Об изменении температуры поверхности океана в зоне Бенгельского апвеллинга. Часть 1: сезонный цикл
- Авторы: Полонский А.Б.1,2,3, Серебренников А.Н.1
-
Учреждения:
- Институт природно-технических систем
- Филиал МГУ в г. Севастополе
- Севастопольский государственный университет
- Выпуск: № 3 (2019)
- Страницы: 33-44
- Раздел: ИСПОЛЬЗОВАНИЕ КОСМИЧЕСКОЙ ИНФОРМАЦИИ О ЗЕМЛЕ
- URL: https://journals.eco-vector.com/0205-9614/article/view/14266
- DOI: https://doi.org/10.31857/S0205-96142019333-44
- ID: 14266
Цитировать
Полный текст
Аннотация
На основе ежедневной спутниковой информации о температуре поверхности океана за 1982–2017 гг., приповерхностном ветре за 1988–2017 гг. и аномалиях уровенной поверхности за 1993–2017 гг. исследована сезонная изменчивость гидротермодинамических характеристик верхнего слоя вод в окрестности Бенгельского апвеллинга. Показано, что из-за значительной горизонтальной адвекции вод апвеллингового происхождения термический индекс апвеллинга, осредненный по всей области с пониженными значениями температуры, не дает правильного представления о сезонном ходе скорости подъема вод в зоне апвеллинга. Сезонный ход вертикальной скорости ветрового происхождения в зоне Бенгельского апвеллинга характеризуется наличием двух экстремумов в период с октября по март, что проявляется в преобладании полугодовой гармоники над годовой. При этом термический индекс апвеллинга в зоне распространения апвеллинговых вод подвержен сезонной изменчивости с годовым периодом.
Полный текст
ВВЕДЕНИЕ
Изучение основных закономерностей, формирующих пространственно-временную структуру крупнейших прибрежных апвеллингов Мирового океана, актуально и для фундаментальной науки, и для многочисленных приложений. Выходящие на поверхность подповерхностные и промежуточные воды несут в себе биогенные элементы, влияющие, в конечном счете, на все звенья пищевой цепи и региональные морские экосистемы в целом. Важнейшую роль в функционировании гидробионтов играет температура воды, которая может ускорять или замедлять рост численности отдельных видов. Поэтому долгосрочный прогноз состояния сырьевой базы рыболовства в районах апвеллингов обычно основывается на долгосрочном прогнозе океанологических процессов и, прежде всего, прогнозе температуры воды (Малинин и др. 2002; Чернышков, 2006). Кроме того, подъем к поверхности аномально холодных вод влияет не только на погодно-климатические условия в прибрежных районах, но и на климат Земли в целом.
Причины возникновения апвеллингов и методы его мониторинга с помощью анализа температуры поверхности океана (ТПО) достаточно хорошо изучены (Чернышков, 2006; Upwelling, 2013; Goubanova et al., 2013; Полонский, Серебренников, 2018). В настоящей работе исследуются сезонные изменения системы Бенгельского апвеллинга (БА), развивающегося у берегов Анголы, Намибии и Южной Африки и являющейся одним из наиболее интенсивных апвеллингов Мирового океана (Чернышков, 2006; Blanke et al., 2005). В этом регионе проходит холодное Бенгельское течение, которое распространяется на север (до 15° ю. ш.) вдоль западного побережья южной части Африки (Hutchings et al., 2009), питаемое кольцами Южно-Атлантического течения (Gordon et al., 1992). Бенгельское течение — это часть восточного погранслоя Южной Атлантики и восточная ветвь Южного субтропического антициклонического круговорота (ЮСАК).
Уникальность БА заключается в том, что он граничит с теплыми течениями: Ангольским и течением Агульяс (Hutchings et al., 2009). Ангольское течение распространяется в район БА с севера. Течение Агульяс выходит в Атлантику из Индийского океана, огибая Южную оконечность Африки и разворачивается на север. Поэтому район БА характеризуется водными массами с сильными различающимися свойствами и достаточно интенсивными градиентными течениями (Чернышков, 2006). В частности, в результате взаимодействия Бенгельского и Ангольского течений формируется Ангольско-Бенгельская фронтальная зона (Meeuwis et al., 1990; Lass et al., 2000).
Наиболее сильный круглогодичный апвеллинг наблюдается в районе п. Людериц (между 26.5° и 28° ю. ш.) (Shannon, Nelson, 1996). Широта 28° ю. ш. часто используется как граница между апвеллинговыми системами Северного и Южного Бенгельского апвеллинга (далее СБА и ЮБА соответственно). По данным некоторых авторов (например, Tim et al., 2015) сезонный цикл этих апвеллингов различается. Вместе с тем, существуют и другие пространственно-временные квалификации БА, основанные на разнице сезонных проявлений апвеллинга в ТПО. По мнению автора работы (Чернышков, 2006), окрестность БА в целом можно разделить на зону круглогодичного подъема вод (между 17° и 33° ю. ш.) с максимальным развитием между 20° и 30° ю. ш., зону слабого апвеллинга с выраженной сезонностью (к северу от 10° и к югу от 33° ю. ш.) и зону между 10° и 15° ю. ш., где апвеллинг отсутствует практически на протяжении всего года. Автор цитируемой работы считает, что пространственное распределение этих зон в общих чертах согласуется с внутригодовой изменчивостью положения и интенсивности зоны пассатных ветров, но не имеет такого ярко выраженного сезонного хода, как в системе Канарского апвеллинга. По данным авторов работы (Chaigneau et al., 2009), интенсивность апвеллинга носит явно выраженный сезонный характер, по-разному проявляющийся в субтропических широтах (30°–34° ю. ш.) и в районах, расположенных ближе к экватору (15°–30° ю. ш.). В некоторых работах (например, Bakun, Nelson, 1991) утверждается, что наиболее интенсивный апвеллинг в регионе приходится на лето Южного полушария. Другие авторы (Blanke et al., 2005) полагают, что период максимальной интенсификации БА длится с октября по март. В работе (Veitch et al., 2010) поясняется, что пик ЮБА приходится на весну и лето Южного полушария, тогда как на севере, где наблюдается более слабые сезонные колебания, эти пики приурочены к осеннему и весеннему периодам (т. е., отмечаются полугодовые вариации ТПО).
Необходимо подчеркнуть, что выделение апвеллинга по характеристикам пространственно-временной изменчивости ТПО не всегда оправдано, поскольку ТПО в окрестности крупномасштабных апвеллингов определяется не только вертикальной адвекцией, но и горизонтальными адвективными переносами, а также интенсивностью процессов перемешивания вод (Upwelling, 2013; Полонский, Сухонос, 2017; Полонский, Серебренников, 2018). В некоторых случаях сезонный термоклин может блокировать выход холодных вод на поверхность. В этих случаях апвеллинг не будет явно выделяться по ТПО. Авторы работы (Chen et al., 2012) проанализировали индекс апвеллинга, вычисленный по ТПО, и индекс сгонного апвеллинга, определенный по вдольбереговой компоненте ветра с использованием классических соотношений Экмана. Они отметили, что первый индекс достаточно хорошо отражает пространственные изменения интенсивности апвеллинга (за исключением случаев усиления горизонтальной адвекции, например, при вторжении в область БА вод Ангольского течения), в то время как второй лучше отражает временные вариации сгонного апвеллинга. Вместе с тем, поле ветра в прибрежной зоне обычно характеризуется значительной пространственной неоднородностью, что может приводить к генерации дополнительных восходящих вертикальных движений, связанных с завихренностью ветра. Таким образом, возникает вопрос об адекватности идентификации пространственно-временной изменчивости характеристик апвеллинга по ТПО.
Современные спутниковые данные позволяют оценить параметры изменчивости ТПО, сгонных ветров и вертикальных движений, вызванных этими ветрами, а также пространственной неравномерностью поля ветра и градиенты уровенной поверхности океана (характеризующие геострофические течения на поверхности океана) в зоне апвеллинга. В настоящей работе все эти характеристики будут оценены на сезонном масштабе для усредненного внутригодового цикла. Межгодовая изменчивость характеристик БА будет описана во второй части работы.
МАТЕРИАЛЫ И МЕТОДЫ
Для исследования Бенгельского апвеллинга был выбран регион с координатами 36°–13° ю. ш. и 0°–20° в. д. В ходе работы были проанализированы ежедневные карты ТПО с пространственным разрешением 0.05°×0.05° за 33-х летний период (с 1985 по 2017 гг.), взятые с сайта CMEMS (Copernicus Marine Environment Monitoring Service), ежедневные векторные карты приводного ветра с разрешением 0.25°×0.25° за 30-летний период (с 1988 по 2017 гг.), полученные с сайта NCEP (National Centers for Environmental Prediction), и ежедневные карты аномалий уровня моря с разрешением 0.25°×0.25° за 25-и летний период (с 1993 по 2017 гг.) с сайтов AVISO+ (Archiving, Validation and Interpretation of Satellite Oceanographic data) и CMEMS.
Размер прибрежной апвеллинговой области зависит от таких факторов, как скорость, направление и продолжительность действия приводного ветра, влияния горизонтальных переносов (как упорядоченных, так и турбулентных) с учетом взаимодействия вихревых процессов синоптического масштаба с течениями, рельефа дна, широты места и т. п. Классическая теория связывает ширину апвеллинговой зоны с величиной бароклинного радиуса деформации Россби (далее масштабом Россби) (Гилл, 1986). В большинстве работ, анализирующих крупнейшие апвеллинги Мирового океана, в качестве характеристики апвеллингов использован термический индекс (ТИА), рассчитанный по разнице ТПО в зоне апвеллинга и в удаленной зоне, расположенной за пределами апвеллинга. Фактически карты термического индекса могут служить для построения ежемесячных климатических масок, внутри которых в дальнейшем рассчитываются параметры апвеллинга. Найти область, занимаемую апвеллинговыми водами в определенный климатический месяц, а значит, и определить маску, можно методом, основанном на следующем предположении: ТПО в зоне апвеллинга должна быть ниже температуры в удаленной зоне на некоторую величину TL. Этот температурный параметр ограничивает размеры апвеллинговой области. Его можно представить как некую постоянную величину (TLconst), умноженную на коэффициент, зависящий от текущего месяца и широты. Таким образом, TLconst — это температурный перепад между апвеллинговыми и оффшорными водами в реперный месяц на реперной широте, определяемый с учетом положение фронтальной зоны в поле ТПО. Чем меньше TL, тем большую площадь будет занимать маска апвеллинга, внутри которой рассчитываются сопутствующие апвеллингу параметры (характеристики поля ветра, уровень поверхности океана и т. п.). Маски апвеллинга рассчитываются для всех 12 среднеклиматических месяцев. Конкретно для Бенгельского апвеллинга в настоящей работе величина TLconst была определена по разнице ТПО в оффшорной зоне и в районе максимального термического градиента в мористой части апвеллинговой зоны. Найденная величина TLconst получилась равной 2.6 °C. В дальнейшем, главным образом, приведены результаты, полученные при этой величине.
Ясно, что выбор величины TLconst остается достаточно субъективным. Для оценки степени влияния величины TL на получаемые результаты маски рассчитывались также для других значений TLconst в диапазоне 2.0–3.8 °C. Качественно полученные результаты при всех выбранных значениях в диапазоне TLconst от 2 до 3 °C совпадают между собой. Для оценки количественных различий были рассчитаны индексы апвеллинга Бенгельского апвеллинга при TLconst равным 2.0, 2.6 и 3.0 °C отдельно для СБА и ЮБА. Проиллюстрируем чувствительность различных индексов апвеллинга на примере СБА. Принимая за основные значения рассчитываемых параметров величины, оцененные при TLconst = = 2.6 °C, получаем разброс для ТИА ± 12%, для экмановского сгона ± 7%, для экмановской накачки ± 9%.
По нашему мнению, уменьшать TLconst до 2 °C нецелесообразно из-за того, что в этом случае в область апвеллинга оказываются включенными зоны, в которых не только преобладает горизонтальная адвекция относительно холодных вод, но и в отдельные месяцы даже относительно теплых вод Ангольского течения. При этом размеры апвеллинговой зоны сильно возрастают, существенно превышая масштаб Россби. Вместе с тем, увеличение TLconst (до величин 3 °C и более) также нецелесообразно, поскольку в этом случае ухудшается качество характеристик, рассчитываемых внутри получаемых масок по полю ветра, из-за относительно низкого разрешения данных по ветру и их невысокого качества в прибрежной зоне (см. ниже). Именно поэтому при увеличении TLconst до 3.8 °C (т. е., при существенном уменьшении площади масок, см. рис. 1) анализируемые ряды оказываются значительно более зашумленными, а полученные результаты становятся менее значимыми. Более того, в некоторые месяцы (октябрь–декабрь) данные по ветру в части ЮБА при таком значении TLconst вообще отсутствуют из-за слишком малой площади масок. Подробное описание и обсуждение методики выбора TL можно найти в работе (Серебренников, 2018).
Оффшорная зона выбиралась следующим образом. На любом разрезе, нормальном к береговой черте, зона с повышенными горизонтальными градиентами ТПО достаточно четко выделяется. Она может служить основой для определения границ апвеллинговой зоны. Для дальнейших расчетов ТИА оффшорную зону будем выбирать с учетом конфигурации береговой черты и горизонтального градиента ТПО, а именно: западнее максимума градиента на зональном разрезе ТПО на 1° долготы. Ширину оффшорной зоны будем считать равной 2°. Таким образом, мы отказываемся от прямоугольной оффшорной зоны, при использовании которой не учитывается конфигурация берега, и от выбора оффшорной зоны на произвольном расстоянии от берега (от 400 до 1500 км), как было предложено в некоторых работах (например, Santos et al., 2005). На рис. 1 оффшорная зона показана ломаной полосой серого цвета.
Из рис. 1 еще не следует, что именно выделенная на нем прибрежная зона должна совпадать с апвеллинговой зоной. Воды апвеллингового происхождения могут распространяться на значительные расстояния за счет горизонтального переноса или вообще не достигать поверхности (см. введение). Поэтому для анализа характеристик апвеллинга лучше привлекать результаты расчета вертикальной скорости подъема воды. Причем вертикальная скорость может индуцироваться и сгонным, горизонтально-однородным вдольбереговым ветром (при достаточно глубоком шельфе), и горизонтально-неоднородным ветром в прибрежной зоне. Понижение ТПО в регионе может быть связано и с вторжением в прибрежную зону достаточно интенсивного градиентного течения, приносящего относительно холодные воды. Для количественной оценки эффективности этих механизмов в зоне БА будем привлекать классическую теорию Экмана и результаты расчетов градиентных (геострофических) течений по аномалиям уровня поверхности океана.
Для оценки вертикальной скорости сгонного происхождения будет использоваться характеристика, традиционно называемая экмановским индексом прибрежного апвеллинга (ЭИПА). Он вычисляется из экмановского транспорта (Q), который создается вдольбереговой составляющей касательного напряжения ветра (Cropper et al., 2014), по формуле:
ЭИПА = − Qx × sin(φ) + Qy × cos(φ),
Рис. 1. Среднее многолетнее значение термического индекса апвеллинга в июне (когда площадь, занятая водами апвеллинга, максимальна) за период 1985–2017 гг. при TLconst = 2.6 (а) и 3.8 °C (б). Серой ломаной полосой показана оффшорная область, использованная для расчета ТИА.
где Qx и Qy — зональная и меридиональная компоненты экмановского транспорта; φ — угол наклона береговой линии к горизонтали. Береговая линия части юго-западного побережья Африки в районе БА была аппроксимирована тремя отрезками прямых с углами наклона 113°, 90° и 70° на широтах 36°–18° ю. ш., 18°–16° ю. ш. и 16°–13° ю. ш. соответственно. Положительное значение ЭИПА создает благоприятные условия для апвеллинга, отрицательное — для даунвеллинга (при положительном направлении оси Y на север). Дифференцируя ЭИПА от берега поперек апвеллиноговой зоны до ее внешней границы (определяемой масштабом Россби), мы получаем величину вертикальной скорости сгонного происхождения (Wсг). При этом используется уравнение неразрывности для двумерного случая (в предположении, что вдольбереговые градиенты равны нулю). Помимо этого экмановского переноса, ветровой апвеллинг может развиваться и за счет генерации вертикальной скорости, связанной с завихренностью поля касательного напряжения ветра на поверхности океана. В принципе, по данным некоторых авторов этот механизм может вносить существенный вклад в формирование поля вертикальных движений во многих прибрежных регионах (Taufikurahman, Hidayat, 2017). Соответствующую вертикальную скорость (назовем ее экмановской накачкой — Wэн) можно вычислить из компонентов касательного напряжения ветра по следующей формуле (Stommel et al., 1958):
Wэн = (rot τ) / (ρw × f) + (β × τx) / (ρw × f2),
где τ и τx — касательное напряжение приводного ветра и его зональная компонента, соответственно; ρw — плотность морской воды; f — параметр Кориолиса; β = ∂f / ∂y (меридиональный градиент параметра Кориолиса). Изменение f с широтой известно как «β-эффект». Раскроем ротор (rot) и заменим компоненты напряжения ветра на компоненты экмановского транспорта:
Wэн = ∂Qx / ∂x + ∂Qy / ∂y — (β × Qy) / f.
С учетом того, что β = ∂f / ∂y = (2 × Ω ×cos(θ)) / Ra получаем:
Wэн = ∂Qx / ∂x + ∂Qy / ∂y — Qy / (Ra × tg(θ)),
где Ω — угловая скорость вращения Земли; θ — географическая широта места; Ra — радиус Земли.
Геострофические течения на поверхности океана рассчитывались по градиентам аномалий уровенной поверхности за каждый месяц и помесячно усреднялись за весь период наблюдений. Расчеты всех пространственно-осредненных величин производились отдельно для областей БА к северу и к югу от 28° ю. ш.
Для анализа сезонного хода любых данных необходимо выполнить осреднение данных, как по времени, так и по площади. Все анализируемые параметры рассчитывались помесячно в климатических масках, которые отличаются по размеру для каждого месяца. Значения параметра внутри каждой маски суммировались и затем делились на количество трапеций в своих масках, т. е. вычислялось среднее арифметическое значение, не зависящее от размера маски.
Климатические индексы апвеллинга, анализируемые в работе рассчитывались для каждого месяца из средних многолетних значений температуры поверхности океана и приповерхностного ветра. Для оценки изменчивости рассчитанных параметров были построены доверительные интервалы с использованием распределения Стьюдента. При расчете доверительного интервала был выбран уровень значимости 0.05, что соответствует доверительной вероятности 0.95. Доверительный интервал для каждого параметра вычислялся по следующей формуле:
где µ — математическое ожидание; — среднее значение (оценка математического ожидания); n — объем выборки; tα — критическое значение t-распределения Стьюдента с уровнем значимости α и числом степеней свободы n − 1; σ — среднеквадратическое отклонение по выборке, состоящей из n членов.
На рис. 2 показаны доверительные интервалы для климатического сезонного хода зональной и меридиональной компонент вектора приповерхностного ветра, рассчитанные для ЮБА и СБА. а на рис. 3 и 4 — соответствующие доверительные интервалы для ТПО и аномалии уровня моря. Из приведенных рисунков видно, что доверительный интервал для сезонной изменчивости ТПО существенно уже, чем для остальных рассматриваемых параметров. Действительно, типичная ширина доверительного интервала для ТПО не превышает 12.5% размаха (удвоенной амплитуды) осредненного сезонного хода, а для других характеристик относительная ширина доверительного интервала превышает 50%. Это свидетельствует о большей зашумленности полей ветра и поверхностных течений в зонах крупно-масштабных океанических апвеллингах по сравнению с полем ТПО, вызванной не только относительно низким качеством данных о поля ветре и уровенной поверхностив прибрежной зоне, но и интенсивной синоптической и мезомасштабной изменчивостью этих характеристик (Полонский, Серебренников, 2017; Goubanova et al., 2013).
Рис. 2. Доверительные интервалы для климатического сезонного хода меридиональной компоненты приповерхностного ветра (м/с) южной системы Бенгельского апвеллинга (а) и зональной компоненты приповерхностного ветра (м/с) северной части Бенгельского апвеллинга (б).
РЕЗУЛЬТАТЫ, ИХ АНАЛИЗ И ОБСУЖДЕНИЕ
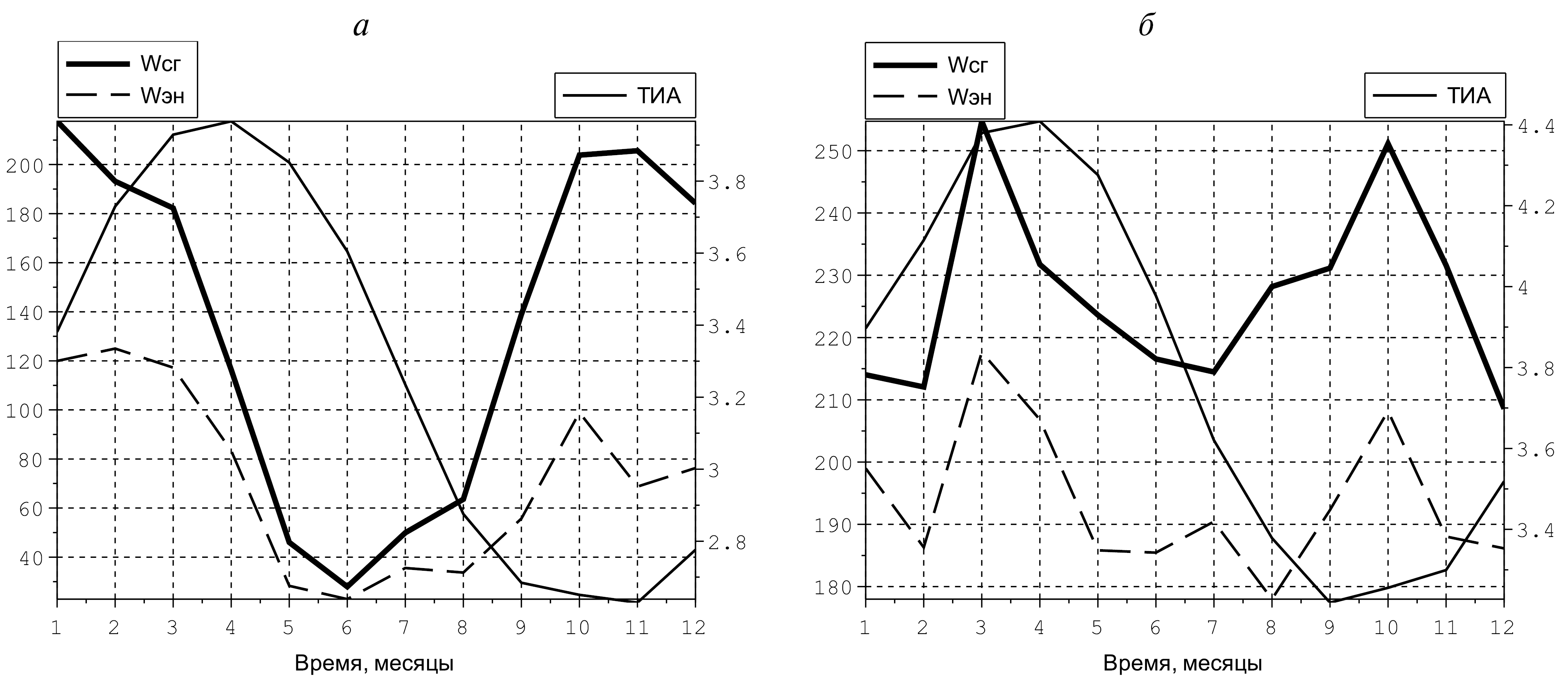
Обе апвеллинговые области (к северу и к югу от 28° ю. ш.) характеризуются наличием двух максимумов во временном ходе помесячно осредненной по каждой из областей вертикальной скорости, приуроченных к периоду с октября по март (рис. 5, 6). В этот период (теплый для Южного полушария) вдольбереговая компонента вектора ветра, способствующая развитию сгонного апвеллинга, максимальна из-за того, что над более теплой поверхностью суши формируется область пониженного давления, а над относительно холодной поверхностью океана — область высокого давления. С учетом действия силы Кориолиса это и приводит к интенсификации вдольбереговой компоненты вектора приводного ветра. Наличие второго максимума в сезонном ходе вертикальной скорости объясняется воздействием полугодовой гармоники в поле ветра, типичной для тропической зоны и прилегающей к ней субтропической области Восточной Атлантики (Полонский, Серебренников, 2018). При этом область СБА, расположенная к северу от 28° ю. ш., характеризуется значительно большими величинами вертикальных скоростей сгонного происхождения, но меньшей амплитудой внутригодового хода, чем область ЮБА. Причем результаты не очень чувствительны к изменениям величины TLconst в пределах от 2.0 до 3.0 °C (ср. рис. 5, 6а и 6б).
Рис. 3. Доверительные интервалы для климатического сезонного хода температуры поверхности океана (°C), рассчитанного для южной (а) и северной (б) систем Бенгельского апвеллинга.
Рис. 4. Доверительные интервалы для климатического сезонного хода аномалии уровня моря (см), рассчитанные для южной (а) и северной (б) систем Бенгельского апвеллинга.
Рис. 5. Среднемесячные климатические значения скорости экмановского сгона (Wсг × 10–7, м/с, жирная линия), скорости экмановской накачки (Wэн × 7 × 10–7, м/с, штриховая линия) и термического индекса апвеллинга (ТИА × (–1), °C, тонкая линия) за период 1988–2017 гг., рассчитанные внутри ежемесячных климатических масок для северной системы Бенгельского апвеллинга (28°–13° ю. ш.). Расчеты проводились при TLconst = 2.0 °C (а) и TLconst = 3.0 °C (б).
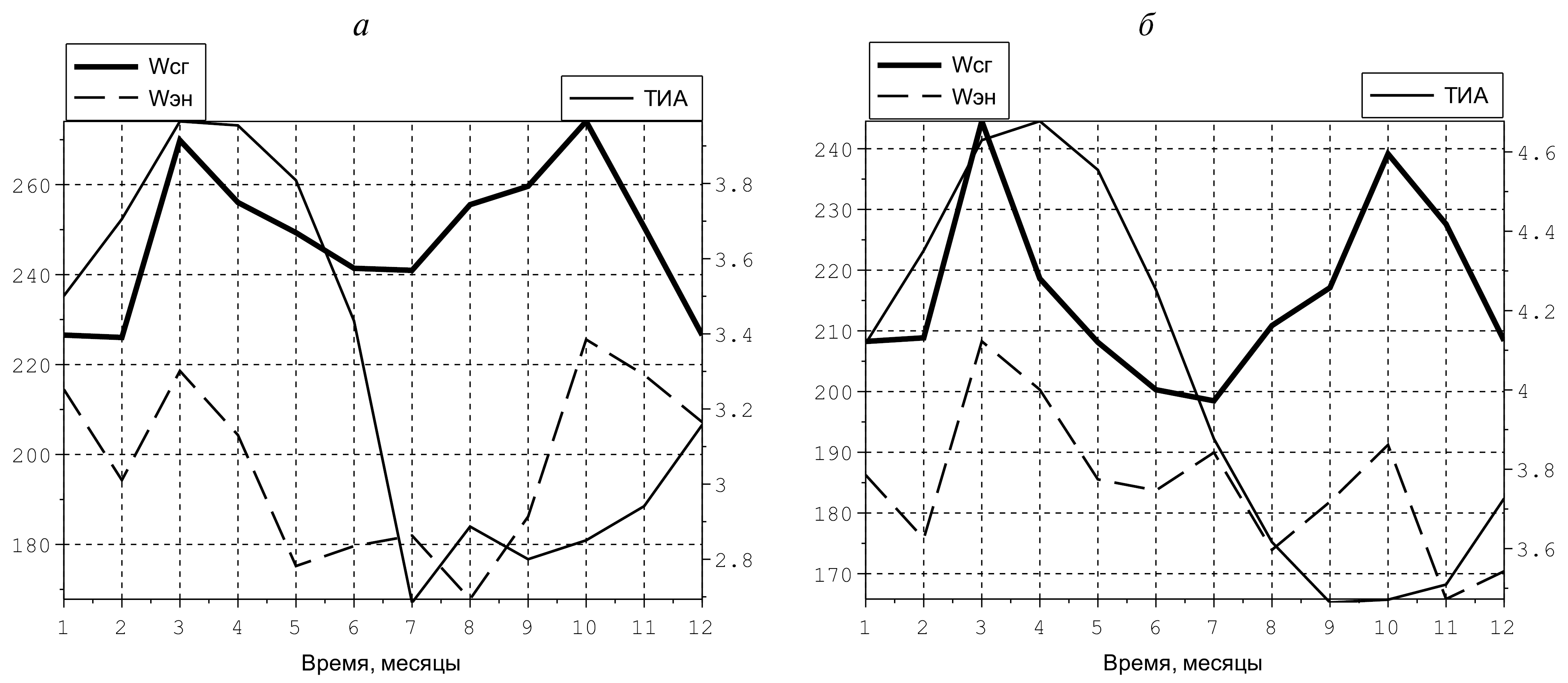
Рис. 6. Среднемесячные климатические значения скорости экмановского сгона (Wсг × 10–7, м/с, жирная линия), скорости экмановской накачки (Wэн × 7 × 10–7, м/с, штриховая линия) и термического индекса апвеллинга (ТИА × (–1), °C, тонкая линия) за период 1988–2017 гг., рассчитанные внутри ежемесячных климатических масок для южной (36°–28° ю. ш., а) и северной (28°–13° ю. ш., б) систем Бенгельского апвеллинга. TLconst = 2.6 °C.
По результатам наших расчетов экмановская накачка не вносит существенного вклада в суммарную вертикальную скорость в зоне БА. Отметим, тем не менее, что ее роль может недооцениваться по спутниковым данным из-за низкого качества ветра в прибрежной зоне (Croquette1 et al., 2004). Этот вывод неплохо иллюстрируется пространственным распределением величины Wэн, приведенным на рис. 7а. Хорошо видно, что в прибрежной зоне, расположенной в пределах выделенной маски, вертикальные скорости, связанные с пространственной неравномерностью поля ветра, невелики (светлые участки находятся рядом с берегом). Вместе с тем известно (Renault et al., 2015), что завихренность ветра, зависящая от прибрежной орографии и формы береговой линии, обычно максимальна у побережья.
Типичная величина суммарной вертикальной скорости для ЮБА в холодный и теплый периоды в среднем составляет 0.5 и 1.8 м/сут, для СБА — 1.9 и 2.1 м/сут соответственно. В северной части БА вертикальная скорость ветрового происхождения характеризуется не только существенно большей абсолютной величиной, но и в несколько раз меньшей амплитудой сезонного хода, чем в южной его части (ср. рис. 6а и 6б).
Термический индекс апвеллинга (рис. 6) показывает, что его сезонный ход характеризуется периодичностью в 1 год. Полугодовая гармоника во временном ходе ТИА отсутствует. Этот результат указывает на тот факт, что ТИА, осредненный по маске, площадь которой существенно превышает площадь акватории, вычисленной с использованием масштаба Россби, не отражает внутригодовой ход вертикальных движений ветрового происхождения. Этот индекс скорее характеризует интегральный эффект сезонной изменчивости вертикальной и горизонтальной адвекции в области распространения относительно холодных вод шельфа и прилегающей акватории. Другими словами, параметр ТИА сильно зависит от горизонтальной адвекции и не дает правильного представления об интенсивности вертикальных движений (т. е. собственно апвеллинга). Годовая гармоника преобладает и во внутригодовом ходе экстремальных среднемесячных ТПО. Однако максимальные (по абсолютной величине) значения ТИА наблюдаются на месяц позже, чем экстремумы в осредненной по маске величине ТИА (ср. рис. 6 и рис. 7б). Действительно, сезонный ход осредненной по маске величины ТИА, взятого с противоположным знаком, характеризуется максимальной величиной в марте–апреле (рис. 6), а экстремальные значения величины ТИА отмечаются в апреле–мае (рис. 7б). Причем вторичный максимум во временном ходе ТИА на значимом уровне не выделяется. Таким образом, полученные данные свидетельствуют о том, что наиболее холодные воды на поверхности океана в зоне БА наблюдаются с запаздыванием приблизительно в один–два месяца относительно максимума интенсивности самого апвеллинга. Это означает, что при типичных величинах вертикальных скоростей за этот промежуток времени к поверхности будут вынесены воды с глубины порядка 60 м. Типичная температура воды в юго-восточной части Тропической Атлантики в окрестности этого горизонта составляет от 13 до 15 °C (Атлас WOCE. Атлантический океан, 2011). Рис. 8 показывает, что такая температура поверхности океана наблюдается в отдельные месяцы в относительно узкой прибрежной зоне, существенно меньшей по площади, чем площадь маски. Таким образом подтверждается сделанный выше вывод, что значительная часть акватории, попавшей в маску и формально отнесенной к зоне апвеллинга, на самом деле не является зоной собственно апвеллинга, а находится в основном под влиянием процессов горизонтальной адвекции.
Из сравнения временного хода ТИА (рис. 6а) и модуля геострофической скорости (рисунок не приведен) следует, что сезонный цикл этих величин качественно согласуется между собой в ЮБА (хотя последний параметр намного более зашумлен из-за значительной мезомасштабной изменчивости течений в анализируемом регионе). Максимальная абсолютная величина ТИА отмечается в тот же сезон, что и максимальные скорости геострофических течений, но с запаздыванием в 2 месяца. Анализ покомпонентных среднемесячных величин геострофической скорости указывает на тот факт, что в ЮБА сезонный ход геострофической скорости в основном определяется внутригодовой изменчивостью меридиональной компоненты (рисунок не приведен). Другая закономерность в связи модуля геострофической скорости и величины ТИА на сезонном масштабе наблюдается в СБА. Здесь, напротив, максимум геострофической скорости запаздывает относительно максимума абсолютной величины ТИА на 2 месяца. Этот результат лишний раз подтверждает важность горизонтальной термической адвекции в формировании сезонного хода величины ТИА, осредненной по площади маски.
ЗАКЛЮЧЕНИЕ
Рис. 7. Среднее многолетнее значение экмановской скорости накачки (Wэн × 10–7, м/с) в сентябре за период 1988–2017 гг. (среднеклиматическая маска показана белым контуром) (а). Минимальные значения среднеклиматического термического индекса апвеллинга (ТИА) для южной (жирная линия) и северной (тонкая линия) систем Бенгельского апвеллинга (б).
Рис. 8. Средние многолетние значения температуры поверхности океана (а) и термического индекса апвеллинга (б), а также поле ветра (стрелочки) в июле.
Проведенный анализ сезонной изменчивости ТПО, вертикальной скорости, генерируемой приводным ветром, и геострофических течений в юго-восточной части Тропической и Субтропической Атлантики с использованием спутниковых данных с середины 1980-х гг. и по 2017 гг. дает возможность сформулировать следующие основные выводы:
- Сезонный ход вертикальной скорости ветрового происхождения в зоне Бенгельского апвеллинга характеризуется двумя максимумами, которые отмечаются в период с октября по март. Причем к северу от 28° ю. ш. типичные вертикальные скорости почти вдвое больше, а амплитуда сезонного хода, напротив, меньше, чем к югу от этой широты.
- Термический индекс апвеллинга в области БА характеризуется максимальными по абсолютной величине величинами, приходящимися на осень Южного полушария и запаздывающими относительно максимума вертикальной скорости приблизительно на 1–2 месяца. Во внутригодовом ходе величины ТИА безусловно преобладает изменчивость с периодом в 1 год. Второй (весенний) экстремум в сезонном ходе ТИА не отмечается.
- Значительная часть акватории, формально отнесенной к зоне апвеллинга по пространственному распределению термического индекса, на самом деле не является зоной собственно апвеллинга, а находится в основном под влиянием процессов горизонтальной адвекции, как ветрового, так и геострофического характера, а также интенсивного горизонтального перемешивания. Это является следствием того обстоятельства, что ширина масок, по которым рассчитываются характеристики апвеллинга, существенно превышает масштаб Россби. Уменьшение площади масок, по которой рассчитываются параметры ветрового апвеллинга и поверхностные течения, до нескольких десятков км (т. е., до величины порядка радиуса Россби) приводит к большой зашумленности анализируемых рядов, в том числе из-за невысокого качества данных в прибрежной зоне и низкого разрешения данных о поле ветра, а также значительной синоптической и мезомасштабной изменчивости анализируемых полей.
БЛАГОДАРНОСТИ
Выражаем благодарность анонимному рецензенту за полезные замечания и предложения по доработке первого варианта рукописи.
ИСТОЧНИК ФИНАНСИРОВАНИЯ
Работа выполнена в рамках госзадания (тема № 0012–2019–0002: Фундаментальные исследования процессов в климатической системе, определяющих пространственно-временную изменчивость природной среды глобального и регионального масштабов).
Об авторах
А. Б. Полонский
Институт природно-технических систем; Филиал МГУ в г. Севастополе; Севастопольский государственный университет
Автор, ответственный за переписку.
Email: apolonsky5@mail.ru
Россия, Севастополь
А. Н. Серебренников
Институт природно-технических систем
Email: apolonsky5@mail.ru
Россия, Севастополь
Список литературы
- Гилл А. Динамика атмосферы и океана. Пер. с англ. В 2 т. М.: Мир. 1986. 815 с.
- Малинин В.Н., Чернышков П.П., Гордеева С.М. Канарский апвеллинг: крупномасштабная изменчивость и прогноз температуры воды СПб.: Гидрометеоиздат, 2002. 156 с.
- Полонский А.Б., Серебренников А.Н. Межгодовые и внутримесячные флуктуации поля ветра и температуры поверхности океана в зоне Западно-Африканского апвеллинга по спутниковым данным // Исследование Земли из космоса. 2017. № 5. C. 14–19.
- Полонский А.Б., Серебренников А.Н. Многолетние тенденции в изменении температуры поверхности океана в зоне Канарского апвеллинга и их причины // Исследование Земли из космоса. 2018. № 3. C. 1–8.
- Полонский А.Б., Сухонос П.А. Межгодовые изменения компонентов бюджета тепла верхнего слоя Северной Атлантики в разные сезоны // Изв. РАН. Физика атм. и океана, 2017. Т. 54. № 4. С. 523–531.
- Серебренников А.Н. Улучшенная методика определения индексов прибрежных апвеллингов по спутниковым данным // Современные проблемы дистанционного зондирования Земли из космоса. 2018. Т. 15. № 5. С. 44–51.
- Чернышков П.П. Океанологические условия в районах Канарского и Бенгельского апвеллингов и прогнозирование состояния популяций пелагических рыб. Дисс. … д. г. н. М.: 2006. 299 с.
- Bakun A., Nelson C.S. The Seasonal Cycle of Wind-Stress Curl in Subtropical Eastern Boundary Current Regions. // J. Phys. Oceanogr. 1991. V. 21. P. 1815–1834. doi: 10.1175/1520–0485
- Blanke B., Speich S., Bentamy A., Roy C., Sow B. Modelling the structure and variability of the southern Benguela upwelling using QuikSCAT wind forcing. // J. Geophys. Res. 2005. V. 110. P. C07018. doi: 10.1029/2004JC002529
- Chaigneau A., Eldin G., Dewitte B. Eddy activity in the four major upwelling systems from satellite altimetry (1992–2007). // Prog. Oceanogr. 2009. V. 83. P. 117–123. doi:10.1016/ j.pocean. 2009.07.012
- Chen Z., Yan X.-H., Jo Y.-H., Jiang L., Jiang Y. A study of Benguela upwelling system using different upwelling indices derived from remotely sensed data. // Cont. Shelf Res. 2012. V. 45. P. 27–33. doi: 10.1016/j.csr.2012.05.013
- Cropper T.E., Hanna E., Bigg G.R. Spatial and temporal seasonal trends in coastal upwelling off Northwest Africa, 1981–2012. // J. Deep-Sea Research. 2014. Part I. V. 86. P. 94–111.
- Croquette M., Eldin G., Echevin V. On the contributions of Ekman transport and pumping to the dynamics of coastal upwelling in the South-East Pacific // Gayana. 2004. V. 68. № 2. Supl. t. I. Proc. P. 136–141.
- Gordon S.L., Weiss R.F., Smethie W.M., Jr., Warner M.J. Thermocline and intermediate water communication between the South Atlantic and Indian Ocean // J. Geophys. Res. 1992. V. 97. № C5. P. 7223–7240. doi: 10.1029/92JC00485.
- Goubanova K., Illig S., Machu E., Garcon V., Dewitte B. SST subseasonal variability in the central Benguela upwelling system as inferred from satellite observations (1999–2009) // J. Geophys. Res. Oceans. 2013. V. 118. P. 4092–4110. doi: 10.1002/jgrc.20287.
- Hutchings L., van der Lingen C.D., Shannon L.J., Crawford R.J.M., Verheye H.M.S., Bartholomae C.H., van der Plas A.K., Louw D., Kreiner A., Ostrowski M., Fidel Q., Barlow R.G., Lamont T., Coetzee J., Shillington F., Veitch J., Currie J.C., Monteiro P.M.S. The Benguela Current: An ecosystem of four components // Prog. Oceanogr. 2009. V. 83. P. 15–32. doi: 10.1016/j.pocean.2009.07.046.
- Lass H.U., Schmidt M., Mohrholz V., Nausch G. Hydrographic and current measurements in the area of the Angola-Benguela front // Journal of Physical Oceanography. 2000. V. 30. P. 2589–2609.
- Meeuwis J.M., Lutjeharms J.R.E. Surface thermal characteristics of the Angola-Benguela front // South African Journal of Marine Science. 1990. V. 9. P. 261–279.
- Renault L., Hall H., McWilliams J.C. Orographic shaping of US West Coast wind profiles during the upwelling season // Clim. Dynam. 2015. V. 46. P. 273–289. doi: 10.1007/s00382–015–2583–4.
- Santos A.M.R, Kazmin A.S., Peliz A. Decadal changes in the Canary upwelling system as revealed by satellite observations: Their impact on productivity // J. Marine Research. 2005. V. 63. P. 359–379.
- Shannon L.V., Nelson G. The South Atlantic: Present and Past Circulation, Chapter The Benguela: Large Scale Features and Processes and System Variability. Springer-Verlag. 1996. P. 163–210.
- Stommel H.M. The Gulf Stream. A Physical and Dynamical Description // Univ. Calif. Press, Berkeley. 1958. 202 p.
- Taufikurahman Q., Hidayat R. Coastal upwelling in Southern Coast of Sumbawa Island, Indonesia // IOP Conf. Series: Earth and Environmental Science. 2017. V. 54. P. 012075.
- Tim N., Zorita E., Hünicke B. Decadal variability and trends of the Benguela Upwelling System as simulated in a high ocean-only simulation // Ocean Sci. 2015. V. 11. P. 483–502. doi: 10.5194/os 11–483–2015.
- Upwelling: Mechanisms, ecological effects and threats to biodiversity (Eds. Fischer W.E., Green A.B.). // Nova Sci. Publ. Inc. USA. N.Y. 2013. 98 р.
- Veitch J., Penven P. and Shillington F. Modeling Equilibrium Dynamics of Benguela Current System. // J. Phys. Oceanogr. 2010. V. 40. P. 1942–1964. doi: 10.1175/2010JPO4382.1.
- WOCE Atlas Volume 3: Atlantic Ocean (Digital Atlas). 2011. doi.org/10.21976/C6RP4Z
Дополнительные файлы










