Effect mass independent isotope fractionation of sulfur (δ33S and δ36S) during photolysis SO2 in experiments with broadband light source
- Авторлар: Ignatiev A.V.1, Velivetskaya T.A.1, Yakovenko V.V.1
-
Мекемелер:
- Far East Geological Institute, Far Eastern Branch of the Russian Academy of Sciences
- Шығарылым: Том 64, № 7 (2019)
- Беттер: 689-699
- Бөлім: Articles
- URL: https://journals.eco-vector.com/0016-7525/article/view/15321
- DOI: https://doi.org/10.31857/S0016-7525647689-699
- ID: 15321
Дәйексөз келтіру
Толық мәтін
Аннотация
This paper presents the results of experimental studies to examine the behavior of mass-independent isotope effects of sulfur Δ33S and Δ36S during photochemical processes initiated by broadband ultraviolet radiation. Experiments were performed in a flow photochemical reactor using a high pressure mercury lamp which is a source of radiation of a wide range with a maximum radiation intensity in the wavelength range 270−330 nm and weaker in the range 190−250 nm. We present measurements of the temperature and SO2 pressure dependence of the sulfur isotope ratios in the elemental sulfur products. Based on a comparative analysis of our isotope data with data from previous experimental studies with xenon and hydrogen lamps, it was shown that the character of the correlation dependences between the values of δ34S, Δ33S and Δ36S in elemental sulfur depends on the relative spectral distribution of the radiation intensity. Based on a comparison of our isotope data with data from previous experimental studies with xenon and hydrogen lamps, it was shown that the character of the correlation dependencies between the values of δ34S, Δ33S and Δ36S in elemental sulfur depends on the relative spectral distribution of the radiation intensity. The results of our experiments allow the possibility that photochemical processes in the range 250−330 nm could play a significant role in the production of an isotope sulfur anomaly in the Archean atmosphere. The conditions in which radiation in the 250−330 nm region prevail over the radiation in the 190−220 nm region are consistent with the assumption that the level of solar radiation reaching the Earth’s surface in Archean was several orders of magnitude larger in the wavelength range 200−300 nm compared with the current level of radiation in this range.
Негізгі сөздер
Толық мәтін
ВВЕДЕНИЕ
Последние два десятилетия ознаменовались значительным прогрессом в развитии наших представлений о геохимическом цикле серы в архее и раннем протерозое, что стало возможным благодаря открытию изотопной аномалии серы в сульфидах и сульфатах из древних осадочных пород (Farquhar et al., 2000). Обнаруженная изотопная аномалия характеризовалась значительным избытком изотопа серы 33S в минералах, что могло быть обусловлено масс-независимым фракционированием (МНФ) изотопов серы в процессах, вовлеченных в формирование этих минералов. Особый интерес представлял тот факт, что МНФ сигнал присутствовал в породах, возраст которых старше 2.4 млрд лет, и практически полностью исчезал в более молодых породах. Открытие изотопной аномалии в архейских породах было в дальнейшем подтверждено рядом исследований (Whitehouse et al., 2005; Farquhar et al., 2007; Ueno et al., 2008; Philippot et al., 2012; Roerdink et al., 2013; Thomassot et al., 2015; Hauri et al., 2016; Galić et al., 2017).
Последующие экспериментальные и теоретические работы показали, что эффект МНФ изотопов серы в земных породах может быть связан с фотохимическими процессами диссоциации диоксида серы (SO2), происходящими в условиях бескислородной атмосферы. Согласно модельным расчетам (Pavlov, Kasting, 2002), ключевым условием для продуцирования и сохранения изотопной аномалии серы в геологических породах является крайне низкий уровень содержания свободного молекулярного кислорода (O2) в древней атмосфере ― менее 10−5 от содержания O2 в современной атмосфере. Более высокий уровень содержания O2 в древней атмосфере приводил бы к нивелированию изотопной аномалии серы. Это послужило теоретическим основанием интерпретировать отсутствие изотопной аномалии серы в осадочных породах, возраст которых моложе 2.4 млрд лет, как свидетельство возрастания кислорода в атмосфере на рубеже архея и протерозоя.
Решающее значение для понимания природы изотопной аномалии в архейских породах имеют экспериментальные исследования по выяснению возможных механизмов и специфических условий, которые приводят к формированию аномального изотопного состава серы. Экспериментальные исследования фракционирования изотопов серы в фотохимических процессах с последующим анализом всех четырех стабильных изотопов серы (32S, 33S, 34S и 36S) и магнитуды изотопных аномалий (∆33S, ∆36S) в продуктах реакций позволили получить к настоящему времени ряд важных результатов и выводов относительно изотопных эффектов, ассоциирующихся с фотолизом SO2 в бескислородной атмосфере. Farquhar с соавт. (2001) экспериментально установили, что фотолиз SO2 действительно приводит к аномальному распределению изотопов серы в конечных продуктах реакций (S0 и SO4), причем характер полученных корреляционных зависимостей (δ33S/δ34S и ∆33S/∆36S) оказался чувствительным к спектральным характеристикам источников света, используемых для инициирования фотохимических реакций. Эти первоначальные результаты были в основном получены в экспериментах с использованием узкополосных источников света (ртутная лампа низкого давления с резонансным излучением на длинах волн ~185 и 253 нм; ArF и KrF эксимерные лазеры с излучением 193 и 248 нм соответственно), спектральные характеристики которых отличаются от естественного солнечного излучения. В последующих экспериментах для более точной имитации солнечного спектра применялись ксеноновые (Xe) или дейтериевые (D2) лампы, спектральный состав которых наиболее близок к излучению современного Солнца (Whitehill, Ono, 2012; Ono et al., 2013; Whitehill et al., 2015). В этих экспериментах была продемонстрирована спектральная зависимость эффекта МНФ в фотохимических процессах с участием SO2. В частности, под воздействием излучения в спектральном диапазоне 190−220 нм, фотодиссоциация SO2 приводит к образованию элементарной серы (S0) с аномальным обогащением по 33S (положительные ∆33S значения) и аномальным обеднением по 36S (отрицательные ∆36S значения). В более длинноволновом диапазоне (250−330 нм) процесс фотовозбуждения SO2 приводит к формированию S0 с положительными изотопными аномалиями как для ∆33S, так и для ∆36S.
Несмотря на то, что полученные к настоящему времени экспериментальные данные существенно продвинули наше понимание о механизмах и особенностях проявления изотопных эффектов серы в фотохимических процессах, остались проблемы в попытке увязать экспериментальные результаты с изотопными записями в архейских породах (Ono, 2017). Экспериментально полученные закономерности МНФ не способны в полной мере объяснить специфику изотопных трендов ∆33S/δ34S и ∆36S/∆33S, установленных в архейских породах, а именно: ∆33S≈0.9 · δ34S и ∆36S≈ −0.9 (или −1.5) · ∆33S (Halevy et al., 2010; Johnston, 2011). Это дает основание допустить, что в экспериментах не были учтены некие факторы, которые могли бы контролировать поведение ∆33S/δ34S и ∆36S/∆33S в продуктах фотохимических реакций. В связи с этим возникает вопрос о влиянии соотношения между интенсивностями излучения в различных участках спектра на поведение МНФ в фотохимических процессах. Излучение в спектральных диапазонах 190−220 и 250−330 нм представляет особый интерес, поскольку изотопные эффекты, ассоциирующиеся с этими диапазонами, имеют существенные отличия, что было обнаружено в упомянутых выше экспериментальных работах. Отметим, что в этих работах использовали источники излучения, которые имитировали современный спектр солнечной радиации, достигающей поверхности Земли при прохождении через слои атмосферы в настоящее время. Однако, если имитировать интенсивность излучения в архее, то следует учитывать специфику газового состава и солнечной радиации в ранней атмосфере Земли.
По некоторым оценкам (Cnossen et al., 2007), в спектральном диапазоне 200−300 нм уровень солнечной радиации, достигающей поверхности Земли через архейскую атмосферу, был выше современного. При этом в архее отношение интенсивности излучения в диапазоне 250−330 нм к интенсивности в диапазоне 190−220 нм предполагается на несколько порядков выше, чем отношение, наблюдаемое в настоящее время. Это мотивировало нас на проведение экспериментальных исследований с целью выяснения закономерностей проявления изотопных аномалий серы, которые могут возникать в фотохимических процессах с участием SO2 в условиях преобладания интенсивности в длинноволновом диапазоне излучения (250−330 нм) над интенсивностью в коротковолновом диапазоне (190−220 нм). Данные экспериментальных исследований представляют новую информацию, которая способствует более глубокому пониманию процессов и причин, обусловливающих продуцирование масс-независимых изотопных отношений серы в архейских породах.
ЭКСПЕРИМЕНТАЛЬНАЯ ЧАСТЬ
Фотохимические эксперименты
Для исследования масс-независимого фракционирования изотопов серы было проведено несколько серий фотохимических экспериментов с использованием чистого газа SO2. Фотолиз SO2 осуществляли в цилиндрическом проточном кварцевом реакторе (длина 25 см, внутренний диаметр 0.8 см). Для изготовления реакторов использовали трубки из оптического кварцевого стекла марок КУ и КВ, различающихся по своим спектральным характеристикам пропускания света. Кварцевое стекло КУ хорошо пропускает свет с длиной волны >160 нм, кварцевое стекло КВ пропускает свет в области длин волн >190 нм.
В качестве источника излучения была применена ртутная лампа (Hg лампа) высокого давления мощностью 250 Вт, которая была расположена на расстоянии около 50 см от боковой поверхности реакционной трубки. Ртутная лампа является эффективными источником излучения широкого диапазона длин волн – от 180 до 2000 нм. Спектральное распределение излучения Hg лампы показано на рис. 1. Широкополосная Hg лампа обладает высокой интенсивностью излучения в диапазоне 250−330 нм и очень слабой в диапазоне 190−250 нм, разница составляет более трех порядков. Это является принципиальным отличием Hg лампы от Xe и D2 ламп, интенсивность излучения у которых распределена более равномерно во всем диапазоне от 190 до 330 нм (рис. 1).
Воздействие излучения с длинами волн 190−330 нм на молекулы SO2 инициирует протекание фотохимических реакций с образованием конечных стабильных продуктов реакций ― элементарной серы (S0) и триоксида серы (SO3) ― в соответствии со стехиометрическим уравнением (Устинов и др., 1988): 3SO2 + hν → 2SO3 + S0.
Рис. 1. Спектральная интенсивность излучения широкополосных источников света. Газоразрядная ртутная лампа высокого давления ДРШ-250 была использована в данном исследовании в фотохимических экспериментах. Для сравнения приведены спектры излучения ксеноновых и дейтериевых ламп, используемых в фотохимических экспериментах (Whitehill, Ono, 2012; Ono et al., 2013; Whitehill et al., 2015).
Для оценки поведения изотопного фракционирования серы в фотохимических процессах, инициируемых воздействием излучения Hg лампы на SO2, было выполнено несколько серий экспериментов.
Первая серия экспериментов была проведена с использованием фотохимических реакторов из кварцевого стекла марки КУ для того, чтобы оценить изотопные эффекты серы, возникающие в фотохимических процессах под действием полного излучения от Hg лампы, включая излучение на длине волны 184.9 нм. Эксперименты были проведены при постоянном давлении SO2 (1013 мбар) в проточном реакторе при изменении температуры в зоне реакции от 20 до 130°С.
В другой серии экспериментов были использованы фотохимические реакторы из кварцевого стекла марки КВ для того, чтобы исключить влияние излучения 184.9 нм на фотохимические процессы и оценить изотопные эффекты, возникающие при излучении от Hg лампы, на длинах волн более чем 190 нм. Эксперименты проведены при следующих условиях:
1) при постоянной температуре ~30°С в зоне реакции и изменении давления SO2 в диапазоне 1−1013 мбар;
2) при постоянном давлении SO2 ~1013 мбар и изменении температуры в диапазоне 7−200°С.
В ходе выполнения всех экспериментов на стенках реакционной трубки конденсировались продукты фотохимических реакций S0 и SO3. По окончании экспериментов реакционная трубка была промыта гексаном, для того чтобы экстрагировать элементарную серу S0. Из раствора сера была перекристаллизована путем выпаривания гексана, кристаллы серы переносили на стеклянную подложку и сплавляли в однородную массу. Полученный образец элементарной серы был использован для проведения изотопного анализа.
Изотопный анализ серы в S0 (продукт фотохимических реакций)
Изотопный анализ серы был выполнен в лаборатории стабильных изотопов ДВГИ ДВО РАН с применением локального лазерного метода (Ignatiev et al., 2018). Фемтосекундный лазерный комплекс (NWR Femto, США) был использован для абляции исследуемых образцов серы. Образовавшийся при лазерной абляции аэрозоль был конвертирован в SF6 газ в процессе фторирования в никелевом проточном реакторе, используя в качестве реагента пентафторид брома (BrF5). Очистка SF6 была произведена криогенным и хроматографическим методом. Измерение изотопных отношений серы в SF6 проводилось на изотопном масс-спектрометре MAT 253 (Thermo Scientific), оборудованном коллекторами для одновременного измерения ионных токов на массах 127 (32SF5+), 128 (33SF5+), 129 (34SF5+) и 131 (36SF5+). Измерение изотопных отношений в образцах выполнено относительно лабораторного стандартного газа SF6, калиброванного относительно международных стандартов IAEA-S-1, IAEA-S-2, IAEA-S-3 и NBS-123. Воспроизводимость результатов (1σ) в повторных анализах международного стандарта IAEA-S-1 была 0.15, 0.02 и 0.3‰ для δ34S, ∆33S и ∆36S соответственно, при размере абляционного кратера 80 микрон в диаметре и 40 микрон в глубину.
Полученные изотопные данные для образцов представлены в общепринятой форме и выражены в промилле (‰) относительно исходного газа SО2, используемого в фотохимических экспериментах: δХS = (XRобр /XRSO₂ – 1) × 1000, где XR = XS/32S (Х=33, 34 или 36) в образце (Rобр) и исходном газе SО2 (RSO₂) соответственно.
Величина отклонения от масс-зависимого изотопного фракционирования (изотопная аномалия) обозначена как ∆ и представлена в следующей форме:
РЕЗУЛЬТАТЫ И ИХ ОБСУЖДЕНИЕ
Изотопные эффекты при фотолизе SO2 в экспериментах с полным спектром Hg лампы
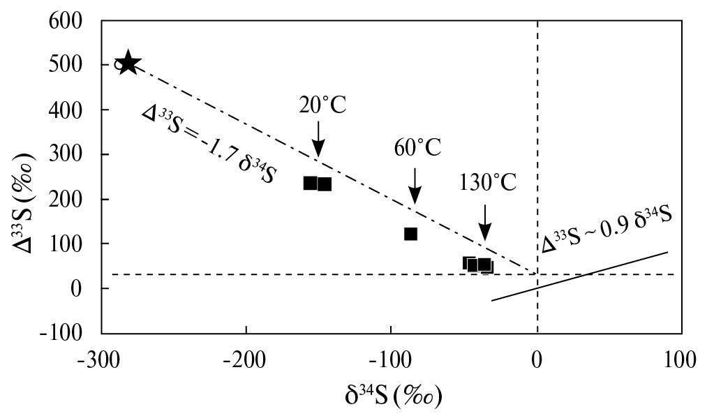
Изотопные данные, полученные для S0 в экспериментах с полным спектром Hg лампы, представлены в табл. 1 и проиллюстрированы на рис. 2. Результаты экспериментов показывают, что продукт фотохимических реакций S0 обеднен изотопом 34S относительно исходного SO2, причем величина δ34S достигала −155‰, в то время как изотопная аномалия ∆33S была положительной и достигала 234‰. Характер изотопного фракционирования, наблюдаемый в наших экспериментах с полным спектром Hg лампы высокого давления, оказался весьма схож с тем, что наблюдал (Farquhar с соавт., 2001) в своих экспериментах с резонансной Hg лампой низкого давления. Эти авторы получили для S0 в эксперименте с чистым SО2 δ34S = −288.0‰ и ∆33S = 500.6‰.
На рис. 2 продемонстрировано, что все изотопные данные, полученные в наших экспериментах и в работе (Farquhar et al., 2001), находятся в левой верхней координатной четверти и ложатся на единую линию фракционирования с наклоном ∆33S/ δ34S = −1.7. Это может означать, что продуцирование изотопной аномалии в наших экспериментах обусловлено такими же процессами, что и в экспериментах (Farquhar et al., 2001) с резонансной Hg лампой низкого давления, а именно: процессами диссоциации SО2 под воздействием коротковолнового излучения 184.9 нм. Данный результат явился неожиданным для нас, поскольку относительная интенсивность излучения 184.9 нм в наших экспериментах была очень слабой – менее 1% от интенсивности излучения в диапазоне 190−330 нм. В связи с этим мы предполагали, что фотохимические процессы в диапазоне 190−330 нм должны доминировать над процессом, инициируемом излучением с λ=184.9 нм, и, следовательно, оказывать влияние на характер проявления изотопных аномалий. Однако это предположение не подтвердилось в наших экспериментальных исследованиях.
Таблица 1. Изотопные данные для элементарной серы (S0) из экспериментов по фотолизу SO2 под воздействием полного спектрального излучения Hg лампы в температурном диапазоне 20–130 °C при постоянном давлении SO2 ~1013 мбар. Изотопные отношения серы в S0 представлены относительно изотопных отношений в исходном газе SO2
№ образца | Т (°С) | δ34S (‰) | ∆33S (‰) |
1 | 20 | –155.4 | 234.39 |
2 | « | –145.4 | 232.76 |
3 | 60 | –86.7 | 122.12 |
4 | 110 | –46.3 | 53.80 |
5 | « | –46.2 | 54.08 |
6 | « | –46.4 | 54.06 |
7 | 120 | –43.7 | 47.19 |
8 | « | –43.3 | 47.12 |
9 | 130 | –33.7 | 46.85 |
10 | « | –33.3 | 46.78 |
11 | « | –36.2 | 53.69 |
12 | « | –36.4 | 53.68 |
13 | « | –36.3 | 53.41 |
Рис. 2. График, демонстрирующий изменение значений δ34S и ∆33S в продукте фотохимической реакции S0 (элементарная сера) в зависимости от температуры в экспериментах по фотолизу SO2 под воздействием полного спектрального излучения Hg лампы, включая коротковолновую линию излучения на длине волны 184.9 нм (квадраты). Для сравнения приведены изотопные данные (звезда) из фотохимических экспериментов с Hg лампой низкого давления с резонансными линиями излучением на длинах волн ~185 и 253 нм (Farquhar et al., 2001). Сплошной линией представлен архейский тренд ∆33S−δ34S, штрих-пунктирной линией показан экспериментальный тренд.
Сравнение изотопных данных, полученных в экспериментах с разными типами ртутных ламп, показывает, что низкая интенсивность излучения с λ=184.9 нм и расширение спектрального диапазона в длинноволновую область излучений не приводит к изменениям в характере корреляционной зависимости между величинами ∆33S и δ34S: во всех случаях она оставалась отрицательной. Однако если полностью исключить воздействие излучения λ=184.9 нм на SО2, то корреляция между ∆33S и δ34S изменит свой знак с отрицательного на положительный (данные из этих экспериментов приведены в следующем разделе). Это дает основание заключить, что поведение изотопных эффектов будет определяться воздействием излучения с λ=184.9 нм, даже если интенсивность этого излучения незначительна по отношению к излучению, присутствующего в длинноволновой области.
Рассматривая полученные результаты в контексте атмосферных фотохимических процессов в архее, можно сделать следующие предположения. Фотохимические преобразования SО2 в архейской атмосфере должны были быть в значительной степени экранированы от воздействия солнечной радиации в коротковолновом (184.9 нм) диапазоне, поскольку для архейских сульфидов установлен положительный наклон ∆33S/δ34S = 0.9, в то время как с излучением 184.9 нм ассоциируются отрицательный наклон ∆33S/ δ34S = −1.7 (рис. 2). Коротковолновая радиация могла быть поглощена газами СО2, СН4 и др., содержащихся в составе архейской атмосферы (рис. 3). С содержанием этих газов связывают и компенсацию низкой светимости Солнца для обеспечения температуры на поверхности Земли выше температуры замерзания воды (Галимов, 2017). Наличие воды в жидкой фазе является важным аспектом в предложенных моделях о функционировании механизмов по захоронению атмосферного аэрозоля серы в сульфидой и сульфатной формах в осадочных породах (Ono, 2017).
Изотопные эффекты при фотолизе SO2 в экспериментах с Hg лампой в области длин волн λ >190 нм
Изотопные данные, полученные для S0 в экспериментах с λ >190 нм при изменении давления SО2 в интервале 1−1013 мбар и постоянной температуре ~30°С в зоне реакции, представлены в табл. 2. Результаты этих экспериментов существенно отличаются от данных экспериментов для полного спектра Hg лампы, содержащего коротковолновое излучение 184.9 нм. Исключение из фотохимических процессов излучения 184.9 нм кардинально повлияло на характер и меру изотопного фракционирования серы. Были получены высокие положительные значения δ34S и умеренные значения магнитуды ∆33S, в то время как в экспериментах с полным спектром Hg лампы были получены низкие отрицательные значения δ34S и высокие положительные значения ∆33S.
Рис. 3. Сечение поперечного поглощения для газов SO2, СO2, CH4 и H2O. Данные скомпилированы из спектрального атласа (Keller-Rudek et al., 2013).
Таблица 2. Изотопные данные для элементарной серы (S0) из экспериментов по фотолизу SO2 под воздействием излучения Hg лампы в области длин волн >190 нм. Эксперименты проведены при постоянной температуре ~30 °C в диапазоне давлений SO2 1–1013 мбар. Изотопные отношения серы в S0 представлены относительно изотопных отношений в исходном газе SO2
№ образца | Давление SO2 (мбар) | δ34S (‰) | ∆33S (‰) | ∆36S (‰) |
1 | 1 | 52.5 | 13.59 | –23.75 |
2 | 10 | 114.4 | 22.42 | –38.07 |
3 | 10 | 113.5 | 22.37 | –37.84 |
4 | 40 | 171.7 | 15.55 | –24.02 |
5 | 110 | 165.2 | 4.92 | –12.54 |
6 | 600 | 108.0 | –3.71 | –0.90 |
7 | 1013 | 64. 9 | –4.05 | 3.28 |
На рис. 4 продемонстрировано поведение ∆33S и δ34S в зависимости от давления SО2. При увеличении давления SО2 в диапазоне 1−1013 мбар характер изотопных трендов δ34S и ∆33S изменялся с возрастающего на убывающий. Наблюдаемое поведение δ34S и ∆33S в целом хорошо согласуется с данными из предыдущих экспериментальных работ (Masterson et al., 2011; Whithill, Ono, 2012; Ono et al., 2013), в которых были использованы Xe и/или D2 лампы в качестве источника света для инициирования фотохимических процессов в различных диапазонах давления SО2. Данные из этих работ приведены на рис. 4 (а, б) для сравнения с результатами наших экспериментов. Можно видеть, что в наших экспериментах магнитуда изотопной аномалии ∆33S и значения δ34S возрастали с увеличением давления SО2, достигая своего максимума при рSО2около 10 мбар и 40 мбар соответственно. Такое поведение ∆33S и δ34S вполне согласуется с данными (Ono et al., 2013; Whithill, Ono, 2012). Наблюдаемый в наших экспериментах тренд на понижение ∆33S и δ34S значений при дальнейшем повышении давления SО2 согласуется с данными (Masterson et al., 2011). Обнаруженное сходство в поведении изотопных эффектов может свидетельствовать о том, что фракционирование изотопов в фотохимических процессах под действием излучения Hg лампы (в области длин волн >190 нм) реализовывалось в основном по такому же пути, что и при действии излучения Xe и D2 ламп.
На общность процессов, ответственных за возникновение изотопных эффектов серы в экспериментах с Hg лампой и в экспериментах с Xe и D2 лампами, указывает и сходный характер в проявлении корреляционной связи между величинами ∆36S и ∆33S в этих экспериментах. На рис. 5 продемонстрировано, что в обоих случаях наблюдалась отрицательная корреляция между значениями изотопной аномалии ∆36S и ∆33S. Учитывая тот факт, что отрицательное значение коэффициента наклона ∆36S/∆33S является характерной особенностью изотопных эффектов, продуцируемых в процессах прямой диссоциации молекул SО2 под действием излучения в диапазоне 190−220 нм (Whithill, Ono, 2012), данный процесс следует считать ответственным за проявление изотопных эффектов в наших экспериментах. Этот вывод означает, что фотодиссоциация SО2 в области 190−220 нм, вероятнее всего, была доминирующим процессом над процессом фотовозбуждения в области 270−330 нм, несмотря на то, что интенсивность излучения 190−220 нм была на несколько порядков ниже, чем интенсивность 270−330 нм в наших экспериментах с Hg лампой. Если бы процессы фотовозбуждения SО2 доминировали, то мы бы получили положительное значение коэффициента наклона ∆36S/∆33S. Последнее проиллюстрировано на рис. 5, где показана положительная корреляция ∆36S = 0.64∆33S, полученная в фотохимических экспериментах с SО2 под действием излучения в диапазоне 250−330 нм (Whithill, Ono, 2012).
Рис. 4. Поведение изотопных эффектов в зависимости от давления SO2: (а) ― для ∆33S; (б) ― для δ34S. Данные получены в экспериментах с Hg лампой с коротковолновой границей континуума от 190 нм при изменении давления SO2 в диапазоне 1−1013 мбар и постоянной температуре. Для сравнения приведены изотопные данные работ (Ono et al., 2013; Whithill, Ono, 2012; Masterson et al., 2011).
Рис. 5. Изотопные эффекты ∆36S относительно ∆33S в продукте фотохимической реакции S0 (элементарная сера), полученные в наших фотохимических экспериментах (квадраты), в сравнении с изотопными данными работ (Ono et al., 2013) (ромбы) и (Whithill, Ono, 2012) (звездочки). Штриховой линией обозначены изотопные тренды ∆36S–∆33S, построенные: 1 ― по нашим данным из табл. 2 при температуре ~30ºС (наклон ∆36S/∆33S = −1.7); 2 ― по данным работы (Ono et al., 2013) для экспериментов с полным спектром Xe лампы при pSO2 = 0.25−0.972 мбар и pN2 ≈0.25 бар (наклон ∆36S/∆33S = −3.6); 3 ― по данным работы (Whithill, Ono, 2012) для экспериментов с Xe лампой с фильтром, пропускающим излучение в спектральном диапазоне 250−330 нм при pSO2 = 6.4−34.2 мбар (наклон ∆36S/∆33S = 0.64). Для сравнения показан архейский тренд, который ограничен линиями с наклоном ∆36S/∆33S = −0.9 и −1.5.
Тем не менее, если сравнивать данные между нашими экспериментами и экспериментами с Xe лампой, то можно видеть, что преобладание интенсивности излучения в области 270−330 нм над 190−220 нм (Hg лампа) нашло отражение в наклоне изотопного тренда ∆36S−∆33S (рис. 5). Особенно заметное различие между экспериментальными данными проявилось в области низких давлений SО2. Например, данные из наших экспериментов, предпринятых при давлениях SО2 в интервале 1−10 мбар, ложатся на одну прямую линию с наклоном ∆36S/∆33S = −1.7, в то время как данные из экспериментов с Xe лампой при парциальном давлении SО2 в интервале 0.1−5 мбар (Ono et al., 2013) формируют тренд с наклоном ∆36S/∆33S = −3.6 (рис. 5). Из сравнения следует, что смещение максимума интенсивности в область 270−330 нм приводит к уменьшению угла наклона для изотопного тренда ∆36S−∆33S, и тем самым приближает его значение к области архейских значений. Это продемонстрировано на рис. 5, где область архейских значений для ∆33S и ∆36S ограничена прямыми линиями с коэффициентом наклона ∆36S/∆33S = −1.5 и −0.9 (Kaufman et al., 2007; Ono et al., 2009; Zerkle et al., 2012).
Аналогичный эффект от смещения максимальной интенсивности излучения в длинноволновую область 270−330 нм также выявлен при рассмотрении корреляционных связей между величинами ∆33S и δ34S. На рис. 6 продемонстрировано изменение наклона ∆33S/δ34S в зависимости от давления SО2 в наших экспериментах и в предыдущих экспериментальных работах. В области низких давлений проявляется заметное различие между значениями коэффициента наклона ∆33S/δ34S, полученными в наших экспериментах с Hg лампой (∆33S/δ34S = 0.26), и в экспериментах (Ono et al., 2013) с Xe лампой (∆33S/δ34S = 0.10). Сравнительно высокое значение ∆33S/ δ34S в наших экспериментах может свидетельствовать о том, что при ослаблении интенсивности излучения в области 190−220 нм начинают проявляться изотопные эффекты, связанные с процессами фотовозбуждения SО2 в области 250−330 нм. Это следует из особенностей проявления изотопных эффектов в процессах, вызванных действием излучения в области 250−330 нм. Для них характерны высокие значения ∆33S (до ~140‰) и крутой положительный наклон ∆33S/ δ34S ~4 (Whitehill et al., 2013; Endo et al., 2016). Поэтому вклад этих процессов привел к заметному изменению наклона ∆33S/δ34S в наших экспериментах.
Рис. 6. ∆33S относительно δ34S в продукте фотохимической реакции S0 (элементарная сера), полученные в наших экспериментах для давления SO2 в диапазоне 1−10 мбар (квадраты). Для сравнения приведены изотопные данные из работы (Ono et al., 2013) (ромбы). Штриховой линией обозначены изотопные тренды ∆33S−δ34S по экспериментальным данным. Сплошной линией представлен архейский тренд с наклоном ∆33S/δ34S ~0.9.
Обнаруженный наклон ∆33S/δ34S = 0.26, однако, не достигает того значения, которое свойственно архейскому тренду ∆33S/δ34S ~0.9. Вместе с тем необходимо обратить внимание на одно важное обстоятельство: магнитуда сигнала ∆33S в наших экспериментах удовлетворительно согласуется с наблюдаемыми значениями ∆33S в архейских породах, где ∆33S достигает 15‰. В этом случае высокие значения δ34S, полученные для S0, дают, соответственно, заниженные значения ∆33S/δ34S по сравнению с архейскими ∆33S/δ34S. В наших экспериментах δ34S имели значения от 52.5‰ до 114.3‰ (при рSО2 = 1–10 мбар), что существенно выше, чем δ34S в архейских породах, где δ34S не больше 20‰. Характер и магнитуда фракционирования серы зависят от ряда факторов, в том числе от температурных условий, а также наличия и соотношения некоторых компонентов в газовой фазе, участвующих в фотохимических процессах наравне с диоксидом серы. Атмосферная фотохимия диоксида углерода (СО2), метана (СH4), сероводорода (H2S) и воды (H2O) ― важнейших компонентов архейской атмосферы ― является источником свободных радикалов и атомов, под контролем которых химическая трансформация серы может совершаться по иным механизмам, чем в экспериментах с чистым SО2. Это может служить причиной несоответствия экспериментально полученных эффектов масс-зависимого фракционирования изотопов серы с архейскими. Детальное выяснение специфики в поведении изотопных эффектов, возникающих в фотохимических процессах с участием SО2 в присутствии дополнительных газовых компонентов, – задача последующих экспериментальных исследований.
В представленных здесь экспериментах были исследованы особенности поведения изотопных эффектов в зависимости от температуры в зоне протекания реакций при постоянном давлении SО2 ≈1013 мбар. В этих экспериментах была получена элементарная сера S0 с необычным значением изотопной аномалии ∆33S, которая показала отрицательные величины (табл. 3, рис. 7). Эти результаты вызывают интерес, поскольку все экспериментальные данные, полученные к настоящему времени, свидетельствуют о формировании S0 с положительной аномалией в фотохимических процессах, реализуемых при различных условиях. В экспериментах (Masterson et al., 2011) было продемонстрировано понижение магнитуды ∆33S при увеличении давления SО2 (∆33S ~18‰ при рSО2 = 30.9 мбар до ∆33S ~2‰ при рSО2 = 1235 мбар). Наши данные также демонстрируют тренд на понижение магнитуды ∆33S, причем по мере увеличения давления SО2, значения ∆33S переходят в отрицательную область, в то время как в экспериментах (Masterson et al., 2011) значения ∆33S оставались положительными даже при давлении выше 1013 мбар (1 атм). В наших экспериментальных условиях (рSО2 = 1013 мбар) положительные значения ∆33S были достигнуты при повышении температуры в зоне реакции (табл. 3). Рис. 7 иллюстрирует соотношение между величинами ∆33S и δ34S в температурном диапазоне 7−200°С. С понижением температуры магнитуда изотопных эффектов возрастала как для ∆33S, так и для δ34S значений. Это может свидетельствовать о чувствительности процессов и механизмов, ответственных за возникновение изотопной аномалии в фотохимических процессах, к температурным условиям.
Таблица 3. Изотопные данные для элементарной серы (S0) из экспериментов по фотолизу SO2 под воздействием излучения Hg лампы в области длин волн >190 нм. Эксперименты проведены в температурном диапазоне 7–200ºC при давлении SO2 ~1013 мбар. Изотопные отношения серы в S0 представлены относительно изотопных отношений в исходном газе SO2
№ образца | Т (°С) | δ34S (‰) | ∆33S (‰) |
1 | 7 | 102.4 | –4.63 |
2 | « | 95.6 | –4.89 |
3 | « | 96.9 | –4.71 |
4 | 10 | 95.7 | –4.83 |
5 | « | 76.8 | –4.29 |
6 | « | 76.6 | –4.25 |
7 | 15 | 74.7 | –4.25 |
8 | 25 | 67.5 | –4.28 |
9 | 30 | 63.6 | –3.38 |
10 | « | 63.9 | –3.40 |
11 | « | 67.2 | –3.34 |
12 | « | 65.7 | –4.18 |
13 | 35 | 63.5 | –3.97 |
14 | « | 63.2 | –3.84 |
15 | 45 | 50.8 | –3.11 |
16 | 50 | 47.7 | –2.30 |
17 | « | 47.2 | –2.27 |
18 | 75 | 28. 6 | –1.34 |
19 | « | 30.6 | –1.36 |
20 | 100 | 16.1 | –0.76 |
21 | 150 | 3.0 | –0.23 |
22 | « | 3.2 | –0.21 |
23 | « | 8.1 | –0.48 |
24 | 200 | –3.0 | 0.20 |
Рис. 7. График, демонстрирующий изменение значений δ34S и ∆33S в продукте фотохимической реакции S0 (элементарная сера) в зависимости от температуры (7−200ºC) в экспериментах по фотолизу SO2 под воздействием излучения Hg лампы в области длин волн >190 нм при постоянном давлении SO2 ~1013 мбар.
ЗАКЛЮЧЕНИЕ
Экспериментальные результаты, представленные в данном исследовании, могут иметь важное значение для реконструкции условий генерирования аномальных изотопных эффектов серы в архейской атмосфере. Они показывают, что характер корреляционной связи между ∆33S и ∆36S может зависеть от соотношения интенсивности излучения в спектральных диапазонах 190−220 и 250−330 нм. Было показано, что в условиях, когда излучение в области 250−330 нм преобладает над излучением в области 190−220 нм, фотохимические процессы приводят к формированию элементарной серы S0 с отношением ∆36S/∆33S равным −1.7, в то время как это отношение равно −3.6, если максимальная интенсивность приходится на диапазон излучения 190−220 нм. Полученное в наших экспериментах отношение ∆36S/∆33S = −1.7 наиболее близко воспроизводит наблюдаемые отношения ∆36S/∆33S в архейских породах. Результаты наших экспериментов допускают возможность того, что фотохимические процессы в диапазоне 250−330 нм могли играть существенную роль в продуцировании изотопной аномалии серы в архейской атмосфере. Условия, в которых излучение в области 250−330 нм преобладает над излучением в области 190−220 нм, согласуются с представлением о том, что уровень солнечной радиации, достигающий поверхности Земли в архее, был на несколько порядков выше в диапазоне длин волн 200−300 нм по сравнению с современным уровнем радиации в этом диапазоне (Cnossen et al., 2007). Радиация в более коротковолновой области (<200 нм) могла быть существенно слабее за счет эффективного поглощения газами, входившими в состав архейской атмосферы (СH4 и СО2). В этой связи фотохимия с участием этих газов может оказать решающее влияние на направление протекания химических реакций и, соответственно, на закономерности распределения изотопов серы в конечных продуктах реакций. Мы полагаем, что проведение фотохимических экспериментов с добавлением в правильных пропорциях этих газов к SО2 позволит добиться более удовлетворительного согласия между экспериментальными и обнаруженными в природе изотопными эффектами. Тем не менее достигнутые результаты в представленном здесь исследовании формируют в совокупности базис для объяснения такого природного феномена, как возникновение изотопной аномалии серы и, в конечном счете, для решения вопросов об эволюции газового состава первичной атмосферы и построения модельных представлений о глобальном геохимическом цикле серы, который мог существовать на протяжении первых 2.5 млрд лет развития ранней Земли.
Источник финансирования
Исследования выполнены при финансовой поддержке РФФИ (грант 18-05-00102).
Авторлар туралы
A. Ignatiev
Far East Geological Institute, Far Eastern Branch of the Russian Academy of Sciences
Хат алмасуға жауапты Автор.
Email: ignatiev@fegi.ru
Ресей, Vlasivostok
T. Velivetskaya
Far East Geological Institute, Far Eastern Branch of the Russian Academy of Sciences
Email: velivetskaya@mail.ru
Ресей, Vlasivostok
V. Yakovenko
Far East Geological Institute, Far Eastern Branch of the Russian Academy of Sciences
Email: yakovenko_v.v@mail.ru
Ресей, Vlasivostok
Әдебиет тізімі
- Галимов Э.М. (2017) Роль низкой светимости Солнца в истории биосферы. Геохимия (5), 383−401.
- Galimov E.M. (2017) Role of low solar luminosity in the history of the biosphere. Geochem. Int. 55(5), 401−417.
- Устинов В.И., Гриненко В.А., Иванов С.Г. (1988) Изотопный эффект серы при фотолизе SO2. Известия академии наук СССР, химическая серия (5), 1192−1193.
- Cnossen I., Sanz-Forcada J., Favata F., Witasse O., Zegers T., Arnold N.F. (2007) Habitat of early life: Solar X-ray and UV radiation at Earth’s surface 4–3.5 billion years ago. J. Geophys. Res. 112(E2), E02008.
- Endo Y., Ueno Y., Aoyama S., Danielache S.O. (2016) Sulfur isotope fractionation by broadband UV radiation to optically thin SO2 under reducing atmosphere. Earth Planet. Sci. Lett. 453, 9−22.
- Farquhar J., Bao H., Thiemens M.H. (2000) Atmospheric influence of Earths earliest sulfur cycle. Science 289(5480), 756−759.
- Farquhar J., Peters M., Johnston D.T., Strauss H., Masterson A., Wiechert U., Kaufman A.J. (2007) Isotopic evidence for Mesoarchaean anoxia and changing atmospheric sulphur chemistry. Nature 449(7163), 706−709.
- Farquhar J., Savarino J., Airieau S., Thiemens M.H. (2001) Observation of wavelength-sensitive mass-independent sulfur isotope effects during SO2 photolysis: Implications for the early atmosphere. J. Geophys. Res. 106(E12), 32829−32839.
- Galić A., Mason P.R.D., Mogollón J.M., Wolthers M., Vroon P.Z., Whitehouse M.J. (2017) Pyrite in a sulfate-poor Paleoarchean basin was derived predominantly from elemental sulfur: Evidence from 3.2 Ga sediments in the Barberton Greenstone Belt, Kaapvaal Craton. Chem. Geol. 449, 135−146.
- Halevy I., Johnston D.T., Schrag D.P. (2010) Explaining the structure of the Archean mass-independent sulfur isotope record. Science 329(5988), 204−207.
- Hauri E.H., Papineau D., Wang J., Hillion F. (2016) High-precision analysis of multiple sulfur isotopes using NanoSIMS. Chem. Geol. 420, 148−161.
- Ignatiev A.V., Velivetskaya T.A., Budnitskiy S.Y., Yakovenko V.V., Vysotskiy S.V., Levitskii V.I. (2018) Precision analysis of multisulfur isotopes in sulfides by femtosecond laser ablation GC-IRMS at high spatial resolution. Chem. Geol. 493, 316−326.
- Johnston D.T. (2011) Multiple sulfur isotopes and the evolution of Earth’s surface sulfur cycle. Earth Sci Rev. 106(1−2), 161−183.
- Kaufman A.J., Johnston D.T., Farquhar J., Masterson A.L., Lyons T.W, Bates S., Anbar A.D., Arnold G.L., Garvin J., Buick R. (2007) Late Archean biospheric oxygenation and atmospheric evolution. Science 317 (5846), 1900−1903.
- Keller-Rudek H., Moortgat G.K., Sander R., Sörensen R. (2013) The MPI-Mainz UV/VIS spectral atlas of gaseous molecules of atmospheric interest. Earth Syst. Sci. Data 5, 365−373.
- Masterson A.L., Farquhar J., Wing B.A. (2011) Sulfur mass-independent fractionation patterns in the broadband UV photolysis of sulfur dioxide: pressure and third body effects. Earth Planet. Sci. Lett. 306(3−4), 253−260.
- Ono S. (2017) Photochemistry of sulfur dioxide and the origin of mass-independent isotope fractionation in Earth’s atmosphere. Annu. Rev. Earth Planet. Sci. 45(1), 301−329.
- Ono S., Beukes N., Rumble D. (2009) Origin of two distinct multiple-sulfur isotope compositions of pyrite in the 2.5 Ga Klein Naute Formation, Griqualand West Basin, South Africa. Precambrian Res. 169(1−4), 48−57.
- Ono S., Whitehill A.R., Lyons J.R. (2013) Contribution of isotopologue self-shielding to sulfur mass-independent fractionation during sulfur dioxide photolysis. J. Geophys. Res. Atmos. 118(5), 2444−2454.
- Pavlov A., Kasting J. (2002) Mass-independent fractionation of sulfur isotopes in Archaean sediments: Strong evidence for an anoxic Archaean atmosphere. Astrobiology 2(1), 27−41.
- Philippot P., van Zuilen M., Rollion-Bard C. (2012) Variations in atmospheric sulphur chemistry on early Earth linked to volcanic activity. Nat. Geosci. 5(9), 668−674.
- Roerdink D.L., Mason P.R.D., Whitehouse M.J., Reimer T. (2013) High-resolution quadruple sulfur isotope analyses of 3.2 Ga pyrite from the Barberton Greenstone Belt in South Africa reveal distinct environmental controls on sulfide isotopic arrays. Geochim. Cosmochim. Acta 117, 203−215.
- Thomassot E., O’Neil J., Francis D., Cartigny P., Wing B.A. (2015) Atmospheric record in the Hadean Eon from multiple sulfur isotope measurements in Nuvvuagittuq Greenstone Belt (Nunavik, Quebec). Proc. Natl. Acad. Sci. USA. 112(3), 707−712.
- Ueno Y., Ono S., Rumble D., Maruyama S. (2008) Quadruple sulfur isotope analysis of ca. 3.5 Ga Dresser Formation: New evidence for microbial sulfate reduction in the early Archean. Geochim. Cosmochim. Acta 72(23), 5675−5691.
- Whitehouse M.J., Kamber B.S., Fedo C.M., Lepland A. (2005) Integrated Pb-and S-isotope investigation of sulphide minerals from the early Archaean of southwest Greenland. Chem. Geol. 222(1−2), 112−131.
- Whitehill A.R, Jiang B., Guo H., Ono S. (2015) SO2 photolysis as a source for sulfur mass-independent isotope signatures in stratospehric aerosols. Atmos. Chem. Phys. 15, 1843−1864.
- Whitehill A.R., Ono S. (2012) Excitation band dependence of sulfur isotope mass-independent fractionation during photochemistry of sulfur dioxide using broadband light sources. Geochim. Cosmochim. Acta 94, 238−253.
- Zerkle A.L., Claire M.W., Domagal-Goldman S.D., Farquhar J., Poulton S.W. (2012) A bistable organic-rich atmosphere on the Neoarchaean Earth. Nat. Geosci. 5(5), 359−363.
Қосымша файлдар









