Sedimentation rates (data on 210pb and 137cs radionuclides) in different facial-genetic types of the Kara sea bottom sediments
- Authors: Rusakov V.Y.1, Borisov A.P.1, Solovieva G.Y.1
-
Affiliations:
- V.I. Vernadsky Institute of Geochemistry and Analytical Chemistry (GEOKHI) of Russian Academy of Science
- Issue: Vol 64, No 11 (2019)
- Pages: 1158-1174
- Section: Articles
- URL: https://journals.eco-vector.com/0016-7525/article/view/18429
- DOI: https://doi.org/10.31857/S0016-752564111158-1174
- ID: 18429
Cite item
Full Text
Abstract
In the article original data on isotope composition of natural “excess” Pb-210 and artificial Cs-137 radionuclides in upper 25–50-cm layer of sea-bottom sediments at the Kara Sea (from Ob’ and Yenisei estuaries, Eastern-Novaya-Zemlya trough, Voronin trough, as well as Sedov bay (Novaya Zemlya)) are presented. The research results showed close tie between sedimentation rates and facial-genetic types of the sea-bottom sediments. Highest sedimentation rates are typical for the terrigenic-estuarine type. The type is divided on tractional load with sedimentation rate 0.4–0.7 cm per year and “mud bank” sediments with sedimentation rate 0.7–1.0 cm per year. The terrigenic-shallow-marine type is characterized by lowest sedimentation rate – 0.1–0.3 cm per year. The background terrigenic-marine type has a broadest spectrum of the sedimentation rates: on trough slope the rates are minimal (likely to terrigenic-shallow-marine type), within central parts of the trough (as a result of gravity creep) the rates may increase up to 0.9 cm per year. Single facial-genetic type is glacial sediments of Navaya Zemlya bays. Measured recent sedimentation rate within inner depression of the Sedov bay is 0.1–0.2 cm per year.
Full Text
ВВЕДЕНИЕ
Акватория Карского моря представляет собой шельфовую зону со слаборазвитыми склоновыми процессами вследствие быстрого подъема уровня Мирового океана в голоцене (последние ~10 тыс. лет) и смещения зон аккумуляции осадочного материала вглубь эстуарных зон. Мощность голоценовых осадков еще не достигла того уровня, при котором они могли бы под действием сил гравитации сходить с шельфа вниз на континентальный склон (механизм гравитационного оползания). Другими словами голоценовые осадки не полностью перекрывают шельф, а их мощность определяется не столько морфологией дна, сколько близостью к источникам осадочного материала и циркуляцией течений. В условиях слабого развития склоновых процессов (горизонтального перемещения донных осадков) распределение скоростей седиментации по акватории моря позволяет реконструировать пути миграции осадочного материала непосредственно в водном столбе, а также делает возможным решение ряда практических задач, связанных с различными экологическими и инженерно-строительными аспектами.
Одним из главных экологических аспектов является определение наиболее опасных зон и скоростей аккумуляции загрязняющих веществ (включая техногенные радионуклиды и тяжелые металлы), поступающих на акваторию моря с атмосферными выпадениями и речным стоком. К инженерно-строительным аспектам можно отнести выбор предпочтительных маршрутов для прокладки кабелей и трубопроводов. Особое значение последнее принимает в условиях перспективного индустриального развития региона, связанного с добычей углеводородного сырья и строительства гражданской и военной инфраструктуры.
Существующие карты скоростей седиментации в верхнем слое донных осадков в Карском море, как правило, основаны на мощности голоценовых отложений (Гуревич, 2002) и дают лишь усредненные значения. Более точные данные основаны на изучении изотопного состава углерода (AMS14С) методом ускорительной масс-спектрометрии в карбонатных раковинах двустворчатых моллюсков и бентосных фораминифер. Однако они достаточно редки и относятся лишь по немногим единичным горизонтам осадочного разреза (Polyak et al., 1997, 2000, 2002; Stein et al., 2002, 2003). Несмотря на то, что такие датировки проводятся с начала 80-х годов прошлого столетия, их до сих пор недостаточно для создания карт современных скоростей седиментации в силу двух основных обстоятельств – дороговизны анализа и отсутствия достаточного количества карбонатных раковин бентосных организмов в некоторых осадочных разрезах. В то же время надежную информацию о скоростях седиментации за последние десятилетия дают только результаты измерения активности радионуклидов, таких как 210Pb и 137Cs. Период полураспада 210Pb – 22.3 года, 137Cs – 30.174 года. Для Карского моря такие работы проводятся сотрудниками ГЕОХИ РАН с 1995 г. В начале – в рамках международного проекта “The German-Russian Project on Siberian River Run-off (SIRRO)” (Галимов и др., 1996). Основной массив данных был получен с 2000 по 2003 г. (Stepanets et al., 2001, 2003a, 2003б). Представленная работа является продолжением этих исследований.
Рис. 1. Район исследований с положением и номерами колонок донных осадков. Пунктирными линиями со стрелками показаны направления поверхностных морских течений (Атлас…, 1980). Жирными линиями со стрелками показаны пути транзита фонового терригенно-морского осадочного материала с шельфа на континентальный склон (Русаков и др., 2018).
В этой статье приведены результаты определения скоростей седиментации, полученные на основе измерения радиоактивности (далее активности) изотопов 210Pb и 137Cs. Было изучено 14 колонок осадков глубиной до 50 см, собранных в ключевых районах аккумуляции донных отложений Карского моря: эстуарии Оби и Енисея, Восточно-Новоземельском желобе, желобе Воронина, а также в одном из северных заливов Новой Земли (залив Седова) (рис. 1). Колонки были отобраны в ходе двух рейсов (63-го и 66-го) на НИС “Академик Мстислав Келдыш” в 2015 и 2016 гг. соответственно.
МЕТОДЫ
Осадки отбирались коробчатым пробоотборником (бокс-корером) двух типов. В результате на палубу доставали ненарушенный куб поверхностного слоя донных осадков размером 25×25×25 или 50×50×50 см в зависимости от размеров коробчатого ножа. На палубе в отобранный куб вставлялась вырезка (полая цилиндрическая труба) диаметром 90 мм, оборудованная поршнем, с целью получения колонки осадка. В судовой лаборатории с помощью специального штатива из вырезки поршнем выдавливался образец осадка в виде диска диаметром 80 мм и высотой 10 мм. Каждые выдавленные таким образом образцы стандартного размера упаковывались в пластмассовый герметичный контейнер (цилиндрическую банку с крышкой). В Лаборатории радиохимии окружающей среды ГЕОХИ РАН полученные пробы были послойно измерены на радионуклидный состав на низкофоновом гамма-спектрометрическом комплексе с многослойной пассивной защитой (свинец, старое низкофоновое железо, медь, оргстекло). В качестве регистрирующей части использовался широкополосный детектор из особо чистого германия планарного типа BEGe3825 фирмы “Canberra” (США) с тонким входным окном из “carbon composite” толщиной 0.6 мм и диаметром кристалла 70 мм, площадью 3800 мм2 и толщиной 25 мм, что позволяет регистрировать гамма-кванты с энергией от 5 КэВ до 3 МэВ. Энергетическое разрешение по линии 1332 КэВ Со-60 не хуже 1.7 КэВ, по линии изотопа Co-57 122 КэВ – не хуже 0.6 КэВ. Сбор и обработка информации осуществлялась на анализаторе импульсов DSA-1000 (США). DSA-1000 представляет собой полный интегральный многоканальный анализатор с разрешением 16К каналов, построенный на основе современной технологии цифровой обработки сигналов. В сочетании с анализатором DSA-1000 (соединенным с компьютером) германиевый детектор BEGe3825 образует законченную спектрометрическую установку, обеспечивающую проведение набора и анализ спектров с наивысшим качеством. Программное обеспечение Genie 2000 (версия 3.2.1).
Была измерена активность как природного – 210Pb, так и техногенного радионуклида – 137Cs. Благодаря сравнительно короткому периоду полураспада их часто используют для датировки “молодых” донных отложений, возрастом до 200–250 лет. Они с одинаковым успехом используются как для датировок морских (Stepanets et al., 2001, 2003a, 2003б), так и озерных (Joshi et al., 1988; Carroll et al., 1999) осадков. Полученные нами данные по вертикальному распределению активности “суммарного” и “избыточного” 210Pb, а также 226Ra и 137Cs вдоль колонок (таблица) дали возможность определить скорости седиментации с высокой разрешающей способностью (до нескольких лет).
На рисунках 2–5 показаны профили распределения “избыточного” 210Pb в отобранных колонках. Величину «избыточного» свинца-210 определяли путем вычитания удельной радиоактивности радия-226 из исходного «суммарного» содержания свинца-210 в соответствующем горизонте колонки. Полученное значение отражает седиментационное поступление свинца-210 из атмосферы, дополнительно к его содержанию в пробах разреза, образованному за счет радиоактивного распада радия-226 (Galdberg, 1963; Купцов, 1986; Сапожников и др., 2006). В наиболее благоприятном случае, когда скорость осадконакопления постоянна, а перемешивание незначительно, содержание «избыточного» свинца-210 должно экспоненциально убывать вглубь колонки вплоть до горизонтов, где оно становится равным активности радия-226, отражая так называемое «вековое» равновесие этих двух радионуклидов. При таких условиях параметры аппроксимирующей экспоненты служат основанием для расчета скорости осадконакопления. В нашем случае вертикальное распределение “избыточного” свинца-210 в измеренных колонках имело достаточно монотонный характер и удовлетворительно описывалось экспоненциальной зависимостью с коэффициентами корреляции r2 – от 0.6 до 0.9:
A(z) = A0•e –(λz|S),
где A(z) – содержание «избыточного» свинца-210 (Бк/кг) в слое z (см), A0 – содержание в поверхностном слое осадка свинца-210 (Бк/ кг), λ – постоянная радиоактивного распада свинца-210 (0.03114 год–1), S(Pb) – скорость осадконакопления (см/год) соответствует показателю экспоненты (рис. 2–5).
Параллельная проверка скоростей седиментации была проведена с помощью техногенного цезия-137 (S(Cs)). Радионуклид цезия, как и другие искусственные радионуклиды, поступает в окружающую среду в значительной степени в результате испытаний ядерного оружия (взрывов), в том числе и в мирных целях, а также от предприятий ядерно-топливного цикла (Сапожников и др., 2006). Зная даты наиболее значимых выбросов радионуклидов в атмосферу Земли, можно проводить расчеты скоростей осадконакопления исходя из глубины их залегания в осадках. Так, начало массовых испытаний ядерного оружия пришлось на 1958 г. Однако своей максимальной интенсивности испытания достигли в начале 60-х годов, непосредственно перед подписанием в Москве Договора о запрещении атомного оружия в атмосфере, космосе и под водой. Таким образом, основной всплеск глобальных выпадений достиг своего пика в 1963 году, который часто регистрируется в вертикальном распределении радионуклидов в колонках донных осадков из разных регионов мира. С этого года наземные и воздушные взрывы постепенно прекратились, что отразилось на резком снижении концентраций радионуклида в донных осадках. Наиболее поздний пик в вертикальном распределении 137Cs соответствует 1986 году. Взрыв реактора №4 на Чернобыльской АЭС 26 апреля 1986 г. оказал исключительное влияние на окружающую среду и внес значительный вклад в интенсивность глобальных выпадений радионуклидов (Buesseler, Levingston, 1997). Поэтому в вертикальном распределении 137Сs могут наблюдаться три пика, отвечающие за глобальные выпадения техногенных радионуклидов в 1958, 1963 и 1986 гг., которые служат надежными маркерами при определении скоростей осадконакопления в колонках донных осадков. Следует отметить, что рассчитанные таким образом скорости осадконакопления S(Cs) хорошо согласуются со скоростями осадконакопления S(Pb), полученными по «избыточному» 210Pb (рис. 2–5), что подтверждает корректность полученных результатов.
Таблица. Результаты измерения активности короткоживущих изотопов в Бк/кг с указанием стандартного отклонения (Δ) и массы образца в граммах
№ кол. | Глуб. см | Pb-210Σ | Δ | Cs-137 | Δ | Ra-226 | Δ | Pb-210 изб. | Δ | Масса, г |
5326 | 2,5 | 231 | ± 28 | 8,9 | ± 1.1 | 5,5 | ± 3.2 | 225,5 | ± 29 | 23,19 |
7,5 | 174 | ± 12 | 8,8 | ± 0.6 | 12 | ± 2 | 162 | ± 13 | 49,52 | |
12,5 | 134 | ± 10 | 6,9 | ± 0.5 | 15,6 | ± 1 | 118,4 | ± 11 | 58,44 | |
17,5 | 92 | ± 12 | 4,5 | ± 0.7 | 10,5 | ± 2 | 81 | ± 12 | 59 | |
22,5 | 118 | ± 11 | 6,6 | ± 0.8 | 13,5 | ± 2 | 104,5 | ± 13 | 56,05 | |
27,5 | 103 | ± 8 | 8,1 | ± 0.5 | 20 | ± 1 | 82,4 | ± 9 | 63,26 | |
32,5 | 99 | ± 7 | 6,4 | ± 0.4 | 20 | ± 1 | 79 | ± 8 | 67,18 | |
37,5 | 100 | ± 8 | 5,1 | ± 0.4 | 22 | ± 1 | 78 | ± 9 | 57,72 | |
42,5 | 68 | ± 10 | 5,1 | ± 0.7 | 15 | ± 2 | 53 | ± 8 | 60,27 | |
5323 | 0,5 | 120 | ± 10 | 5,8 | ± 1 | 11,5 | ± 1 | 120 | ± 10 | 16,17 |
2 | 104 | ± 11.7 | 10,7 | ± 1.1 | 6 | ± 1.1 | 93 | ± 11 | 42,57 | |
4 | 85 | ± 8 | 11,7 | ± 1 | 12 | ± 1.3 | 94 | ± 12 | 72,8 | |
6 | 70 | ± 12 | 5,4 | ± 0.8 | 16,2 | ± 1 | 63 | ± 12 | 70,21 | |
8,5 | 65 | ± 7 | 1,1 | ± 0.2 | 28 | ± 1.4 | 52 | ± 6 | 93,35 | |
11 | 50 | ± 4.2 | 0,2 | ± 0.1 | 12,7 | ± 1.1 | 49 | ± 6 | 67,13 | |
16 | 57 | ± 7 | 0,2 | ± 0.1 | 11 | ± 1 | 43 | ± 7 | 67,88 | |
21 | 55 | ± 6 | 0,1 | ± 0.05 | 13 | ± 1 | 35 | ± 5 | 57,37 | |
23,5 | 49 | ± 4.2 | 0,3 | ± 0.1 | 22 | ± 1 | 30 | ± 4 | 13,35 | |
26 | 55 | ± 6 | 0,1 | ± 0.05 | 17 | ± 1 | 37 | ± 6 | 74,06 | |
29,5 | 50 | ± 4 | н.ч.п. | - | 18 | ± 1 | 31 | ± 4 | 16,55 | |
31,5 | 48 | ± 4 | н.ч.п. | - | 18 | ± 1.1 | 30 | ± 5 | 67,04 | |
5324 | 0,5 | 90,7 | ± 6.7 | 2,5 | ± 0.3 | 11,5 | ± 1 | 80 | ± 7 | 59,08 |
1 | 84,5 | ± 6.8 | 1,1 | ± 0.3 | 6 | ± 1.1 | 78 | ± 7 | 44,61 | |
2 | 67 | ± 8.3 | 0,7 | ± 0.3 | 12 | ± 1.3 | 55 | ± 8 | 117,16 | |
4 | 70,2 | ± 7.1 | 2,8 | ± 0.3 | 16,2 | ± 1 | 54 | ± 7 | 98,91 | |
6 | 79,2 | ± 9.2 | 6 | ± 0.6 | 28 | ± 1.4 | 51,2 | ± 11 | 96,5 | |
8 | 52,7 | ± 6.4 | 2,2 | ± 0.3 | 12,7 | ± 1.1 | 40 | ± 6 | 138,1 | |
10 | 49 | ± 4.7 | 0,9 | ± 0.2 | 11 | ± 1 | 38 | ± 5 | 117,2 | |
12 | 55 | ± 5.8 | 1 | ± 0.2 | 13 | ± 1 | 42 | ± 7 | 98,63 | |
14 | 59 | ± 6.1 | 0,2 | ± 0.1 | 22 | ± 1 | 35 | ± 6 | 103,88 | |
16 | 50,7 | ± 5.5 | 0,1 | ± 0.05 | 17 | ± 1 | 34 | ± 6 | 115,2 | |
18 | 47,9 | ± 4.3 | н.ч.п. | - | 18 | ± 1 | 30 | ± 4 | 121,3 | |
20 | 48 | ± 4 | н.ч.п. | - | 18 | ± 1.1 | 30 | ± 7 | 92,24 | |
22 | 44 | ± 5 | 0,1 | ± 0.05 | 16 | ± 1 | 28 | ± 6 | 71,01 | |
5343 | 0,5 | 146 | ± 13 | 16,5 | ± 1.3 | 5 | ± 2 | 141 | ± 13 | 33,57 |
1 | 129 | ± 12 | 16,7 | ± 1.2 | 8 | ± 3 | 121 | ± 14 | 51,62 | |
2 | 120 | ± 15 | 18 | ± 1.5 | 6 | ± 2 | 114 | ± 14 | 35,97 | |
4 | 98 | ± 11 | 17 | ± 1.1 | 14 | ± 2 | 84 | ± 11 | 80,66 | |
6,5 | 79 | ± 8 | 18,2 | ± 1.1 | 11 | ± 2 | 68 | ± 7 | 77,15 | |
8,5 | 77 | ± 7 | 27,2 | ± 1.2 | 17 | ± 2 | 60 | ± 7 | 59,87 | |
10,5 | 76 | ± 7 | 25 | ± 1.4 | 19 | ± 2 | 58 | ± 7 | 84,97 | |
15,5 | 59 | ± 5 | 42,6 | ± 1.6 | 13 | ± 2 | 46 | ± 5 | 59,06 | |
17 | 61 | ± 6 | 26,4 | ± 1.2 | 18 | ± 2 | 43 | ± 6 | 51,83 | |
19 | 65 | ± 7 | 14 | ± 0.9 | 19 | ± 2 | 46 | ± 7 | 78,26 | |
21 | 71 | ± 8 | 2,1 | ± 0.4 | 20 | ± 2 | 51 | ± 8 | 62,13 | |
23 | 66 | ± 7 | 0,4 | ± 0.1 | 18 | ± 2 | 48 | ± 7 | 61093 | |
25 | 54 | ± 6 | 0,3 | ± 0.1 | 18 | ± 2 | 36 | ± 6 | 84,62 | |
29 | 49 | ± 5 | 0,1 | ± 0.05 | 20 | ± 2 | 29 | ± 5 | 77,94 | |
5214 | 1 | 199 | ± 21 | 1,8 | ± 0.3 | 12 | ± 1.2 | 187 | ± 21 | 48,108 |
3 | 148 | ± 17 | 2,3 | ± 0.4 | 14 | ± 1.4 | 134 | ± 17 | 44,735 | |
5 | 121 | ± 13 | 3 | ± 0.3 | 14 | ± 1.2 | 107 | ± 14 | 23,894 | |
7 | 110 | ± 14 | 1,2 | ± 0.3 | 15 | ± 1.4 | 95 | ± 10 | 48,314 | |
9 | 69 | ± 10 | 1,5 | ± 0.2 | 13 | ± 1.3 | 56 | ± 14 | 45,807 | |
№ кол. | Глуб. см | Pb-210Σ | Δ | Cs-137 | Δ | Ra-226 | Δ | Pb-210 изб. | Δ | Масса, г |
5306 | 1 | 183 | ± 16 | 2 | ± 0.2 | 12 | ± 1 | 171 | ± 16 | 107,48 |
3 | 101 | ± 11 | 0,7 | ± 0.2 | 11 | ± 1 | 90 | ± 12 | 129,07 | |
5 | 45 | ± 6 | 1 | ± 0.3 | 9 | ± 1 | 36 | ± 7 | 114,72 | |
7 | 39 | ± 4 | 0,6 | ± 0.2 | 11 | ± 1 | 28 | ± 5 | 131,42 | |
9 | 35 | ± 4 | н.ч.п. | - | 12 | ± 1 | 23 | ± 5 | 124,19 | |
11 | 38 | ± 5 | н.ч.п. | - | 16 | ± 1 | 22 | ± 6 | 124,09 | |
13 | 36 | ± 4 | н.ч.п. | - | 15 | ± 1 | 21 | ± 5 | 125,36 | |
15 | 34 | ± 4 | н.ч.п. | - | 13 | ± 1 | 21 | ± 4 | 143,58 | |
17 | 40 | ± 4 | н.ч.п. | - | 15 | ± 1 | 25 | ± 5 | 124,09 | |
19 | 38 | ± 4 | н.ч.п. | - | 13 | ± 1 | 24 | ± 4 | 153,62 | |
5358 | 1 | 335 | ± 26 | 6 | ± 0.9 | 34,6 | ± 3.4 | 300 | ± 40 | 37,8 |
3 | 194 | ± 13 | 5,5 | ± 0.4 | 42 | ± 1.5 | 151 | ± 12 | 68,01 | |
5 | 134 | ± 13 | 3 | ± 0.7 | 37 | ± 2.5 | 97 | ± 11 | 52,32 | |
7 | 107 | ± 12 | 0,2 | ± 0.1 | 40 | ± 3 | 67 | ± 11 | 46,32 | |
9 | 107 | ± 12 | 0,8 | ± 0.3 | 42 | ± 3 | 65 | ± 10 | 40,81 | |
11 | 108 | ± 9 | 0,4 | ± 0.2 | 41 | ± 2 | 66 | ± 9 | 42,87 | |
13 | 109 | ± 10 | 1,76 | ± 0.5 | 51 | ± 3 | 58 | ± 10 | 39,62 | |
15 | 118 | ± 10 | 3 | ± 0.4 | 32 | ± 3 | 86 | ± 9 | 34,66 | |
17 | 106 | ± 9 | 0,13 | ± 0.05 | 52 | ± 3 | 54 | ± 8 | 36,48 | |
19 | 115 | ± 8 | 0,1 | ± 0.05 | 36 | ± 2 | 79 | ± 7 | 36,9 | |
23 | 97 | ± 7 | 0,3 | ± 0.1 | 28 | ± 2 | 69 | ± 5 | 50,9 | |
29 | 88 | ± 6 | 0,18 | ± 0.24 | 19 | ± 2 | 72 | ± 6 | 44,23 | |
5391 | 1 | 196 | ± 16 | 3,8 | ± 0.3 | 27 | ± 2 | 169 | ± 18 | 82,44 |
3 | 193 | ± 15 | 5,1 | ± 0.4 | 32 | ± 2 | 161 | ± 16 | 109,87 | |
5 | 108 | ± 9 | 2,4 | ± 0.2 | 20 | ± 1 | 88 | ± 10 | 148,2 | |
7 | 78 | ± 7 | 0,9 | ± 0.1 | 25 | ± 1 | 53 | ± 11 | 141,24 | |
9 | 76 | ± 7 | 0,35 | ± 0.1 | 27 | ± 2 | 49 | ± 8 | 131,14 | |
11 | 64 | ± 6 | 0,39 | ± 0.1 | 21 | ± 1 | 43 | ± 7 | 141,86 | |
13 | 63 | ± 6 | 0,37 | ± 0.1 | 24 | ± 2 | 39 | ± 6 | 121,26 | |
15 | 55 | ± 5 | 0,19 | ± 0.1 | 20 | ± 2 | 35 | ± 5 | 146,7 | |
5394 | 1 | 341 | ± 37 | 5,3 | ± 0.5 | 20 | ± 2 | 321 | ± 38 | 37,43 |
3 | 262 | ± 30 | 6,1 | ± 0.7 | 21 | ± 2 | 241 | ± 32 | 61,04 | |
5 | 177 | ± 20 | 5,1 | ± 0.5 | 21 | ± 2 | 156 | ± 21 | 62,97 | |
7 | 111 | ± 14 | 3,3 | ± 0.5 | 22 | ± 2 | 89 | ± 17 | 78,29 | |
9 | 93 | ± 10 | 1,8 | ± 0.2 | 22 | ± 2 | 71 | ± 14 | 78,81 | |
11 | 79 | ± 9 | 1,1 | ± 0.1 | 20 | ± 2 | 59 | ± 12 | 96,17 | |
13 | 98 | ± 11 | 0,8 | ± 0.2 | 32 | ± 2 | 66 | ± 13 | 84,93 | |
15 | 128 | ± 14 | 0,2 | ± 0.1 | 57 | ± 3 | 71 | ± 16 | 94,91 | |
17 | 147 | ± 16 | н.ч.п. | - | 58 | ± 3 | 89 | ± 18 | 88,44 | |
19 | 105 | ± 11 | н.ч.п. | - | 32 | ± 2 | 73 | ± 13 | 104,97 | |
21 | 183 | ± 20 | н.ч.п. | - | 84 | ± 4 | 99 | ± 26 | 108,53 | |
23 | 124 | ± 13 | н.ч.п. | - | 54 | ± 3 | 70 | ± 16 | 114,13 | |
25 | 58 | ± 7 | н.ч.п. | - | 20 | ± 1 | 38 | ± 9 | 105,58 | |
5199 | 1 | 284 | ± 31 | 6,3 | ± 0.6 | 26 | ± 2.1 | 257 | ± 31 | 48,108 |
3 | 212 | ± 25 | 6,8 | ± 0.8 | 22 | ± 2.5 | 190 | ± 25 | 44,735 | |
5 | 203 | ± 23 | 5,5 | ± 0.6 | 26 | ± 2.7 | 177 | ± 23 | 23,894 | |
7 | 152 | ± 17 | 3,9 | ± 0.4 | 24 | ± 2 | 128 | ± 17 | 48,314 | |
9 | 108 | ± 14 | 2,6 | ± 0.5 | 20 | ± 2.2 | 88 | ± 14 | 45,807 | |
11 | 85 | ± 10 | 1,3 | ± 0.2 | 20 | ± 1.6 | 65 | ± 10 | 68,05 | |
13 | 80 | ± 11 | 0,8 | ± 0.1 | 24 | ± 2.3 | 56 | ± 11 | 64,669 | |
15 | 79 | ± 10 | 0,3 | ± 0.1 | 19 | ± 2.7 | 60 | ± 10 | 55,548 | |
17 | 78 | ± 11 | 1,4 | ± 0.2 | 22 | ± 2.3 | 56 | ± 11 | 43,055 | |
19 | 72 | ± 9 | 0,4 | ± 0.1 | 26 | ± 1.6 | 46 | ± 9 | 60,516 | |
№ кол. | Глуб. см | Pb-210Σ | Δ | Cs-137 | Δ | Ra-226 | Δ | Pb-210 изб. | Δ | Масса, г |
5403 | 1 | 222 | ± 24 | 3,8 | ± 0.4 | 8 | ± 1 | 214 | ± 26 | 56,71 |
3 | 126 | ± 14 | 4 | ± 0.5 | 9 | ± 1 | 117 | ± 18 | 73,16 | |
5 | 50 | ± 7 | 3,5 | ± 0.3 | 8 | ± 1 | 42 | ± 8 | 113,42 | |
7 | 46 | ± 6 | 2 | ± 0.3 | 8 | ± 1 | 38 | ± 6 | 138,25 | |
9 | 26 | ± 6 | 1,8 | ± 0.2 | 9 | ± 1 | 17 | ± 4 | 102,29 | |
11 | 19 | ± 3 | 0,7 | ± 0.1 | 7 | ± 1 | 12 | ± 3 | 120,26 | |
13 | 18 | ± 3 | 0,5 | ± 0.1 | 7 | ± 1 | 11 | ± 3 | 135,09 | |
15 | 10 | ± 5 | 0,3 | ± 0.1 | 6 | ± 1 | 4 | ± 1 | 144,87 | |
17 | 16 | ± 2 | 0,4 | ± 0.1 | 9 | ± 1 | 7 | ± 2 | 128,46 | |
19 | 11 | ± 3 | 0,3 | ± 0.1 | 7 | ± 1 | 4 | ± 2 | 125,5 | |
21 | 13 | ± 2 | 0,3 | ± 0.1 | 8 | ± 1 | 5 | ± 2 | 136,49 | |
23 | 16 | ± 3 | н.ч.п. | - | 8 | ± 1 | 8 | ± 3 | 159,57 | |
25 | 18 | ± 3 | н.ч.п. | - | 9 | ± 1 | 9 | ± 3 | 152,2 | |
27 | 16 | ± 2 | н.ч.п. | - | 8 | ± 1 | 8 | ± 3 | 101,05 | |
29 | 15 | ± 2 | н.ч.п. | - | 8 | ± 1 | 7 | ± 2 | 145,34 | |
5242 | 1 | 175 | ± 21 | 2,7 | ± 0.5 | 20 | ± 2 | 155 | ± 21 | 64,75 |
3 | 110 | ± 13 | 2,6 | ± 0.4 | 23 | ± 2 | 87 | ± 13 | 90,45 | |
5 | 82 | ± 11 | 2,1 | ± 0.3 | 23 | ± 2 | 59 | ± 11 | 95,56 | |
7 | 50 | ± 6 | 0,6 | ± 0.1 | 21 | ± 2 | 29 | ± 6 | 123,48 | |
5374 | 1 | 178 | ± 18 | 3,7 | ± 0.3 | 13 | ± 1 | 165 | ± 20 | 76,61 |
3 | 175 | ± 19 | 4,8 | ± 0.4 | 16 | ± 1 | 159 | ± 21 | 69,86 | |
5 | 95 | ± 11 | 3 | ± 0.4 | 16 | ± 1 | 79 | ± 15 | 109,66 | |
7 | 61 | ± 7 | 1,8 | ± 0.2 | 11 | ± 1 | 50 | ± 9 | 147,1 | |
9 | 60 | ± 8 | 1,3 | ± 0.1 | 18 | ± 1 | 42 | ± 10 | 152,62 | |
11 | 59 | ± 7 | 0,9 | ± 0.1 | 23 | ± 2 | 36 | ± 10 | 168,48 | |
13 | 60 | ± 8 | 0,6 | ± 0.2 | 27 | ± 2 | 33 | ± 10 | 103,45 | |
15 | 36 | ± 5 | 0,3 | ± 0.1 | 11 | ± 1 | 25 | ± 8 | 149,82 | |
5240 | 1 | 213 | ± 23 | 1,6 | ± 0.9 | 20 | ± 9 | 193 | ± 24 | 14,38 |
3 | 183 | ± 18 | 2,5 | ± 0.5 | 21 | ± 3 | 162 | ± 19 | 16,5 | |
5 | 167 | ± 18 | н.ч.п. | - | 19 | ± 3 | 148 | ± 20 | 16,04 | |
7 | 156 | ± 17 | 1,5 | ± 0.6 | 19 | ± 3 | 137 | ± 18 | 20,3 | |
9 | 123 | ± 15 | 2,4 | ± 0.4 | 28 | ± 3 | 95 | ± 16 | 21,61 | |
11 | 69 | ± 11 | 2,9 | ± 0.7 | 23 | ± 3 | 46 | ± 12 | 18,79 | |
13 | 64 | ± 10 | н.ч.п. | - | 26 | ± 3 | 38 | ± 11 | 23,58 | |
15 | 65 | ± 9 | 1,1 | ± 0.6 | 17 | ± 2 | 48 | ± 10 | 22,25 | |
17 | 66 | ± 10 | н.ч.п. | - | 27 | ± 2 | 39 | ± 11 | 21,87 | |
19 | 86 | ± 9 | н.ч.п. | - | 38 | ± 3 | 48 | ± 10 | 22,08 | |
Примечания. н.ч.п. — ниже чувствительности прибора; - — не определялось.
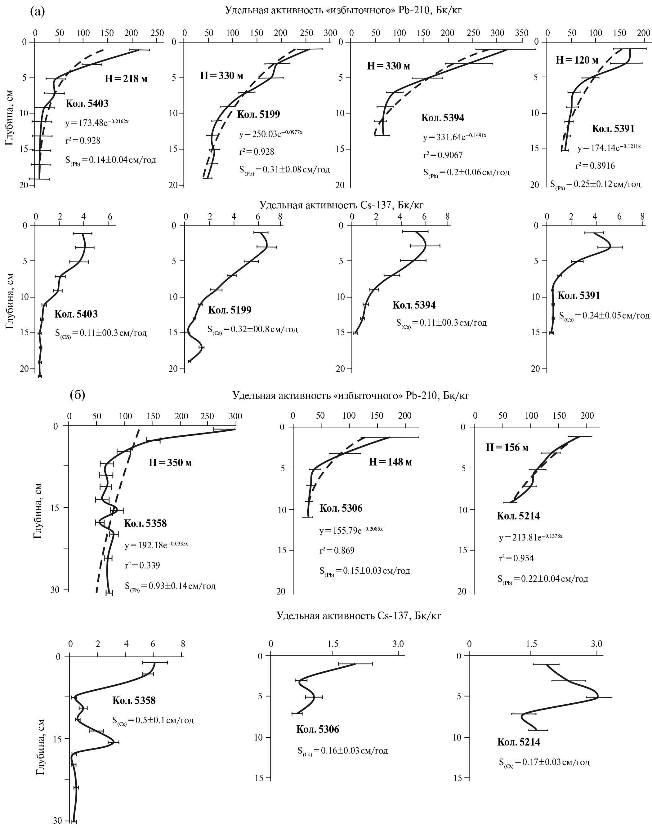
Рис. 2. Вертикальные профили активности 210Pb и 137Cs в эстуарии Оби (Обская губа) с указанием глубины воды (Н), номера колонки, экспоненциального уравнения (у = 10–х, пунктирная кривая) коэффициента корреляции (r2) и скоростей седиментации S(Pb) и S(Cs).
Рис. 3. Вертикальные профили активности 210Pb и 137Cs в эстуарии Енисея (Енисейский залив) с указанием глубины воды (Н), номера колонки, экспоненциального уравнения (у = 10–х, пунктирная кривая), коэффициента корреляции (r2) и скоростей седиментации S(Pb) и S(Cs).
Рис. 4. Вертикальные профили активности 210Pb и 137Cs в Восточно-Новоземельском желобе с указанием глубины воды (Н), номера колонки, экспоненциального уравнения (у = 10–х, пунктирная кривая), коэффициента корреляции (r2) и скоростей седиментации S(Pb) и S(Cs): а – южный сектор, б – северный сектор.
Рис. 5. Вертикальные профили активности 210Pb и 137Cs в заливе Седова (Новая Земля) с указанием глубины воды (Н), номера колонки, экспоненциального уравнения (у = 10–х, пунктирная кривая), коэффициента корреляции (r2) и скоростей седиментации S(Pb) и S(Cs).
РЕЗУЛЬТАТЫ
Карское море является наиболее удобным естественным полигоном для изучения механизмов седиментации 210Pb и 137Cs минимум по трем причинам. Во-первых, оно расположено в непосредственной близости от новоземельского ядерного испытательного полигона, получившего наименование в документах министерства обороны СССР “Полигон 600”. Во-вторых, в море впадают две величайшие реки Сибири (Обь и Енисей) с большой площадью водосбора. И, в-третьих, установлено, что 210Pb хорошо захватывается терригенными алюмосиликатами (Legeleux et al., 1996), представляющими, в подавляющей своей части, глинистые минералы. Таким образом, близость к источникам техногенных радионуклидов в совокупности с преобладанием терригенной седиментации приводит к формированию на акватории моря осадков с ярко выраженными вертикальными изменениями активности природных и техногенных радионуклидов.
Ниже представлено литологическое описание каждой колонки послойно с расчетными скоростями седиментации. Слоем мы будем называть совокупность соседних горизонтов. Под горизонтом мы подразумеваем образец осадка мощностью 1 см, соответствующий высоте образца (см. раздел методы). Условно все колонки можно разделить на два слоя – верхний окисленный и нижний восстановленный. Верхний слой отличается коричневым или светло-коричневым цветом и отражает окислительные условия субаквального диагенеза. Нижний слой имеет более темные тона (от темно-голубого или темно-оливкового до черного) и отражает восстановительные (бескислородные) условия субаквального диагенеза.
Обская губа
Колонки 5323 и 5324 расположены в Обской губе на глубине 18 и 16 м соответственно и отражают условия седиментации в верхней части эстуарной зоны (рис. 1). Колонки отбирались достаточно близко друг от друга, и их литологическое описание схоже. Глубина колонок составила 30–33 см (рис. 2). По гранулометрическому составу садки неоднородны: алевритовый песок перемежается с тонкими песчаными прослоями. Верхний горизонт 0–1 см светло-коричневого цвета (восстановленные осадки). Ниже (слой 1–10 см) залегает темно-серый сильно обводненный осадок, представляющий собой переходную зону от верхнего окисленного горизонта к восстановленным осадкам, содержащим гидротроилит. Нижний слой 10–33 см представлен более плотным осадком черного цвета с косыми песчаными прослоями темно-серого цвета. Косые прослои указывают на гидродинамическое влияние придонных течений в эстуарии. Главной отличительной особенностью этих колонок является обилие зерен кварца и сравнительно крупный гранулометрический состав (алевритовый песок).
Здесь обнаружены сравнительно высокие скорости седиментации, которые превышают средние значения, полученные для открытых частей моря: S(Pb) = 0.76 см/год и S(Cs) = 0.75 см/ год для кол. 5323 и S(Pb) = 0.7 см/год и S(Cs) = 0.4 см/ год для кол. 5324 (рис. 2). Для этих колонок характерно наличие двух подповерхностных пиков активности 137Cs, отражающих глобальные выпадения 1963 и 1986 гг. (см. раздел “Методы”). Исходя из этого, возраст осадка в нижней части колонки соответствует 40–47 годам.
Колонка 5326 общей глубиной 50 см расположена в Обской губе на глубине воды 13 м ниже по течению реки на границе “иловой банки” (рис. 1). По гранулометрическому составу осадки верхнего слоя колонки (0–2 см) представлены пелитовым алевритом. Верхний слой 0–10 см состоит из окисленных, сильно обводненных осадков светло-коричневого цвета с редкими примазками рыжего цвета (окислы железа). Граница с нижележащим слоем четкая. Нижний слой 10–50 см – восстановленный осадок бежевого цвета с оливковым оттенком (примазки гидротроилита). Слой также сильно обводненный.
В колонке зафиксированы максимально высокие пики активности “избыточного” 210Pb. Так, в верхнем слое 0–5 см активность достигла более 200 Бк/кг (таблица, рис. 2). Ниже по разрезу активность снижается по кривой, близкой к усредненной экспоненте с коэффициентом корреляции 0.84, достигая значений 53 Бк/кг на глубине 40–45 см. Эта кривая позволяет установить среднюю для колонки скорость седиментации S(Pb) = 1.06 см/год, т.е. максимально высокую для всех измеренных нами колонок. В то же время, вертикальное распределение активности 137Cs имеет только один четко выраженный подповерхностный максимум в слое 25–30 см. Исходя из возрастной модели, полученной по 210Pb, этот пик активности 137Cs отражает глобальное выпадение 1986 г. в результате аварии на Чернобыльской АЭС. Если за основу реконструкции принять последнюю дату, то скорость седиментации составит S(Cs) = 0.89 см/ год (рис. 2). Таким образом, в основании колонки на глубине 50 см находится осадок возрастом около 47–56 лет.
Енисейский залив
Колонка 5343 глубиной 30 см (рис. 1). Глубина воды в районе отбора колонки составила 11 м, что делает ее самой мелководной из представленных нами. По гранулометрическому составу осадки однородны – пелитово-алевритовые, как и в предыдущей кол. 5326. Однако, в отличие от последней, в кол. 5343 осадки более глинистые, то есть содержат больше глинистых минералов и меньше зерен кварца. Верхняя часть колонки (слой 0–8 см) представлена окисленным осадком. Цвет осадка плавно переходит от светло-коричневого к темно-коричневому, что указывает на отсутствие резкого перехода от окислительных условий к восстановительным. Гор. 8–9 см представлен простоем гидротроилита черного цвета. Граница с нижележащим горизонтом нечеткая. Слой 9–12 см – темно-коричневый окисленный осадок. Нижний слой 12–30 см представлен восстановленными осадками темно-оливкового цвета с нечеткими тонкими прослоями гидротроилита.
Согласно затуханию активности «избыточного» 210Pb, скорость седиментации S(Pb) в кол. 5343 составляет 0.68 см/год (рис. 3). Соответственно, возраст осадков в забое колонки на глубине 30 см около 44 лет. Здесь зарегистрировано два подповерхностных пика в распределении активности 137Cs, как и в эстуарии Оби. Однако, в отличие от предыдущих, в Енисейском заливе нижний пик, связанный с глобальными выпадениями 1963 г., значительно выше по интенсивности в сравнении с пиком, отражающим повышенную активность от выпадения 1986 г. (см. таблицу и рис. 2). Это различие может объясняться географическим положением областей водосбора рек. Так, “Чернобыльская” авария оказала бóльший вклад в активность эстуарных осадков Оби, чем в осадки Енисея, поскольку водосбор первой реки расположен западнее и, как следствие, ближе к источнику радионуклидов. В то же время активность техногенного 137Cs в осадках Енисейского залива в 4 (!) раза выше активности осадков Обской губы.
Восточно-Новоземельский желоб
Колонка 5403 глубиной 35 см расположена на глубине моря 218 м в южной части желоба (рис. 1). Верхний слой 0–2 см представлен окисленными осадками коричневого цвета (пелитово-песчанистый алеврит). Переход к нижележащему слою постепенный. Слой 2–17 см – восстановленный осадок серо-голубого цвета и однородного состава. Нижний слой 17–35 см отличается от вышележащего только черными примазками гидротроилита.
Исходя из вертикального распределения активности «избыточного» 210Pb, скорость седиментации (S(Pb)) составила 0.14 см/год (рис. 4а). Таким образом, максимальный возраст осадков в колонке составил около 250 лет. В то же время датировка по 137Cs показала более низкие скорости седиментации – 0.11 см/год, что увеличивает возраст осадков в ее основании до 300 лет.
Колонки 5199 и 5394 глубиной 20 и 25 см соответственно расположены в центральной глубоководной части желоба (рис. 1). Глубина моря в точках отбора колонок составила 330 м. Из-за близости положения колонок литологическое описание вертикального разреза схожее. Верхний слой 0–2 см представлен сильно обводненными окисленными осадками коричневого цвета. Граница с нижележащим слоем постепенная. Нижний слой 2–20 (25) см представлен восстановленными осадками серо-голубого цвета достаточно однородный консистенции (без видимой слоистости и включений). Последнее указывает на отсутствие горизонтального переноса в истории накопления осадков. Однако по гранулометрическому составу осадки колонок различаются. Так, осадки в кол. 5199 представлены алевритом, в то время как в кол. 5394 они более крупнозернистые и состоят из пелитово-песчаного алеврита.
Скорости седиментации колонок также различны. Так, для кол. 5199 (осадки более тонкие) скорости седиментации, определенные по активности «избыточного» 210Pb и 137Cs, составили 0.31–0.32 см/год, для кол. 5394 (осадки более грубые) – 0.11–0.2 см/год (рис. 4а). Принимая во внимание одинаковую глубину моря в точке отбора колонок, можно предположить, что более высокое содержание песчаного материала и меньшие скорости седиментации кол. 5394 указывают на вымывание тонких фракций осадочного материала (или его неотложение), т.е. на неоднородность гидродинамического режима придонных вод в глубоководной части желоба.
Колонка 5391 глубиной 16 см расположена напротив входа в залив Цивольки на западном склоне желоба (рис. 1). Глубина моря в районе отбора колонки составила 120 м. По гранулометрическому составу осадки состоят из пелитово-песчаного алеврита. Мощность верхнего окисленного слоя составляет 3 см.
По затуханию активности «избыточного» 210Pb вдоль колонки и подповерхностному пику 137Cs скорость седиментации в колонке составила 0.25 и 0.24 см/год соответственно, т.е. сопоставима со скоростями осадконакопления в наиболее глубоководной части желоба (рис. 4а).
Колонка 5358 глубиной 41 см расположена в глубоководной центральной части желоба (рис. 1). Глубина моря в районе отбора колонки составила 350 м, что делает ее самой глубоководной из изученных нами. Осадки верхнего слоя 0–2 см состоят из пелитово-песчаного алеврита. Верхние 0–11 см колонки представляют собой окисленные, сильно обводненные осадки светло-коричневого цвета (“кофе с молоком”). Ниже по разрезу в слое 11–41 см осадок становится более плотным и слоистым: осадки темно-коричневого цвета (“шоколад”) переслаиваются с более светлыми (“кофе с молоком”). Восстановленных осадков колонкой достигнуто не было. В свою очередь, слоистость переходного слоя может свидетельствовать как в пользу частой смены режима седиментации, так и горизонтального переноса осадка гравитационными потоками в глубоководную часть желоба с его склонов.
Активность «избыточного» 210Pb резко затухает в верхних 7 см осадка и достигает примерно равных значений в слое 7–41 см (рис. 4б), что может свидетельствовать в пользу преобладания горизонтального переноса в истории их накопления. Тем не менее усредненная кривая затухания интенсивности «избыточного» излучения 210Pb показывает среднюю скорость седиментации S(Pb) = 0.93 см/год. В то же время активность 137Cs имеет два подповерхностных пика на горизонтах 8–9 см и 12–13 см (таблица). Из них активность нижнего горизонта более высокая (рис. 4б), что указывает на доминирующий вклад глобальных выпадений, произошедших до эпизода “Чернобыльской” аварии. Это делает ее схожей с кол. 5343, расположенной в Енисейском заливе.
Колонка 5306 глубиной 30 см расположена на западном склоне желоба (рис. 1). Глубина моря в районе отбора колонки составила 148 м. Верхние 0–2 см колонки представлены окисленными сильно обводненными осадками коричневого цвета. Слой 2–5 см представляет постепенный переход к нижнему восстановленному слою, сопровождаемый постепенным увеличением плотности осадка. Слой 5–10 см – восстановленные осадки фиолетово-голубого цвета с пятнами биотурбации. Слой 10–30 см – восстановленный плотный ил темно-голубого цвета. По гранулометрическому составу осадки склона напоминают осадки кол. 5391 (пелитово-песчаный алеврит).
Скорости седиментации, полученные двумя разными методами, практически совпали (S(Pb) = 0.15 см/год, S(Cs) = 0.16 см/год) (рис. 4б), что свидетельствует в пользу относительно спокойного режима седиментации по механизму “частица за частицей”. Таким образом, установленный нами возраст осадков в основании колонки составил 188–200 лет.
Колонка 5214 глубиной 10 см расположена в северной оконечности желоба на глубине моря 157 м (рис. 1). Верхние 0–3 см колонки представлены окисленными осадками темно-коричневого цвета из алевритового песка. На поверхности осадка обнаружены отдельные вертикально стоящие трубки с живыми полихетами. По литологическому составу осадки можно отнести к более плотным (меньшей влажности) осадкам склона. Однако они самые крупнозернистые среди изученных осадков желоба, что указывает на сильное влияние придонных течений. Нижние 3–10 см колонки представлены восстановленными осадками светло-оливкового цвета с включениями пятен гидротроилита.
По затуханию активности «избыточного» 210Pb и пику активности 137Cs (таблица) скорость седиментации составила 0.22 и 0.17 см/год соответственно (рис. 4б). Таким образом, возраст осадков в основании колонки составил 45–58 лет.
Желоб Воронина
Колонка 5240 глубиной 20 см отобрана в глубоководной части желоба (глубина воды 290 м) (рис. 1). Верхний слой 0–2 см колонки представлен алевритом с высоким содержанием глинистых минералов. В целом колонка является типичным представителем глубоководных отложений желобов.
Полученные результаты измерений активности радионуклидов не представлены в графическом виде, поскольку в значительной степени повторяют классическое вертикальное распределение активности измеренных радиоизотопов в Восточно-Новоземельском желобе. Ее отличает сравнительно низкая активность 137Cs, составляющего всего 1.1–2.9 Бк/кг. Тем не менее в распределении последнего отмечено два максимума на глубине 3 и 11 см (таблица). По результатам расчетов, скорость седиментации в колонке составила 0.16±0.03 см/год по «избыточному» 210Pb и 0.15±0.03 см/год по 137Cs. Соответственно, возраст осадков в основании колонки составил 125–133 года.
Залив Седова (архипелаг Новая Земля)
Колонки 5242 и 5374 глубиной 14 и 16 см соответственно отобраны во внутренней глубоководной впадине залива на глубине 194 и 190 м соответственно (рис. 1). Колонки полностью представлены восстановленными осадками темно-оливкового цвета пелитово-алевритового состава, что свидетельствует о сравнительно спокойном гидродинамическом режиме во впадине. Поскольку колонки были отобраны недалеко друг от друга (кол. 5242 в точке с координатами 74°40.4 N и 59°56.3 Е; кол. 5374 в точке с координатами 74°40.3 N и 59°56.3 Е), мы получили практически равные скорости седиментации (S(Pb) = 0.11–0.20 см/год, S(Cs) = 0.10 см/ год) (рис. 5). Таким образом, максимальный возраст отобранных осадков составил 150 лет. Это свидетельствует о том, что скорости седиментации в заливе не только сопоставимы со скоростями осадконакопления в открытой части моря, но зачастую ниже. Последнее можно объяснить тем, что значительная часть осадочного материала, выносимого в залив талыми водами ледников (так называемое “ледниковое молоко”), проходит транзитом (не осаждаясь на дно) по поверхности водной толщи залива в составе распресненных талых вод и выносится в открытое море. Такой механизм переноса ледовой взвеси хорошо виден на снимках, сделанных спутниками из космоса. На них отчетливо видны шлейфы взвеси белого цвета, протягивающиеся на десятки и сотни километров из северных заливов Новой Земли в акваторию Карского и Баренцева морей (снимки в статье не показаны).
ОБСУЖДЕНИЕ
Сравнение мощностей верхнего окисленного слоя и скоростей седиментации в изученных колонках показало отсутствие между ними прямой зависимости. Это означает, что мощность окисленного слоя не определяется скоростью седиментации. Более важными показателями являются скорость накопления органического вещества и скорость его деструкции в осадках. Поскольку содержание органического вещества в осадках разных литотипов различно, то и скорости его накопления различны. Тем не менее, в целом, в районах наиболее высоких скоростей осадконакопления мощность окисленного слоя максимальна. Это относится как к эстуарным осадкам, так и к осадкам глубоководных желобов. Так, в эстуарных осадках мощность верхнего окисленного слоя составляет не более 10 см при скоростях седиментации около 0.5–1.0 см/ год (рис. 2 и 3). В то же время в отрытой части моря наиболее высокая мощность окисленных осадков (> 40 см) обнаружена в самой глубоководной кол. 5358, расположенной в центральной части Восточно-Новоземельского желоба (глубина 350 м). Для этой колонки также характерны высокие скорости седиментации (0.5–0.9 см/год) (рис. 4б), которые, как мы показали выше, определяются не столько вертикальными потоками осадочного вещества в водном столбе, сколько горизонтальным переносом осадочного материала гравитационными потоками со склонов желоба. Этот вывод подтверждается литологическим описанием кол. АМК-5392 (результаты не опубликованы), отобранной в центральной части желоба на глубине 318 м восточнее кол. 5391. В ней мощность верхнего окисленного слоя составила 26 см, а сам слой состоял из чередующихся между собой коричневых и темно-коричневых (окисленных) прослоев, перемежающихся более тонкими темно-голубыми (восстановленными) прослоями. Для остальных колонок мощность верхнего окисленного слоя не превышала 2–5 см при средних скоростях седиментации << 0.5 см/год. Это подтверждает вывод А.Г. Розанова (2015) о том, что основная масса осадков Карского моря является восстановительной, несущей сульфиды железа, окрашивающие осадки в серый и черный цвета.
Результаты литолого-геохимической типизации поверхностного слоя донных отложений Карского моря (Русаков и др., 2017а, б) показали, что изученные осадки можно разделить на четыре большие группы. К первой группе относятся слабодифференцированные гляциальные осадки заливов (кол. 5242 и 5374) и влекомые наносы (колонки 5323 и 5324). Ко второй группе относятся осадки “иловых банок” (колонки 5326 и 5343), отражающие зоны лавинного осаждения речных взвесей. К третьей группе относятся терригенные морские осадки, подвергшиеся влиянию морских течений (колонки 5403, 5391, 5306 и 5214). Как правило, эти осадки расположены на мелководных участках моря и на склонах желобов. И, наконец, к четвертой группе относятся наиболее тонкие и глинистые отложения центральных частей глубоководных желобов моря (колонки 5199, 5394, 5358 и 5240).
Исходя из фациально-генетической типизации поверхностных отложений Карского моря (Русаков и др., 2018), изученные осадки относятся к голоценовым отложениям, накопившимся в условиях трансгрессивного подъема уровня Мирового океана. В свою очередь, голоценовые отложения можно разделить на терригенно-эстуарные (колонки 5323, 5324, 5326 и 5343), терригенно-мелководно-морские (колонки 5403, 5391, 5306 и 5214) и фоновые терригенно-морские (колонки 5199, 5394, 5358 и 5240). В этом делении осадки заливов образуют самостоятельную группу, отражающую накопление гляциальных отложений ледников архипелага, то есть деление на основе литолого-геохимической типизации (за исключением осадков залива Седова) полностью согласуется с фациально-генетической типизацией. Ниже рассмотрим каждую группу осадков отдельно.
Терригенно-эстуарные осадки
Терригенно-эстуарные осадки, согласно литологическим признакам и механизму накопления, подразделяются на две группы – влекомые наносы и осадки “иловых банок”. Влекомые наносы (колонки 5323 и 5324), согласно ранее проведенным нами исследованиям (Русаков и др., 2017а, 2017б, 2018), покрывают в Карском море обширные площади, соответствующие конусам выноса Оби и Енисея (карскоморская возвышенность). Однако в настоящее время в условиях высокого стояния уровня моря основная область их накопления сосредоточена в эстуариях. Осадки отличаются крупнозернистым составом с доминирующей песчаной составляющей и высоким содержанием кварца. Они переносятся речными потоками (термин “влекомые наносы” происходит от того, что осадки влекутся течением реки вдоль дна) и вследствие “отрыва” речного потока внутри эстуария от дна осаждаются. Отрыв речного потока от дна происходит вследствие затока в эстуарий более тяжелых (соленых) морских вод. В результате внутри эстуария формируется своеобразный “соленый клин”, разделяющий эстуарные водные массы на две части – поверхностные пресные речные и глубинные соленые морские воды. Результаты определения скоростей седиментации в изученных колонках показали высокие скорости аккумуляции влекомых наносов (около 0.7 см/год), сопоставимых со скоростями аккумуляции более тонких осадков в зонах лавинного осадконакопления речных взвесей (“иловые банки”) (рис. 2). Это свидетельствует о том, что для продолжительного существования эстуария необходимы высокие скорости подъема уровня моря, значительно превосходящие скорости осадконакопления. По нашим оценкам, при современной скорости их аккумуляции и в отсутствии подъема уровня Мирового океана эстуарии Оби и Енисея средней глубиной в 20 м полностью заполнятся влекомыми наносами менее чем за 3 тыс. лет (!).
Рис. 6. Расположение “иловых банок” в Обской губе и положение колонок осадков. Стрелками показана циркуляция поверхностных течений.
Осадки “иловых банок” (колонки 5326 и 5343) отличаются от влекомых наносов не только более тонким гранулометрическим составом (преимущественно алевриты), но и механизмом накопления. Если первые образованы перемещением осадочного материала рекой по дну, то вторые переносятся в водном столбе в виде речной взвеси. Осаждение такой взвеси на дно возможно лишь в условиях ослабления потока. Это происходит в изгибах речных долин или в эстуариях – там, где течение реки образует циркуляционный круговорот. В таких круговоротах ламинарные речные потоки разрушаются, преобразуясь в турбулентные. При этом они теряют возможность транспортировать тонкие взвешенные частицы. Последние под действием сил гравитации осаждаются на дно в изгибах Обской губы, формируя “иловые банки” (рис. 6). Значительную часть осадков “иловой банки” составляют частицы алевритовой размерности (0.063–0.002 мм). Осаждению более тонких частиц пелитовой размерности (<0.002 мм) способствуют процессы коагуляции и флоккуляции. Отрицательно заряженные глинистые частицы, попадая в электролит морской воды, вступают во взаимодействие с органическим веществом. В результате образуются сложные комплексы органоминеральных соединений более крупного размера. Именно эти коагулированные частицы и флоккулы осаждаются на дно. В результате на дне накапливаются тонкие осадки с очень высокой влажностью. По некоторым оценкам, влажность осадков может превышать 70%. Для сравнения, в верхнем 4–6-метровом слое “нормальные” морские осадки Карского моря имеют влажность в пределах 30–50%. По нашим оценкам, скорость накопления осадков “иловых банок” достигает ~1 см/ год. Благодаря тому, что они накапливаются очень быстро и в относительно локальных районах реки и эстуариев, их принято называть отложениями “иловых банок”. Кроме того, было установлено, что эти осадки обладают аномально высокой активностью техногенных радионуклидов. Так, исследования, проведенные с 1995 по 2003 гг. (Галимов и др., 2006), выявили аномально высокие активности 137Cs (> 40 Бк/кг) в осадках влажностью > 70% в эстуариях Оби и Енисея.
Наши данные показали, что скорость седиментации в кол. 5326, расположенной на границе обской “иловой банки” (рис. 6), составляет 0.89–1.06 см/год (рис. 2), то есть скорость аккумуляции речных взвесей превышает скорость аккумуляции влекомых наносов. Однако в силу своей высокой обводненности осадки “иловых банок” не образуют устойчивых отложений и могут размываться придонным течением. Именно благодаря этому свойству они имеют локальную область распространения. Сопоставимая активность техногенного цезия-137 в осадках Обской губы (кол. 5326) с влекомыми наносами (колонки 5323 и 5324) (рис. 2) объясняется тем, что колонка отбиралась на краю “иловой банки” (рис. 6). При этом влажность ее осадков была в пределах 50–60%, что сопоставимо с влажностью влекомых наносов. В то же время осадки, отобранные в пределах енисейской “иловой банки” (кол. 5343), отличались максимально высокой активностью техногенного цезия-137 (> 40 Бк/кг) (рис. 3).
Терригенно-мелководно-морские осадки
Терригенно-мелководно-морские осадки: колонки 5403, 5391, 5306 и 5214. К данной фациально-генетической группе отложений описанные колонки можно отнести условно, поскольку все они накопились на глубинах моря более 100 м. От фоновых терригенно-морских отложений их отличает более грубый гранулометрический состав, а главное, меньшая доля глинистой составляющей. Такой состав отражает гидродинамическое влияние придонных течений, вымывающих из них тонкие глинистые частицы. Скорость их аккумуляции оказалась наиболее низкой и не превышала 0.20–0.25 см/год (рис. 4).
Фоновые терригенно-морские осадки
Фоновые терригенно-морские осадки (колонки 5199, 5394, 5358 и 5240) накапливаются в относительно спокойных гидродинамических условиях локальных депрессий и в центральных частях глубоководных желобов моря. К их главным отличительным особенностям можно отнести более тонкий гранулометрический состав, высокую мощность верхнего окисленного слоя и сравнительно высокую скорость седиментации, достигающую значений, сопоставимых с эстуарными районами лавинной седиментации. Кроме того, в геохимическом плане их отличает повышенное содержание в верхнем окисленном слое Mn (Русаков и др., 2018) и органического вещества (Розанов, 2015). Сопоставление литолого-геохимических и фациально-генетических типов донных осадков Восточно-Новоземельского желоба показало, что его северная часть испытывает сильное влияние твердого стока Оби (Русаков и др., 2017а, 2017б, 2018). Данные этой работы также указывают на системное превышение скоростей седиментации в его северной части (рис. 1). В совокупности это позволяет предположить, что взвесь обского стока поверхностными течениями переносится к северной оконечности Новой Земли и накапливается в северной части желоба. В то же время южная часть желоба испытывает существенно меньшее влияние речного стока.
Осадки залива Седова
Осадки залива Седова: колонки 5242 и 5374. Как мы упоминали выше, донные осадки заливов можно отнести к особой фациально-генетической группе. Их отличает широкое гранулометрическое и геохимическое разнообразие (Русаков и др., 2018). Так, осадки, накопившиеся в непосредственной близости от выводного ледника, отличаются высокой долей гравийно-песчаного материала и лавинными скоростями седиментации. В то же время осадки внутренних котловин заливов, удаленные от края ледников, обладают существенно меньшей долей крупного обломочного материала, а их скорость седиментации существенно ниже. Полученные нами результаты показали, что скорости седиментации во внутренней котловине (глубина 190 м) залива Седова составляют 0.1–0.2 см/год (рис. 5), что сопоставимо со скоростями накопления осадков в открытых частях моря, подверженных влиянию морских течений (терригенно-мелководно-морская фация). Этот вывод также подтверждается результатами радиоуглеродных датировок осадков во внутренней котловине залива Ога глубиной 190 м, которые, по нашим оценкам, составили в верхнем 100-сантиметровом слое кол. АМК-5248 возрастом 500 лет 0.2 см/год (не опубликовано) (рис. 1).
ЗАКЛЮЧЕНИЕ
Распределение “современных” (за последние 50–250 лет) скоростей седиментации по акватории Карского моря, полученных по данным радиоизотопного анализа природного Pb-210 и техногенного Cs-137, показали тесную взаимосвязь с фациально-генетическими типами донных отложений. Все изученные типы отложений относятся к голоценовым осадкам, накопившимся в условиях трансгрессивного подъема уровня Мирового океана. Максимально высокие скорости обнаружены в терригенно-эстуарном фациально-генетическом типе. В свою очередь, терригенно-эстуарные отложения делятся на влекомые наносы и осадки “иловых банок”. Для первых скорости седиментации составили 0.4–0.7 см/год, а для вторых – 0.7–1.0 см/год. Принимая во внимание высокие скорости их накопления в пределах сравнительно мелководных эстуарных зон, можно констатировать, что существование самих эстуариев возможно лишь в условиях подъема уровня Мирового океана. Скорости седиментации наиболее распространенного по акватории моря терригенно-мелководно-морского типа отложений минимальны и не превышают 0.2–0.25 см/год. Их сравнительно низкая скорость седиментации определяется влиянием волн и морских течений, не позволяющим тонким глинистым частицам накапливаться в донных отложениях подобного типа. Максимально высокие скорости седиментации для открытого моря зарегистрированы в наиболее глубоководных осадках, принадлежащих к фоновому терригенно-морскому типу. От предыдущих их отличает бóльшая доля тонких глинистых частиц, а также более высокие содержания Mn и органического вещества в верхнем окисленном слое. Такие особенности указывают на сравнительно спокойный гидродинамический режим осадконакопления. Измеренные скорости их седиментации показали значения, сопоставимые со скоростями седиментации терригенно-эстуарных осадков, – 0.5–0.9 см/год. Дополнительным фактором высокой скорости накопления фоновых терригенно-морских отложений является влияние склоновых процессов (гравитационного транспорта осадочного материала), развитых в глубоководных желобах моря.
К отдельному фациально-генетическому типу голоценовых отложений можно отнести гляциальные осадки заливов. Несмотря на их литологическое разнообразие и широкий диапазон скоростей аккумуляции, в центральных частях глубоководных котловин северных заливов, удаленных от края выводных ледников, измеренные скорости седиментации оказались крайне низкими (0.1–0.2 см/год). Последнее можно объяснить особенностями седиментации внутри заливов.
Благодарности
Авторы выражают глубокую благодарность экипажу НИС “Академик Мстислав Келдыш” и лично начальнику экспедиции чл.-корр. РАН М.В. Флинту за предоставленную возможность получения научного материала.
Источник финансирования
Работа выполнена при финансовой поддержке Программы Президиума РАН I.49 (0137-2018-0031 “Процессы, влияющие на осадконакопление в Мировом океане”).
About the authors
V. Yu. Rusakov
V.I. Vernadsky Institute of Geochemistry and Analytical Chemistry (GEOKHI) of Russian Academy of Science
Author for correspondence.
Email: rusakov@geokhi.ru
Russian Federation, Moscow
A. P. Borisov
V.I. Vernadsky Institute of Geochemistry and Analytical Chemistry (GEOKHI) of Russian Academy of Science
Email: rusakov@geokhi.ru
Russian Federation, Moscow
G. Yu. Solovieva
V.I. Vernadsky Institute of Geochemistry and Analytical Chemistry (GEOKHI) of Russian Academy of Science
Email: rusakov@geokhi.ru
Russian Federation, Moscow
References
- Атлас Океанов. Северный Ледовитый океан (1980) Главное управление навигации и океанографии МО СССР.
- Галимов Э.М., Кодина Л.А., Степанец О.В., Коробейник Г.С. (2006) Биогеохимия Российской Арктики. Карское море. Результаты исследований по проекту SIRRO 1995-2003 годы Геохимия (11), 1139-1191.
- Galimov E.M., Kodina L.A., Stepanets O.V., Korobeinik G.S. (2006) Biogeochemistry of the Russian Arctic. Kara Sea: Research Results under the SIRRO Project, 1995-2003 Geochem. Int. 44(11), 1139-1191.
- Галимов Э.М. Лаверов Н.Р. Степанец О.В., Кодина Л.А. (1996) Предварительные результаты эколого-геохимического исследования Арктических морей России (по материалам 22 рейса НИС “Академик Борис Петров”) Геохимия (7), 579-597.
- Galimov E.M., Laverov N.P., Stepanets O.V., Kodina L.A. (1996) Preliminary Results of Ecological and Geochemical Investigations of the Russian Arctic Seas (Data obtained from Cruise 22 of the R/V Akademik Boris Petrov) Geochem. Int. 34(7), 521-538.
- Гуревич В.И. (2002) Современный седиментогенез и геоэкология Западно-Арктического шельфа Евразии. М.: Научный мир, 135 с.
- Купцов В.М. (1986) Абсолютная геохронология донных осадков океанов и морей. М.: Наука, 271 с.
- Розанов А.Г. (2015) Редокс-система донных отложений западной части Карского моря Геохимия (11), 1015-1031.
- Rozanov A.G. (2015) Redox System of the Bottom Sediments of the Western Kara Sea. Geochem. Int. 53(11), 937-950.
- Русаков В.Ю., Кузьмина Т.Г., Левитан М.А., Торопченова Е.С., Жилкина А.В. (2017а) Литолого-геохимическая типизация поверхностного слоя донных осадков Карского моря Океанология 57(1), 214-226.
- Русаков В.Ю., Кузьмина Т.Г., Левитан М.А., Торопченова Е.С., Жилкина А.В. (2017б) Некоторые особенности распределения тяжелых металлов в поверхностном слое донных осадков Карского моря. Геохимия (12), 1088-1099.
- Rusakov V.Yu., Kuz’mina T.G., Levitan M.A., Toropchonova E.S., Zhilkina A.V. (2017б) Heavy Metal Distribution in the Surface Layer of Bottom Sediments of the Kara Sea. Geochem. Int. 55(12), 1079-1089.
- Русаков В.Ю. Кузьмина Т.Г., Торопченова Е.С., Жилкина А.В. (2018) Механизмы современной седиментации в Карском море по данным литолого-геохимического изучения поверхностного слоя донных осадков. Геохимия (11), 1076-1096.
- Rusakov V.Yu., Kuz’mina T.G., Toropchonova E.S., Zhilkina A.V. (2018) Modern Sedimentation in the Kara Sea: Evidence from the Lithology-Geochemical Investigation of Surface Bottom Sediments. Geochem. Int. 56(12), 1189-1208.
- Сапожников Ю.А., Алиев Р.А., Калмыков С.Н. (2006) Радиоактивность окружающей среды. Теория и практика. М.: БИНОМ Лаборатория знаний, 286 с.
- Buesseler K.O., Levingston H.D. (1997) Time-series profiles of 134Cs, 137Cs, and 90Sr in the Black Sea Sensitivity to Change: Black Sea, Baltic Sea and North Sea. Eds.:E Ozsoy and A. Mikaelyan. Kluwer Academic Publishers, Netherlands, 239-299.
- Carroll J., Williamson M., Lerche I., Karabanov E., Williams D.F. (1999) Geochronology of Lake Baikal from 210Pb and 137Cs radioisotopes. Appl. Radiat. Isot. 50, 1105-1116.
- Galdberg E.G. (1963) Geochronology with Lead-210 Radioactive Dating. IAEA Vienna,121-193.
- Joshi S.R., Shukla B.S., McNeely R. (1988) The calculation of Lead-210 dates for McKey lake sediments. J. Radioanal. Nucl. Chem. 125, 341-352.
- Legeleux F., Reyss J.-L., Etcher H., Khripounoff A. (1996) Fluxes and Balance of 210Pb in the tropical Northeast Atlantic. Deep-Sea Res. 43, 1324-1330
- Polyak L., Forman S.L., Herlihy F.A., Ivanov G., Krinitsky P. (1997) Late Weichselian deglacial history of the Svytaya (Saint) Anna Trough, northern Kara Sea, Arctic Russia. Mar. Geol. 143, 169-187.
- Polyak L., Levitan M., Gataullin V., Khusid T., Mokhailov V., Mukhina V. (2000) The impact of glaciation, river-discharge and sea-level change on Late Quaternary environments in the south-west Kara. Sea Int. J. Earth Sci. 89, 550-562.
- Polyak L., Levitan M., Khusid T., Merklin L., Mukhina V. (2002) Variations in the influence of riverine discharge on the Kara Sea during the last deglaciation and the Holocene. Global Planet. Change 32, 291-309.
- Stein R., Dittmers K., Niessen F., Fahl K. (2002) Siberian river run-off and Late Quaternary glaciation in the southern Kara Sea, Arctic Ocean: Preliminary results. Reports on Polar and Marine Research 21, 315-322.
- Stein R., Fahl K., Dittmers K., Niessen F., Stepanets O.V. (2003) Holocene siliciclastic and organic carbon fluxes in Ob and Yenisei estuaries and the adjacent inner Kara Sea: Quantification, variability, and paleoenvironmental implication. Siberian river run-off in the Kara Sea Characterisation, quantification, variability and environmental significance. Eds.: R. Stein, K. Fahl, D.K. Fuetterer, E.M. Galimov, O.V. Stepanets. Elsever Science, 401-428.
- Stepanets O., Borisov A., Ligaev A., Galimov E. (2001) The investigation of sedimentation rate of the Kara Sea modern sediments using radioactive tracers. Reports on Polar and Marine Research 393, 205-212.
- Stepanets O., Borisov A., Ligaev A., Solovjeva G.Yu., Sisov E.M., Komarevsky V.M. (2003a) Study of anthropogenic pollution in the Kara Sea and adjacent estuaries of Yenisei and Ob in 2002. Reports on Polar and Marine Research 450, 72-90.
- Stepanets O., Borisov A., Ligaev A., Solovjeva G.Yu., Sisov E.M., Komarevsky V.M. (2003б) Radionuclides in the water column and surface sediments of Ob and Yenisei rivers and adjacent Kara Sea shelf. Siberian river run-off in the Kara Sea Characterisation, quantification, variability and environmental significance. Eds.: R. Stein, K. Fahl, D.K. Fuetterer, E.M. Galimov, O.V. Stepanets. Elsever Science, 149-161.
Supplementary files








