Relationship of the brightness temperature anomalies of the lower troposphere with the climate indices on the Southern Urals
- Authors: Vasil’ev D.Y.1,2, Velikanov N.V.1, Vodopyanov V.V.1, Krasnogorskaya N.N.1, Semenov V.A.2,3, Christodulo O.I.1
-
Affiliations:
- Ufa State Aviation Technical University
- A.M. Obukhov Institute of Atmospheric Physics RAS
- Institute of Geography RAS
- Issue: No 2 (2019)
- Pages: 14-28
- Section: ФИЗИЧЕСКИЕ ОСНОВЫ ИССЛЕДОВАНИЯ ЗЕМЛИ ИЗ КОСМОСА
- URL: https://journals.eco-vector.com/0205-9614/article/view/12724
- DOI: https://doi.org/10.31857/S0205-96142019214-28
- ID: 12724
Cite item
Full Text
Abstract
This paper presents an analysis of the average monthly temperature of the lower troposphere (TLT) according to satellite sensing data for the period 1979–2017 in the Southern Urals. In order to study the space-time structure of TLT, the method of decomposition of the temperature series into empirical orthogonal components (EOC) was used. A correlation analysis of the link between the identified EOC for winter and summer seasons and indices of large-scale modes of natural climate variability in the Northern hemisphere was carried out. The first leading EOC, which describes a negative temperature trend, makes the major contribution to the overall variability. For winter, the leading mode is associated with the North Atlantic oscillation. For summer, a significant contribution of the Atlantic multi-decadal oscillation and the index of the Arctic sea ice concentration anomalies is revealed, which can be used to improve the reliability of the future scenarios of the regional climate change. The results suggest a significant impact of natural climatic variability on the temperature regime and a possible difficulty in identifying the anthropogenic component of climate change in the studied region.
Full Text
ВВЕДЕНИЕ
Характеристики изменения климата на глобальном и региональном масштабах, причины и последствия таких изменений являются одним из самых важных и актуальных предметов исследования в физике атмосферы. Согласно оценочному докладу Межправительственной группы экспертов по изменению климата (МГЭИК, 2013), за последние десятилетия климат Земли характеризовался в целом глобальным потеплением, ускорившимся в конце ХХ в. и замедлившимся в начале XXI в. Такая динамика может указывать на совместный вклад внешнего, прежде всего антропогенного, воздействия на климат и внутренней естественной климатической изменчивости в формирование климатических аномалий. При этом следует отметить, что изменения климата на территории России происходят существенно более высокими темпами по сравнению с глобальными. По данным станционных наблюдений, средняя скорость потепления для земного шара составляет 0.12 °C/10 лет за 1972–2012 гг. и 0.08 °C/10 лет за 1901–2012 гг., тогда как в целом для России она составляет 0.43 °C/10 (Второй оценочный доклад Росгидромета, 2014).
За последние годы во многих работах, например (Мохов, Семенов, 2016; Стерин, Тимофеев, 2016; Чередько и др., 2016; Hirsch et al., 2017), указывается как на внешние антропогенные, так и на естественные факторы современных изменений климата, в том числе и для южно-уральского региона (Васильев и др., 2012, 2016а, 2016б, 2017, 2018а). Во всех исследованиях отмечается повышение глобальной приповерхностной температуры воздуха на 0.85 °C в XX в. Рост приземной температуры станционных наблюдений также хорошо согласуется с результатами прогнозов, полученных по климатическим моделям (Кисилев, 2016; Корнеева, Семенов, 2016; Семенов, 2016; Lader et al., 2016; Turuncoglu, Sannino, 2017; Zhou, Wang, 2016). Необходимо отметить, что изменение климата в континентальных регионах Северной Евразии характеризуется значительным вкладом внутренней изменчивости атмосферы, в том числе связанной с Североатлантическим колебанием (САК), а также влиянием ведущих совместных мод внутренней динамики атмосферы и океана, таких как Атлантическое мультидекадное колебание (АМК), что затрудняет выделение изменений климата, связанных с внешним, в том числе антропогенным, воздействием.
Цель настоящего исследования — анализ статистической (пространственно-временной) структуры климатических изменений на Южном Урале и оценка вклада основных мод изменчивости климатической системы.
ИССЛЕДУЕМАЯ ТЕРРИТОРИЯ И ИСПОЛЬЗУЕМЫЕ ДАННЫЕ
Территория Южного Урала простирается от южного широтного участка р. Белой до верховьев р. Уфа, это самая широкая (до 150 км с востока на запад) часть Уральских гор. Климат региона резкоконтинентальный, с характерными холодной зимой и жарким летом. Количество атмосферных осадков от 350 до 700–800 мм в год. На климат существенно влияют Уральские горы, являющиеся основным препятствием на пути движения воздушных масс, и зоны влияния Исландского минимума и Азорского максимума. Помимо этого, зимой на погоду влияет Азиатский антициклон, летом происходят вторжения арктических воздушных массы из региона Баренцева и Карского морей, а также приходят южные воздушные массы из Казахстана и Средней Азии. Континентальность климата возрастает с северо-запада на юго-восток. За последние 90 лет средняя температура января составила –19, июля +20 °C, амплитуда годового хода достигала 50–70 °C. Осадки распределяются достаточно неравномерно: на вершинах — до 800 мм/год, а на восточных склонах — до 500 мм/год. Наибольшая сумма осадков приходится на июнь–август. Снежный покров мощный — до 50 см и продолжительный — до 170 дней. Район включает в себя следующие природные зоны: горно-лесную — избыточного увлажнения, лесостепную — умеренного увлажнения, степную — недостаточного увлажнения.
Базой для анализа послужили среднемесячные температурные ряды спутникового зондирования на основе семейства многоканальных микроволновых радиометров MSU/СВЧЗ (Microwave Sounding Unit/Сверхвысокочастотное зондирование) и AMSU/РСВЧЗ (Advanced Microwave Sounding Unit/Расширенное сверхвысокочастотное зондирование), первый из которых однополосный приемник, настроенный на 53.74 ГГц с полосой пропускания 0.20 ГГц, второй двухполосный на частотах 53.71 и 53.48 ГГц, с полосой пропускания 0.17 ГГц. Для решения поставленной задачи из огромного массива данных были отобраны инструментальные спутниковые наблюдения за яркостной температурой в нижнем слое атмосферы TLT/ТНТ (Temperature Lower Troposphere/Температура Нижней Тропосферы). Вертикальный профиль нижних слоев атмосферы и высотный диапазон зондирования показаны на рис. 1а, б. Массив данных ТНТ находится в свободном доступе на сайте https://www.remss.com, в двух вариантах: графическом и netCDF форматах, — первый удобен для обработки в программе ArcGis (https://www.arcgis.com), второй в MatLab (https://www.mathworks.com). Среднемесячные данные ТНТ представлены на регулярной сетке с разрешением 2.5° × 2.5° для всего земного шара за период с 1979 по 2017 гг. Детальное описание методов измерений и методики обработки используемых данных дистанционного зондирования представлено в работах (Mears, Wentz, 2009, 2017). По интересующей территории отбирались температурные данные, в результате по искомой площади были сформированы 12 полигонов (эквивалентный одному пикселу каждый), соответствующих территории Южного Урала.
Также за аналогичный период были использованы многолетние ряды климатических индексов: Атлантическое мультидекадное колебание АМК/АМО, Североатлантическое колебание САК/NAO, Скандинавское колебание/SCAND, Арктическое колебание АК/АО, Восточно-Атлантическое–Западно-Российское колебание ВАЗР/EAWR, Полярно-Евразийское колебание ПЕ/PE, Тихоокеанское декадное колебание ТДК/PDO, Техоокеанское–Североамериканское колебание ТСАК/PNA, Южное колебание ЮК/SOI, индекс аномалий морского льда ИАМЛ/Sea Ice Index Anomaly, данные по которым также находятся в свободном доступе (https://www.esrl.noaa.gov/psd/data/climateindices/list, https://nsidc.org/data). Из сформированных массивов данных по яркостной температуре и климатическим индексам были отобраны данные по зимним (декабрь–февраль) и летним (июнь–август) месяцам, затем по выделенным сезонам были вычислены температурные аномалии.
Рис. 1. Вертикальный профиль среднегодовых значений яркостной температуры а и высотный диапазон зондирования б по планете в целом.
МЕТОДЫ
При описании статистической структуры температурных полей использовались широко распространенный в физике атмосферы метод главных компонент (Казакевич, 1989; Suryanarayana, Mistry, 2016) или разложение исследуемой векторной функции X(t) в ряд по некоторой системе ортогональных и нормированных (ортонормированных) функций φk, имеющей вид:
(1)
где Ak — векторные коэффициенты Фурье разложения функции X(t).
В качестве ортогональных векторов при разложении исследуемого вектора на сумму n естественных ортогональных составляющих (ЕОС) необходимо взять n собственных векторов корреляционной матрицы, соответствующих n собственным числам (СЧ). При этом можно использовать лишь несколько собственных векторов корреляционной матрицы, соответствующих ее наибольшим СЧ, являющихся дисперсиями коэффициентов разложения случайного вектора по собственным векторам корреляционной матрицы. В нашем случае это первые три СЧ (табл. 1), на долю которых приходится примерно 98% общей изменчивости в двух выделенных сезонах. Смысл разложения исследуемой функции на сумму ЕОС состоит в том, что из большого числа инструментальных данных прежде всего отбирается линейная комбинация, имеющая наибольшую изменчивость (дисперсию), и определяются наиболее существенные особенности и исключаются незначительные детали.
Таблица 1. Значения собственных чисел ковариационных матриц аномалий яркостной температуры в тропосфере по сезонам и доли ЕОС1–12 в дисперсии разложения
Зима (XII–II) | Лето (VI–VIII) | ||||
Собственное число, СЧ | Дисперсия | Суммарная дисперсия | Собственное число, СЧ | Дисперсия | Суммарная дисперсия |
22.56 | 81.77 | 81.77 | 11.68 | 88.28 | 88.28 |
4.74 | 4.78 | 95.22 | 0.99 | 7.45 | 92.55 |
2.84 | 1.99 | 98.01 | 0.27 | 2.01 | 97.99 |
1.09 | 0.85 | 99.15 | 0.09 | 0.72 | 99.28 |
0.99 | 0.48 | 99.52 | 0.07 | 0.50 | 99.50 |
0.31 | 0.26 | 99.74 | 0.05 | 0.30 | 99.70 |
0.28 | 0.18 | 99.82 | 0.04 | 0.20 | 99.80 |
0.20 | 0.15 | 99.85 | 0.03 | 0.16 | 99.84 |
0.17 | 0.12 | 99.88 | 0.02 | 0.13 | 99.87 |
0.07 | 0.10 | 99.90 | 0.01 | 0.11 | 99.89 |
0.05 | 0.08 | 99.92 | 0.01 | 0.09 | 99.91 |
0.03 | 0.00 | 100 | 0.01 | 0.00 | 100 |
С целью обобщения результатов исследования на всю территорию в целом, ряды инструментальных наблюдений спутникового зондирования и их аномалий по температуре нижней тропосферы были усреднены по площади, согласно методике интерполяции данных (Каган, 1979). Процедура усреднения данных по площади была реализована на основе метода треугольников (Дарман, 1949), исследуемая территория делилась на треугольники, в вершинах каждого из которых располагаются выделенные полигоны (пикселы). Полагая, что поле элемента на треугольнике может быть описано полиномом первой степени, путем линейной интерполяции находились значения поля в центре тяжести треугольника, представляющие собой средние арифметическое из данных в его вершине. Полученные данные для каждого треугольника значения усредняются с весами, пропорциональными площадям треугольников. Описанный метод, по отдельности, был реализован в программах C++ (https://isocpp.org) и ArcGis, результаты вычислительных процедур в обеих программах получились одинаковые (r = 0.99). Полученные результаты вычислений коэффициентов корреляции были проверены на статистическую значимость с использованием t-критерия Стьюдента, согласно (Геворкян и др., 2016).
РЕЗУЛЬТАТЫ И ОБСУЖДЕНИЕ
Прежде чем анализировать полученные результаты разложения ТНТ на ЕОС, необходимо отметить, что часто их интерпретируют как сейши, т. е. стоячие волны (Багров, 1959). Но ЕОС могут описывать как стоящие, так и бегущие волны в атмосфере (Обухов, 1960; Klok, Tank, 2009). В работах (Сонечкин, 1971; Ghil, Vautard, 1991) было показано, что собственными функциями однородного поля, заданного на бесконечной плоскости, являются двумерные синусы и косинусы, ЕОС‑разложение такого поля совпадает с разложением в ряд Фурье, и эти ЕОС можно интерпретировать как бегущие волны.
Карты ЕОС, имеющие три наибольших СЧ по расчетам за 1979–2017 гг., показаны на рис. 2. ЕОС1–3, так же были вычислены ЕОС4–12, СЧ которых очень малы (табл. 1). ЕОС с такими малыми значениями СЧ трудно подвергаются интерпретации и как правило не имеют физического смысла (North, et al., 1982). Были рассчитаны не непрерывные в географическом пространстве поля, а 12-мерные собственные векторы ковариационной матрицы среднемесячной температуры атмосферного воздуха относительно их норм за 39-летний интервал инструментальных наблюдений спутникового зондирования. Показанное пространственное распределение было построено путем интерполяции полигонных значений векторов на регулярную сетку с помощью программы Surfer (https://support.goldensoftware.com) на основе метода Винера–Колмогорова, известного также под названием кригинга (Brovelli et al., 2003), учитывающей пространственную корреляцию данных и производящей оценку точности полученной пространственной модели ЕОС1 летнего и зимнего сезонов (рис. 2а, г). Оно представляет аномалии противоположных знаков, имеющих дипольную структуру в направлении север–юг, при этом на юге для холодного сезона характерна отрицательная аномалия, распространение которой может быть обусловлено влиянием холодных Среднеазиатских воздушных масс. ЕОС2 зимнего сезона представляет собой триполь с положительным очагом в центре и двумя отрицательными на северо-западе и юго-востоке исследуемой территории соответственно. В летний сезон ЕОС2 представляет собой обширный экстремум положительных аномалий температуры и меньший по площади отрицательного знака, которая может объясняться доминирующими направлениями перемещения воздушных масс в регионе. У ЕОС3 летних месяцев экстремумы аномалий температуры находятся на северо-востоке (отрицательная), с незначительными по площади на юго-западе и юго-востоке (положительные). ЕОС3 зимних месяцев характерен отрицательный очаг температурной аномалии на юго-востоке, ориентация которого совпадает с распространением отрога Сибирского (Азиатский максимум) антициклона.
Рис. 2. Карты ЕОС1-3, описывающих гладкие по пространству вариации полей среднемесячной яркостной температуры воздуха в тропосфере над территорией Южного Урала.
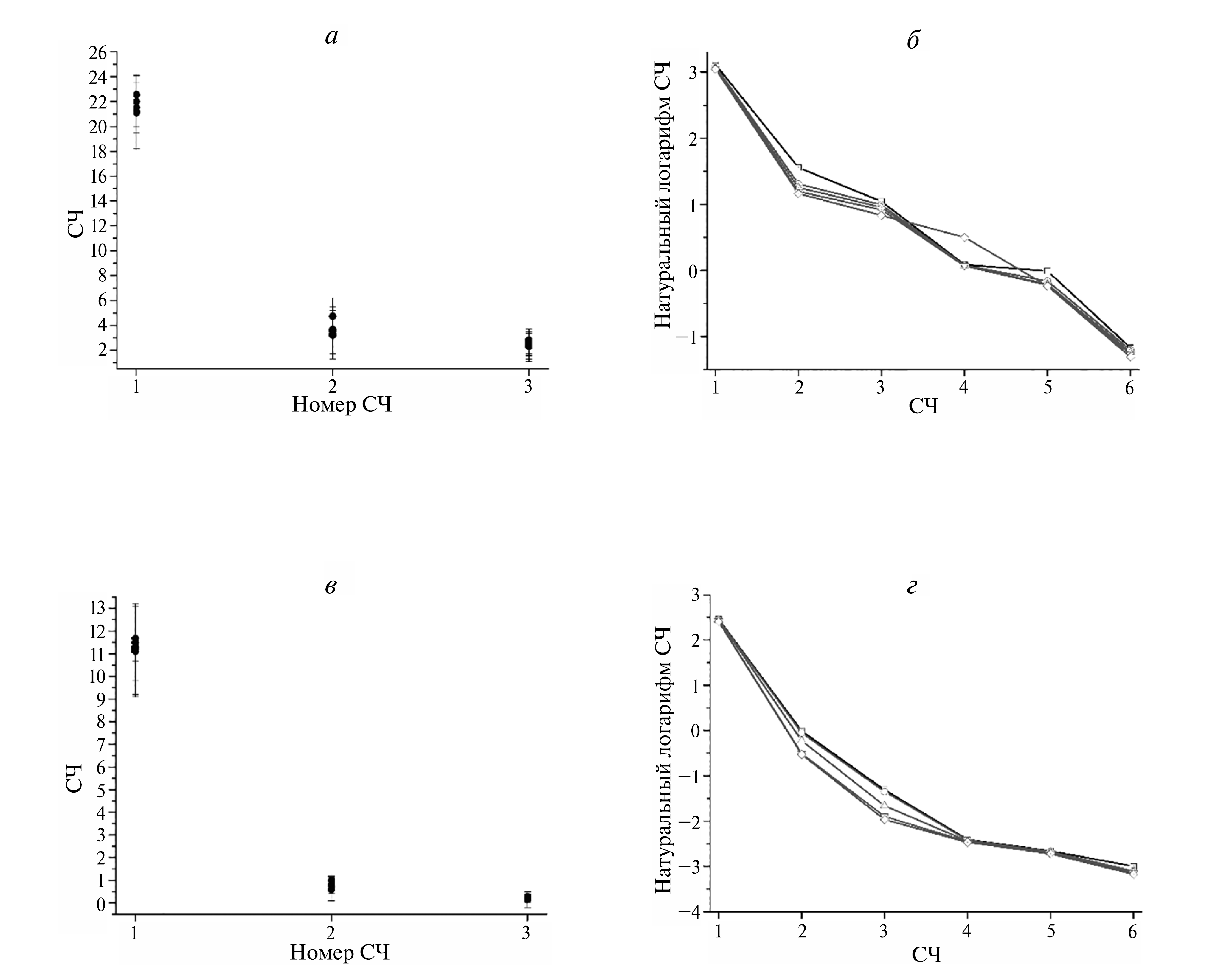
Рис. 3. Диаграмма первых трех собственных чисел ковариационных матриц: а – зимний сезон, в – летний сезон; спектры шести собственных чисел ковариационных матриц: б – зима, г – лето.
Для оценки устойчивости разложения ТНТ на естественные ортогональные составляющие территория Южного Урала, содержащая первоначально 12 полигонов (пикселов), была разделена на две зоны с 6 пикселами в каждой, по широте и долготе. По выделенным таким образом четырем зонам были вычислены СЧ ковариационных матриц и сопоставлены спектры таковых. Из рис. 3 видно, что значения первых трех СЧ ковариационных матриц по выделенным зонам и для всей территории в целом практически одинаковы. С сокращением объема данных измерений, т. е. сокращением площади, совершенно очевидно растет погрешность СЧ. В соответствии с рекомендацией (Craddock, 1966, 1973) графики всех пяти спектров на рис. 3б, г показаны в полулогарифмическом масштабе. В целом представленные спектры по сезонам отельных зон и для всего Южного Урала весьма сходны, что может служить условием оптимальности разложения ТНТ на естественно-ортогональные составляющие.
Для выявления связи ЕОС среднемесячной яркостной температуры дистанционного зондирования с основными модами изменчивости (AMO, NAO, AO, PE, EAWR, SCAND, PNA, SOI, PDO, Sea Ice Index Anomaly) был проведен корреляционный анализ. В результате анализа было установлено, что наиболее тесная связь ЕОС1 яркостной температуры зимнего сезона с индексами NAO (0.63), AO (0.46), SOI (0.35), для летнего периода с индексами AMO (0.73), EAWR (–0.47), SOI (–0.46) и Sea Ice Index Anomaly (0.51), в скобках указано значение коэффициента корреляции. Для остальных ЕОС по сезонам, как и других климатических индексов связь оказалась слабой и статистически незначимой. Временная динамика некоторых индексов мод климатической изменчивости, статистически значимо связанных с временными коэффициентами мод изменчивости среднемесячной ТНТ, показана на рис. 4. Зимой ведущая ЕОС1 изменчивости приземной температуры связана с NAO (и тесно с ним коррелированным AO) и SOI. Положительные аномалии индекса NAO зимой связаны с положительными аномалиями приземной температуры в Северной Евразии примерно к северу от 45° с. ш. и отрицательными аномалиями в Северной Африке и к востоку от Средиземного моря. Хотя основная часть рассматриваемого региона Южного Урала покрыта положительными значениями ЕОС1 (что соответствует положительным аномалиям температуры), на севере и юге отмечаются регионы с отрицательными аномалиями (рис. 2а). Отрицательная корреляция температурных аномалий отмечалась ранее (Luo et al., 2016), причиной такой пространственной структуры может быть недавно выявленная связь между Уральским блокингом/антициклоном и положительной фазой NAO (Luo et al., 2016), что может приводить к отрицательным аномалиям температуры в южной части исследуемого региона на фоне общего потепления в Северной Евразии при положительной фазе NAO. SOI является примером короткопериодной изменчивости климата на межгодовых масштабах и может является следствием крупномасштабных низкочастотных процессов, протекающих в атмосфере и океане (Гущина и др. 1997; Dewitte et al., 2011), а также внутрисезонной тропической изменчивости (Демченко, Кислов, 2010). Тесно связанные с SOI аномалии температуры поверхности океана меняют свою локализацию, что вызывает интенсивный отклик в глобальной и региональной циркуляции тропических и умеренных широт (Гущина и др., 1997).
Летом корреляционный анализ выявил статистически значимые корреляции ЕОС1 с AMO, NAO, EAWR, SOI и Sea Ice Index Anomaly. Следует отметить, что летняя ЕОС1 объясняет подавляющую часть общей изменчивости температурных аномалий (82%). Первая связь свидетельствует о значительном влиянии долгопериодных колебаниях температуры поверхности океана в Северной Атлантике на региональный климат. Этот результат важен в связи с квазициклическими колебаниями AMO, что позволяет использовать его для декадного прогноза климатических изменений в регионе. Отрицательные корреляции с EAWR, NAO и SOI вызваны особенностью структуры самих этих мод изменчивости, с отрицательными аномалиями давления и температуры в регионе Южного Урала при положительных фазах выше перечисленных индексов. Поскольку данная мода атмосферной изменчивости связана с процессами в Северной Атлантике (Barnston, Livezey, 1987), то в целом можно заключить, что летняя изменчивость температуры в исследуемом регионе на временных масштабах от междекадного до межгодового наиболее тесно связана с климатическими изменениями в Северной Атлантике.
Рис. 4. Динамика климатических индексов AMO, Sea Ice Anomaly и NAO (шкала справа, пунктирная серая линия) и отдельных ЕОС1: а, б – летние месяцы, в – зимние (шкала слева, сплошная черная линия); r – значение линейного коэффициента корреляции Пирсона.
Рис. 5. Пространственное распределение значений коэффициента линейной корреляции r между временными рядами среднесезонной яркостной температуры, осредненной по территории Южного Урала, и временных рядов ЕОС1 для зимы а и лета б.
ЕОС1 для зимнего периода, полученные в результате анализа среднемесячной ТНТ, описывают от 38% в декабре, до 42% в феврале от ее общей изменчивости. При этом многолетние колебания усредненной по исследуемой территории ТНТ также в среднем на 40% описываются ЕОС1 (рис. 5а). Принимая во внимания сравнительно небольшие масштабы территории Южного Урала, для ТНТ зимних месяцев характерна слабая пространственная связанность, характеризующаяся малыми значениями коэффициентов корреляции и небольшим заложением изолиний, последнее обусловлено физической неоднородностью подстилающей поверхности. В целом поля ЕОС1 по отдельным зимним месяцам практически идентичны сезонной ЕОС1, поэтому пространственные распределения таковых не приведены в статье. Связь с циркуляционными индексами, полученная в результате корреляционного анализа, показывает, что наибольший вклад в изменчивость зимней ТНТ на Южном Урале вносят два климатических индекса, NAO и AO, представляющие собой аномалии противоположного знака высоты геопотенциала (во всей толще тропосферы) и давления с центрами вблизи Исландской области пониженного давления и Азорского антициклона в северо-атлантическом секторе (NAO) и (в случае AO и SOI) Алеутского минимума давления в Северном Тихом океане и аномалиями приповерхностной температуры океана, с остальными индексами связь оказалась слабой и статистически незначимой. Корреляционный анализ ЕОС2 зимних месяцев (доля которой 5% изменчивости) не выявил никакой связи ни с одним из представленных климатических индексов. Временная динамика ЕОС3 зимней температуры по региону в целом, описывающая около 2% общей изменчивости, слабо отрицательно коррелирует с изменчивостью NAO и AO, коэффициент корреляции составляет ‒0.41 и ‒0.28, а также слабо положительно — с индексом SCAND (r = 0.27).
В летний период, к которому по режиму атмосферной циркуляции относят период с июня по август месяцы, ЕОС1, полученные в результате анализа средней для лета и за каждый месяц в отдельности температуры нижней тропосферы, описывают 88% ее общей изменчивости на исследуемой территории. По отдельным месяцам они составляют: в июне 85, в июле 96, в августе 90% общей дисперсии. В среднем для лета ЕОС1 хорошо передает колебания средней по территории температуры, корреляция между ними 0.75 (рис. 5б). Поля ЕОС1 средней для лета и по отдельным месяцам схожи, по этой же причине карты последних также не приведены в работе. Корреляционный анализ выявил тесную связь ЕОС1 для летнего сезона с двумя модами изменчивости: AMO (r = 0.63) и Sea Ice Index Anomaly (r = 0.1), первый из которых представляет долгопериодное изменение приповерхностной температуры в северной части Атлантического океана, второй динамику аномалий концентрации морского льда в северной части Атлантического и Ледовитого океанах. Слабая отрицательная связь ЕОС1 летних месяцев установлена с EAWR и SOI. Связь ЕОС1 летних месяцев с другими климатическими индексами оказалась слабой и статистически незначимой. Анализ на тесноту связи колебаний ЕОС2 (≈8% общей изменчивости) с климатическими индексами аналогичен ЕОС1, значения коэффициента корреляции 0.35, ‒0.22, ‒0.25 и 0.33 (статистически значимы). Корреляционный анализ ЕОС3 (2% общей дисперсии) с климатическими модами не выявил никакой статистически значимой связи.
Для того чтобы оценить вклад изменчивости, связанный с выявленными аномалиями ЕОС, из осредненных по исследуемому региону температурных вариаций были вычтены аномалии температуры, как связанные с ЕОС1‒3 по отдельности, так и с суммой отдельных ЕОС1, 2, 3. Остаточные аномалии в сравнении с исходными данными представлены на рис. 6а–в для зимнего и рис. 6г–е для летнего периодов. В зимний период на долю ЕОС1 и ЕОС3 приходится 84% общей температурной изменчивости, ЕОС2 не вносит существенного вклада, что наглядно продемонстрировано на рис. 6б. Из рис. 6а видно, вклад ЕОС1 является доминирующим на всем интервале наблюдений и показывает отрицательный тренд.
Удаление аномалий среднемесячной температуры воздуха связанной с ЕОС1, ЕОС2 и ЕОС3, приводит к полному исчезновению междекадной (внутривековой) изменчивости, практически нивелирует температурные флуктуации и тренд практически исчезает. В летний период на долю первых двух ЕОС также приходится больший вклад, влияние ЕОС3 незначительно, удаление первых трех ЕОС приводит к невозможности оценки тренда в колебаниях приземной температуры воздуха.
Рис. 6. Аномалии зимней температуры, осредненной для Южного Урала (сплошная), с вычетом (пунктирная) изменчивости, относящейся к суммарному вкладу ЕОС1 — а, ЕОС2 — б, ЕОС1+3 — в. То же для лета, с вычетом (пунктирная) изменчивости, относящейся к суммарному вкладу ЕОС1 — г, ЕОС2 — д, ЕОС1+2 — е.
ЗАКЛЮЧЕНИЕ
С помощью метода главных компонент были проанализированы среднемесячные значения ТНТ по территории Южного Урала, вычислены корреляционные и ковариационные матрицы инструментальных наблюдений и СЧ таковых. Установлено, что на долю первых четырех ЕОС приходится 99% всей изменчивости. Получено распределение ЕОС1‒12, на основе которого выявлена пространственная структура колебаний ТНТ. Изменчивость среднесезонных полей ТНТ достаточно полно (≈98% изменчивости зимой и летом) описывается первыми тремя ЕОС. ЕОС1 — ведущая мода изменчивости зимнего периода, на долю которой приходится основной вклад 82%, хорошо коррелирована с NAO, AO и SOI, связь с остальными индексами слабая. Такое свидетельство тесной связи временной эволюции приземной температуры на Южном Урале в зимний период с колебаниями SOI, AO и его региональной компонентой САК (Бардин, Полонский, 2005; Курбаткин, Смирнов, 2010; Friederichs, Hense, 2003; Hurrell et al., 2003) позволяет в целом объяснить структуру температурных изменений в регионе, расположенном в зоне смены знака температурных аномалий, связанных с NAO/AO и SOI. При положительной фазе NAO зимой усиление западного переноса севернее 50° с. ш. приводит к потеплению над северной частью региона, за исключением крайних северных областей, где отрицательная аномалия температуры при положительной фазе NAO может быть связана с усилением Уральского антициклона/блокинга, что отмечено в недавнем исследовании (Luo et al., 2016). Похолодание над южной частью региона может объясняться усилением субтропического антициклона во время положительной фазы NAO. Учитывая, что NAO/AO связаны с внутренней изменчивостью атмосферной циркуляции, можно заключить, что региональные колебания температуры, в том числе на декадном масштабе, главным образом связаны с внутренней стохастической динамикой атмосферы, а отдельные температурные экстремумы — с явлением Эль-Ниньо, на что указывает положительная и статистически значимая связь с SOI.
Выявлена значительная положительная корреляция ЕОС1 летнего сезона с индексами АМО (r = 0.73) и Sea Ice Index Anomaly (r = 0.51), отрицательная (r = ‒0.47) с EAWR и SOI (r = ‒0.46), что дает возможность связать летние температурные аномалии на Южном Урале с квазипериодическими колебаниями меридионального переноса тепла в Северной Атлантике, являющимися главным механизмом, отвечающим за формирование низкочастотной изменчивости температуры поверхности океана и потоков тепла на границе раздела океан-атмосфера. Поскольку АМО достаточно инерционно и квазициклично (Семенов и др., 2014; Fyfe et al., 2013), значимая корреляция с таковым позволяет использовать этот индекс для улучшения декадного прогноза изменений летнего климата в регионе. В частности, происходящий в настоящее время переход АМО к отрицательной фазе указывает на возможность замедления потепления летом в регионе в целом (за исключением его юго-восточной части) в ближайшие 2–3 десятилетия. Тесная обратная связь летней температуры на Южном Урале с индексами EAWR и SOI, один из которых представляет собой три очага аномалий давления, локализованные над Канарскими островами, Великобританией и Черным морем (Нестеров, 2016; Barnston, Livezey, 1987; Wallace, Gutzler, 1981), другой — температурные аномалии океана, указывает на соответствующие процессы усиления зонального переноса и ослабление частоты блокирования в атмосфере. Результаты, полученные в данной работе, согласуются с выводами других исследований (Семенов, 2007; Попова, Шмакин, 2010), в том числе и по Южному Уралу (Васильев и др., 2018б).
БЛАГОДАРНОСТИ
Авторы выражают искреннюю признательность анонимному рецензенту, сделавший ряд ценных и критических замечаний.
ИСТОЧНИК ФИНАНСИРОВАНИЯ
Исследование структуры изменчивости температуры выполнено по теме Госзадания 0148–2019–0009. Анализ связей с индексами климатической изменчивости выполнен при поддержке Программы ПРАН № 51.
About the authors
D. Yu. Vasil’ev
Ufa State Aviation Technical University; A.M. Obukhov Institute of Atmospheric Physics RAS
Author for correspondence.
Email: vasilevdy@ugatu.su
Russian Federation, Ufa; Moscow
N. V. Velikanov
Ufa State Aviation Technical University
Email: vasilevdy@ugatu.su
Russian Federation, Ufa
V. V. Vodopyanov
Ufa State Aviation Technical University
Email: vasilevdy@ugatu.su
Russian Federation, Ufa
N. N. Krasnogorskaya
Ufa State Aviation Technical University
Email: vasilevdy@ugatu.su
Russian Federation, Ufa
V. A. Semenov
A.M. Obukhov Institute of Atmospheric Physics RAS; Institute of Geography RAS
Email: vasilevdy@ugatu.su
Russian Federation, Moscow
O. I. Christodulo
Ufa State Aviation Technical University
Email: vasilevdy@ugatu.su
Russian Federation, Ufa
References
- Bagrov N.A. Analiticheskoye predstavleniye posledovatel'nostey meteorologicheskikh poley posredstvom yestestvennykh ortogonal'nykh sostavlyayushchikh [Analytical representation of meteorological field sequences by means of natural orthogonal components] // Tr. TSIP. 1959. Vyp. 74. S. 3–24. (In Russian).
- Bardin M.YU., Polonskiy A.B. Severoatlanticheskoye kolebaniye i sinopticheskaya izmenchivost' v Yevropeysko-Atlanticheskom regione v zimniy period [North Atlantic Oscillation and Synoptic Variability in the European-Atlantic Region in the Winter] // Izv. RAN. Fizika atmosfery i okeana. 2005. T. 41. № 2. S. 3–13. (In Russian).
- Barnston A.G., Livezey R.E. Classification, seasonality, and persistence of low frequency atmospheric circulation patterns // Month Weather Rev. 1987. V. 115. P. 1083–1126.
- Brovelli M. A., Sansò F., Venuti G. A discussion on the Wiener–Kolmogorov prediction principle with easy-to-compute and robust variants // J. Geodesy. 2003. V. 76. № 11–12. P. 673–683.
- Chered'ko N.N., Tartakovskiy V.A., Krutikov V.A., Volkov YU.V. Klassifikatsiya klimatov Severnogo polushariya na osnove otsenki fazy temperaturnogo signala [Classification of climates of the Northern Hemisphere based on the assessment of the phase of the temperature signal] // Optika atmosfery i okeana. 2016. T. 29. № 8. S. 625–632. (In Russian).
- Craddock J.M. A meteorological application of the principal component analysis // The Statistician. 1966. V. 15. P. 143–156.
- Craddock J.M. Problems and prospects for eigenvector analysis in meteorology // The Statistician. 1973. V. 22. № 2. P. 133–145.
- Darman Z.I. O podschete sredney velichiny sloya osadkov v rechnykh basseynakh [On the calculation of the average value of the precipitation layer in river basins] // Meteorol. i gidrol. 1949. № 4. S. 118–121. (In Russian).
- Demchenko P.F., Kislov A.V. Stokhasticheskaya dinamika prirodnykh ob"yektov. Brounovskoye dvizheniye i geofizicheskiye prilozheniya. [Stochastic dynamics of natural objects. Brownian motion and geophysical applications.] M.: GEOS, 2010. 190 s. (In Russian).
- Dewitte B., Illig S., Renault L., Goubanova K., Takahashi K., Gushchina D., Mosquera K., Purca S. Modes of covariability between sea surface temperature and wind stress intraseasonal anomalies along the coast of Peru from satellite observations (2000–2008) // J. Geophys. Res. 2011. V. 116, C04028. doi: 10.1029/2010JC006495
- Friederichs P., Hense A. Statistical inference in canonical correlation analyses exemplified by influence of North Atlantic SST on European climate // J. Clim. 2003. V. 16. № 3. P. 522–534.
- Fyfe J.C., Gillett N.P., Zweirs F.W. Overestimated global warming over the past 20 years // Nature. 2013. V. 6. P. 767–769.
- Ghil M., Vautard R. Interdecadal oscillations and the warming trend in global temperature time series // Nature. 1991. V. 350. P. 324–327.
- Gushchina D.YU., Petrosyants M.A., Semenov Ye.K. Empiricheskaya model' tsirkulyatsii tropicheskoy atmosfery v period yavleniya El'-Nin'o–Yuzhnoye Kolebaniye [Empirical model of the circulation of the tropical atmosphere during the El Nino phenomenon - Southern Oscillation] // Meteorol. i gidrol. 1997. № 1. S. 15–26. (In Russian).
- Gevorkyan P.S., Potemkin A.V., Eysymont I.M. Teoriya veroyatnostey i matematicheskaya statistika. [Theory of Probability and Mathematical Statistics.] Izd-vo 2-ye. M.: Fizmatlit, 2016. 176 s. (In Russian).
- Hirsch A.L., Wilhelm M., Davin E.L., Thiery W., Seneviratne S.I. Can climate-effective land management reduce regional warming? // J. Geophys. Res. 2017. 122. P. 2269–2288. doi: 10.1002/2016JD026125
- Hurrell J.W., Kushnir Y., Ottersen G., Visbeck M. 2003. An overview of the North Atlantic Oscillation: Climatic significance and environmental impact. Amer. Geophys. Union, Washington D.C. doi: 10.1029/134GM01
- Kagan R.L. Osredneniye meteorologicheskikh poley. [Averaging of meteorological fields.] L.: Gidrometeoizdat, 1979. 204 s. (In Russian).
- Kazakevich D.V. Osnovy teorii sluchaynykh funktsiy v zadachakh gidrometeorologii. [Fundamentals of the theory of random functions in problems of hydrometeorology.] L.: Gidrometeoizdat, 1989. 230 s. (In Russian).
- Kiselov B.V. Issledovaniye khaotichnosti i determinizma v indeksakh anomalii prizemnoy temperatury metodom rekurrentnykh diagramm [The study of randomness and determinism in the indices of the anomalies of surface temperature by the method of recurrent diagrams] // Izv. RAN. Fizika atmosfery i okeana. 2016. T. 52. № 1. S. 37–41. (In Russian). (In Russian).
- Klok E.J., Tank A.M.G. Updated and extended Europe an dataset of daily climate observations // Intern. J. Clim. 2009. V. 29. P. 1182–1191.
- Korneva I.A., Semenov S.M. Chuvstvitel'nost' temperatury zemnoy poverkhnosti k izmeneniyu al'bedo atmosfery: otsenka radiatsionnogo effekta [Sensitivity of the Earth's surface temperature to changes in the albedo of the atmosphere: an assessment of the radiation effect] // Meteorol. i gidrol. 2016. № 5. S. 5–11. (In Russian).
- Kurbatkin G.P., Smirnov V.D. Mezhgodovyye variatsii temperatury troposfery, svyazannyye s dekadnymi izmeneniyami Severoatlanticheskogo kolebaniya [Inter-annual variations in the temperature of the troposphere associated with decadal changes in the North Atlantic Oscillation] // Izv. RAN. Fizika atmosfery i okeana. 2010. T. 46. № 4. S. 435–447. (In Russian).
- Lader R., Bhatt U.S., Walsh J.E., Rupp T.S., Bieniek P.A. Two-Meter Temperature and Precipitation from Atmospheric Reanalysis Evaluated for Alaska // J. Appl. Meteorol. and Clim. 2016. V. 55. № 4. P. 901–922. doi: 10.1175/JAMC-D-15-0162.1
- Luo D., Xiao Y., Yao Y., Dai A., Simmonds I., Franzke CLE. Impact of Ural Blocking on Winter Warm Arctic–Cold Eurasian Anomalies. Part I: Blocking-Induced Amplification // J. Clim. 2016. V. 29. P. 3925–3947.
- Luo D., Xiao Y., Yao Y., Dai A., Simmonds I., Franzke CLE. Impact of Ural Blocking on Winter Warm Arctic–Cold Eurasian Anomalies. Pt II: The Link to the North Atlantic Oscillation // J. Clim. 2016. V. 29. P. 3949–3971.
- MGEIK: Izmeneniye klimata, 2013 g.: Fizicheskaya nauchnaya osnova. Vklad rab. gr. I v Pyatyy otsenochnyy dokl. Mezhpravit. gr. ekspertov po izmeneniyu klimata [IPCC: Climate Change, 2013: Physical Science Base. The contribution of the slave. gr. I to the Fifth Evaluation Report. Intergovernmental gr. Climate Change Experts] / Pod. red. T.F. Stokera, D. Kuina. MGEIK, Kembridzh, N'yu-York, SSHA. 2013.1535 s. (In Russian).
- Mokhov I.I., Semenov V.A. Pogodno-klimaticheskiye anomalii v rossiyskikh regionakh i ikh svyaz' s global'nymi izmeneniyami klimata [Weather and climate anomalies in the Russian regions and their relationship with global climate change] // Meteorol. i gidrol. 2016. № 2. S. 16–28. (In Russian).
- Nesterov Ye.S. O vliyanii Severoatlanticheskogo i Vostochno-Atlanticheskogo kolebaniy na formirovaniye opasnogo volneniya v Severnoy Atlantike [On the influence of the North Atlantic and East Atlantic oscillations on the formation of dangerous waves in the North Atlantic] // Tr. Gidromettsentra Rossii. 2016. № 362. S. 83–91. (In Russian).
- Mears C.A., Wentz F.J. Construction of the RSS V3.2 lower-tropospheric temperature Dataset from the MSU and AMSU microwave sounders // J. Atm.c and Oc. Technol. 2009. V. 26. № 8. P. 1493–1509. doi: 10.1175/2009JTECHA1237.1
- Mears C.A., Wentz F.J. A seattleite-derived lower-tropospheric atmospheric temperature dataset using an optimized adjustment for diurnal effects // J. Clim. 2017.V. 30. № 19. P. 7695–7718. doi: 10.1175/JCLI-D-16-0768.1
- North G.R., Bell T.L., Cahalan R.F., Moeng F.J. Sampling errors in the estimation of empirical orthogonal functions // Month Weather Rev. 1982. V. 110. № 7. P. 699–706.
- Obukhov A.M. O statisticheski ortogonal'nykh razlozheniyakh empiricheskikh funktsiy [On statistically orthogonal expansions of empirical functions] // Izv. Academy of Sciences of the USSR. Ser. geophysical. // Izv. AN SSSR. Ser. geofizicheskaya. 1960. № 3. S. 432–439. (In Russian).
- Popova V.V., Shmakin A.B. Regional'naya struktura kolebaniy temperatury prizemnogo vozdukha v Severnoy Yevrazii vo vtoroy polovine KHKH – nachale XXI vekov [Regional structure of surface air temperature fluctuations in Northern Eurasia in the second half of the twentieth and early twenty-first centuries] // Izv. RAN. Fizika atmosfery i okeana. 2010. T. 46. № 2. S. 161–175. (In Russian).
- Semenov V.A. Struktura izmenchivosti temperatury v vysokikh shirotakh Severnogo polushariya [The structure of temperature variability in high latitudes of the Northern Hemisphere] // Izv. RAN. Fizika atmosfery i okeana. 2007. T. 43. № 6. S. 1–10. (In Russian).
- Semenov V.A., Shelekhova Ye.A., Mokhov I.I., Zuyev V.V., Koltermann K.P. Vliyaniye atlanticheskogo dolgoperiodnogo kolebaniya na formirovaniye anomal'nykh klimaticheskikh rezhimov v regionakh severnoy Yevrazii po model'nym raschetam [The influence of the Atlantic long-period oscillation on the formation of anomalous climatic regimes in the regions of northern Eurasia according to model calculations.] // Dokl. RAN. 2014. T. 459. № 6. S. 742–745. (In Russian).
- Semenov V.A. Svyaz' anomal'no kholodnykh zimnikh rezhimov na territorii Rossii s umen'sheniyem ploshchadi morskikh l'dov v Barentsevom more [Communication of abnormally cold winter regimes on the territory of Russia with a decrease in the area of sea ice in the Barents Sea] //Izv. RAN. Fizika atmosfery i okeana. 2016. T. 52. № 3.S. 257–266. (In Russian).
- Sonechkin D.M. Ob opredelenii yestestvennykh sostav-lyayushchikh meteorologicheskikh poley [On the determination of the natural components of meteorological fields] // Meteorol. i gidrol. 1971. № 3. S. 22–29. (In Russian).
- Sterin A.M., Timofeyev A.A. Ob otsenke trendov prizemnoy temperatury vozdukha dlya territorii Rossii metodom kvantil'noy regressii [On the evaluation of trends in surface air temperature for the territory of Russia by the method of quantile regression] // Meteorol. i gidrol. 2016. № 6. S. 17–30. (In Russian).
- Suryanarayana T.M.V., Mistry P.B. Principal component regression for crop yield estimation. Singapore: Springer, 2016. 67 p.
- Turuncoglu U.U., Sannino G. Validation of newly designed regional earth system model (RegESM) for Mediterranean basin // Clim. Dynam. 2017. 48. P. 2919–2947. doi: 10.1007/s00382-016-3241-1
- Vasil'yev D.Yu., Lukmanov R.L., Ferapontov Yu.I., Chuvyrov A.N.Tsiklichnost' gidrometeorologicheskikh kharakteristik na primere Bashkirii [Cyclicity of hydrometeorological characteristics on the example of Bashkiria] // Dokl. RAN. 2012. T. 447. № 3. S. 331–334. (In Russian).
- Vasil'yev D.Yu., Ferapontov Yu.I. Trendy v kolebaniyakh prizemnoy temperatury vozdukha na primere Bashkirii [Trends in fluctuations in surface air temperature on the example of Bashkiria] // Izv. RAN. Ser. Geograficheskaya. 2015. № 1. S. 77–86. (In Russian)/
- Vasil'yev D.Yu., Kucherov S.Ye., Lazarev V.V. Vzaimosvyaz' solnechnoy aktivnosti, klimaticheskikh indeksov i osadkov maya-iyulya, rekonstruirovannykh na osnove analiza radial'nogo prirosta listvennitsy na Yuzhnom Urale [Interrelation of solar activity, climatic indices and precipitations of May-July, reconstructed based on the analysis of the radial growth of larch in the Southern Urals] // Opt. atm. i okeana. 2016. T. 29. № 3. S. 224–231. (In Russian).
- Vasil'yev D.Yu., Sivokhip Zh.T., Chibilov A.A. Dinamika klimata i vnutrivekovyye kolebaniya stoka v basseyne reki Ural [Dynamics of climate and intrasecular fluctuations of runoff in the Ural River basin] // Dokl. RAN. 2016. T. 469. № 1. S. 102–107. (In Russian).
- Vasil'yev D.Yu., Babkov O.K., Kochetkova Ye.S., Semenov V.A. Veyvlet i kross-veyvlet analiz summ atmosfernykh osadkov i pripoverkhnostnoy temperatury na Yevropeyskoy territorii Rossii [Wavelet and cross-wavelet analysis of the amounts of precipitation and surface temperature on the European territory of Russia] // Izv. RAN. Ser. Geograficheskaya. 2017. № 6. S. 63–77. (In Russian).
- Vasil'yev D.YU., Pavleychik V.M., Semenov V.A., Sivokhip ZH.T.,Chibilov A.A. Mnogoletniy rezhim temperatury vozdukha i atmosfernykh osadkov na territorii Yuzhnogo Urala [The long-term regime of air temperature and precipitation on the territory of the Southern Urals] // Dokl. RAN. 2018. T. 478. № 5. S. 588–592. (In Russian).
- Vasil'yev D.Yu., Babkov O.K., Davliyev I.R., Semenov V.A.,Khristodulo O.I. Prostranstvenno-vremennaya struktura kolebaniy prizemnoy temperatury na Yuzhnom Urale [Spatio-temporal structure of surface temperature fluctuations in the Southern Urals] // Opt. atm. i okeana. 2018. T. 31. № 4. S. 294–302. (In Russian).
- Vtoroy otsenochnyy doklad Rosgidrometa ob izmeneniyakh klimata i ikh posledstviyakh na territorii Rossiyskoy Federatsii. Obshcheye rezyume. [The second assessment report of Roshydromet on climate change and its consequences on the territory of the Russian Federation. General summary.] M.: Izd-vo Rosgidromet, 2014. 58 s. (In Russian).
- Wallace J.M., Gutzler D.S. Teleconnections in the geopotential height field during the Northern hemisphere winter // Month Weather Rev. 1981. V. 109. P. 784–812.
- Zhou C., Wang K. Land surface temperature over global desert: means, variability, and trends // J. Geophys. Res. 2016. 121. P. 344–357. doi: 10.1002/2016JD025410
Supplementary files








