Deformation of the Anapa bay-bar underwater submerge slope from 2012 to 2018
- Authors: Kosyan R.D.1, Fedorova E.A.1
-
Affiliations:
- Shirshov Institute of Oceanology, Russian Academy of Sciences
- Issue: Vol 59, No 5 (2019)
- Pages: 844-851
- Section: Морская геология
- URL: https://journals.eco-vector.com/0030-1574/article/view/17611
- DOI: https://doi.org/10.31857/S0030-1574595844-851
- ID: 17611
Cite item
Full Text
Abstract
The paper presents long-term dynamic of the Anapa bay-bar submerge slope. The Anapa bay-bar submerge slope contains five morphological elements — Solenoe Lake, Bugazskaya bay-bar, Blagoveshchensky butte, Vityazevskaya bay-bar, section from Vityazevo to Anapa. The erosion-accumulation sites change from year to year. In general, from 2012 to 2018 the amount of sediments on the Anapa bay-bar submerge slope decreased by 1.89 million m3. On the sites Solenoe lake and Blagoveshchensky butte from 2012 to 2018 accumulation are 0.20 and 0.14 million m3, respectively. On the sites Bugazskaya and Vityazevskaya bay-bars from 2012 to 2018 erosion are 0.52 and 0.64 million m3, respectively. On the section from Vityazevo to Anapa from 2013 to 2018 erosion is 1.08 million m3. The greatest changes in the underwater relief occur in a 600-meter coastal area to a depth of 6–7 m. The underwater bars are formed and moved just in this area.
Keywords
Full Text
ВВЕДЕНИЕ И ПОСТАНОВКА ПРОБЛЕМЫ
Разработка планов освоения и социально-экономического развития прибрежных регионов невозможна без знаний о прибрежных процессах и научно обоснованного прогноза эволюции не только надводных береговых систем, но и подводного берегового склона [2].
Курорт Анапа занимает ведущее место на российском рынке санаторно-курортного и детского отдыха. Главной ценностью курорта являются песчаные пляжи Анапской пересыпи. В последние годы наблюдаются явные признаки деградации пляжей (на некоторых участках их ширина сократилась на 50 м), что требует принятия незамедлительных мер по их защите и восстановлению [3, 4, 6, 11, 12]. Для разработки таких мер необходимо понять причины их деградации. Целью данной работы является выявление зон наибольшей деформации и масштабов переформирования подводного берегового склона Анапской пересыпи.
Анапская пересыпь — крупная аккумулятивная форма, расположенная в северо-западной части кавказского побережья Черного моря, которая простирается от оконечности Таманского полуострова на севере (оз. Соленое, п. Веселовка) до мыса Анапский на юге (г. Анапа) (рис. 1). Длина пересыпи около 46 км, ширина от 80 м в северной части до 1.5 км в южной. Характерной особенностью Анапской пересыпи является наличие на ней развитых эоловых аккумулятивных форм (дюн) и вдольбереговых подводных валов. Живописный рельеф (широкие песчаные пляжи и дюны), благоприятный климат, относительная легкодоступность Анапской пересыпи — все это создает хорошие условия для рекреационного использования всей пересыпи. В настоящее время активно используется только южная ее часть (от п. Витязево до города-курорта Анапа) [3, 4, 11].
Рис. 1. Анапская пересыпь и расположение створов промеров подводного берегового склона.
Анапская пересыпь — очень динамичный природный объект, состояние которого зависит от взаимодействия большого количества природных и антропогенных факторов. В настоящей работе рассматривается многолетняя динамика рельефа подводного берегового склона Анапской пересыпи.
МЕТОДЫ ИССЛЕДОВАНИЯ
Сотрудники лаборатории литодинамики и геологии Южного отделения Института океанологии им. П. П. Ширшова РАН с 2012 г. производят регулярную съемку рельефа подводного берегового склона в пределах Анапской пересыпи от устья р. Анапки (г. Анапа) до оз. Соленое (п. Веселовка) галсами через один километр (с привязкой к опорным створам, всего 46) до глубины 9 м (рис. 1). Измерения производились с борта маломерного судна «Профессор Лонгинов» эхолотом Humminbird 1198c SI Combo [10]. Всего за время наблюдений было получено и обработано более 630 тыс. точек с измеренными глубинами. Для эффективного анализа батиметрических съемок по результатам измерений средствами ГИС были построены цифровые модели рельефа подводного берегового склона Анапской пересыпи.
Цифровая модель рельефа (ЦМР) — это математическое представление конкретного участка местности в виде непрерывной трехмерной поверхности, которое получается в результате обработки материалов топографической или батиметрической съемки. ЦМР служит для получения морфометрических или иных данных.
Для подводного берегового склона Анапской пересыпи было построено семь ЦМР (по одной для каждого года). В качестве исходных данных были использованы батиметрические съемки 2012–2018 гг. Все данные промеров были приведены к среднемноголетнему уровню моря и в прямоугольную систему координат. При построении ЦМР использовался алгоритм интерполяции Natural Neighbor [13].
Первоначально для подводного берегового склона Анапской пересыпи строились «черновые» ЦМР, по которым были выявлены места с ошибочными измерениями, далее все ошибочные точки были удалены и после этого строились уже «чистовые» модели, по которым в дальнейшем делался анализ. Таким образом, были получены трехмерные поверхности всего подводного берегового склона Анапской пересыпи с реальными глубинами от среднемноголетнего уровня Черного моря для 2012–2018 гг. На основе ЦМР были построены профили подводного берегового склона для всех 46 створов Анапской пересыпи с 2012 по 2018 г., посчитаны межгодовые изменения для всего смоделированного подводного берегового склона и для каждого профиля в отдельности, построены батиметрические карты подводного берегового склона.
Расчетная область для вычисления объема смоделированного подводного берегового склона Анапской пересыпи представляет собой пространство между указанной высотой базовой плоскости и теми участками поверхности ЦМР, которые находятся над ней (рис. 2). Базовая плоскость — это условная плоскость, которая ограничивает область расчета по вертикали; в нашем случае значение для базовой плоскости при всех расчетах было на отметке -9 м. Расчет объема для всего подводного берегового склона производился в пределах полигона размером 46×0.95 км (46 км — вдоль берега, 0.95 км — расстояние от уреза), а для каждого профиля в отдельности в пределах полигона размером 1×950 м (1 м — вдоль берега, 950 м — расстояние от уреза). Межгодовая разница в объемах получалась при вычитании из значения объема старшего года значения объема предыдущего года.
Рис. 2. Пример расчетной области объемов (модель в поперечном разрезе).
1 — профиль подводного берегового склона (2012 г.); 2 — профиль подводного берегового склона (2018 г.); 3 — расчетная область объемов; 4 — область изменения объемов (+-).
РЕЗУЛЬТАТЫ И ОБСУЖДЕНИЕ
По ряду наблюдений видно, что процессы размыва и аккумуляции на подводном береговом склоне Анапской пересыпи идут циклично, а участки эрозии и аккумуляции от года к году сменяют друг друга [5]. Для каждого морфологического элемента Анапской пересыпи — пересыпь оз. Соленого (45–42 створы), Бугазская пересыпь (41–30), Благовещенский останец (29–23), Витязевская пересыпь (22–11), участок Витязево–Анапа (10–0) — наблюдаются свои особенности изменения подводного берегового склона (рис. 1).
С 2012 по 2013 г. на подводный береговой склон Анапской пересыпи всего поступило 1.79 млн м 3 осадков. Аккумуляция наблюдалась на всех участках Анапской пересыпи с максимумом (+1.03 млн м 3) в районе Благовещенского останца и минимумом (+0.19 млн м 3) в районе Витязевской пересыпи (промеры глубин в 2012 г. были сделаны с 9 по 45 створ, поэтому изменение в объемах между 2012–2013 гг. было посчитано с 11 по 45 створ, без учета участка Витязево–Анапа) (рис. 3).
Рис. 3. Межгодовое изменение объемов подводного берегового склона всей Анапской пересыпи и для каждого морфологического элемента (млн м3).
С 2013 по 2014 г. количество осадков на подводном береговом склоне Анапской пересыпи уменьшилось на 2.16 млн м 3. Размыв наблюдался на всех морфологических элементах с максимумом (-0.83 млн м 3) на участке Витязево–Анапа и минимумом (-0.07 млн м 3) в районе Витязевской пересыпи (рис. 3).
С 2014 по 2015 г. в целом на подводный береговой склон поступило 0.18 млн м 3 осадков. На участок Витязево–Анапа поступило 0.27 млн м 3 осадков, в районе оз. Соленого отмечена эрозия на 0.15 млн м 3, а на всех остальных участках — практически нулевые изменения (рис. 3).
С 2015 по 2016 г. весь подводный береговой склон Анапской пересыпи был эродирован на 2.89 млн м 3. В районе Витязевской пересыпи отмечен максимальный размыв подводного берегового склона (-0.83 млн м 3), в районе оз. Соленого — минимальный (-0.05 млн м 3) (рис. 3).
С 2016 по 2017 г. наблюдается аккумуляция на всем подводном склоне Анапской пересыпи на 1.85 млн м 3 с максимумом (+0.55 млн м 3) в районе Витязевской пересыпи и минимумом (+0.13 млн м 3) в районе оз. Соленого (рис. 3).
С 2017 по 2018 г. количество осадков на подводном береговом склоне Анапской пересыпи уменьшилось на 0.67 млн м 3. Максимальный размыв (-0.47 млн м 3) отмечен в районе Витязевской пересыпи, однако в районе оз. Соленого и Благовещенского останца на подводном береговом склоне отмечена аккумуляция на 0.19 и 0.10 млн м 3 соответственно (рис. 3).
В целом с 2012 по 2018 г. подводный береговой склон Анапской пересыпи был эродирован на 1.89 млн м 3. В районе оз. Соленого и Благовещенского останца с 2012 по 2018 г. на подводный береговой склон поступило 0.20 и 0.14 млн м 3 осадков соответственно. В районе Бугазской и Витязевской пересыпей с 2012 по 2018 г. подводный береговой склон был эродирован на 0.52 и 0.64 млн м 3 соответственно, а на участке Витязево–Анапа с 2013 по 2018 г. количество осадков уменьшилось на 1.08 млн м 3.
Наибольшим по величине межгодовых переформирований подводный береговой склон подвержен в районе Благовещенского останца. Больше всего за рассматриваемый промежуток времени подводный береговой склон изменился на участке Витязево–Анапа, а меньше всего — в районе Благовещенского останца.
Рассмотрим изменения по каждому отдельному створу Анапской пересыпи. Максимальный размыв подводного берегового склона на 338.8 м 3 отмечен в створе 23 с 2015 по 2016 г. Максимальная аккумуляция на 211.5 м 3 отмечена в створе 26 с 2012 по 2013 г. (таблица, рис. 4). Изменения в объемах от створа к створу в разные годы весьма нестабильны. В годы, когда на всем подводном береговом склоне Анапской пересыпи либо на ее отдельном морфологическом элементе отмечалась эрозия, в отдельных створах наблюдается аккумуляция, а в годы аккумуляции — в отдельных створах идет размыв, какой-то стабильной зависимости выявить не удалось.
Рис. 4. Гистограммы межгодовой разности объемов по каждому отдельному створу (м3).
Таблица. Статистические показатели изменений объемов по 46 створам в разные годы
2013–2012 | 2014–2013 | 2015–2014 | 2016–2015 | 2017–2016 | 2018–2017 | |
№ створа с максимальным размывом | 17 | 26 | 45 | 23 | 18 | 14 |
Максимальный размыв (м3) | -122.2 | -160.7 | -112.6 | -338.8 | -75.2 | -230.5 |
№ створа с максимальной аккумуляцией | 26 | 22 | 8 | 17 | 7 | 42 |
Максимальная аккумуляция (м3) | 211.5 | 102.9 | 139.2 | 98.1 | 187.7 | 112.0 |
Сумма изменений по всем створам (м3) | 2548.3 | -2076.9 | -105.5 | -3182.4 | 1981.7 | -689.7 |
Среднее значение (м3) | 68.9 | -45.1 | -2.3 | -69.2 | 43.1 | -15.0 |
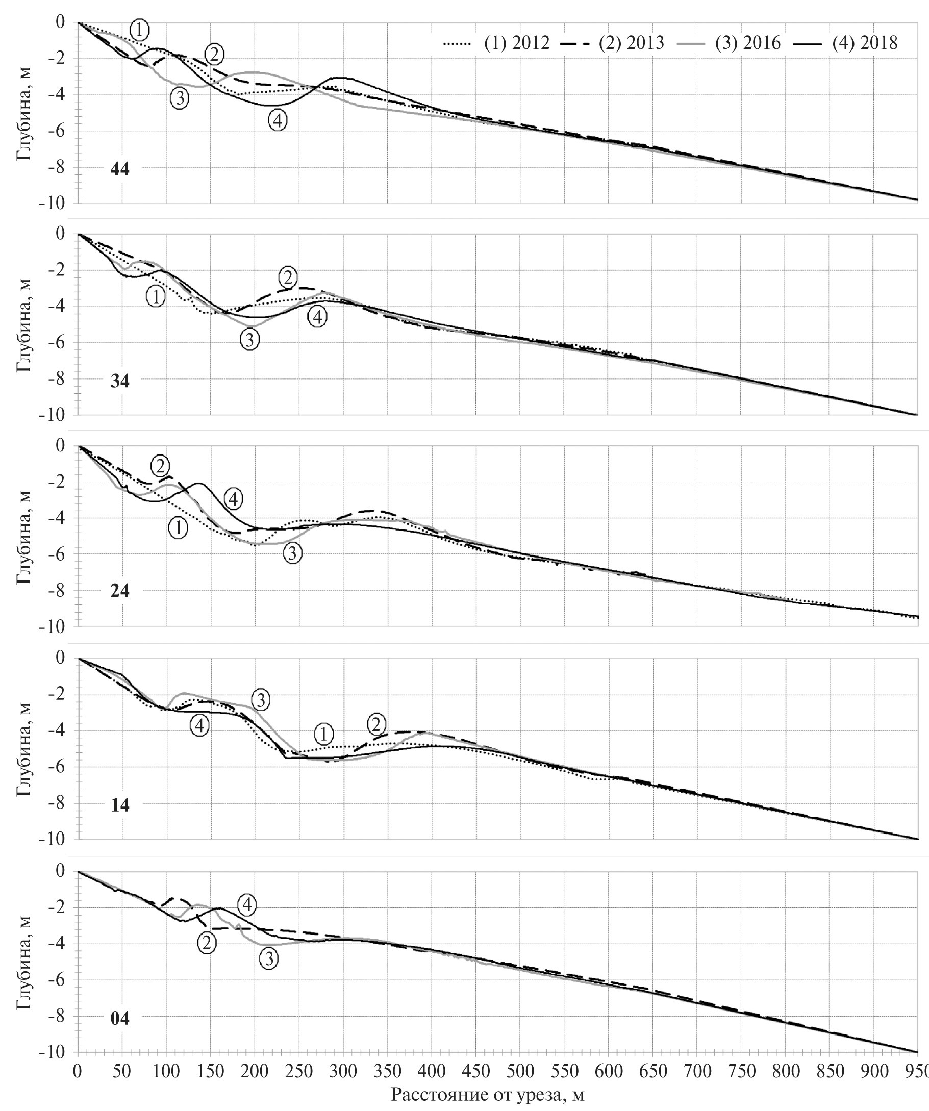
Наибольшим изменениям подвержена примерно шестисотметровая прибрежная территория до глубины 6–7 м, именно в этой области формируются и перемещаются подводные вдольбереговые валы (рис. 5). Выделяется до трех субпараллельных валов, сложенных песчаным материалом минерального и биогенного происхождения. В целом валы являются своеобразной подводной аккумулятивной формой, материал которой находится в непрерывном движении, но при этом не покидает литодинамическую систему [7]. Первый от берега подводный вал очень изменчив, часто не имеет гребня, местами прерывается или примыкает к берегу, глубина над ним менее 0.8 м. Второй вал удален от берега на 100–130 м, этот вал относительно узкий (до 40 м), глубина над гребнем 1.5–2.2 м. Третий вал расположен в 250–350 м от берега, он более широкий (до 150 м) и плоский, глубина над гребнем 3.8–5.0 м (рис. 4). Второй и третий вал в высоту достигают примерно 2.0–2.5 м. Валы ярко выражены в центральной части Анапской пересыпи. Ближе к Веселовке третий подводный вал становится меньше по высоте. Ближе к Анапе выражен только один подводный вал. В плане валы повторяют очертания береговой линии [1, 3, 8, 9]. Подводные валы — весьма подвижная система, смещение вершин второго и третьего валов вверх или вниз по профилю происходит в пределах 150 м, высота валов от года к году также изменяется и колеблется от 2.5 м до полного исчезновения вала, поэтому на одном профиле в разные годы фиксируется разное количество подводных валов (рис. 5).
Рис. 5. Пример изменения профиля в разные годы в створах: 44 — пересыпь оз. Соленого; 34 — Бугазская пересыпь; 24 — Благовещенский останец; 14 — Витязевская пересыпь; 04 — участок Витязево–Анапа.
ВЫВОДЫ
Выявлено, что эрозионные и аккумулятивные процессы на подводном береговом склоне Анапской пересыпи идут циклично. Участки размыва-намыва от года к году сменяют друг друга.
Для каждого элемента Анапской пересыпи — район оз. Соленого, Бугазская пересыпь, Благовещенский останец, Витязевская пересыпь, участок Витязево–Анапа — наблюдаются свои особенности изменения подводного берегового склона.
В целом с 2012 по 2018 г. количество осадков на подводном береговом склоне Анапской пересыпи уменьшилось на 1.89 млн м 3.
В районе оз. Соленого и Благовещенского останца с 2012 по 2018 г. наблюдается аккумуляция на 0.20 и 0.14 млн м 3 соответственно.
В районе Бугазской и Витязевской пересыпей с 2012 по 2018 г. подводный береговой склон размыло на 0.52 и 0.64 млн м 3 соответственно, а на участке Витязево–Анапа с 2013 по 2018 г. — на 1.08 млн м 3.
Наибольшим по величине межгодовым переформированиям подводный береговой склон подвержен в районе Благовещенского останца. Больше всего за рассматриваемый промежуток времени подводный береговой склон изменился на участке Витязево–Анапа, а меньше всего в районе Благовещенского останца.
Изменения в объемах от створа к створу в разные годы весьма нестабильны. В годы, когда на всем подводном береговом склоне отмечалась эрозия, на отдельных створах наблюдается аккумуляция, а в годы аккумуляции в отдельных створах идет размыв, какой-то стабильной зависимости выявить не удалось.
Наибольшим изменениям подвержена примерно шестисотметровая прибрежная территория до глубины 6–7 м, именно в этой области формируются и перемещаются подводные вдольбереговые валы.
Несмотря на флуктуации, прослеживается общая тенденция уменьшения осадков на подводном береговом склоне Анапской пересыпи. Это связано со многими факторами, один из них — загрязнение окружающей среды, в связи с чем происходит уменьшение вклада биогенной составляющей в общий баланс осадков. Непрекращающаяся деградация подводного берегового склона в ближайшие несколько десятков лет может привести к полному исчезновению всей литодинамической системы Анапской пересыпи, если не принять меры по повышению ее устойчивости. На территории Анапской пересыпи, например, следует предусмотреть дифференцированный режим охраны с учетом природных, историко-культурных, хозяйственных и иных особенностей. На участках, уже подвергшихся существенному антропогенному преобразованию, необходимо оптимально восстановить зону дюнных массивов с максимальным сохранением естественного рельефа. Также необходимо ежегодно пополнять пляжи песчаным материалом и производить иные природоохранные мероприятия. При уважительном и внимательном отношении к сложной естественной системе Анапской пересыпи вполне реально сохранить и увеличить экономический потенциал региона, не нанося вред природе.
Источник финансирования. Исследования Анапской пересыпи ведутся в рамках программы № 0149-2019-0014. Морские работы были поддержаны РНФ, грант № 14-50-00095. Камеральная обработка полевых данных и анализ литературы поддержаны грантами РФФИ № 17-05-00183, № 18-05-00333, № 18-05-80035 и № 18-55-34002.
About the authors
R. D. Kosyan
Shirshov Institute of Oceanology, Russian Academy of Sciences
Author for correspondence.
Email: rkosyan@hotmail.com
Russian Federation, Moscow
E. A. Fedorova
Shirshov Institute of Oceanology, Russian Academy of Sciences
Email: rkosyan@hotmail.com
Russian Federation, Moscow
References
- Зенкович В. П. Берега Черного и Азовского морей. М.: Гос. изд. геогр. лит., 1958. 374 с.
- Косьян Р. Д., Крыленко В. В. Основные критерии комплексной классификации Азово-Черноморских берегов России // Океанология, 2018. Т. 58. № 3. С. 501-511.
- Косьян Р. Д., Крыленко В. В. Современное состояние морских аккумулятивных берегов Краснодарского края и их использование. М.: Научный мир, 2014. 256 с.
- Косьян Р. Д., Куклев С. Б., Крыленко В. В. Хрупкое равновесие Анапской пересыпи // Природа. 2012. № 2. С. 19-28.
- Крыленко В. В. Динамика морского берега Анапской пересыпи // Океанология 2015. Т. 55. № 5. С. 821-828.
- Крыленко В. В., Косьян Р. Д., Кочергин А. Д. Закономерности формирования гранулометрического состава донных и пляжевых отложений Анапской пересыпи // Океанология. 2011. Т. 51. № 6. С. 1123-1134.
- Крыленко В. В., Кочергин А. Д., Крыленко М. В. Новые данные о гранулометрическом составе отложений Анапской пересыпи // Океанология. 2016. Т. 56. № 1. С. 154-158.
- Федорова Е. А. Динамика подводных вдольбереговых валов Анапской пересыпи // Комплексные исследования Мирового океана. Материалы II Всероссийской научной конференции молодых ученых, г. Москва, 10-14 апреля 2017 г. М.: ИО РАН, 2017. С. 530-532. [Электронный ресурс].
- Fedorova E. Dynamics of the Anapa Bay-bar submerge slope // Proceedings of International Conference “Managing risks to coastal regions and communities in a changing world” (EMECS’11 — Sea Coasts XXVI), August 22-27, 2016, St Petersburg, Russia. doi: 10.21610/conferencearticle_58b43156646fe. ISBN 978-5-369-01628-2 (print). ISBN 978-5-369-01628-2 (online)
- Fedorova E., Krylenko V., Kosyan A. Granulometric analysis of the Anapa bay-bar sediments (the Black sea, Russia) // Proceedings of SPIE — “Sixth International Conference on Remote Sensing and Geoinformation of the Environment, 2018. P. 107731D.
- Kosyan R. D., Goryachkin Yu. N., Krylenko V. V. et al. Crimea and Caucasus Accumulative Coasts Dynamics Estimation using Satellite Pictures // Turkish Journal of Fisheries and Aquatic Sciences. 2012. V. 12. P. 385-390.
- Kosyan A. R., Divinsky B. V. Chamelea gallina in the coastal waters of the Anapa bay bar (the Black Sea) as a carbonate sediment producer // Oceanologia. 2019. In Press. https://doi.org/10.1016/j.oceano.2019.04.003
- Sibson R. A Brief Description of Natural Neighbor Interpolation, chapter 2 in Interpolating Multivariate Data. New York: John Wiley & Sons, 1981. P. 21-36.
Supplementary files







