Bacteria and viruses in Arctic Sea ice
- Authors: Sazhin A.F.1, Romanova N.D.1,2, Kopylov A.I.3, Zabotkina E.A.3
-
Affiliations:
- Shirshov Institute of Oceanology, Russian Academy of Sciences
- Obukhov Institute of Atmospheric Physics, Russian Academy of Sciences
- Papanin Institute for Biology of Inland Waters, Russian Academy of Sciences
- Issue: Vol 59, No 3 (2019)
- Pages: 373-382
- Section: Морская биология
- URL: https://journals.eco-vector.com/0030-1574/article/view/14419
- DOI: https://doi.org/10.31857/S0030-1574593373-382
- ID: 14419
Cite item
Full Text
Abstract
We studied vertical distribution of bacteria and viruses in different layers of the Arctic sea ice drilled at the North Pole. The sampled multi-year ice was characterized by uneven vertical distribution of bacterial abundance. This characteristic varied within the range of 8±1.2×103 to 95±2.6×103 cells ml-1. The layers with the maximal bacterial abundance were located in the intermediate and lower layers of the ice cores. Bacterial biomass varied from 0.5 to 5 mg C m-3 with the mean value 1.57±0.2 mg C m-3. The ratio of viral to bacterial abundance varied from 0.6 to 28, with the mean value 12.5. The average total number of phages attached to bacteria was 6.2×103 viral particles ml-1. The number of viral particles located within bacterial cells varied from 2 to 21 particles per a bacterial cell. The frequency of visibly infected bacterial cells (FVIC) calculated for the upper, intermediate and lower layers of the ice was 0.92, 1.23 and 0.8% of the total bacterial abundance, respectively. The overall frequency of infected cells (FIC) calculated for the same layers was 6.3, 8.4 and 0.8% of bacteria numbers, respectively, while the viral-mediated mortality of bacteria (VMB) was 7.1, 9.8 and 6.1 %, respectively. Our data show that during the study period the rate of viral infection of bacterial cells and the viral-mediated mortality of bacterial cells in the multy-year ice of the North Pole were relatively low.
Keywords
Full Text
ВВЕДЕНИЕ
Арктический лед — уникальная морская экосистема, представляющая собой специфическую среду обитания и связанные с ней специализированные группы организмов, включающие бактерии и вирусы. Температура ниже 0°C является неотъемлемым фактором, определяющим разнообразие микробной жизни. Бактерии и вирусы, адаптированные к холоду, не только используют лед в качестве среды обитания, но и взаимодействуют между собой, что может серьезно влиять на функционирование всей экосистемы [4, 10, 12, 18, 34]. Даже при -20°C в рассолах льда существует бактериальная активность [19]. Вызванный вирусами лизис бактерий приводит к высвобождению в окружающую среду углерода, который либо переносится в верхние трофические уровни при потреблении простейшими и многоклеточными фильтрующими организмами, либо, наоборот, способствует увеличению запасов растворенного органического вещества [1, 10, 11, 34, 47]. Резкое сокращение площади арктического льда влияет на биологические и биогеохимические процессы, действующие на границах между льдом, океаном и атмосферой, влияние это распространяется также и на всю водную толщу. Мы пока не знаем, как повлияют эти новые арктические условия на структуру и функционирование морской биоты в будущем [2, 8]. Взаимосвязь между таянием (уменьшение площади) морского льда и изменениями в трофических сетях Арктики, включая потенциальное воздействие на обитателей льда, изучена недостаточно, и некоторые фундаментальные вопросы остаются без ответа [5, 9, 10]. Увеличится или уменьшится продукция организмов низших трофических уровней при уменьшении не только площади покрытия льда, но и его объема во времении пространстве? Будет ли биоразнообразие арктических экосистем приближаться к «субарктическому» состоянию, и будет ли способна арктическая пищевая сеть обеспечить энергией более высокие трофические уровни? Заметное потепление Северного Ледовитого океана за последние три десятилетия привело к сокращению объема морского льда, его толщины, а также к уменьшению количества многолетнего льда [14, 16, 21, 28, 33, 38, 39, 41, 45]. Исходя из этой ситуации, важны точки отсчета или реперные данные, которые лягут в основу мониторинговых исследований всей Арктической экосистемы, в том числе и льда.
Чем интересен лед именно в районе Северного полюса? Уже хорошо известно, что морской лед, образующийся в Амеразийском суббассейне Северного ледовитого океана, дрейфует главным образом через Северный полюс в Северную Атлантику. Таким образом, те или иные характеристики льда в районе Северного полюса, — в своем роде отражение тех процессов, которые происходили, как правило, 1.5–2 года назад на шельфе морей Бофорта, ВосточноСибирского или Чукотского. К тому же в настоящее время все большее значение имеют сезонные льды, продолжительность жизни которых в момент, когда они оказываются на Северном полюсе, может составлять около 7 месяцев.
Отбор проб морского льда до сих пор остается технологической проблемой из-за отдаленности и малой доступности полярных районов, из-за трудностей проведения анализов микробных процессов во льду in situ в экологически значимых пространственно-временных масштабах. Большинство микробиологических анализов применимо только для растопленного льда, то есть физико-химические условия существования живых организмов в образующейся воде существенно отличаются от условий в естественном льду. Таким образом, остается неясным, как сообщества морского льда будут реагировать на сокращение площади арктических льдов.
Биологические работы именно в районе Северного полюса проводятся, хотя и редко, но касаются главным образом населяющих лед водорослей и ракообразных [2, 17]. Исследований, затрагивающих подробное описание жизнедеятельности самых мелких обитателей морского льда — вирусов и бактерий — очень мало. Поэтому в данной работе мы рассматриваем взаимосвязь именно бактерий и вирусов двухлетнего морского льда с целью оценки возможных последствий для функционирования ледовых и пелагических пищевых сетей всех уровней при серьезных климатических изменениях в Арктике.
МАТЕРИАЛ И МЕТОДЫ
Первый керн двухлетнего льда был получен 13 апреля 2007 г. на Северном полюсе (лагерь «Петр», ст. 1: 89°29’ с. ш., 22°49’ в. д.) во время арктической ледовой экспедиции «ПАЛЕКС». Второй керн двухлетнего льда был получен также на Северном полюсе 2 августа 2007 г. в 26-м рейсе НИС«Академик Федоров» (89°59’5’’ с. ш., 49°04’00’’ в. д.). Третий керн был получен 13 апреля 2015 г. на дрейфующей ледовой станции «Северный полюс-2015» (89°30’27’’ с. ш., 20°24’13’’ в. д.).
Керны льда диаметром 140 мм были отобраны с использованием механического титанового бура. Затем керны были помещены в стерильные трубы из полиэтилена и в замороженном виде (-24°C) доставлены в Москву для дальнейшего анализа. Керны были разрезаны стерильной пилой из нержавеющей стали на сегменты длиной 12–25 см каждый. Длину сегментов определяли в зависимости от визуально различимых слоев льда. Если слой был толстым, его делили на несколько равных частей. Кроме того, три пробы были взяты из керна сезонного льда (третий керн): из верхнего (3–7 см), промежуточного (80–90 см) и нижнего (162–166 см) слоев. Одновременно с третьим керном 1-литровым батометром Нискина была взята проба подледной воды, которая была сразу же в стерильном полистироловом флаконе зафиксирована нейтральным раствором формальдегида до его конечной концентрации в пробе 1%.
В пробы льда был добавлен формальдегид для подавления возможного бактериального роста при минусовых температурах [29], потом их около суток растапливали в темноте при температуре от 1 до 4°C. Пробы разливали по 50-мл стерильным полистироловым флаконам, фиксировали нейтральным раствором формальдегида (конечная концентрация в пробе 1%) и хранили в темноте при +4°C до последующей обработки. Для учета численности бактерий и определения их морфологического состава использовали метод прямого счета клеток под люминесцентным микроскопом, окрашенных флуорохромом DAPI [22, 40]. Пробы, полученные из кернов 1 и 2, обрабатывали в Москве в ноябре 2007 г., из керна 3 — в мае 2015 г. Для подсчета численности бактерий в подпробу объемом 10 или 20 мл добавляли раствор красителя (конечная концентрация 1 мкг/мл) и оставляли на пять минут в темноте. Окрашенную пробу концентрировали на черный ядерный фильтр с диаметром пор 0.17 мкм (пр-во ОИЯИ г. Дубна). Полученные препараты (три повторности) просматривали под микроскопом ЛЮМАМ Р-8 при увеличении ×1375 (пробы 2007 г.) и под микроскопом Leica 5000 при увеличении ×1000 (пробы 2015 г.). На каждом фильтре просчитывали не менее 20 полей зрения, общее число учтенных для каждой пробы клеток составляло более 200. Размер бактерий определяли с помощью окуляр-микрометра, измеряя не менее 20 клеток (2007 г.), или с использованием программы анализа изображений Image Scope Color (2015 г.). Объем вычислялся по формуле шара для кокков или цилиндра для палочковидных форм. Бактериальную биомассу в углеродных единицах вычисляли по формуле:
фгС/кл = 133.75×V0.438 [3],
где фгС/кл — содержание углерода (фемтограммы) в клетке, а V — объем клетки, мкм3.
Возможность отбора проб для учета вирусов была только для керна 1. Для определения численности свободных вирусных частиц, вирусов, прикрепленных к бактериальным клеткам, частоты видимых инфицированных вирусами бактерий (FVIC) — доли, в процентах, от общего количества гетеротрофных бактерий и среднего количества зрелых фагов в инфицированных бактериях (BS, частиц/кл) использовали метод электронной трансмиссионной микроскопии [48]. Вирусы и бактерии осаждали центрифугированием при 100 000 g (35 000 об/мин) в течение 2 ч с использованием ультрацентрифуги OPTIMA L-90k (Beckman Coulter, США) на никелевые сеточки плотностью 400 мешей, покрытые пиолоформом с угольным напылением. Сеточки просматривали в электронном микроскопе JEM 1011 (Jeol, Япония) при увеличении ×50 000–150 000. На каждом препарате учитывали не менее 700 свободных вирусных частиц и 700 клеток бактерий.
Для расчета доли, в процентах, всех инфицированных клеток гетеротрофных бактерий (FIC) использовали уравнение:
FIC = 7.1×FVIC – 22.5×FVIC2 [7].
Гибель бактериопланктона, вызванную вирусным лизисом (VMB) — доля, в процентах, от общей смертности или продукции бактериопланктона, определяли по формуле:
VMB = (FIC + 0.6×FIC2)/(1 – 1.2×FIC) [7].
В расчетах используют абсолютные величины FVIC и FIC. В данном методе предполагается, что продукция бактерий равна их общей смертности.
При установлении корреляционных зависимостей между параметрами был использован ранговый коэффициент корреляции Спирмена для уровня значимости 0.05. В качестве показателя разброса средних значений рассчитывали ошибку среднего.
РЕЗУЛЬТАТЫ
Керн 1 представляет собой двухлетний лед толщиной 192 см. В верхнем 25-сантиметровом слое лед образован снежным фирном; белый, матовый, твердый монолитный с редкими порами диаметром 1–3 мм. Глубже, вплоть до 180 см, лед серый, полупрозрачный, твердый монолитный, также с немногочисленными порами диаметром 1–3 мм. В слое 180–192 см лед серый, полупрозрачный, но уже полутвердый с характерными канальцами и редкими порами диаметром 1–5 мм и небольшими удлиненными кавернами.
Керн 2 также состоит из двухлетнего льда толщиной 225 см. Поверхностный 25-сантиметровый слой керна, как и в первом случае, образован снежным фирном; мутный серый, полумягкий, с порами диаметром 1–2 мм. Далее, вплоть до слоя 90 см, лед бело-серый, мутный, без развитых канальцев. Глубже лед белый, твердый, с развитыми канальцами. Горизонтальной структуры и прослоек практически нет. В слоях 90–225 см лед бело-серый, однородный, канальцы более развиты, присутствуют поры диаметром около 1 мм. В самом нижнем горизонте размер канальцев увеличивается по сравнению с вышележащими слоями льда.
Керн 3 представляет собой сезонный (однолетний) лед толщиной 180 см. В керне хорошо выделяются три слоя. Верхний слой (0–50 см) сложен голубовато-серым, непрозрачным кристаллическим льдом, с неоднородными белесыми прослойками разной мощности. В прослоях присутствуют поры в основном до 1 мм. Средний слой (50–160 см) имеет более однородное строение. Лед преимущественно микрокристаллический, голубовато-серого цвета, полупрозрачный, с большим количеством пор диаметром до 5 мм. Поры образуют скопления различной формы и вертикальные цепочки протяженностью до 10 см. В нижней части этого слоя появляются вертикальные канальцы длиной до 3 см. Нижний слой (160–180 см) представлен голубовато-серым непрозрачным разноструктурным льдом, который становится все более рыхлым и кавернозным к подошве слоя. В середине этого слоя (162–172 см) наблюдается большое количество крупных полостей и воздушных пузырьков размерами до 3 мм, образующих разветвленную сеть. Самая нижняя часть керна (слой 172–180 см) сложена крупнокристаллическим льдом с неровными очертаниями.
Бактерии
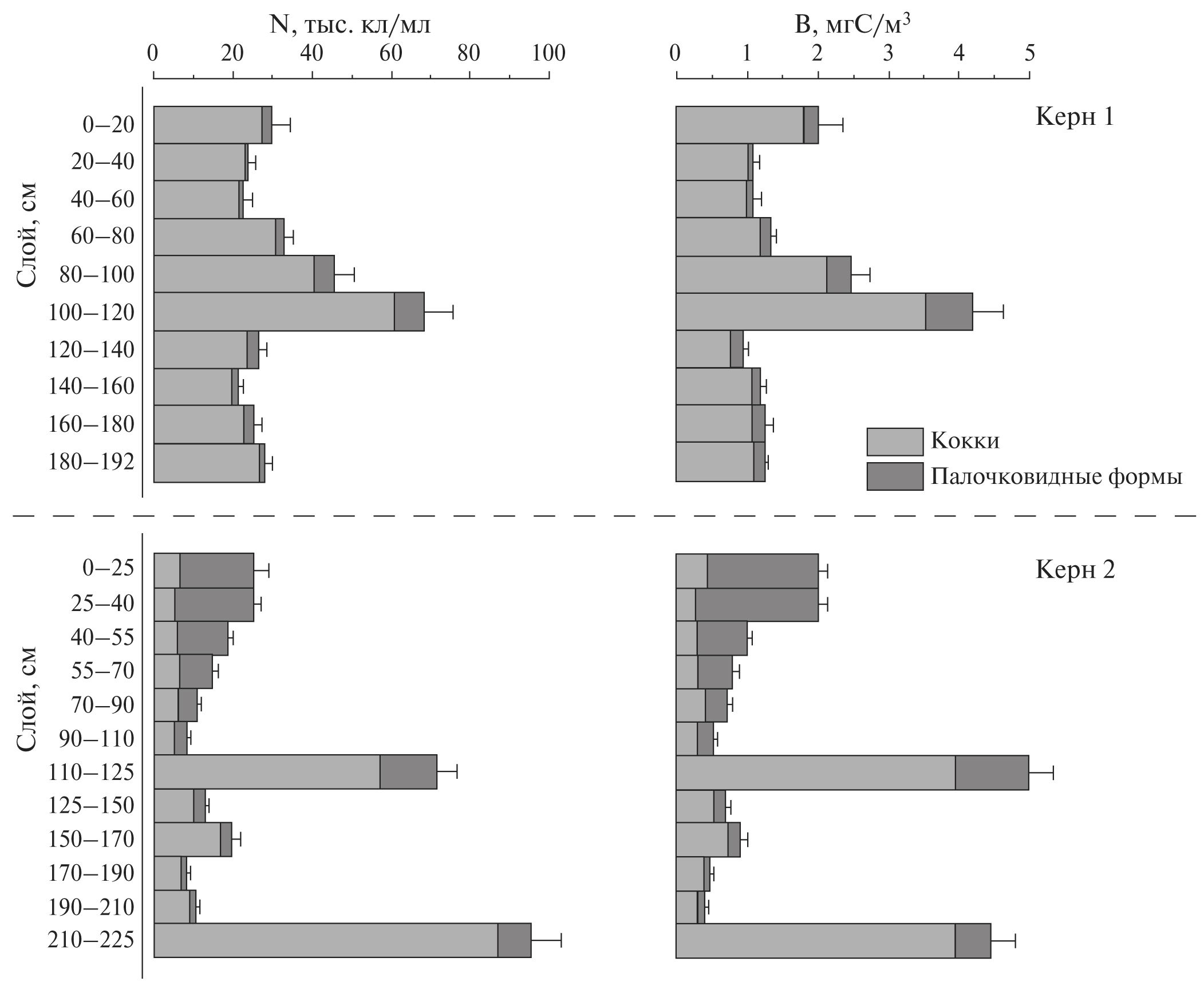
Исследуемые керны двухлетнего льда характеризовались неравномерным вертикальным распределением численности бактерий (рисунок). Ее величина варьировала в пределах 21–68±3.2×103 клеток/мл (керн 1) и от 8±1.2×103 до 95±2.6×103 клеток/мл (керн 2). Таким образом, количество бактериальных клеток могло различаться в 12 раз между разными слоями льда. Среднее количество бактерий составляло 28±2.9×103 клеток/мл. Лед с максимальным содержанием бактерий в обоих кернах располагался на глубине от 110 до 125 см (промежуточные слои) и от 210 до 225 см (нижний слой керна 2): 68–72±6.2×103 клеток/мл и 95±7.7×103 клеток/мл соответственно. Максимальная концентрация растворенного органического углерода также была характерна для вышеупомянутых слоев с величинами от 1.3 до 1.4 мгC/л, тогда как средняя концентрация растворенного органического углерода в остальных слоях составляла 1.0 (Н. А. Беляев, персональное сообщение).
Рис. Вертикальное распределение бактериальной численности (N) и биомассы (B) в двухлетнем льду.
Среди клеток бактерий различной морфологии в двухлетнем льду доминировали кокки (63–92%). Однако палочковидные клетки могли составлять более 50% бактериопланктона в верхних 50 см льда (рисунок, керн 2). Следует также отметить, что доля палочковидных бактерий увеличивалась в верхней части керна (15–23% в слое 0–120 см по сравнению с 7–15% в слое 120–225 см). Бактерии двухлетнего льда состояли из довольно крупных клеток со средним объемом 0.14 мкм3. Бактерии с максимальным размером клеток были расположены в верхней части льда (0.24 мкм3, керн 2).
Биомасса бактерий в разных слоях двухлетнего льда варьировала от 1 до 4.2±1.7 мгC/м3 (керн 1) и от 0.5 до 5±1.4 мгC/м3 (керн 2) со средними значениями 1.57±0.2 мгC/м3 и 1.43±0.3 мгC/м3 соответственно. Вертикальное распределение бактериальной биомассы обычно соответствовало характеру распределения численности бактерий. Максимальные значения биомассы наблюдались в слоях, расположенных на 110–125 см, как для керна 1, так и для керна 2 (4.2–5±0.4 мгС/м3), и на 210–225 см для керна 2 (4.5±0.4 мгC/м3). Однако следует отметить, что относительно высокие значения бактериальной биомассы (1.93±0.2 мгС/м3) были характерны и для поверхностных слоев обоих кернов (рисунок).
Распределение бактериальных клеток в однолетнем льду (керн 3) несколько отличалось от распределения бактерий в кернах двухлетнего льда (керны 1 и 2). Обилие микроорганизмов в верхнем слое керна 3 было сравнительно выше, чем в кернах 1 и 2, и составляло в среднем 53±4.5×103 клеток/мл. При этом величина биомассы была близка значениям этого показателя для кернов двухлетнего льда и составляла 2.06±0.2 мгС/м3. В промежуточных слоях льда керна 3 численность бактерий достигала 60±6.7×103 клеток/мл при биомассе 1.09±0.1 мгC/м3. В нижних слоях третьего керна концентрация бактерий была относительно низкой (25±0.3×103 клеток/мл или 0.95±0.01 мгС/м3) и соответствовала обилию бактерий в нижних слоях керна 1. Интересно, что численность бактерий в пробах воды, взятых непосредственно из-под ледового покрова, была близка к значениям обилия, характерным для верхнего и промежуточного слоев льда, и составляла 51±3.7×103 клеток/мл или 0.97±0.07 мгC/м3. Аналогично данным, полученным по кернам двухлетнего льда, распределение различных морфологических типов бактерий в сезонном льду керна 3 было следующим: 79–87% составляли кокки, 10–16% были палочковидными клетками, 0.4–4.6% составляли представители других морфологических групп. Подавляющая масса бактерий однолетнего льда состояла из небольших клеток со средним объемом 0.05 мкм3.
Вирусы
Количество вирусов (Vp) в разных слоях льда керна 1 составляло 17–952×103 частиц/мл (табл. 1). Максимальное число вирусов было характерно для верхнего, промежуточного и нижнего слоев льда, хотя эти максимумы обилия вирусных частиц не соответствовали точно вертикальному распределению максимумов численности бактерий. Соотношение численности вирусов и бактерий варьировало от 0.6 до 28 при среднем значении 12.5. Среднее суммарное количество фагов, прикрепленных к бактериям, во льду керна 1 составляло 62×103 частиц/мл при изменении этого значения в различных слоях льда от 1.4 до 11.8×103 частиц/мл. Доля вирусов, прикрепленных к бактериям, варьировала от 0.5 до 20.7% при среднем значении 7.1% от общей численности вирусов. Количество бактериальных клеток с прикрепленными к ним вирусными частицами менялась от 0.7 до 32×103 клеток/мл при среднем значении этого показателя 8×103 клеток/мл. Таким образом, в среднем доля бактериальных клеток с прикрепленными к ним вирусными частицами по отношению к общему количеству бактерий составляла 18% при изменении значения этой величины от 3.1 до 32%. Минимальное и максимальное количество вирусов, расположенных на бактериальных клетках, в разных слоях льда варьировало от 1 до 6 вирусных частиц со средним значением для керна 1.4 вирусной частицы на одну бактериальную клетку (табл. 1).
Таблица 1. Характеристики вирусных частиц (Vp) и бактерий (B) в разных слоях льда керна 1
Слой льда (см) | NV | NВ | NV/NВ | NVB | NVB/NV | NВV | NВV/NВ | NVBС | NVBС AVG |
0–20 | 53 | 29 | 1.8 | 5.32 | 10.1 | 5.32 | 18.2 | 1.0 | 1±0 |
20–40 | 514 | 24 | 21.7 | 4.96 | 1.0 | 4.10 | 17.3 | 1–3 | 1.21±0.05 |
40–60 | 17 | 22 | 0.8 | 1.40 | 8.0 | 0.70 | 3.1 | 2 | 2±0 |
60–80 | 24 | 33 | 0.7 | 4.98 | 20.7 | 3.98 | 12.1 | 1–2 | 1.25±0.05 |
80–100 | 952 | 45 | 21.0 | 4.57 | 0.5 | 3.09 | 28.7 | 1–4 | 1.48±0.07 |
100–120 | 58 | 68 | 0.8 | 7.42 | 12.8 | 4.95 | 7.2 | 1–2 | 1.5±0.05 |
120–140 | 17 | 26 | 0.6 | 7.56 | 4.5 | 6.30 | 23.8 | 1–2 | 1.2±0.04 |
140–160 | 156 | 21 | 7.5 | 6.14 | 3.9 | 4.91 | 23.5 | 1–2 | 1.25±0.05 |
160–180 | 703 | 25 | 28.0 | 11.79 | 1.7 | 31.99 | 32.0 | 1–6 | 1.47±0.08 |
180–192 | 91 | 28 | 3.3 | 7.34 | 8.0 | 14.71 | 14.7 | 1–3 | 1.8±0.08 |
Примечание. Численность вирусных частиц (NV, ×103 Vp/мл), численность бактерий (NВ, ×103 клеток/мл), отношение численности вирусов к численности бактерий (NV/NВ), численность вирусов, прикрепленных к бактериальным клеткам (NVB, ×103 Vp/мл), доля вирусных частиц, прикрепленных к бактериальным клеткам, в суммарной численности вирусов (NVB/NV, %), численность бактериальных клеток с вирусными частицами (NВV, ×103 клеток/мл), доля бактерий с вирусными частицами в суммарной численности бактерий (NВV/NВ, %), минимальное и максимальное количество вирусных частиц, связанных с бактериальными клетками (NVBС), среднее число вирусных частиц, связанных с бактериальными клетками (NVBС AVG).
Размер капсида вирусных частиц значительно варьировал, составляя 24–187 нм, с максимальным разбросом значений, характерных для слоя 160–180 см. В пределах каждого слоя льда средний размер капсида менялся от 42 до 83 нм, тогда как среднее значение для всего керна составляло 60 нм (табл. 2). Как видно из таблицы, большинство вирусных частиц были с размерами капсида от 40 до 100 нм. Вирусы с размерами капсида, превышающими 200 нм, отсутствовали в исследованных пробах.
Таблица 2. Диаметр капсида вирусных частиц всех размерных групп в разных слоях льда керна 1
Слой льда (cм) | D | DAVG | SV | ||||
<40 | 40–60 | 60–100 | 100–150 | 150–200 | |||
NVS | |||||||
0–20 | 37–158 | 62±4 | 9.1 | 54.6 | 27.3 | 4.5 | 4.5 |
20–40 | 26–140 | 66±6 | 5.9 | 41.2 | 44.1 | 8.8 | 0 |
40–60 | 25–64 | 42±4 | 33.3 | 55.6 | 11.1 | 0 | 0 |
60–80 | 29–101 | 54±4 | 25.0 | 43.8 | 25.0 | 6.2 | 0 |
80–100 | 29–174 | 83±8 | 7.1 | 30,4 | 30.3 | 28.6 | 3.6 |
100–120 | 40–72 | 52±4 | 9.1 | 63.6 | 27.3 | 0 | 0 |
120–140 | 40–85 | 54±4 | 0 | 53.9 | 38.5 | 7.7 | 0 |
140–160 | 26–114 | 68±6 | 5.3 | 36.8 | 44.7 | 13.2 | 0 |
160–180 | 24–187 | 64±8 | 26.5 | 22.6 | 39.6 | 9.4 | 1.9 |
180–192 | 26–100 | 51±5 | 45.5 | 18.2 | 36.3 | 0 | 0 |
Примечание. Минимальный и максимальный диаметр капсида вирусов (D, нм), средний диаметр вирусного капсида (DAVG, нм), доля вирусных частиц различных размерных групп (SV, нм) в суммарной численности вирусов (NVS, %) в различных слоях льда.
Данные о частоте видимых инфицированных бактериальных клеток (FVIC), частоте инфицированных бактерий (FIC), вирусиндуцированной смертности бактерий (VMB) и количестве вирусных частиц, расположенных внутри бактериальных клеток (BS), приведены в табл. 3. Значения FVIC, определенные для верхнего, промежуточного и нижнего слоев, были 0.92, 1.23 и 0.8% от общей численности бактерий соответственно. Значения FIC, рассчитанные для тех же слоев, составляли соответственно 6.3, 8.4 и 0.8% от числа бактерий, тогда как показатель VMB составлял соответственно 7.1, 9.8 и 6.1% общей смертности бактериопланктона. Величина BS варьировала от 2 до 21 частицы на бактериальную клетку. Среднее значение BS, рассчитанное для всего керна льда, составляло 7.3 вирусной частицы на клетку. Наибольшая доля зараженных клеток бактерий была характерна для нижнего слоя льда, расположенного на глубине от 160 до 180 см.
Таблица 3. Характеристики видимых инфицированных бактерий в разных слоях льда керна 1
Слой льда (cм) | FVIC | FIC | VMB | BS | BSAVG |
0–20 | 0 | 0 | 0 | 0 | 0 |
20–40 | 0.92 | 6.30 | 7.10 | 2–8 | 4.75±1.60 |
40–60 | 0 | 0 | 0 | 0 | 0 |
60–80 | 0 | 0 | 0 | 0 | 0 |
80–100 | 1.23 | 8.40 | 9.80 | 3–12 | 7.20±1.63 |
100–120 | 0 | 0 | 0 | 0 | 0 |
120–140 | 0 | 0 | 0 | 0 | 0 |
140–160 | 0 | 0 | 0 | 0 | 0 |
160–180 | 0.80 | 0.80 | 6.10 | 3–21 | 10.0±6.41 |
180–192 | 0 | 0 | 0 | 0 | 0 |
Примечание. Частота видимых инфицированных бактерий (FVIC, % NB), частота всех инфицированных бактерий (FIC, % NB), вирусиндуцированная смертность бактерий (VMB, % РВ), число вирусов внутри бактериальных клеток: минимальные и максимальные величины (BS, Vp/клетку), средние величины (BSAVG, Vp/клетку) в различных слоях льда.
ОБСУЖДЕНИЕ
Бактериальное население льдов и подледной воды Северного Ледовитого океана изучалось многими авторами, в результате чего был получен довольно широкий спектр данных [35, 37, 43, 46 и др.]. Что касается методов количественной микроскопии, то, к сожалению, сведений, относящихся к бактериальному и вирусному населению льда, сравнительно немного. Большинство проб льда для микроскопии были взяты в антарктическом море Росса [23, 24, 25] и только несколько — в центральной Арктике [35, 46].
В нашем случае, в 2015 г., среднее количество бактерий в арктическом льду не превышало величины их обилия в подледной воде. Близкие значения численности бактерий в пробах льда и подледной воды, скорее всего, являются результатом сходства условий существования микроорганизмов в обеих средах. Как мы видели, двухлетний лед характеризовался неравномерным вертикальным распределением численности и биомассы бактерий. В среднем и нижнем слоях льда наблюдались два пика бактериального обилия. Увеличение численности бактерий в промежуточных слоях льда, вероятнее всего, отражает сезонный пик размножения бактерий арктическим летом, связанный с развитием водорослей во льду [6, 20]. К сожалению, существует не так много данных о характере вертикального распределения бактерий и вирусов в тех или иных слоях льда, имеющих различное происхождение и структуру. Тем не менее сезонная картина вертикального распределения бактерий описана рядом авторов [10, 15, 17, 32, 35]. Примечательно, что характер вертикального распределения бактерий в многолетних льдах, сходный с распределением микроорганизмов, описанным в нашей работе, был обнаружен в паковых льдах и в других районах Северного Ледовитого океана [26, 30].
Численность и биомасса бактерий во льдах центральной части Северного Ледовитого океана обычно значительно ниже величин, приводимых исследователями, которые работали в районах формирования льда в Чукотском море, море Бофорта, а также в районах завершения дрейфа льдов, в частности в проливе Фрама [13, 30, 31, 37]. Эти данные могут указывать на то, что количество бактерий в тех или иных слоях паковых (многолетних) льдов может меняться в зависимости от региона нахождения льда, тогда как общая картина и характер вертикального распределения микроорганизмов остается неизменным. Тот факт, что в вышеупомянутых исследованиях концентрация бактериопланктона в подледной воде была близка средним значениям числа бактерий во льду, может подтвердить это предположение. Наши результаты, как и данные других исследователей, позволяют думать, что рост и распределение бактерий в тех или иных слоях льда, скорее всего, зависит от расположения «пятен» (источников) доступного микроорганизмам органического вещества. Такая картина распределения микроорганизмов обычно сохраняется в течение начального этапа перехода от зимнего, преимущественно гетеротрофного микробного сообщества, к автотрофному (с преобладанием водорослей) сообществу весной. В ходе дальнейшего развития микробного сообщества морского льда максимальная бактериальная активность, как правило, совпадает с нижним слоем ледового покрова, который обогащается органическим веществом в процессе «цветения» воды водорослями. В паковых льдах такая ситуация может возникать несколько раз в ходе смены сезонов года. В конце концов, в многолетнем льду может наблюдаться стратифицированная картина вертикального распределения бактерий, которая, например, хорошо коррелирует с концентрацией хлорофилла «а» [26]. Обилие бактерий в многолетнем льду, особенно в нижней его части, в значительной степени определяется конкретным маршрутом, по которому проходит дрейф, поскольку на формирование микробного сообщества льда влияет количество бактерий в воде. Тем не менее общая картина вертикального распределения бактерий во льду остается неизменной: пики численности бактерий, расположенные в слоях, связанных с весенне-летним «цветением» водорослей, разделяют зоны, где бактериальное обилие соответствует концентрации бактериопланктона в подледной воде.
Сезонные изменения обилия бактерий во льду могут быть вызваны несколькими факторами. Во-первых, замедление роста бактерий при переходе от гетеротрофного зимнего состояния микробного сообщества к автотрофному весеннему [36, 44]. Кроме того, снижение количества бактерий в течение зимы может быть связано с уменьшением количества рассола во льду (то есть сокращением среды обитания бактерий), а также вирусным лизисом, вызванным высокой концентрацией не только бактериальных, но и вирусных частиц в рассоле [15].
В холодных водах разных биотопов Северного Ледовитого океана смертность бактерий, вызванная вирусами, может варьировать от 1% и менее до 100% суточной бактериальной продукции [27, 42, 46]. Чаще всего значения вирусиндуцированной смертности бактерий варьируют от 1% [42] до 50.6% суточной бактериальной продукции [11]. В период наших исследований на Северном полюсе уровень инфицирования вирусными частицами и вирусиндуцированная смертность бактерий во льду были относительно низкими. Средние значения FVIC и VMB составляли соответственно 1 и 8%.
ЗАКЛЮЧЕНИЕ
Вертикальное распределение бактерий и вирусов в двухлетнем арктическом льду характеризуется пиками их обилия в срединных и нижних слоях. Увеличение количества бактерий в промежуточных слоях льда, вероятнее всего, отражает летний пик численности бактерий в первый год формирования льда, когда эти слои представляли собой ледяную подошву, на которой происходило «цветение» водорослей. Таким образом, вертикальное распределение бактерий, по существу, определяется распределением локальных участков доступного органического вещества. В нижних слоях двухлетнего льда повышенная концентрация бактерий связана с обогащением органическим веществом ледяной подошвы вследствие «цветения» водорослей весной и летом второго года. Увеличение концентрации вирусных частиц в промежуточном и нижнем слоях льда непосредственно следует за нарастанием численности бактерий в этих слоях. Более того, количество бактерий и, следовательно, вирусов в нижних слоях льда связано с концентрацией бактериопланктона и вириопланктона в тонком слое воды подо льдом. В период наших исследований уровень вирусного заражения бактериальных клеток во всех слоях льда был невысоким, а средняя величина вирусиндуцированной смертности бактерий составляла всего 8% их общей смертности.
Благодарности. Авторы благодарят А. Н. Новигатского, Н. А. Беляева и Л. Е. Рейхард за предоставленные керны льда.
Источник финансирования. Работа была выполнена при финансовой поддержке Министерства науки и высшего образования РФ, соглашение № 14.616.21.0078 (RFMEFI61617X0078).
About the authors
A. F. Sazhin
Shirshov Institute of Oceanology, Russian Academy of Sciences
Author for correspondence.
Email: andreysazhin@yandex.ru
Russian Federation, Moscow
N. D. Romanova
Shirshov Institute of Oceanology, Russian Academy of Sciences; Obukhov Institute of Atmospheric Physics, Russian Academy of Sciences
Email: romanova-nadya@yandex.ru
Russian Federation, Moscow
A. I. Kopylov
Papanin Institute for Biology of Inland Waters, Russian Academy of Sciences
Email: andreysazhin@yandex.ru
Russian Federation, Borok
E. A. Zabotkina
Papanin Institute for Biology of Inland Waters, Russian Academy of Sciences
Email: romanova-nadya@yandex.ru
Russian Federation, Borok
References
- Копылов А. И., Косолапов Д. Б. Микробная “петля” в планктонных сообществах морских и пресноводных экосистем. Ижевск: КнигоГрад, 2011. 332 с.
- Мельников И. А. Оценка современного состояния и особенностей формирования биоты арктического морского льда по материалам мониторинга в районе Северного полюса // Проблемы экологического мониторинга и моделирования экосистем. 2017. Т. 28. № 1. С. 83–96.
- Романова Н. Д., Сажин А. Ф. Взаимосвязь между объемом бактериальных клеток и содержанием в них углерода // Океанология. 2010. Т. 50. № 4. С. 556–565.
- Anesio A. M., Bellas C. M. Are low temperature habitats hot spots of microbial evolution driven by viruses? // Trends Microbiol. 2011. V. 19 (2). P. 52–57.
- Arrigo K. R., Donald K. Perovich D. K. et al. Massive phytoplankton blooms under Arctic sea ice // Science. 2012. V. 336. P. 1408.
- Assmy P., Ehn J. K., Fernández-Méndez M. et al. Floating ice-algal aggregates below melting Arctic sea ice // PLoS ONE. 2013. V. 8. e76599.
- Binder B. Reconsidering the relationship between virally induced bacterial mortality and frequency of infected cells // Aquatic Microbial Ecology. 1999. V. 18. P. 207–215.
- Bluhm B. A., Kosobokova K. N., Carmack E. C. A tale of two basins: An integrated physical and biological perspective of the deep Arctic Ocean // Progress in Oceanography. 2015. V. 139. P. 89–121.
- Boetius A., Albrecht S., Bakker K. et al. Export of algal biomass from the melting Arctic sea ice // Science. 2013. V. 339. P. 1430–1432.
- Boetius A., Anesio A. M., Deming J. W. et al. Microbial ecology of the cryosphere: sea ice and glacial habitats // Nature Reviews Microbiology. 2015. V. 13, P. 677–690.
- Boras J. A., Sala M. M., Arrieta J. M. et al. Effect of ice melting on bacterial carbon fluxes channeled by viruses and protists in the Arctic Ocean // Polar Biology. 2010. V. 33. P. 1695–1707.
- Borriss, M., Helmke, E., Hanschke, R., Schweder, T. Isolation and characterization of marine psychrophilic phage-host systems from Arctic sea ice // Extremophiles. 2003. V. 7. P. 377–384.
- Brinkmeyer R., Knittel K., Jürgens J. et al. Diversity and Structure of Bacterial Communities in Arctic versus Antarctic Pack Ice // Applied and Environmental Microbiology. 2003. V. 69 (11). P. 6610–6619.
- Cavalieri D. J., Parkinson C. L. Arctic sea ice variability and trends, 1979–2010 // The Cryosphere. 2012. V. 6. P. 881–889.
- Collins R. E., Carpenter Sh. D., Deming J. W. Spatial heterogeneity and temporal dynamics of particles, bacteria, and pEPS in Arctic winter sea ice // J. of Marine Systems. 2008. V. 74. P. 902–917.
- Comiso J. C. Large decadal decline of the Arctic multiyear ice cover // J. of Climate. 2012. V. 25. P. 1176–1193.
- Delille D., Fiala M., Kuparinen J. et al. Seasonal changes in microbial biomass in the first-year ice of the Terre Adélie area (Antarctica) // Aquatic Microbial Ecology. 2002. V. 28. P. 257–265.
- Deming J. W. Bacteria and Viruses. In: Sea Ice / Eds. Thomas D. N., Dieckmann G. S. Chapter 7. Wiley-Blackwell, 2010. P. 247–282.
- Deming, J. W., Eicken, H. Planets and Life // The Emerging Science of Astrobiology/Eds. Sullivan, W. T. & Baross, J. A. Cambridge Univ. Press, 2007. P. 292–312.
- Fernández-Méndez M., Wenzhöfer F., Peeken I. et al. Composition, buoyancy regulation and fate of ice algal aggregates in the central Arctic Ocean // PLoS ONE. 2014. V. 9. e107452.
- Fountain A.G., Campbell J. L., Schuur E. A. G. et al. The disappearing cryosphere: impacts and ecosystem responses to rapid cryosphere loss // Bioscience. 2012. V. 62. P. 405–415.
- Hoff K. A. Total and specific bacterial counts by simultaneous staining with DAPI and flourochrome-labeled antibodies // Handbook of methods in Aquatic microbial ecology. Lewis Publishers, 1993. P. 149–154.
- Gowing M. M. Large viruses and infected microeukaryotes in Ross Sea summer pack ice habitats // Marine Biology. 2003. V. 142. P. 1029–1040.
- Gowing M. M., Garrison D. L., Gibson A. H. et al. Bacterial and viral abundance in Ross Sea summer pack ice communities // Marine Ecology Progress Series. 2004. V. 279. P. 3–12.
- Gowing M. M., Riggs B. E., Garrison D. L. et al. Large viruses in Ross Sea late autumn pack ice Habitats // Marine Ecology Progress Series. 2002. V. 241. P. 1–11.
- Gradinger R., Zhang Q. Vertical distribution of bacteria in Arctic sea ice from the Barents and Laptev Seas // Polar Biology. 1997. V. 17. P. 448–454.
- Guixa-Boixereu N., Vaqué D., Gasol J. M. et al. Viral distribution and activity in Antarctic waters // Deep-Sea Res. II. 2002. V. 49. P. 827–845.
- Johannessen O. M., Shalina E. V., Miles M. Satellite evidence for an Arctic sea ice cover in transformation // Science. 1999. V. 286. P. 1937–1939.
- Junge K., Eicken H., Deming J. W. Bacterial Activity at -2 to -20°C in Arctic Wintertime Sea Ice // Appl. Environ. Microbiol. 2004. V. 70 (1). P. 550–557.
- Junge K., Imhoff F., Staley T., Deming J. W. Phylogenetic diversity of numerically important Arctic sea-ice bacteria cultured at subzero temperature // Microbial Ecology. 2002. V. 43 (3). P. 315–328.
- Kaneko T., Roubal G., Atlas R. M. Bacterial populations in the Beaufort Sea // Nature. 1977. V. 270. P. 596–599.
- Kottmeier S. T., Sullivan C. W. Bacterial biomass and production in pack ice of Antarctic marginal ice edge zones // Deep-Sea Res. 1990. V. 37 (8). P. 1311–1330.
- Kwok R., Cunningham G. F., Wensnahan M. et al. Thinning and volume loss of the Arctic Ocean sea ice cover: 2003–2008 // J. of Geophys. 2009. V. 114 (C7). P. 1–16.
- Leeuwe M. A., Tedesco L., Arrigo K. R. et al. Microalgal community structure and primary production in Arctic and Antarctic sea ice: A synthesis // Elementa Science of the Anthropocene. 2018. V. 6 (4). DOI: https: // doi.org/ 10.1525/elementa.267.
- Maranger R., Bird F. D., Juniper S. K. Viral and bacterial dynamics in Arctic sea ice during the spring algal bloom near Resolute, N. W.T., Canada // Marine Ecology Progress Series. 1994. V. 111. P. 121–127.
- Meiners K., Fehling J., Granskog M. A. Spindler M. Abundance, biomass and composition of biota in Baltic Sea ice and underlying water (March 2000) // Polar biology. 2002. V 25 (7). P. 61–770.
- Meiners K., Gradinger R., Fehling J. et al. Vertical distribution of exopolymer particles in sea ice of the Fram Strait (Arctic) during autumn // Marine Ecology Progress Series. 2003. V. 248. P. 1–13.
- Nghiem S. V., Rigor I. G., Perovich D. K. et al. Rapid reduction of Arctic perennial sea ice // Geophys. Res. Letters. 2007. V.34 (19). P.34–39.
- Polyakov I. V., Walsh J. E., Kwok R. Recent changes of Arctic multiyear sea-ice coverage and the likely causes // Bulletin of the American Meteorological Society. 2012. V. 93. P. 145–151.
- Porter K. G., Feig Y. S. The use of DAPI for identifying and counting aquatic microflora // Limnol. Oceanogr. 1980. V. 25 (5). P. 943–948.
- Rothrock, D. A., Yu Y., Maykut G. A. Thinning of the Arctic sea-ice cover // Geoph. Res. Letters. 1999. V. 26 (23). P. 3469–3472.
- Steward G. F., Fandino L. B., Hollibaugh J. T. et al. Microbial biomass and viral infections of heterotrophic prokaryotes in the sub-surface layer of the Central Arctic Ocean // Deep-Sea Res. I. 2007. V. 54. P.1744–1757.
- Stewart F. J., Fritsen C. H. Bacteria-algae relationships in Antarctic sea ice // Antarctic science. 2004. V. 16 (2). P. 143–156.
- Terrado R., Lovejoy C., Massana R., Vincent W. F. Microbial food web responses to light and nutrients beneath the coastal Arctic Ocean Sea ice during the winter-spring transition // J. of Marine Systems. 2008. V. 74. P. 964–977.
- Vinnikov K. Y., Robok A., Stouffer R. et al. Global warming and northern hemisphere sea ice extent // Science. 1999. V. 286 (5446). P. 1934–1937.
- Wells L. E., Deming J. W. Modelled and measured dynamics of viruses in Arctic winter sea ice brines // Environmental Microbiology. 2006. V. 8. P. 1115–1121.
- Weinbauer M. G. Ecology of prokaryotic viruses // FEMS Microbiology Reviews. 2004. V. 28 (2). P. 127–181.
- Zheng Y. Z., Web R., Greenfield P. F., Reid S. Improved method for counting virus and virus like particles // J. of Virological Methods. 1996. V. 62. P. 153–159.
Supplementary files



