Amphibolites of the metamorphic basement of Wrangel island: age, nature of the protolite and conditions of metamorphism
- Authors: Sokolov S.D.1, Silantyev S.A.2, Moiseev A.V.1, Tuchkova M.I.1, Verzhbitsky V.E.3
-
Affiliations:
- Geological Institute Russian Academy of Sciences
- Vernadsky Institute of Geochemistry and Analytical Chemistry of Russian Academу of Sciences
- Rosneft Oil Company
- Issue: Vol 64, No 12 (2019)
- Pages: 1222-1246
- Section: Articles
- URL: https://journals.eco-vector.com/0016-7525/article/view/18742
- DOI: https://doi.org/10.31857/S0016-752564121222-1246
- ID: 18742
Cite item
Full Text
Abstract
New data on petrography, geochemistry and geochronology of metamorphic rocks sampled from Neoproterozoic basement of Wrangel Island are presented. Oceanic affinity for mafic rocks underwent greenschist to amphibolite facies conditions (350–600°C) has been established by geochemical data. Protolith of this rock belongs to products of the evolution of magmatic melts parental for MORB. Protolith’s age is 617±13 and 698±12 Ma was determined by U-Pb isotope dating of Zircons from these rocks (SHRIMP II and La-ICP MS). There are two main stage of metamorphism could be established: Neoproterozoi – Early Paleozoi (amphibolite and greenschist facies conditions) and Middle Cretaceous (greenschist facies condition only), Last stage of metamorphism related to Chukcha deformation events accompanied by formation of folded nappes structure and consequent extension. An comparison of studied rocks with samples dredged at Chukcha Borderland evidenced for certain similarity existing between these rock assemblages judging by their petrography and chemistry.
Full Text
ВВЕДЕНИЕ
Неопротерозойские образования известны вдоль евразийской окраины Восточной Арктики и продолжаются на Северную Аляску. Они рассматриваются как метаморфический фундамент крупного континентального блока (микроплита, супертеррейн) Арктическая Аляска– Чукотка (Churkin, Trexler, 1981). Южная часть микроплиты характеризуется интенсивными позднемезозойскими покровно-складчатыми структурами. Граница с северной зоной, где эти деформации отсутствуют, проходит по фронту складчато-надвиговых структур хр. Брукса, полуострова Лисбурн и Врангелевско-Геральдской дуги (Pease et al., 2014). Тектоническая позиция и история микроплиты имеют важное значение в решении проблемы формирования Амеразийского бассейна. Вместе с тем есть ряд дискуссионных вопросов о границах микроплиты, первоначальной тектонической позиции, единстве отдельных блоков и некоторых других аспектов, которые рассмотрены в работе (Till, 2016).
Большинство исследователей в состав микроплиты включают Новосибирские острова, континентальную Чукотку, о. Врангеля, Северную Аляску, о. Святого Лаврентия (Natal’in et al.,1999; Lawver et al., 2011; Grantz et al., 2011; Shephard et al., 2013; Miller et al., 2017, и мн. др.). Основанием служит сходство неопротерозойских и нижнепалеозойских комплексов этих регионов. В первую очередь это относится к многочисленным датировкам цирконов из гранитов и ортогнейсов. В хр. Брукса их возраст 968 и 742 млн лет (Amato et al., 2014), на п-ове Сьюард возраст гранитов 687–565 млн лет (Miller et al., 2017) и кислых метавулканитов 875–848 млн лет (Amato et al., 2014), на Восточной Чукотке — 661–562 млн лет (Natal’in et al.,1999; Amato et al., 2014), граниты и метариолиты о. Врангеля — 699, 633 и 590 млн лет (Kos’ko et al., 1993), 730–690 и 610–590 млн лет (Лучицкая и др., 2017), 711 и 619 млн лет (Gottlieb et al., 2017 ). На геохронологии продуктов кислого магматизма основаны межрегиональные корреляции с одновозрастными комплексами Таймыра, Полярного Урала и Тиманского кряжа (Хаин и др., 2009; Кузнецов, 2009; Верниковский и др., 2013; Pease et al., 2014). На этом основании, а также возрасте популяций обломочных цирконов некоторые исследователи склонны считать первоначальное положение континентальной Чукотки вблизи Балтики (Miller et al., 2010, 2017; Amato et al., 2014; Ershova et al., 2015).
В отличие от продуктов кислого магматизма состав и происхождение других образований неопротерозойского фундамента микроплиты Арктическая Аляска–Чукотка плохо изучены. В первую очередь это относится к изверженным породам основного состава и их метаморфическим производным. На Аляске известно только одно определение возраста габбро – 539 млн лет (Amato et al., 2014).
К этому надо добавить проблему возраста метаморфизма. На Северной Аляске, в южной части террейна Арктическая Аляска и на п-ове Сьюард распространены мезозойские метаморфические комплексы. Возраст глаукофановых сланцев 160–170 млн лет и более позднего зеленосланцевого метаморфизма 130–120 млн лет (Till, 2016). В метаморфическом куполе Киглуаик (п-ов Сьюард, Аляска) амфиболитовый и гранулитовый метаморфизм и сопутствующие деформации произошли в интервале 105–90 млн лет (Bering strait…, 1997).
Палеозойские осадочные породы на восточной Чукотке подверглись зеленосланцевому метаморфизму и деформациям около 120 млн лет (Toro et al., 2003). В Кооленьском куполе возраст (Ar-Ar метод) амфиболов 108–109 и биотита 105 млн лет (Toro et al., 2003). В Сенявинском поднятии метаморфизм имеет возраст 135–130 млн лет (Ar-Ar метод, амфибол и белые слюды) и сопровождался гранитным магматизмом (Pease et al., 2007; Pease, 2011). В Алярмаутском поднятии выделяются два этапа деформаций, сопровождаемых метаморфизмом (Катков, 2010). Зеленосланцевый метаморфизм происходил в интервале 117–124 млн лет (40Ar/39Ar метод), а метаморфизм эпидот-амфиболитовой фации (силлиманитовая субфация) – в интервале 109–104 млн лет (40Ar/39Ar метод).
Возраст метаморфизма Врангелевского комплекса трактуется различно: от докембрия (Каменева, 1975; Иванов, 1969) и палеозоя (Тильман и др., 1970) до позднего мезозоя (Miller et al., 2017). В работах (Косько и др., 2003; Kos’ko et al., 1993) предполагаются два этапа метаморфизма — докембрийский и мезозойский.
В данной статье рассматриваются результаты изучения метаморфических пород, обнажающихся в Центральном хребте о. Врангеля. Основное внимание уделено петрографическим, геохимическим и геохронологическим исследованиям с целью реконструкции состава и возраста протолита, а также оценке времени и условий метаморфизма. Для выяснения характера палеотектонических событий и геодинамических обстановок привлекаются оригинальные опубликованные данные о метабазитах (Моисеев, Соколов, 2009) и продуктах кислого магматизма (Лучицкая и др., 2016, 2017). Кроме того, выполнен сравнительный анализ изученных пород с образцами кристаллического фундамента, драгированных в пределах Чукотского бордерленда (Brumley et al., 2014).
ГЕОЛОГИЧЕСКИЙ ОЧЕРК
Структуры Российского сектора Восточной Арктики принадлежат в основном Чукотской складчатой области, которая включает Новосибирско-Врангелевскую (Арктическую по (Тектоника…, 1980)) и Анюйско-Чукотскую складчатые системы (рис. 1). С позиций террейнового анализа выделяются террейны Котельный, Врангелевский и Чукотский. Чукотская и Верхояно-Колымская складчатые области разделены Южно-Анюйской сутурой, которая прослеживается от о. Б. Ляховский до Восточной Чукотки (Соколов и др., 2015).
Современные представления о геологическом строении о. Врангеля содержатся в работах (Косько и др., 2003; Соколов и др., 2017; Kos’ko et al., 1993). В последние годы появились публикации, в которых детально рассматриваются структурные особенности (Вержбицкий и др., 2015; Моисеев и др., 2018), возраст обломочных цирконов и возможные источники сноса (Miller et al., 2010; Tuchkova et al., 2014), возраст гранитоидов из метаморфического комплекса (Лучицкая и др., 2016, 2017; Gottlieb et al., 2017).
Рис. 1. Тектоническая схема Северо-Востока Азии (составили И.И. Поспелов и С.Д. Соколов). 1 –кратонные террейны; 2 – палеозойско-мезозойские комплексы Верхояно-Колымской складчатой области; 3 – островодужные террейны; 4–9 террейны Чукотской складчатой области: 5 – окраинноморские террейны; 6 – турбидитовые террейны; 7 – островодужные террейны с океаническим фундаментом; 8 – террейны офиолитовые и океанической коры; 9 – террейны аккреционных призм; 10-11 – перекрывающие комплексы: 10 – Охотско-Чукотский вулканический пояс, 11 – кайнозойские осадочные отложения; 12 – граниты террейнов: а – разломы; б – надвиги. Цифрами на схеме показаны: 1 – Омолонский террейн; 2 – Алазейско-Олойский террейн; 3 – Сугойский прогиб; 3а – восточная ветвь верхоянского комплекса; 4 – Охотско-Чукотский вулканический пояс; 5 – Чукотский террейн: 5а – Анюйский субтеррейн, 5b – Чаунский субтеррейн, 5c – Беринговский субтерейн; 6 – Врангелевский террейн; 7 – Котельный террейн; 8 – Южно-Анюйский террейн; 9 – Удско-Мургальский составной террейн; 10 – Алганский террейн; 11 – Майницкий террейн; 12 – Великореченский террейн; 13 – Алькатваамский террейн; 14 – Эконайский террейн; 15 – Янранайский террейн; 16 – Укелаятский террейн; 17 – Олюторский террейн.
Принято выделять метаморфический фундамент (Врангелевский комплекс) и сложно деформированный осадочный чехол, в составе которого выделяются верхний силур-среднедевонский, верхний девон-нижнекаменноугольный, каменноугольный, пермский и верхнетриасовый комплексы (рис. 2) (Косько и др., 2003; Соколов и др., 2017; Kos’ko et al., 1993). Остров имеет складчато-надвиговую структуру, формирование которой происходило в несколько этапов деформаций (Вержбицкий и др., 2015; Моисеев и др., 2018). В этих работах впервые были установлены следы элсмирских деформаций, предшествовавших главному этапу во время чукотской (позднекиммерийской) фазы орогении. Структурные литологические и стратиграфические особенности позволили выделить три структурно-формационные зоны (рис. 2): Северную, Центральную и Южную (Соколов и др., 2017).
Метаморфический фундамент обнажается в субширотной полосе от Мамонтовых гор до Центрального хребта Южной зоны, а также в нескольких разрозненных выходах в бассейне р. Неизвестная Центральной зоны. Породы Врангелевского комплекса являются наиболее метаморфизованными в регионе. По оценкам многих исследователей (Иванов, 1969; Каменева, 1975, и др.), метаморфизм слагающих его пород протекал в условиях зеленосланцевой и эпидот-амфиболитовой фаций регионального метаморфизма, т.е. в температурном интервале 350–450 °С при низких давлениях.
Врангелевский комплекс представлен сильно дислоцированными кварцевыми, альбит-актинолит-хлоритовыми, кварц-альбит-мусковит-хлоритовыми, мусковит-хлорит-полевошпатовыми, амфиболовыми, эпидот-амфиболовыми и актинолит-эпидот-хлоритовыми сланцами, мраморами и кальцифирами, метаморфизованными в зеленосланцевой и амфиболитовой фациях (Громов, Кирюшина, 1947; Иванов, 1969; Тильман и др., 1970; Каменева, 1975). Они образовались по осадочным и вулканическим породам основного и кислого состава.
Осадочные породы преобладают, и среди них диагностируются песчаники и глинистые сланцы с редкими линзами рассланцованных гравелитов и конгломератов. Песчаники светло- и темносерые, в том числе кварцевые разности с розоватым оттенком. Песчаники, как правило, имеют форму будин (мощностью до 1–2 м) среди пород алевро-пелитовой размерности.
В метаморфическом комплексе встречаются тела гранито-гнейсов, мусковитовых и двухслюдяных гранитов, гранит-порфиров и габбро-амфиболитов. Гранитоиды образуют как рассланцованные тела мощностью от десятков сантиметров до 80 метров, так и интенсивно милонитизированные разности (рис. 3а). Контакты гранитоидов с вмещающими сланцами имеют четкие границы. Амфиболиты образуют тела, мощностью до 5 м, а общая их доля доходит до 15%. Амфиболиты смяты в мелкоамплитудные складки (рис. 3б). Плоскостные структуры амфиболитов и гранитоидов совпадают со сланцеватостью вмещающих пород.
Мощность метаморфического комплекса оценивается в 2000–3000 м (Иванов, 1969; Тильман и др., 1970; Косько и др., 2003).
Рис. 2. Тектоническая схема острова Врангеля. При составлении схемы использовалась геологические карты из работ (Косько и др., 2003; Соколов и др., 2017) с изменениями. 1 – Четверичные отложения; 2 – триас; 3 – пермь; 4 – средний-верхний карбон; 5 – нижний карбон; 6 – нижний-средний девон; 7 – верхний девон-нижний карбон; 8 – верхний силур–нижний девон; 9 – неопротерозой; 10 – граниты; 11 – опробованные риолиты в центральной зоне; 12 – фрагмент детальной карты района р. Хищников; 13 – надвиги: а – Главный надвиг, б – надвиг Минеева; 14 – разломы: а – границы тектонических зон, треугольники соответствуют надвигам, б – сдвиги.
Относительно возраста Врангелевского комплекса существовали различные точки зрения. С.М. Тильман с соавторами (Тильман и др., 1970) рассматривали Врангелевский комплекс в составе метаморфизованной части позднедевонско-раннекаменноугольной свиты Бэрри. Позднее находки микрофитолитов и водорослей в линзах метаморфизованных известняков свидетельствовали о рифейском или рифейско-раннекембрийском возрасте (Каменева, 1975; Косько и др., 2003). Первые геохронологические данные (700–630 млн лет, U-Pb метод по цирконам) указывали на неопротерозойский возраст Врангелевского комплекса (Косько и др., 2003; Kos’ko et al., 1993). Новые датировки гранитоидов и метариолитов подтверждают эти представления: 682, 702 и 707 млн лет (Лучицкая и др., 2016); 690–730 и 590–610 млн (Лучицкая и др., 2017); 619–711 млн лет (Gottlieb et al., 2017). Кроме того, возраст цирконов из метаморфизованных базитов составляет 699±1 млн лет (Косько и др., 2003). Однако, в работе (Kos’ko et al., 1993) возраст 699±2 указан для рассланцованных гранитов.
Рис. 3. Фотографии пород Врангелевского комплекса: (а) – милонитизированный гранит с порфирокластами калиевого полевого шпата (обр. 14-008-06); (б) –амфиболит с мелкой складчатостью (обр. 14-013-01).
В Центральной зоне (Соколов и др., 2017), в среднем течении р. Неизвестная обнажаются метаморфизованные в зеленосланцевой фации вулканиты основного и кислого состава (Тильман и др., 1970; Косько и др., 2003; Kos’ko et al., 1993). Ранее они относились к верхнему протерозою-нижнему кембрию (Каменева, 1975), к метаморфизованной части свиты Бэрри верхнего девона-нижнего карбона (Тильман и др., 1970) или нижнему карбону (Косько и др., 2003; Kos’ko et al., 1993). Единичные зерна цирконов позволяют датировать метабазальты в интервале 500–600 млн лет (U-Pb метод, LA-ICP-MS) и кислых вулканитов 594–598 млн лет (U-Pb метод, SHRIMP) (Лучицкая и др., 2017; Соколов и др., 2017).
Время метаморфизма Врангелевского комплекса определяется неоднозначно. Представлениям о древнем докембрийском (Каменева, 1975; Иванов, 1969), палеозойском (Тильман и др., 1964) или двухстадийном метаморфизме в байкальскую и чукотскую фазы орогенеза (Косько и др., 2003; Kos’ko et al., 1993) противопоставлено мнение о среднемеловом возрасте метаморфизма, происходившего в обстановке растяжения (Miller et al., 2017). Не вносят ясности и определения минералов и пород K-Ar методом, которые дают широкий возрастной диапазон от 115 до 575 млн лет (Kos’ko et al., 1993).
Рис. 4. Геологическая схема верховьев р. Хищников по (Косько и др., 2003, с изменениями) и указанием точек пробоотбора. 1 – четверичные отложения; 2 – триас; 3 – пермь; 4 – карбон; 5 – нижний карбон; 6 – девон; 7 – врангелевский комплекс; 8 – гранитоиды; 9 – габбро; 10-11 – тектонические контакты: 10 – сдвиги; 11 – надвиги; 12 – согласные контакты; 13 – стратиграфические несогласия; 14-17 – точки опробования: 14 – амфиболитов; 15 – слюдяных сланцев; 16 – милонитов; 17 – гранитоидов.
Для выяснения состава и происхождения метаморфических пород Врангелевского комплекса были взяты пробы в южной (верховья р. Хищников) и северной (верховья р. Неизвестной) частях Центрального хребта (рис. 2, 4). Основное внимание было сосредоточено на породах амфиболитовой фации метаморфизма, поскольку в работах предшественников главным образом изучался гранитоидный магматизм. Полевые наблюдения позволяли предполагать, что некоторые амфиболиты образовались по магматическим породам основного состава.
МАТЕРИАЛ И МЕТОДЫ ИССЛЕДОВАНИЯ
Полевые исследования включали выделение и изучение структурно-вещественных комплексов (СВК), описание обнажений, детальные структурные наблюдения с выяснением характера контактов СВК, кинематики разломов и сопровождались различными видами опробования. Коллекция метаморфических пород включала 24 образца, из которых для дальнейших петрографических, геохимических и геохронологических исследований были выбраны 16 образцов (рис. 4, табл. 1).
Определение химического состава изученных пород проводилось в ГЕОХИ РАН на рентгеноспектральном флуоресцентном спектрометре AXIOS Advanced (PANalytical B.V., Голландия). Пробы для анализа готовили путем прессования в таблетки диаметром 20 мм растертого до 200 меш исходного материала весом 300 мг с добавлением в качестве связующего вещества полистирола в соотношении 5:1. Из отдельной навески определяли потери при прокаливании. Для расчета содержаний определяемых элементов в пробе по измеренным интенсивностям характеристического излучения применялась классическая эмпирическая модель α-коррекции, предлагаемая пакетом программ “Super Q” спектрометра, в основе которого лежит регрессионное уравнение, позволяющее учитывать влияние матричного состава пробы на результаты определений: Ci = (Di+EiRi)(1+∑ αij Rj), где Ci и Ri – концентрация и измеренная интенсивность аналитической линии определяемого элемента соответственно, Rj – интенсивность j- того “мешающего” элемента пробы; Di, Ei, и αij – эмпирические коэффициенты, определяемые с помощью стандартных образцов. Оператор Т.Г. Кузьмина.
Состав породообразующих минералов изучали в ГЕОХИ РАН с помощью рентгеноспектрального микроанализатора SX 100 (САМЕСА) с четырьмя вертикальными спектрометрами, ускоряющим напряжением 15 кВ и током зонда 30 нА (оператор Н.Н. Кононкова).
Таблица 1. Список образцов
№ п/п | Номер образца | Название породы | Координаты опробования | |
Северная широта | Западная долгода | |||
1 | 14-008-06 | милонит | 71°03'30,79'' | 179°12'50,04'' |
2 | 14-009-02 | слюдяной сланец | 71°06'03,64'' | 179°15'34,42'' |
3 | 14-009-06 | слюдяной сланец | 71°06'03,64'' | 179°15'34,42'' |
4 | 14-010-01 | милонит | 71°06'00,44'' | 179°15'19,39'' |
5 | 14-011-01 | амфиболит | 71°05'59,92'' | 179°15'03,47'' |
6 | 14-012-01 | милонит | 71°05'28,20'' | 179°14'44,62'' |
7 | 14-012-02 | гранит | 71°05'28,20'' | 179°14'44,62'' |
8 | 14-013-01 | амфиболит | 71°04'43,28'' | 179°15'01,80'' |
9 | 14-032-01 | риолит | 71°11'59,56'' | 179°25'12,69'' |
10 | 14-033-01 | риолит | 71°12'06,88'' | 179°26'43,50'' |
11 | 14-039-01 | амфиболит | 71°07'15,84'' | 179°17'35,01'' |
12 | 14-039-02 | амфиболит | 71°07'15,84'' | 179°17'35,01'' |
13 | 14-040-01 | гранит | 71°07'23,38'' | 179°18'01,43'' |
14 | 14-040-03 | слюдяной сланец | 71°07'23,38'' | 179°18'01,43'' |
15 | 14-040-04 | метаосадочная порода | 71°07'23,38'' | 179°18'01,43'' |
16 | 14-237-02 | гранит | 71°07'43,73'' | 179°18'59,36'' |
Геохронология. Для определения возраста кристаллизации ортоамфиболитов Врангелевского комплекса были выделены и датированы цирконы из двух образцов (14-039-01 и 14-013-01). Цирконы выделялись в Геологическом институте РАН с использованием стандартных методик плотностной и магнитной сепарации. Датирование проводилось методами SHRIMP-II (14-039-01) и LA-ICP-MS (14-013-01).
U-Pb SIMS датирование цирконов осуществлялось на вторично-ионном микрозонде SHRIMP-II в Центре изотопных исследований (ЦИИ) ВСЕГЕИ. Измерения изотопных отношений U и Pb проводились по традиционной методике, принятой в ЦИИ (Whilliams, 1998). Обработка полученных данных осуществлялась с использованием программы SQUID (Ludwig, 2001), а построение графиков с конкордией с использованием программы ISOPLOT/EX (Ludwig, 2003).
U-Pb LA–ICP–MS датирование цирконов проводилось под руководством П. Б. О’Салливана на оборудовании Геоаналитической лаборатории Школы наук о Земле и окружающей среды Вашингтонского Государственного университета (г. Вашингтон, США). Методика изложена в работах (Bradley et al., 2009; Hults et al., 2013; Moore et al., 2015). Для представления геохоронолигических данных в графическом виде была использована программа Isoplot/Ex 4.15 (Ludwig, 2010).
ПЕТРОГРАФИЯ
Объектом изучения служила коллекция из 16 наиболее представительных образцов, включающая разнообразные типы метаморфических пород от метапсаммитов и слюдяных сланцев до в различной степени рассланцованных амфиболитов. Типичные слюдяные сланцы из изученной коллекции представлены интенсивно рассланцованными породами, состоящими из хлорита, альбита, сфена, эпидота, биотита, ильменита, кальцита, магнетита и редкого (возможно, реликтового) апатита. Минеральная ассоциация, наблюдаемая в этом образце, характерна для биотитовой зоны зеленосланцевой фации (температура не выше 350 °С) (Кориковский, 1974).
Среди метаосадочных пород, изученных в настоящей работе, присутствуют карбонатно-силикатные их разновидности, состоящие из везувиана, клинопироксена, амфибола, эпидота, кварца и калиевого полевого шпата. Состав породообразующих минералов приведен в табл. 2. Указанная ассоциация минералов типична для контактово-измененных известково-силикатных пород (скарнов), но характерна также и для продуктов регионального метаморфизма осадочных пород аналогичного состава. Везувиан, обнаруженный в образце 14-040-04, является характерной фазой для метаосадочных карбонатно-силикатных пород, в которых обычно ассоциирует с клинопироксеном (салитом), кальциевым амфиболом и эпидотом. Амфибол из образца 14-040-04 по составу относится к низко глиноземистой роговой обманке (Al2O3 = 8.03 мас.%). Минеральный парагенезис, в котором участвует везувиан из образца 14-040-04, по-видимому, был образован в ходе метаморфизма (возможно, контактового) сложно построенной толщи осадков при температуре порядка 500–600 °С (например, Patel, 2007; Massonne, 2010).
Для детального исследования из изученной коллекции были отобраны три образца по макроскопическому описанию, в наибольшей степени соответствующие типичным амфиболитам.
Образец 14-013-01, обладающий характерной для амфиболитов гранонематобластовой структурой, состоит из амфибола, альбита, эпидота, хлорита, ильменита и кварца. Амфибол представлен голубовато-зеленым актинолитом с содержанием Al2O3, не превышающим 1, 23 мас. %. Судя по характерной минеральной ассоциации, протолит этой породы был метаморфизован в условиях зеленосланцевой фации (не выше 400°С).
Рис. 5. Микрофотография шлифа (николи скрещены) гранонематобластового амфиболита (обр. 14-039-01).
Рис. 6. Зависимость глиноземистости и содержания натрия в кальциевом амфиболе, ассоциирующим с плагиоклазом от температуры. Использованы данные из (Spear, 1981) и (Плюснина, 1983). Крестики – состав амфибола в океанических метабазитах по (Силантьев, 1998). Квадраты – состав амфибола из обр.14-013-01, треугольники – амфибол из образцов 14-039-01 и 14-039-02.
Таблица 2. Состав породообразующих минералов в изученных метаморфических породах
Компонент | Образец, минерал | |||||||||||||
14-013-01 Amph | 14-013-01 Amph | 14-039-01 Amph | 14-039-01 Amph | 14-039-01 Hb | 14-039-01 Hb | 14-039-02 Amph | 14-039-02 Amph | 14-039-02 Amph | 14-040-04 Amph | 14-040-04 Cpx | 14-040-04 Cpx | 14-011-01 Sph | 14-011-01 Sph | |
SiO2 | 54,00 | 55,39 | 51,11 | 47,15 | 44,2 | 44,03 | 48,44 | 51,80 | 48,21 | 48,31 | 51,17 | 51,78 | 31,82 | 30,44 |
TiO2 | 0,39 | 0,02 | 0,35 | 0,31 | 0,49 | 0,44 | 0,49 | 0,28 | 0,54 | 0,45 | nd | 0,01 | 35,34 | 35,88 |
Al2O3 | 2,13 | 1,29 | 5,87 | 7,85 | 12,99 | 12,81 | 8,21 | 4,46 | 8,03 | 8,04 | 0,47 | 0,42 | 1,71 | 1,26 |
Cr2O3 | 0,12 | 0,17 | 0,05 | 1,85 | 0,02 | 0,01 | 0,1 | 0,03 | 0,03 | 0,01 | 0,06 | 0,03 | 0,05 | 0,04 |
FeO | 12,97 | 12,22 | 16,44 | 16,51 | 18,61 | 18,57 | 15,02 | 15,79 | 15,35 | 15,22 | 17,34 | 16,36 | 1,09 | 0,97 |
MnO | 0,35 | 0,31 | 0,34 | 0,31 | 0,31 | 0,40 | 0,28 | 0,56 | 0,32 | 0,34 | 0,07 | 0,16 | 0,08 | 0,07 |
MgO | 15,77 | 16,16 | 11,71 | 10,78 | 8,12 | 8,38 | 12,33 | 13,55 | 12,19 | 11,95 | 7,00 | 8,03 | 0,22 | 0,07 |
CaO | 12,06 | 12,78 | 12,12 | 11,71 | 11,92 | 12,06 | 11,38 | 10,69 | 11,37 | 11,66 | 23,89 | 23,97 | 26,71 | 27,08 |
Na2O | 0,32 | 0,16 | 0,67 | 0,90 | 1,58 | 1,47 | 1,28 | 0,68 | 1,24 | 1,04 | 0,17 | 0,18 | 0,02 | 0,03 |
K2O | 0,09 | 0,06 | 0,04 | 0,08 | 0,09 | 0,10 | 0,13 | 0,07 | 0,12 | 0,12 | nd | nd | 0,48 | 0,23 |
Cl | 0,04 | 0,03 | 0,04 | 0,03 | 0,03 | 0,04 | nd | nd | 0,01 | nd | 0,01 | nd | nd | 0,03 |
Total | 98,22 | 98,59 | 98,74 | 97,49 | 98,36 | 98,31 | 97,65 | 97,91 | 97,41 | 97,15 | 100,18 | 100,95 | 97,51 | 96,09 |
Si | 7,67 | 7,86 | 7,40 | 6,95 | 6,54 | 6,52 | 7,02 | 7,39 | 7,01 | 7,06 | 1,99 | 1,99 | nd | nd |
AlVI | 0,02 | 0,07 | 0,40 | 0,31 | 0,81 | 0,75 | 0,42 | 0,14 | 0,39 | 0,44 | nd | nd | nd | nd |
AlIV | 0,33 | 0,14 | 0,60 | 1,05 | 1,46 | 1,48 | 0,98 | 0,61 | 0,99 | 0,94 | nd | nd | nd | nd |
Al | nd | nd | nd | nd | nd | nd | nd | nd | nd | nd | 0,02 | 0,02 | nd | nd |
Ti | 0,04 | nd | 0,04 | 0,03 | 0,05 | 0,05 | 0,05 | 0,03 | 0,06 | 0,05 | nd | nd | nd | nd |
Cr | 0,01 | 0,02 | 0,01 | 0,22 | nd | nd | 0,01 | nd | nd | nd | nd | nd | nd | nd |
Fe+3 | 1,54 | 1,45 | 1,99 | 2,03 | 2,30 | 2,30 | 1,82 | 1,88 | 1,87 | 1,86 | nd | nd | nd | nd |
Fe+2 | 1,10 | 1,35 | 1,82 | 1,54 | 2,02 | 1,93 | 1,29 | 0,94 | 1,31 | 1,43 | 0,56 | 0,53 | nd | nd |
Mn | 0,04 | 0,04 | 0,04 | 0,04 | 0,04 | 0,05 | 0,03 | 0,07 | 0,04 | 0,04 | nd | 0,01 | nd | nd |
Mg | 3,34 | 3,42 | 2,53 | 2,37 | 1,79 | 1,85 | 2,66 | 2,88 | 2,64 | 2,60 | 0,41 | 0,46 | nd | |
Ca | 1,84 | 1,94 | 1,88 | 1,85 | 1,89 | 1,91 | 1,77 | 1,63 | 1,77 | 1,83 | 1,00 | 0,99 | nd | nd |
Na | 0,09 | 0,04 | 0,19 | 0,26 | 0,45 | 0,42 | 0,36 | 0,19 | 0,35 | 0,29 | 0,01 | 0,01 | nd | nd |
K | 0,02 | 0,01 | 0,01 | 0,02 | 0,02 | 0,02 | 0,02 | 0,01 | 0,02 | 0,02 | nd | nd | nd | nd |
Mg/(Mg+Fe+2 ) | 0,75 | 0,72 | 0,58 | 0,61 | 0,47 | 0,49 | 0,67 | 0,75 | 0,67 | 0,64 | 0,42 | 0,47 | nd | nd |
Таблица 2 Окончание
Компонент | Образец, минерал | |||||||||
14-039-02 Sph | 14-040-04 Ves | 14-040-04 Ves | 14-040-04 Ves | 14-040-04 Ep | 14-040-04 Ep | 14-011-01 Chl | 14-013-01 Chl | 14-039-02 Chl | 14-039-02 Mu | |
SiO2 | 30,51 | 36,69 | 36,47 | 36,29 | 38,29 | 37,94 | 25,45 | 26,87 | 27,06 | 48,69 |
TiO2 | 39,56 | 1,56 | 1,49 | 1,34 | nd | 0,05 | 0,05 | 0,01 | 0,03 | 0,11 |
Al2O3 | 0,81 | 17,42 | 16,92 | 16,73 | 25,56 | 25,96 | 18,51 | 20,38 | 18,71 | 28,13 |
Cr2O3 | 0,04 | 0,08 | nd | nd | nd | 0,01 | 0,15 | nd | 0,23 | 0,38 |
FeO | 0,12 | 4,12 | 4,45 | 4,24 | 7,96 | 8,04 | 25,96 | 22,52 | 25,28 | 3,78 |
MnO | 0,04 | 0,01 | nd | 0,04 | nd | 0,03 | 0,73 | 0,43 | 0,33 | 0,07 |
MgO | nd | 1,15 | 1,08 | 1,13 | 0,04 | 0,02 | 14,6 | 17,18 | 15,59 | 3,06 |
CaO | 28,68 | 34,68 | 35,29 | 35,14 | 23,8 | 23,8 | 0,35 | 0,17 | 0,04 | 0,06 |
Na2O | 0,02 | 0,13 | 0,06 | 0,15 | 0,10 | nd | 0,04 | 0,03 | 0,01 | 0,17 |
K2O | nd | 0,01 | nd | nd | 0,03 | nd | 0,03 | 0,03 | nd | 10,21 |
Cl | nd | 0,01 | nd | nd | 0,01 | 0,01 | 0,01 | nd | 0,01 | 0,03 |
Сумма | 99,79 | 95,88 | 95,77 | 95,07 | 95,79 | 95,85 | 85,89 | 88,02 | 87,29 | 94,68 |
Примечания. Ab – альбит, Amph – амфибол, Chl – хлорит, Сpx – клинопироксен, Ep – эпидот, Ilm – ильменит, Kfs – калиевый полевой шпат, Mu – мусковит, Phl – флогопит, Ves – везувиан, nd – элемент не определялся.
Образец 14-039-01 представлен типичным амфиболитом с гнейсовидной структурой, сложенным амфиболом, альбитом, эпидотом, сфеном, кальцитом и ильменитом (рис. 5). В этой породе амфибол сильно варьирует по составу (рис. 6) и представлен глиноземистым актинолитом (Al2O3 = 5.87–7.85 мас.%), который замещает высокоглиноземистый амфибол эденит-паргаситового ряда (Al2O3=12.81–12.99 мас.%). С глиноземистым амфиболом ассоциирует альбит. Подобная ассоциация минералов, согласно (Miyashiro, 1973), может свидетельствовать о высокобарическом типе метаморфизма, которому подвергался протолит этих пород.
Образец 14-039-02 характеризуется близким минеральным составом к обр. 14-039-01 и представлен сланцеватым амфиболитом, в состав которого, кроме описанных выше минералов, входят мусковит и калиевый полевой шпат. Амфибол в этой породе представлен или умеренно глиноземистым актинолитом (Al2O3=4.46 мас.%), или роговой обманкой, близкой к паргасит-эденитовой (Al2O3 = 8.03–8.21 мас.% ).
Последовательность метаморфического преобразования субстрата изученных амфиболитов может быть установлена только по регрессивным соотношениям амфибола паргасит-эденитового ряда и актинолита с переменной глиноземистостью. Использование минеральных геотермобарометров, предложенных для пород с подобным минеральным составом, позволяет наметить два характерных для амфиболитов о. Врангеля этапа метаморфизма, первый из которых соответствует высокобарическому режиму HP/LT (оценки давления по Hammarstrom, Zen, 1986; Schmidt, 1991; температура определена по Holland, Blundy, 1994; Spear, 1981), а второй – условиям зеленосланцевой фации при LP/LT (оценки давления по Hammarstrom, Zen, 1986; Schmidt, 1991; температуры по Плюснина, 1983). Полученные оценки P-Т условий метаморфизма для наиболее представительного образца амфиболита (обр.14-039-01) составили около 8 кбар и 480°С. В том же образце и в обр. 14-039-02 с использованием экспериментальных данных о зависимости глиноземистости кальциевого амфибола из ассоциации Amph + Chl +Zo +Qtz от температуры (Плюснина, 1983) была определена температура ретроградного этапа метаморфизма изученных амфиболитов, которая составила около 350 °С.
В целом, учитывая приведенные выше оценки условий метаморфизма, можно прийти к заключению, что намеченный тренд P-T эволюции метаморфизма амфиболитов о. Врангеля характерен для метаморфических пород, слагающих тектонические блоки из меланжа в субофиолитовых зональных комплексах (см., например, Schreyer, 1985; Силантьев, 1993). Аналогичные в петрографическом отношении изученным в настоящей работе амфиболитам породы участвуют в строении многих палеоколлизионных метаморфических комплексов, маркирующих зоны закрытия древних океанических бассейнов (Силантьев, 1993).
ГЕОХИМИЯ И ВОЗМОЖНЫЙ СОСТАВ ПРОТОЛИТА
Характер распределения содержаний главных и некоторых редких элементов в изученных породах свидетельствует о том, что их протолит имел неоднородный состав и относился по меньшей мере к двум группам пород различного генезиса (табл. 3).
Таблица 3. Содержание главных и редких элементов в изученных породах
Компоненты | Образец | |||||||||||||
14-011-01 | 14-013-01 | 14-039-01 | 14-039-02 | 14-040-04 | 14-040-01 | 14-237-02 | 14-032-01 | 14-008-06 | 14-012-01 | 14-012-03 | 14-040-03 | 14-009-06 | 14-009-02 | |
SiO2 | 43.60 | 44.61 | 50.38 | 50.11 | 31.46 | 72.64 | 73.38 | 76.68 | 66.05 | 74.03 | 72.13 | 65.56 | 84.83 | 74.60 |
TiO2 | 1.31 | 2.24 | 1.29 | 1.36 | 7.27 | 0.14 | 0.17 | 0.17 | 0.58 | 0.20 | 0.07 | 0.78 | 0.14 | 0.93 |
Al2O3 | 14.37 | 12.66 | 14.67 | 13.33 | 0.42 | 15.01 | 14.71 | 12.52 | 16.31 | 13.12 | 15.93 | 15.74 | 7.99 | 10.53 |
Fe2O3 | 12.48 | 13.35 | 12.82 | 14.52 | 3.65 | 1.83 | 1.76 | 1.59 | 4.06 | 1.91 | 1.32 | 1.58 | 1.76 | 3.43 |
FeO* | 11.23 | 12.015 | 11.538 | 13.068 | 3.28 | 1.6452 | 1.5795 | 1.4265 | 3.651 | 1.7208 | 1.188 | 5.76 | 1.585 | 3.085 |
MnO | 0.297 | 0.23 | 0.19 | 0.21 | 0.029 | 0.04 | 0.03 | 0.02 | 0.04 | 0.03 | 0.03 | 0.08 | 0.04 | 0.09 |
MgO | 6.86 | 9.10 | 6.42 | 6.84 | 0.76 | 0.54 | 0.43 | 0.46 | 1.48 | 0.63 | 0.37 | 2.27 | 0.31 | 1.94 |
CaO | 9.67 | 9.02 | 8.62 | 8.66 | 33.31 | 0.66 | 0.44 | 0.07 | 1.15 | 0.60 | 0.66 | 0.91 | 0.44 | 1.63 |
K2O | 0.67 | 0.54 | 0.20 | 0.69 | 2.41 | 4.54 | 4.88 | 4.86 | 5.79 | 5.44 | 4.15 | 3.76 | 0.07 | 2.33 |
Na2O | 3.27 | 2.47 | 3.54 | 2.45 | 0.78 | 3.14 | 3.09 | 2.89 | 2.28 | 2.83 | 3.78 | 1.35 | 3.71 | 1.97 |
P2O5 | 0.12 | 0.47 | 0.10 | 0.11 | 0.13 | 0.29 | 0.16 | 0.02 | 0.16 | 0.03 | 0.18 | 0.11 | 0.03 | 0.11 |
ППП | 7.24 | 5.33 | 1.77 | 1.73 | 19.4 | 1.17 | 0.96 | 0.72 | 2.10 | 1.20 | 1.39 | 3.04 | 0.67 | 2.44 |
Сумма | 99.88 | 100 | 100 | 100 | 99.62 | 100.00 | 100.00 | 99.99 | 100.00 | 100.00 | 100.0 | 99.52 | 100.0 | 100.0 |
Li | nd | 69.7 | 33.2 | 67.9 | nd | 16.4 | 20.8 | 42.8 | 47.5 | 26.1 | 8.8 | 77.7 | 1.5 | 23.1 |
Be | nd | 1.0 | 0.62 | 3 | nd | 3.8 | 4.7 | 1.3 | 2.9 | 2 | 2.9 | 4 | 0.34 | 1.8 |
Sc | nd | 44.2 | 24.6 | 40.1 | nd | 2.9 | 1.8 | 1.6 | 8.9 | 3.1 | 3 | 13.4 | 1 | 13.1 |
V | 130 | 303 | 241 | 384 | 66 | 13.6 | 3.6 | 9 | 40.1 | 9.3 | nd | 108 | 12.4 | 71.0 |
Cr | 184 | 127 | 29.5 | 112 | 100 | 7.8 | 9 | 6.1 | 15.1 | 11.7 | 12 | 68.4 | 35 | 72.1 |
Co | 40 | 36.6 | 33.1 | 50.7 | 10 | 1.2 | 1.4 | 0.1 | 5.9 | 2.3 | 0.5 | 11.3 | 0.8 | 10.6 |
Ni | 19 | 85.7 | 47.7 | 82.9 | 30 | 3.5 | 3.7 | 2.4 | 15.7 | 6.2 | 6.5 | 31.7 | 10.7 | 21.4 |
Cu | 63 | 31.7 | 102 | 339 | 39 | 1.9 | 1.7 | 1.3 | 25.7 | 4.2 | 0.9 | 13.1 | 4.6 | 5.6 |
Rb | 43 | 29.8 | 8.2 | 51 | 110 | 195 | 209 | 246 | 186 | 192 | 151 | 49.2 | 1.7 | 110 |
Таблица 3. Окончание | ||||||||||||||
Компоненты | Образец | |||||||||||||
14-011-01 | 14-013-01 | 14-039-01 | 14-039-02 | 14-040-04 | 14-040-01 | 14-237-02 | 14-032-01 | 14-008-06 | 14-012-01 | 14-012-03 | 14-040-03 | 14-009-06 | 14-009-02 | |
Sr | 272 | 397 | 246 | 363 | 2700 | 74.8 | 79.4 | 17.9 | 137 | 48.9 | 89.4 | 53 | 61.2 | 112 |
Y | 26 | 33.5 | 17.1 | 29.3 | 18 | 8.9 | 7.2 | 61.6 | 44.8 | 46.5 | 15.4 | 32.8 | 8 | 29.0 |
Zr | 74 | 100 | 38.1 | 81.1 | 190 | 68.5 | 75.3 | 284 | 87.0 | 165.2 | 58 | 211 | 38.7 | 222 |
Nb | 6 | 4.6 | 3.2 | 7 | 9 | 14.1 | 14.6 | 24.9 | 16.0 | 15 | 6.9 | 16.2 | 2 | 15.2 |
Ba | 90 | 128 | 18.8 | 98.2 | 330 | 132 | 209 | 983 | 1191 | 211 | 213 | 512 | 24 | 217 |
La | nd | 15.4 | 2.9 | 5.6 | nd | 11.3 | 19 | 50.6 | 76.0 | 74.2 | 4.8 | 29.9 | 9.4 | 49.3 |
Ce | nd | 40.2 | 8.5 | 15.7 | nd | 28.6 | 48.8 | 107 | 168 | 157 | 10.8 | 71.2 | 19.6 | 111 |
Pr | nd | 5.5 | 1.3 | 2.4 | nd | 2.9 | 5.1 | 12.2 | 17.4 | 19 | 1.3 | 7.4 | 2.2 | 11.7 |
Nd | nd | 27.3 | 6.7 | 11.9 | nd | 10.7 | 19.6 | 46.7 | 62.8 | 64.3 | 5 | 29 | 8.2 | 42.3 |
Sm | nd | 6.9 | 2.3 | 3.8 | nd | 2.6 | 4.7 | 9.2 | 12.0 | 12.6 | 1.7 | 6.1 | 1.6 | 7.8 |
Eu | nd | 2.8 | 0.8 | 1.2 | nd | 0.32 | 0.41 | 0.43 | 1.7 | 0.62 | 0.39 | 1.2 | 0.31 | 1.3 |
Gd | nd | 7.4 | 3 | 5 | nd | 2.3 | 3.6 | 9 | 10.2 | 10.4 | 2.3 | 5.7 | 1.5 | 6.7 |
Tb | nd | 1.1 | 0.5 | 0.85 | nd | 0.37 | 0.48 | 1.54 | 1.5 | 1.6 | 0.49 | 0.95 | 0.24 | 1.0 |
Dy | nd | 6.4 | 3.1 | 5.3 | nd | 1.8 | 1.8 | 9.8 | 7.8 | 8.3 | 2.8 | 5.6 | 1.4 | 5.5 |
Ho | nd | 1.3 | 0.68 | 1.1 | nd | 0.29 | 0.24 | 2.1 | 1.5 | 1.6 | 0.49 | 1.2 | 0.28 | 1.1 |
Er | nd | 3.5 | 1.9 | 3.3 | nd | 0.75 | 0.52 | 6.5 | 4.1 | 4.7 | 1.2 | 3.7 | 0.85 | 3.2 |
Tm | nd | 0.47 | 0.26 | 0.44 | nd | 0.11 | 0.058 | 0.98 | 0.53 | 0.65 | 0.15 | 0.55 | 0.12 | 0.45 |
Yb | nd | 2.8 | 1.7 | 3 | nd | 0.71 | 0.37 | 6.9 | 3.4 | 4.4 | 0.93 | 3.7 | 0.82 | 3.0 |
Lu | nd | 0.40 | 0.24 | 0.42 | nd | 0.09 | 0.047 | 1 | 0.47 | 0.62 | 0.12 | 0.53 | 0.12 | 0.44 |
Примечания. Содержание главных элементов приведено в массовых процентах; редких и редкоземельных – в г/т. FeO* – все железо как FeO. nd – элемент не определялся. Амфиболиты – 14-01-01. 14-013-01. 14-039-01. 14-039-02; карбонатная метаосадочная порода – 14-040-04; граниты – 14-040-01. 14-237-02; риолит – 14-032-01; милониты – 14-008-06. 14-012-01. 14-012-03; кварц-слюдяные сланцы – 14-040-03. 14-009-06. 14-009-02.
Рис. 7. Вариации содержания CaO и Al2O3 (a), SiO2 и MgO (б) в изученных метаморфических породах. Для сравнения приведены составы N-MORB Срединно-Атлантического (прямые крестики) и Восточно-Тихоокеанского (косые крестики) хребтов (данные из (RIDGE…, 1999)); а также различных литологических типов известково-силикатных пород по (Massonne, 2010) и (Plank, Langmuir, 1998).
Как следует из приведенных на рис. 7 данных, имеет место резкое различие по составу между образцами 14-011-01, 14-013-01, 14-039- 01, 14- 039-02 и 14-040-04. Из перечисленных образцов последний по параметрам состава близок к известково-силикатным осадочным породам, например к мергелистым известнякам, состав которых приводится в (Massonne, 2010). С другой стороны, составы пород, представленных образцами 14-011-01, 14-013-01, 14-039-01 и 14- 039-02, в координатах графиков на рис. 7 располагаются вблизи поля составов базальтоидов семейства MORB.
К тому же заключению можно прийти, интерпретируя данные, приведенные на рис. 8. Для оценки возможной природы протолита образцов 14-011-01, 14-013-01, 14-039-01 и 14-039-02 можно использовать предварительные данные о содержаниях редких элементов в этих породах, полученные методом рентгено-флуоресцентного анализа.
На рис. 7 и 8 точки составов изученных пород, за исключением бесспорно метаосадочной породы, представленной образцом 14-040-04, лежат вблизи поля состава MORB, причем наиболее близким по составу к толеитовым базальтам оказывается образец 14-039-01, представленный типичным амфиболитом. В координатах Sr–Rb (рис. 9) эта порода занимает промежуточное положение между составами MORB и островодужных толеитов и известково-щелочных вулканитов. С высокой степенью вероятности амфиболит, представленный образцом 14-039- 01, образован при среднетемпературном метаморфизме протолита магматического происхождения, очевидно, базальтоидного облика.
Сложнее интерпретировать происхождение протолита пород, относящихся к образцам 14- 011-01, 14-013-01 и 14-039-02. По содержанию калия, титана и магния – элементов принципиальных для классификационных диаграмм, используемых в целях определения геохимического типа базальтов, эти породы занимают промежуточное положение между вулканическими образованиями семейств N-MORB и OIB. Вариации содержания Rb и Sr в этих породах также позволяют рассматривать их как метаморфические производные продуктов внутриплитного магматизма (OIB). С другой стороны, те же данные не исключают возможности происхождения пород, представленных, по крайней мере, обр. 14-013-01, за счет метаморфизма протолита осадочного происхождения. Судя по составу изученных слюдяных сланцев (обр. 14-009-01, 14- 009-06, 14-040-01) и известково-силикатных пород (обр. 14-040-04), протолит, по крайней мере некоторых из этих образцов, мог быть представлен различными в литологическом отношении глубоководными осадками (пелагическими глинистыми и карбонатными осадками и турбидитами).
Рис. 8. Вариации содержания K2O и TiO2 (а) и K2O и MgO (б) в изученных метаморфических породах. Остальные обозначения те же, что на рис. 7.
Рис. 9. Вариации содержания Sr и Rb в изученных метаморфических породах. Обозначения те же, что на рис. 6. Приведены также составы базальтов океанических островов, толеитов и известково-щелочных вулканитов островных дуг по (Sun, 1980) и (Sun, McDonough, 1989).
Рис. 10. Вариации составов различных петрографических типов пород из изученной коллекции и расположение точек состава изученных амфиболитов в координатах AFM.
Рис. 11. Вариации содержания TiO2 и Zr в метаморфических и изверженных породах о. Врангеля. Показаны также составы базальтоидов Восточно-Тихоокеанского хребта (ВТП), заимствованные из (RIDGE…,1999) и осадков океанической литосферы, подвергающихся субдукции (по Plank, Langmuir, 1998).
Рис. 12. Характер распределения содержаний РЗЭ, нормированных к N-MORB, в изученных амфиболитах. Нормирование осуществлено по (Sun, McDonough, 1989).
Данные, приведенные на рисунках 10 и 11, подтверждают близость состава изученных амфиболитов к базальтоидам семейства MORB. К этим породам, помимо амфиболитов (обр. 14- 039-02, 14-13-01), относятся образцы спилитов Центральной зоны, обнажающиеся в среднем течении р. Неизвестной (Моисеев и др., 2009; Соколов и др., 2017).
Веским аргументом в пользу происхождения изученных амфиболитов за счет базальтового корового субстрата, близкого по составу к базальтоидам семейства MORB, является характер распределения в них редкоземельных элементов (рис. 12). Судя по данным, приведенным на рис. 12, протолитом амфиболитов, представленных образцами 14-039-01 и 14-039-02, скорее всего, могли быть океанические толеитовые базальты, относящиеся к N-MORB. Амфиболит из образца 14-013-01, возможно, был образован при метаморфизме обогащенных базальтов типа E-MORB или OIB.
РЕЗУЛЬТАТЫ U-PB ГЕОХРОНОЛОГИЧЕСКИХ ИССЛЕДОВАНИЙ
Из двух образцов (14-039-01 и 14-013-01) удалось выделить и датировать цирконы. Для обр. 14-039-01 выполнено 10 анализов (U-Pb SHRIMP-II) 9 зерен циркона (табл. 4). Для обр. 14-013-01 сделано по одному анализу для 19 зерен (U-Pb LA–ICP–MS) (табл. 5). В обеих пробах наблюдается большой разброс конкордатных значений возрастов (рис. 13, 14).
Для образца 14-039-01 датировки образуют два основных кластера. Наиболее молодой отвечает четырем замерам, которые соответствуют альбскому возрасту (≈110 млн лет, рис. 13). Цирконы данного возраста обладают хорошо выраженной осцилляторной зональностью. Размеры зерен от 200 до 300 мкм с коэффициентом удлинения 1:3 (рис. 15). Три замера отвечают позднепротерозойским возрастам (≈620 млн лет; рис. 13). Цирконы имеют размер от 70 до 150 мкм. Сохранены только фрагменты зерен, их края обломаны и имеют неровные очертания. Коэффициент удлинения 1:2 (рис. 15). Промежуточные значения 322 (n=1), 452 (N=1) млн лет отмечаются в единичных зернах цирконов. Значения Th/U близкие для всех цирконов, среднее значение составляет 0,62, что отвечает магматическим параметрам (табл. 4).
Таблица 4. Результаты U-Pb изотопных (SHRIMP-II) анализов акцессорных зерен цирконов для образца 14-039-01
Название анализа | 206Pbc, % | U (г/т) | Th (г/т) | Th/U | 206Pb* (г/т) | Возраст (млн лет) | Отношения изотопов | |||||||||
206Pb/238U | 1σ | 207Pb/ 206Pb | 1σ | 207Pb/ 206Pb | ±% | 206Pb/238U | ±% | 207Pb/235U | ±% | Rho | ||||||
14-039-01_1.1 | 0,00 | 945 | 665 | 0,73 | 13.4 | 105.8 | ± 2.1 | 114 | ± 69 | 0.0483 | 2.9 | 0.0165 | 2 | 0.1102 | 3.6 | ,566 |
14-039-01_2.1 | 0,35 | 1433 | 474 | 0,34 | 20.5 | 106.2 | ± 2.1 | -8 | ±110 | 0.0487 | 2.4 | 0.0166 | 2 | 0.1051 | 4.8 | ,412 |
14-039-01_6.1 | 0,00 | 702 | 379 | 0,56 | 10.2 | 107.7 | ± 2.2 | 151 | ± 79 | 0.0491 | 3.4 | 0.0168 | 2.1 | 0.114 | 4 | ,521 |
14-039-01_6.2 | 0,00 | 505 | 192 | 0,39 | 7.35 | 108.3 | ± 2.4 | 37 | ± 97 | 0.0468 | 4.1 | 0.0169 | 2.2 | 0.1093 | 4.6 | ,482 |
14-039-01_7.1 | 1,34 | 272 | 222 | 0,84 | 12.1 | 322.4 | ± 6.9 | 191 | ±230 | 0.0607 | 3.1 | 0.0513 | 2.2 | 0.353 | 10 | ,219 |
14-039-01_5.1 | 0,45 | 237 | 230 | 1,00 | 14.8 | 451.6 | ± 9 | 355 | ±110 | 0.0572 | 2.6 | 0.0726 | 2.1 | 0.536 | 5.2 | ,396 |
14-039-01_4.1 | 0,00 | 205 | 70 | 0,35 | 17.2 | 602 | ±12 | 624 | ± 65 | 0.0606 | 3 | 0.0978 | 2.1 | 0.817 | 3.7 | ,567 |
14-039-01_8.1 | 0,16 | 249 | 120 | 0,50 | 21.5 | 617 | ±12 | 576 | ± 58 | 0.0605 | 2.2 | 0.1005 | 2 | 0.821 | 3.4 | ,608 |
14-039-01_3.1 | 0,18 | 777 | 744 | 0,99 | 69.1 | 633 | ±12 | 615 | ± 41 | 0.06181 | 1.4 | 0.1032 | 2 | 0.858 | 2.7 | ,718 |
14-039-01_9.1 | 0,00 | 140 | 60 | 0,44 | 31.8 | 1510 | ±28 | 1470 | ± 28 | 0.0921 | 1.5 | 0.264 | 2.1 | 3.354 | 2.5 | ,810 |
Примечания. Ошибка в калибровке стандарта 0.5%. Pbc и Pb* – обыкновенный и радиогенный свинец. Изотопные отношения и содержания нерадиогенного Pb скорректированны по измеренному 204Pb. Rho – коэффициент корреляции.
Рис. 13. Диаграммы с конкордией для обр. 14-039-01.
Рис. 14. Диаграммы с конкордией для обр. 14-013-011.
Рис. 15. Микрофотографии кристаллов циркона из базальта 14-039-01 в режиме катодолюминесценции. Овалом указаны точки анализа. Номер точечного анализа циркона соответствует номеру в табл. 4. В скобках указаны U-Pb возраст в млн лет.
В образце 14-013-01 отмечается высокое (n=8/21) содержание мезо- и палеопротерозойских зерен циркона (рис. 14). Два зерна имеют палеозойский возраст. Неопротерозойские датировки (n=9/21) укладываются в интервал от 565 до 837 млн лет, на кривой плотности вероятности они образуют три максимума – 589, 690 и 788 млн лет. Наиболее выраженным (7 замеров) является пик 690 млн лет. Конкордантный возраст – 698±12 млн лет, а средневзвешенный возраст составляет 695±13 млн лет. В неопротерозойских цирконах U/Th отношения близки к средним значениям для всех замеров и составляют 1,66. Более высокие значения – 1.9 – отмечаются для мезо- и палеопротерозойских цирконов.
СОПОСТАВЛЕНИЕ МЕТАМОРФИЧЕСКИХ И ИЗВЕРЖЕННЫХ ПОРОД О. ВРАНГЕЛЯ И ЧУКОТСКОГО БОРДЕРЛЕНДА
В ходе проведения рейса HLY0905 ледокола «Хили», принадлежащего береговой охране США, при драгировании ложа Северо-Восточного сектора Северного Ледовитого океана были получены первые образцы кристаллического фундамента Чукотского бордерленда. Представленные в (Brumley et al., 2014) данные петролого-геохимического изучения этих образцов позволяют предпринять сопоставление комплексов пород, слагающих фундамент Чукотского бордерленда, с изученными породами о. Врангеля.
В петрографическом отношении породы, драгированные на ст. HLY0905-DS5, были подразделены на три группы (Brumley et al., 2014): 1) амфиболиты, представленные плойчатыми разновидностями, состоящими из амфибола, плагиоклаза, редкого (возможно, реликтового) клинопироксена и замещающих перечисленные фазы хлорита и серицита. В некоторых образцах присутствуют кварц, калишпат и биотит, слагающие тонкие прожилки; 2) гранатсодержащие гнейсы, сложенные хлоритизированным биотитом, серицитизированным плагиоклазом, калиевым полевым шпатом, мусковитом и редкими гранатом и цоизитом; 3) калишпатсодержащие очковые гнейсы, в строении которых участвуют калиевый полевой шпат (в крупных кристаллобластах), деформированный кварц, серицитизированный плагиоклаз, и частично хлоритизированный биотит и эпидот. Перечисленные петрографические типы пород сходны в минералогическом, структурном и геохимическом отношениях с породами метаморфического фундамента о. Врангеля.
Амфиболиты Чукотского бордерленда сложены той же минеральной ассоциацией, что и амфиболиты о. Врангеля, состоящие из амфибола, плагиоклаза, биотита и редких калишпата и кварца (обр. 14-013-1, 14-039-01). В породах из обеих коллекций четко проявлена гранонематобластовая структура, характерная для амфиболитов складчатых областей (рис. 16).
Рис. 16. Микрофотографии шлифов (николи скрещены): (а) – Очковые гнейсы с калиевым полевым шпатом, обр. #5-002, ст. HLY0905-DS5 (Brumley et al., 2014); (б) – гнейсовидный милонит с калиевым полевым шпатом о. Врангеля (обр. 14-010-01). Николи скрещены. Amph – амфибол, Plag (Pl) – плагиоклаз, Kfs – калиевый полевой шпат, Qtz – кварц, Ser – серицит, bt – биотит.
Калишпатсодержащие очковые гнейсы ст. HLY0905-DS5, возможно, являются петрографическими аналогами или продуктами перекристаллизации корового субстрата, близкого по составу к породам о-ва Врангеля, которые были идентифицированы как перекристаллизованные граниты (14-012-02) или милониты (обр. 14-010-01) (рис. 17).
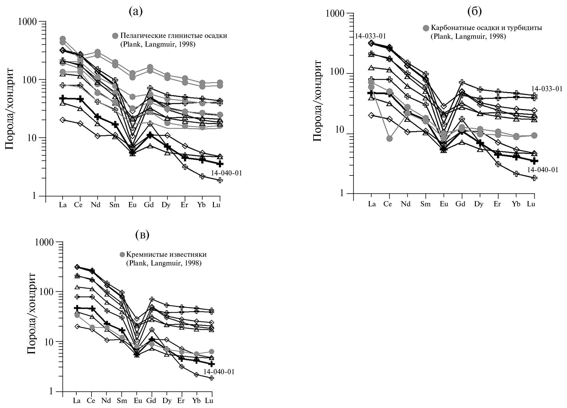
Рис. 17. Характер вариаций содержаний РЗЭ в гранитах, милонитах и слюдяных сланцах о. Врангеля, нормированных к хондриту по (Sun, McDonough, 1989). Для сравнения приведен спектр распределения нормализованных значений содержания РЗЭ в пелагических глинистых осадках (а), карбонатных осадках и турбидитах (б) и в кремнистых известняках (в) по (Plank, Langmuir, 1998). Условные обозначения cм. на рис. 10. Черным крестом обозначен состав карбонатно-силикатной породы обр. 14-040-04.
Характерной особенностью, общей для гранитно-метаморфических ассоциаций о. Врангеля и Чукотского бордерленда, являются признаки катаклаза и милонитизации, широко проявленные во всех перечисленных выше петрографических типах пород (Лучицкая и др., 2017; Моисеев и др., 2018). Очевидно, хлоритизация и серицитизация темноцветных и лейкократовых минералов в изученных породах отражает этап крупномасштабных деформаций, которым подвергались метаморфические и изверженные породы в обоих рассматриваемых регионах.
Сходство минерального состава и структурных особенностей пород, полученных на станции драгирования HLY0905-DS5 в пределах Чукотского бордерленда и отобранных на о. Врангеля, может быть использовано при попытке реконструкции геодинамического режима формирования литосферы в этих двух регионах Арктического бассейна. В этом контексте полезно использовать существующие данные о геохимических особенностях изученных пород.
Составы всего разнообразия петрографических типов пород из коллекции образцов, собранных на о. Врангеля, в координатах TiO2 – Zr представлены на рис. 11. Очевидно, что коллекция пород о. Врангеля отличается от образцов, полученных на станции драгирования HLY0905-DS5, большим петрографическим разнообразием и, кроме упомянутых выше пород, включает метабазиты и слюдяные сланцы. Следует заметить, что некоторые образцы из группы гранат-содержащих гнейсов, выделенной в (Brumley et al., 2014), согласно петрографической номенклатуре, используемой в настоящей работе, могут соответствовать некоторым образцам слюдяных сланцев, отобранных на о. Врангеля.
Среди гранитов, отобранных на о. Врангеля, лишь в единственном изученном образце удалось наблюдать типичную для гранитоидов гипидиоморфнозернистую структуру (обр. 14-040-01). Остальные образцы гранитоидов представлены сильно катаклазированными породами, в структурном отношении обнаруживающие постепенные переходы к милонитам, по составу отвечающим неизмененным гранитам. Слюдяные сланцы о. Врангеля, судя по характеру распределения точек их состава на рис. 11, представлены как продуктами метаморфизма гранитоидов (обр.14-009-06), так и метаосадочными породами.
В минералогическом и геохимическом отношении граниты о. Врангеля близки к калишпатсодержащим очковым гнейсам Чукотского бодерленда. Они состоят из кварца (30–35%), плагиоклаза (40–45%), калиевого полевого шпата (10–15%), мусковита (5–10%) и акцессорных циркона и апатита (Лучицкая и др., 2017). Минеральный состав очковых гнейсов, описанных в (Brumley et al., 2014), представлен кварцем – 35%, серецитизированным плагиоклазом – 30%, калишпатом – 15%, биотитом – 15%, а также цирконом и апатитом.
Сходство обнаруживают и параметры состава этих пород. Гранитоды о. Врангеля – SiO2 = 72,64 мас.%, Na2O = 3,14 мас.%, K2O/ Na2O = 1,4. Очковые гнейсы Чукотского бордерленда – SiO2 = 67 мас.%, Na2O = 3,43 мас.%, K2O/ Na2O = 1,37. В (Лучицкая и др., 2017) слюдяные граниты о. Врангеля были отнесены к гранитам I-типа, которые, согласно (Kalsbeek et al., 2008), характеризуются следующими параметрами состава: SiO2 = 53–76 мас.%, Na2O > 3 мас.%, низкое K2O/Na2O. Протолит калишпатсодержащих очковых гнейсов, по мнению (Brumley et al., 2014), был представлен гранитами того же геодинамического типа. Согласно (Лучицкая и др., 2017), граниты о. Врангеля были образованы на конвергентной границе плит в условиях активной континентальной окраины. Протолит очковых гнейсов Чукотского бордерленда, по мнению (Bromley et al., 2015), был сформирован по тому же геодинамическому сценарию. Судя по изотопному составу рассматриваемых пород, в обоих случаях в процессах петрогенезиса, приведших к образованию их протолита, принимал участие субстрат древней континентальной литосферы: о. Врангеля (обр.14-040-01) – εNd = -3,69; Чукотский бордерленд – εNd = -4,8 (Brumley et al., 2014; Лучицкая и др., 2017).
Представленные в цитируемых работах U-Pb оценки возраста по циркону этих пород указывают на более древний возраст гранитов о. Врангеля (690–730, 590–610 млн лет) по сравнению с очковыми гнейсами (430–432 млн лет) Чукотского бордерленда. Возможно, это различие определяется тем обстоятельством, что в случае о. Врангеля приведенный возраст отвечает магматическим событиям, а для Чукотского бордердленда соответствует возрасту метаморфизма (Brumley et al., 2014). Данные по характеру распределения содержания РЗЭ в гранитоидах о. Врангеля подтверждает вывод о генетической связи с этими породами милонитов и некоторых слюдяных сланцев. Как следует из рисунков 17 (а–в), в образовании протолита гранитов о. Врангеля, возможно, принимало участие вещество субдуцируемых осадков различного литологического состава.
ОБСУЖДЕНИЕ
По мнению большинства исследователей, породы Врангелевского комплекса метаморфизованы в зеленосланцевой и эпидот-амфиболитовой фациях (Иванов, 1969; Каменева, 1975, и др.). В работах (Косько и др., 2003; Kos’ko et al., 1993) метаморфизм ограничен зеленосланцевой фацией в температурном интервале 350–500 °С при низких давлениях. Проведенное петрографическое исследование коллекции 2014 г. позволяет выделять среди пород Врангелевского комплекса продукты высокобарического метаморфизма коллизионного типа. В обр. 14-039- 01 амфибол соответствует эденит-паргаситовой роговой обманке, а характерная минеральная ассоциация роговой обманки и альбита, наблюдаемая в этом образце, указывает на высокобарический метаморфизм, которому соответствовало давление около 8 кбар и температура порядка 480 °С.
Изученные амфиболиты могут рассматриваться как продукты метаморфизма базальтоидов семейства MORB, или их плутонических аналогов. Возраст протолитов на основании U-Pb датировок цирконов, полученных разными методами, составляет 617±13 и 698±12 млн лет, а также 699±1 млн лет в работе (Косько и др., 2003). Сложность в интерпретации связана с тем, что небольшое количество цирконов, которые удалось выделить, характеризуются широким диапазоном возрастов.
Цирконы с возрастами ~1100, 1500 и 1800 млн лет, по-видимому, являются захваченными. Сходные датировки были получены для ксеногенных цирконов из неопротерозойских гранитов острова Врангеля (Лучицкая и др., 2017), что указывает на существование неопротерозойско-мезопротерозойского фундамента в основании острова Врангеля.
Цирконы (обр. 14-039-01) с мезозойскими (~107 млн лет) и палеозойскими (322 и 451 млн лет) возрастами не могут указывать на время образования протолита, поскольку метаморфические породы с несогласием перекрываются породами девона. Данные события вряд ли могли сопровождаться достаточным для перезагрузки U-Pb системы прогревом вмещающих пород, поскольку магматические породы соответствующих возрастов неизвестны вблизи о. Врангеля. Наиболее вероятно, попадание таких цирконов произошло в результате механического заражения пробы, при выделении монофракций циркона. Заключение о возрасте протолитов сделано на основе выбора наиболее представительных популяций конкордантных значений циркона.
Главная трудность заключается в интерпретации палеогеодинамической обстановки формирования изученных пород. Амфиболиты расположены среди метаосадочных пород, в которых много кварцевых песчаников. В некоторых метапесчаниках сохранилась градационная слоистость. Подобная ассоциация могла образоваться в двух обстановках: рифтогенез или блоки в аккреционной призме. Учитывая интенсивные деформации, нельзя исключать тектонические взаимоотношения амфиболитов с породами зеленосланцевой фации, что может быть следствием аккреционной природы. В пользу этого указывают: 1) возможное участие субдуцируемых осадков различного литологического состава в формировании гранитов (рис. 17); 2) присутствие среди вмещающих метаосадочных пород глубоководных осадков. Однако на данном уровне изученности объекта прямых доказательств существования аккреционной призмы нет. Очевидно лишь то, что во Врангелевском комплексе имеются фрагменты океанической коры широкого возрастного диапазона.
На о. Врангеля гранитоиды с возрастами 690–730 млн лет относятся к гранитам I-типа, формирование которых могло происходить на континентальной окраине андийского типа (Лучицкая и др., 2017), что позволяет сопоставлять их с близкими по возрасту гранитами и ортогнейсами п-ова Сьюард на Аляске (Amato et al., 2014). Геохимические особенности гранитов и риолитов с возрастами 590–610 млн лет соответствуют гранитам А-типа, формирование которых происходило в рифтогенной обстановке, и сопоставляются с ортогнейсами 565 млн лет п-ова Сьюард.
В связи с этим можно думать, что «древние» амфиболиты (698 млн лет) являются фрагментами океанического бассейна, субдукция которого вызвала формирование гранитоидов I-типа, а «молодые» амфиболиты (617 млн лет) соответствуют или заключительным стадиям океанического спрединга, или рифтогенезу с образованием новой океанической коры.
Обнаружение океанических пород в составе метаморфического комплекса о. Врангеля является, пожалуй, первой находкой такого рода для неопротерозойского фундамента микроплиты Арктическая Аляска–Чукотка. На Аляске в террейне Сьюард известны габбро с возрастом 539 млн лет (Amato et al., 2014). Предполагается, что они формировались в обстановке растяжения, но соответствующих сведений о составе также не приводится.
За пределами микроплиты океанические комплексы неопротерозоя известны в тиманидах Полярного Урала и на Таймыре, где они представлены офиолитами (Кузнецов, 2009; Пучков, 2010). Возраст плагиогранитов из серпентинитового меланжа 719±10 и 733.9±8.3 млн лет (Кузнецов, 2009), что древнее протолитов изученных амфиболитов. С «молодыми» амфиболитами близкий возраст 610 млн лет имеют дайки базальтов, но они отличаются щелочным составом (Pease et al., 2014).
В аккреционной структуре Центрального Таймыра плагиограниты, габбро и вулканиты из офиолитов и островодужных комплексов имеют U–Pb возраст 755–730 млн лет (Верниковский и др., 2013). Как и в случае с Полярным Уралом, они древнее изученных амфиболитов о. Врангеля.
Следовательно, прямые корреляции с комплексами Протоуральско-Тиманского океана затруднительны. Можно лишь говорить о существовании в Восточной Арктике неопротерозойского океанического бассейна как части более обширного океана. В пользу этого свидетельствует продолжение Протоуралид-Тиманид (байкалид) на о. Врангеля, Чукотку и Аляску, что подтверждается многочисленными датировками гранитоидов (Косько и др., 2003; Кузнецов, 2009; Верниковский и др., 2013; Лучицкая и др., 2016, 2017; Kos’ko et al., 1993; Pease et al., 2014; Amato et al., 2014; Gottlieb et al., 2017).
В начале статьи, в разделе “Введение”, отмечалось, что существуют различные точки зрения о возрасте метаморфизма как для всей микроплиты Арктическая Аляска–Чукотка, так и для о. Врангеля в частности. Благодаря структурным и геохронологическим исследованиям мезозойский метаморфизм надежно обоснован на Аляске и Чукотке в структурах метаморфических ядер (Бондаренко, Лучицкая, 1993; Катков, 2010; Bering strait…,1997; Toro et al., 2003; Pease et al., 2007; Pease, 2011; Till, 2016; Miller et al., 2017). Кроме того, на Аляске в террейне Сьюард и вдоль границы террейнов Арктическая Аляска и Ангаючам прослеживается полоса метаморфических сланцев (субтеррейн Слейт Крик). Голубые сланцы образовались в процессе субдукции, а наложенный на них зеленосланцевый метаморфизм – в обстановке растяжения (Miller et al., 2017).
Вероятно, с этих позиций в работе (Miller et al., 2017) метаморфизм Врангелевского комплекса тоже считается связанным с растяжением и его возраст определяется 110–100 млн лет с последующим охлаждением и выведением на поверхность около 95 млн лет. Вместе с тем высказывается сомнение в существовании надвиговых структур, которые картировались в разные годы предшественниками (Тильман и др., 1970; Каменева, 1975; Kos’ko et al., 1993, и др.), начиная с 30-х годов прошлого века (Громов, Кирюшина, 1947). Результатам геологического картирования (рис. 2 и 4) противопоставляется микроструктурный анализ для ограниченного количества образцов из нескольких разрозненных выходов. Приводимая в статье геологическая карта (Miller et al., 2017; рис. 3) содержит ошибки и является ухудшенным вариантом геологических карт (Косько и др., 2003; Kos’ko et al., 1993). Например, отсутствует Главный надвиг в Центральном хребте, по которому породы Врангелевского комплекса надвинуты на отложения нижнего карбона (Косько и др., 2003; Соколов и др., 2017). Вместо этого разлом показан севернее, в крыле опрокинутой на север складки, в которой девон лежит на нижнем карбоне.
Дело в том, что в рассматриваемом регионе действительно есть структурные парагенезы растяжения, которые описаны в работе (Вержбицкий и др., 2015). Эти наблюдения многочисленны и выполнены на различных участках острова. Деформации растяжения развиты локально и наложены на общий складчато-надвиговый структурный план северной вергентности. Предполагается, что они связаны с апт-альбским или более молодым этапом растяжения, вызвавшего образование Южно-Чукотского, Айнахкургенского, Нутесынского и др. прогибов в акватории и на континенте (Вержбицкий и др., 2015; Соколов и др., 2015).
Ar-Ar возраст мусковита 611, 608 и 514 млн лет (Miller et al., 2017), минерала, традиционного для метаморфизованных пород Врангелевского комплекса, может отражать время метаморфизма (предпочтительнее 514 млн лет). Возраст метаморфических пород, полученный K-Ar методом, определялся как 419–457 и 513 и 525 млн лет (Иванов, Крюков, 1973). Для оценки времени метаморфизма наибольший интерес из этой коллекции представляет мусковит-кварц-полевошпатовый сланец 513 млн лет. Кроме того, установлены и мезозойские возраста: кварц-полевошпатовый сланец – 275 млн лет и амфиболит в верховьях р. Хищников – 115 млн лет. В работе (Косько и др., 2003) возраст зеленосланцевого метаморфизма базитов составляет 262±8 и 457±25 млн лет (K-Ar метод).
Мезозойский возраст (Ar-Ar метод) был получен для коллекции метаморфических пород, опробованных в полевой сезон 2006 г. Возраст зеленых сланцев 165 млн лет и амфиболитов 130 млн лет. Определения были выполнены П. Лейром и Д. Беновитцем в лаборатории Геохронологии Университета Аляска (г. Фэрбенкс). Эти данные указывают на существование мезозойского метаморфизма.
Главным критерием существования древнего метаморфизма являются базальные конгломераты девона, обнажающиеся в верховьях р. Хищников (Косько и др., 2003; Соколов и др., 2017). Они содержат обломки метаморфических пород Врангелевского комплекса. Обломки деформированы, и в некоторых метаморфизованных терригенных и известковистых сланцах видны мелкие складки. Галька метаморфических пород, в том числе метаморфизованных вулканитов, содержится также в конгломератах карбона и перми. Кроме того, метаморфические породы прорываются докембрийскими гранитами. Метаморфические цирконы из амфиболитов Чукотского бордерленда указывают на их палеозойский возраст 480 и 530 млн лет (Brumley et al., 2014).
Таким образом, на о. Врангеля процессы метаморфизма имеют сложную историю. Древний допалеозойский этап характеризовался метаморфизмом зеленосланцевой и амфиболитовой фации. Мезозойский метаморфизм в условиях низов зеленосланцевой фации наблюдается в породах Врангелевского комплекса, а также в перекрывающих палеозойских и триасовых отложениях. В первом случае он носит ретроградный характер, а во втором – прогрессивный. Мезозойский метаморфизм логично связывать с раннемеловым метаморфизмом зеленосланцевой и амфиболитовой фации чукотской фазы деформаций и формирования складчато-надвиговой структуры. К плоскостям надвигов приурочены наиболее сильно метаморфизованные разности. Позднее в процессе регионального растяжения метаморфические комплексы были выведены на поверхность. Структурные особенности этого процесса детально рассмотрены в работе (Miller et al., 2017).
ЗАКЛЮЧЕНИЕ
В составе неопротерозойского метаморфического фундамента о. Врангеля обнаружены и охарактеризованы магматические образования основного состава. Эти породы в додевонский период испытали два этапа метаморфизма, один из которых соответствует высокобарическому режиму HP/LT, а второй (ретроградный) – условиям зеленосланцевой фации. Намеченный тренд P-T эволюции метаморфизма амфиболитов о. Врангеля характерен для палеоколлизионных метаморфических комплексов, маркирующих зоны закрытия древних океанических бассейнов (Силантьев, 1993).
Кроме того, породы фундамента и осадочного чехла обнаруживают признаки среднемелового зеленосланцевого метаморфизма, который сопутствовал формированию покровно-складчатой структуры и последующему растяжению. Разброс геохронологических данных, полученных K-Ar и Ar-Ar методом, подтверждает сложную и неодноактную историю процессов метаморфизма.
Геохимические данные позволяют рассматривать изученные породы как продукты метаморфизма базальтоидов семейства MORB, или их плутонических аналогов. Возраст протолитов 617±13 и 698±12 млн лет получен на основании U-Pb датировок цирконов (SHRIMP II и La-ICP MS). Это первые достоверные находки проявлений океанического магматизма в составе метаморфического фундамента микроплиты Арктическая Аляска–Чукотка. В этой связи заслуживает внимания определенное сходство с образцами амфиболитов Чукотского бордерленда. Обнаружение океанических пород открывает новую страницу в истории формирования фундамента микроплиты Арктическая Аляска–Чукотка.
К сожалению, имеющихся разрозненных данных (о. Врангеля, Чукотский бордерленд, габбро Сьюарда) недостаточно для реконструкции и выяснения природы палеоокеанического бассейна, но дальнейшие исследования в этом направлении представляются перспективными.
Благодарности
Авторы выражают благодарность ПАО «НК Роснефть» за финансирование геохронологических данных. Особую признательность авторы статьи хотели бы выразить анонимному рецензенту за полезные замечания и рекомендации.
Источник финансирования
Исследования выполнены при финансовой поддержке грантов РФФИ 18-05-70061 и 17-05-00795.
About the authors
S. D. Sokolov
Geological Institute Russian Academy of Sciences
Author for correspondence.
Email: ssokolov43@mail.ru
Russian Federation, Moscow
S. A. Silantyev
Vernadsky Institute of Geochemistry and Analytical Chemistry of Russian Academу of Sciences
Email: silantyev@geokhi.ru
Russian Federation, Moscow
A. V. Moiseev
Geological Institute Russian Academy of Sciences
Email: ssokolov43@mail.ru
Russian Federation, Moscow
M. I. Tuchkova
Geological Institute Russian Academy of Sciences
Email: ssokolov43@mail.ru
Russian Federation, Moscow
V. E. Verzhbitsky
Rosneft Oil Company
Email: ssokolov43@mail.ru
Russian Federation, Moscow
References
- Бондаренко Г.Е., Лучицкая М.В. (1993) Мезозойская тектоническая эволюция Алярмаутского поднятия. Бюлл. МОИП. Отдел Геологический 78(3), 25-38.
- Вержбицкий В.Е., Соколов С.Д., Тучкова М.И. (2015) Современная структура и этапы тектонической эволюции острова Врангеля (Российская Восточная Арктика) Геотектоника (3), 3-35.
- Верниковский В.А., Добрецов Н.И., Метелкин Д.В., Матушкин Н.Ю., Кулаков И.Ю. (2013) Проблемы тектоники и тектонической эволюции Арктики. Геология и геофизика 54(8), 1083-1107.
- Ганелин В.Г. (1989) Верхнепалеозойские отложения острова Врангеля. ВСЕГЕИ: Ленинград, 87 с.
- Громов Л.В., Кирюшина М.Т. (1947) Остров Врангеля Геология СССР. Т.XXVI, 388-406.
- Иванов О.Н. (1969) К вопросу о возрасте метаморфических пород острова Врангеля. Ученые записки, региональная геология (15), 133.
- Каменева Г.И. (1975) Структура центральной части о. Врангеля. Геология и полезные ископаемые Новосибирских островов и острова Врангеля. Ленинград, НИИГА, 49-58.
- Каменева Г.И., Ильченко Л.Н. (1978) Новые данные о возрасте метаморфического комплекса острова Врангеля. ДАН СССР 227(2), 431-435.
- Катков С.М. (2010) Структурная эволюция западного сегмента Анюйско-Чукотской складчатой системы. Автореферат канд. диссертации, М.: МГУ, 25 с.
- Косько М.К., Авдюничев В.В., Ганелин В.Г., Опекунов А.Ю., Опекунова М.Г., Сесил М.П., Смирнов А.Н., Ушаков В.И., Хандожко Н.В., Харрисон Дж.К., Шульга Ю.Д. (2003) Остров Врангеля: геологическое строение, минерагения, геоэкология. СПб.: ВНИИОкеангеология, 200,137 с.
- Кориковский С.П. (1974) Границы фаций регионального метаморфизма в бедных кальцием породах. Актуальные вопросы современной петрографии. М.: Наука. С. 221-239.
- Кузнецов Н.Б. (2009) Комплексы протоуралид-тиманид и позднедокембрийско-раннепалеозойская эволюция восточного и северо-восточного обрамления Восточно-Европейской платформы. Автореферат дис. доктора геол.-мин. наук. М: ИФЗ РАН, 29 с.
- М.В. Лучицкая, С.Д. Соколов, Г.Е. Бондаренко, С.М. Катков. (2010) Состав и геодинамическая обстановка гранитоидного магматизма Алярмаутского поднятия (Западная Чукотка). Геохимия (9), 946-972.
- M.V. Luchitskaya, S.D. Sokolov, G.E. Bondarenko, and S.M. Katkov (2010) Composition and Geodynamic Setting of Granitoid Magmatism in the Alyarmaut Uplift, Western Chukchi Peninsula. Geochem. Int. 48 (9), 891-916.
- Лучицкая М.В., Сергеев С.А., Соколов С.Д., Тучкова М.И. (2016) Неопротерозойские гранитоиды острова Врангеля. ДАН 469 (2), 195-198.
- Лучицкая М.В., Моисеев А.В., Соколов С.Д., Тучкова М.И., Сергеев С.А., П. Б. О’Салливан П.Б., Вержбицкий В.Е., Малышев Н.А. (2017) Окраинно-континентальные и внутриплитные позднепротерозойские граниты и риолиты острова Врангеля (Арктика). Геотектоника (1), 19-43.
- Моисеев А.В., Соколов С.Д. (2009) Геохимическая характеристика палеозойских основных вулканитов о. Врангель. Геология полярных областей земли. Материалы XLII Тектонического совещания. 2. М.: ГЕОС, 62-69.
- Моисеев А.В., Соколов С.Д.,Тучкова М.И, Вержбицкий В.Е., Малышев Н.А. (2018) Этапы структурной эволюции осадочного чехла о.Врангеля, Восточная Арктика. Геотектоника (5), 1-17.
- Плюснина Л.П. (1983) Экспериментальное исследование метаморфизма базитов. М.: Наука, 157 с.
- Пучков В.Н. (2010) Геология Урала и Приуралья (актуальные вопросы стратиграфии, тектоники, геодинамики и металлогении. Уфа: ДизайнПолиграфСервис, 280 с.
- Силантьев С.А. (1998) Условия образования плутонического комплекса САХ, 13°-17° с.ш. Петрология 6 (4), 381-421.
- Силантьев С.А. (1993) Метаморфические комплексы восточного Средиземноморья: условия метаморфизма, природа протолитов, геодинамические режимы формирования. Петрология 1 (4), 449-472.
- Соколов С.Д., Тучкова М.И, А.В. Ганелин, Г.Е. Бондаренко, Лейер П. (2015) Тектоника Южно-Анюйской сутуры (Северо-Восток Азии). Геотектоника (1), 5-30.
- Соколов С.Д., Тучкова М.И., Моисеев А.В., Вержбицкий В.Е., Малышев Н.А., Гущина М.Ю. (2017) Тектоническая зональность острова Врангеля (Арктика). Геотектоника (1), 3‒18.
- Тектоника континентальных окраин Северо-Запада Тихого океана (1980) (ред.: М.С. Марков, Ю.М. Пущаровский, С.М. Тильман, В.С. Федоровский, Н.А. Шило). М.: Наука, 285 с.
- Тильман С.М., Богданов Н.А., Бялобжеский С.Г., Чехов А.Д. (1970) Геологическое строение остров Врангеля. Геология СССР. Острова Советской Арктики. М.: Недра. ХХVI, 375-404.
- Хаин В.Е., Филатова Н.И., Полякова И.Д. (2009) Тектоника, геодинамика и перспективы нефтегазоносности Восточно-Арктических морей и их континентального обрамления. Труды ГИН РАН. М.: Наука 601, 227 с.
- Amato J.M., Aleinikoff J.N., Akinin V.V., McClelland W.C., Toro J. (2014) Age, chemistry, and correlations of Neoproterozoic-Devonian igneous rocks of the Arctic Alaska-Chukotka terrane: an overview with new U-Pb ages. Till A.B. & Dumoulin J.A. (eds) Reconstruction of an Early Paleozoic Continental Margin and its Contained Base Metal Sulfide Deposits: Late Proterozoic to Mississippian Rocks of Seward Peninsula. Geol. Soc. Amer. Special Papers 506, 29-57.
- Amato J.M., Toro J., Miller E.L., Gehrels G.E., Farmer G.L., Gottlieb E.S., Till A.B. (2009) Late Proterozoic -Paleozoic evolution of the Arctic Alaska-Chukotka terrane based on U-Pb igneous and detrital zircon ages: implications for Neoproterozoic paleogeographic reconstructions. Geol. Soc. Amer. Bull. 121, 1219-1235.
- Apted M.J., Liou J.G. (1983) Pgase relations among greenschist, epidote-amphibolite, and amphibolites in a basaltic system. Am. J. Sci. 283-A, 328 - 354.
- Blundy JD, Holland TJB (1990) Calcic amphibole equilibria and a new amphibole-plagioclase geothermometer. Contrib Mineral Petrol 104:208-224.
- Bering Strait Geologic Field Party. 1997 Koolen metamorphic complex, NE Russia: Implications for the tectonic evolution of the Bering Strait region: Tectonics. 16, 713-729.
- Bradley D., Haeussler P., O’Sullivan P., Friedman R.,Till A., Bradley D., Trop J. (2000) Detrital zircon geochronology of Cretaceous and Paleogene strata across the south-central Alaskan convergent margin. In Studies by the U.S. GeologicalSurvey in Alaska (eds. Haeussler P.J., Galloway J.P.). U.S. Geological Survey Professional Paper 1760F. 2009. 36 p.
- Brumley K., Miller E.L., Konstantinou A., Grove M., Meisling K., Mayer L.A. (2015) First bedrock samples dredged from submarine outcrops in the Chukchi Borderland, Arctic Ocean Geosphere 11 (1).
- Cann J.R. (1969) Spilites from the Carlsberg Ridge, Indian Ocean J. Petrology 10, 1-19.
- Cecile M.P., Harrison J.C., Kos’ko M.K., Parrish R. R. 1991 Precambrian U-Pb ages of igneous rocks, Wrangel Complex, Wrangel Island, USSR Can. J. Earth Sci. 28 (9), 1340-1348.
- Churkin M., Trexler I. (1980) Circum-Arctic plate accretion - isolating part of a Pacific plate to form the nucleus of the Arctic basin. Earth Planet. Sci. Lett. 48, 356-362.
- Ershova V.B., Prokopiev A.V., Khudoley A.K., Sobolev N.N., Petrov E.O.( 2015) U/Pb dating of detrital zircons from Upper Paleozoic deposits of Bel’kovsky Island (New Siberian Islands): critical testing of Arctic tectonic models. Int. Geol. Rev. 57 (2), 199-210.
- Gehrels G. Analysis tools. http://www.geo.arizona.edu/alc/Analysis%20Tools.htm. (дата обращения 7.09.2016).
- Gottlieb E. (2017) Neoproterozoic basement history of Wrangel Island and Arctic Chukotka: integrated insights from zircon U-Pb, O and Hf isotopic studies. In Circum-Arctic Lithosphere Evolution. (eds Pease V., Coakley B.) Geological Society, London, Special Publications 460, 32-53.
- Grantz A., Hart P.E., Childers V.A. (2011) Geology and tectonic development of the Amerasia and Canada basins, Arctic Ocean. A.M. Spencer, A.F. Embry, D.L Gautier, A.V. Stoupakova, K. Sorensen (eds.). Arctic Petroleum Geology. Geol. Soc. L. Mem. l (35), 771-800.
- Hammarstrom J. M., Zen E-An. Aluminium in hornblende: an empirical igneous geobarometer. Amer. Miner., 1986. 71 (11/12), 1297-1313.
- Hans-Joac Him Massonne H.-J. (2010) Phase relations and dehydration behaviour of calcareous sediments at very-low to low grade metamorphic conditions. Period. Mineral. 79 (2), 21-43.
- Hults C.P., Wilson H., Donelick R.A., O’Sullivan P.B. 2013 Two flysch belts having distinctly different provenance suggest no stratigraphic link between the Wrangellia composite terrane and the paleo-Alaskan margin. Lithosphere 5 (6), 575-594.
- Kalsbeek F., Higgins A.K., Jepsen H.F., Frei R., Nutman A.P. (2008) Granites and granites in the East Greenland Caledonides. in Higgins A.K., Gilotti J.A., Smith, M.P., eds., The Greenland Caledonides: Evolution of the Northeast margin of Laurentia. Geological Society of America Memoir 202, 227-249.
- Kos’ko M.K., Cecile M.P., Harrison J.C., Ganelin V.G., Khandoshko N.G., Lopatin V.G. (1993) Geology of Wrangel Island, between Chukchi and East Siberian seas, Northeastern Russia. Geol. Surv. Can. Bull. 461, 102 р.
- Lawver L.A., Gahagan L.M., Norton I. (2011) Palaeogeographic and tectonic evolution of the Arctic region during the Paleozoic. In: Spencer A.M., Embry A.F., Gautier D.L., Stoupakova A.V., Sørenson K. (Eds.), Arctic Petroleum Geology. Geol. Soc. L. Mem. 35, 61-77.
- Little T.A., Miller E.L., Lee J., Law R.D. (1994) Extensional origin of ductile fabrics in the Schist Belt, central Brooks Range, Alaska; I, Geologic and structural studies. J. Struct. Geol. 16, 899-918.
- Ludwig K.R. (2001) SQUID 1.02, A user manual, a geochronological toolkit for Microsoft Excel. Berkeley, USA: Berkeley Geochronology Center Special Publication.
- Ludwig K.R. (2003) User’s manual for Isoplot/Ex, Version 3.00, a geochronological toolkit for Microsoft Excel. Berkeley, USA: Berkeley Geochronology Center Special Publication.
- Miller E.L., Gehrels G.E., Pease V., Sokolov S. (2010) Stratigraphy and U-Pb detrital zircon geochronology of Wrangel Island, Russia: implications for Arctic paleogeography. AAPG Bull. 94 (5), 665-692.
- Miller E.L., Akinin V.V., Dumitru T., Gottlieb E., Grove M., Meisling K., Seward, G. (2017) Deformational history and thermochronology of Wrangel Island, East Siberian shelf, and coastal chukotka, Arctic Russia. In Circum Arctic Lithosphere Evolution (eds. Pease V., Coakley B) Geological Society, London, Special Publications, 460, 65-89, https://doi.org/10.1144/SP460.7
- Miyashiro A. (1973) Metamorphism and Metamorphic Belts. London George Allen & Unwin Ltd.. 520 p.
- Moore T.E., O’Sullivan P.B., Potter C.J., Donelick R.A. (2015) Provenance and detrital zircon geochonologic evolution of lower Brookian foreland basin deposits of the western Brooks Range, Alaska, and implications for early Brookian tectonism. Geosphere 11 (1), 93-122.
- Natal’in B., Amato J.M., Toro J., Wright J.E. (1999) Paleozoic rocks of northern Chukotka Peninsula, Russian Far East: implications for the tectonic of Arctic region. Tectonics 18 (6), 977-1003.
- Patel S.C. (2007) Vesuvianite-wollastonite-grossular-bearing calc-silicate rock near Tatapani, Surguja district, Chhattisgarh. J. Earth Syst. Sci. 116 (2), 143-147.
- Pease V., Miller E.L., Sokolov S. (2007) New age relationships from Chukotka, Russia, and implications for opening of the Amerasian basin. Geological Society of Norway, Arctic Conference, Tromsu, Norway, Abstracts and Proceedings: Geological Society of Norway, 113.
- Pease V. (2011) Eurasian orogens and Arctic tectonics: an overview. In: Spencer, Embry A.M., Gautier A.F, Stoupakova A.V., Sørensen K. (Eds.), Arctic Petroleum Geology. Geol. Soc.Memoirs 35, 311-324.
- Pease V., Drachev S., Stephenson R., Zhang X. (2014) Arctic lithosphere: a review. Tectonophysics 628, 1-25.
- Plank T., Langmuir C.H. (1998) The chemical composition of subducting sediment and its consequences for the crust and mantle. Chem. Geol. 145, 325-394.
- RIDGE Petrological Data Base. (1999) LGEO.
- Shephard G.E., Mueller R.D, Seton M. (2013) The tectonic evolution of the Arctic since Pangea breakup; integrating constraints from surface geology and geophysics with mantle structure. Earth-Science Reviews 124, 148-183.
- Schmidt M.W. (1991) Experimental calibration of the Al-in-hornblende geobarometer at 650 C, 3.5-13.0 kbar. Terra abstracts. 3(1) р.30.
- Schreyer W. (1985) Metamorphism of Crustal rocks at Mantle Depths: High Pressure Mineralsand Mineral assemblages in Metapelites. Fortschr.Mineral. 63 (2), 227-261.
- Spear F.S. (1981) An Experimental Study of Hornblende Stability and Compositional Variability in Amphibolite. Am. J. Sci. 281, 697-734.
- Sun S.-S. (1980) Lead isotopic study of young volcanic rocks from mid-ocean ridges, ocean islands and island arcs. Phylosophical Transactions of the Royal Society of London 297, 409-445.
- Sun S.-S., McDonough W.F. (1989) Chemical and isotopic systematics of oceanic basalts: implications for mantle composition and processes. (Eds.) Saunders A.D., Norry M.J. Magmatism in Ocean Basins. Geol. Soc. Spec. Publ. London 42, 313-345.
- Till A.B. (2016) A synthesis of Jurassic and Early Cretaceous crustal evolution along the southern margin of the Arctic Alaska-Chukotka microplate and implications for defining tectonic boundaries active during opening of Arctic Ocean basins. Lithosphere, Geol. Soc. Am. 8(3), 219-237. doi: 10.1130/L471.1.
- Toro J., Miller E.L., Prokopiev A.V., Zhang Z., Veselovskiy R. (2016). Mesozoic orogens of the Arctic from Novaya Zemlya to Alaska. J. Geol. Soc. 173, 989-1006, https://doi.org/10.1144/jgs2016-083.
- Tuchkova M.I., Sokolov S.D., Khudoley A.K., Verzhbitsky V.E., Hayasaka Y., Moiseev A.V. (2014) Permian and Triassic deposits of Siberian and Chukotka passive margins: sedimentation setting and provenance. ICAM VI Proceedings, 61-96.
- Verzhbitsky V.E., Sokolov S.D., Frantzen E.M., Little A., Tuchkova M.I., Lobkovsky L.I. (2012) The South Chukchi Sedimentary Basin (Chukchi Sea, Russian Arctic): Age, structural pattern, and hydrocarbon potential. In Tectonics and sedimentation: Implications for petroleum systems (ed. Gao D). AAPG Memoir. (100), 267-290. doi: 10.1306/13351557m1003534.
- Whilliams I.S. (1998) U-Th-Pb geochronology by ion microprobe. Reviews in Economic Geology 7, 1-35.
Supplementary files



















