Anorthosites of the low-sulfide platiniferous horizon (Reef I) in the upper riphean Yoko-Dovyren massif (Northern Cisbaikalia): new data on the composition, PGE-Cu-Ni mineralization, fluid regime and formation conditions
- Authors: Orsoev D.A.1
-
Affiliations:
- Geological Institute, SB RAS
- Issue: Vol 61, No 4 (2019)
- Pages: 15-43
- Section: Articles
- URL: https://journals.eco-vector.com/0016-7770/article/view/15630
- DOI: https://doi.org/10.31857/S0016-777061415-43
- ID: 15630
Cite item
Full Text
Abstract
The carried out studies based on new data allowed to give mineralogical, petro- and geochemical characteristics to anorthosites, which are the main link and the major concentrator of PGE and Au in the composition of low-sulfide platinum metal mineralization, localized in a specific taxitic horizon (Reef I) of the Yoko-Dovyren massif. The revealed features of the composition and structure of this horizon indicate that the formation of anorthosites is caused by both the actual magmatic and the late- and postmagmatic processes with a high activity of volatile components. The horizon occurrence can be explained in terms of the “compaction” hypothesis and thermal shrinkage phenomenon. At the boundary of the rocks contrasting in composition and characteristics, when they are cooled, weakened zones form up to cracks and cavities, into which the interstitial leucocratic melt and volatiles squeezed out of the underlying horizons of the massif sucked as a result of the decompression effect. The revealed patterns of changes in the compositions of Pl (82-88% An), Ol (78-81% Fo), Cpx (40-44% En, 9-18% Fs, 41-47% Wo) and Opx (74-78% En, 16-24% Fs, 2-5% Wo) indicate fractional crystallization of the detrital melt. The processes of fluid-magmatic interaction led to a considerable heterogeneity of anorthosites and other rocks, the formation of disequilibrium mineral associations and concentration of ore-generating components. Sulfide associations are considered as products of the subsolidus transformation of solid solutions (mss and iss + poss) formed during the crystallization of an immiscible sulfide liquid enriched in Cu. It is demonstrated that noble metals were associated not only with a limited amount of sulfide liquid. The major part of noble metals with “crust” components (Sn, Pb, Hg, Bi, As, Sb, Te, S, etc.) entered the anorthosite cavities along with volatile components and chlorine, thus causing an abundance of native minerals among platinoids. The decisive role of reduced gases (H2, CH4, CO), H2O and Cl in the genesis of precious metal minerals is estimated.
Full Text
ВВЕДЕНИЕ
Малосульфидный тип платинометального оруденения в Йоко-Довыренском расслоенном интрузиве был открыт в начале 90-х годов прошлого столетия геологами-производственниками Северо-Байкальской зкспедиции БГУ (г. Улан-Удэ) А.Г. Степиным и А.И. Власенко во время доразведки Байкальского Cu-Ni месторождения, а первые предварительные результаты были опубликованы в (Дистлер, Степин, 1993). Позднее, благодаря нашим исследованиям (Орсоев и др., 1994, 1995), было показано, что это оруденение приурочено к специфическому маломощному горизонту – Риф I, находящемуся в пределах “критической” зоны и протягивающемуся на многие километры согласно расслоенности массива. Термин “риф” мы используем традиционно для обозначения, по определению А.Дж. Налдретта (2003), “оруденелого слоя пород, имеющего характерные структурные и минералогические особенности”, выделяя тем самым специфический тип ЭПГ-содержащего горизонта в разрезе Йоко-Довыренского интрузива.
По основным характеристикам он близок к хорошо изученным рифам в ультрабазит-базитовых массивах Бушвельд, Стиллуотер, Федорово-Панский и др. Прежде всего их объединяет приуроченность к так называемым “критическим зонам” – областям смены кумулятивных минеральных парагенезисов или границам мегациклов. Зоны характеризуются сложным переслаиванием пород, нарушающим регулярную расслоенность массивов. Породные ассоциации отличаются наибольшей текстурно-структурной и минерально-петрографической неоднородностью, широкой вариацией составов породообразующих силикатов, отвечающей по масштабу изменению химизма минералов в целом всего массива.
Вместе с тем, каждый риф имеет свои индивидуальные особенности. Поэтому проблема происхождения горизонтов малосульфидной обогащенной благородными металлами минерализации активно обсуждается в литературе. Предложенные конкурирующие рудогенетические гипотезы можно объединить в две основные группы: ортомагматическую и флюидно-метасоматическую. Согласно первой, образование рифов обусловлено поступлением в камеру свежей порции магматического расплава, обогащенной сульфидными каплями, которые концентрируют ЭПГ при достижении сульфидного насыщения, и дальнейшей ее эволюцией в процессе смешения с основным объемом раннего расплава (Campbell et al., 1983; Barnes, Naldrett, 1986; Naldrett, 2011). Одна из проблем этой группы гипотез (Казанов, 1999) состоит в необходимости объяснения экстремально высоких коэффициентов распределения ЭПГ между силикатным и сульфидным расплавами (KD), с ней связана и другая трудность – очень высокие значения “R-фактора” (отношение масс разделяющихся силикатного и сульфидного расплавов). Также слабостью данных моделей является необходимость внедрений дополнительных порций, не имеющая явного геологического обоснования.
Отмеченные выше трудности и слабости, на наш взгляд, во многом объясняются с позиций флюидно-метасоматических моделей. Они опираются на факты постоянного присутствия в рифах признаков и следов деятельности флюидных компонентов на пост- и послемагматических стадиях развития рудно-магматической системы. В пользу этой гипотезы свидетельствуют широкое развитие крупнозернистых и пегматоидных образований, ассоциация сульфидов и платиновой минерализации с галоген- и гидроксилсодержащими минералами, имеющими более высокие значения Cl/F-отношения, чем во вмещающих риф породах, обилие в интеркумулусных минералах флюидных включений, в том числе обогащенных хлоридными соединениями, присутствие графита и другие свидетельства (Ballhaus, Stumplf, 1986, Barnes, Campbell, 1988; Boudreau et al., 1986; Boudreau, McCallum, 1992; Boudreau, 2009; Hanley et al., 2008 и др.). Выявленные факторы, не отрицая первично-магматических, привели исследователей к выводу о решающем влиянии поздне- и постмагматических процессов на формирование малосульфидного типа благороднометалльной минерализации. При этом в качестве источника ЭПГ и флюидов рассматриваются нижележащие относительно платиноносного горизонта слои кристаллизующихся кумулатов (поступление рудообразующих компонентов снизу). С позиций данной модели, в сочетании с экспериментальными данными, находят объяснение многие явления формирования рифов, поэтому, естественно, число ее сторонников неуклонно растет, особенно среди отечественных исследователей (Гроховская и др., 1992; Симонов, Изох, 1994; Служеникин и др., 1994; Орсоев и др., 1997; Рябов, 1999; Додин и др., 2000; Gongalsky, Krivolutskaya, 2019; и др.).
Ранее нами было показано, что в пределах малосульфидного горизонта Йоко-Довыренского массива основными концентраторами элементов платиновой группы (ЭПГ) и золота являются анортозитовые обособления и такситовые оливиновые лейкогаббро с небольшим содержанием сульфидов. Выявлены 20 минералов благородных металлов и показана роль процессов дифференциации и флюидного режима в переносе и концентрировании ЭПГ. Все эти данные были обобщены в монографии (Благороднометалльная …, 2008). Однако за 10 лет, прошедших со времени выхода этого издания, нами накоплен новый фактический материал по химическому и минеральному составу анортозитов Рифа I, содержанию в них газовой фазы, видовому составу платиновых минералов и Cu-Ni сульфидов. Все эти данные мы попытались осветить в настоящем сообщении, они позволили с позиций флюидно-метасоматической концепции c привлечением явления “компакции”, разработанной У.П. Мюрером и А.Е. Бодрю (Meurer, Boudreau, 1996), скорректировать модель формирования самих платиноносных анортозитов и прийти к выводу о значительной роли летучих компонентов в переносе и накоплении благородных металлов в рудном горизонте Рифа I Йоко-Довыренского массива.
Нам представляется, что выяснение факторов происхождения платиноносных горизонтов в базит-гипербазитовых расслоенных комплексах имеет не только важное петрологическое, но и практическое значение в связи с разработкой поисковых критериев на этот тип оруденения и промышленным его освоением.
ОБЪЕКТЫ И МЕТОДЫ ИССЛЕДОВАНИЯ
Проведенные исследования базируются на построении около двух десятков поперечных разрезов “критической” зоны вдоль Йоко-Довыренского массива. Обобщенный вертикальный разрез плутона составлен при совмещении трех детальных разрезов на участке Центральный, пройденных с помощью мерной ленты с отбором более 150 геохимических проб. Разрез через Риф I построен нами по канаве 1204, пройденной в 2002 году ОАО “Сосновгео” при выполнении прогнозно-поисковых работ на благородные металлы в пределах участка Центральный. Места отбора проб анортозитов отмечены на геологической схеме массива (фиг. 1а).
Большая часть аналитических данных получена с использованием оборудования Центра коллективного пользования “Аналитический центр минералого-геохимических и изотопных исследований” ГИН СО РАН (Улан-Удэ). Химический состав минералов определялся на модернизированном микроанализаторе МАР-3 и на электронном сканирующем микроскопе LEO 1430 VP, оснащенном энергодисперсионным спектрометром INCA Energy350. Определение содержаний петрогенных компонентов в породах выполнено стандартным силикатным анализом и сопровождалось определением рудных элементов, которое проводилось атомно-эмиссионно-спектральным (Pt, Pd, Au), атомно-абсорбционным (Cr, Co), рентгенофлуоресцентным (Ni, Cu) и гравиметрическим (S) методами.
Концентрации Rh определены сорбционно-атомно-абсорбционным методом, Os, Ru, Ir – кинетическим методом сотрудниками химико-спектральной лаборатории ЦНИГРИ (Москва). Анализ состава газов из монофракций плагиоклаза производился методом газовой хроматографии на установке ЛХМ-8МД с детектором по теплопроводности при газе-носителе гелии в ИГМ СО РАН (Новосибирск, аналитик С.А. Юрковский). Аппаратура данного метода описана в (Балыкин и др., 1983). Навеску исследуемого плагиоклаза (0.400 г) помещали в кварцевую ампулу и продували ее гелием при температуре 200–250 °C для устранения сорбированных на поверхности газов. Затем ампулу с образцом отсекали от газовой системы и прогревали 5 мин. при температуре 1000°С. После этого ампулу остужали до комнатной температуры и производили анализ выделившихся газов.
РЕЗУЛЬТАТЫ ИССЛЕДОВАНИЙ
Краткая характеристика Йоко-Довыренского массива и малосульфидного платиноносного горизонта – Риф I
После открытия и разведки в 1960–1963 гг. промышленно значимых медно-никелевых руд в приподошвенных габбро-перидотитах (Байкальское месторождение) появилось огромное количество публикаций, затрагивающих многие вопросы геологического строения, петрогенезиса и рудоносности Йоко-Довыренского массива. Поэтому, опираясь на эти публикации, ограничимся лишь краткими сведениями по его строению и петрологическим особенностям.
Йоко-Довыренский интрузив является классическим примером контрастно расслоенного ультрабазит-базитового плутона с сопутствующей сульфидной ЭПГ-Cu-Ni минерализацией (Протерозойские …, 1986; Шарков, 2006). В плане он представляет собой линзовидное тело, залегающее субсогласно с терригенно-карбонатными вмещающими породами ондокской свиты верхнего рифея (фиг. 1а). На северо-восточном фланге массив перекрывается раннекембрийскими отложениями холоднинской свиты. Современное положение массива почти вертикальное вследствие складчатых деформаций, связанных с позднерифейскими (550–600 млн лет) коллизионными событиями в регионе (Неймарк и др., 1991). Они разбили интрузив на серию кососекущих мощных зон разломов, вдоль которых породы интенсивно серпентинизированы, хлоритизированы, нередко превращены в родингиты. Массив окружен широким ореолом контактово-метаморфизованных пород.
В его строении участвуют как ультраосновные породы (плагиодуниты, дуниты, верлиты), так и породы основного ряда (троктолиты, оливиновые габбро, габбронориты и нориты). Эти разновидности пород последовательно сменяют друг друга в разрезе массива снизу вверх, образуя пять основных петрографических зон с преобладающим кумулятивным парагенезисом, различия которых подчёркиваются, в первую очередь, распределением содержания петрогенных компонентов и, в частности, MgO, (фиг. 1б), а также количественным соотношением породообразующих минералов (Ariskinet al., 2018, fig. 5).
Смена кумулятивных парагенезисов и закономерная эволюция химического состава минералов и пород удовлетворительно объясняется с позиций гипотезы фракционной кристаллизации единого исходного высокоглиноземистого пикробазальтового расплава. Одной из особенностей строения массива является присутствие в дунитовой зоне многочисленных ксенолитов терригенных и карбонатных пород. В результате взаимодействия магматического расплава с ксенолитами образовалась мощная зона контаминированных ультраосновных пород (Wenzel et al., 2002). Продуктом такого воздействия, вероятно, является горизонт верлитов с жилами и гнездами диопсидитов, шлировидными сегрегациями и сгущениями хромититов в верхней части дунитовой зоны (Благороднометалльная …, 2008).
Фиг. 1. А – схема геологического строения Йоко-Довыренского дунит-троктолит-габбрового массива и положение “критической” зоны с малосульфидным платинононосным горизонтом Риф I. 1 – холоднинская свита; 2 – терригенно-карбонатные отложения ондокской свиты; 3 – метаморфизованные базальты, их туфы с прослоями вулканитов риолитового состава иняптукской свиты; 4–8 – довыренский интрузивный комплекс: 4 – габбро-перидотитовые силлы, 5 – силлы и дайки кварцсодержащих и гранофировых габброноритов, 6 – оливиновые габбро и габбронориты, 7 – чередование плагиодунитов и троктолитов, 8 – дуниты; 9 – зоны серпентинизации; 10 – платиноносный горизонт (Риф I); 11 – разрывные тектонические нарушения; 12 – геологические границы между породами; 13 – участки опробования анортозитовых тел Рифа I. б – обобщенный вертикальный разрез в центральной части массива (уч. Центральный) с главными кумулятивными парагенезисами, распределением содержаний MgO, S, Ni, Cu, положением Рифа I и Рифа II и детальным разрезом “критической” зоны с Рифом I. 1 – тонкое переслаивание плагиоклазсодержащих дунитов и меланотроктолитов; 2 – чередование клинопироксенсодержащих троктолитов и меланократовых оливиновых габбро; 3 – мезотроктолиты с прослоями плагиоклазсодержащих дунитов; 4 – троктолиты с прослоями клинопироксенсодержащих мезотроктолитов; 5 – частая перемежаемость клинопироксенсодержащих троктолитов и мезо- меланократовых оливиновых габбро; 6 – мезократовые оливиновые габбро; 7 – малосульфидный платиноносный горизонт – Риф 1; 8 – горизонт такситовых пород без сульфидов; 9 – тела анортозитов без сульфидов. На врезке – положение Йоко-Довыренского массива в структуре складчатого обрамления (белый фон) Восточно-Сибирской платформы.
Сульфидная минерализация в виде мелкой и редкой вкрапленности развита практически по всему разрезу массива, что наглядно демонстрируют кривые распределения S, Ni и Cu (см. фиг. 1б). При этом содержание Cu от ультраосновной части к габброидной постепенно увеличивается, а Ni, напротив, – уменьшается, что свидетельствует, скорее всего, о заметной роли силикатного Ni в оливиновых породах нижней части разреза. Все это говорит о том, что исходная довыренская магма была недосыщена сульфидной серой. Этот вывод был подтвержден численным моделированием, которое показало начало выделения ограниченного объема несмешивающейся сульфидной жидкости в дунитах при температуре ниже 1240 °С (Ariskinet al., 2013).
U-Pb возраст пород верхней габброидной зоны массива оценивается в 730±6 млн лет (Арискин и др., 2013). Ранее для этих же пород по бадделеиту был получен возраст 725±8.6 млн лет (Эрнст, Гамильтон, 2009).
Малосульфидный платиноносный горизонт – Риф I. Располагается в пределах “критической зоны”, представляющей собой область перехода расслоенной плагиодунит-троктолитовой серии в зону оливиновых габбро. Весь комплекс слагающих ее пород представляет ассоциацию, нарушающую нормальную “стратиграфическую” регулярность массива (Благороднометалльная …, 2008). Строение зоны (см. фиг. 1б) характеризуется тонким и частым переслаиванием троктолитов, плагиоклазсодержащих дунитов и оливиновых габбро, развитием горизонтов такситового строения, включающих как относительно мелкозернистые, так и пегматоидные породы, а также гнезда анортозитов. Риф I является, по результатам опробования, наиболее богатым благородными металлами горизонтом не только “критической” зоны, но и всего интрузива. Его главными типоморфными признаками являются крайняя неоднородность строения, выраженная пятнисто-блоковым распределением разновидностей пород с резким проявлением различия структурно-текстурных особенностей и минерального состава. Он сложен анортозитами и такситовыми троктолитами и оливиновыми лейкогаббро с широким диапазоном составов породообразующих минералов и развитием низкотемпературных флюид- и гидроксилсодержащих фаз. Следует отметить, что такой же близкий по строению и составу платиноносный горизонт – Риф II – наблюдается несколько выше Рифа I в области перехода оливингаббровой в габброноритовую зону, но он содержит значительно меньше платиноидов (см. фиг. 1б).
Мощность горизонта Рифа I варьирует от 1 до 5–6 м. Он прослежен нами в коренных обнажениях примерно на 14 км вдоль расслоенности массива (см. фиг. 1а). От центральной части к флангам массива горизонт постепенно затухает. В этом же направлении уменьшается содержание благородных металлов. Следует отметить, что породы с ЭПГ-Cu-Ni минерализацией образуют не сплошной слой, а линзовидные прерывистые сгущения тел анортозитов вперемешку с такситовыми породами, которые крайне невыдержаны как по простиранию, так и по падению. Мощность обособлений анортозитов, представленных гнездо- и жилообразными телами, варьирует в пределах 0.2–2.0 м. По данным ревизионных работ (Ю.Ч. Очиров, 2003ф), прогнозная оценка ресурсов ЭПГ по категории Р2 при среднем содержании по бороздовым пробам (Pt + Pd) = 1.7 г/т оценивается в 38.4 т.
Фиг. 2. Геологический разрез по канаве 1204 c распределением MgO и Al2O3. Расположение канавы см. фиг. 1а. 1 – мезотроктолиты; 2 – клинопироксенсодержащие мезотроктолиты; 3 – частая перемежаемость (слоистость) клинопироксенсодержащих троктолитов и мезо- меланократовых оливиновых габбро; 4 – мезо-меланократовые оливиновые габбро; 5 – лейкократовые оливиновые габбро; 6 – зона развития платиноносных анортозитов и такситовых пород – Риф I. Цифры – номера геохимических проб.
Детально взаимоотношения Рифа I с вмещающими породами нам удалось проследить в разрезе канавы 1204. Здесь такситовый горизонт располагается на участке перехода клинопироксенсодержащих троктолитов в зону частой перемежаемости этих троктолитов с мезо- меланократовыми оливиновыми габбро, которые к концу разреза переходят в лейкократовые оливиновые габбро (фиг. 2). Характер взаимоотношений пород подчеркивается распределением MgO, Al2O3 и других петрогенных компонентов. В канаве Риф I имеет мощность около 5 м и сложен гнездообразными телами анортозитов в матрице неоднородных (такситовых) лейкократовых оливиновых габбро и троктолитов. Анортозитовые тела имеют мощность до 1 м, и на их долю приходится около 70% от общего объема такситовых пород.
Петрографо-минералогическая характеристика анортозитов
Тела анортозитов обладают широкой изменчивостью всех основных структурных параметров. Характерны неравномернозернистое строение, неоднородная (такситовая) текстура, выраженная участками сгущения (обычно в виде полос) темноцветных минералов. Свойственны панидиоморфнозернистая структура с проявлениями порфировидной, офитовой и пойкилоофитовой микроструктур. Главный минерал кумулуса – плагиоклаз – слагает до 94% объема анортозитов. Второстепенные минералы – оливин, клинопироксен, ортопироксен, хромшпинелид, содержание которых увеличивается в такситовых оливиновых габбро и троктолитах. Вторичные минералы представлены кальциевыми амфиболами, биотитом, хлоритом, минералами группы эпидота. Обнаружены зерна ортоклаза, хлорапатита, циркона, бадделеита, ловерингита, уран- и торийсодержащих фаз, галенита, сфалерита, магнетита с решеткой ламеллей ильменита.
Плагиоклаз (Pl) образует две морфологические разновидности: первая (преобладающая) представлена мелкими короткопризматическими или округлыми (до 0.5 мм) зернами, вторая – крупными (до 3 мм) таблитчатыми кристаллами, которые, скорее всего, являются результатом субсолидусной перекристаллизации первой разновидности. Все зерна незональные, имеют простые, реже полисинтетические двойники. В габбро-пегматитах размер кристаллов плагиоклаза достигает 1–1.5 см. Состав минерала отвечает битовниту (82.3–87.5% An) при незначительной доле ортоклазового минала (0.4–0.7%) и содержании FeO 0.42–0.61 мас.% (табл. 1). При этом отмечается тенденция прямой зависимости между величиной % An в плагиоклазах и содержанием MgO в породах. На участках метасоматического изменения около сульфидов (развитие пренита, цоизита, эпидота) наблюдается более кислый плагиоклаз состава (An74-79Ab21-26) с повышенным содержанием FeO 1.34–1.85 мас.% (см. табл. 1, ан. 11, 12).
Оливин (Ol) представлен субидиоморфными зернами разного размера, наиболее крупные достигают 1–2, а в габбро-пегматитах – до 6 мм в поперечнике. Магнезиальность (содержание Fo-компонента) его варьирует в небольших пределах 78.3–81.2% и соответствует магнезиальности оливинов из вмещающих троктолитов и оливиновых габбро. Постоянно в составе фиксируются NiO 0.19–0.34 мас.% и MnO 0.23–0.27 мас.%. (табл. 2). По данным Э.М. Спиридонова с соавторами (20191), в крупных кристаллах магматического оливина отмечаются “метасомы” – срастания троилита и новообразованного оливина с пониженной магнезиальностью Fo45-42.
Таблица 1. Химический состав плагиоклазов из анортозитов Рифа I, мас.%
Компоненты | Д-52в-94 | Д-52г-94 | Д-52д-94 (8) | Д-19а-93 | Д-6-04 | Д-47/1-92 | Д-84-92 | Д-85-92 | Д-48/1-92 | Д-27-04 | ||
1 (3) | 2 (4) | 3 (8) | 4 (5) | 5 (2) | 6 (4) | 7 (5) | 8 (2) | 9 (1) | 10 (3) | 11 (1) | 12 (1) | |
SiO2 | 46.50 | 46.50 | 47.50 | 46.79 | 46.89 | 46.29 | 46.23 | 46.54 | 48.02 | 47.21 | 47.84 | 48.15 |
Al2O3 | 33.56 | 33.57 | 33.45 | 33.15 | 34.00 | 33.07 | 33.10 | 32.32 | 32.22 | 33.14 | 32.94 | 31.75 |
FeO* | 0.54 | 0.55 | 0.56 | 0.61 | 0.58 | 0.42 | 0.50 | 0.57 | 0.56 | 0.55 | 1.34 | 1.85 |
CaO | 17.10 | 17.45 | 16.48 | 17.35 | 16.80 | 17.22 | 17.23 | 17.09 | 17.82 | 17.05 | 16.29 | 14.12 |
Na2O | 1.66 | 1.66 | 1.90 | 1.74 | 1.60 | 1.77 | 1.96 | 1.86 | 1.35 | 1.74 | 2.36 | 2.80 |
K2O | 0.09 | 0.07 | 0.11 | 0.11 | 0.10 | 0.10 | 0.09 | 0.11 | 0.08 | 0.08 | - | - |
Сумма | 99.45 | 99.80 | 100.00 | 99.79 | 99.97 | 98.87 | 99.11 | 98.49 | 100.05 | 99.77 | 100.77 | 98.67 |
An, % | 84.6 | 84.9 | 82.3 | 83.8 | 84.8 | 83.8 | 82.5 | 83.0 | 87.5 | 83.9 | 79.3 | 73.6 |
Ab, % | 14.9 | 14.7 | 17.1 | 15.6 | 14.6 | 15.6 | 17.0 | 16.3 | 12.0 | 15.6 | 20.7 | 26.4 |
Or, % | 0.5 | 0.4 | 0.6 | 0.6 | 0.6 | 0.6 | 0.5 | 0.7 | 0.5 | 0.5 | ||
Коэффициенты кристаллохимических формул в пересчете на 8 (О) | ||||||||||||
Si | 2.153 | 2.148 | 2.182 | 2.163 | 2.156 | 2.158 | 2.152 | 2.179 | 2.209 | 2.177 | 2.189 | 2.241 |
Al | 1.830 | 1.826 | 1.809 | 1.804 | 1.841 | 1.815 | 1.815 | 1.782 | 1.745 | 1.800 | 1.777 | 1.743 |
Fe2+ | 0.021 | 0.021 | 0.022 | 0.024 | 0.022 | 0.016 | 0.019 | 0.022 | 0.022 | 0.021 | 0.051 | 0.072 |
Ca | 0.848 | 0.864 | 0.811 | 0.859 | 0.828 | 0.860 | 0.860 | 0.857 | 0.878 | 0.842 | 0.799 | 0.704 |
Na | 0.149 | 0.149 | 0.169 | 0.160 | 0.143 | 0.160 | 0.177 | 0.169 | 0.120 | 0.156 | 0.209 | 0.253 |
K | 0.005 | 0.004 | 0.006 | 0.006 | 0.006 | 0.006 | 0.005 | 0.007 | 0.005 | 0.005 | ||
Примечание. 1–10 – короткопризматический плагиоклаз, 11, 12 – плагиоклаз из ореола вокруг сульфидов. В скобках указано количество проанализированных зерен, использованных для расчета среднего состава. Здесь и в табл. 2, 3–5, 7 прочерк – компонент не обнаружен, * – суммарное железо,
Моноклинный пироксен (Cpx) образует чаще всего скелетные кристаллы и ойкокристы, реже мелкие интерстициальные выделения среди зерен кумулусного плагиоклаза. В габбро-пегматитах его кристаллы достигают размеров 120х40 мм. По составу отвечает авгиту с вариацией миналов в диапазоне (%): En 39.6–44.3, Fs 9.5–18.0, Wo 41.0–47.0 и железистости (f, %) – 18.0–31.4 (см. табл. 2). Нередко с авгитом ассоциирует магнетит с ламеллями ильменита.
Ромбический пироксен (Opx) встречается значительно реже, чем клинопироксен. Образует мелкие зерна вокруг оливина на границе с плагиоклазом, что свидетельствует об их перитектических (реакционных) взаимоотношениях. Размеры зерен ортопироксена в габбро-пегматитах значительно больше и достигают 50 мм. По классификации Н. Моримото все проанализированные зерна минерала соответствуют энстатиту. Состав его меняется в диапазоне (%): En 73.5–78.2, Fs 16.2–23.7, Wo 2.5–4.6, а железистость (f, %) – 17.0–24.3 (см. табл. 2).
Хромшпинелиды (Chr), как кумулусные минералы, встречаются постоянно, но в небольших количествах. Наблюдаются в двух структурных позициях: 1) в виде кубооктаэдрических кристаллов и округлых включений (0.01–0.2 мм) в плагиоклазе и оливине (фиг. 3а) и 2) более крупных зерен (до 2 мм) в интерстициях породообразующих минералов. Как те, так и другие незональны и имеют однородную структуру. В некоторых случаях зерна второй разновидности замещаются по периферии магнетитом (табл. 3, ан. 9).
На классификационной диаграмме Н.В. Павлова (фиг. 3б) составы проанализированных зерен хромшпинелидов (см. табл. 3) располагаются в полях ферриалюмохромита, субалюмоферрихромита и субалюмохроммагнетита, образуя единый с другими зонами массива тренд возрастания железистости в процессе замещения в октаэдрических позициях Al → Cr → Fe3+ (фиг. 3в). Выявленная закономерность эволюции состава хромшпинелидов Йоко-Довыренского массива в целом соответствует тренду для внутриплитных расслоенных интрузивов континентов. Кроме того, для хромшпинелидов расслоенных массивов, в отличие от других формационных типов, свойственны более высокие концентрации TiO2. Особняком, выпадая из общей картины эволюции состава, находятся хромшпинелиды из пород области контаминации дунитовой зоны. Они характеризуются максимальными значениями глиноземистости и располагаются в полях субферрихромпикотит-хромпикотит-пикотит (см. фиг. 3в).
Таблица 2. Химический состав оливинов и пироксенов из платиноносных анортозитов и такситовых оливиновых лейкогаббро Рифа I, мас.%
Компо- ненты | Д-52в-94 | Д-52г-94 | Д-52д-94 | Д-27-04 | Д-3-04 | Д-6-04 | Д-47/1-92 | Д-84-92 | ||||||
Ol (3) | Cpx(2) | Opx (3) | Ol (4) | Cpx(3) | Opx(2) | Cpx (8) | Cpx(2) | Cpx(3) | Opx(4) | Ol (7) | Opx(1) | Ol (2) | Opx(2) | |
SiO2 | 38.60 | 51.40 | 53.56 | 38.82 | 52.41 | 54.50 | 51.36 | 52.51 | 51.66 | 54.92 | 39.09 | 54.77 | 38.98 | 53.58 |
TiO2 | н/обн. | 0.63 | 0.35 | - | 0.43 | 0.28 | 0.80 | 0.43 | 1.00 | 0.26 | - | 0.16 | - | 0.35 |
Al2O3 | н/обн. | 2.00 | 1.04 | - | 1.10 | 1.27 | 2.02 | 1.12 | 4.40 | 1.28 | - | 1.34 | - | 1.33 |
Cr2O3 | н/обн. | 0.32 | 0.23 | - | 0.21 | 0.31 | 0.07 | - | - | 0.30 | - | 0.44 | - | 0.05 |
FeO* | 19.77 | 8.80 | 15.41 | 19.85 | 5.95 | 12.26 | 10.79 | 9.86 | 8.42 | 12.68 | 17.93 | 10.57 | 17.40 | 14.84 |
MnO | 0.26 | 0.24 | 0.29 | 0.27 | 0.15 | 0.27 | 0.27 | 0.24 | 0.14 | 0.28 | 0.23 | 0.23 | 0.26 | 0.32 |
MgO | 41.04 | 15.64 | 27.36 | 40.63 | 15.62 | 29.12 | 13.57 | 14.04 | 14.57 | 28.30 | 42.59 | 29.61 | 42.98 | 28.51 |
NiO | 0.34 | н/опр. | 0.13 | 0.22 | н/опр. | н/опр. | н/опр. | н/опр. | н/опр. | 0.11 | 0.27 | - | 0.26 | - |
CaO | 0.03 | 20.60 | 1.44 | 0.03 | 23.46 | 1.49 | 20.35 | 21.93 | 18.76 | 1.84 | 0.05 | 2.41 | н/опр. | 1.32 |
Na2O | - | 0.10 | - | - | 0.04 | - | 0.20 | - | 0.72 | - | - | - | - | - |
Сумма | 100.04 | 99.73 | 99.81 | 99.82 | 99.37 | 99.50 | 99.43 | 100.13 | 99.67 | 99.97 | 100.16 | 99.53 | 99.88 | 100.30 |
f, ат. % | 24.5 | 24.3 | 18.0 | 18.3 | 31.4 | 28.8 | 24.8 | 20.4 | 17.0 | 23.0 | ||||
Fo, % | 78.5 | 78.3 | 80.7 | 81.2 | ||||||||||
En, % | 44.0 | 73.5 | 43.5 | 78.2 | 39.5 | 39.6 | 44.3 | 76.7 | 79.2 | 75.1 | ||||
Fs, % | 14.3 | 23.7 | 9.5 | 18.9 | 18.0 | 16.0 | 14.6 | 19.7 | 16.2 | 22.4 | ||||
Wo, % | 41.7 | 2.8 | 47.0 | 2.9 | 42.5 | 44.4 | 41.1 | 3.6 | 4.6 | 2.5 | ||||
Коэффициенты кристаллохимических формул | ||||||||||||||
Si | 0.993 | 1.910 | 1.934 | 1.000 | 1.945 | 1.947 | 1.937 | 1.962 | 1.914 | 1.962 | 0.995 | 1.946 | 0.993 | 1.913 |
Ti | 0.018 | 0.010 | 0.012 | 0.008 | 0.023 | 0.012 | 0.028 | 0.007 | 0.004 | 0.009 | ||||
Al | 0.088 | 0.044 | 0.048 | 0.054 | 0.090 | 0.050 | 0.192 | 0.054 | 0.056 | 0.056 | ||||
Cr | 0.009 | 0.007 | 0.006 | 0.009 | 0.002 | 0.008 | 0.012 | 0.001 | ||||||
Fe2+ | 0.425 | 0.273 | 0.465 | 0.428 | 0.185 | 0.339 | 0.341 | 0.308 | 0.261 | 0.379 | 0.382 | 0.314 | 0.371 | 0.443 |
Mn | 0.006 | 0.008 | 0.009 | 0.006 | 0.005 | 0.008 | 0.009 | 0.008 | 0.004 | 0.008 | 0.005 | 0.007 | 0.006 | 0.010 |
Mg | 1.574 | 0.867 | 1.472 | 1.561 | 0.864 | 1.551 | 0.763 | 0.782 | 0.805 | 1.507 | 1.616 | 1.568 | 1.632 | 1.517 |
Ni | 0.007 | - | 0.004 | 0.005 | 0.003 | 0.006 | 0.005 | |||||||
Ca | 0.001 | 0.820 | 0.056 | 0.001 | 0.933 | 0.057 | 0.822 | 0.878 | 0.745 | 0.070 | 0.001 | 0.092 | 0.050 | |
Na | 0.007 | 0.003 | 0.015 | 0.052 | ||||||||||
Примечание. Fo – форстеритовый компонент в оливине. En – энстатитовый, Fs – ферросилитовый и Wo – волластонитовый миналы в пироксенах. f, aт. % (железистость) – 100 (Fe2+ +Mn)/(Mg+ Fe2+ +Mn); н/опр. – компонент не определялся. В скобках указано количество проанализированных зерен, использованных для расчета среднего состава. Расчет формульных коэффициентов для оливина проведен на 4 (O), пироксенов – на 6 (O).
Таблица 3. Химический состав хромшпинелидов из анортозитов Рифа I, мас.%
Компоненты | Д-52г-94 | Д-3в-93 | Д-47/1-92 | Дов-1 | Д-62в-93 | Д-52в-94 | |||
1 | 2 | 3 | 4 | 5 | 6 | 7 | 8 | 9 | |
TiO2 | 1.60 | 1.23 | 4.67 | 1.66 | 1.55 | 2.19 | 0.74 | 1.10 | 2.22 |
Al2O3 | 10.33 | 4.97 | 5.32 | 12.71 | 14.22 | 9.65 | 7.79 | 13.37 | 1.62 |
Cr2O3 | 36.03 | 38.87 | 22.72 | 42.57 | 36.49 | 33.44 | 27.55 | 36.83 | 9.11 |
V2O3 | 0.38 | 0.60 | 0.85 | н/опр. | н/опр. | н/опр. | н/опр. | 0.98 | 0.99 |
Fe2O3 | 19.59 | 22.84 | 34.45 | 14.18 | 17.65 | 22.86 | 33.52 | 17.42 | 53.72 |
FeO | 23.46 | 29.17 | 31.05 | 21.78 | 21.04 | 26.41 | 29.35 | 26.68 | 30.71 |
MnO | 0.13 | 0.30 | - | 0.59 | 0.42 | 0.52 | 0.37 | 0.49 | 0.13 |
MgO | 5.81 | 1.90 | 0.81 | 7.62 | 8.06 | 3.85 | 2.36 | 4.68 | - |
NiO | 0.12 | 0.13 | н/опр. | 0.17 | 0.08 | 0.08 | н/опр. | 0.11 | 0.26 |
Сумма | 97.45 | 100.01 | 99.87 | 101.28 | 99.51 | 99.00 | 101.68 | 101.66 | 98.76 |
XMg | 0.31 | 0.10 | 0.04 | 0.39 | 0.41 | 0.21 | 0.13 | 0.24 | 0 |
YCr | 0.51 | 0.57 | 0.36 | 0.57 | 0.49 | 0.48 | 0.39 | 0.50 | 0.15 |
YFe3+ | 0.27 | 0.32 | 0.52 | 0.18 | 0.23 | 0.31 | 0.45 | 0.23 | 0.82 |
Коэффициенты кристаллохимических формул в пересчете на 24 катиона | |||||||||
Ti | 0.338 | 0.268 | 1.033 | 0.330 | 0.310 | 0.465 | 0.157 | 0.223 | 0.514 |
Al | 3.420 | 1.697 | 1.847 | 3.959 | 4.466 | 3.213 | 2.589 | 4.230 | 0.588 |
Cr | 8.001 | 8.912 | 5.286 | 8.890 | 7.684 | 7.464 | 6.140 | 7.817 | 2.215 |
V3+ | 0.084 | 0.139 | 0.202 | 0.210 | 0.244 | ||||
Fe3+ | 4.157 | 4.984 | 7.632 | 2.821 | 3.540 | 4.858 | 7.114 | 3.520 | 12.439 |
Fe2+ | 5.511 | 7.076 | 7.645 | 4.816 | 4.688 | 6.236 | 6.921 | 5.992 | 7.901 |
Mn | 0.030 | 0.073 | 0.132 | 0.094 | 0.124 | 0.088 | 0.111 | 0.033 | |
Mg | 2.432 | 0.821 | 0.355 | 3.016 | 3.200 | 1.620 | 0.991 | 1.873 | |
Ni | 0.027 | 0.030 | 0.036 | 0.018 | 0.019 | 0.024 | 0.065 | ||
Примечание. 1, 4–6, 8 – ферриалюмохромит, 2, 3 – субалюмоферрихромит, 7 – субалюмохроммагнетит, 9 – хромистый магнетит. Количества FeO и Fe2O3 рассчитаны на основании стехиометрии состава; н/опр. – компонент не определялся; XMg = Mg/(Mg+Fe2+), YCr = Cr/(Cr+Al+Fe3+), YFe3+ = YFe3+/(Cr+Al+Fe3+).
Что касается конкретно хромшпинелидов из анортозитов Рифа I, то разнообразие их составов обусловлено широкими колебаниями отношения Mg/(Mg+Fe2+) при относительно узком диапазоне значений Cr/(Cr+Al+Fe3+) (фиг. 4), что свидетельствует о превалирующей роли изоморфизма Mg ↔ Fe2+. С другой стороны, наблюдается отчетливая обратная корреляция отношений Mg/(Mg+Fe2+) и Fe3+/(Cr+Al+Fe3+), отражающая эволюционный тренд составов шпинелидов в процессе фракционной кристаллизации остаточного (“анортозитового”) магматического расплава.
Геохимические особенности платиноносных анортозитов
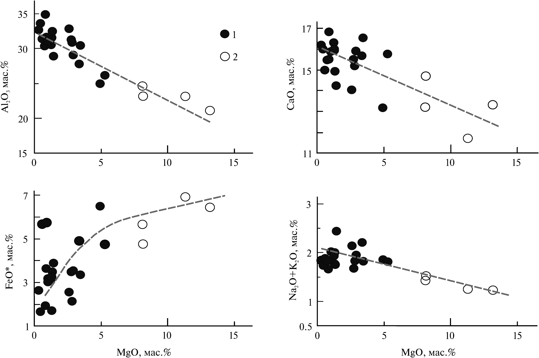
Составы анортозитов по содержанию главных петрогенных компонентов варьируют в широком диапазоне, охватывая интервал (мас.%): по SiO244.20–48.69, Al2O3 21.12–35.00, CaO 11.75–16.82, FeO* 1.66–6.93 и MgO 0.34–13.15 (табл. 4), что можно объяснить их неоднородностью из-за развития в плагиоклазовой матрице участков темноцветных минералов. Породы характеризуются низкими содержаниями (мас.%) TiO2 (0.03–0.22), P2O5 (0.01–0.14), Cr2O3 (0.02–0.16) и по отношению к нижним зонам массива – повышенными концентрациями Na2O (0.63–1.97) и K2O (0.10–0.47). Бинарные петрохимические диаграммы (фиг. 5) демонстрируют отрицательные корреляции MgO с Al2O3, CaO, (Na2O+K2O) и положительную – с FeO*. Средний состав рудных анортозитов (мас.%): SiO2 45.99, TiO2 0.11, Cr2O3 0.07, Al2O3 29.43, Fe2O3 1.22, FeO 2.86, MnO 0.03, MgO 3.35, CaO 15.12, Na2O 1.63, K2O 0.18, P2O3 0.02. Он соответствует нормативно-минеральному составу по CIPW (%): Pl 86.25, Ol 7.46, Or 1.06, Di 1.96, Hyp 1.15, Mgt 1.77, Ilm 0.21, Spl 0.09 Ap 0.05.
Фиг. 3. Морфология и состав акцессорных хромшпинелидов из платиноносных анортозитов Рифа I. а – характер развития кристаллов хромшпинелида (Chr) в плагиоклазе (Pl); Ol – оливин, Srp – серпентин; полированный шлиф Д-52г-94, электронный микроскоп, изображение в обратно-рассеянных электронах); б – составы хромшпинелидов на классификационной диаграмме Н.В. Павлова; в – составы хромшпинелидов из зон Йоко-Довыренского массива; использованы данные (Медь-никеленосные …, 1990; Благороднометалльная …, 2008); из области контаминации дунитовой зоны (Пушкарев и др., 2003), а также из коллекции Т. Венцеля (ФРГ). 1 – хромшпинелиды анортозитов, 2 – магнетит, развивающийся по хромшпинелиду, 3 – тренд эволюции состава хромшпинелидов внутриплитных расслоенных интрузивов континентов по (Гущин, Гусев, 2012).
Фиг. 4. Диаграммы Mg/(Mg+Fe2+) – Cr/(Cr+Al+Fe3+) и Mg/(Mg+Fe2+) – Fe3+/(Cr+Al+Fe3+) соотношений с направлением эволюции состава в акцессорных хромшпинелидах из платиноносных анортозитов Рифа I. Поля расслоенных интрузивов по данным (Плаксенко, 1989; Engelbrecht, 1985; Sharpe, Hulvert, 1985), офиолитовых гипербазитов – (Геология ..., 2008; Dick, Bullen, 1984; Roeder, 1994; Seyler et al., 2007).
Фиг. 5. Петрохимические вариационные диаграммы для платиноносных анортозитов и такситовых оливиновых лейкогаббро Рифа I. Диаграммы построены по данным табл. 4. FeO* – суммарное железо. 1 – анортозиты, 2 – такситовые оливиновые лейкогаббро. анортозиты, 2 – такситовые оливиновые лейкогаббро.
Фиг. 6. Спектры распределения редкоземельных (а) и спайдерграмма редких элементов (б), нормированных соответственно на хондрит СI и примитивную мантию (McDonough, Sun 1995), в породах Йоко-Довыренского массива. 1 – дунит из дунитовой зоны; 2 – троктолит из зоны плагиодунитов и троктолитов; 3 – оливиновое габбро из зоны оливиновых габбро и габброноритов; 4 – платиноносный анортозит Рифа I.
Таблица 4. Содержание петрогенных компонентов, S, Ni, Cu, Co, Au и ЭПГ в анортозитах и такситовых оливиновых лейкогаббро из малосульфидного горизонта – Риф I Йоко-Довыренского массива
Компоненты | Д-60-93 | Д-85-92 | Д-19а-93 | Д-60д-93 | Д-55-07 | Д-27-04 | Д-52а-94 | ПР-2-99 | Д-3в-93 | Д-84-92 | Д-47а-93 | Д-52д-94 |
1 | 2 | 3 | 4 | 5 | 6 | 7 | 8 | 9 | 10 | 11 | 12 | |
SiO2 | 46.00 | 46.44 | 44.99 | 45.46 | 44.89 | 44.92 | 46.53 | 46.54 | 47.13 | 45.75 | 45.72 | 48.69 |
TiO2 | 0.13 | 0.05 | 0.05 | 0.09 | 0.08 | 0.07 | 0.14 | 0.06 | 0.21 | 0.06 | 0.10 | 0.22 |
Cr2O3 | 0.08 | 0.05 | 0.07 | 0.12 | 0.02 | 0.05 | 0.03 | 0.03 | 0.12 | 0.06 | 0.07 | 0.05 |
Al2O3 | 32.70 | 33.61 | 31.35 | 30.36 | 35.00 | 31.64 | 31.05 | 30.55 | 31.56 | 31.65 | 32.40 | 28.95 |
Fe2O3 | 0.75 | 0.20 | 3.78 | 1.64 | 0.26 | 1.29 | 1.30 | 1.78 | 0.32 | 1.80 | 1.81 | 1.16 |
FeO | 1.98 | 1.48 | 2.28 | 4.28 | 1.71 | 2.48 | 2.03 | 1.54 | 1.43 | 1.63 | 1.86 | 2.84 |
MnO | 0.01 | 0.02 | 0.02 | 0.01 | 0.02 | 0.01 | 0.01 | 0.01 | 0.01 | 0.03 | 0.02 | 0.01 |
MgO | 0.34 | 0.46 | 0.60 | 0.76 | 0.87 | 0.92 | 1.02 | 1.24 | 1.30 | 1.30 | 1.34 | 1.42 |
CaO | 16.17 | 15.99 | 14.97 | 15.45 | 15.46 | 16.82 | 15.88 | 16.31 | 15.92 | 15.99 | 14.92 | 14.25 |
Na2O | 1.67 | 1.60 | 1.70 | 1.70 | 1.56 | 1.66 | 1.85 | 1.80 | 1.87 | 1.62 | 1.47 | 1.97 |
K2O | 0.17 | 0.14 | 0.18 | 0.13 | 0.11 | 0.18 | 0.17 | 0.13 | 0.13 | 0.15 | 0.28 | 0.47 |
P2O5 | 0.01 | 0.01 | 0.01 | 0.01 | 0.04 | 0.02 | 0.01 | 0.02 | 0.01 | 0.01 | 0.01 | 0.01 |
S | 0.49 | 0.13 | 1.57 | 1.48 | 0.39 | 0.85 | 0.66 | 0.78 | 0.39 | 0.66 | 0.54 | 0.27 |
Co | 59 | 61 | 130 | 130 | 50 | 50 | 90 | 51 | 33 | 61 | 68 | 50 |
Ni | 1600 | 320 | 3200 | 2900 | 455 | 1270 | 1500 | 1500 | 540 | 1200 | 1500 | 420 |
Cu | 750 | 640 | 4800 | 3000 | 961 | 3550 | 2800 | 2800 | 600 | 2800 | 3100 | 690 |
Pt | 0.759 | 0.560 | 2.505 | 2.060 | 0.330 | 1.300 | 2.240 | 0.708 | 0.612 | 1.600 | 1.305 | 0.846 |
Pd | 0.151 | 0.330 | 4.910 | 1.834 | 0.058 | 0.330 | 4.950 | 0.180 | 0.174 | 0.460 | 0.267 | 0.264 |
Rh | 0.010 | 0.040 | 0.060 | 0.080 | - | - | 0.060 | - | 0.006 | 0.060 | 0.022 | - |
Ru | 0.002 | 0.002 | 0.002 | 0.009 | - | - | 0.016 | - | 0.004 | 0.005 | 0.002 | - |
Ir | 0.012 | 0.003 | 0.130 | 0.024 | - | - | 0.073 | - | 0.010 | 0.008 | 0.029 | - |
Os | 0.008 | 0.002 | 0.008 | 0.006 | - | - | 0.013 | - | 0.002 | 0.005 | 0.004 | - |
Au | 0.187 | 0.046 | 0.827 | 0.250 | 0.052 | 0.400 | 0.880 | 0.325 | 0.365 | 0.300 | 0.279 | 0.105 |
Cu/Ni | 0.47 | 2.00 | 1.50 | 1.03 | 2.11 | 2.79 | 0.87 | 1.87 | 1.11 | 2.33 | 2.07 | 1.64 |
Pt/Pd | 5.03 | 1.70 | 0.51 | 1.12 | 5.69 | 3.94 | 0.45 | 3.93 | 3.52 | 3.48 | 4.89 | 3.20 |
ƩЭПГ | 0.942 | 0.937 | 7.615 | 4.013 | 7.352 | 0.808 | 2.138 | 1.629 | ||||
ƩЭПГ/S | 1.92 | 7.21 | 4.85 | 10.29 | 11.14 | 2.07 | 3.24 | 3.02 |
Таблица 4. Окончание
Компоненты | Д-62а-93 | Д-6-04 | Д-52-94 | До-1-98 | ПР-1-99 | Д-48/1-92 | Д-52г-94 | Д-27-94 | Д-52в-94 | Д-7-04 | Д-54-94 | Д-47/1-92 |
13 | 14 | 15 | 16 | 17 | 18 | 19 | 20 | 21 | 22 | 23 | 24 | |
SiO2 | 45.63 | 45.17 | 45.98 | 46.24 | 45.58 | 44.20 | 48.15 | 45.82 | 46.63 | 47.38 | 45.35 | 44.27 |
TiO2 | 0.04 | 0.03 | 0.10 | 0.18 | 0.22 | 0.07 | 0.16 | 0.14 | 0.13 | 0.14 | 0.09 | 0.12 |
Cr2O3 | 0.08 | 0.05 | 0.04 | 0.06 | 0.04 | 0.05 | 0.09 | 0.16 | 0.08 | 0.07 | 0.06 | 0.11 |
Al2O3 | 32.83 | 31.26 | 30.92 | 29.07 | 27.78 | 30.42 | 24.99 | 26.09 | 24.59 | 23.18 | 23.10 | 21.10 |
Fe2O3 | 0.57 | 1.09 | 0.03 | 0.88 | 1.73 | 0.85 | 1.63 | 1.38 | 1.73 | 0.73 | 1.39 | 1.21 |
FeO | 2.04 | 2.50 | 2.12 | 2.77 | 3.35 | 2.59 | 5.03 | 3.51 | 4.10 | 4.11 | 5.68 | 5.33 |
MnO | 0.03 | 0.01 | 0.01 | 0.04 | 0.04 | 0.02 | 0.06 | 0.06 | 0.04 | 0.07 | 0.07 | 0.04 |
MgO | 2.61 | 2.75 | 2.83 | 2.92 | 3.35 | 3.46 | 4.93 | 5.29 | 8.12 | 8.16 | 11.31 | 13.14 |
CaO | 14.05 | 15.51 | 15.18 | 15.90 | 15.68 | 16.53 | 13.19 | 15.73 | 13.21 | 14.70 | 11.75 | 13.31 |
Na2O | 1.84 | 1.58 | 1.69 | 1.72 | 1.86 | 1.63 | 1.59 | 1.71 | 1.32 | 1.41 | 1.14 | 1.09 |
K2O | 0.30 | 0.10 | 0.14 | 0.23 | 0.35 | 0.19 | 0.27 | 0.10 | 0.11 | 0.11 | 0.11 | 0.14 |
P2O5 | 0.02 | 0.02 | 0.01 | 0.04 | 0.04 | 0.02 | 0.01 | 0.01 | 0.01 | 0.02 | 0.01 | 0.14 |
S | 0.46 | 0.92 | 0.37 | 0.10 | 0.78 | 0.31 | 1.50 | 0.65 | 0.55 | 0.57 | 0.17 | 0.62 |
Co | 74 | 100 | 70 | 49 | 55 | 59 | 130 | 50 | 80 | 50 | 45 | 67 |
Ni | 1400 | 1460 | 720 | 310 | 1440 | 770 | 2850 | 520 | 1500 | 870 | 640 | 1700 |
Cu | 2200 | 2510 | 1400 | 315 | 1590 | 760 | 3100 | 2400 | 2200 | 1350 | 900 | 1400 |
Pt | 1.800 | 0.263 | 1.021 | 0.200 | 1.290 | 0.310 | 2.038 | 0.585 | 0.263 | 0.251 | 0.112 | 0.330 |
Pd | 0.600 | 0.085 | 0.588 | 0.320 | 1.100 | 0.140 | 2.560 | 0.288 | 0.212 | 0.251 | 0.100 | 0.300 |
Rh | 0.030 | - | 0.020 | - | - | - | 0.080 | 0.010 | - | - | 0.010 | - |
Ru | 0.002 | - | 0.002 | - | - | - | 0.039 | 0.004 | - | - | 0.006 | - |
Ir | 0.019 | - | 0.017 | - | - | - | 0.099 | 0.005 | - | - | 0.005 | - |
Os | 0.010 | - | 0.018 | - | - | - | 0.002 | 0.002 | - | - | 0.002 | - |
Au | 0.752 | 0.091 | 0.133 | 0.030 | 0.955 | 0.038 | 0.794 | 0.162 | 0.063 | 0.112 | 0.030 | 0.093 |
Cu/Ni | 1.57 | 1.72 | 1.94 | 1.02 | 1.10 | 0.99 | 1.09 | 4.61 | 1.47 | 1.55 | 1.41 | 0.82 |
Pt/Pd | 3.00 | 3.09 | 1.74 | 0.62 | 1.17 | 2.21 | 1.18 | 2.03 | 1.24 | 1.00 | 1.12 | 1.10 |
ƩЭПГ | 2.461 | 1.666 | 4.663 | 0.894 | 0.235 | |||||||
ƩЭПГ/S | 5.35 | 4.50 | 3.11 | 1.38 | 1.38 |
Примечание. 1–20 – анортозиты, 21–24 – такситовые оливиновые лейкогаббро. Анализы пересчитаны на безводный «сухой» остаток. Оксиды и сера даны в мас.%, рудные элементы и благородные металлы – г/т.
Фиг. 7. Диаграммы зависимостей содержаний Ni (а), Cu (б), (Ni+Cu+Co) (в), Au (г) от содержания S и концентраций Pt (д) и Pd (е) от содержания Cu в платиноносных анортозитах (1) и такситовых оливиновых лейкогаббро (2) Рифа I. Диаграммы построены по данным табл. 4. Условные знаки см. фиг. 5.
Рудные анортозиты характеризуются более высоким суммарным содержанием несовместимых элементов, в том числе и редкоземельных (РЗЭ), относительно пород нижних зон и вышележащей оливингаббровой зоны. При этом анортозиты демонстрируют однотипные спектры с этими породами (фиг. 6а, б). Отрицательные аномалии Nb, Ti, и положительные – Pb, Sr и высокие отношения La к Sm в рассмотренных породах указывают, скорее всего, на признаки корового влияния на магматический расплав.
Малосульфидное платинометалльно-медноникелевое оруденение
Анортозиты характеризуются переменным содержанием рудных компонентов и благородных металлов. Так, содержание S колеблется в пределах 0.10–1.57 мас.%, Ni – 310–3200 г/т, Cu – 315–4800 г/т, Co – 33–130 г/т (см. табл. 4). При этом величина отношения Cu/Ni, как правило, больше 1 (среднее 1.67). Распределение концентраций Ni, Cu, Co как в отдельности, так и в сумме, обнаруживает жесткие положительные корреляционные связи с S (фиг. 7а-в).
Суммарное содержание ЭПГ варьирует в интервале 0.235–7.615 г/т (среднее 2.72 г/т, n = 13). Главными элементами являются Pt и Pd при преобладании, как правило, Pt над Pd (среднее Pt/Pd = 2.21, n = 24) и незначительных концентрациях Rh, Ru, Ir и Os. Одной из основных особенностей оруденения является высокая величина отношения ƩЭПГ/S (г/т / мас.%), варьирующая от 1.4 до 11.1 (среднее 4.6) (см. табл. 4), что в целом соответствует малосульфидному типу платинометалльного оруденения (Дистлер и др., 1994). Для вкрапленных сульфидных руд платино-медно-никелевых месторождений эта величина значительно меньше и находится в пределах 0.8–1.2.
Фиг. 8. Диаграмма Ni/Pd – Cu/Ir для различных типов ЭПГ-Cu-Ni оруденения Довыренского интрузивного комплекса. Для руд Байкальского месторождения использованы данные (Благороднометалльная …, 2008). Поля составов по (Barnes, Lightfoot, 2005). 1 – платиноносные анортозиты Рифа I; 2, 3 – Байкальское Cu-Ni месторождение: 2 – вкрапленные руды в плагиоперидотитах, 3 – жильные руды.
Фиг. 9. Спектр распределения нормированных по хондриту CI (McDonough, Sun 1995) содержаний ЭПГ и Au, пересчитанных на “100%-сульфид”, в горизонтах с малосульфидным платинометалльным типом оруденения из докембрийских расслоенных массивов. 1 – Риф J-M Стиллуотерского комплекса (Naldrett, 1981; Barnes et al., 1985), 2 – Риф Алла-Пеника II интрузива Пеникат (Halkoaho, 1994), 3 – нижний расслоенный горизонт массива Федорово-Панских тундр (Яковлев, Докучаева, 1994), 4 – область анортозитов Рифа I Йоко-Довыренского массива (n = 13, по данным табл. 4).
Фиг. 10. Характер развития сульфидных минералов и минералов группы эпидота в платиноносных анортозитах Рифа I. а – зерно кубанита (Cbn), окруженного выделениями пренита (Prh), клиноцоизита (Сzo), эпидота (Ep) и хлорита (Сhl) в плагиоклазе (Pl); б – пластинчатые выделения халькопирита (Ccp) и талнахита (Tal), как результат распада твердого раствора. На контакте плагиоклаз замещается цоизитом (Czo) и пренитом (Prh). Электронный микроскоп, изображение в обратно-рассеянных электронах.
Таблица 5. Химический состав главных сульфидных минералов из платиноносных анортозитов и такситовых оливиновых лейкогаббро Рифа I
№ п/п | № обр. | Минерал | Содержание элементов, мас.% | Формула | |||||
Fe | Ni | Сu | Co | S | Сумма | ||||
1 | Д-27-04 | Pn (2) | 38.64 | 26.35 | - | 0.70 | 33.57 | 99.26 | (Fe5.347Ni3.469Co0.092)8.908S8.092 |
Cbn (4) | 41.09 | 0.16 | 23.44 | - | 35.36 | 100.05 | Cu1.001(Fe1.997Ni0.007)2.004S2.995 | ||
2 | Д-52г-94 | Tr (6) | 63.47 | 0.09 | - | - | 36.24 | 99.80 | (Fe1.002Ni0.001)1.003S0.997 |
Pn (3) | 37.62 | 24.52 | - | 2.42 | 33.58 | 98.14 | (Fe5.254Ni3.257Co0.320)8.831S8.169 | ||
3 | Д-48/1-92 | HPo (2) | 61.85 | 0.18 | - | - | 37.87 | 99.90 | (Fe14.980Ni0.042)15.022S15.978 |
Pn (2) | 32.38 | 31.97 | - | 2.18 | 33.26 | 99.79 | (Fe4.483Ni4.210Co0.286)8.979S8.020 | ||
4 | Д-84-92 | Tr+HPo (1) | 62.18 | - | - | - | 36.72 | 98.90 | Fe0.986S1.014 |
Pn (3) | 35.53 | 29.73 | - | 0.92 | 33.38 | 99.23 | (Fe4.918Ni3.915Co0.120)8.953S8.047 | ||
Ccp (2) | 30.59 | - | 34.43 | - | 34.82 | 99.84 | Cu0.996Fe1.007S1.997 | ||
Cbn (2) | 40.23 | - | 23.39 | - | 35.66 | 99.28 | Cu1.003Fe1.964S3.033 | ||
5 | Д-3в-93 | HPo (1) | 61.60 | 0.08 | - | - | 38.20 | 99.88 | (Fe12.971Ni0.017)12.988S14.012 |
Pn (1) | 30.73 | 30.18 | - | 5.40 | 32.64 | 98.95 | (Fe4.303Ni4.020Co0.716)9.039S7.961 | ||
Tal (2) | 28.26 | 0.74 | 38.80 | - | 32.96 | 100.76 | Cu18.683(Fe15.482Ni0.388)15.870S31.447 | ||
Bn (1) | 9.58 | - | 69.15 | - | 22.11 | 100.84 | Cu5.583Fe0.880S3.537 | ||
6 | Д-19а-93 | Tr (1) | 63.14 | - | - | - | 36.27 | 99.41 | Fe1.000S1.000 |
Pn (2) | 40.07 | 25.59 | - | 1.04 | 33.50 | 100.20 | (Fe5.504Ni3.345Co0.136)8.985S8.016 | ||
Cbn (2) | 40.14 | - | 22.93 | - | 35.55 | 98.62 | Cu0.989Fe1.971S3.040 | ||
7 | Дов-1-92 | HPo (1) | 62.01 | 0.14 | - | - | 37.52 | 99.92 | (Fe14.105Ni0.030)14.135S14.865 |
Pn (2) | 33.20 | 30.36 | - | 3.23 | 32.78 | 99.57 | (Fe4.617Ni4.016Co0.425)9.058S7.942 | ||
Cbn (1) | 40.75 | - | 23.91 | - | 35.47 | 100.13 | Cu1.021Fe1.979S3.000 | ||
Ccp (1) | 30.22 | - | 34.91 | - | 35.19 | 100.32 | Cu1.004Fe0.990S2.006 | ||
8 | Д-52в-94 | Tr +HPo (1) | 63.06 | 0.11 | - | - | 36.46 | 99.63 | (Fe0.996Ni0.001)0.997S1.003 |
Pn (2) | 35.97 | 29.15 | - | 0.75 | 33.50 | 99.37 | (Fe4.981Ni3.841Co0.098)8.920S8.080 | ||
Cbn (2) | 40.70 | - | 24.19 | - | 35.18 | 100.07 | Cu1.035Fe1.982S2.983 | ||
Ccp (3) | 30.86 | - | 34.18 | - | 35.28 | 100.32 | Cu0.982Fe1.009S2.009 | ||
Tal (1) | 29.28 | 0.81 | 36.72 | - | 33.04 | 99.85 | (Cu17.771Ni0.424)18.195Fe16.122S31.685 | ||
9 | Д-47/1-92 | Tr+HPo (3) | 62.36 | 0.02 | - | - | 35.46 | 98.84 | Fe0.991S1.009 |
Pn (3) | 39.83 | 24.74 | - | 1.48 | 33.50 | 99.55 | (Fe5.500Ni3.250Co0.193)8.943S8.057 | ||
10 | Д-62в-93 | HPo (2) | 61.20 | 0.08 | - | - | 37.87 | 100.15 | (Fe16.006Ni0.020)16.026S16.975 |
Pn (2) | 34.27 | 30.95 | 1.36 | 33.23 | 99.81 | (Fe4.741Ni4.073Co0.178)8.992S8.007 | |||
Примечание. 1, 3–7, 10 – анортозиты, 2, 8, 9 – такситовые оливиновые лейкогаббро. Tr – троилит, HPo – гексагональный пирротин, Pn – пентландит, Ccp – халькопирит, Cbn – кубанит, Bn – борнит, Tal – талнахит. В скобках указано количество проанализированных зерен, использованных для расчета среднего состава.
Концентрации ЭПГ и Au менее связаны с изменчивостью состава сульфидной составляющей и ее объема. Отмечается тенденция положительной корреляции Pt с содержанием Cu и менее выраженная для Pd (фиг. 7д, е), что указывает, скорее всего, на различия в их поведении в рудно-магматической системе. Кроме того, в анортозитах в заметных количествах присутствует Au (0.030–0.955 г/т, среднее 0.303 г/т, n = 24), концентрация которого также имеет слабую тенденцию положительно коррелироваться с S (фиг. 7г). Соотношение величин Ni/Pd и Cu/Ir (фиг. 8) указывает в определенной степени на магматический контроль фракционирования ЭПГ. При этом точки анализов располагаются в полях составов расслоенных массивов и PGE-Рифов, тогда как Cu-Ni вкрапленные и жильные руды Байкальского месторождения образуют достаточно компактную область только в поле расслоенных интрузивов.
Спектр распределения ЭПГ и Au для анортозитов Рифа I (фиг. 9) имеет ярко выраженный положительный наклон и демонстрирует сходство со спектрами PGE-Рифов хорошо известных докембрийских расслоенных комплексов и, в частности, рифов J-M массива Стиллуотер (США), Алла-Пеника II интрузива Пеникат (Финляндия) и нижнего горизонта массива Федорово-Панских тундр (Россия).
Фиг. 11. Диаграммы составов сульфидов из анортозитов и такситовых оливиновых лейкогаббро Рифа I. а – соотношения S и (Fe+Ni+Co) в пентландите; б – зависимость состава минералов группы пирротина от состава пентландита. Диаграммы построены по данным табл. 5. Поля составов: I – троилита, II – гексагонального пирротина в срастаниях с троилитом, III – гексагонального пирротина.
Сульфидная минерализация. Сульфиды образуют интерстициальную вкрапленность неправильной формы и небольших размеров (0.01–0.50 мм), реже мелкие гнездовые выделения и прожилки в силикатах. Их количество в породе не превышает 2–3 об.%. Вкрапленники располагаются сгустками и тяготеют к участкам темноцветных силикатов. В плагиоклазовой матрице их меньше. Сульфиды группируются в две основные ассоциации. Первая образована комбинацией с преобладающей ролью пентландита и гексагонального пирротина или его смеси с троилитом – HPo±Tr+Pn±Ccp, вторая сложена, главным образом, кубанитом и халькопиритом с подчиненной ролью троилита и пентландита – Cbn+Ccp+Tr±Pn. Химические составы главных сульфидов помещены в таблице 5.
Кубанит (Cbn) и халькопирит (Ccp) наблюдаются совместно во втором типе рудной ассоциации и помимо самостоятельных зерен (фиг. 10а), образуют взаимные пластинчатые структуры распада твердого раствора. Нередко такие же структуры наблюдаются для халькопирита и талнахита (см. фиг. 10б). В первом типе ассоциации присутствует практически один халькопирит в срастаниях с менее железистым пентландитом и гомогенным гексагональным пирротином либо со смесью последнего с троилитом. Кубанит здесь встречается спорадически. Средний состав Cbn (мас.%): Cu 23.57, Fe 40.58, Ni 0.03, S 35.44, сумма 99.62; формула Cu1.010(Fe1.979Ni0.001)1.980S3.010. Все проанализированные зерна халькопирита удовлетворительно отвечают стехиометрическому составу c небольшим дефицитом по Cu (средний состав Cu0.994Fe1.002S2.004). Среди продуктов распада нередко отмечаются мелкие зерна галенита и сфалерита.
Минералы группы пирротина представлены троилитом (Tr), гексагональным пирротином (HPo) и их смесью (Tr+HPo). Их развитие, как отмечено выше, определяется двумя парагенетическими ассоциациями, в которых они образуют мелкие зерна (не более 0.1 мм) неправильной формы. Средний состав Tr (мас.%): Fe 63.01, Ni 0.05, S 36.36, сумма 99.42; формула (Fe0.997Ni0.001)0.998S1.002. Средний состав HPo (мас.%): Fe 61.66, Ni 0.12, S 37.86, сумма 99.64; формула (Fe0.965Ni0.002)0.967S1.033.
Пентландит (Pn) в отличие от Cu-Ni руд Байкальского месторождения представлен только зернистой морфологической разновидностью. Характеризуется широкой вариацией своего состава как по S, так и по соотношению катионов Ni, Fe, Co (фиг. 11а), причем во всех ассоциациях пентландит железистый – отношение Fe/Ni заметно больше 1. Постоянно присутствует изоморфная примесь Co (0.70–5.40 мас.%). Этот элемент в структуре пентландита примерно в одинаковых пропорциях замещает Fe и Ni (Merkle, Von Gruenewaldt, 1986). Составы пентландита и моносульфидов железа хорошо согласуются между собой, демонстрируя тем самым фазовые соответствия при субсолидусных превращениях твердых растворов (фиг. 11б). Борнит, как вторичный минерал, присутствует только в халькопирит-кубанитовом парагенезисе. Состав его характеризуется избытком Cu и, соответственно, дефицитом Fe и S, что, вероятно, объясняется примесью CuFeS2 (см. табл. 5).
Благороднометальная минерализация. Главной формой существования ЭПГ и Au в рассматриваемых анортозитах являются их собственные минералы. Большая часть из них приурочена к ассоциациям сульфидов, в которых преобладают кубанит и халькопирит. Они формируют на контактах сульфидов и силикатов очень мелкие (5–20 µm) метасоматические выделения разнообразной формы и метакристаллы. Встречаются платиноиды и вне сульфидов, слагая отдельные зерна и их цепочки в пироксенах, плагиоклазе, биотите и амфиболах, а также в жилках пренита и карбонатов в плагиоклазе (фиг. 12). В целом минералы ЭПГ распределены крайне неравномерно и характеризуются весьма изменчивым составом.
Дополнительно к ранее изученным минералам ЭПГ (табл. 6) выявлены туламинит PtFe0.5Cu0.5, ниглиит Pt(Sn,Bi), винцентит (Pd,Pt)3(As,Sb,Te), фрудит PdBi2, мертиит I Pd11(Sb,As)4 и неназванная фаза Pt2Pd2Sn. Составы вновь обнаруженных нами минералов ЭПГ приведены в таблице 7. Кроме того, в работах (Спиридонов и др., 20191,2; Ariskin et al., 2016) упоминаются инсизваит PtBi2, геверсит PtSb2, таймырит (Pd, Cu)3Sn, станнопалладинит Pd5Sn2Cu, меренскит PdTe2 и нильсенит PdCu3, а также отмечаются Ge-содержащие платиноиды: палладогерманит Pd2Ge, паоловит (8.1 мас.% Ge) и звягинцевит (0.55 мас.% Ge). Помимо собственного минерала потарита PdHg, примесь ртути обнаружена в мончеите (до 9.4 мас.%), станнопалладините (до 0.85 мас.%) и теларгпалите (до 7.1 мас.%), а примесь кадмия – в звягинцевите (до 1.4 мас.%) и теларгпалите (до 0.4 мас.%) (Спиридонов и др., 20191).
Фиг. 12. Характер развития минералов ЭПГ в анортозитах Рифа I. Электронный микроскоп, изображения в обратно-рассеянных электронах. а – мончеит на контакте плагиоклаза (Pl) с кубанитом (Cbn), пентландитом (Pn) и биотитом (Bt); б – мончеит с халькопиритом (Ccp) в пренитовом прожилке (Prh) среди плагиоклаза; в – паоловит на контакте кубанита (Cbn) и плагиоклаза с каймой пренита (Prh); г – тетраферроплатина и винцентит в плагиоклазе; д – срастание тетраферроплатины, звягинцевита и пентландита в плагиоклазе; е – зерна котульскита в жилке пренита (Prh) и сперрилита в магнезиальной роговой обманке (Amp).
Таблица 6. Видовой состав минералов благородных металлов из анортозитов Рифа I
№ п/п | Минерал | Формула |
Минералы Pt | ||
1 | Изоферроплатина | Pt3(Fe,Cu,Ni) |
2 | Тетраферроплатина | Pt(Fe,Cu,Ni) |
3 | Туламинит | PtFe0.5Cu0.5 |
4 | Сперрилит | PtAs2 |
5 | Нигглиит | PtSn |
6 | Мончеит | PtTe2 |
7 | Инсизваит** | PtBi2 |
8 | Геверсит** | PtSb2 |
9 | Рустенбургит | Pt3Sn |
10 | Неназванный | Pt2Pd2Sn |
Минералы Pd | ||
11 | Звягинцевит | Pd3Pb |
12 | Винцентит | (Pd,Pt)3(As,Sb,Te) |
13 | Паоловит | Pd2Sn |
14 | Атокит | Pd3Sn |
15 | Таймырит** | (Pd,Cu)3Sn |
16 | Станнопалладинит** | Pd5Sn2Cu |
17 | Нильсенит** | PdCu3 |
18 | Мертиит-I | Pd11 (Sb,As)4 |
19 | Мертиит-II | Pd8(Sb,As)3 |
20 | Котульскит | PdTe |
21 | Меренскит* | PdTe2 |
22 | Соболевскит | PdBi |
23 | Фрудит | PdBi2 |
24 | Потарит | PdHg |
25 | Палладогерманит** | Pd2Ge |
26 | Маякит | PdNiAs |
27 | Теларгпалит | (Pd,Ag)3+xTe |
Минералы Au и Ag | ||
28 | Золото самородное | (Au,Ag) |
29 | Электрум | AuAg |
30 | Золотистое серебро | (Ag,Au) |
31 | Стефанит | Ag5 SbS4 |
32 | Акантит | Ag2S |
33 | Амальгама | (Ag,Hg) |
34 | Алтаит | (Pb,Ag)Te |
Примечание. Жирным курсивом отмечены минералы и неназванные фазы, обнаруженные дополнительно к раннее описанным минералам (Орсоев и др., 2003; Благороднометалльная …, 2008); * – дополнительно по данным (Ariskin et al., 2016); ** – по данным (Спиридонов и др., 20192).
В общем балансе минералов ЭПГ ведущая роль принадлежит халькогенидам Pt, хотя по разнообразию видов больше халькогенидов и интерметаллидов Pd. По частоте встречаемости преобладают мончеит, котульскит, звягинцевит и тетраферроплатина. Помимо собственных фаз, Pdпостоянно фиксируется в виде изоморфной примеси (до 360 г/т,) в пентландите (Орсоев и др., 2003). Для него характерны также незначительные концентрации (г/т): Rh 6.9, Ir 1.9, Ru 0.93, Os 0.55 и Ag 34.8 (Ariskin et al., 2016). Однако собственных минералов Os, Ir и Ru, столь характерных для хромититов альпинотипных гипербазитов, в анортозитах не обнаружено.
Заметную роль играют минералы Au и Ag. Дополнительно к раннее описанным (см. табл. 6) обнаружены акантит Ag2S и серебросодержащий (до 2.5 мас.%) алтаит PbTe. Они совместно с платиноидами образуют единую парагенетическую ассоциацию.
Оценка содержаний газовой фазы в анортозитах
Методом газовой хроматографии в монофракциях плагиоклаза из платиноносных анортозитов Рифа I и сопровождающих их габбро-пегматитов были проанализированы концентрации H2, CH4, CO, CO2, H2O (табл. 8). Для сравнительного анализа нами использованы опубликованные данные по плагиоклазам из пород плагиодунит-троктолитовой и оливингаббровой зон (Протерозойские …, 1986), в которых содержания этих газов определены по той же методике. Известно, что использование плагиоклаза в качестве объекта изучения имеет ряд преимуществ по сравнению с газово-хроматографическим изучением валовых проб пород. Во-первых, он слагает основной объем анортозитов и их кумулусную ассоциацию. Во-вторых, в данном случае сводится до минимума влияние сульфидов и железосодержащих силикатов, при прокаливании которых в процессе анализа возможно дополнительное образование H2 вследствие окисления части железа. В результате чего значительная часть CO может оказаться продуктом реакции между H2O и CO2 (Конев, Бекман, 1978).
Плагиоклазы платиноносных анортозитов и такситовых лейкогаббро по сравнению с плагиоклазами из пород ниже- и вышележащих зон массива характеризуются исключительно высокими значениями общей газонасыщенности как по восстановленным (H2, CH4, CO), так и по окисленным (CO2) газам, и особенно по воде (H2O) (фиг. 13). При этом и в разрезе массива, и в анортозитах Рифа I сумма восстановленных газов количественно резко преобладают над CO2. В то же время в структуре восстановленных газов основной объём приходится на водород (H2), средние значения которого варьируют от 65% для зон плагиодунитов-троктолитов и оливиновых габбро до 72% в анортозитах и такситовых лейкогаббро Рифа I. Обращают на себя внимание очень высокие концентрации (даже больше, чем в анортозитах) всех летучих компонентов в плагиоклазах из габбро-пегматитов.
Фиг. 13. Диаграмма соотношения суммы восстановленных (H2 + CH4+CO) и суммы окисленных газов (CO2 + H2O) в плагиоклазах из пород Йоко-Довыренского массива. 1–3 – породы Рифа I (1 – платиноносные анортозиты, 2 – рудные такситовые оливиновые лейкогаббро, 3 – габбро-пегматиты); 4 – троктолиты плагиодунит-троктолитовой зоны; 5 – оливиновые габбро и габбронориты оливингаббровой зоны.
Повышенная роль двуокиси углерода (CO2), сопоставимая в общем объеме с водородом (H2), может быть обусловлена не только первичной растворимостью CO2 в магматическом расплаве (Флюидный …, 1980; Шинкарев, Григорьева, 1983), но и частичным окислением наложенными процессами (Феоктистов, 1980). Судя по содержанию CO2 и CO, в плагиоклазах Рифа I, этот процесс проявлен менее интенсивно, чем в плагиоклазах выше- и нижележащих пород разреза массива.
ОБСУЖДЕНИЕ РЕЗУЛЬТАТОВ
Тела анортозитов в пределах платиноносного горизонта являются локальными образованиями. Для них характерно: 1) отсутствие на контактах с вмещающими троктолитами и оливиновыми габбро признаков закалки и механических нарушений; 2) наличие постепенных переходов через такситовые разности во вмещающие породы, нередко заканчивающихся крупнозернистыми и пегматоидными образованиями; 3) присутствие участков (чаще в виде полос), обогащенных темноцветными минералами. Важно отметить, что обособления анортозитов и такситов по своему составу тождественны интеркумулусному парагенезису “критической зоны” нижележащих троктолитов и плагиодунитов. На бинарных петрохимических диаграммах (см. фиг. 5) фигуративные точки составов платиноносных анортозитов и такситовых оливиновых лейкогаббро образуют единый “анортозитовый” тренд кристаллизации, согласующийся с изменениями состава плагиоклаза, оливина и пироксенов. Такие соотношения являются признаками реализации механизма фракционной кристаллизации остаточного магматического расплава. При этом анортозиты и такситовые породы рифа характеризуются широкой вариацией магнезиальности и относительно небольшим интервалом колебания SiO2.
Рудно-магматическая система анортозитов в сульфидной своей части характеризуется относительно низкой фугитивностью S, оценка которой, выполненная по составу пентландита по методике Г.Р. Колонина и др. (2000), показывает, что lg f S2 не превышал уровня (-11.2) – (-12.9). При таких условиях в составе платиноидов следует ожидать образования сплавов Pt с Fe и Cu (Peregoedova, Ohnenstetter, 2002; Makovicky, 2002), но никак не сульфидов, что мы и наблюдаем в нашем случае.
Очень высокие коэффициенты распределения отдельных ЭПГ (KD = n·103-6) (Fleet et al., 1996; Arndt et al., 2005; Mungall, Brenan, 2014) между сульфидным и силикатным расплавами предполагают, что подавляющая часть ЭПГ и Au должна быть связана с сульфидной жидкостью. Однако ее небольшой объем мог захватить только часть благородных металлов, в противном случае фиксировались бы очень жесткие положительные корреляции между их концентрацией и серой (см. фиг. 7г, д, е). Отсюда следует, что другим фактором фракционирования и концентрирования благородных металлов является флюид с летучими компонентами.
Как было отмечено выше, существуют две основные группы моделей происхождения горизонтов с малосульфидным типом оруденения: ортомагматическая и флюидно-метасоматическая. В нашем случае первая концепция не находит своего подтверждения, так как отсутствуют, во-первых, геологические, петрографические и геохимические признаки внедрения дополнительной порции магматического расплава, во-вторых, как было показано раннее в нашей работе (Konnikov et al., 2000), она находится в противоречии с характером распределения “фоновых” и “рудных” содержаний Pt и Pd в породах массива (фиг. 14). Первые обнаруживают тенденцию к накоплению, особенно Pd, в сульфидоносных участках в нижней, дунитовой зоне массива, тогда как рост “рудных” концентраций увеличивается в направлении к габброидам.
Таблица 7. Состав минералов ЭПГ из анортозитов Рифа I, мас.%
№ п/п | Pt | Pd | Cu | Fe | Ni | Sn | Pb | Bi | Te | Sb | As | S | Cумма | Формула |
Тетраферроплатина PtFe | ||||||||||||||
1 | 75.99 | - | 6.18 | 14.29 | 2.71 | - | - | - | - | - | - | - | 99.17 | Pt0.98(Fe0.65Cu0.25Ni0.12)1.02 |
2 | 75.15 | - | 5.59 | 18.02 | 1.65 | - | - | - | - | - | - | - | 100.41 | Pt0.94(Fe0.78Cu0.21Ni0.07)1.06 |
Туламинит PtFe0.5Cu0.5 | ||||||||||||||
3 | 73.88 | 1.42 | 12.91 | 11.51 | - | - | - | - | -- | - | - | - | 99.72 | (Pt0.95Pd0.03)0.98Fe0.51Cu0.51 |
Нигглиит PtSn | ||||||||||||||
4 | 52.74 | - | - | 3.78 | 2.08 | 41.89 | - | - | - | - | - | - | 100.49 | (Pt0.74Fe0.19Ni0.10)1.03Sn0.97 |
Мончеит PtTe2 | ||||||||||||||
5 | 37.54 | - | - | - | - | - | - | 22.30 | 41.01 | - | - | - | 99.85 | Pt0.94(Te1.57Bi0.50)2.06 |
6 | 39.22 | - | - | - | - | - | - | 12.03 | 48.37 | - | - | - | 99.62 | Pt0.95(Te1.78Bi0.27)2.05 |
7 | 33.74 | - | 1.14 | 1.82 | - | - | - | 16.19 | 46.99 | - | - | - | 99.88 | (Pt0.77Fe0.15Cu0.08)1.00(Te1.65Bi0.35)2.00 |
Звягинцевит Pd3Pb | ||||||||||||||
8 | - | 55.75 | 2.27 | 2.82 | - | - | 27.89 | 1.99 | 8.57 | - | - | - | 99.29 | (Pd2.55Fe0.25Cu0.17)2.97(Pb0.65Te0.33Bi0.05)1.03 |
9 | - | 59.11 | 3.57 | 3.62 | - | - | 33.64 | - | - | - | - | - | 99.94 | (Pd2.65Fe0.31Cu0.27)3.23Pb0.77 |
Винцентит (Pd,Pt)3(As,Sb,Te) | ||||||||||||||
10 | - | 65.94 | 3.23 | - | 1.13 | - | 3.23 | - | 20.55 | 3.91 | 1.60 | - | 99.59 | (Pd2.70Cu0.22Ni0.08)3.00 (Te0.70Sb0.14As0.09Pb0.07)1.00 |
Мертиит I Pd11(Sb,As)4 | ||||||||||||||
11 | - | 72.48 | 0.57 | - | - | - | - | - | - | 15.33 | 9.80 | - | 98.18 | (Pd10.79Cu0.14)10.93(Sb1.99As2.08)4.07 |
Паоловит Pd2Sn | ||||||||||||||
12 | 1.87 | 44.50 | 11.11 | - | 1.93 | 39.60 | - | - | - | - | - | - | 99.01 | (Pd1.30Pt0.03Cu0.54Ni0.10)1.97Sn1.03 |
Соболевскит PdBi | ||||||||||||||
13 | - | 33.88 | 0.26 | - | - | - | - | 51.16 | 16.45 | - | - | - | 101.75 | (Pd0.92Cu0.01)0.93(Bi0.70Te0.37)1.07 |
Фрудит PdBi2 | ||||||||||||||
14 | - | 21.70 | - | - | - | 3.58 | - | 73.74 | - | - | - | - | 99.02 | Pd1.04(Bi1.81Sn0.15)1.96 |
Неназванная фаза Pt2Pd2Sn | ||||||||||||||
15 | 55.85 | 29.02 | 15.08 | 99.95 | Pt2.09Pd1.98Sn0.93 | |||||||||
Примечание. 1, 2, 8, 10, 14 – обр. Д-52г-94; 4, 5, 11, 12, 13 – обр. Д-52в-94; 6, 7 – обр. Д-27-04; 9 – обр. Д-3в-93; 15 – обр. Д-62в-93.
Таблица 8. Состав газовой фазы в плагиоклазах из пород Йоко-Довыренского массива
№ п/п | № обр. | Порода | Количество газов, мл/г | Содержание газов, об.% | H2+CO+CH4 мл/г | CO2+H2O мл/г | ||||||||
H2 | CH4 × 103 | CO × 103 | CO2 × 103 | H2O | H2 | CH4 | CO | CO2 | H2O | |||||
Породы Рифа I | ||||||||||||||
1 | Д-81-92 | Такситовое оливиновое лейкогаббро | 0.09 | 20.7 | 78.2 | 103.0 | 5.47 | 1.56 | 0.36 | 1.36 | 1.79 | 94.93 | 0.1889 | 5.5730 |
2 | Д-47/1-92 | Такситовое оливиновое лейкогаббро | 0.17 | 17.7 | 35.5 | 104.8 | 6.06 | 2.66 | 0.28 | 0.56 | 1.64 | 94.86 | 0.2232 | 6.1648 |
3 | Д-48/1-92 | Анортозит | 0.18 | 13.1 | 19.9 | 74.6 | 8.19 | 2.12 | 0.15 | 0.23 | 0.88 | 96.61 | 0.2130 | 8.2646 |
4 | Д-84-92 | Анортозит | 0.15 | 13.2 | 32.5 | 141.4 | 4.63 | 3.02 | 0.27 | 0.66 | 2.85 | 93.21 | 0.1957 | 4.7714 |
5 | Д-85-92 | Анортозит | 0.11 | 8.7 | 36.5 | 183.7 | 5.73 | 1.81 | 0.14 | 0.60 | 3.03 | 94.42 | 0.1552 | 5.9137 |
6 | Д-69/1-92 | Анортозит | 0.15 | 15.4 | 31.0 | 63.5 | 5.10 | 2.80 | 0.29 | 0.58 | 1.18 | 95.15 | 0.1964 | 5.1635 |
Среднее | 0.14 | 14.8 | 38.9 | 111.8 | 5.86 | 2.33 | 0.25 | 0.66 | 1.89 | 94.86 | 0.1968 | 5.9752 | ||
8 | Д-45-92 | Габро-пегматит | 0.26 | 151.7 | 61.5 | 153.8 | 12.29 | 2.01 | 1.17 | 0.48 | 1.19 | 95.14 | 0.4732 | 12.4438 |
9 | Д-71/1-92 | Габро-пегматит | 0.27 | 141.4 | 62.2 | 165.2 | 9.32 | 2.71 | 1.42 | 0.62 | 1.66 | 93.59 | 0.4736 | 9.4852 |
Среднее | 0.27 | 146.5 | 61.8 | 159.5 | 10.81 | 2.36 | 1.29 | 0.55 | 1.42 | 94.36 | 0.4734 | 10.9645 | ||
Породы плагиодунит-троктолитовой зоны | ||||||||||||||
10 | П4081 | Лейкотроктолит | 0.051 | 6.3 | 19.9 | 48.0 | 1.59 | 2.97 | 0.37 | 1.16 | 2.80 | 92.70 | 0.0772 | 1.638 |
11 | П4084 | Лейкотроктолит | 0.088 | 22.5 | 19.9 | 64.0 | 2.86 | 2.88 | 0.74 | 0.65 | 2.10 | 93.63 | 0.1304 | 2.924 |
12 | П4051 | Мезотроктолит | 0.046 | 11.6 | 17.2 | 51.0 | 1.52 | 2.79 | 0.70 | 1.04 | 3.10 | 92.36 | 0.0748 | 1.571 |
Среднее | 0.062 | 13.5 | 19.0 | 54.3 | 1.99 | 2.88 | 0.60 | 0.95 | 2.67 | 92.90 | 0.0941 | 2.044 | ||
Породы зоны оливиновых габбро | ||||||||||||||
13 | П4087 | Оливиновое габбро | 0.040 | 1.9 | 12.0 | 35.0 | 1.36 | 2.76 | 0.13 | 0.83 | 2.42 | 93.86 | 0.0539 | 1.395 |
14 | П4092 | Оливиновое габбро | 0.031 | 4.0 | 15.1 | 49.0 | 1.32 | 2.18 | 0.28 | 1.06 | 3.45 | 93.02 | 0.0501 | 1.369 |
15 | П4095 | Оливиновый габбронорит | 0.055 | 13.0 | 25.6 | 68.0 | 2.30 | 2.23 | 0.53 | 1.04 | 2.76 | 93.44 | 0.0936 | 2.368 |
Среднее | 0.042 | 6.3 | 17.6 | 50.7 | 1.66 | 2.39 | 0.31 | 0.98 | 2.88 | 93.44 | 0.0659 | 1.711 | ||
Примечание. Анализы 10–15 – данные (Протерозойские …, 1986).
Фиг. 14. Распределение “фоновых” и “рудных” концентраций S, Pt, Pd и суммарного количества восстановленных газов, захваченных в порах и микровключениях пород, в разрезе Йоко-Довыренского массива. Для характеристики восстановленных газов использованы данные (Konnikov et al., 2000).
На наш взгляд, вторая гипотеза наиболее удовлетворительно объясняет особенности распределения ЭПГ-минерализации малосульфидного типа в расслоенной серии Йоко-Довыренского интрузива. В соответствии с ней горизонт “критической” зоны с Рифом I отвечает особым флюидным и физико-химическим режимам, способствующим максимальному накоплению благородных металлов. Он приурочен к контрастной области переходаплагиодунит-троктолитовой серии в зону оливиновых габбро, где происходит смена кумулятивных парагенезисов. Именно на эту область приходится начало массовой кристаллизации плагиоклаза – главного минерала кумулуса в габброидных породах. По сравнению с другими породообразующими силикатами (оливин, хромшпинель) он имеет наиболее низкую плотность (2.8 г/см3), и поэтому здесь, согласно гипотезе “компакции” (Meurer, Boudreau, 1996), возникали зоны разуплотнения и повышенной пористости. По мнению этих авторов, они становились своеобразными ловушками для интерстициального (“анортозитового”) расплава, сульфидных капель и летучих, выжимаемых из нижележащих горизонтов довыренской интрузии в процессе кристаллизационной дифференциации. Благородные металлы поступали в зоны разуплотнения вместе с летучими компонентами. Экспериментальные данные свидетельствуют об их высокой растворимости в магматическом флюиде. Так, предельно высокие (больше единицы) коэффициенты распределения между водно-хлоридным флюидом и базальтовым расплавом установлены для Pt и Au (Горбачев и др., 1994).
Существует предположение (Симонов, Изох, 1994; Неручев, Прасолов, 1995), что ЭПГ имеют тенденцию концентрироваться в восстановленных флюидах и затем отлагаться на определенных уровнях внутри интрузивов. Действительно, полученные нами данные газовой хроматографии указывают на более высокую насыщенность плагиоклазов Рифа I восстановленными газами (H2, CH4, CO) по сравнению с ниже- и вышерасположенными зонами массива (см. фиг. 11). При этом эволюция флюидной фазы происходила с активным участием воды (H2O). Доля ее в структуре газов колеблется в достаточно узком интервале 92.4–96.6 об.% (см. табл. 8). Наличие такого количества воды можно объяснить поступлением флюидов из дополнительного источника, которым могли служить породы рамы и их ксенолиты в дунитовой зоне. Об участии восстановленных газов в переносе и концентрировании ЭПГ и Au говорилось ранее в нашей работе (Konnikov et al., 2000). Как видно на фиг. 14, пики в концентрациях восстановленных газов совпадают с участками расслоенной серии, содержащими сульфидные скопления и ЭПГ-минерализацию. Причем максимальный пик суммарного содержания (H2 + CH4 + CO) приходится на породы Рифа I и менее интенсивный – на Риф II.
Фиг. 15. Положение составов платиноносных анортозитов и такситовых оливиновых лейкогаббро, пересчитанных на “100%-сульфид”, на экспериментальных тройных диаграммах. а – Fe-(Ni+Co)-S при 850°С (Sugaki, Kitakaze, 1998); б – Fe-Cu-S при 600°С (Cabri, 1973); mss – моносульфидный твердый раствор, iss – промежуточный твердый раствор, bnss – борнитовый твердый раствор, poss – пирротиновый твердый раствор; минеральные фазы: tr – троилит, pn – пентландит, vs – ваэсит, bn – борнит, ccp – халькопирит, cbn – кубанит, tal – талнахит, put – путоранит, mh – моихукит, hc – хейкокит, py – пирит, α и γ – структурные разновидности сплавов Fe-Ni. Условные знаки см. фиг. 5.
Свидетельства участия флюида с хлорной специализацией в генезисе минералов благородных металлов в анортозитах Рифа I проявлены в их пространственной ассоциации с метасоматическими ореолами вокруг сульфидов. Здесь плагиоклаз замещается пренитом, клиноцоизитом, в результате чего уменьшается его основность (см. табл. 1, ан. 11, 12). Кроме того, с сульфидами часто ассоциируют биотит с содержанием Cl 0.38–0.60 мас.%, реже амфиболы – от паргасита до ферроэденита с 0.53–0.68 мас.% Cl и хлорапатит. Можно предположить, что относительное обогащение довыренской интрузии “коровыми” компонентами и летучими могло произойти как в надсубдукционном мантийном очаге выплавления исходной для неё магмы, так и в подводящих каналах и магматической камере кристаллизации. Учитывая состав пород рамы, внедряющаяся магма вполне могла дополнительно обогащаться водородом, метаном, окисью и двуокисью углерода, серой, хлором, а также Sn, Pb, Hg, Bi, As, Sb, Te, Ge и другими “коровыми” компонентами. По нашему мнению, именно эти компоненты сыграли в магматическом расплаве ведущую генерирующую роль по отношению к платиновым минералам, а также выступили в качестве агентов сульфидно-силикатной ликвации, экстракции металлов, их транспортировки и концентрации. Вывод о влиянии корового источника подтверждается изотопным составом благородных газов (высокая доля атмосферного Ar и незначительная – мантийного He), изученным в разрезе массива (Конников и др., 2002). Причем их наименьшие величины отмечаются в платиноносных анортозитах Рифа I, для которых также характерен утяжеленный состав изотопов S. Так, величина ä34S в этих анортозитах достигает (+5.2) – (+6.4‰), что сопоставимо с утяжеленным составом изотопов серы (+7.8‰) из вмещающих алевролитов и доломитов (Глотов и др., 1998).
Жесткие положительные корреляционные связи концентраций рудогенных компонентов (Ni, Cu, Co) с содержанием S (см. фиг. 7) достаточно убедительно указывают на существование в анортозитах и такситах ограниченного объема несмесимой сульфидной жидкости, находящейся в равновесии с остаточным “анортозитовым” расплавом. Учитывая вышесказанное, данные пересчета на “100%-сульфид” мы рассмотрели на экспериментальных диаграммах Fe–(Ni+Co)–S (без учета Cu) и Fe–Cu–S (без учета Ni+Co) (фиг. 15а, б). В первом случае все анализы попали в область Mss, во втором – Iss и Iss+Poss. Согласно экспериментальным данным по изучению Fe–Ni–S и Cu–Fe–S систем (см, например, обзор Налдретт, 2003), при фракционной кристаллизации обогащенной Cu сульфидной жидкости происходит сначала образование богатого Fe и Ni моносульфидного твердого раствора (mss), а затем формируются богатые Cu промежуточные твердые растворы (Iss 1, Iss 2, Iss 3, Iss 4, Iss 5) (Спиридонов и др., 20191). Эти твердые растворы при субсолидусных температурах и ниже в дальнейшем распадаются на ассоциации Tr+Pn±Ccp и Сcp+Cbn+Tr+Pn±Tal. Под влиянием флюидно-метасоматических процессов может происходить частичное переотложение рудного вещества, в том числе и минералов благородных металлов, с образованием прожилков халькопирита, кубанита или пирротина в силикатной матрице.
ЗАКЛЮЧЕНИЕ
Проведенные исследования позволили на основе новых данных минералогически, петро- и геохимически охарактеризовать анортозиты, являющиеся главным звеном и основным концентратором ЭПГ и Au в составе малосульфидного платинометалльного оруденения, локализованного в специфическом такситовом горизонте (Риф I) Йоко-Довыренского массива. Особенности состава и строения этого горизонта свидетельствуют о том, что формирование анортозитов обусловлено как собственно магматическими, так и поздне- и постмагматическими процессами с высокой активностью летучих компонентов.
Возникновение горизонта с малосульфидным типом платинометалльной минерализации можно объяснить с позиций гипотезы “компакции” (Meurer, Boudreau, 1996) и явления термоусадки, когда на границе контрастных по составу и свойствам пород (область смены кумулятивных ассоциаций) при их охлаждении образуются ослабленные участки с трещинами и полостями, в которые в результате декомпрессионного эффекта “засасывается” интерстициальный лейкократовый расплав и летучие, выжимаемые из нижележащих горизонтов массива. Закономерности изменения составов плагиоклаза (82–88% An), оливина (78–81% Fo) клинопироксена (40–44% En, 9–18% Fs, 41–47% Wo) и ортопироксена (74–78% En, 16–24% Fs, 2–5% Wo) свидетельствуют о фракционной кристаллизации остаточного расплава.
Концентрирование и перенос благородных металлов в ограниченном объеме несмесимой сульфидной жидкости, обогащенной медью относительно никеля, является необходимым, но недостаточным условием для появления такого количества ЭПГ-минерализации. Основная часть благородных металлов с “коровыми” элементами (Sn, Pb, Hg, Bi, As, Sb, Te, S и др.) поступала в анортозитовые полости вместе с летучими компонентами и хлором, обуславливая тем самым обилие среди платиноидов теллуридов, плюмбидов, висмутидов, станнидов, арсенидов и Hg-содержащих фаз.
Процессы флюидно-магматического взаимодействия в этих зонах разуплотнения и пористости привели к значительной неоднородности анортозитов и других пород, формированию неравновесных минеральных ассоциаций и концентрированию рудогенных компонентов. При этом установлена значительная роль восстановленных газов (H2, CH4, CO), а также H2O и Cl при генезисе минералов благородных металлов.
БЛАГОДАРНОСТИ
Автор выражает благодарность сотрудникам лаборатории инструментальных методов анализа (ГИН СО РАН, г. Улан-Удэ) за проведение аналитических работ, персонально С.В. Канакину и Е.В. Ходыревой (сканирующая электронная микроскопия, микрозонд), Б.Ж. Жалсараеву (рентгенофлуоресцентный анализ). Искреннюю признательность автор выражает Э.Г. Конникову, по инициативе и под руководством которого начинались и проводились исследования на Йоко-Довыренском массиве, а также А.В. Лавренчуку, А.И. Глотову, А.С. Мехоношину, Т. Венцелю, Л.П. Баумгартнеру, Р.А. Бадмацыреновой, А.А. Цыганкову, Т.Т. Врублевской, Э.С. Персикову, А.А. Арискину, Е.В. Кислову, Л.В. Данюшевскому, Г.С. Николаеву, Д.С. Каменецкому, принимавшим в разные годы участие в полевых работах. Автор благодарен Э.М. Спиридонову за помощь в совместных исследованиях, а также рецензентам за конструктивные замечания, способствовавшие улучшению качества представленных материалов и их интерпретации.
ФИНАНСИРОВАНИЕ
Работа выполнена при финансовой поддержке фундаментального базового проекта ГИН СО РАН № 0340-2018-0007 и частичной поддержке РФФИ (проект № 18-45-030016 р а).
About the authors
D. A. Orsoev
Geological Institute, SB RAS
Author for correspondence.
Email: magma@ginst.ru
Russian Federation, 670047, Ulan-Ude, Sakh’yanovoy Street, 6a
References
- Арискин А.А., Костицын Ю.А., Конников Э.Г., Данюшевский Л.В., Меффре С., Николаев Г.С., Мак-Нил Э., Кислов Е.В., Орсоев Д.А. Геохронология Довыренского интрузивного комплекса в неопротерозое (Северное Прибайкалье, Россия) // Геохимия. 2013. № 11. С. 955-972.
- Балыкин П.А., Юрковский С.А., Проскуряков А.А. К проблеме оценки газовой составляющей интрузивных пород основного состава // Геология и геофизика. 1983. № 12. С. 36-42.
- Благороднометальная минерализация в расслоенных ультрабазит-базитовых массивах юга Сибирской платформы / Н.Д. Толстых, Д.А. Орсоев, А.П. Кривенко, А.Э. Изох. Новосибирск: Параллель, 2008. 194 с.
- Геология, петрогеохимия и хромитоносность габбро-гипербазитовых массивов Южного Урала / Савельев Д.Е., Сначев В.И., Савельева Е.Н., Бажин Е.А. Уфа: ДизайнПолиграфСервис, 2008. 320 с.
- Глотов А.И., Кислов Е.В., Орсоев Д.А, Подлипский М.Ю., Перцева А.П., Зюзин В.И. Геохимия изотопов серы в различных типах сульфидного оруденения Йоко-Довыренского массива (Северное Прибайкалье) // Геология и геофизика. 1998. Т. 39. № 2. С. 228-233.
- Горбачев Н.С., Налдретт А., Бругманн Г., Ходоревская Л.И., Азиф М. Экспериментальное изучение распределения платиноидов и золота между водно-хлоридным флюидом и базальтовым расплавом при Т = 1100-1350С, Р = 5 кбар // ДАН. 1994. Т. 335. № 3. С. 356-358.
- Гроховская Т.Л., Дистлер В.В., Клюнин С.Ф., Захаров А.А., Лапутина И.П. Малосульфидная платиновая минерализация массива Луккулайсваара (Северная Карелия) // Геология руд. месторождений. 1992. № 2. С. 32-50.
- Додин Д.А., Чернышов Н.М., Яцкевич Б.А. Платинометальные месторождения России. СПб.: Наука, 2000. 755 с.
- Дистлер В.В., Степин А.Г. Малосульфидный платиноносный горизонт Йоко-Довыренского расслоенного гипербазит-базитового интрузива (Северное Прибайкалье) // ДАН. 1993. Т. 328. № 4. С. 498-501.
- Дистлер В.В., Дюжиков О.А., Кравцов В.Ф., Служеникин С.Ф., Туровцев Д.М. Малосульфидная платинометалльная формация Норильского района // Геология и генезис месторождений платиновых металлов. М.: Наука, 1994. С. 48-65.
- Казанов О.В. Распространенность платины и палладия и проблема баланса масс малосульфидного платинометального оруденения // Образование и локализация руд в земной коре. СПб.: Изд-во С-Петербургского университета, 1999. С. 244-254.
- Колонин Г.Р., Орсоев Д.А., Синякова Е.Ф., Кислов Е.В. Использование отношения Ni/Fe в пентландите для оценки летучести серы при формировании ЭПГ-содержащего сульфидного оруденения Йоко-Довыренского массива // ДАН. 2000. Т. 370. № 1. С. 87-91.
- Конев А.А., Бекман И.К. О происхождении газов, выделяющихся при нагревании горных пород и минералов // Геология и геофизика. 1978. № 12. С. 33-39.
- Конников Э.Г., Прасолов Э.М., Токарев И.В, Кислов Е.В., Орсоев Д.А. Изотопы Ar и Не из пород Довыренского мафит-ультрамафитового массива // Геология и геофизика. 2002. Т. 43. № 6. C. 543-552.
- Медь-никеленосные габброидные формации складчатых областей Сибири / Кривенко А.П., Глотов А.И., Балыкин П.А. и др. Новосибирск: Наука, 1990. 237 с.
- Налдретт А.Дж. Магматические сульфидные месторождения медно-никелевых и платинометальных руд. Санкт-Петербург: Изд-во СПбГУ, 2003. 487 с.
- Неймарк Л.А., Ларин А.М., Яковлева С.З., Срывцев Н.А., Булдыгеров В.В. Новые данные о возрасте пород акитканской серии Байкало-Патомской складчатой области по результатам U-Pb датирования цирконов // ДАН СССР. 1991. Т. 320. № 1. С. 182-186.
- Неручев С.С., Прасолов Э.М. Флюидно-геохимическая модель платиноидных месторождений, связанных с трапповым магматизмом // Платина России. Т. II, кн. 1. М.: Геоинформмарк, 1995. С. 94-101.
- Орсоев Д.А., Конников Э.Г., Кислов Е.В., Загузин Г.Н., Канакин С.В. Малосульфидное платинометальное оруденение нижней критической зоны Йоко-Довыренского расслоенного плутона (Северное Прибайкалье, Россия) // Тез. докл. VII Межд. платин. симпозиум. Москва, 1-4 августа 1994. С. 82-83.
- Орсоев Д.А., Кислов Е.В., Конников Э.Г., Канакин С.В., Куликова А.Б. Закономерности размещения и особенности состава платиноносных горизонтов Йоко-Довыренского расслоенного массива (Северное Прибайкалье) // ДАН. 1995. Т. 340. № 3. С. 225-228.
- Орсоев Д.А., Конников Э.Г., Глотов А.И, Кислов Е.В. Нижний расслоенный горизонт Федорово-Панского габброидного массива (Кольский п-ов): строение, состав, характер распределения флюидной фазы // Геология и геофизика. 1997. № 11. С. 1782-1791.
- Орсоев Д.А., Рудашевский Н.С., Крецер Ю.Л., Конников Э.Г. Благороднометальная минерализация малосульфидного оруденения в Йоко-Довыренском расслоенном массиве (Северное Прибайкалье) // ДАН. 2003. Т. 390. № 2. С. 233-237.
- Плаксенко А.Н. Типоморфизм акцессорных хромшпинелидов ультрамафит-мафитовых магматических формаций. Воронеж: Изд-во ВГУ, 1989. 224 с.
- Протерозойские ультрабазит-базитовые формации Байкало-Становой области / Балыкин П.А., Поляков Г.В., Богнибов В.И., Петрова Т.Е. Новосибирск: Наука, 1986. 204 с.
- Пушкарев Е.В., Вотяков С.Л., Чащухин И.С., Кислов Е.В., Щапова Ю.В., Галахова О.Л. Рудные хромшпинелиды Йоко-Довыренского расслоенного массива (Северное Прибайкалье): состав, особенности структуры и условия образования // Ежегодник-2002. Институт геологии и геохимии УрО РАН, 2003. С. 215-223.
- Рябов В.В. Флюидный режим траппового магматизма и рудообразования (петрологический аспект) // Геология и геофизика. 1999. № 10. С. 1457-1473.
- Симонов В.А., Изох А.Э. Взаимосвязь летучих компонентов и благородных металлов в расслоенных ультрабазит-базитовых массивах // Термобарогеохимия минералообразующих процессов. Новосибирск: Изд-во ОИГГиМ, 1994. С. 117-133.
- Служеникин С.Ф., Дистлер В.В., Дюжиков О.А., Кравцов В.Ф., Кунилов В.Е., Лапутина И.П., Туровцев Д.М. Малосульфидное платиновое оруденение в норильских дифференцированных интрузивах // Геология руд. месторождений. 1994. № 3. С. 195-217.
- Спиридонов Э.М., Орсоев Д.А., Арискин А.А., Николаев Г.С., Кислов Е.В., Коротаева Н.Н., Япоскурт В.О. Hg- и Cd-содержащие минералы Pd, Pt, Au, Ag сульфидоносных базитов и гипербазитов Йоко-Довыренского интрузива в байкалидах Северного Прибайкалья // Геохимия. 20191. Т. 64. № 1. С. 43-58.
- Спиридонов Э.М., Орсоев Д.А., Арискин А.А., Кислов Е.В., Коротаева Н.Н., Николаев Г.С., Япаскурт В.О. Палладогерманид Pd2Ge сульфидоносных анортозитов Йоко-Довыренского интрузива – первая находка в России // ДАН. 20192 (в печати).
- Феоктистов Г.Д. Флюидный режим формирования траппов Сибирской платформы // Флюидный режим формирования мантийных пород. Новосибирск: Наука, 1980. С. 81-124.
- Флюидный режим формирования мантийных пород / Г.Д. Феоктистов, И.М. Остафийчук, А.И. Киселев, Г.С. Харин. Отв. ред. Ф.А. Летников, Ю.В. Комаров. Новосибирск: Наука, 1980. 142 с.
- Шарков Е.В. Формирование расслоенных интрузивов и связанного с ними оруденения. М.: Научный мир, 2006. 368 с.
- Шинкарев Н.Ф., Григорьева Л.В. Транспортировка глубинного вещества и рудоносные флюиды // Записки ВМО. 1983. Ч. 112. Вып. 1. С. 28-41.
- Эрнст Р.Е., Гамильтон М.А. Возраст 725 млн лет (U-Pb по бадделеиту) Довыренской интрузии Сибири: корреляция с гигантской Франклинской магматической провинцией северной Лаврентии, датированной как 723 млн лет // Геология полярных областей Земли. Материалы XLII Тектонического совещания. Москва: ГЕОС, 2009. Т. 2. С. 330-332.
- Яковлев Ю.Н., Докучаева В.С. Платинометальное оруденение Мончегорского плутона (Кольский полуостров) // Геология и генезис месторождений платиновых металлов. М.: Наука, 1994. С. 79-86.
- Ariskin A.A., Danyushevsky L.V., Bychkov K.A., McNeill A.W., Barmina G.S., Nikolaev G.S. Modeling solubility of Fe-Ni sulfides in basaltic magmas: The effect of Ni in the melt // Econ. Geol. 2013. Vol.108. P. 1983-2003.
- Ariskin A.A., Danyushevsky L.V., Nikolaev G.S., Kislov E.V., Fiorentini M., McNeill A.W., Kostitsyn Y.A., Goemann K., Feig S.T., Malyshev A.V. The Dovyren intrusive complex (Southern Siberia, Russia): Insights into dynamics of an open magma chamber with implications for parental magma origin, composition, and Cu-Ni-PGE fertility // Lithos. 2018. Vol. 302-303. P. 242-262.
- Ariskin A.A., Kislov E.V., Danyushevsky L.V., Nikolaev G.S., Fiorentini M., Gilbert S., Goemann K., Malyshev A.V. Cu-Ni-PGE fertility of the Yoko-Dovyren layered massif (northern Transbaikalia, Russia): thermodynamic modeling of sulfide compositions in low mineralized dunite based on quantitative sulfide mineralogy // Mineral. Deposita. 2016. Vol. 51. P. 993-1011.
- Arndt N.T., Lesher C.M., Czamanske G.K. Mantle-derived magmas and magmatic Ni-Cu-(PGE) deposits // Econ. Geol. 2005. 100th Anniversary Volume. P. 5-23.
- Ballhaus C.G., Stumplf E.F. Sulfide and platinum mineralization in the Merensky Reef: evidence from hydrous silicates and fluid inclusions // Contribs. Mineral. and Petrol. 1986. Vol. 94. P. 193-204.
- Barnes S.J., Campbell J.H. Role of late magmatic fluids in Merensky type platinum deposits // Geology. 1988. Vol. 16. P. 488-491.
- Barnes S.J., Lightfoot P.C. Formation of magmatic nickel-sulfide ore deposits and processes affecting their copper and platinum-group element contents // Econ. Geol. 2005. 100thAnniversary Volume. P. 179-213.
- Barnes S.-J., Naldrett A.J. Geochemistry of the J-M (Howland) reef of the Stillwater complex, Minneapolis adit area. I. Sulfide chemistry and sulfide-olivine equilibrium // Econ. Geol. 1986. Vol. 80. P. 627-645.
- Barnes S.-J., Naldrett A.J., Gorton M.P. The origin of the fractionation of platinum-group elements in terrestrial magmas // Chem. Geol. 1985. Vol. 53. P. 303-323.
- Boudreau A.E. Transport of the Platinum-Group Elements by igneous fluids in layered intrusions // New Developments in Magmatic Ni-Cu and PGE Deposits. ( Li C. and Ripley E.M. eds.). Geological Publishing House, Beijing. 2009. P. 229-249.
- Boudreau A.E., Mathez E.A., McCallum I.S. // Halogen Geochemistry of the Stillwater and Bushveld complexes: Evidence for transport of the Platinum-Group Elements by Cl-richfluids // J. Petrol. 1986. Vol. 27. P. 967-987.
- Boudreau A.E., McCallum I.S. Concentration of PGE by magmatic fluids in layered intrusions // Econ. Geol. 1992. Vol. 87. P. 1830-1849.
- Cabri L.J. New data on phase relations in the Cu-Fe-S system // Econ. Geol. 1973. Vol. 68. P. 443-454.
- Campbell I.H., Naldrett A.J., Barnes S.-J. A model for the origin of platinum-rich sulfide horizons in the Bushveld and Stillwater complexes // J. of Petrology. 1983. Vol. 24. P. 133-165.
- Dick H.J.B., Bullen T. Chromian spinel as a petrogenetic indicator in abyssal and alpine-type peridotites and spatially associated lavas // Contrib. Mineral. and Petrol. 1984. Vol. 86. P. 54-76.
- Engelbrecht J.P. Chromites of the Bushveld Complex in the Nietverdiend area // Econ. Geol. 1985. Vol. 80. P. 729-746.
- Fleet M.E., Tronnes R.G., Stone W.E. Partitioning of platinum-group elements (Os, Ir, Ru, Pt, Pd) and gold between sulfide liquid and basalt melt // Geochim. Cosmochim. Acta. 1996. Vol. 60. P. 2397-2412.
- Gongalsky B.I, Krivolutskaya N.A. World-Class Mineral Deposits of Northeastern Transbaikalia, Siberia, Russia. Springer, 2019. 321 p.
- Halkoaho T. The Sompujarvi and Ala-Penikka PGE Reefs in the Penikat layered intrusion, Northern Finland: implications for PGE reef-forming processes. Acta Universitatis Ouluensis. A249. Oulu, 1994. 144 p.
- Hanley J.J., Mungall J.E., Pettke T., Spooner E.T.C., Bray C.J. Fluid and halide melt inclusions of magmatic origin in the ultramafic and lower banded series, Stillwater complex, Montana, USA // J. of Petrol. 2008. Vol. 49. P. 1133-1160.
- Konnikov E.G., Meurer W.P., Neruchev S.S., Prasolov E.M., Kislov E.V., Orsoev D.A. Fluid regime of the platinum group elements (PGE) and gold-bearing reef formation in the Dovyren mafic-ultramafic layered complex, eastern Siberia, Russia // Mineral. Deposita. 2000. Vol. 35. № 6. P. 526-532.
- Makovicky E. Ternary and Quaternary phase systems with PGE // The Geology, Geochemistry, Mineralogy and Mineral beneficiation of Platinum-Group Elements. Ed. by L.J. Cabri. Canadian Institute of mining, metallurgy and petroleum. Canada, 2002. Special volume 54. P. 131-175.
- McDonough W.F., Sun S.-s. The composition of the Earth // Chem. Geol. 1995. Vol. 120. P. 223-253.
- Merkle R.K.W., Von Gruenewaldt G. Compositional variation of Co-rich pentlandite: relation to the evolution of the upper zone of the Western Bushveld complex, South Africa // Canad. Miner. 1986. Vol. 24. P. 529-546.
- Meurer W.P., Boudreau A.E. Compaction of density stratified cumulates: effect on trapped-liquid distributions // J. Geology. 1996. Vol. 104. P. 115-120.
- Mungall J.E., Brenan J.M. Partitioning of platinum-group elements and Au between sulfide liquid and basalt and the origins of mantle-crust fractionation of the chalcophile elements // Geochim. Cosmochim. Acta. 2014. Vol. 125. P. 265-289.
- Naldrett A.J. Platinum-group element deposits // Platinum group elements: mineralogy, geology, recovery. Montreal: Canadian Institute of Mining and Metallurgy (CIM special volume 23). 1981. P. 197-231.
- Naldrett A.J. Fundamentals of magmatic sulfide deposits // Rev. Econ. Geol. 2011. Vol. 17. P. 1-50.
- Peregoedova A, Ohnenstetter M. Collectors of Pt, Pd and Rh in an S-poor Fe-Ni-Cu-sulfide system at 760 C: experimental data and application to PGE deposits // Canad. Mineral. 2002. Vol. 40. P. 527-561.
- Roeder P.L. Chromite: from the Fiery Rain of chondrules to the Kilauea Iki lava lake // Canad. Mineral. 1994. Vol. 32. P. 729-746.
- Seyler M., Lorand J.P., Dick H.J.B., Drouin M. Pervasive melt percolation reactions in ultra-depleted refractory harzburgites at the Mid-Atlantic Ridge, 15 degrees 15 20’ N: ODP Hole 1274A // Contr. Miner. Petrol. 2007. Vol. 153. P. 303-319.
- Sharpe M.R., Hulvert L.J. Ultramafic Sills beneath the Eastern Bushveld Complex // Econ. Geol. 1985. Vol. 80. P. 849-871.
- Sugaki A, Kitakaze A. High form pentlandite and its thermal stability // Amer. Miner. 1998. Vol. 83. P. 133-140.
- Wenzel T., Baumgartner L.P., Bruegman G.E., Konnikov E.G., Kislov E.V. Partial melting and assimilation of dolomitic xenoliths by mafic magma: Ioko-Dovyren intrusion (North Baikal Region, Russia) // J. of Petrol. 2002. Vol. 43. № 11. P. 2049-2074.
Supplementary files

















