует работы с сырыми нефтями. При этом следует иметь в виду возможность потери нефтями более летучих компонентов в природной обстановке.
Рис. 3. Молекулярно-массовые распределения (ММР) соединений группы 6, полученные для сырых нефтей (а) и выделенных из них фракций (б). 1 – максимум ММР при анализе фракции приходится на С18; 2 – на С15; 3 – на С13. По оси ординат «% мас.» – от общего содержания компонентов данной группы.
Еще одним параметром, по которому наблюдается подобие нефтей Татарстана, является соотношение между соединениями I–III, отражающее соотношение между исходными синтезированными биотой ароматическими каротиноидами. Во всех нефтях доминирует 3,4,5-Ме3/2,3,6-Ме3 изомер I, на долю которого приходится около 75% всех компонентов группы 1. Доля 2,3,6-Ме3/2,3,6-Ме3 изомера II близка к 20%. Минимально содержание 2,3,4-Ме3/2,3,6-Ме3 изомера III (порядка 5%). Поскольку, согласно (Koopman et al., 1996; Clifford et al., 1998; Hartgers et al., 1994; Bloch et al., 2008), каждый изомер продуцируется отдельным микроорганизмом, такое постоянство состава свидетельствует об устойчивом биоценозе микрофлоры в зараженном сероводородом слое бассейне седиментации нефтематеринского вещества всех нефтей Татарстана.
Образец Т-14 Пионерского месторождения отличается от прочих относительно низким содержанием соединений – свидетелей аноксии, так что материнское вещество этой нефти отлагалось в условиях, когда-либо сероводородное заражение существовало с существенными перерывами по времени, либо мощность зараженного слоя была мала. Он выделяется среди прочих нефтей и по другим параметрам: отношению Pr/Ph (~1,0, тогда как наибольшая величина для остальных нефтей - <0,7), зрелостью, оцененной по отношению 4-метилдибензотиофена к 1-метилдибензтиофену (11 и <4 для прочих нефтей), отношению диа-/рег-, оцененной по С27-стеранам (соответственно 0,80 и <0,3) и т.д., следовательно, источник этой нефти отличается от источников прочих нефтей Татарстана. Однако следует отметить, что в отличие от прочих данная проба отобрана не из промышленной залежи, а из разведочной скважины более 40 лет назад. Промышленно значимые залежи на этом и соседних месторождениях расположены до глубин около 1300 м, тогда как глубина залегания данной нефти – более 1900 м. Образец Т-13 того же месторождения из промышленной залежи ничем не выделяется на фоне прочих, изученных в работе. Возможно, источник, генерировавший эту нефть, маломощный и не в состоянии продуцировать существенное количество нефти.
Сопоставляя нефти и изученные отложения карбонатного девона (доманиковой формации) того же региона, можно сказать, что по общему содержанию свидетелей аноксии нефти в целом близки к органическому веществу (ОВ) семилукского горизонта Южно-Татарского свода (Смирнов и др., 2018). В прибортовой зоне Мухано-Ероховского прогиба (на Малогосвитской площади) типичные концентрации соответствуют нижней границе, наблюдаемой в нефтях. Примерно то же показали породы фаменского яруса этой зоны (Скифская, Сударовская площади), тогда как в мендыме (Скифская площадь) свидетелей аноксии чаще совсем мало. Ближе к центральной зоне прогиба (Пешковская площадь) сколько-нибудь заметного содержания свидетелей аноксии не было ни в отложениях семилукского горизонта, ни фаменского яруса (Смирнов и др., 2018). Следовательно, основную часть пород карбонатного девона Мухано-Ероховского прогиба можно исключить из списка возможных нефтематеринских отложений для нефтей Татарстана.
По составу свидетелей аноксии фиксируются достоверные различия нефтей и ОВ доманиковой формации Камско-Бельской впадины и Мухано-Ероховского прогиба. В пробах из доманика больше отношение суммарного содержания тетразамещенных бензолов групп 6 и 7 к соединениям группы 1 (для нефтей типичные величины менее 15, для ОВ доманика указанных районов – как правило, от 20 до 200). Доля же продуктов циклизации, как правило, меньше, чем в нефтях (Смирнов и др., 2018). По сравнению с ОВ доманиковой формации Южно-Татарского свода единственная разница – в среднем большее содержание в ОВ доманика продуктов циклизации. Данные о составе свидетелей аноксии свидетельствуют в пользу того, что эти отложения могут принимать участие в формировании нефтяных залежей, но, вероятно, это не единственный и, возможно, не главный источник нефтяных залежей на территории Татарстана.
ЗАКЛЮЧЕНИЕ
Приведенные данные позволяют заключить, что материнское вещество всех нефтей Татарстана формировалось в очень схожих условиях при наличии аноксии в фотическом слое бассейна седиментации, существовавшей в течение всего времени накопления исходного органического вещества, причем мощность зараженного сероводородом слоя была значительной. Только для отдельных нефтей с наименьшим содержанием свидетелей аноксии представляется возможной ситуация, когда-либо имели место перерывы в существовании сероводородного заражения, либо мощность зараженного слоя была пониженной. Биоценозы микрофлоры в зараженном сероводородом слое бассейне седиментации нефтематеринского вещества демонстрируют высокую устойчивость. Единообразными были и условия преобразования захороненного вещества на стадиях диа- и катагенеза, что проявляется в примерно одинаковом соотношении между глубиной протекания процессов полного гидрирования и циклизации исходных полиеновых ароматических каротиноидов, близости молекулярно-массовых распределений продуктов деструкции С-С-связей компонентов С40 и относительно небольших различиях в отношении общей концентрации моноароматических соединений и суммы гидрированных аналогов исходных ароматических каротиноидов.. Наблюдаемая картина в целом подобна той, которая была зафиксирована при изучении органического вещества из отложений доманиковой формации Южно-Татарского свода. Однако в силу неизученности органического вещества из иных горизонтов делать вывод, что именно породы этого возраста являются нефтематеринскими, представляется преждевременным. Не исключено, что аноксия в фотическом слое имела место и в течение иных геологических периодов времени. Единственное, что можно утверждать – среди критериев, на основании которых следует проводить поиск источников нефтей Татарстана, одним из важнейших является наличие в бассейне седиментации постоянного мощного слоя сероводородного заражения. Этот критерий позволяет исключить из списка возможных нефтематеринских отложений для нефтей Татарстана основную часть пород карбонатного девона Мухано-Ероховского прогиба.
Источник финансирования
Работа выполнена в рамках государственного задания ИНХС РАН.
About the authors
M. B. Smirnov
A.V.Topchiev Institute of Petrochemical Synthesis, Russian Academy of Sciences
Author for correspondence.
Email: m-smirnov@yandex.ru
Russian Federation, Moscow, Leninsky pr., 29
E. N. Poludetkina
Lomonosov Moscow State University, Faculty of Geology
Email: poludetkinaelena@mail.ru
Russian Federation, Moscow, Leninskie Gory, 1
N. P. Fadeeva
Lomonosov Moscow State University, Faculty of Geology
Email: fadeeva_nataly@mail.ru
Russian Federation, Moscow, Leninskie Gory, 1
References
- Арефьев О.А., Забродина М.Н., Русинова Г.В., Петров Ал.А. (1994) Биомаркеры нефтей Волго-Уральской нефтегазоносной провинции. Нефтехимия 34 (6), 483-502.
- Галимов Э.М., Камалеева А.И. (2015) Источник углеводородов супергигантского нефтяного месторождения Ромашкино (Татарстан) - приток из кристаллического фундамента или нефтематеринские осадочные отложения? Геохимия (2), 103-122.
- E. M. Galimov, A. I. Kamaleeva (2015) Source of Hydrocarbons in the Supergiant Romashkino Oilfield (Tatarstan): Recharge from the Crystalline Basement or Source Sediments? Geochem. Int. 53 (2) 95-112.
- Гордадзе Г.Н., Тихомиров В.И. (2005) Геохимическая характеристика нефтей и РОВ пород центральных районов Волго-Урала (по УВ-биомаркерам). Геохимия(11), 1208-1223.
- Гордадзе Г.Н., Тихомиров В.И. (2007) Об источниках нефтей на северо-востоке Татарстана. Нефтехимия 47 (6), 422-431.
- Зайдельсон М.И., Суровиков Е.Я., Казьмин Л.Л., Вайнбаум С.Я., Семенова Е.Г. (1990) Особенности генерации, миграции и аккумуляции УВ доманиковой формации Геология нефти и газа (6), 2-15.
- Каюкова Г.П., Нигмедзянова Л.З., Романов Г.В., Шарипова Н.С., Смелков В.М., Дахнова М.В., Жеглова Т.П., Храмова Э.В. (2004) Закономерности состава и распределения углеводородов - биомаркеров в нефтях и битумоидах Бавлинской площади Южно-Татарского свода. Нефтехимия 44 (6), 440-448.
- Каюкова Г.П., Миннегалиева А.М., Романов А.Г., Киямова А.М., Шарипова Н.С., Смелков В.М., Дахнова М.В., Нечитайло Г.С. (2006) Дифференциация нефтей Ромашкинского месторождения по биомаркерным параметрам. Нефтехимия 46 (5), 341-351.
- Ларочкина И.А. (2008) Геологические основы поисков и разведки нефтегазовых месторождений на территории республики Татарстан. Казань. ООО ПФ «Гарт», 210 с.
- Нефтяные и газовые месторождения СССР. Справочник. (1987) (Под ред. Максимова С.П.) В 2-х тт. М. «Недра». Т. 1. Европейская часть СССР. 358 с.
- Нефтгазоносность республики Татарстан. Геология и разработка нефтяных месторождений (2007) (Под ред. Муслюмова Р.Х.). Казань. Фэн, 1 524 с.
- Полудеткина Е.Н., Смирнов М.Б., Н.П.Фадеева Н.П., Козлова Е.В. (2017) Доказательство формирования органического вещества карбонатных и карбонатно-кремнистых отложений верхнего девона Южно-Татарского свода в условиях постоянной аноксии в фотическом слое. Геохимия (8), 730-740.
- E. N. Poludetkina, M. B. Smirnov, N. P. Fadeeva and E. V. Kozlova (2017) Proof of Formation of Organic Matter in Upper Devonian Carbonate and Carbonate-Siliceous Sediments of the South-Tatar Uplift in Constant Photic Layer Anoxia. Geochem. Int. 55 (8), 726-736
- Смирнов М.Б., Ванюкова Н.А. (2015) Закономерности распределения основных структурно-групповых параметров состава нефтей Волго-Уральского нефтегазоносного бассейна по данным ЯМР. Нефтехимия 55(6), 473-486.
- Смирнов М.Б., Ванюкова Н.А., Полудеткина Е.Н. (2016) Взаимосвязи основных измеряемых методами ЯМР 1Н и 13С структурно-групповых параметров состава нефтей Волго-Уральского НГБ. Нефтехимия 56 (4), 315-325.
- Смирнов М.Б., Полудеткина Е.Н. (2018) Характеристики источников нефтей Ромашкинского месторождения по результатам изучения состава насыщенных и ароматических биомаркеров. Геохимия (2), 175-184.
- M. B. Smirnov and E. N. Poludetkina (2018) Characteristics of Sources of Oils of Romashkino Field by Composition of Saturated and Aromatic Biomarkers. Geochem. Int. 56 (2), 162-170.
- Смирнов М.Б., Полудеткина Е.Н. (2018а) Простой способ оценки значимости биопродукции в условиях аноксии в фотическом слое при формировании рассеянного органического вещества пород и нефтей по данным масс-спектрометрии. Масс-спектрометрия 15 (2), 93-101.
- Смирнов М.Б., Фадеева Н.П., Полудеткина Е.Н. (2018) Распространение аноксичных условий в фотическом слое бассейна седиментации при формировании органического вещества доманиковых отложений северных и центральных районов Волго-Уральского НГБ. Геохимия.
- Хисамов Р.С., Войтович Е.Д., Либерман В.Б., Гатиятуллин Н.С., Войтович С.Е. (2006) Тектоническое и нефтегеологическое районирование территории Татарстана. Казань: Изд-во «Фэн» Академии наук РТ. 328 с.
- Юсупова Т.Н., Ганеева Ю.М., Тухватуллина А.З., Романов Г.В., Муслимов Р.Х., Круглов М.П. (2012) Состав нефтей в карбонатных пластах верейских и башкирских отложений Аканского месторождения республики Татарстан. Нефтехимия 52 (4), 243-248.
- Aizenshtat Z., Feinshtein S., Miloslavski I., Yakubson Z., Yakubson C.I. (1998) Oil-oil correlation and potential source rocks in the Tatarian and Perm basin, Russia. Organic Geochemistry 29 (1-3), 701-712.
- Bloch J.J., Schaeffer P. (2008) Okeanan, a biomarker for purple sulfur bacteria (Chromatiaceae), and other new carotenoid derivatives from the 1640 Ma Barney Greek Formation. Geochim. Cosmochim. Acta. 72 (5), 1396-1414.
- Cliffford D.J., Clayton J.L., Damste J.S.S. (1998) 2,3,6-/3,4,5-Trimethyl substituted diaryl carotenoid derivatives (Chlorobiaceae) in petroleums in the Belorussian Pripyat River Basin. Org. Geochem. 29 (5-7), 1253-1267.
- Hartgers W.A., Damste J.S.S., Requejo A.G., Allan J., Hayes J.H., Ling Y., Xie T.-M., Primack J., de Leeuw J.W. (1994) A molecular and carbon isotopic study towards the origin and diagenetic fate of diaromatic carotenoids. Advances in Organic Geochemistry. 1993. Org. Geochem. 22 (3-5), 703-725.
- Koopmans M.P., Koster J., van-Kaam-Peters H.M.E., Kenig F., Schouten S., Hartgers W.A., de Leeuw J.W., Damste J.S.S. (1996) Diagenetic and catagenetic products of isorenieratene: Molecular indicators for photic zone anoxia. Geochim. Cosmochim. Acta. 60 (22), 4467-4496.
Supplementary files





