Spatial variability of primary production and chlorophyll in the Laptev sea in august–september
- Authors: Demidov A.B.1, Gagarin V.I.1, Arashkevich E.G.1, Makkaveev P.N.1, Konyukhov I.V.2, Vorobieva O.V.2,3, Fedorov A.V.4
-
Affiliations:
- Shirshov Institute of Oceanology Russian Academy of Science
- Lomonosov Moscow State University
- Russian Federal Research Institute of Fisheries and Oceanography
- South Branch of Shirshov Institute of Oceanology Russian Academy of Science
- Issue: Vol 59, No 5 (2019)
- Pages: 755-770
- Section: Морская биология
- URL: https://journals.eco-vector.com/0030-1574/article/view/17603
- DOI: https://doi.org/10.31857/S0030-1574595755-770
- ID: 17603
Cite item
Full Text
Abstract
Spatial distribution of phytoplankton primary production and chlorophyll was studied based on the data of three cruises carried out in August–September of 2015, 2017 and 2018. The average value of water column primary production (IPP) along the transect from Lena`s mouth to the continental slope was 2.8 fold higher than that one along the transect from Khatanga`s mouth, which was explained by the level of incident radiation and nutrients concentration. Along the cross-slope transects increasing of photosynthetically layer integrated chlorophyll (Chlph) occurred due to developing of deep maxima. IPP and Chlph increasing was registered in the vicinity of the continental slope. In August–September the averaged IPP value was < 100 mgC m-2 d-1 that is the evidence of oligotrophy of the Laptev Sea at the end of summer and at the beginning of autumn.
Keywords
Full Text
ВВЕДЕНИЕ
Море Лаптевых занимает ключевое место в геохимическом цикле углерода морей Сибирской Арктики и всего Арктического океана [15, 18, 59]. Это место определяется особенностями синтеза и аккумуляции органического вещества и его транспорта в центральные районы Арктического океана [17, 31, 51], которые формируются под воздействием интенсивного речного стока, а также определяются мелководным характером водоема. Площадь континентального шельфа моря Лаптевых равняется 460 000 км 2 [32], что составляет ~7% площади шельфа всего Арктического океана. Влияние пресных материковых вод определяется, в первую очередь, стоком реки Лены, второго по объему, поступающего в Арктический океан [23, 33, 43].
Величина первичной продукции фитопланктона (ПП) играет в биогеохимическом цикле углерода одну из ведущих ролей. С величиной ПП связаны количество вещества и энергии, передающееся по трофической цепи, интенсивность обмена углекислым газом между океаном и атмосферой и поток органического вещества из верхних слоев водной толщи на дно [40, 48, 57]. Оценки ПП проводятся с помощью моделей, а результаты натурных измерений исключительно важны для их верификации [12–14, 16, 30, 37, 46].
Несмотря на важность получения экспериментального полевого материала, данных натурных измерений ПП в море Лаптевых крайне мало, что объясняется труднодоступностью этого региона Арктики. Измерения интегральной в столбе воды первичной продукции (ИПП) в море Лаптевых ранее были проведены в основном в восточном районе — в зоне стока реки Лены, заливе Буор-Хая и у Новосибирских островов [27, 52, 58]. Другие немногочисленные данные измерений ПП в приповерхностном слое этого района моря Лаптевых хранятся в базе данных ARCSS-PP (https://www.nodc. noaa.gov/archive/arc0028/0063065/1.1/data/ 0-data/
ARCSS-PP_FGDCmetadata.htm). Единичные определения ИПП проведены в центральной части моря [58]. Косвенно о величинах ПП можно судить по данным о содержании хлорофилла “а” (хл “а”) на поверхности и в столбе воды, которые также немногочисленны [5, 27, 29, 36, 58].
Таким образом, вклад моря Лаптевых в мировую базу экспедиционных данных по Арктическому океану, включающую основные продукционные характеристики фитопланктона (первичную продукцию, хл “а”, ассимиляционное число (АЧ), эффективность фотосинтеза), признается крайне малым [30, 42]. В связи с этим расширение базы натурных наблюдений считается одной из основных задач исследований в этом регионе. Другой задачей является исследование пространственной изменчивости продукционных параметров фитопланктона с точки зрения влияния на нее речного стока и гидролого-гидрохимических процессов, протекающих на континентальном склоне. В настоящей работе поставлена цель сравнить масштабы пространственных неоднородностей в распределении первичной продукции и хл “а на субмеридиональных разрезах от устьев рек Лены и Хатанги в открытое море и через континентальный склон и выявить их причины.
МАТЕРИАЛ И МЕТОДЫ
Район работ и отбор проб. Материалом настоящей статьи послужили результаты измерений продукционных параметров фитопланктона, полученные на разрезе от дельты реки Лены в открытое море (далее разрез “Лена”) в сентябре 2015 г., на разрезе от эстуария реки Хатанги в открытое море (далее разрез “Хатанга”) в сентябре 2017 г. и на разрезах через континентальный склон моря Лаптевых (далее разрезы “Восточный склон” и “Западный склон”) в августе–сентябре 2018 г. (рис. 1). Работы были выполнены, соответственно, в 63-, 69- и 72-м рейсах НИС “Академик Мстислав Келдыш”.
Рис. 1. Расположение станций в море Лаптевых. Темные кружки — 63-й рейс НИС “Академик Мстислав Келдыш” (сентябрь 2015 г.), треугольники — 69-й рейс НИС “Академик Мстислав Келдыш” (сентябрь 2017 г.), светлые кружки — 72-й рейс НИС “Академик Мстислав Келдыш” (август–сентябрь 2018 г.). I — разрез “Лена”, II — разрез “Хатанга”, III — разрез “Восточный склон”, IV — разрез “Западный склон”.
Местоположение станций выбиралось по результатам гидрофизических и гидрооптических съемок, осуществлявшихся с помощью сканирующего мультипараметрического зонда Idronaut (Италия) и проточного флуориметра, разработанного в ИО РАН. Выбор местоположения станций служил целям максимального покрытия экспериментальными точками исследуемой акватории и получения наиболее полных характеристик узких градиентных фронтальных зон. Горизонты отбора проб определялись после предварительного зондирования температуры, электропроводности и флуоресценции CTD-зондами Seabird Electronics (США) SBE-19 и SBE-32.
Для определения содержания хл “а”, ПП и гидрохимических характеристик пробы воды отбирали пластиковыми батометрами комплекса Carousel Water Sampler с 6–9 горизонтов верхнего 100-метрового слоя. Проба из поверхностного слоя на этих станциях отбиралась пластиковым ведром одновременно с замыканием батометров у поверхности.
Определение первичной продукции. Первичная продукция измерялась при помощи радиоуглеродной модификации метода светлых и темных склянок [54]. Постановка опытов осуществлялась по схеме имитации световых условий [38, 55] и согласно методу Райтера-Йенча [47] с модификациями [2, 21]. Склянки предварительно обрабатывались 1 N HCl. По первой схеме пробы воды объемом 160 мл помещались под нейтральные светофильтры с пропусканием, соответствующим облученности на глубине отбора. Предварительно проводилось зондирование подводной облученности в диапазоне фотосинтетически активной радиации (ФАР) (см. ниже). После добавления меченого по углероду бикарбоната натрия (NaH14CO3) активностью 0.05 µCi на 1 мл пробы экспонировали при естественном освещении в течение половины светового дня (с восхода до полудня или с полудня до захода) в палубном инкубаторе при естественном освещении. Температура воды в инкубаторе в течение экспозиции поддерживалась близкой к поверхностной температуре (Т0) во время отбора проб. После окончания экспозиции содержимое склянок фильтровали при низком вакууме (0.1 атм) через мембранные фильтры “Владипор” (Россия) из нитроцеллюлозы с размером пор 0.45 µ. После фильтрации пробы обрабатывались 1 N HCl и фильтрованной морской водой для устранения меченого неорганического углерода, высушивались при комнатной температуре в течение ночи и помещались в сцинтилляционный флакон. После добавления 10 мл сцинтилляционного коктейля Optiphase HiSafe III (PerkinElmer, США) учет активности фильтров проводили через сутки на сцинтилляционном радиометре Triathler (Финляндия). По результатам определения ПП на разных горизонтах строились кривые ее вертикального распределения. Площадь, ограниченная кривой, соответствовала первичной продукции в столбе воды.
Для расчета ИПП по методу Райтера-Йенча использовались данные об ассимиляции углерода в пробе с поверхности, вертикальные профили хл “а”, распределение освещенности на разных горизонтах и осредненная зависимость АЧ от подводной облученности, полученная по результатам измерений, согласно схеме имитации световых условий.
Определение содержания хл “а”. Определение содержания хл “а” проводили флуориметрическим методом [34]. Пробы объемом ~500 мл фильтровали через стекловолокнистые фильтры марки GF/F фирмы Whatman (Великобритания) под вакуумом 0.3 атм. После фильтрации фильтры высушивали и хранили до анализа в морозильной камере холодильника при температуре -20°C не более суток в плотно закрытой емкости со свежепрокаленным силикагелем. Экстрагирование проводили 90%-м водным раствором ацетона в течение суток. Флуоресценцию полученных экстрактов измеряли на флуориметре Trilogy Turner Designs (США) до и после подкисления водным 1 N раствором HCl. Калибровка флуориметра была проведена по спектрофотометрическому методу с использованием химически чистого хл “а” (Sigma) в качестве стандарта. Расчет концентрации хл “а” и феофитина “a” проводили согласно [35].
Методы определения надводной и подводной облученности. Интенсивность надводной облученности измеряли с использованием датчика падающей радиации в диапазоне ФАР LI-190SA (LI-COR, США). Результаты измерений автоматически интегрировались в блоке LI-1400 за 15-минутные интервалы (Еin/м 2) в течение дня и сохранялись во внутренней памяти блока. В последующем эти величины использовались для расчета интегральной величины падающей радиации за период экспозиции экспериментальных склянок при определении ПП и за весь световой период для конкретной даты.
Измерения подводной облученности осуществлялись в следующем режиме. Датчик падающей радиации устанавливался на открытой палубе и каждую секунду фиксировал значения освещенности в диапазоне ФАР (µЕin/м 2 в сек). Датчик подводной освещенности LI-192, укрепленный вертикально на тросе, в режиме зондирования опускался на глубину ~60–80 м, а на мелководных стациях — до дна. В последующем для каждой глубины рассчитывались значения подводной освещенности в процентах от подповерхностной ФАР, восстанавливался профиль подводной освещенности, определялась глубина эвфотического слоя (1% ФАР) (Zэ) и рассчитывался коэффициент диффузного ослабления нисходящего потока ФАР (Kd).
Методы определения гидрохимических показателей. Сразу же после отбора проводилась фиксация проб на растворенный кислород и аммонийный азот. Пробы на определение рН, биогенных элементов (силикаты, фосфаты, формы азота) и щелочности отбирались в пластиковую посуду 0.5 л без консервации. При работе в водах с большим количеством взвешенного вещества (эстуарии, зона смешения речных и морских вод) пробы для определения биогенных элементов предварительно фильтровались через лавсановый ядерный фильтр с диаметром пор 1 µ (Дубна, Россия). Определение содержания растворенного неорганического фосфора (PO4), растворенного неорганического кремния (Si(OH4)), нитритного азота (NO2), нитратного азота (NO3), аммонийного азота (NH4) проводились колориметрически в соответствии с [28].
Расчет содержания растворенной двуокиси углерода и различных форм растворенного неорганического углерода проводилось pH-Alk методом по термодинамическим уравнениям карбонатного равновесия с применением концентрационных констант диссоциации угольной кислоты Роя [28, 44] с поправками для вод со свойствами, отличными от морской воды [39].
РЕЗУЛЬТАТЫ
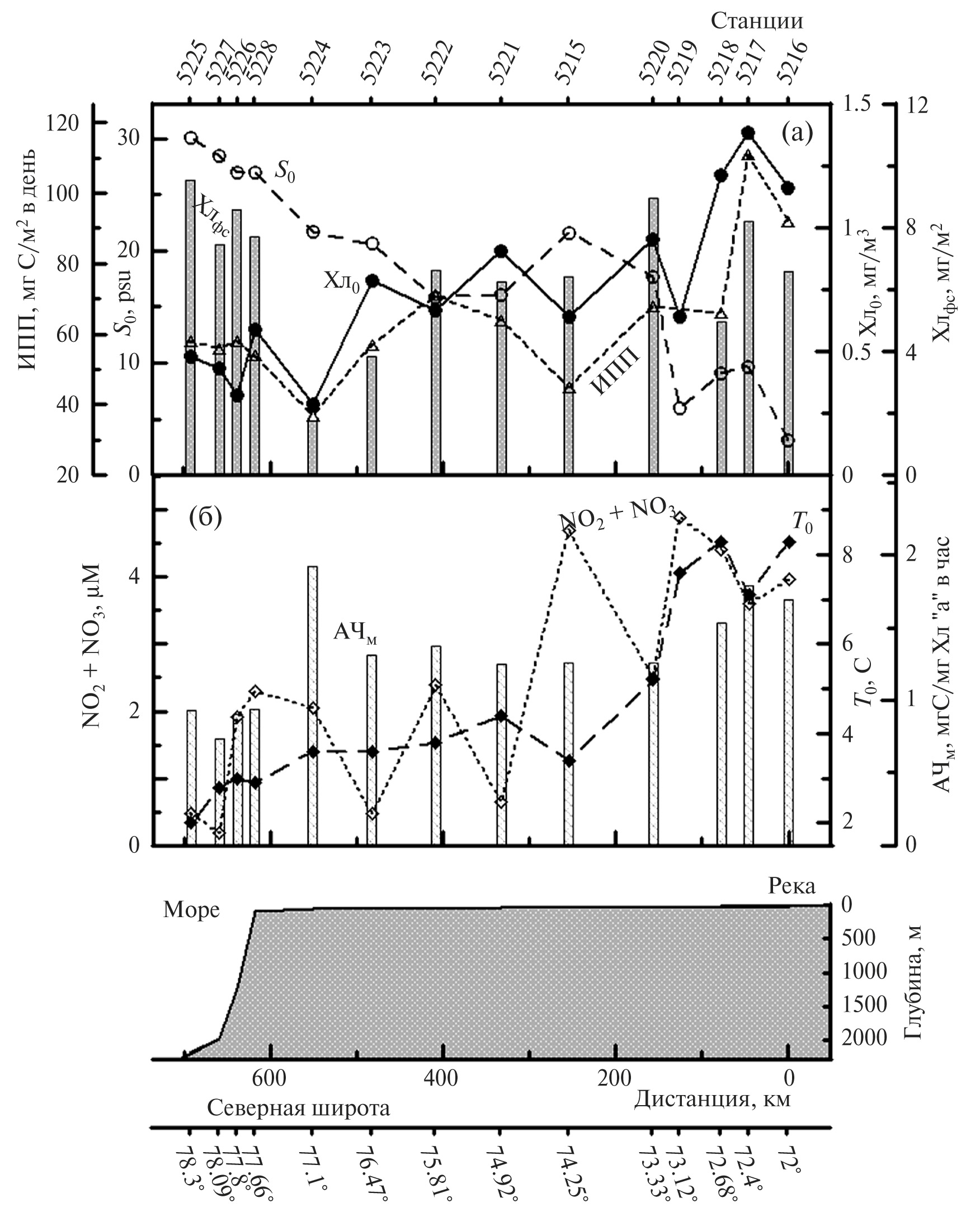
Пространственная изменчивость продукционных показателей фитопланктона на разрезе “Лена”. На разрезе “Лена” (рис. 2) концентрация хл “а” на поверхности (Хл0) и в слое фотосинтеза (Хлфс) изменялась приблизительно в 4.8 и 5.4 раза — от 0.29 до 1.39 мг/м 3 и от 1.77 до 9.54 мг/м 2 соответственно (табл. 1). Средние их значения составили 0.75±0.34 мг/м 3 и 6.70±2.17 мг/м 2. Величины Хл0 в целом уменьшались в направлении от эстуария в открытое море (рис. 2а). Резкое снижение значений этого показателя происходило в районе фронта (между ст. 5217 и 5219), где соленость на поверхности (S0) возросла в 3 раза, с 6.0 до 17.7 psu, а ее горизонтальный градиент составил 0.382 psu/км (табл. 1). Величины Хлфс, в целом, менялись незначительно до внешней границы шельфа (ст. 5228). Севернее этой границы, в районе континентального склона, при S0 > 25 psu, значения этого показателя возросли по сравнению со станциями, выполненными в диапазоне S0 от 10 до 25 psu, в среднем в 1.5 раза (табл. 1; рис. 2а).
Рис. 2. Пространственное распределение первичной продукции в столбе воды (ИПП), содержания хл “а” на поверхности (Хл0) и в слое фотосинтеза (Хлфс) и поверхностной солености (S0) (а); значений максимального в слое фотосинтеза ассимиляционного числа (АЧм), температуры воды на поверхности (Т0), суммы нитритов и нитратов (NO2 + NO3) (б) на разрезе “Лена”.
Таблица 1. Величины продукционных характеристик фитопланктона и некоторых абиотических факторов на разрезе “Лена” в сентябре 2015 г.
№ ст. | Дата | φ | λ | H | Показатель | |||||||||||||
ПП0 | ИПП | Хл0 | Хлфс | АЧм | Zэ | Zфс | Zд | NO2+ NO3 | NH4 | PO4 | Si | T0 | S0 | |||||
5216 | 08.09.15 | 72.0 | 130.1 | 10 | 26.03 | 92 | 1.17 | 6.61 | 1.69 | 9 | 10 | – | 3.96 | 1.33 | 0.08 | 66.61 | 8.3 | 3.1 |
5217 | 08.09.15 | 72.4 | 130.5 | 12 | 33.03 | 111 | 1.39 | 8.24 | 1.79 | 8 | 10 | 2 | 3.59 | 1.31 | 0.13 | 50.06 | 7.1 | 9.7 |
5218 | 08.09.15 | 72.7 | 130.5 | 35 | 24.69 | 66 | 1.22 | 4.98 | 1.53 | 8 | 10 | 1 | 4.41 | 1.44 | 0.10 | 58.99 | 8.3 | 9.1 |
5219 | 08.09.15 | 73.1 | 130.5 | 22 | – | – | 0.64 | – | – | – | – | 1 | 4.89 | 1.52 | 0.14 | 58.44 | 7.6 | 6.0 |
5220 | 08.09.15 | 73.3 | 130.5 | 24 | 15.94 | 68 | 0.95 | 8.95 | 1.26 | 9 | 12 | – | 2.49 | 1.10 | 0.13 | 30.10 | 5.2 | 17.7 |
5215 | 09.09.15 | 74.3 | 130.5 | 26 | 10.84 | 45 | 0.64 | 6.42 | 1.26 | 9 | 12 | 1.5 | 4.69 | 0.62 | 0.12 | 30.45 | 3.4 | 21.6 |
5221 | 09.09.15 | 74.9 | 130.5 | 35 | 15.38 | 64 | 0.91 | 6.26 | 1.25 | 9 | 11 | 3.5 | 0.65 | 1.64 | 0.15 | 25.28 | 4.4 | 16.1 |
5222 | 09.09.15 | 75.8 | 130.5 | 48 | 12.44 | 71 | 0.67 | 6.63 | 1.37 | 11 | 15 | – | 2.39 | 1.33 | 0.09 | 28.69 | 3.8 | 15.8 |
5223 | 10.09.15 | 76.5 | 130.5 | 56 | 15.3 | 57 | 0.79 | 3.86 | 1.31 | 8.5 | 15 | 5 | 0.48 | 1.23 | 0.12 | 22.82 | 3.6 | 20.6 |
5224 | 10.09.15 | 77.1 | 130.5 | 58 | 7.49 | 37 | 0.29 | 1.77 | 1.92 | 24 | 31 | – | 2.05 | 0.55 | 0.10 | 18.16 | 3.6 | 21.7 |
5228 | 14.09.15 | 77.7 | 130.5 | 86 | 7.29 | 54 | 0.59 | 7.73 | 0.94 | 17 | 22 | 11 | 2.30 | 0.69 | 0.14 | 10.48 | 2.9 | 27.0 |
5226 | 12.09.15 | 77.8 | 130.5 | 1232 | 3.87 | 58 | 0.33 | 8.61 | 0.90 | 21 | 27 | – | 1.91 | 1.83 | 0.09 | 11.44 | 3.0 | 27.0 |
5227 | 13.09.15 | 78.1 | 130.5 | 1979 | 4.61 | 56 | 0.43 | 7.45 | 0.73 | 18 | 27 | 11 | 0.20 | 0.54 | 0.16 | 7.62 | 2.8 | 28.5 |
5225 | 11.09.15 | 78.4 | 130.7 | 2200 | 6.06 | 58 | 0.48 | 9.54 | 0.93 | 19 | 25 | 12 | 0.48 | 0.86 | 0.15 | 4.06 | 2.0 | 30.1 |
Примечание. Северная широта (φ) и восточная долгота (λ) даны в градусах, минуты представлены в виде дробной части числа. Показатели: H — глубина станции, м; ПП0 — первичная продукция на поверхности, мгС/м3 в день; ИПП — интегральная в столбе воды первичная продукция, мгС/м2 в день; Хл0 — концентрация хл “а” на поверхности, мг/м3; Хлфс — интегральное содержание хл “а” в слое фотосинтеза, мг/м2; АЧм — максимальное ассимиляционное число в слое фотосинтеза, мгС/мг хл “а” в час; Zэ — глубина эвфотического слоя (١٪ ФАР), м; Zфс — глубина слоя фотосинтеза, м; Zд — прозрачность воды по диску Секки, м; NO2+NO3, NH4, PO4, Si — концентрация на поверхности, соответственно, суммы нитритного и нитратного азота, аммонийного азота, фосфатов и растворенного кремния, mМ; T0 — температура воды на поверхности, °С; S0 — соленость на поверхности, psu.
Первичная продукция на поверхности (ПП0) варьировала в 8.5 раза, от 3.87 до 33.03 мгС/м 3 в день (средняя величина — 14.07±9.05 мгС/м 3 в день), а интегральные ее величины в столбе воды изменялись в 3 раза, от 37 до 111 мгС/м 2 в день при среднем значении 64±19 мгС/м 2 в день (табл. 1). Тенденция изменений первичной продукции на разрезе “Лена” была сходной с картиной, отмеченной для хл “а”. Величины ПП0 и ИПП следовали распределению S0, в целом уменьшаясь в направлении от дельты реки Лены до границы шельфа. В районе континентального склона произошло небольшое увеличение ИПП (рис. 2а), в то время как значения ПП0 продолжали снижаться (табл. 1). Такая картина, по-видимому, связана с увеличением слоя фотосинтеза (Zфс) в 1.8 раза на станциях, выполненных на континентальном склоне, по сравнению с более южными станциями разреза (табл. 1).
Ассимиляционная активность фитопланктона, показателем которой служит максимальное в слое фотосинтеза ассимиляционное число (АЧм), на разрезе “Лена” изменялось 2.6 раза в диапазоне от 0.73 до 1.92 мгС/мг хл “а” в час, составив в среднем 1.30±0.36 мгС/мг хл “а” в час. В целом величины АЧм уменьшались в направлении от дельты реки Лены в открытое море. Исключение составила ст. 5224, на которой зарегистрирована максимальная для разреза величина АЧм (1.92 мгС/мг хл “а” в час). При этом в отличие от Хл0, Хлфс и ИПП увеличения значений этого параметра на континентальном склоне не произошло (рис. 2б).
Отмеченные изменения продукционных параметров фитопланктона происходили на фоне довольно высоких величин концентрации нитритного и нитратного азота (NO2+NO3), а также аммония (NH4). Концентрация NO2+NO3 на поверхности на большинстве станций разреза была выше значений, лимитирующих рост и фотосинтез фитопланктона (< 1 µM) [56]. Исключениями являлись ст. 5221 и 5223 на шельфе и две крайние северные точки разреза (ст. 5227, 5225), где концентрации NO2+NO3 были ниже лимитирующих. Концентрации аммонийного азота на всех станциях были выше значений, лимитирующих развитие природных олиготрофных сообществ (0.1–0.6 µM), или близкими к ним [41]. Содержание фосфатов было низким (< 0.2 µM) [25], что в основном справедливо и для других рассматриваемых в работе разрезов. Концентрации растворенного кремния (Si) были выше лимитирующих (> 2 µM) [24] на всех станциях разреза (табл. 1). Так же как и для продукционных параметров фитопланктона, следует отметить общую тенденцию к уменьшению концентраций биогенных элементов в направлении от дельты реки в район континентального склона (рис. 2б; табл. 1).
Пространственная изменчивость продукционных показателей фитопланктона на разрезе “Хатанга”. Величины Хл0 и Хлфс на разрезе варьировали, соответственно, от 0.24 до 1.74 мг/м 3 и от 4.48 до 32.38 мг/м 2. Их изменчивость составила 7.3 и 7.4 раза соответственно (табл. 2). Средние для разреза значения Хл0 и Хлфс равнялись 0.79±0.59 мг/м 3 и 12.08±7.93 мг/м 2. Концентрация поверхностного хл “а” снижалась в направлении от эстуария реки в открытое море. Исключение составила ст. 5631, на которой значение Хл0 возросло в 1.7 раза по сравнению с соседней станцией, расположенной ближе к кутовой части эстуария (рис. 3а). Несколько отличной от пространственной изменчивости Хл0 оказалась картина изменений величин Хлфс. В диапазоне S0 ~4–25 psu максимумы значений этого показателя были отмечены на крайних южных речных станциях (ст. 5627, 5628) и на ст. 5631, где был зарегистрирован максимум Хл0. На северных станциях разреза при близкой к океанической величине S0 (27.9–32.3 psu) наблюдалось увеличение содержания хл “а” в слое фотосинтеза, которое достигло максимального для разреза значения на дистальной ст. 5635 (рис. 3а).
Рис. 3. Пространственное распределение первичной продукции в столбе воды (ИПП), содержания хл “а” на поверхности (Хл0) и в слое фотосинтеза (Хлфс) и поверхностной солености (S0) (а); значений максимального в слое фотосинтеза ассимиляционного числа (АЧм), температуры воды на поверхности (Т0), суммы нитритов и нитратов (NO2 + NO3) (б) на разрезе “Хатанга”.
Таблица 2. Величины продукционных характеристик фитопланктона и некоторых абиотических факторов на разрезе “Хатанга” в сентябре 2017 г.
№ ст. | Дата | φ | λ | H | Показатель | |||||||||||||
ПП0 | ИПП | Хл0 | Хлфс | АЧм | Zэ | Zфс | Zд | NO2+ NO3 | NH4 | PO4 | Si | T0 | S0 | |||||
5627 | 17.09.17 | 73.5 | 108.2 | 15 | 8.50 | 17 | 1.65 | 11.15 | 0.40 | 7 | 7 | 0.5 | 0.87 | 2.77 | 0.17 | 68.13 | 3.6 | 3.5 |
5628 | 17.09.17 | 73.5 | 107.9 | 13 | 5.74 | 14 | 1.74 | 14.88 | 0.31 | 7 | 8 | – | 1.52 | 3.05 | 0.17 | 67.84 | 3.7 | 3.5 |
5629 | 17.09.17 | 73.9 | 109.2 | 21 | – | – | 1.07 | – | – | – | – | – | 0.72 | 1.60 | 0.17 | 36.67 | 3.4 | 11.1 |
5630 | 18.09.17 | 74.3 | 110.4 | 27 | 11.96 | 21 | 0.82 | 6.30 | 1.13 | 8 | 8 | – | 0.62 | 1.05 | 0.14 | 20.45 | 3.0 | 17.1 |
5631 | 18.09.17 | 74.6 | 111.7 | 29 | 22.88 | 49 | 1.42 | 12.04 | 1.25 | 7.5 | 8 | 2 | 0.01 | 0.15 | 0.11 | 15.68 | 2.7 | 18.9 |
5632 | 18.09.17 | 74.8 | 113.8 | 33 | 6.25 | 28 | 0.44 | 5.23 | 1.13 | 14 | 15 | – | 0.25 | 0.34 | 0.10 | 13.39 | 2.1 | 21.9 |
5591_2 | 18.09.17 | 75.4 | 115.4 | 45 | 3.43 | 32 | 0.27 | 4.48 | 1.25 | 31 | 32 | – | 0.01 | 0.28 | 0.06 | 12.80 | 2.3 | 22.3 |
5633 | 19.09.17 | 76.4 | 115.0 | 45 | 3.7 | 20 | 0.51 | 12.63 | 0.56 | 30 | 31 | 13 | 0.11 | 0.12 | 0.10 | 4.04 | 1.5 | 27.9 |
5590_2 | 19.09.17 | 77.2 | 115.0 | 64 | 1.66 | 20 | 0.24 | 9.51 | 0.74 | 33 | 35 | 15 | 0.27 | 0.07 | 0.14 | 0.73 | 0.6 | 31.6 |
5634 | 19.09.17 | 77.6 | 115.6 | 187 | 1.62 | 16 | 0.25 | 12.24 | 0.59 | 30 | 32 | – | 0.27 | 0.06 | 0.12 | 1.07 | -0.4 | 30.0 |
5635 | 20.09.17 | 78.0 | 115.9 | 850 | 2.38 | 17 | 0.27 | 32.38 | 0.72 | 36 | 55 | 15 | 0.17 | 0.01 | 0.05 | 0.10 | -1.4 | 32.3 |
Примечание. Условные обозначения см. в табл. 1.
ПП0 на разрезе “Хатанга” изменялась в 14 раз — от 1.62 до 22.88 мгС/м 3 в день при средней величине равной 6.81±6.53 мгС/м 3 в день. Первичная продукция в столбе воды была менее вариабельным показателем. Ее значения варьировали в 3.5 раза — от 14 до 49 мгС/м 2 в день, составив в среднем 23±11 мгС/м 2 в день. В отличие от хл “а”, общая тенденция в пространственном распределении величин ПП0 и ИПП была к увеличению до максимума на ст. 5631 и к снижению на север до континентального склона (рис. 3а).
Ассимиляционная активность фитопланктона на разрезе была максимальной (АЧм 1.13– 1.25 мгС/мг хл “а” в час) в средней части эстуария и на выходе из него при величинах S0 равных 17.1–22.3 psu (табл. 2; рис. 3б). Ближе к кутовой части эстуария, а также на мористых станциях разреза значения АЧм не превышали 1 мгС/мг хл “а” в час (0.31–0.56 мгС/мг хл “а” в час). Средняя для разреза величина АЧм составила 0.81±0.35 мгС/мг хл “а” в час. Изменения продукционных показателей фитопланктона происходили на фоне низких концентраций NO2+NO3 (рис. 3б). Сумма нитритного и нитратного азота была выше лимитирующих значений или близка к ним только на крайних южных станциях разреза (ст. 5627 и 5628). Довольно высокие (> 1 µM) величины аммонийного азота зарегистрированы в начале разреза на 4 станциях в эстуарии реки Хатанги (табл. 2). В отличие от неорганического азота содержание растворенного кремния снижалось ниже лимитирующих концентраций (< 2 µM) только на северных станциях разреза, расположенных на внешнем шельфе и в районе континентального склона.
Пространственная изменчивость продукционных показателей фитопланктона на разрезе “Восточный склон”. Содержание хл “а” на поверхности и в слое фотосинтеза на разрезе изменялось в 1.9 и 2.2 раза соответственно. Нижний и верхний пределы величин этих показателей составляли 0.16–0.30 мг/м 3 и 8.86–19.30 мг/м 2 соответственно (табл. 3). Средние значения Хл0 и Хлфс на разрезе равнялись 0.22±0.05 мг/м 3 и 13.75±3.38 мг/м 2. Пространственное распределение Хл0 характеризовалось двумя максимумами, на ст. 5948 и 5956, 0.28 и 0.30 мг/м 3 соответственно. В распределении Хлфс следует отметить максимум на ст. 5952, расположенной над континентальным склоном (глубина станции — 804 м) (рис. 4а). Здесь концентрация хл “а” в слое фотосинтеза (19.30 мг/м 2) в 1.6 и 2.2 раза превышала значения этого показателя для соседних, соответственно южной и северной, станций.
Рис. 4. Пространственное распределение первичной продукции в столбе воды (ИПП), содержания хл “а” на поверхности (Хл0) и в слое фотосинтеза (Хлфс) и поверхностной солености (S0) (а); значений максимального в слое фотосинтеза ассимиляционного числа (АЧм), температуры воды на поверхности (Т0), суммы нитритов и нитратов (NO2 + NO3) (б) на разрезе “Восточный склон”.
Таблица 3. Величины продукционных характеристик фитопланктона и некоторых абиотических факторов на разрезе “Восточный склон” в августе 2018 г.
№ ст. | Дата | φ | λ | H | Показатель | |||||||||||||
ПП0 | ИПП | Хл0 | Хлфс | АЧм | Zэ | Zфс | Zд | NO2+ NO3 | NH4 | PO4 | Si | T0 | S0 | |||||
5947 | 26.08.18 | 76.77 | 125.83 | 73 | 6.30 | 26 | 0.19 | 15.09 | 1.79 | 30 | 40 | 13 | 0.12 | 0 | 0.13 | 2.68 | 4.8 | 30.8 |
5948 | 26.08.18 | 77.00 | 125.80 | 100 | 5.32 | 48 | 0.28 | 12.52 | 1.05 | 31 | 40 | 11 | 0.09 | 0.16 | 0.16 | 2.87 | 3.4 | 31.4 |
5949 | 26.08.18 | 77.10 | 125.83 | 552 | 6.68 | 85 | 0.25 | 10.43 | 1.48 | 31 | 39 | 11 | 0.10 | 0.24 | 0.15 | 2.97 | 3.0 | 31.2 |
5950 | 27.08.18 | 77.25 | 125.79 | 1068 | 5.91 | 38 | 0.19 | 12.42 | 1.54 | 31 | 55 | 13 | 0.12 | 0.19 | 0.17 | 2.87 | 3.6 | 31.8 |
5952 | 27.08.18 | 77.15 | 125.87 | 804 | 7.33 | 54 | 0.16 | 19.3 | 2.47 | 32 | 40 | 13 | 0.02 | 0.91 | 0.24 | 2.72 | 3.6 | 31.6 |
5954 | 28.08.18 | 77.41 | 125.79 | 1545 | 2.94 | 34 | 0.20 | 8.86 | 0.81 | 32 | 65 | 13 | 0.09 | 0.17 | 0.18 | 2.58 | 3.6 | 31.8 |
5956 | 29.08.18 | 78.08 | 125.82 | 2387 | 2.94 | 29 | 0.30 | 16.63 | 0.52 | 40 | 54 | 13 | 0.03 | 0.32 | 0.15 | 1.95 | 2.7 | 31.7 |
5958 | 29.08.18 | 78.94 | 125.81 | 2923 | 6.43 | 48 | 0.18 | 14.76 | 1.87 | 53 | 60 | 14 | 0.07 | 0.32 | 0.16 | 0.83 | 1.2 | 32.28 |
Примечание. Условные обозначения см. в табл. 1.
Величины первичной продукции на разрезе “Восточный склон” оказались более вариабельными, чем концентрация хл “а”. Так, значения ПП0 варьировали в 2.5 раза — от 2.94 до 7.33 мгС/м 3 в день, составив в среднем 5.48±1.67 мгС/м 3 в день. Величины ИПП изменялись в 3.3 раза — от 26 до 85 мгС/м 2 в день (табл. 3). Среднее значение этого параметра равнялось 45±19 мгС/м 2 в день. В распределении ПП0 и ИПП на разрезе выделяется пик на ст. 5949, расположенной на 7 км южнее ст. 5952, где был зарегистрирован максимум Хлфс (рис. 4а).. Величина первичной продукции в столбе воды в этом максимуме (54 мгС/м 2 в день) в среднем в 1.5 раза превышала значения этого показателя на соседних станциях, а ПП0 (7.33 мгС/м 3 в день) была выше в среднем в 1.9 раза.
Максимальные значения ассимиляционного числа варьировали в 4.8 раза — от 0.52 до 2.47 мгС/мг хл “а” в час при среднем значении 1.44±0.63 мгС/мг хл “а” в час. Максимум АЧм был отмечен на ст. 5949 и совпадал с максимальными значениями первичной продукции (рис. 4б). Изменения продукционных показателей фитопланктона происходили на фоне очень низкого содержания основных биогенных элементов в верхнем перемешанном слое (ВПС). Так, концентрация NO2+NO3 была ниже лимитирующей рост и фотосинтез фитопланктона на всех станциях разреза. Содержание NH4 было значительным (0.91 µМ) только на ст. 5952, где был отмечен максимум Хлфс. Концентрация Si оказалась близка к лимитирующему значению на всех станциях разреза (табл. 3).
Пространственная изменчивость продукционных показателей фитопланктона на разрезе “Западный склон”. На этом разрезе величины Хл0 и Хлфс изменялись в 1.8 и 1.9 раза соответственно. Значения первого показателя варьировали в диапазоне 0.25–0.45 мг/м 3, составив в среднем 0.36±0.07 мг/м 3, а второго — в диапазоне от 10.74 до 20.07 мг/м 2 при средней величине равной 13.94±3.11 мг/м 2 (табл. 4). Два максимума значений Хл0 на разрезе отмечены, соответственно, на границе шельфа (ст. 5945_2, глубина 185 м, 0.44 мг/м 3) и в глубоководном районе (ст. 5965, глубина 1991 м, 0.45 мг/м 3) (рис. 5а). Величины Хлфс достигали максимума в начале и в средней части континентального склона (соответственно ст. 5960, 20.07 мг/м 2, и ст. 5962, 16.84 мг/м 2) (табл. 4). Так, концентрация хл “а” в слое фотосинтеза на ст. 5960 превышала аналогичные значения для соседних станций в среднем в 1.7 раза.
Рис. 5. Пространственное распределение первичной продукции в столбе воды (ИПП), содержания хл “а” на поверхности (Хл0) и в слое фотосинтеза (Хлфс) и поверхностной солености (S0) (а); значений максимального в слое фотосинтеза ассимиляционного числа (АЧм), температуры воды на поверхности (Т0), суммы нитритов и нитратов (NO2 + NO3) (б) на разрезе “Западный склон”.
Таблица 4. Величины продукционных характеристик фитопланктона и некоторых абиотических факторов на разрезе “Западный склон” в августе–сентябре 2018 г.
№ ст. | Дата | φ | λ | H | Показатель | |||||||||||||
ПП0 | ИПП | Хл0 | Хлфс | АЧм | Zэ | Zфс | Zд | NO2+ NO3 | NH4 | PO4 | Si | T0 | S0 | |||||
5946_2 | 31.08.18 | 77.17 | 114.66 | 65 | 10.91 | 77 | 0.29 | 11.37 | 2.26 | 27 | 35 | 11 | 0.21 | 0.12 | 0.14 | 2.92 | 3.4 | 29.2 |
5945_2 | 31.08.18 | 77.64 | 115.61 | 185 | 10.09 | 56 | 0.44 | 10.74 | 1.38 | 23 | 32 | 10 | 0.09 | 0.61 | 0.16 | 5.11 | 2.6 | 27.0 |
5960 | 31.08.18 | 77.80 | 115.84 | 357 | 10.71 | 77 | 0.42 | 20.07 | 1.51 | 28 | 37 | 10 | 0.18 | 0.17 | 0.31 | 2.53 | 2.8 | 28.2 |
5961 | 31.08.18 | 77.96 | 116.10 | 766 | 8.56 | 57 | 0.34 | 13.24 | 1.41 | 28 | 55 | – | 0.15 | 0.67 | 0.14 | 1.50 | 2.7 | 29.0 |
5962 | 01.09.18 | 78.05 | 116.30 | 1108 | 11.25 | 111 | 0.34 | 16.84 | 1.85 | 33 | 58 | 9 | 0.09 | 0.30 | 0.22 | 0.83 | 2.5 | 29.4 |
5963 | 01.09.18 | 78.21 | 116.66 | 1498 | 2.46 | 31 | 0.25 | 13.87 | 0.58 | 45 | 59 | 12 | 0.18 | 0.04 | 0.20 | 1.22 | 2.0 | 30.5 |
5964 | 02.09.18 | 78.75 | 117.61 | 2459 | 5.99 | 78 | 0.31 | 11.86 | 1.59 | 38 | 45 | 12 | 0.06 | 0.12 | 0.22 | 0.88 | 1.3 | 31.1 |
5965 | 02.09.18 | 78.45 | 117.09 | 1991 | 4.27 | 26 | 0.45 | 13.49 | 0.56 | 43 | 55 | 14 | 0.09 | 1.07 | 0.17 | 1.36 | 2.0 | 30.0 |
Примечание. Условные обозначения см. в табл. 1.
Так же как и на разрезе “Восточный склон”, значения ПП0 и ИПП были более вариабельны, чем содержание хл “а”, изменяясь в 4.6 и 4.3 раза соответственно. Величины ПП0 находились в диапазоне от 2.46 до 11.25 мгС/м 3 в день. Средняя величина этого показателя — 8.03±3.38 мгС/м 3 в день. ИПП изменялась в пределах 26–111 мгС/м 2 в день при среднем значении 64±28 мгС/м 2 в день (табл. 4). В пространственном распределении первичной продукции в столбе воды следует отметить резкий максимум в середине континентального склона (ст. 5962) (рис. 5а). Превышение ИПП в этом максимуме над расположенными южнее и севернее станциями составило соответственно 1.9 и 3.6 раза. В распределении величин ПП0 этот пик практически не выражен. Так, значение этого показателя на ст. 5962 мало отличалось от величин, зарегистрированных на более южных шельфовых станциях (табл. 4). Следует отметить также значительное (в 3 раза по сравнению с соседней точкой), до 78 мгС/м 2 в день, увеличение ИПП на самой северной станции разреза (рис. 5а; табл. 4).
Величина АЧм на разрезе “Западный склон” изменялась в 4 раза — от 0.56 до 2.26 мгС/мг хл “а” в час, составив в среднем 1.39±0.58 мгС/мг хл “а” в час. Повышенные значения АЧм (> 1.5 мгС/мг хл “а” в час) рассчитаны для южных станций разреза, в точке с максимумом ИПП и на крайней северной станции (рис. 5б). Концентрация суммы нитритного и нитратного азота на разрезе была ниже лимитирующих значений на всех станциях (табл. 4). Аммонийный азот мог быть дополнительным источником минерального питания на станциях 5945_2, 5961 и 5965, где его концентрация превышала 0.6 µM. Концентрация растворенного кремния была выше лимитирующих значений только на шельфе и в начале континентального склона (табл. 4).
ОБСУЖДЕНИЕ РЕЗУЛЬТАТОВ
Особенности пространственных изменений продукционных показателей фитопланктона на двух контрастных разрезах река–море. В морях Сибирской Арктики, подверженных влиянию речного стока, пространственное распределение продукционных показателей зависит от его объема и распространения [3, 21, 29, 52], а содержание хл “а” и величины первичной продукции отрицательно коррелируют с соленостью на поверхности [1, 7, 8, 22, 45]. Годовой объем стока реки Лены приблизительно в 4 раза больше стока Хатанги [20]. Кроме того, у этих водотоков существует различие в характере взаимодействия между рекой и морем, так как интенсивность, направление и морфология речного выноса регулируются дельтой у Лены и эстуарием у Хатанги. Поэтому представляет интерес сравнение распределения продукционных характеристик и причин, их вызывающих, на разрезах, отличающихся характером воздействия речного стока. Следует заметить, что работы на разрезах “Лена” и “Хатанга” проводились в разные годы, поэтому сопоставление пространственных изменений в этих районах моря Лаптевых может быть сделано условно.
По данным для сентября разрез “Лена” оказался продуктивнее разреза “Хатанга” в 2 раза по значениям ПП0 и в 2.8 раза по ИПП. Одной из причин этого могут быть сроки проведения работ. Разрез “Лена” был выполнен в первую половину сентября, а разрез “Хатанга” — во вторую, менее продуктивную половину месяца, ближе к концу вегетационного сезона в условиях уменьшения приходящей ФАР (в среднем 9 и 6 Ein/м 2 в день соответственно). Известно, что в Арктическом океане уровень ФАР является основным абиотическим фактором, регулирующим первичную продукцию [49], а его роль возрастает к концу вегетационного сезона [22]. Другой причиной, определившей более высокую ПП на разрезе “Лена”, было содержание биогенных элементов. Практически на всех станциях этого разреза содержание NO2+NO3, NH4 и Si было выше лимитирующих значений (табл. 1). На разрезе “Хатанга” отсутствие лимитирования фотосинтеза условиями минерального питания можно отметить только для крайних южных станций, расположенных в эстуарии (табл. 2).
В среднем максимальное в слое фотосинтеза ассимиляционное число на разрезе “Лена” было выше, чем на разрезе “Хатанга” (1.30 и 0.81 мгС/мг хл “а” соответственно). Уровень первичной продукции в столбе воды на разрезе “Лена” определялся содержанием хл “а” на поверхности (R = 0.81, N = 13) и в меньшей степени в слое фотосинтеза (R = 0.38, N = 13). Обратная картина получена для разреза “Хатанга”, где решающую роль в первичном продуцировании играло физиологическое состояние фитопланктона, показателем которого является уровень ассимиляционной активности. Коэффициент корреляции между ИПП и АЧм на этом разрезе был равен 0.78 (N = 10), в то время как связь с содержанием хл “а” была незначительной.
При общей тенденции к уменьшению величин продукционных параметров от устьев рек в открытое море (рис. 2а и 3а) следует отметить различия в их пространственном распределении на разрезах. Проявление влияния речного стока на разрезе “Лена” имело “пятнистый” характер, который связан с неравномерностью поступления пресных вод через протоки дельты реки [10]. Эта неравномерность хорошо видна на кривой распределения S0 (рис. 2а). Величины Хл0, ПП0 и ИПП были отрицательно связаны с соленостью воды на поверхности при высоких коэффициентах корреляции — -0.75, -0.91 и -0.70 соответственно. Увеличение их значений на разрезе хорошо совпадают с “пятнами” распресненных вод (рис. 2а). На разрезе “Хатанга” величины S0 равномерно возрастали по направлению от эстуария к континентальному склону (рис. 3а). По-видимому, это связано с равномерным стоком из эстуария на шельф. В отличие от разреза “Лена” строгая отрицательная зависимость от S0 получена только для величин содержания хл “а” на поверхности (R = -0.90, N = 10). Общую картину снижения продукционных показателей в северном направлении нарушает максимум на ст. 5631 (рис. 3а). Эта станция была выполнена в узком проливе между п-овом Таймыр и о-вом Большой Бегичев (рис. 1). Пики первичной продукции и хл “а” в этом месте связаны, по-видимому, с аккумуляцией взвеси при уменьшении скорости течения.
Для обоих рассматриваемых разрезов характерно увеличение продукционных показателей в области континентального склона (рис. 2а и 3а). Особенно это увеличение заметно на разрезе “Лена” и для величин Хлфс на разрезе “Хатанга”. Одной из причин возрастания интегральных значений первичной продукции и содержания хл “а” является увеличение слоя фотосинтеза при одновременном росте прозрачности воды вследствие ослабления влияния речного стока у границы шельфа и за его пределами. Так, на разрезе “Лена” средняя прозрачность по диску Секки на станциях, выполненных над континентальным склоном, возросла в 5.5 раза, а толщина слоя фотосинтеза увеличилась в 2 раза. На разрезе “Хатанга” аналогичные изменения составили 2.3 и 2.6 раза соответственно. Другой причиной служит образование глубинных хлорофильных максимумов (ГХМ). Следует отметить, что ГХМ были зарегистрированы в районе континентального склона только на разрезе “Хатанга”. Здесь на станциях 5590_2, 5634 и 5635 на глубинах 24–27 м содержание хл “а” в 1.7–3.6 раза превышало величины Хл0.
Ранее была описана широтная зональность в структуре сообществ фитопланктона на разрезе “Лена” [9]. В качестве границ распространения южного комплекса видов, фитопланктона внешнего шельфа и северного комплекса фитопланктона были приняты разделы между изогалинами соответственно 8–18 и 22–27 psu. Следуя этим границам, мы систематизировали данные по первичной продукции и хл “а”, чтобы охарактеризовать продуктивность выделенных сообществ (табл. 5). Видно, что в северном направлении от дельты реки Лена к континентальному склону уменьшались только величины Хл0 и ПП0. Интегральные для столба воды значения первичной продукции и хл “а” снизились только у сообщества внешнего шельфа относительно южного комплекса фитопланктона. Величины ИПП для двух последних комплексов практически не различались, а среднее значение Хлфс даже возросло в северном комплексе видов (табл. 5). По-видимому, отсутствие значимых различий ИПП и Хлфс для фитопланктона внешнего шельфа и северного комплекса, несмотря на уменьшение значений на поверхности, можно объяснить увеличением продуцирующего слоя при переходе от шельфовых вод с высокой мутностью к более прозрачным водам над континентальным склоном.
Таблица 5. Средние величины первичной продукции и хлорофилла для сообществ фитопланктона на разрезе “Лена”, выделенных согласно [9]
Показатель | Южный комплекс фитопланктона | Фитопланктон внешнего шельфа | Северный комплекс фитопланктона |
Хл0 | 0.64–1.39 (4) 1.10 | 0.29–0.95 (6) 0.68 | 0.33–0.59 (3) 0.45 |
ПП0 | 24.69–33.03 (3) 27.92 | 7.49–15.94 (6) 12.90 | 3.87–7.29 (3) 5.46 |
Хлфс | 4.98–8.24 (3) 6.61 | 1.77–8.95 (6) 6.20 | 7.45–8.61 (3) 7.93 |
ИПП | 66–111 (3) 90 | 37–71 (6) 57 | 54–58 (3) 56 |
Примечание. В числителе — пределы изменчивости показателя, в знаменателе — средняя арифметическая величина, в скобках — количество измерений. Другие условные обозначения см. в табл. 1.
Особенности пространственных изменений продукционных показателей фитопланктона на континентальном склоне моря Лаптевых. Арктические и субарктические районы Мирового океана часто отличаются повышенной продуктивностью в области континентального склона, обусловленной апвеллингом богатых биогенами вод на границе шельфа [11, 19, 26, 53]. В конце августа–начале сентября на востоке и западе континентального склона моря Лаптевых также зарегистрировано увеличение значений продукционных показателей фитопланктона (рис. 4 и 5). При этом максимумы первичной продукции и хлорофилла не были связаны с динамикой концентрации биогенных элементов в ВПС (табл. 3 и 4). Рост содержания хл “а” в слое фотосинтеза происходил благодаря образованию ГХМ. Так, на разрезе “Восточный склон” (ст. 5952), где наблюдался максимум Хлфс, концентрация хл “а” в ГХМ превышала поверхностную величину в 4.42 раза. На разрезе “Западный склон” в максимуме Хлфс (ст. 5960) аналогичное превышение составило 1.41 раза. Содержание хл “а” в слое фотосинтеза положительно коррелировало с концентрацией этого пигмента в ГХМ (R = 0.62 и 0.63 при N = 8 на разрезах “Восточный склон” и “Западный склон” соответственно).
В целом разрез “Западный склон” оказался продуктивнее разреза “Восточный склон”. Средние величины ПП0 и ИПП на первом из них были, соответственно, в 1.5 и 1.4 раза выше. Причиной этому, по-видимому, являлся заток речных вод из Карского моря через пролив Вилькицкого в прилежащие районы моря Лаптевых. Средние значения S0 составили 31.56 psu на разрезе “Восточный склон” и 29.29 psu на разрезе “Западный склон”. Содержание неорганического азота (NO2+NO3+NH4) в поверхностном слое на разрезе “Западный склон” было выше, чем на разрезе “Восточный склон”, в среднем 0.52 и 0.37 µM, что также указывает, с одной стороны, на влияние распресненных вод, а с другой стороны — на более благоприятные условия минерального питания. Первичная продукция в столбе воды на двух рассматриваемых разрезах определялась главным образом уровнем ассимиляционной активности (R = 0.54, N = 16), а не содержанием хл “а”. Такая закономерность была отмечена ранее в Карском море осенью [22].
Трофический статус моря Лаптевых и сравнение с литературными данными. По данным предыдущих исследований, величины интегральной первичной продукции в море Лаптевых на разрезе по ~130° в. д. составили в среднем 220 мгС/м 2 в день [52] и 90 мгС/м 2 в день [58]. В западном районе моря среднее значение ИПП было равным 57 мгС/м 2 в день [58]. Нами зарегистрированы несколько меньшие средние величины ИПП — 64 (разрез “Лена”) и 37 (разрезы “Хатанга” и “Восточный склон”) мгС/м 2 в день. В противоположность данным [52], которые говорят, скорее, о мезотрофии водоема, результаты наших исследований и данные [58] свидетельствуют об олиготрофии моря Лаптевых в начале осени, согласно классификации [6].
Представляет интерес сравнение результатов натурных измерений с оценками ИПП моря Лаптевых, выполненными по модельным расчетам с использованием спутниковых данных. В целом для сентября эти оценки превышают измеренные величины в несколько раз. Так, в начале и конце месяца по модельным и спутниковым данным зарегистрированы величины ИПП ~900 и 400 мгС/м 2 в день соответственно [12]. Согласно другому источнику, средняя ИПП моря Лаптевых в сентябре составляет 410 мгС/м 2 в день [16]. Согласно результатам расчетов ИПП по биогеохимической модели FESOM 1.4-REcoM2, средняя за сентябрь величина ИПП в этом регионе равняется 121±24 мгС/м 2 в день [50]. Несоответствие расчетных и измеренных величин объясняется несовершенством используемых моделей первичной продукции и хлорофилла и различиями в определении границ исследуемой акватории [14, 30, 37, 46]. Интересно, что данные полевых наблюдений, представленные в настоящей работе, оказались близкими к среднегодовым значениям ИПП — 40 мгС/м 2 в день [5] и 54 мгС/м 2 в день [4].
Источники финансирования. Работа выполнена в рамках государственного задания № 0149-2019-0008. Экспедиционные исследования проведены при финансовой поддержке гранта РФФИ № 18-05-60069.
About the authors
A. B. Demidov
Shirshov Institute of Oceanology Russian Academy of Science
Author for correspondence.
Email: demspa@rambler.ru
Russian Federation, Moscow
V. I. Gagarin
Shirshov Institute of Oceanology Russian Academy of Science
Email: demspa@rambler.ru
Russian Federation, Moscow
E. G. Arashkevich
Shirshov Institute of Oceanology Russian Academy of Science
Email: demspa@rambler.ru
Russian Federation, Moscow
P. N. Makkaveev
Shirshov Institute of Oceanology Russian Academy of Science
Email: demspa@rambler.ru
Russian Federation, Moscow
I. V. Konyukhov
Lomonosov Moscow State University
Email: demspa@rambler.ru
биологический факультет
Russian Federation, MoscowO. V. Vorobieva
Lomonosov Moscow State University; Russian Federal Research Institute of Fisheries and Oceanography
Email: demspa@rambler.ru
биологический факультет
Russian Federation, MoscowA. V. Fedorov
South Branch of Shirshov Institute of Oceanology Russian Academy of Science
Email: demspa@rambler.ru
Russian Federation, Gelendzhik
References
- Бобров Ю. А., Савинов В. М., Макаревич П. Р. Хлорофилл и первичная продукция // Экология и биоресурсы Карского моря. Апатиты. Кольский научный центр АН СССР. 1989. С. 45-50.
- Ведерников В. И. Особенности распределения первичной продукции и хлорофилла в Черном море в весенний и летний периоды // Изменчивость экосистемы Черного моря: естественные и антропогенные факторы / Ред. Виноградов М. Е. М.: Наука, 1991. С. 128-147.
- Ведерников В. И., Демидов А. Б., Судьбин А. И. Первичная продукция и хлорофилл в Карском море в сентябре 1993 г. // Океанология. 1994. Т. 34. № 5. С. 693-703.
- Ветров А. А., Романкевич Е. А. Первичная продукция и потоки органического углерода на дно в Арктических морях, ответ на современное потепление // Океанология. 2011. Т. 51. № 2. С. 266-277.
- Ветров А. А., Романкевич Е. А., Беляев Н. А. Хлорофилл, первичная продукция, потоки и баланс органического углерода в море Лаптевых // Геохимия. 2008. № 10. С. 1122-1130.
- Кобленц-Мишке О. И., Ведерников В. И. Первичная продукция // Биология океана. М.: Наука, 1977. Т. 2. Биологическая продуктивность океана. С. 183-209.
- Мошаров С. А. Распределение первичной продукции и хлорофилла “а” в Карском море в сентябре 2007 г. // Океанология. 2010. Т. 50. № 6. С. 933-941.
- Мошаров С. А., Демидов А. Б., Симакова У. В. Особенности процессов первичного продуцирования в Карском море в конце вегетационного периода // Океанология. 2016. Т. 56. № 1. С. 90-100.
- Суханова И. Н., Флинт М. В., Георгиева Е. Ю. и др. Структура сообществ фитопланктона в восточной части моря Лаптевых // Океанология. 2017. Т. 57. № 1. С. 86-102.
- Флинт М. В., Арашкевич Е. Г., Артемьев В. А. и др. Экосистемы морей Сибирской Арктики. Материалы экспедиционных исследований 2015 и 2017 гг. М.: ИО РАН, 2018. 232 с.
- Флинт М. В., Поярков С. Г., Тимонин А. Г., Соловьев К. А. Структура мезопланктонного сообщества в области континентального склона желоба святой Анны (Карское море) // Океанология. 2015. Т. 55. № 4. С. 643-655.
- Arrigo K. R., van Dijken G. L. Secular trends in Arctic Ocean net primary production // J. Geophys. Res. 2011. V. 116. C09011. doi: 10.1029/2011JC007151.
- Arrigo K. R., van Dijken G. L. Continued increases in Arctic Ocean primary production // Progr. Oceanogr. 2015. V. 136. P. 60-70.
- Babin M., Bélanger S., Ellingsen I. et al. Estimating of primary production in the Arctic Ocean using ocean colour remote sensing and coupled physical-biological models: Strengths, limitations and how they compare // Progr. Oceanogr. 2015. V. 139. P. 197-220.
- Bates N. R., Mathis T. The Arctic Ocean marine carbon cycle: Evaluation of air-sea CO2 exchanges, ocean acidification impacts and potential feedbacks // Biogeosciences. 2009. V. 6. № 11. P. 2433-2459.
- Bélanger S., Babin M., Tremblay J.-E. Increasing cloudiness in Arctic damps the increase in phytoplankton primary production due to sea ice receding // Biogeosciences. 2013. V. 10. P. 4087-4101.
- Bröder L., Test T., Salvado J. et al. Fate of terrigenous organic matter across the Laptev Sea from the mouth of the Lena River to the deep sea of the Arctic interior // Biogeosciences. 2016. V. 13. P. 5003-5019.
- Cai W.-J., Chen L., Chen B. et al. Decrease in the CO2 uptake capacity in an ice free Arctic Ocean basin // Science. 2010. V. 329. № 5991. P. 556-559.
- Christensen J. P., Shimada R., Semiletov I., Wheeler P. A. Chlorophyll Response to Shelf-Break Upwelling and Winds in the Chukchi Sea, Alaska, in Autumn // The Open Oceanography Journal. 2008. V. 2. P. 34-53.
- Dai A., Trenberth K. E. New Estimates of Continental Discharge and Oceanic Freshwater Transport // AMS Symposium on Observing and Understanding the Variability of Water in Weather and Climate, 9-13 February 2003, Long Beach, CA. P. 1-18.
- Demidov A. B., Gagarin V. I., Vorobieva O. V. et al. Spatial and vertical variability of primary production in the Kara Sea in July and August 2016: The influence of the river plume and subsurface chlorophyll maxima // Pol. Biol. 2018. V. 41. № 3. P. 563-578.
- Demidov A. B., Mosharov S. A., Makkaveev P. N. Patterns of the Kara Sea primary production in autumn: Biotic and abiotic forcing of subsurface layer // J. Mar. Sys. 2014. V. 132. P. 130-149.
- Dittmar T., Kattner G. The biogeochemistry of the river and shelf system of the Arctic Ocean: a review // Mar. Chem. 2003. V. 83. P.103-120.
- Egge J. K., Aksnes D. L. Silicate as regulating nutrient in phytoplankton competition // Mar. Ecol. Progr. Ser. 1992. V. 83. P. 281-289.
- Fisher T. R., Peele E. R., Ammerman J. W., Harding L. W. J. Nutrient limitation of phytoplankton in Chesapeake Bay // Mar. Ecol. Progr. Ser. 1992. V. 82. P. 51-63.
- Flint M. V., Sukhanova I. A., Kopylov A. I. et al. Plankton distribution associated with frontal zones in the vicinity of the Pribilof Islands // Deep-Sea Res. II. 2002. V. 49. № 26. P. 6069-6093.
- Gleitz M., Grossmann S. Phytoplankton primary production and bacterial production // Ber. Polarforschung. 1997. № 226. P. 92-94.
- Hansen H. P., Koroleff F. Determination of nutrients // Methods of Seawater Analysis / Eds. Grashoff K. et al. Wiley-VCH, Weinheim, NewYork, Chichester, Brisbane, Singapore, Toronto, 1999. P. 149-228.
- Heiskanen A.-S., Keck A. Distribution and sinking rates of phytoplankton, detritus and particulate biogenic silica in the Laptev Sea and Lena River (Arctic Siberia) // Mar. Chem. 1996. V. 53. P. 229-245.
- Hill V. J., Matrai P. A., Olson E. et al. Synthesis of integrated primary production in the Arctic Ocean: II. In situ and remotely sensed estimates // Progr. Oceanogr. 2013. V. 110. P. 107-125.
- Hoelemann J., Janout M., Koch B. et al. Transport and degradation of dissolved organic matter and associated freshwater pathways in the Laptev Sea (Siberian Arctic) // EGU General Assembly 2016. 17-22 April, Vienna.
- Holmes M. L., Creager Y. S. Holocene history of the Laptev Sea Continental Shelf // Marine Geology and Oceanography of the Arctic Seas/Ed. Herman Y. Berlin: Springer, 1974. P. 211-229.
- Holmes R. M., McClelland J. W., Peterson B. J. et al. Seasonal and annual fluxes of nutrients and organic matter from large rivers to the Arctic Ocean and surrounding seas // Estuaries and Coasts. 2012. V. 35. P. 369-382.
- Holm-Hansen O., Lorenzen C. J., Holmes R. W., Strickland J. D. H. Fluorometric determination of chlorophyll // J. Cons. Perm. Int. Explor. Mer. 1965. V. 30. P. 3-15.
- Holm-Hansen O., Riemann B. Chlorophyll a determination: improvements in methodology // Oikos. 1978. V. 30. P. 438-447.
- Juterzenka K. V., Knickmeier K. Chlorophyll a distribution in water column and sea ice during the Laptev Sea freeze-up study in Autumn 1995 // Land-ocean systems in the Siberian Arctic: Dynamics and history / Eds. Kassens et al. Berlin: Springer, 1999. P. 153-160.
- Lee Y. J., Matrai P. A., Friedrichs M. A. M. et al. An assessment of phytoplankton primary productivity in the Arctic Ocean from satellite ocean color/in situ chlorophyll-a based models // J. Geophys. Res. 2015. V. 120. doi: 10.1002/2015/JC11018.
- Lohrenz S. E. Estimation of primary production by the simulated in situ method // ICES mar. Sci. Symp. 1993. V. 197. P. 159-171.
- Makkaveev P. N. The total alkalinity in the anoxic waters of the Black sea and in sea-river mixture zones. Intergovermental Oceanographic Commission. Joint IOC-JGOFS CO2 Advisory Panel Meeting. Seven Session. Annex V. UNESCO, 1998.
- MacGilchrist G. A., Naveira Garabato A. C., Tsubouchi T. et al. The Arctic Ocean carbon sink // Deep-Sea Res. I. 2014. V. 86. P. 39-55.
- MacIsaac J. J., Dugdale R. C. The kinetic of nitrate and ammonia uptake by natural populations of marine phytoplankton // Deph-Sea Res. I. 1969. V. 16. P.415-422.
- Matrai P. A., Olson E., Suttles S. et al. Synthesis of primary production in the Arctic Ocean: I. Surface waters, 1954-2007 // Progr. Oceanogr. 2013. V. 110. P. 93-106.
- McClelland J. W., Holmes R. M., Peterson B. J. et al. Particulate organic carbon and nitrogen export from major Arctic rivers // Global Biogeochem. Cycles, 2016. V. 30. P. 629-643.
- Millero F. J. Thermodynamics of the carbon dioxide system in oceans // Geochim. et Cosmochim. Acta. 1995. V. 59. № 4. P.661-677.
- Nöthig E.-M., Okolodkov Y., Larionov V. V., Makarevich P. R. Phytoplankton distribution in the inner Kara Sea: A comparison of three summer investigations // Siberian river run-off in the Kara Sea / Eds. Stein R. et al. Amsterdam: Elsevier, 2003. P. 163-183.
- Pabi S., van Dijken G. L., Arrigo K. R. Primary production in the Arctic Ocean, 1998-2006 // J. Geophys. Res. 2008. V. 113. C08005. doi: 10.1029/2007/JC004578.
- Ryther J. H., Yentsch C. S. The estimation of phytoplankton production in the ocean from chlorophyll and light data. Limnol. Oceanogr. 1957. V. 2. P. 281-286.
- Saint-Béat B., Maps F., Babin M. Unraveling the intricate dynamics of planktonic Arctic marine food webs. A sensitivity analysis of a well-documented food web model // Progr. Oceanogr. 2018. V. 160. P. 167-185.
- Sakshaug E. Primary and secondary production in the Arctic Seas // The organic carbon cycle in the Arctic ocean / Eds. Stein R., Macdonald R. W. Berlin: Springer-Verlag, 2004. P. 57-81.
- Schourup-Kristensen V., Wekerle C., Wolf-Gladrow D. A., Völker C. Arctic Ocean biogeochemistry in the high resolution FESOM 1.4-REcoM2 // Progr. Oceanogr. 2018. V. 168. P. 65-81.
- Semiletov I. P., Shakhova N. E., I. I. Pipko I. I. et al. Space-time dynamics of carbon and environmental parameters related to carbon dioxide emissions in the Buor-Khaya Bay and adjacent part of the Laptev Sea // Biogeosciences. 2013. V. 10. P. 5977- 5996.
- Sorokin Yu. I., Sorokin P.Yu. Plankton and primary production in the Lena river estuary and in the south-eastern Laptev Sea // Estuar. Coast. Shelf Sci. 1996. V. 43. P. 399-418.
- Springer A. M., McRoy C. P., Flint M. V. The Bering Sea Green Belt: shelf edge processes and ecosystem production // Fisheries Oceanography. 1996. V. 5. № 3/4. P. 205-223.
- Steemann Nielsen E. The use of radioactive carbon (C 14) for measuring organic production in the sea // J. Cons. Perm. Ins. Explor. Mer. 1952. № 18. P. 117-140.
- Steemann Nielsen E. Experimental methods for measuring organic production in the sea // Rapp. P.-v. Réun. Cons. perm. int. Explor. Mer. 1958. V. 144. P. 38-46.
- Tremblay J-É., Michel C., Hobson K. A. Bloom dynamics in early opening waters of the Arctic Ocean // Limnol. Oceanogr. 2006. V. 51. № 2. P. 900-912.
- Tremblay J.‐É., Robert D., Varela D. E. et al. Current state and trends in Canadian Arctic marine ecosystems: I. Primary production // Clim. Ch. 2012. doi.10.1007/ s10584-012-0496-3.
- Tuschling K. Phytoplankton ecology in the arctic Laptev Sea — a comparison of three seasons // Ber. Polarforschung. 2000. № 347. 144 p.
- Vetrov A. A., Romankevich E. A. Carbon Cycle in the Russian Arctic Seas. Berlin: Springer, 2004. 331 p.
Supplementary files







